|
№
варианта
|
Начальный
объем рабочего тела,
V1,
м3
|
Начальное
давление,
P1,
кПа
|
Начальная
температура,
T1,
К
|
Конечная
температура в изохорном процессе,
T2,
К
|
Конечное
давление в изотермическом процессе,
P3,
кПа
|
|
9
|
2,6
|
4000
|
573
|
723
|
100
|
1 Рабочее тело -
идеальный газ
1.1
Предварительные вычисления
Удельная газовая
постоянна
Удельная изобарная
теплоемкость газа при к = 1,33
Удельная изохорная
теплоемкость
Масса идеального газа
1.2
Определение характеристик термодинамического
состояния идеального газа в переходных точках
На рис. 1 и 2 показан
тепломеханический цикл в диаграммах Pv и Ts.
Расчет характеристик
термодинамического состояния выполняется в соответствии с исходными данными
табл.1 по следующему плану:
Состояние (точка) 1.
Известны: V1;
P1;
T1.
Определяется удельный
объем
Удельные калорические
характеристики для каждого из состояний вычисляются по расчетным соотношениям
при Тб = 273,15 К и Рб = 100 кПа.
Удельная энтальпия
Удельная внутренняя
энергия
Удельная энтропия
Состояние (точка) 2.
Известны: T2;
V2
= V1
(процесс 1-2 изохорный);
v2
= v1
Определяются:
Давление
Удельная энтропия
Удельная внутренняя энергия
Удельная энтропия
Состояние (точка) 3.
Известны: Р3;
Т3 = Т2 (процесс
2-3 изотермический).
Определяются:
Удельный объем
Объем
Удельная энтальпия
Удельная внутренняя энергия
Удельная энтропия
Состояние (точка) 4.
Известны: Р4 =Р3
(процесс 3-4 изобарный);
s4
= s1
(процесс 4-1 изоэнтропный).
Определяются:
Термодинамическая температура
Удельный объем
Объем
Удельная энтальпия
Удельная внутренняя
энергия
Результаты расчета
сведены в табл.2
Таблица 2
|
Номер
точки
|
Р,
кПа
|
Т,
К
|
t°,
°С
|
V,
м3
|
v,
|
h,
|
u,
|
s,
|
|
1
|
4000
|
573
|
300
|
2,6
|
0,066
|
560
|
295
|
-0,325
|
|
2
|
5061
|
723
|
450
|
2,6
|
0,066
|
837
|
502
|
-0,0002
|
|
3
|
100
|
723
|
450
|
131,2
|
3,34
|
837
|
502
|
1,812
|
|
4
|
100
|
230
|
-43
|
41,73
|
1,062
|
-80
|
-186
|
-0,325
|
Характеристики
термодинамического состояния идеального газа в переходных точках цикла
1.3
Вычисление изменения калорических характеристик в
процессах с идеальным газом
Изменение калорических характеристик
при переходе рабочего тела из начального состояния Н в конечное К определяется
на основе следующих соотношений:
Изменение энтальпии
Изменение внутренней
энергии
Изменение энтропии
По данным табл.2
получаем
Процесс 1-2 (V = const)
Процесс 2-3 (Т = const)
Процесс 3-4 (Р = const)
Процесс 4-1 (S
= const)
1.4 Определение
количества теплоты, деформационной работы и работы перемещения в процессах с
идеальным газом
Характеристики
термодинамических процессов (Q; L; Lп) определяются на основании
Первого и Второго законов термодинамики. Деформационную работу и работу
перемещения при равновесном изменении состояния от начального (Н) до конечного
(К) можно вычислить также путем интегрирования выражений.
По данным 1.3 получим
Процесс 1-2 (V = const)
Процесс 2-3 (Т = const)
;
Процесс 3-4 (Р = const)
;
Процесс
4-1 (S = const)
;
Результаты расчетов,
выполненных в 1.3 и 1.4, сведены в табл.3
Таблица 3
|
Некруговые
процессы
|
ΔН,
кДж
|
ΔU,
кДж
|
ΔS,
кДж
|
Q,
кДж
|
L,
кДж
|
Lп,
кДж
|
|
1-2
|
10960
|
8238
|
12,77
|
8238
|
0
|
-2722
|
|
2-3
|
0
|
0
|
71,17
|
51458
|
51458
|
51458
|
|
3-4
|
-36066
|
-27108
|
-83,94
|
-36066
|
-8958
|
0
|
|
4-1
|
25105
|
18869
|
0
|
0
|
-18869
|
-25105
|
|
цикл
|
0
|
0
|
0
|
23630
|
23630
|
23630
|
Характеристики
термодинамических процессов и изменения калорических свойств идеального газа
1.5
Оценка эффективности тепломеханического цикла с
идеальным газом
Тепломеханический
коэффициент цикла
Среднетермодинамическая
температура идеального газа в процессе подвода теплоты
Среднетермодинамическая
температура идеального газа в процессе отвода теплоты
Тепломеханический
коэффициент эквивалентного цикла Карно
1.6
Схемы энергобалансов процессов с идеальным газом
Схемы энергобаланса
можно представить в виде графических совокупностей элементов, соответствующих следующим
частным формам Первого закона технической термодинамики:
Здесь приведены схемы
энергобаланса для каждого из четырех изопараметрических процессов и цикла в
целом по второй форме:
Каждая схема
термодинамически комментируется в соответствии с энергетическими особенностями
процесса (табл.4).
Таблица 4
|
Процессы
|
Схемы
энергобалансов
|
Пояснение
к схеме
|
|
1-2
|
 
  ΔH
  Q
Lп
|
В
данном т/д процессе 1-2 энтальпия идеального газа увеличивается за счет
подвода теплоты и затрачивания работы перемещения
|
|
2-3
|
ΔH
      Q
|
В
данном изоэнтальпийном процессе 2-3 работа перемещения совершается за счет
подвода теплоты к идеальному газу
|
|
3-4
|

 ΔН
 Q
Lп
|
В
данном изобарном процессе 3-4 теплота идеального газа отводиться за счет уменьшения
энтальпии
|
|
4-1
|
 
 ΔН
Q
Lп
|
В
данном адиабатном процессе 4-1 энтальпия идеального газа увеличивается за
счет затрачивания работы перемещения
|
|
Цикл
|
 
ΣΔН
 ΣQ
 ΣLп
|
В
данном т/д цикле суммарное количество теплоты равно суммарному количеству
работы перемещения
|
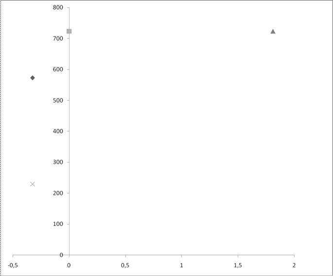
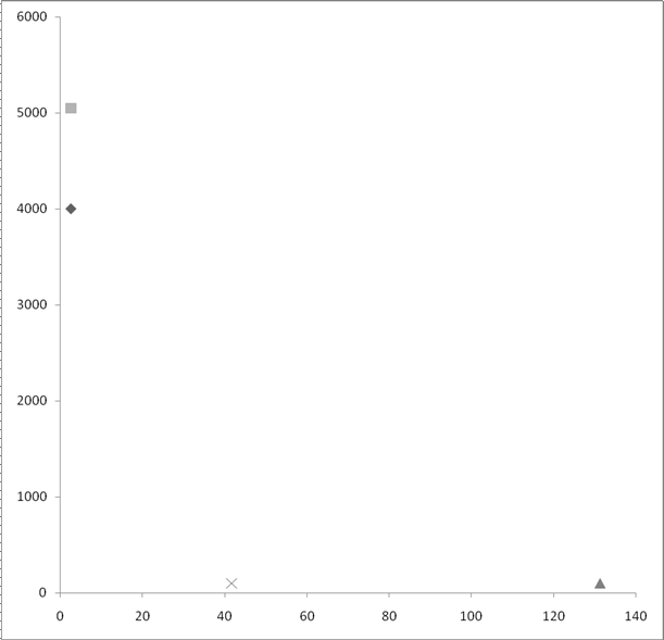
Рис.1 Тепломеханический
цикл с идеальным газом в диаграмме P – V
Рис. 2
Тепломеханический цикл с идеальным газом в диаграмме Т – s
1.7 Определение
характеристик термодинамического состояния водяного пара
Неизвестные величины в
состояния 1, 2, 3, 4 определяются с помощью таблицы «Теплофизические свойства
воды и водяного пара» или с помощью масштабной диаграммы h – s.
Состояние 1
В соответствии с
исходными данными табл.1 известны:
V1
= 2,6 м3; Р1 = 4000 кПа = 40 бар
Т1 = 573 К; t1
= 300 °С
При заданных Р1
и t1, предварительно убедившись, что в состоянии 1 рабочее тело –
перегретый пар (t1 > ts
при р1), по таблице «Вода и перегретый пар» [1] определяются:
v1
= 0,058
;
h1
= 3000
;
s1
= 6,3
.
Масса водяного пара
Удельная внутренняя энергия
Состояние 2
Известны: Т2
= 723 К; t2 = 450 °С
V2
= V1
= 2,6 м3
v2
= v1
= 0,058
По t2
и v2
по таблице «Вода и водяной пар» [1] определяются:
Р2 = 54 бар
= 5500 кПа;
h2
= 3310
;
s2
= 6,76
.
При этом внутренняя
энергия пара составит
Состояние 3
Известны: Т3
= Т2 = 723 К
t3 = t2
= 450 °С
Р3 = 100 кПа
= 1 бар.
По t3
и Р3 по таблице «Вода и водяной пар» [1] выбираются:
v3
= 3,334
;
h3
= 3382
;
s3
= 8,7
.
При этом объем и
внутренняя энергия водяного пара состовит:
Состояние 4
Известны: Р4
= Р3
= 100 кПа = 1 бар
s4
= s1
= 6,3
.
В таблице «Состояние
насыщения по давлениям» [1] по давлению Р4 находим
температуру насыщения
= 100 °С и удельные
характеристики состояния насыщенной жидкости и сухого насыщенного пара
v'=0,001
v''=1,7
h'=417,44
h''=2675
s'=1,3
s''=7,35
Сравнивая s4
с s' и s''
(s' < s4
< s''), убеждаемся, что в
данном состоянии рабочее тело – влажный насыщенный пар со степенью сухости
Вычисляем экстенсивные
характеристики влажного насыщенного пара по формулам смещения
Результаты вычислений
сводим в табл.5
Таблица 5
Характеристики
термодинамического состояния водяного пара в переходных точках цикла
|
Номер
точки
|
Р, бар
|
t,
°C
|
V, м3
|
v,
|
h,
|
u,
|
s,
|
Состояние
рабочего тела
|
|
1
|
40
|
300
|
573
|
2,6
|
0,058
|
3000
|
2768
|
6,3
|
Перегретый
пар
|
|
2
|
55
|
450
|
723
|
2,6
|
0,058
|
3310
|
2991
|
6,76
|
Перегретый
пар
|
|
3
|
1
|
450
|
723
|
149,43
|
3,334
|
3382
|
3048
|
8,7
|
Перегретый
пар
|
|
4
|
1
|
100
|
373
|
63,5
|
1,416
|
2300
|
2159
|
6,3
|
Влажный
насыщенный пар
х4
= 0,933
|
Рис. 3
Тепломеханический цикл с водяным паром в диаграмме Т – s
1.8 Вычисление
характеристик термодинамических процессов с водяным паром
В соответствии с 1.3 и
1.4 определяем изменение калорических характеристик состояния и характеристики
термодинамических процессов с водяным паром
Процесс 1-2 (V = const)
Процесс 2-3 (Т = const)
;
Процесс 3-4 (Р = const)
;
Процесс 4-1 (S
= const)
;
Результаты вычислений
2.2 сводим в табл.6
Таблица 6
|
Некруговые
процессы
|
ΔН,
кДж
|
ΔU,
кДж
|
ΔS,
кДж
|
Q,
кДж
|
L,
кДж
|
Lп,
кДж
|
|
1-2
|
13894
|
9994
|
20,6
|
9994
|
0
|
-3899
|
|
2-3
|
3227
|
2554
|
87
|
62865
|
60310
|
59638
|
|
3-4
|
-48495
|
-39845
|
-107,5
|
-48495
|
-8650
|
0
|
|
4-1
|
31374
|
27295
|
0
|
0
|
-27295
|
-31374
|
|
цикл
|
0
|
0
|
0
|
24365
|
24365
|
24365
|
1.9 Характеристики
термодинамических процессов и изменения калоричесикх свойств водяного пара
Оценка
эффективности тепломеханического цикла с водяным паром
Тепломеханический
коэффициент цикла
Среднетермодинамическая
температура идеального газа в процессе подвода теплоты
Среднетермодинамическая
температура идеального газа в процессе отвода теплоты
Тепломеханический
коэффициент эквивалентного цикла Карно
Таблица 7
|
Процессы
|
Схемы
энергобалансов
|
Пояснение
к схеме
|
|
1-2
|
 
  ΔH
  Q
Lп
|
В
данном т/д процессе 1-2 энтальпия водяного пара увеличивается за счет подвода
теплоты и затрачивания работы перемещения
|
|
2-3
|

   ΔH
    Q
Lп
|
В
данном т/д процессе 2-3 работа перемещения совершается, энтальпия
увеличивается за счет подвода теплоты к водяному пару
|
|
3-4
|

 ΔН
 Q
Lп
|
В
данном изобарном процессе 3-4 теплота водяного пара отводиться за счет
уменьшения энтальпии
|
|
4-1
|
 
 ΔН
Q
Lп
|
В
данном адиабатном процессе 4-1 энтальпия водяного пара увеличивается за счет
затрачивания работы перемещения
|
|
Цикл
|
 
ΣΔН
 ΣQ
 ΣLп
|
В
данном т/д цикле суммарное количество теплоты равно суммарному количеству
работы перемещения
|
Список литературы
1.
Вукалович
М.П., Ривкин С.Л., Александров С.А. Таблицы теплофизических свойств воды и
водяного пара. – М.: Изд-во стандартов,1969. – 408 с.
2.
Кириллин
В.А., Сычев В.В., Шейндлин А.Е. Техническая термодинамика. – М.: Энергия, 1974.
– 496 с.