Анализ системы автоматического управления стабилизации напряжения генератора
Содержание
Введение
. Нахождение математической модели
системы управления
.1 Нахождение передаточных функций
элементов системы
.2 Составление структурной схемы
системы
.3 Получение передаточной функции
системы
.4 Разработка структурной схемы в
программе МВТУ
. Построение
амплитудно-фазочастотных характеристик (АФЧХ) системы
3. Построение ЛАХ и ЛФХ
.1 Построение асимптотической ЛАХ и
ЛФХ
.2 Построение ЛАХ и ЛФХ с помощью
программы МВТУ
4. Исследование устойчивости системы
.1 Исследование системы с помощью критерия
Гурвица
.2 Исследование системы с помощью
критерия Найквиста
.3 Исследование системы с помощью
критерия Михайлова
. Определение точности системы
. Определение качества системы
.1 Определение качества системы по
лог. характеристикам
.2 Определение качества по
переходному процессу
. Настройка регулятора
Заключение
Библиографический список
Введение
Актуальность данной работы заключается в
возможности использовании полученных результатов для решения задач
автоматизации. Данная работа выполняется для исследования теоретических знаний
полученных в процессе изучения дисциплины, а так же построения логарифмических
характеристик и т.д.
При выполнении данной работы решаются следующие
задачи:
. Нахождение передаточных функций
элементов системы
. Составление структурной схемы
. Получение передаточной функции системы
. Разработка структурной схемы в МВТУ
. Построение АФЧХ
. Построение асимптотической и построение
в МВТУ ЛАХ и ЛФХ
. Исследование устойчивости системы с
помощью критерия Найквиста, Гурвица и Михайлова
. Определение точность системы
. Определение качества системы по лог.
характеристикам и по переходному процессу
. Настройка регулятора
.
Нахождение математической модели системы управления
.1 Нахождение передаточных функций элементов
системы
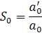
Из уравнения элемента ОБ - генератор, получим
передаточную функцию:
где 

- Выходная величина

- Входная величина
Для этого запишем вместо 
запишем y, вместо 
запишем x, получим:
Пользуясь формулой 
, подставим значение (y) в эту
формулу и получим передаточную функцию элемента ОБ:

(1)
Подставим числовые значения в
формулу (1):
ИМ - угольный регулятор, получим передаточную
функцию:
где 

- Входная величина

- Выходная величина
Подставим вместо 
- x, а вместо 
запишем y получили:
Пользуясь формулой 
и выполнив преобразование Лапласа,
получим передаточную функцию:
Выполним подстановку числовых
значений в формулу (2):
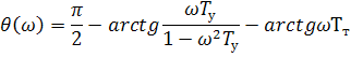
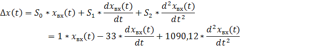
Д - стабилизирующий трансформатор,
получим передаточную функцию:
где 

- Входная величина

- Выходная величина
Подставим вместо 
- x, а вместо 
- y.
Пользуясь формулой 
и выполнив преобразование Лапласа
получим:
Подставим числовые значения в
формулу (3):
.2 Составление структурной схемы системы
На основе полученных передаточных функций и
рис.1 получим структурную схему системы управления:
Рис.1. Структурная схема
Проведем преобразование структурной схемы для
получения единичной обратной связи для этого перенесем звено со входа сумматора
на его выход при этом добавим фиктивное звено передаточная функция которого
обратно передаточной функции исходного звена:
Рис.2.
Структурная схема с единичной обратной связью
Так как не важно, каким образом получено
задающее воздействие, фиктивным звеном можно пренебречь, тогда структурная
схема примет вид:
Рис.3. Преобразованная структурная схема
Возьмем формулы (1)-(3) с подставленными
числовыми значениями и получим структурную схему
Рис.4. Структурная схема с числовыми значениями
1.3 Получение передаточной функции системы
Звенья в системе соединены последовательно,
поэтому передаточная функция разомкнутой системы найдется как произведение
передаточных функций элементов:
Подставляем в эту формулу передаточные функции
элементов:
После перемножения получим:
Подставим значения в (4)
Найдем передаточную функцию замкнутой системы:
Подставим значение из (4) в эту формулу:
Выполним вычисления и получим:
Подставим числовые значения:
Найдем передаточную функцию замкнутой системы по
ошибке:
Подставим значения из (5) и вычислим:
Подставим числовые значения в (6):
1.4 Разработка структурной схемы в программе
МВТУ
Создание схемы мы начали с открытия нового
документа, открылось поле куда нужно будет вносить блоки. Первым блоком у нас
является «Ступенька» который мы взяли из раздела «Источники». Второй блок
называется «Сравнивающее устройство» который находится в разделе «Операции».
Далее мы добавили наши передаточные функции которые находились в разделе
«Динамические». Еще один блок мы добавили под названием «График» который взяли
из раздела «Данные». Все блоки мы соединили между собой стрелками и получили
следующую схему(рис.5).
Рис.5. Структурная схема в МВТУ
Добавили в W_1(s)
следующие параметры:
К=3
Т=0,02
А для W_2(s)
мы установили следующие параметры:
К=11
Т=0,83
b=0.0084
Введя параметры и изменив время интегрирования,
мы нажали на кнопку «Расчет» и двойным нажатием на блок «График» мы увидели
график переходного процесса нашей схемы (рис.6):
Рис.6. График переходного процесса

0
2.
Построение Амплитудно-фазо-частотных характеристик(АФЧХ) системы
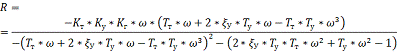
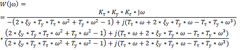
Найдем частотную передаточную функцию, для этого
в передаточной функции разомкнутой системе подставим вместо p
- jw.

р=jщ
Подставим в формулу (4) вместо p
- jw:
Раскроем скобки в этом выражении:
Сгруппируем в знаменателе все слагаемы j:
Домножим на сопряженное выражение:
Вычислим и получим:

Выделим действительные и мнимые части:
Зная действительную и мнимую части найдем
выражения для амплитуды и фазы:
передаточный регулятор амплитудный
качество
.
Построение ЛАХ и ЛФХ
.1 Построение асимптотических ЛАХ и ЛФХ
Для построения асимптотической ЛАХ и ЛФХ
разомкнутой системы представим передаточную функцию в виде произведения
передаточных функций типовых звеньев.

- Усилительное звено

- Дифференцирующее звено



- Колебательное звено
Число интегрирующих звеньев - 0,
значит степень астатизма =0, значит начальный участок ЛАХ будет проходить под
наклоном +0дБ/Дек но присутствует дифференцирующее звено и наклон станет
+20дБ/Дек и через точку с координатами 20lgK, где 
и 
. Определим логарифмическую
амплитуду при частоте 
:
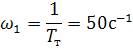
Найдем частоты сопряжения:
Полученные данные позволяют
построить асимптотическую ЛАХ (КР 220703.051.012Д). Начальный участок пройдет с
наклоном +20Дб/Дек т.к присутствует дифференцирующее звено, и через точку 20lgK. На частоте
щ1 начинает действовать колебательное звено и характеристика получит
наклон в -20 дБ/дек. На частоте щ2 на характеристику начнет
действовать инерционное звено и характеристика получит наклон в -40 дБ/дек.
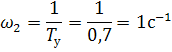
Для построения ЛФХ запишем выражение
для фазового угла:
Для построения найдем значения для
фазового угла при следующих частотах:
3.2 Построение ЛАХ и ЛФХ с помощью программы
МВТУ
В данном разделе нам понадобится схема, которую
составляли ранее (Рис.6). Мы должны были добавить в нее два блока «В память»,
которые расположены в раздела «Субструктуры». И подключили их перед
сравнивающем устройством и последней передаточной функцией. Замкнули обратную
связь в сравнивающем устройстве заменив параметр -1 на 0. Нажали «Расчет» и
получили (рис.7):
Рис.7 Структурная схема с добавленными блоками
«В память»
Далее перешли на вкладку «анализ» и нажали
«частотный анализ». В открывшимся окне, создали окно «Характеристик» добавили
два входа и два выхода в одной строке в столбце Характеристика выбрали ЛАХ, во
второй ФЧХ и нажали расчет благодаря чему получили График (рис.8):
Рис.8. ЛАХ и ЛФХ в программе МВТУ
4.
Исследование устойчивости системы
.1 Исследование системы с помощью критерия
Гурвица
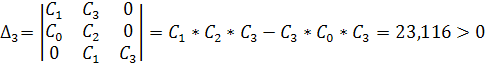
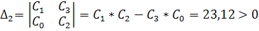
По критерию Гурвица для того что бы система была
устойчивой необходимо выполнение двух условий:
1) Что бы все коэффициенты
характеристического уравнения были бы положительны;
2) Что бы все определители составленной из
матрицы Гурвица были положительны.
Для определения устойчивости системы по критерию
Гурвица необходимо найти характеристический поленом замкнутой системы:
Запишем значение коэффициентов для матрицы
Гурвица:
С0=0,014>0C1=0,70028>0С2=33,034>0С3=1>0
На основе коэффициентов составим матрицу
Гурвица:

- Матрица Гурвица
Вычислим определители:
Вывод по критерию Гурвица Система
устойчива т.к. Все определители и все коэффициенты больше нуля.
.2 Исследования системы с помощью
критерия Найквиста
На рис.9 изображен годограф Найквиста, для того
чтобы система была устойчивой по критерию Найквиста необходимо чтобы годограф
Найквиста не охватывал точку с координатами -1; ϳ0.
Рис.9. Годограф Найквиста
Также определение устойчивости по
критерию Найквиста можно с помощью Логарифмических характеристик (Д). Для того
чтобы система была устойчива необходимо чтобы частота среза 
была меньше частоты 
. По чертежу логических
характеристик (Д), 
стремится к 
то можно сказать что система
устойчива.
4.3 Исследование системы с помощью критерия
Михайлова
Для определения устойчивости с помощью критерия
Михайлова необходимо построить годограф Михайлова. Для построения требуется
найти характеристический поленом замкнутой системы. Для этого в знаменатель
передаточной функции замкнутой системы вместо p
подставляем ϳщ.
Выделим действительную и мнимую части:
Определим порядок системы:
n=3
Построение годографа Михайлова выполним с
помощью программы МВТУ (рис.10):
Рис.10. Годограф Михайлова
Из графика видно, что годограф проходит все квадранты
последовательно и уходит в бесконечность в третьем квадранте. Вывод: система
устойчива.
.
Определение точности системы
Для определения точности системы, определим
коэффициенты ошибок. Для этого возьмем передаточную функцию системы по ошибке и
запишем её коэффициенты:












Представим 
в виде бесконечного степенного ряда

…
где коэффициенты ошибок определяются
по формуле:
Определим коэффициенты ошибок:
Установившаяся ошибка будет
равняться:
При 
, статическая ошибка присутствует
(если 
). Скоростная ошибка постоянна, но
отрицательна (
. Ошибка от ускорения линейно
возрастает (
).
6.
Определение качества системы
.1 Определение качества системы по
логарифмическим характеристикам
Качественными показателями которые можно
определить по логарифмическим характеристикам это запас по фазе и запас по
амплитуде.
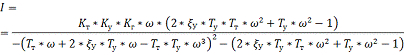
Определим запас по фазе:
Система обладает достаточным
качеством по фазе, т.к запас по фазе больше минимального предела 20-50
Запас по амплитуде:
Если 
стремится к бесконечности(
), то запас по фазе стремится 
(
).
Система обладает достаточным запасом
по амплитуде т.к. минимальный запас по амплитуде должен быть по модулю 
13дБ.
6.2 Определение качества по переходному
процессу
По графику переходного процесса (рис.6) мы можем
определить:
Что 
А 
Значит время переходного процесса равно
.
Настройка регулятора
В передаточной функции системы отсутствует интегрирующее
звено значит, в регуляторе будет канал И.
В Системе также присутствует такие звенья как
Колебательное, Инерционное, Дифференцирующее
Колебательно звено в системе устраняем.
Значит, используем ПИД-регулятор.
Получим передаточную функцию для регулятора:
Получим схему в МВТУ:
Рис.11. Схема с ПИД-регулятором
Рис.12. График переходного процесса с
ПИД-регулятором
График является апериодическим, значит время
переходного процесса получится:
Величина перерегулирования равна:
Количество периодов равно:
Рис.13. Логарифмические характеристики с
ПИД-регулятором
Запас по фазе равен:
Запас по амплитуде равен:
Рис.14. Годограф Найквиста с ПИД-регулятором
Вывод: годограф Найквиста не охватывает точку -1j
0, система устойчива.
Рис.15. Годограф Михайлова с ПИД-регулятором

Вывод: годограф Михайлова уходит в бесконечность
в 1 квадранте, система устойчива.
Заключение
В курсовой работе мы нашли передаточные функции
элементов, по ним составили структурную схему. Из передаточных функций
элементов получили: передаточную функцию системы, передаточную функцию
замкнутой системы, передаточную функцию замкнутой системы по ошибке.
Построили АФЧХ системы. Построили
асимптотическую ЛАХ и ЛФХ. И Построили ЛАХ и ЛФХ в программе МВТУ.
По критерию Гурвица - система является
устойчивой.
По критерию Найквиста - система устойчива.
По критерию Михайлова - система устойчива.
Определили статическую ошибку 
, скоростную ошибку 
, ошибку от ускорения 
.
Определили запас по фазе:
Запас по амплитуде:
Подобрали регулятор, им оказался
ПИД-регулятор, определили устойчивость системы с регулятором и основных
критериев качества.
Библиографический список
1. Федотов А.В. «Теория
автоматического управления конспект лекций», 2007 год Омск.
2. Методические указания к
курсовой работе по дисциплине «Теория управления» составители Г.Н. Коуров, В.Ц.
Зориктуев, Б.У. Шарипов, Уфа 2001 г.
. В.А. Бесекерский «Сборник
задач по теории автоматического регулирования и управления», Москва 1989г.