Выбор элементов и расчет измерительной части системы двигателя и усилителя мощности

  • Вид работы:
    Контрольная работа
  • Предмет:
    Информатика, ВТ, телекоммуникации
  • Язык:
    Русский
    ,
    Формат файла:
    MS Word
    105,56 Кб
  • Опубликовано:
    2015-01-26
Вы можете узнать стоимость помощи в написании студенческой работы.
Помощь в написании работы, которую точно примут!

Выбор элементов и расчет измерительной части системы двигателя и усилителя мощности

Оглавление

1. Задание

. Исходные данные

. Выполнение работы

3.1 Выбор двигателя и усилителя мощности

3.2 Выбор элементов и расчет измерительной части системы

3.3 Выбор электромеханического усилители я определение его передаточной функции

3.4 Построение ЛАХ и определение передаточной функции ПКУ

.5 Техническая реализация ПКУ

Заключение

Список литературы

1. Задание

.        Выбрать силовую исполнительную и измерительную части системы.

.        Составить уравнения, описывающие динамику выбранных элементов системы и составить для этих элементов передаточные функции.

.        Провести синтез последовательного корректирующего устройства методом логарифмических частотных характеристик.

 


2. Исходные данные


Таблица 1

№ вар

Мс нм

Jy кгм

а0 рад

а1 рад/c

q0 рад

w0 рад/с

dст рад

Ку1(р)

Ку2(р)

Ку3(р)

Tпп с

s%

Fi

2

1

25

1

0.1

0.1

1.2

0.005

К0+К1р

100


0.5

40

F1




. Выполнение работы

.1 Выбор двигателя и усилителя мощности

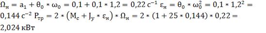
Определение требуемой мощности и выбор соответствующего требованиям двигателя.


На основании требуемой мощности выбираем двигатель АДП-120 с параметрами:

Тип двигателя

Ном. Мощность Рном, Вт

Вращ. момент , Мном, Нм

Частота вращения nном, об/мин

Пусковой момент, Мпном, Нм

Момент инерции Jд, кгм

Частота сети, Гц

Напряж. возбуждения, Uв, В

Ток возбуждения, Iв, А

Напряж.управ., Uу, В

Ток управления, Iу, А

АДП-120

2.4

0.0066

4000

0.0087

0.00000120

400

110

0.12

110



 Проверка:

а) По скорости:


Т. к.  двигатель не удовлетворяет по скорости. Изменим передаточное число редуктора.


В этом случае двигатель обеспечит требуемую выходную скорость, хотя не будет оптимальной передачи мощности.

б) По моменту:


Также

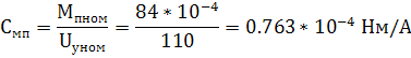
Определение передаточной функции электродвигателя по скорости: Электромеханических константы двигателя:

 

.2 Выбор элементов и расчет измерительной части системы

Тип сельсина

Частота сети питания, Гц

, В

Погрешность следования,

Потребляемый ток, А

, Ом

, кОм

, В

СБ-20-1ВД

400

36

0,09

360

3

21

СБ-32-1ВП




0,02





Выбор сельсинов.


Выбираем сельсины первого класса типа СБ-20-1ВД и СБ-32-1ВП с параметрами:

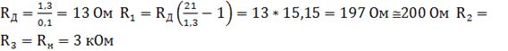
Определим передаточное число редуктора


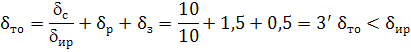
Для четного передаточного числа редуктора необходимо применять схему устранения ложного нуля. Проверка:


Рассчитаем коэффициенты усиления каналов.


Проведем расчет вольтодобавки :


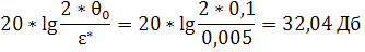
Расчет схемы селекции Угол переключения равен


Проверка:   - т.е. угол переключения различим на фоне погрешности измерений. Проверка на исключение ложных срабатываний:


Расчет элементов схемы селекции: Определим пороговое напряжение переключения.


Выбираем диоды КД522А по , тогда:


Проверка по току:


.3 Выбор электромеханического усилители я определение его передаточной функции

Таблица 4

Тип

, А

, В

Ток упр. , мА

Сопр. обмотки упр, Ом

, об/мин (без ПД)

Пост. цепи упр. , с

Пост. цепи якоря , с

ЭМУ-3A

1.82

110

11

2850

0,03

0,043


Проверка:

=

По результатам проверка выбранный ЭМУ удовлетворяет требованиям соответствия заданному двигателю. Определим коэффициент усиления ЭМУ:


Передаточная функция ЭМУ:

двигатель мощность усилитель передаточный

3.4 Построение ЛАХ и определение передаточной функции ПКУ

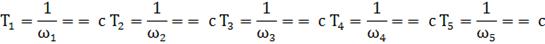
Построение располагаемой ЛАХ. Составим передаточную функцию разомкнутой системы (см. рис. 1)


Постоянные времени:

 c  c  c

Сопрягающие частоты:


Входной сигнал имеет вид:  Максимально возможная ошибка ПКУ:


Определим ординату


Построение желаемой ЛАХ.


Ордината:


Подымем желаемый ЛАХ до совмещения с располагаемым в области низких частот. По номограмме определим, частоту среза, так для заданного   = 5p. Тогда при , , а

Построение ЛАХ ПКУ. ЛАХ ПКУ находится по графику как разность желаемой и располагаемой ЛАХ.

Из графика определяем сопрягающие частоты:


Определим постоянные времени:


В итоге с учетом наклона графика  имеем передаточную функцию вида:


.5 Техническая реализация ПКУ

Составление схемы. Разобьем передаточную функцию ПКУ на отдельные звенья:




Причем


Причем , а коэффициент усиления равен единице.

Расчет номинала элементов цепи.

Для дифференцирующих звеньев цепи примем

,

тогда:


Коэффициент усиления на выходе:


Для интегрирующих звеньев цепи примем

,

тогда:


В итоге имеем цепь следующего вида:


Заключение

В ходе выполнения работы, по заданным параметрам нагрузки, был произведен выбор силовой исполнительной части системы (двигателя и усилителя мощности).

Также был произведен расчет измерительной части системы.

Для двигателя и усилителя мощности были определенны передаточные функции, далее методом ЛАХ был произведен синтез ПКУ.

 

Список литературы

1. Воловодов С.К., Методическое пособие по курсовой работе по дисциплине "ТАУ", Санкт-Петербург, 2013 г.

. Бесекерский В.А., Теория систем автоматического управления, Санкт-Петербург, 2003 г.

Похожие работы на - Выбор элементов и расчет измерительной части системы двигателя и усилителя мощности

 

Не нашли материал для своей работы?
Поможем написать уникальную работу
Без плагиата!
Без нейросетей!