Теоретическая механика (статика, кинематика, динамика)
1. Аксиомы статики
В основе статики лежат аксиомы, устанавливающие
основные свойствасил, приложенных к материальной точке и абсолютно твердому
телу.
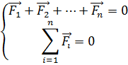
Аксиома I (аксиома инерции). Если на
материальную точку действует уравновешенная система сил, то материальная точка
движется равномерно и прямолинейно или находится в состоянии покоя.
Аксиома II (аксиома равновесия двух сил). Для
равновесия двух сил, приложенных к твердому телу необходимо и достаточно, чтобы
эти силы были равны по модулю и направлены по прямой, соединяющей их точки
приложения, в противоположные стороны (рис. 1).
Рис. 1
Аксиома III (присоединения и исключения
уравновешивающихся сил). Не изменяя действия данной системы сил на тело, можно
прибавить к этой системе или отнять от нее любую систему взаимно
уравновешивающихся сил.
Аксиома IV (параллелограмма сил).
Равнодействующая двух сил, приложенных к твердому телу в одной точке, равна их
геометрической сумме, т.е. выражается диагональю параллелограмма, построенного
на этих силах.
Это положение выражается следующим
геометрическим равенством:

Аксиома V (закон равенства действия
и противодействия). Всякое действие вызывает равное и противоположно
направленное противодействие. Или если тело А действует на тело В с силой Р1,
то тело В действует на тело А с силой: 
Аксиома VI (принцип
отвердения). Если упругое тело находится в состоянии покоя, а затем мгновенно
затвердевает, то равновесие при этом не нарушается.
. Связи, реакции связи, аксиомы
связи
Твердое тело называют свободным,
если оно может перемещаться в пространстве в любом направлении.
Тело, ограничивающее свободу движения
данного твердого тела, является по отношению к нему связью.
Твердое тело, свобода движения
которого ограничена связями, называется несвободным.
Все силы, действующие на несвободное
твердое тело, наряду с делением на внешние и внутренние силы, можно так же
разделить на задаваемые или активные силы и реакции связей.
Задаваемые силы выражают действие на
твердое тело других тел, вызывающих или способных вызвать изменение его
кинематического состояния.
Реакцией связи называется сила или
система сил, выражающая механическое действие связи на тело.
Рис. 2
Одним из основных положений механики
является принцип освобождаемости твердых тел от связей, согласно которому
несвободное твердое тело можно рассматривать как свободное, на которое, кроме
задаваемых сил, действуют реакции связей.
Простое соприкосновение тел. Связь в
виде гладкой плоскости или поверхности (рис. 3). Реакция связи 
всегда направлена по нормали к
опорной поверхности.
Рис. 3
. Сходящиеся силы, многоугольник
сил. Равновесие сходящихся сил
Системой сходящихся сил называется
система сил, линии действия которых пересекаются в одной точке.
Рис. 4
Применяем правило параллелограмма -
складываем первые две силы. Для наглядности рассматриваем силовой треугольник.
Далее последовательно складываем все силы.
В результате схождения сил каждый
последующий вектор откладываются параллельно самому себе от краешка предыдущего
вектора, в результате - получаем ломанную линию. Замыкающая сторона
представляет собой вектор Fравнодейств.
Общий результат:
Равнодействующая сходящихся сил
равна геометрической векторной сумме исходных сил и её линия действия проходит
через точку О в которой эти силы сходятся.
Для практики важен случай, когда
изучаемые силы уравновешиваются.

, следовательно 
Ясно, что в случае уравновешивания
многоугольник сил - замкнутый.
. Теорема трех непараллельных силах
Линии действия трех непараллельных
взаимно уравновешивающихся сил, лежащих в одной плоскости, пересекаются в одной
точке. Пусть к твердому телу в точках А1, А2, А3,
приложены три непараллельные взаимно уравновешивающиеся силы P1 P2 P3 (все Р с
векторами), лежащие в одной плоскости (рис. 5). Перенесем силы P1 P2 в точку О
пересечения линий их действия и найдем равнодействующую R, которая
будет приложена в этой же точке. Сила P3 , будучи
уравновешивающей, системы сил P1 P2, равна по
модулю их равнодействующей R и направлена по линии ее действия в
противоположную сторону. Следовательно, линия действия силы P3 проходит
через точку О, что и требовалось доказать.
Рис. 5
. Пара cил. Свойства
пары сил
Систему двух равных по модулю
параллельных сил, направленных в противоположные стороны и не лежащих на одной
прямой, называют парой сил. Плоскость, в которой находиться линия действия пары
сил, называется плоскостью действия пары сил. Любые две силы, кроме сил,
образующих пару, можно заменить равнодействующей. Пара сил не имеет
равнодействующей и никакими способами пару сил нельзя преобразовать к одной
эквивалентной силе. Пара сил стремится произвести вращение твердого тела, к
которому она приложена. Пара- такой же самостоятельный простейший механический
элемент, как и сила. Кратчайшее расстояние между линиями сил, образующих пару,
называют плечом пары d. Действие пары на тело характеризуется моментом,
стремящимся вращать тело. Произведение модуля одной из сил пары на ее плечо
называют моментом пары и обозначают M = Pd.
Момент пары сил изображают вектором
(рис. 6). Вектор момента пары сил, направляют перпендикулярно к плоскости
действия пары сил в такую сторону, чтобы, смотря навстречу этому вектору,
видеть пару сил, стремящуюся вращать плоскость ее действия в сторону, обратную
вращению часовой стрелки.
Рис. 6
При этом если пара сил вращает тело
против часовой стрелки, то момент такой пары считается положительным, если по
часовой стрелке, то момент считается отрицательным.
Свойства пар.
Не изменяя действия на тело, пару
сил можно:
. Как угодно перемещать в ее
плоскости;
. Переносить в любую плоскость,
параллельную плоскости действия этой пары;
. Изменять модуль сил и плечо пары,
но так, чтобы ее момент (т.е. произведение модуля силы на плечо) и направление
вращения оставались неизменными;
. Алгебраическая сумма проекций сил,
образующих пару, на любую ось равна нулю;
. Алгебраическая сумма моментов сил,
образующих пару, относительно любой точки постоянна и равна моменту пары.
6. Условие эквивалентности пар сил.
Сложение пар сил.
Пары сил в пространстве эквивалентны,
если их моменты геометрически равны. Из приведенных теорем следует, что, не
изменяя действие пары сил на твердое тело, пару сил можно переносить в любую
плоскость, параллельную плоскости ее действия, а также изменять ее силы и
плечо, сохраняя неизменным модуль и направление ее момента. Таким образом,
вектор момента пары сил можно переносить в любую точку, т.е. момент пары сил
является свободным вектором. Вектор момента пары сил определяет все три ее
элемента: положение плоскости действия пары, направление вращения и числовое
значение момента.
Сложение пар сил:
Геометрическая сумма моментов
составляющих пар сил равна моменту эквивалентной им пары.
Установленное правило сложения
моментов пар сил называется правилом параллелограмма моментов. Построение
параллелограмма моментов можно заменить построением треугольника моментов.
Применяя построение параллелограмма или треугольника моментов, можно решить и
обратную задачу, т.е. разложить любую пару сил на две составляющие.
Пусть требуется сложить несколько
пар сил, расположенных произвольно в пространстве. Определив моменты этих пар
их можно перенести в любую точку О пространства. Складывая последовательно
моменты этих пар сил, можно построить многоугольник моментов пар, замыкающая
сторона которого определит момент эквивалентной им пары сил (рис. 7).
Рис. 7
Момент пары сил, эквивалентной
данной системе пар сил в пространстве, равен геометрической сумме моментов
составляющих пар сил

=
Таким образом пары сил, произвольно
расположенные в пространстве, взаимно уравновешиваются(находится в равновесии),
если геометрическая сумма их моментов равна нулю.
Система пар, лежащих в одной
плоскости или параллельных плоскостях, эквивалентна одной равнодействующей паре
М, момент которой равен алгебраической сумме моментов слагаемых пар, т.е.
Плоская система пар находится в
равновесии, если алгебраическая сумма моментов всех пар равна нулю, т.е.

7. Момент силы относительно точки.
Алгебраический подход: 
Алгебраическая величина момента силы
относительно точки равна произведению модуля этой силы на плечо изучаемой силы,
относительно указанной точки, причём выбор производиться следующим образом:
Векторный подход
Рис. 8
Вектор момента силы относительно
некоторой точки О равен:
Вектор момента силы равен вектору
произведения радиус-вектора точки приложения силы на вектор изучаемой силы.
. Момент силы относительно оси
Алгоритм расчёта осевого момента:
. Проводим плоскость перпендикулярно
L, фиксируем
точку О.
. Проецируем силу F на
плоскость.
. Определяем плечо h
относительно оси.
Алгебраическая величина момента силы
равна произведению модуля проекции F на плечо h: 
Выбор знака:
Из алгоритма вычисления осевого
момента, ясно, что осевой момент:
Расчёты показывают, что
алгебраическая величина осевого момента сил равна проекции на эту ось момента
изучаемой силы, относительно точки О принадлежащей оси:

. Главный момент системы сил
относительно точки и оси
Пусть имеем в пространстве
произвольную систему сил. Возьмём любую точку О.
Рис. 9
В точке О образуется пучок векторов,
называемым главным моментом
Имеем в пространстве вектор,
проходящий через точку О.
Вычислим для каждой силы осевой
момент сложим между собой.
Получим главный осевой момент
исходной системы сил.
Представление векторного момента
через его компоненты:
На практике встречаются случаи,
когда изучаемая система сил полностью располагается на плоскости.
Все эти векторы перпендикулярны
одной и той же плоскости, т.е. они все параллельны.
Значит для плоской системы сил
достаточно алгебраической трактовки моментов.
10. Теорема о главном моменте
Главный момент сил, составляющих
пару относительно произвольной точки на плоскости действия пары, не зависит от
положения этой точки и равен моменту этой пары сил.
. Приведение силы к центру
Применяя метод Пуансо можно привести
систему сил, произвольно расположенных в пространстве к заданному центру О.
Геометрическая сумма всех сил системы называется главным вектором системы сил,
и в отличие от равнодействующей R обозначается R*. Таким образом, силы
произвольно расположенные в пространстве, можно привести к одной силе, равной
их главному вектору и приложенной в центре приведения, и к паре сил с моментом,
равным главному моменту всех сил относительно центра приведения .

=
Выбор центра приведения не
отражается на модуле и направлении главного вектора, но влияет на модуль и
направление главного момента. Пользуясь методом приведения произвольной системы
сил к заданному центру.
. Приведение системы сил к центру
Пусть дана сила P, приложенная к
твердому телу в точке А, и произвольная точка О, которую назовем центром
приведения . Проведем из точки О в точку А радиус-вектор и определим момент
силы относительно центра приведения:

Приложим в точке О две
уравновешивающиеся силы P/ и P//, равные и параллельные
силе P. Получим эквивалентную силе P систему сил P,P/ и P//,
которую можно рассматривать как совокупность силы P//, приложенной в
центре приведения О и присоединенной пары сил P,P/ .
Рис. 10
Опустив из точки О перпендикуляр на
линию действия силы P, получим плечо этой пары сил и найдем модуль ее момента.
равный модулю момента силы P
относительно центра приведения О.
Вектор момента присоединенной пары
сил направлен перпендикулярно к плоскости пары P,P/, совпадающей с
плоскостью треугольника ОАВ в ту сторону, с которой пара P,P/
представляется стремящейся вращать эту плоскость в сторону, обратную вращению
часовой стрелки. Приложив его как свободный вектор в центре приведения О,
убедимся, что его направление совпадает с направлением вектора Mo
момента силы P относительно центра приведения. Так как эти векторы равны по
модулю и совпадают по направлению, то они геометрически равны, т.е.
Таким образом, силу P не изменяя ее
действия на твердое тело, можно перенести из точки приложения А в любой центр
приведения О, приложив при этом к телу пару сил с моментом M, геометрически
равным моменту Mo этой силы относительно центра приведения.
Этот метод был предложен французским
ученым Пуансо и называется приведением силы к заданному центру.
. Возможные варианты приведения сил
на плоскости
) 
силы уравновешиваются.
) 
приводится к 1 паре сил.
) 
в этом случаи 
Линия действия силы которой проходит
через точку О.
) Главный вектор не равен 0 и
главный момент не равен 0 
В этом случае изучаемая система сил
приводится к равнодействующей линия действия силы которой не проходит через
центр приведений.

Рис. 11

(

.

представим как 
образуем пару, где 
и тогда плечо этой пары сил (
(см.рис.) Располагаем так как
показано на рисунке т.е. 
силовой нолик убираем в результате 
линия действия которой смещена от
центра приведения на расстояние h т.е. линия действия не проходит, а
сама равнодействующая существует. Именно в этом суть варианта 4.Если силы
лежащие в 1 плоскости не уравновешиваются (вар. 2,3,4) то эти силы приводятся
либо к 1 силе (вар. 3,4) либо к 1 паре сил.
Вариант 1 характерно уравнение I плоскости.
. Пространственная система сил,
приведение к центру, алгоритм
Возможны следующие варианты:
. 
исходные системы мил
уравновешиваются.
. 
пара сил исходная система сил
преобразуется к 1 паре сил момент которой равен главному моменту изучаемой
системы относительно центра приведения.
.
→
и линия этой равнодействующей
проходит через центр приведений.
.
дальше мы покажем, что в этом
случае исходная система сил приводится к 1 равнодействующей силе линия которой
не проходит через центр приведений.
Ясно что частным случаям варианта 4
является уже изученный вариант плоской системы сил потому что для плоской
системы сил всегда 
.
ортогональность отсутствует.
Исходная система сил преобразуется и даёт силовой винт.
Вариант 1-4 содержит как частный
случай плоскую систему сил. 5 вариант возможен только для пространственных сил.
. Теорема Вариньона о моменте
равнодействующей силы (плоский и пространственный случай, осевой вариант) Без
доказательства, но дать пример применения

- теорема Вариньона

.
Момент равнодействующей плоской
системы сил относительно некоторой точки на плоскости равен алгебраической
сумме отдельных сил системы относительно этой точки.
. Теорема Вариньона даёт возможность
вычислить момент равнодействующей силы, не зная саму равнодействующую.
. При решении практических задач
теоремой удобно пользоваться в тех случаях, когда применение обычного правила
для момента сил даёт громоздкие вычисления.
. Уравнения равновесия сил на
плоскости
Из основной теоремы статики следует,
что любая система сил и моментов, действующих на твердое тело, может быть
приведена к выбранному центру и заменена в общем случае главным вектором и
главным моментом.
Для плоской системы сил (например, в
плоскости Oxy ) из этих
уравнений получаются только три: 
=0; 
=0; 
, причем оси и точка o
относительно которой пишется уравнение моментов, выбираются произвольно. Это
первая форма уравнений равновесия.
Уравнения равновесия могут быть
записаны иначе: 
Это вторая форма уравнений
равновесия, причем ось Ox не должна быть
перпендикулярна линии, проходящей через точки A и B .

=0;
Это третья форма уравнений
равновесия, причем точки A, B и C не должны лежать на одной прямой.
Предпочтительность написания форм уравнений равновесия зависит от конкретных
условий задачи и навыков решающего.
17. Статическое определение и статическое
неопределенные задачи
Условия равновесия, в которые входят реакции
связей и которые служат для их определения, называют обычно уравнениями
равновесия.
Задачи, в которых число неизвестных реакций
связей равно числу уравнений равновесия, содержащих эти реакция, называются
статически определенными, а система тел, для которых это имеет место -
статически определенными.
. Уравнение равновесия сил в пространстве
Равнодействующая сходящихся 
сил равна геометрической сумме этих
сил:

= 
+
+…+
Проекция равнодействующей на каждую
из координатных осей равна алгебраической сумме проекций всех составляющих:
X = 
+
+… + Xn
Y =
+
+… +Yn
Z =
+
+… + Zn
где проекции сил вычисляются по
формулам

=

=

=

=

=

=

=

=

=
Вычислив проекции равнодействующей X , Y и Z найдем
модуль и направление ее по формулам:
R=
cos(
)=X/R cos(
)=Y/R cos(
)=Z/R
Таким образом, для сходящихся сил в
пространстве имеем следующие триуравнения равновесия:
∑Xi= 0,
∑Yi= 0,
∑Zi= 0.
19. Силы трения: трение сцепления,
трение скольжения
Трение - диссипативный процесс,
сопровождающийся выделением тепла, электризацией тел, их разрушением и т.д.

Максимальное значение силы трения
пропорционально давлению N тела на опорную поверхность. Коэффициент
пропорциональности f называют коэффициентом трения скольжения.
Экспериментальные исследования
позволили установить ряд свойств силы трения: 1) силы трения зависят от
материала и физического состояния поверхностей трущихся тел; 2) трение
скольжения почти не зависит от величины относительной скорости трущихся тел; 3)
сила трения покоя больше силы трения движения; 4) трение возрастает при
увеличении предварительного контакта между телами; 5) предельная величина силы
статического трения скольжения пропорциональна силе нормального давления.




Трение качения
При увеличении силы Q расстояние
от центра катка до линии действия реакции N, чтобы
уравновесить систему, должно увеличиваться. Но это смещение имеет известный
предел, зависящий от материала соприкасающихся тел
. Конус сцепления. Область
равновесия
Основное свойство конуса сцепления
состоит в следующем, если равнодействующая всех активных сил такая, что линия
действия распологаеться внутри конуса сцепления, то тело останется в равновесии
при сколь угодно большой нагрузке 
, если же линия вращения находиться 
, то движение
Рис. 12
Область равновесия, это та область,
где конусы пересеклись.
. Инвариантность системы сил
Инварианты системы сил - это
величины, которые не изменяются при изменении ЦП.

.
Главный вектор системы сил не
зависит от выбора ЦП. 
Главный вектор является векторным
вариантом системы сил.
Формула говорит о том, что главный
момент системы сил не является инвариантом в общем случае; он зависит от выбора
ЦП.
Скалярное произведение главного
вектора на главный момент системы сил не зависит от выбора центра приведения.
. Центр параллельных сил
Параллельные силы в пространстве не
приводятся к силовому винту. Всегда приводятся параллельные силы к
равнодействующей.
Декартовы координаты ЦПС:
Свойства центра параллельных
сил:
1. Сумма моментов всех сил Fk
относительно точки C равна нулю 
. Если все силы повернуть на
некоторый угол α, не меняя
точек приложения сил, то центр новой системы параллельных сил будет той же
точкой C.
статика кинематика скорость сила
23. Центр тяжести
G=mg=const;
Если изучаемое тело однородное по плотности, то
G=p*
Центром тяжести твердого тела
называется центр параллельных сил тяжести элементарных частей этого тела.
Две теоремы о местоположении центра
тяжести однородного тела:
) Если однородное тело имеет ось
симметрию, то центр тяжести этого тела лежит на оси симметрии.
) Если однородное тело имеет
плоскость симметрии, то центр тяжести тела лежит в плоскости симметрии (
альфа).
. Основная идея метода отрицательных
площадей
Две параллельные и направленные в
одну сторону приводятся к одной силе - равнодействующей, приложенной в точке,
делящей прямую на расстояния, обратно пропорциональные величинам сил.
. Момент сил трения, его учёт в
расчётах -момент будет равен произведению внешней силы, уравновешивающей силу
трения, на радиус
С другой стороны, момент трения
равен моменту прижимающей силы 
на плечо, длина которого равна
коэффициенту трения качения f:
. Предмет кинематики. Механическое
движение. Система отсчёта. Траектория точки
Предмет кинематики изучает предмет
движения тел с геометрической точки зрения без учета причины действующих сил.
Механическое движение - изменение
его положения в пространстве относительно других тел с течением времени.
Система отсчёта - твердое тело по
отношению к которому изучаем движение других тел.
Траектория точки - геометрическое
место последовательных положений точки в пространстве в данной системе отсчёта.
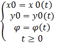
. Три способа задания движения точки
Существует три способа задания
движения точки: естественный, координатный и векторный.
Векторный способ:
Положение точки в пространстве
определяется заданием радиуса-вектора r, проведенного из некоторого
неподвижного центра О в данную точку М.Для определения движения точки нужно
знать, как изменяется с течением времени радиус-вектор r т.е. должна быть
задана вектор-функция r = r(t)
Линия, образованная концами
переменного вектора, начало которого находится в определенной точке
пространства, называется годографом этого
вектора. Следовательно, траектория
точки М является годографом ее радиуса-вектора r
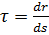
Естественный способ:
Величина называется радиусом
кривизны в данной точке кривой. Ось , направленная по касательной в сторону
движения, и ось п, направленная по радиусу к центру кривизны и называемая
нормалью, образуют естественные оси координат.
Координатный способ:
При координатном способе задают
закон движения точки в координатной форме, т.е. координаты движущейся точки как
функции времени:
х = f1(t), y = f2(t),
z = f3(t).
Если точка движется в плоскости, то
задают два уравнения движения:
х = f1(t), y = f2(t),
28. Скорость точки для всех 3-х способов
описания движения
. При векторном способе задания движения
положение движущейся точки в каждый момент времени определяется
радиусом-вектором r, который является функцией времени r= r(t
) вектор скорости точки в данный момент равен производной от радиуса-вектора
точки по времени.
Вектор скорости точки направлен по касательной к
траектории в сторону движения точки
. Скорость точки при задании ее движения
естественным способом:


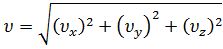
. Скорость точки при задании ее
движения координатным способом
Имеем уравнения: X=X(t); Y=Y(t); Z=Z(t)
Продифференцировав по времени
уравнения движения, находим
составляющие скорости по осям
координат:



Проекции скорости точки на
неподвижные оси координат равны первым
производным от соответствующих
координат точки по времени
Модуль и направление вектора
скорости определяется по правилу геометрического сложения:

29. Ускорение точки для всех 3-х способов
ускорения движения
Ускорение точки характеризует быстроту изменения
модуля и направления скорости точки.
. Ускорение точки при задании ее движения
векторным способом
вектор ускорения точки равен первой производной
от скорости или второй производной от радиуса-вектора точки по времени. Вектор
ускорения направлен в сторону вогнутости кривой

. Ускорение точки при задании ее
движения координатным способом

; 
; 
Модуль и направление вектора
ускорения определяются из соотношений:
. Определение ускорения при задании
ее движения естественным способом
При естественном способе задания
движения ускорение точки равно геометрической сумме двух векторов, один из
которых направлен по главной нормали и называется нормальным ускорением, а
второй направлен по касательной и называется касательным ускорением точки.

;
;
. Естественные оси и естественный
трехгранник
Естественные оси. Кривизна
характеризует степень искривленности (изогнутости) кривой. Так, окружность
имеет постоянную кривизну, которую измеряют величиной K, обратной
радиусу, 
Чем больше радиус, тем меньше
кривизна, и наоборот. Прямую линию можно рассматривать как окружность с
бесконечно большим радиусом и кривизной, равной нулю. Точка представляет
окружность радиусом R = 0 и имеет бесконечно большую
кривизну.
Произвольная кривая имеет переменную
кривизну. В каждой точке такой кривой можно подобрать окружность радиусом ,
кривизна которой равна кривизне кривой в данной точке М (рис. 9.2). Величина
называется радиусом кривизны в данной точке кривой. Ось , направленная по касательной
в сторону движения, и ось 
, направленная по радиусу к центру
кривизны и называемая нормалью, образуют естественные оси координат.
Рис. 13
. Нормальное и касательное ускорение
точки
При естественном способе задания
движения ускорение точки равно геометрической сумме двух векторов, один из
которых направлен по главной нормали и называется нормальным ускорением, а
второй направлен по касательной и называется касательным ускорением точки.
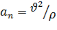
где 
Проекция ускорения точки на главную
нормаль равна квадрату модуля скорости тоски, деленному на радиус кривизны
траектории в соответствующей точке. Нормальное ускорение точки всегда
направлено к центру кривизны траектории и равно по модулю этой проекции.
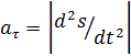
Изменение скорости по модулю
характеризуется касательным (тангенциальным) ускорением 
.
т.е. проекция ускорения точки на
касательную равна второй производной от дуговой координаты точки по времени или
первой производной от алгебраической величины скорости точки по времени.
Эта проекция имеет знак плюс, если
направления касательного ускорения и орта 
совпадают, и знак минус, если они
противоположны.
Таким образом, в случае
естественного способа задания движения, когда известны траектория точки а,
следовательно, ее радиус кривизны ρ в любой точке и уравнение
движения 
, можно найти проекции ускорения
точки на естественные оси :
Если a > 0 и
> 0 или a < 0 и
< 0, то движение ускоренное и вектор а направлен в сторону вектора скорости.
Если а < 0 и > 0 или а > 0 и < 0, то движение замедленное и вектор
а направлен в сторону, противоположную вектору скорости
Частные случаи.
. Если точка движется прямолинейно и
неравномерно, то = , и,следовательно, 
= 0, a = a.
. Если точка движется прямолинейно и
равномерно, 
= 0, a = 0 и a = 0.
. Если точка движется по
криволинейной траектории равномерно, то а = 0 и а = 
. При равномерном криволинейном
движении точки закон движения имеет вид s = t. Положительное направление
отсчета целесообразно назначать в задачах в зависимости от конкретных условий.
В случае, когда 0 = 0, получаем = gt и 
. Часто в задачах используется (при
падении тела с высоты Н без начальной скорости) формула
= 
Вывод: нормальное ускорение
существует лишь при криволинейном
. Классификация движения точки по её
ускорению
. 
если в течение некоторого промежутка
времени нормальное и касательное ускорения точки равны нулю, то в течение этого
промежутка не измениться ни направление, ни модуль скорости, т.е. точка
движется прямолинейно равномерно и ее ускорение равно нулю.
. 
≠ 0, 
=0
если в течение некоторого промежутка
времени не равно нулю нормальное ускорение и равно нулю касательное ускорение
точки, то происходит изменение направления скорости без изменения ее модуля,
т.е. точка движется криволинейно равномерно и модуль ускорения 
.
Если 
в отдельный момент времени, то
точка не движется равномерно, а в этот момент времени модуль ее скорости имеет
максимум, минимум или наименьшую быстроту монотонного изменения.
. 
если в течение некоторого промежутка
времени равно нулю нормальное ускорение точки и не равно нулю касательное, то
не изменяется направление скорости, а изменяется ее модуль, т.е. точка движется
по прямой неравномерно. Модуль ускорения точки в этом случае

.
При этом если направление векторов
скорости и 
совпадают, то движение точки ускоренное,
а если не совпадают, то движение точки замедленное.
Если 
в некоторый момент времени, то
точка не движется прямолинейно, а проходит точку перегиба траектории или модуль
ее скорости обращается в нуль.
.
.
Если в течение некоторого промежутка
времени ни нормальное, ни касательное ускорения не равны нулю, то изменяется
как направление, так и модуль ее скорости, т.е. точка совершает криволинейное
неравномерное движение. Модуль ускорения точки

;
при этом если направление векторов
скорости и 
совпадают, то движение ускоренное,
а если противоположны, то движение замедленное.
Если модуль касательного ускорения
постоянен, т.е. 
, то модуль скорости точки
изменяется пропорционально времени, т.е. точка совершает равнопеременное
движение. И тогда

- формула скорости равнопеременного
движения точки;

- уравнение равнопеременного
движения точки
33. Кинематика точки
Есть три способа задания движения точки:
естественный, координатный и векторный. Естественный способ:
Линию, описываемую движущейся точкой
относительно выбранной системы отсчета, наз. траекторией точки. Форма
траектории зависит от выбора системы отсчета. Если траектория точки прямая
линия, то движение точки прямолинейное, кривая линия - криволинейное. При
естественном способе задают траекторию: s = f(t) (s -
расстояние, пройденное точкой от начала отсчета). Кривизна характеризует
степень искривленности кривой. Так, окружность имеет постоянную кривизну K =
.
Рис. 14
Координатный способ:
х = f1(t), y = f2(t), z = f3(t).
уравнение движения точки в
декартовых координатах. Если точка движения в плоскости, задают 2 уравнениями
движения: х = f1(t), y = f2(t). Уравнения движения можно
рассматривать как уравнения траектории в параметрической форме, где параметром
является время t. Способы исключения t зависят от условия задачи.
Векторный способ:
Для определения движения точки нужно
знать, как изменяется с течением времени радиус-вектор r, т.е. должна быть
задана вектор-функция r аргумента t: 
=
(t) Линия,
образованная концами переменного вектора, начало которого находится в
определенной точке пространства, называется годографом этого вектора.
траектория точки М является годографом ее радиуса-вектора.
Рис. 15
. Поступательное движение тела
Движение твердого тела называют
поступательным, если любой прямолинейный отрезок, неизменно связанный с телом,
остается в процессе движения параллельным самому себе. При поступательном
движении твердого тела все точки его описывают тождественные траектории.
Свойства:
. Все точки тела, которые движутся
поступательно имеют одинаковую траекторию.
. Скорости и ускорения всех точек
поступательно движущегося тела по модулю и направлению равны между собой.
. Вращательное движение тела
Движение твердого тела называют
вращательным, если в движущемся теле или вне его имеется ось вращения, которая
при вращении, остается неподвижной, а плоскость, проведенная через эту ось и
произвольную точку тела, совершает поворот вокруг оси. Законом вращательного
движения тела вокруг неподвижной оси, называют равенство, при помощи которого
задается угол поворота 
(t).Уравнением вращательного
движения тела: 
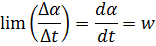
. Быстроту и направление изменения
угла поворота с течением времени характеризует угловая скорость

, t
0 .
Если 
, то угол поворота увеличивается,
т.е. вращение происходит в положительном направлении отсчета угла поворота,
если 
, то угол поворота уменьшается, т.е.
тело вращается в обратную сторону.
Для характеристики быстроты
изменения угловой скорости служит угловое ускорение

.
Если 
и
направлены в одну сторону (
> 0,
> 0 или 
< 0, 
< 0), то вращение ускоренное,
если 
и 
направлены в разные стороны (
< 0, > 0 или 
> 0,
< 0), то вращение замедленное.

- скорость точки при вращательном
движении тела.
Вращательное ускорения точки 
; центростремительное ускорения

Модуль полного ускорения точки
определяется:

=
При равномерном вращении ускорение
точки является центростремительным, а его модуль 
и ускорение направлено к центру
окружности, описываемой этой точкой. Тангенс угла β,
составленного ускорением и радиусом окружности




Рис. 16
. Плоское движение тела (кинематическая модель)
Движение тела называется плоским если каждая
точка этого тела перемещается все время параллельно в некоторой фиксированной
плоскости α.
Рис. 17
Расстояние MN
может меняться, но точка перемещается параллельно (α).
Таким образом, действительное движение плоской
фигуры в ее плоскости в каждый момент времени можно рассматривать как
совокупность поступательного движения и вращения. Поступательная часть движения
фигуры зависит от выбора полюса и определяется его движением.
Из вышеизложенного следует, что
плоскопараллельное движение является сложным, состоящим из переносного поступательного
движения вместе с выбранным полюсом и относительного вращательного движения
вокруг полюса. Отметим, что скорость поступательного движения зависит от выбора
полюса, а угловая скорость вращательного движения не зависит от выбора полюса.
. Уравнения плоского движения

Плоское движение тела имеет 3
степени свободы которые характеризуются 3-мя уравнениями.
38. Теорема о линейной скорости
точки тела при плоском движении
Рис. 18

(t)=
(t) + (
) t≥0

= 
= 
+ 
(∆1)

= const, t≥0

= 
= (


) (∆2)
Учитывая ∆1 и ∆2
получаем

+ 
(31)

= (


) (32)
Мы доказали теорему (31)
которая гласит: При плоском движении тела линейная скорость любого тела равна
сумме векторов 2 скоростей.
. МЦС и все его свойства
Пользуясь теоремой о скоростях точек
плоской фигуры, покажем, что в каждый момент времени существует точка Р,
неизменно связанная с плоской фигурой, скорость которой в этот момент равна
нулю, т. е. υP = 0. Точку
Р называют мгновенным центром скоростей плоской фигуры.
Допустим, что известна скорость
некоторой точки О плоской фигуры 
О и угловая
скорость фигуры ω в некоторый
момент времени. Примем точку О за полюс. Тогда скорость любой точки фигуры
будет равна геометрической сумме скорости полюса 
О и
вращательной скорости точки вокруг этого полюса (*). Восстановим в точке О
перпендикуляр к направлению скорости 
О так, чтобы
направление поворота скорости 
О к этому
перпендикуляру совпадало с направлением вращения фигуры. Найдем такую точку Р,
вращательная скорость которой равна по модулю скорости полюса,
т.е.

.
Так как направления этих точек
противоположны, то 
.Скорость точки P: 
. Следовательно, точка P- МЦС.
Определим положение т.P 
, откуда 
. Следовательно, мгновенный центр
скоростей плоской фигуры находится на перпендикуляре к направлению скорости
полюса, на расстоянии от полюса, равном 
.
Следствие 1.скорость любой точки
плоской фигуры в каждый момент времени имеет модуль, равный произведению
угловой скорости фигуры на длину отрезка, соединяющего точку с мгновенным
центром скоростей, и направлена перпендикулярно к этому отрезку в сторону
вращения фигуры. Следствие 2.модули скоростей точек плоской фигуры в каждый
момент времени пропорциональны расстояниям от этих точек до мгновенного центра
скоростей.
Чтобы определить скорости точек
плоской фигуры при помощи МЦС, необходимо знать положение МЦС и угловую
скорость фигуры.
40. Способы отыскания МЦС
1. Известны вектор скорости одной точки υ
А и угловая скорость вращения плоской фигуры. Мгновенный центр скоростей
находится на перпендикуляре, восставленном из точки А к вектору скорости, на
расстоянии

.
Если мгновенный центр скоростей при
движении тела остается неподвижным, то плоское движение превращается во
вращательное.
. Известны только направления
скоростей двух точек А и В, причем линии действия векторов скоростей
пересекаются. Мгновенный центр скоростей находится в точке пересечения
перпендикуляров, восстановленных в этих точках, к направлению их скоростей. Так
как υ А= РА и υ В= РВ , то
модули скоростей точек прямо пропорциональны расстояниям до мгновенного центра
скоростей т. е.

,
(1)
Если скорости двух точек параллельны и направлены
в одну сторону, а прямая, соединяющая эти точки, не перпендикулярна к
направлению скоростей, то тело движется поступательно.
3. Известны векторы скоростей двух
точек 
и 
причем 
и 
параллельны и направлены в одну
сторону. Прямая, соединяющая эти точки, перпендикулярна к направлению
скоростей. Мгновенный центр скоростей находится на пересечении прямой,
проведенной через концы векторов 
и 
, продолжением отрезка АВ (рис. 19).
Скорости связаны отношением Если 
= 
, то в данный момент тело движется
поступательно. В этом случае мгновенный центр скоростей находится в
бесконечности, скорости всех точек плоской фигуры геометрически равны, а
скорость вращения вокруг любого полюса равна нулю, = 0.
Рис. 19
. Векторы 
и 
параллельны, но направлены в разные
стороны. Мгновенный центр лежит на отрезке АВ и делит его на части РА, РВ (рис.
19) согласно условию (1).
. Плоская фигура катится без
скольжения по неподвижной кривой (рис.19).
Мгновенный центр скоростей Р
находится в точке касания фигуры с кривой.
. Решение задач с помощью МЦС
При решении задач на плоскопараллельное движение
необходимо знать, как определять скорости точек в различных случаях:
1. Известны вектор скорости одной
точки 
и угловая скорость вращения плоской
фигуры (рис. 19). Мгновенный центр скоростей находится на перпендикуляре,
восставленном из точки А к вектору скорости, на расстоянии

.
Если мгновенный центр скоростей при
движении тела остается неподвижным, то плоское движение превращается во
вращательное.




Рис. 20
. Известны только направления
скоростей двух точек А и В, причем линии действия векторов скоростей
пересекаются. Мгновенный центр скоростей находится в точке пересечения перпендикуляров,
восстановленных в этих точках, к направлению их скоростей, (рис).
Так как 
и 
, то модули скоростей точек прямо
пропорциональны расстояниям до мгновенного центра скоростей т. е.
Если скорости двух точек параллельны
и направлены в одну сторону, а прямая, соединяющая эти точки, не
перпендикулярна к направлению скоростей, то тело движется поступательно.
. Известны векторы скоростей двух
точек 
и 
причем 
и 
параллельны и направлены в одну
сторону. Прямая, соединяющая эти точки, перпендикулярна к направлению
скоростей. Мгновенный центр скоростей находится на пересечении прямой,
проведенной через концы векторов 
и 
, продолжением отрезка АВ (рис 20).
Скорости связаны отношением/
Если 
= 
, то в данный момент тело движется
поступательно. В этом случае мгновенный центр скоростей находится в
бесконечности, скорости всех точек плоской фигуры геометрически равны, а
скорость вращения вокруг любого полюса равна нулю.
. Теорема о центре поворота, о
центре вращения подвижной и неподвижной центроиды
Мгновенный центр скоростей
характеризует распределение скоростей точек плоской фигуры в данный момент
времени.
Теорема Шаля:
Плоскую фигуру можно переместить из
одного положения в любое другое положение на плоскости одним поворотом этой
фигуры вокруг некоторого неподвижного центра.
Отсюда следует, что предельным
положением центра поворота при стремлении времени перемещения плоской фигуры к
нулю является точка неподвижной плоскости, с которой в данный момент времени
совпадает мгновенный центр скоростей плоской фигуры. Таким образом, точка с
которой в данный момент времени совпадает мгновенный центр скоростей называется
мгновенным центром вращения фигуры.
Понятие центроиды.
Неподвижная центроида -
геометрическое место мгновенных центров вращения на неподвижной плоскости.
Рис. 21
Подвижная центроида - геометрическое
место мгновенных центров скоростей на движущейся фигуре. Эта кривая неизменно
связана с плоской фигурой и движется вместе с ней. Таким образом, при движении
плоской фигуры в ее плоскости подвижная центроида МN катится без скольжения по
неподвижной центроиде КL (рис.21). Точка соприкасания этих центроид является в
данный момент мгновенным центром скоростей. Это положение представляет собой
теорему Пуансо о качении подвижной центроиды по неподвижной, которая
формулируется так: при действительном движении плоской фигуры подвижная центроида
катится без скольжения по неподвижной центроиде. Данная теорема иллюстрируется
качением колеса по рельсу без скольжения. В этом случаи МЦС находиться в точке
касания колеса с рельсом; неподвижной центроидой является прямая КL, а
подвижной - окружность (рис. 22).

рис. 22
. Теорема о подсчёте линейного
ускорения
Движение плоской фигуры в ее
плоскости можно рассматривать как совокупность двух движений: поступательного
движения фигуры вместе с полюсом и ее вращения вокруг полюса.
Ускорения точек плоской фигуры
определяются следующей теоремой:
Ускорение любой точки плоской фигуры
равно геометрической сумме ускорения полюса и ускорения этой точки в ее
вращении вместе с плоской фигурой вокруг полюса.
Рис. 22
Для установления этой зависимости
допустим, что известны ускорение aО некоторой точки О плоской фигуры и
алгебраические величины угловой скорости и углового ускорения плоской фигуры и
, т.е. кроме модулей и , известны направление вращения плоской фигуры в данный
момент времени и характер ее вращения (ускоренное вращение или замедленное).
При ускоренном вращении вращательное
ускорение направлено по отношению к полюсу в сторону вращения плоской фигуры, а
при замедленном вращении - противоположно, т.е. направление по отношению к
полюсу всегда соответствует направлению углового ускорения.
Следствие 1. Проекция ускорения
любой точки плоской фигуры на ось, проведенную из произвольного полюса через
эту точку, не может быть больше проекции ускорения полюса на ту же ось.
Следствие 2. Концы ускорений точек
неизменяемого отрезка лежат на одной прямой и делят эту прямую на части,
пропорциональные расстояниям между этими точками.
. Мгновенный центр ускорений
Ускорение любой точки плоской фигуры
определяется как геометрическая сумма ускорений полюса и ускорения этой точки
во вращении фигуры вокруг полюса. Покажем, что в каждый момент времени
существует точка плоской фигуры, ускорение которой в этот момент равно нулю.
Рис. 23
Положим, что в данный момент времени
ускорение некоторой точки О плоской фигуры равно aO, фигура вращается ускоренно
в направлении, противоположном направлению вращения часовой стрелки, а модули
угловой скорости и углового ускорения плоской фигуры равны.
Модули ускорений точек плоской
фигуры в каждый момент времени пропорциональны расстояниям от этих точек до
мгновенного центра ускорений, а векторы ускорений составляют с отрезками,
соединяющими эти точки с мгновенным центром ускорений, один и тот же угол
равный arctg/2. Если угол отсчитывать от ускорения точки к отрезку,
соединяющему ее с мгновенным центром ускорений, то направление отсчета угла
совпадает с направлением углового ускорения.
Иначе: в каждый момент ускорения
точек плоской фигуры таковы, как
будто плоская фигура совершает
вращение вокруг неподвижной точки - мгновенного центра ускорений Q; различным
моментам времени соответствуют различные положения мгновенного центра
ускорений.
Мгновенный центр скоростей Р и
мгновенный центр ускорений Q являются различными точками плоской фигуры.
45. Сферическое движение твёрдого
тело, угловая скорость и угловое ускорение тела
Рассмотрим малый промежуток времени 
, которому соответствует поворот
тела на угол 
. Уменьшая величину промежутка
времени 
, т.е. приближая дугу A2B2 к дуге A1B1, получаем
ряд положений оси OC. Предельное положение этой оси Ώ при 
называется мгновенной осью вращения
тела для данного момента t (рис.364).Предел, к которому
стремится отношение 
, когда 
стремиться к нулю, называется
угловой скоростью твердого тела в момент t: 
. В случае сферического движения
вектор угловой скорости тела в данный момент 
откладывается от неподвижной точки O по
мгновенной оси в такую сторону, чтобы, смотря навстречу этому вектору, видеть
вращение тела происходящим против движения часовой стрелки.
Рис. 24
Допустим, что моменту времени t
соответствует вектор угловой скорости 
, а моменту 
- вектор угловой скорости 
(рис. 365). Тогда вектор 
представит собой приращение вектора
угловой скорости за время 
.
Отношение приращения вектора угловой
скорости 
к времени 
определяет вектор среднего углового
ускорения 
. Направление вектора 
совпадает с направлением 
. Предел этого отношения при 
называется угловым ускорением тела
в момент t:

.
Предел отношения приращения
переменного вектора к соответствующему приращению скалярного аргумента есть
векторная производная от этого вектора :

,
т.е. вектор углового ускорения равен
производной от вектора угловой скорости по времени.
. Сферическое движение тела.
Кинематическая модель. Углы Эйлера
Тело сохраняет способ поворачиваться
во круг неподвижной т. О. При этом всё время 
значит траектория т. О может быть
весьма замысловатой но вся эта траектория располагается на сфере центр которой
в т. О а R=ОМ именно
по этому движение сферическое.
Конус соприкасается с плоскостью с
образующей значит в каждый момент времени вершина конуса не подвижна.
Вывод: Конус совершает сферическое
движение.
Кинематическая модель
Простые геометрические рассуждения
показывают что тело, имеющее 1 закреплённую точку можно переместить из 1
положения в другое положение 1 поворотом. Вращение во круг некоторой
воображаемой в пространстве оси 
на некоторый угол 

называется осью вращения тела.
Рис. 25
w - угловая скорость
Углы Эйлера
Рис.26

-углы
В каждое мгновение положение тела
имеющего 1 закреплённую точку определяется единственным образом если нам
известны 3 угла.

-угол собственного вращения

-угол нутации отсчитывается от
неподвижной оси до собственной оси тела.

-угол прицессии
47. Линейная скорость, линейное
ускорение. Качение конуса на неподвижной плоскости
Векторное представление угловой
скорости и углового ускорения тела позволяют записать линейную скорость, а
также касательное и нормальное ускорения произвольной точки тела в виде
следующих векторных произведений:
В этих формулах 
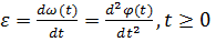
, 
- векторы угловой скорости и
углового ускорения тела, приложенные в произвольной точке О оси вращения, r -
радиус-вектор рассматриваемой точки, проведенный из точки О (рис. 96).
48. Трёхмерное свободное движение тела в
пространстве: кинематическая модель, число степеней свободы, уравнения движения
Уравнение движения - уравнение
<#"801017.files/image251.gif">
Рис. 27
O,X,Y,Z условно
неподвижная система координат т.О -полюс. Свойство трёхмерного движения тела
.Учитывая всё сказанное можем утверждать что положение свойственного твёрдого
тела в пространстве каждое мгновение будет определено если нам будут известны
следующие функции

(1)Декартовые координаты полюса как
функции времени вид этих уравнений зависит от выбора полюса. (2)3 угла Эйлера
как функции времени 3 ур. Координат их вид не зависит от выбора полюса.
(1)+(2) -уравнение свободного
движения в пространстве 3+3=6 они соответствуют 6 степеням свободы твёрдого
тела в пространстве.
. Сложное движение тела основная
терминология (относительное, переносное, абсолютное)
Сложным (составным) называют
движение, слагающееся из нескольких
независимых движений. Например,
сложное движение это движение лодки, переплывающей реку; пассажира по вагону;
движение человека по движущемуся эскалатору.
Движение точки относительно
неподвижной системы отсчета называют абсолютным. Движение точки относительно
подвижной системы отсчета называют относительным. Движение подвижной системы
относительно неподвижной системы отсчета называют переносным. Соответственно,
траекторию, которую совершает точка относительно неподвижной системы отсчета,
называют абсолютной. Траекторию, которую совершает точка по отношению к
подвижной системе отсчета, называют относительной.
Относительная скорость и ускорение 
,
Переносная скорость и ускорение 
,
. Абсолютная скорость
Скорость абсолютного движения в
данный момент времени определяется как геометрическая сумма относительной 
и переносной 
скоростей:

51. Абсолютное ускорение
В случае непоступательного переносного движения
абсолютное ускорение точки равно геометрической сумме переносного,
относительного и кориолисова ускорений.

абсолютное ускорение определяется
замыкающей стороной многоугольника ускорений. При поступательном переносном
движении αe = 0,εe = 0, форма
(1) примет вид:

(2).
Следствие теоремы Кориолиса для (2):
в случае поступательного переносного движения абсолютное ускорение точки равно
геометрической сумме ее переносного и относительного ускорений. Таким образом,
в случае поступательного переносного движения абсолютное ускорение точки
определяется диагональю параллелограмма, построенного на двух составляющих
ускорениях: переносном и относительном.
Модуль абсолютного ускорения точки в
этом случае можно вычислить по формуле:

. Ускорение Кориолиса. Всё о нем
Кориолисовым, или поворотным,
ускорением называется составляющая
абсолютного ускорения точки в
сложном движении, равная удвоенному векторному произведению угловой скорости
переносного вращения на относительную скорость точки:

Кориолисово ускорение характеризует:
.Изменение модуля и направления
переносной скорости точки вследствие ее относительного движения;
.Изменение направления относительной
скорости точки вследствие вращательного переносного движения.
Модуль кориолисова ускорения
определяется как модуль векторного произведения:

Кориолисово ускорение равно нулю в
трех случаях:
.Если 
=0, т.е. в случае поступательного
переносного движения или в моменты обращения в нуль угловой скорости
непоступательного переносного движения;
.Если 
= 0 т.е. в случае относительного
покоя точки или в моменты равенства нулю относительной скорости движущейся
точки.
.Если sin(
,
)=0, т.е. в случае когда угол (
,
)=0 или угол
(
,
)=π, иначе,
когда относительная скорость точки параллельна оси
переносного вращения, как, например,
при движении точки М вдоль образующей цилиндра, вращающегося вокруг своей оси.
Правило Жуковского для определения
направления кориолисова ускорения: Чтобы найти направление кориолисова
ускорения, следует спроектировать относительную скорость на плоскость,
перпендикулярную к оси переносного вращения, и повернуть эту проекцию в той же
плоскости на 90 в сторону переносного вращения.
. Сложное движение тела.
Окончательный вывод о преобразовании нескольких движений к двум элементарным
Сложным (составным) называют движение,
слагающееся из нескольких
- независимых движений. Например, сложное
движение это движение лодки, переплывающей реку; пассажира по вагону.
Рассмотрим движущееся тело А и точку М, не принадлежащую этому телу, а
совершающую по отношению к нему некоторое движение. Через произвольную точку О
движущегося тела проведем неизменно связанные с ним оси x, y, z. Систему осей
Oxyz называют подвижной системой отсчета. Неподвижной системой отсчета называют
систему осей, связанную с некоторым условно неподвижным телом, обычно с землей.
Движение точки относительно
неподвижной системы отсчета называют абсолютным. Движение точки относительно
подвижной системы отсчета называют относительным. Движение подвижной системы
относительно неподвижной системы отсчета называют переносным. Основная задача
изучения движения состоит в установлении зависимостей между скоростями и
ускорениями относительного(
) переносного(
) и абсолютного движений точки(
).

Рис. 28
Например, если человек идет вдоль
радиуса вращающейся платформы (рис. 28), то с платформой можно связать
подвижную систему отсчета, а с поверхностью Земли - неподвижную. Тогда движение
платформы является переносным, движение человека по отношению к ней -
относительным, а движение человека по отношению к Земле - абсолютным.
Переносной скоростью человека υe и его
переносным ускорением αe являются
скорость и ускорение той точки платформы, где находится в данный момент
человека.
В основе построения статики и
кинематики лежат понятия скользящих и свободных векторов. Вполне естественно
поэтому ожидать, что и между теоремами этих разделов имеется внешняя
(формальная, но не физическая) аналогия. Эта аналогия представлена ниже в двух
таблицах.
Таблица 1 Аналогия между типами
векторов
|
Тип
вектора
|
Статика
|
Кинематика
|
|
Скользящий
|
Сила
|
Угловая
скорость
|
|
Свободный
|
Момент
пары сил
|
Момент
пары угловых скоростей (скорость мгновенно поступательного движения)
|
Таблица 2 Аналогия между теоремами статики и
кинематики
|
Статика
|
Кинематика
|
|
Правило
о параллелограмме сил
|
Теорема
о сложении вращений вокруг пересекающихся осей
|
|
Теоремы
о сложении параллельных сил
|
Теоремы
о сложении вращений вокруг параллельных осей
|
|
Теоремы
о парах сил
|
Теорема
о парах вращений
|
|
Теорема
о параллельном переносе силы
|
Теорема
о параллельном переносе угловой скорости
|
|
Теорема
о приведении к динамике
|
Теорема
о приведении к кинематике
|