Сучасні термоелектричні наноматеріали: класифікація і технологія
Державний
вищий навчальний заклад
«Прикарпатський
національний університет імені Василя Стефаника»
Фізико-технічний
факультет
Кафедра
фізики і хімії твердого тіла
ДИПЛОМНА
РОБОТА
на
тему
Сучасні
термоелектричні наноматеріали: класифікація і технологія
Виконав
студент IV курсу
Напряму
підготовки 6.040204 Прикладна Фізика
Василечко
О.М.
Керівник:
Никируй Л. І.
Рецензент:
Запухляк Р. І.
Івано-Франківськ
-2014р.
ВСТУП
Навколишнє середовище наповнене
значною кількістю як, так званої, дармової так і експлуатаційної енергії, яку
людство не використовує, хоча це надзвичайно важливо в час її дефіциту. Тому
проблема перетворення теплової енергії в електричну залишається надзвичайно
актуальною. Не дивлячись на те, що така постановка задачі є загальною і давно
відомою, на сьогоднішній час вона є не до кінця розв’язаною. Справа у тому, що
дуже гостро строїть питання підвищення ефективності такого перетворення.
До середини ХХ століття
термоелектрика дуже повільно розвивалася, однак, використання напівпровідникових
матеріалів спричинило широке практичне застосування таких генераторів.
Недоліком цих пристроїв ще й на сьогодні є їх низька ефективність - від 3 до 8
%, що обмежує більш широке практичне застосування. Якщо вдасться суттєво
покращити термоелектричну ефективність, тоді пристрої, які базуються на
термоелектричному ефекті, зможуть стати важливою частиною вирішення
енергетичної проблеми сьогодення.
Зараз такі перетворювачі
використовуються як джерела електрики на космічних апаратах, застосовуються в
портативних холодильних агрегатах у побуті, в електронному, медичному й
науковому устаткуванні, зокрема для охолодження інфрачервоних приймачів і
оптоелектронних обладнань, для отримання корисної енергії за рахунок
відпрацьованих газів в автомобілях. Однак для нових та економічно вигідних
промислових застосувань термоелектричних перетворювачів енергії необхідно
істотне підвищення їх ефективності.
Підвищення добротності можливе через
наноструктурування. Згідно з (2.1), значення ZT може бути підвищене, коли зменшувати
теплопровідність, а наноструктури мають численні межі які представлені вздовж
зерен термоелектричних матеріалів так, що фонони ефективно розсіюються, за
рахунок чого скорочується теплопровідність.
Підвищені значення ZT наноматеріалів
робить їх перспективними для використання в пристроях охолодження і рекуперації
тепла. Такі матеріали також можуть бути використані в сегментних
термоелектричних пристроях, які працюють при високих температурах. Додатково до
високих значень ZT, нанокомпозити мають кращі механічні властивості, ніж
монокристали. У них відсутня проблема розколювання, яка поширена в сплавах
виготовлених традиційним методом зонної плавки, що призводить до більш
технологічного виготовлення пристроїв і їх системної інтеграції.
РОЗДІЛ 1. ОСНОВНІ ПОНЯТТЯ
ТЕРМОЕЛЕКТРИКИ ТА СУЧАСНІ ВИКЛИКИ
1.1
Термоелектричні ефекти
.1.1 Ефект
Зеєбека
У 1821 р. німецький фізик Томас
Йоган Зеєбек вперше виявив виникнення напруги між двома кінцями металевого
стержня при наявності градієнта температури вздовж нього.
Пізніше було показано, що стрілка
компаса відхиляється, якщо вона розміщена близько від замкнутого кола, яке
складається із двох різнорідних металів з різницею температур між контактами.
Це свідчить про те, що струм, який
протіає по замкнутому колу, зумовлений різницею температур. Різниця температур
викликає рухносіїв заряду (електронів чи дірок) в матеріалі від гарячої сторони
до холодної (рис. 1.1).
Рис. 1.1 Ефект Зеєбека у замкнутому
контурі. A, B - два провідники, T1 та T2 - температури у місцях їх з’єднання
Рис. 1.2
Ефект Зеєбека у розімкнутому колі. а і b - два розімкнуті кінці кола
Рухомі носії заряду переміщуються на
холодну сторону та створюють там надлишок відповідного заряду відносно
нерухомих носіїв на гарячій стороні, що породжує виникнення термоелектричної
різниці потенціалів ΔV.
Накопичення заряду на холодній стороні припиняється, коли така ж кількість
носіїв заряду почне дрейфувати до гарячої сторони внаслідок дії електричного
поля, створеного цим розподілом зарядів. При цьому матеріал переходить до
стабільного стану. Лише збільшення різниці температур може відновити ріст
кількості носіїв заряду на холодній стороні і, таким чином, призвести до
зростання термоелектричної напруги. Така різниця потенціалів називається
термо-ЕРС та створюється різницею температур між двома різнорідними матеріалами
(металами чи напівпровідниками). При цьому виникає постійний струм, який
протікає через провідники, якщо їх спаї знаходяться при різних температурах Т1
і Т2 (рис. 1.1).
Якщо диференційний коефіцієнт
Зеєбека між А і В (SAB) позитивний, через спай 1 до 2 по провіднику А (за
годинниковою стрілкою) протікає струм
У випадку розімкнутого кола,
як показано на рис. 1.2, створюється напруга (ΔU) між
а і b:
(1.1)
Тут SA та SB - коефіцієнти Зеєбека
(абсолютні) матеріалу А і В, відповідно, а T1 і T2 - температури на спаях 1 і
2.
Рис. 1.3
Приклад реалізації ефекту Пельтьє
1.1.2 Ефект
Пельтьє
Процес перетворення електричної
енергії в теплову вперше виявив у 1834 р. Жан Пельтьє. Його можна розглядати,
як зворотний до ефекту Зеєбека. Ефект Пельтье є основною термоелектричного
охолодження.
Коли електричний струм проходить
через два різнорідні матеріали (метали або напівпровідники), один з яких має
два спаї (рис. 1.3), то на одному спаї тепло буде поглинатися, а на іншому -
виділятися. При цьому один спай охолоджується, а другий нагрівається, залежно
від напрямку струму.
Нагрівання (охолодження) контакту
можна розглядати з точки зору поглиння чи випромінювання енергії (рис. 1.4),
або ж задавати як потік електронів, що рухаються із напівпровідника в металічні
електроди (і навпаки) на їх контакті (рис. 1.5).
Рис. 1.4 Схема поглинання і
випромінювання енергії на контактах двох напівпровідників
Цей процес є оборотним: електричний
струм може подаватися через контакт для створення градієнта температури (а отже
і теплового потоку), або ж градієнт температури може використовуватися для
генерування електричного струму (рис. 1.6).
Коли струм проходить через коло,
тепло поглинається на контакті Т2 і виділяється на контакті T1, якщо
диференційний коефіцієнт Пельтьє ΠAB
- негативний. Теплота Пельтье (Q), яка поглинається на холодному спаю за
одиницю часу визначається згідно виразу:
(1.2)
де ПA та ПB - коефіцієнти Пельтьє
матеріалів A і B, відповідно.
а) б)
в) г)
Рис. 1.5.
Схема процесів поглинання (а), (б) та випромінювання (в), (г) теплової енергії
з точки зору переходу електронів (б), (г) та дірок (а), (в) через контакти між
напівпровідником і металом. EF - енергія Фермі, ΔEt
n,p зміщення енергії Фермі на контакті «метал-напівпровідник», відносно енергії
Фермі у металі.
1.1.3 Ефект
Томсона
Ефект названо на честь Вільяма
Томсона, пізніше відомого, як лорд Кельвін. Він визначає тепло, що виділяється
або поглинається у провіднику зі струмом, вздовж якого прикладено градієнт
температури.
Такі метали, наприклад, як цинк та
мідь мають більш високий потенціал на гарячому кінці та значно нижчий на холодному.
Коли струм протікає від гарячого кінця до холодного, то він при цьому проходить
від високого до низького потенціалу, тобто, спостерігається виділення тепла. Це
називається позитивним ефектом Томсона. Такі ж метали, як кобальт, нікель,
залізо, навпаки, мають більш високий потенціал на холодному спаї та нижчий на
гарячому. Тому, якщо струм протікає від гарячого кінця до холодного, то він
проходить від низького до високого потенціалу, що супроводжується поглинанням
тепла. Це називається негативним ефектом Томсона. Для деяких матеріалів,
наприклад, свинцю, ефект Томсона є приблизно нульовим.
Рис. 1.6 Термоелектричний модуль,
який перетворює тепловий потік у електричний струм.
Якщо через однорідний провідник
протікає струм, густиною J то в одиниці об'єму виділяється тепло Q:
(1.3)
де ρ
- опір матеріалу, dT/dx - градієнт температури вздовж провідника, а μ
- коефіцієнт Томсона.
Перший доданок у формулі
(1.3)
є тепло
Джоуля на одиницю об'єму. Воно не може мати негативного знаку. Другий доданок
- тепло
Томсона, яке може змінювати свій знак, якщо J змінює напрям. Коефіцієнт Зеєбека
S, коефіцієнт Пельтье Π та коефіцієнт Томсона μ
пов'язані один із одним співвідношеннями Томсона
(1.4)
(1.5)
1.2
Перспективи наноматеріалів
Вперше термоелектричні ефекти були
виявлені в металах, виявлення цих ефектів в напівпровідниках сприяло їх
практичному застосуванню і використанню з 1950 року. Спочатку було не так
багато способів маніпулювати внутрішньою ZT заданого напівпровідника,
наприклад, легуванням. З практичної точки зору, використання наноструктур
забезпечує зміну ZT за допомогою нових методів, таких як квантування,
модульоване легування, і збільшення впливу інтерфейсів на властивості при таких
масштабах і розмірах. Недавно було встановлено, що вже досягнуте обмеження для
значного підвищення ефективності для традиційно використовуваних об'ємних термоелектриків.
Експерименти, проведені протягом останнього десятиліття, на цих структурах
показали, постійно зростаюче ZT. Відповідно, комерційне впровадження таких
термоелектриків як: Bi2Te3, PbTe і SiGe зупинилося протягом тривалого часу.
Однак в середині 90-х з’явилися перспективи використання складних
напівпровідників за допомогою різних ефектів: квантові ями, надграткові
структури, Si нанодроти [1,2], квантові точки [3] та інші наноструктури [4,5].
Ці термоелектрики показали вищу ZT і ефективність перетворення енергії. Краще
розуміння впливу нанорівнів, що проявляється в наноструктурах будуть отримані
через перегляд фундаментальних аспектів.
1.3
Перспективи матеріалів на основі PbTe
Маса PbTe є прямо пов’язана із
шириною забороненої зони (
) напівпровідника,
в якому мінімум зони провідності, і максимум валентної зони розміщений в
L-точці зони Бріллюена. Його кристалічна структура - гранецентрована кубічна
(ГЦК), і має вісім еквівалентних L-точок в першій зоні Бріллюена. ЗП і ВЗ в
цілому мають непараболічності в групі в результаті невеликої анізотропії, в
залежності від температури ефективної маси (тобто,
і
при
300 К [41]). Велику різницю між
і
викликатиме
сильна анізотропія в кінетичних коефіцієнтах. Крім того, PbTe має велику µ, і
маленький
, які сприяють
високій ZT від ~ 0,6 при температурах 700-800 К. Змішування PbTe з Sn (n-типу)
може ще більше зменшити
і збільшити ZT до
більш ніж 1 [6] (рис.1.7 і 1.9).
Рис. 1.7 Виміряна ширина забороненої
зони об'ємного PbTe і
Te та енергетичний
поддіапазон рівня поздовжньої (l) і похилої (o) долини в 5,3 і 2 нм [111],
орієнтованих PbTe квантових ямах
Підсилення
в
наноструктурах вперше були продемонстровані в модульованих легуваннях n-типу
[111] PbTe/
мульти-квантових
ям (МКЯ), виготовлені за допомогою молекулярно-променевої епітаксії Хіксом і
Харман в 1996 році. Як заборонена зона так і ефективна маса PbEuTe бар'єрного
шару (товщина 45 нм) збільшується з Eu концентрацією, тому електрони
утримуються в PbTe шарі. При концентрації 7,3% Eu, зона провідності зміщення
оцінюється в 171 меВ, як показано на рис.1.8. Квантові ефекти утримання були
перевірені за допомогою інфрачервоної спектроскопії, яка показала наявність
енергетичних рівнів розташованих послідовно з похилими і поздовжніми
піддіапазонами. В [111] PbTe квантових ямах, виродження однієї поздовжньої
долини піднімається з трьох похилих долин, тому що похилі долини володіють
меншою ефективною масою і таким чином намагаються утримати більший потенціал.
Чітко показано, що посилення
відбувається
в результаті обмеження, а не простої зміни n і
на
рис.1.9. (b). Для еквівалентної n,
з
2 нм зразка МКЯ явно набагато більше, ніж у об'ємних зразках з 4 нм. Зверніть
увагу, що обидва зразки демонструють лінійну залежність між
і
log10 (n).
µ КЯ PbTe (~ 640-1420 см2/В
с,
рис. 1.9.) аналогічна до того, що з порівняно легованим PbTe тонкої плівки
(1200 см2/В с) і об’много PbTe (1000-1700 см2/В · с), але набагато більша, ніж
у PbEuTe (45 см2/В·с). Умови зростання можна пояснити великою зміною значень
рухливості КЯ.
Рис.1.8 ГС квантових ям у надгратках
PbTe (жирна лінія), і об’ємного PbTe (тонка лінія). Нижні індекси l і o
відносятться до поздовжніх і похилих піддіапазонів, в той час як 1, 2, і 4
відповідають 1-му, 2-му, і 4-му найнижчому піддіапазону. Розподіл електронної
густини також показує пунктирна лінія, і відповідає загальній несучій
концентрації 5
1018/см3
Рис. 1.9. (а)
для
[111] PbTe/PbEuTe МКЯ (заповнені і порожні кола) і [100] PbTe/EuTe надграток
[10] (відкрита площа), збільшується чи зменшується в залежності від товщини
квантових шарів. Значення рухливості
позначені
вище точки даних (b) 2 нм квантових ям, показуючи більше |S| при тій же
концентрації носіїв як і 4 нм квантові ями об'ємного PbTе
РОЗДІЛ 2. КЛАСИФІКАЦІЯ ТЕ-МАТЕРАЛІВ
2.1
Ефективність ТЕ-матеріалів
Ефективність термоелектричного
пристрою залежить не тільки від S. Розгляд електричного струму і теплоти в
типовому пристрої, як показано на рис. 2.1, показує, що і ефективність
виробництва електроенергії і коефіцієнт корисної дії (ККД) збільшуються в
залежності від температури. Безрозмірна термоелектрична добротність матеріалу
визначається як
де T - середня температура гарячих і
холодних сторін,
і k є
електропровідністю і питомою теплопровідністю матеріалу. Потрібно відзначити,
що k є прямою сумою вкладів від носіїв (ke) та гратки (kL). Чітко зрозуміло, що
великий |S| і
є необхідними
разом з маленьким k. Дійсно, значне збільшення добротності, ZT, наноструктурної
термоелектрики було досягнуто через зменшення kL. У загальних термоелектричних
матеріалів, використовуваних сьогодні, наприклад, об'ємного Bi2Te3, PbTe, SiGe
і т.д., зазвичай ZT ~ 1, який відповідає ефективності ~ 10%, з джерелом тепла в
525 K і тепловідведенням при кімнатній температурі 300 К. Ми побачимо як поява
нанотехнологій разом з кращими інструментами виробництва матеріалів показує
великі перспективи збільшення ZT.
квантовий ефект наноструктура теплопровідність
Рис. 2.1 Основний термоелектричний
пристрій для (a) перетворення теплової енергії в електричну, і (b) охолодження.
Пара складається з p- та n- напівпровідників
Практично, багато таких елементів
об'єднують послідовно, щоб добитися необхідного рівня потужності.
Альтернативою використання
термоелектричних матеріалів, при охолодженні, використовуюся термоелектронні
ефекти, які реалізовані у вакуумних діодних пристроях [11]. У вакуумному діоді
перехід електронів від катода до анода (рис. 2.2) може призвести до охолодження
катода. Така ідея була запропонована Іоффе [12] в якості засобу для зниження
впливу фактора розсіювання носіїв (що знижує рухливіть) і граткової теплопровідності
(яка погіршує теплообмін через носії) в твердотільних матеріаліах. Іоффе
припускав, що генератор електроенергії міг бути отриманий з системи, що
складалася з «багатьох пластин при високій температурі T1 і розділений вакуумом
від іншого набору пластин, які зберігаються при більш низькій температурі T2».
Для перепаду температур, T1-T2> 200
,
різниця кінетичних енергій могла використовуватися для того, щоб створити
електричну різницю потенціалів. Такі ідеї можуть бути реалізовані як в
енергетичному перетворенні, так і охолодженні.
Рис.2.2 Принципи термоелектронного
охолодження. Матеріал зліва (катод) охолоджений за допомогою електронної емісії
по потенціальному бар'єрі (eФc) - складений поверхнею розділу між металом і
матеріалом вакууму/напівпровідника - в анод. Прикладений потенціал (eV)
компенсує збільшену температуру анода
.2 Ефект
граткової теплопровідності
Із загальної теплопровідності,
встановлено внесок від носіїв/електронів (
)
і гратки (
), попередній прямо
пропорційний електропровідності (σ)
через закон Відемана-Франца і, як правило, невеликий за величиною в порівнянні
з
.
Отже, тут ми в основному розглянемо
Як
згадувалося раніше, переважно збільшення добротності, ZT, наноструктурованих
термоелектриків було полегшено через зменшення внеску граткової теплопровідності.
Нижче
знижує
паразитні перенесення тепла від гратки і, як наслідок, збільшуються частки
перенесення тепла за допомогою електронних носіїв, що призводить до більш
ефективного перетворення теплової енергії в електричну. Спочатку ми розглянемо
порядкову феноменологію
щоб отримати кращу
оцінку наших прогнозів і експериментальних зусиль, спрямованих на зниження
.
.2.1 НАПІВКЛАСИЧНА ТЕОРІЯ ТЕПЛОПРОВІДНОСТІ
Вона може бути отримана з
елементарних принципів кінетичної теорії газів [13], з урахуванням перенесення
енергії через не взаємодіючі частинки [14], тому граткова теплопровідність
,
де
-
теплоємність гратки на одиницю об'єму, v - середня швидкість часток, і l-
частка вільного пробігу. У твердому тілі, «частинки», що беруть участь в
перенесенні тепла будуть посилатися на гратки мод/фононів. Ця ж формула для
також
отримана через напівкласичну форму рівняння Больцмана для переносу, яке
відтворюється нижче
де k і r -хвильовий вектор і радіус
фононів (замість електронів), та f- функція розподілу Планка:
(замість
функції Фермі-Дірака). Ліва частина рівняння знову наближається до підходу часу
релаксації де збурена функція розподілу (
)
відновлює стан рівноваги розподілу (
)
за час релаксації (𝜏),
тобто
У
стійкому стані
і нехтуючи
імпульсом дисперсії фононів
то з цього
підходу,
де
Оскільки
тепловий потік
тепер ми можемо
написати
де підсумовування по всіх модах
замінюється невід'ємно, що включає в себе постійну густину станів (ГС): g(E).
Інтеграл над
, зводитьсядо нуля,
і приріст,
отримаємо
визначається як
відношення Q (r, t) до градієнта температури (
),
тобто
Цей вираз може бути спрощено до
викликавши
визначення гратки теплоємності
як температурної
похідної від загальної суми енергій (U). Якщо поняття довжини вільного пробігу
фононів,
введено, то
Зменшення
робиться
для здобуття вищого показника добротності в термоелектриках, яке потім
використовується в напрямках і засобах по зменшенню окремих компонентів, тобто
,
v, і l. Такі аспекти будуть розглянуті в майбутньому через експозиції основної
феноменології.
.2.2
Квантова теплопровідність
Досі, класичні міркування через
кінетичну теорію та кінетичне рівняння Больцмана, були використані для того,
щоб визначити величину
макроскопічно.
Можна також розглянути альтернативну точку зору, де загальна
теплопровідність/провідність у зразку є сумою вкладу кількох (скажімо, М)
дискретних фононних мод. Максимальний обсяг тепла, яке може транспортуватися
будь-якою одною даною модою, при певній температурі, T, потім представлені
квантом теплопровідності:
Загальна
теплопровідність матеріалу буде пропорційна
Враховуючи
розповсюдження фононів (з енергією
уздовж
одновимірного стержня, повний потік енергії поздовжніх і поперечних гілок,
представлений через:
Теплопровідність,
визначається як відношення
до
і
визначається за формулою
де
Для мод найменшої енергії, тобто
і
Вт/К2
(Т). Потім
являє собою
максимальне можливе значення теплопровідності при заданій моді і заданій
температурі. Таке значення для
дійсно було
експериментально визначено в ретельно контрольованій геометрії одновимірних,
балістичних, фононних каналах.
2.3
Принципи і дослідне впровадження наноструктур із зменшеним
Одна з цілей дослідження
наноструктурних термоелектриків, є отримання меншого
,
ніж в об'ємних термоелектричних матеріалах. Таке зниження, схоже, було
досягнуте у багатьох випадках з
~ 1 Вт/м
К,
і внесло свій ривок у дослідженні добротності. Ми спочатку обговоримо загальні
принципи які зазвичай ставляться до зменшення
.
2.3.1 Отримання
низьких значень теплопровідності в сипких матеріалах
Оскільки
є
властивістю гратки, були зроблені зусилля, щоб співвідносити їх з іншими
гратками характерних властивостей на основі таких як стисливість
коефіцієнт
теплового розширення, точка плавлення (
),
густина (
),
і атомна маса (A) із складених атомів. Відношення Кейсі
охоплює
дещо спільне між цими різними властивостями через єдиність емпірично отриманого
виразу і, здається, чудово узгоджується з експериментальними значеннями.
Коефіцієнт пропорційності, B, пов'язаний з параметром Грюнайзена, що є мірою
зміни дисперсії фононів спектра при заданому розширенні, і обернено
пропорційний
Фізичний зміст
відношення Кейсі полягає в тому, що м'які матеріали (мала густина -
з
великою атомною масою (A), і низькою температурою плавлення (
),
мають нижчий
. Також можна
зробити висновок, що
менше
для іонно-зв'язаних матеріалів (нижче
)
порівняно з ковалентно-зв'язаними структурами. Наявність заряджених іонів, як
очікується, дає додаткові механізми розсіювання через позитивні і негативні
іонні підгратки, що сприяє додатковим оптичним модам, і слід зазначити, що
зменшується
із збільшенням відношення мас катіонів/аніонів.
На підставі того, що матеріали з
малою густиною, і відносно відкритими кристалічними структурами, можуть мати
нижчу
були
досліджені скутерудитні термоелектрики, наприклад,
з'єднані
на основі
, вони представлені
на рис. 2.3. У них вільно пов'язані атоми металу, тому домішки можуть бути
вкраплені в гратку і виступати в якості «гримучих» збуджувачів фононів і носіїв
теплової енергії. Отже, розсіювання фононів посилюється на атомному рівні в той
час як періодичність гратки не змінюється. Матеріал тепер вважається скляним
відносно фононного транспорту, і в той же час - кристалічний щодо електричного
транспорту, і максимально взаємодіє і поширює резонансне розсіювання акустичних
фононів, коли фононна частота дорівнює «гримучій» частоті.
Рис. 2.3 Скутерудитні кристалічні
структури (а) CoSb3, і (b) La/Ce легованих FeSb3
Така ідеалізація, з точки зору
скляного фононного електронного кристала (СФЕК) також може бути застосована до
інших відкритих структурованих сполук, таких як клатрати [15] і
дефектно-структуровані сполуки [16]. Важливо розуміти, що такі модуляції
фононного переносу не можуть бути зроблені простими одноатомними замінами, тут
потребуються «випадкові, нецентральні спотворення гратки». Інші перераховані
критерії, для СФЕК поведінки, включають в себе: (1) «гримучі» атоми повинні
бути корельовані один з одним і з граткою, без чітко вираженого певного
положення, тобто немає далекого порядку та фазової когерентності по відношенню
до коливального руху [17], і (2) загальна маса «гримучих» атомів повинно бути
не менше 3% від загальної маси кристала.
Експериментальні докази гіпотези
СФЕК були отримані за допомогою вимірювання
теплоємності
і електричного опору заповнених Tl скутерудитів [18]. Зменшення
на
коефіцієнт 5 (до ~1 Вт/мК) через додавання Tl показано на рис. 2.4. Вимірювання
теплоємності показали, що атоми Tl поводяться як незалежні гармонійні
осцилятори [19], тоді довжини вільного пробігу фононів (l) відповідають в
середньому відстані між окремими атомами Tl, яка пропорційна
Кристалографічний
аналіз і вимірювання порошкової дифракції також показали, що Tl міг би
заповнити 80% порожнин в
, що було
перевірено через великі параметри зміщення атомів (ПЗА) з
ПЗА,
який вимірює середній квадрат амплітуди зсуву атома при середньому положенні, є
приблизно на порядок більший, ніж припадає на номінально статичний зсув, і,
отже, підтримує гіпотезу «гримучих» атомів.
Рис. 2.4 Граткова теплопровідність
зменшується
(тобто
збільшується)
з додаванням Tl. Залежність від
випливає з середньої
відстані атомів Tl
Однак, недавні дослідження
нейтронної спектроскопії на La- і Ce-заповненні
скутерудитами
(рис. 2.5) показали, що квазігармонічна муфта дійсно існує між вставленими
«гримучими» атомами і кристалічною граткою. Це передбачає, що складність
заповнених кристалів і перевага низької групової швидкості оптичних фононних
мод, а не гуркіт, могли бути більш відповідальні за наведений
Додаткові
докази для таких пов'язаних мод виникають з дослідження [20] клатратних
термоелектриків, таких як
(рис. 2.5), де
було підраховано, через нейтронну потрійну вісь спектроскопії час життя фононів
~ 2 пс, що на порядок більше, ніж очікуванолося від розсіяння акустичних
фононів з «гримучими» атомами (0,18 пс). Настільки довше існування відбувається
через відсутність розсіювання, яке не відбувається завдяки униканню перетину
зон між модами акустичної фононної кристалічної гратки і плоскої, квазі-локалізованої
моди низької енергії за рахунок «гримучих» атомів.
Рис. 2.5 (a) Ілюстрація типової
відкритої гратки, як структура клатрату (Ba8Ga16Ge30) взаємодіє з домішками
(«шумовий» атом: Ba) і вузлами (на базі: Ga і Ge). (b) коливання атомів домішки
на частотах, близьких до акустичних, можна розкласти на поздовжні (
)
і поперечні (
) моди. (c)
взаємодія домішкових мод дисперсії фононів поступається гратковим модам, що
дозволяє уникнути перетину зони, на якій часи життя фононів збільшуються
Таким чином, існує ймовірність того,
що складність кристала, плоска дисперсія фононів, і динамічні процеси переносу,
всі важливі для зменшення
і є деякі
припущення, що тип СФЕК механізму, можливо, доведеться буде переглянути.
2.3.2
Зниження теплопровідності в низько-вимірних структурах
Було запропоновано, щоб більша
ступінь обмеження, в системах, що включають нанотдроти (НД) і нанотрубки (НТ),
призвела до явної модуляції фононної енергетичної дисперсії [21, 22]. Групова
швидкість, v, в НД і НТ передбачалася меншою, як у випадку надграток,
зменшується довжина вільного пробігу фононів в двох вимірах і покращена фононна
поверхня, фононні фонони, і розсіювання фононних носіїв сприяло б анізотропії і
зниженню
Граничний
тепловий опір [23] міг також бути змінений таким розсіюванням, наприклад, як
спостерігається експериментально в одновимірних [24, 25] і багатошарових
вуглецевих нанотрубкових (ВНТ) пакетах, у яких, як помічалося, був нижчий
в
порівнянні з одношаровими ВНТ [26]. Для шаруватих нанокомпозитів (рис. 2.6 (а))
було показано, що для заданої об'ємної частки інтеграції Si НД (
)
в основу Ge, можна отримати більше зниження
за
менших діаметрів [27]. Зниження в основному пов'язано з підвищенням розсіювання
фононів на границі Si-Ge, площа яких збільшується із зменшенням діаметра
нанодротів.
Було також запропоновано, щоб
в
НД міг бути мінімізований за допомогою їх інтеграції в гратку з меншим
акустичним імпедансом, A. Було відзначено, що перерозподіл фононних мод
акустично важчих нанодротів в акустично м'які гратки, може призвести до
фононного виснаження в нанодротах, і могло зменшитися перенесення теплової
енергії. Було б цікаво вивчити такий принцип [28] експериментально в
нанокомпозитах і в Si/SiO2 або Si/Ge ядерних оболонок нанодротів [29] - де ядро
і оболонка мають різні матеріали і А. Проте, точність застосовуваних вимірювань
теплопровідності не може дати правильного підтвердження.
Рис. 2.6 (а) Періодичні двовимірні
нанокомпозити з трубчастими нанодротовими включеннями. (b) Зменшення
теплопровідності нижче об'ємного значення у вигляді функції радіуса кремнієвих
нанадротів (10, 50, 150, і 500 нм) поміщених в гратку Ge, як функція об'ємного
відношення (
) кремнієвих
нанодротів
Контроль шорсткості, здається, одним
з основних факторів для істотного зменшення
Si
нанодротів, до ~ 1.2 Вт/м
K, дуже близько до
значення для аморфного SiO2 і
Si, який має ~ 1
Вт/м
K.
НД Si, в одному випадку (розташовуються діаметром в 20-300 нм) були вироблені
методом хімічного травлення (ХТ), де пластина Si була локально окиснена,
використовуючи водний розчин AgNO3 і HF. Середня шорсткість синтезованих
нанодротів становила ~ 1-5 нм (рис. 2.7 (a)). Було відмічено, що виміряне
залежить
від (I) шорсткості, (II) методу синтезу, і (III) опору початкової пластини
кремнію, як показано на рис. 2.8 (b) і (c). Як і очікувалося,
зменшується
із зменшенням діаметра НД мабуть через зменшення l і посиленого розсіювання на
границі.
Зниження
у
5 разів отримано для ХТ НД порівняно з відносно гладкими Si НД, синтезованого
методом парів рідини твердої речовини (ПРТ). Цікаво, було відмічено, що пік
-
T зміщується із збільшенням шорсткості, від об’ємного Si (~ 25 K )
ПРТ
виготовлення НД
ХТ виготовлення НД
(рис. 2.9).
Рис. 2.8 (a) Грубі нанодроти Si,
виконані методом хімічного травлення (ХТ). (b) k зменшується з діаметром і
здається, сильно залежить від шорсткості нанодротів, що більший, коли
синтезований через ХТ. (c) Збільшене розсіювання фонона легуючої домішки більш
ефективне для наведеного k.
Оскільки пік показано [30] при
температурі Дебая,
і початку перекиду
розсіювання, можна припустити, що (I) відносна жорсткість збільшується в
наноструктурах, і що, (II) сприяє підвищенню шорсткості розсіювання. Ключова
роль шорсткості також була помічена через порівняння відношення об’ємних НД і
значення
,
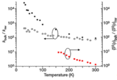
тобто, ~ 100 при 300 K, і ~ 25000 при 25 K (рис. 2.10). Зі зменшенням
температури збільшується довжина хвилі фононів і вони розсіюються. Швидке
обчислення
, де
при
T = 25 K, призводить до домінуючої фононної довжини хвилі ~ 6 нм, відповідно до
спостережуваної шорсткості на НД Si.
Рис. 2.9 Схематична зміна
теплопровідності з температурою, залежно від розміру і збільшення шорсткості
(ХТ> ПРТ>об’ємний Si)
Рис. 2.10 Різке збільшення
відношення основної маси нанодротів до теплопровідністі при зниженні
температури приписується посиленням впливу на нанодроти шорсткості поверхні. З
іншого боку здається, що шорсткость негативно впливає на
Вище згадане дослідження висунуло
якісну концепцію про зниження
через фонони, що
розсіюються на різних довжинах, тобто, через (1) діаметр нанодротів, викликаючи
граничне розсіювання, (2) поверхнева шорсткість, для більшої довжини хвилі
розсіювання фононів, і (3) атомарне розсіювання, для коротких довжин хвиль
фононів. Знову ж, різке зниження
вважали
основним внеском для 100-кратного збільшення ZT кремнієвих НД в порівнянні з
об’ємним Si. Проте, підвищена ZT ~ 1 все ще на рівні з теперішніми
використовуваними термоелектричними матеріалами, і методи для того, щоб
зменшити
більше,
можливо, не ефективні для подальшої максимізації ZT, оскільки значення близькі
до
здається,
були досягнуті.
РОЗДІЛ 3. ТЕОРЕТИЧНІ АСПЕКТИ
ТЕ-НАНОМАТЕРІАЛІВ
Квантово-розмірні ефекти
проявляються у структурах для яких розміри співрозмірні з їх характерною
довжиною хвилі де Бройля. Для металів вона складає одиниці нм (через звичну
ефективну масу носіїв), а для напівпровідників десятки і соті нм. Останнє і
спрощує їх виявлиння у напівпровідникових наноструктурах.
Рис. 3.1. Залежність густини станів
наноструктур від товщини і енергії. Штриховою лінією показано густину станів
об’ємного зразка
Енергетичний спектр наноструктури є
розмірно-квантований (рис. 3.2). КРЕ були теоретично передбачені у роботах
Лівшица, Косовича, Сандомірського, Тавгера та Демиховського ще у 50-х роках
минулого століття, а повідомлення про їх експериментальне підтвердження у
роботі Огріна, Луцкого, Елінсона у плівках вісмуту (рис. 3.3), Рогачової, Любченко,
і підтверджено нашими роботами у напівпровідникових структурах на основі сполук
IV-VI (рис. 3.4, 3.5).
Умовами виникнення КРЕ у
наноструктурах:
. Середня енергія електрона
провідності
повинна мати
порядок характерної енергії квантування
тобто
носії повинні займати невелику кількість підзон.
або
де
-
поперечна складова ефективної маси, d - характерний розмір структури.
. У зв'язку з розсіюванням
квазідискретний спектр носіїв частково розмивається на величину h/
,
де
-
час релаксації, що накладає обмеження на величину рухливості носіїв струму
3. Для плівок розсіювання носіїв від
поверхні повинно бути дзеркальним. Для цього розмір неоднорідності
має
бути меншим за довжину хвилі де Бройля
4. Носії струму в наноструктурі
повинні бути виродженими, при цьому енергія Фермі повинна бути спів мірною з
характерною енергією квантування
Рис. 3.2. Частково квантовий спектр
носіїв струму в тонкій плівці

Рис. 3.3 Залежність
електропровідності σ
(а), червоної межі оптичного поглинання для прямих оптичних переходів hνkr
та ширини забороненої зони Eg від товщини d тонких плівок Ві за кімнатної
температури (температура підкладки Тп= 380 К)
Рис. 3.4.Залежності коефіцієнта
термоелектричної потужності S2σ
від товщини шару: стехіометричного (крива 1) і з 2 % додаткового свинцю (крива
1ˊ) PbTe у наноструктурі KCl/n-PbTe/EuS; Bi, вирощеного при Tп1 = =380 K
(крива 2) і Tп2 = 300 K (крива 2ˊ) у структурі слюда/n-Bi/EuS; і Bi у
гетероструктурі слюда/PbTe/Bi/Al2O3 (dPbTe = 50 нм) (крива 3) при T = 300 K
Рис. 3.5.
Залежність RH(d) для плівок Bi при T = 300 K (а) і при Т= 380 К (б) та
залежності σ(d)
при T = 300 K і при Т= 100 К (в), а також σ(d)
для шару Bi в гетероструктурі слюда/РbТе/Ві/Аl2О3
3.2
Технології наноструктур
Практичне використання наноструктур
тісно пов’язане із розробкою технічних аспектів, які можна розділити на
наступні (табл.1).
Що стосується плівкової технології,
то слід у першу чергу відзначити метод молекулярно-променевої епітаксії (МПЕ)
(рис. 3.6), який крім квантових точок дає можливість отримати надгратки
квантових точок (рис.3.9) відзначимо що метод МПЕ був використаний для
отримання термоелектричних структур на основі сполук IV-VI, де було вперше
продемонстровано незалежний вплив на S і χ,
що зумовило зростання ZT.
Таблиця 1. Методи одержання наноматеріалів
|
Група
|
Основні види
|
Об'єкти
|
|
Порошкова технологія
|
Метод Глейтера (газо фазне осадження та
комплектування) Гаряча обробка тиском Високі статистичні та динамічні
тискипри звичайних та високих температурах
|
Метали, розплави, хімічні сполуки
|
|
Інтенсивна пластична деформація
|
Рівноканальне кутове пресування Деформація
крученням Обробка тиском багатошарових композитів Фазовий наклеп
|
Метали, розплави
|
|
Контрольована кристалізація із аморфного стану
|
Звичайні та високі тиски
|
Аморфні речовини
|
|
Плівкова технологія
|
Хімічне осадження із газової фази (CDV) Фазове
осадження із газової фази (PVD) Електроосоадження Золь-гель технологія
|
Елементи, розплави, хімічні сполуки
|
Метод молекулярно-променевої
епітаксії (МПЕ) призначений для вирощування кристалічних структур в надвисокому
вакуумі за допомогою пучків атомів або молекул, що є компонентами зростаючого
з'єднання. Таким чином, MПE являє собою удосконалення звичайного способу
напилення металевих плівок випаровуванням у вакуумі. Принципи технології MПE
формулювалися поступово. У 1964 році (R.B. Schoolar, J.N. Zemel) за допомогою
молекулярних пучків вченими були отримані епітаксіальні плівки PbS на
монокристалічній підкладці NaCl. У 1968 році (J.E Davey, T. Pankey, J.R Arthur)
в умовах високого вакууму були вирощені епітаксіальні плівки GaAs на
монокристалічних підкладках арсеніду галію . Ці дослідження стали основою
подальшого прогресу з вирощування досконалих плівок GaAs та інших
напівпровідникових сполук A3B5 і A2B6 методом MПE . Новий етап у розвитку і
вдосконаленні MBE почався в 70-і роки і пов'язаний із створенням і промисловим
виробництвом відповідного вакуумного обладнання.
Атомні або молекулярні пучки
створюються в ефузних (Ефузія -повільне витікання газів через малі отвори,
досліджене в 1911 році датським фізиком М. Кнудсеном) осередках при достатньо
високій температурі і направляються до нагрітої до необхідної температури
монокристалічної підкладки. Атоми в пучках рухаються по інерції в надвисокому
вакуумі, не відчуваючи зіткнень один з одним або якими-небудь іншими атомами.
Такий балістичний характер транспорту компонентів напівпровідникового з'єднання
забезпечує створення однорідних метастабільних твердих розчинів навіть у таких
системах, які в умовах, близьких до термодинамічної рівноваги (саме така
ситуація має місце при традиційних способах вирощування кристалів), мають
область незмішуваності. МПЕ забезпечує епітаксіальне зростання тонких плівок
напівпровідникових сполук за рахунок реакцій між компонентами атомних або
молекулярних пучків з поверхнею підкладки. Швидкість осадження речовини на
підкладку по порядку величини зазвичай становить один моноатомний шар в
секунду. Отримання якісних структур можливо при використанні високочистих
джерел напилюваних компонентів і за умови точного контролю температур підкладки
і джерел, що може бути реалізовано лише при комп'ютерному управлінні
параметрами процесу зростання.
Принципові елементи установки для
вирощування напівпровідникових структур методом МПЕ, що розміщуються у
вакуумній камері, показані на рис. 3.6. Римськими цифрами позначені області
(зони), що визначають основні особливості МПЕ: I - зона генерації молекулярних
пучків ефузійними комірками Кнудсена з механічними засувками; II - зона
змішування (перетину) пучків елементів, випаровуваних з різних ефузійних комірок;
III - зона кристалізації на підкладці (зона росту).
Рис. 3.6 Схема одержання
наноматеріалів методом молекулярно-променевої епітаксії
Зону росту можна умовно розділити на
три частини, перша з яких представляє собою кристалічну підкладку або черговий
вирощений моноатомний шар, другий - газову суміш компонентів ГС в
приповерхневій області, а третє є перехідним шаром, геометрія якого і
протікаючі в ньому процеси сильно залежать від вибору умов нарощування. Отже,
якщо необхідно виростити ГС методом МПЕ, потрібно мати можливість належним
чином регулювати структуру і склад перехідного шару. Для вирощування ідеальних
кристалічних структур слід так підбирати режим нарощування, щоб перехідний шар
був максимально тонким, тобто моноатомний. Ця умова може бути виконана, якщо
потік атомів, падаючих на підкладку, близький до потоку атомів, що
випаровуються з підкладки. У цьому режимі зростання структури здійснюється
шляхом утворення і подальшого зростання двовимірних зародків на атомарно
-плоскій поверхні.
Епітаксіальне нарощування методом
МПЕ включає в себе елементарні процеси (рис. 3.7):
) адсорбція (прилипання) падаючих на
підкладку атомів або молекул, складових вирощується з'єднання;
) міграція (поверхнева дифузія)
адсорбованих атомів по поверхні підкладки (може передувати дисоціації молекул
вирощуваного з'єднання);
) вбудовування атомів, складових ГС,
в кристалічну гратку підкладки або зростаючий моноатомний шар;
) термічна десорбція атомів, не
вбудовані в кристалічну гратку;
) утворення і подальше зростання
двовимірних зародків кристала на підкладці або на поверхні зростаючого шару;
) взаємна дифузія атомів, вбудована
в кристалічну решітку.
Рис. 3.7 Елементарні процеси в зоні
росту: 1 - адсорбція атомів із зони змішування на поверхню, 2 - міграція
(поверхнева дифузія) адсорбованих атомів по поверхні, 3 - вбудовування
адсорбованих атомів в кристалічну гратку, 4 - термічна десорбція, 5 - утворення
поверхневих зародків, 6 - взаємна дифузія. Над зростаючою поверхнею показані
атоми газової суміші компонентів у приповерхневій області. Літерами n-n та i-i
показані нормальна і інвертована поверхні розділу зростаючої ГС. Область між
цими поверхнями являє собою квантову яму шириною L
Іонно-ковалентний характер і значна
величина енергії хімічних зв'язків у напівпровідникових з'єднаннях А3В5 і А2В6
призводять до того, що в результаті адсорбції і міграції по поверхні атоми
катіонів А і аніонів В заміщають цілком певні положення в кристалічній гратці,
тобто за час зростання одного моноатомного шару (зазвичай за цей час ( ~ 1 с)
атом здійснює декілька тисяч дифузійних стрибків, поки він не займе своє
остаточне місце в гратці) відбувається своєрідна самоорганізація зростаючої
структури.
Найбільш поширеною кристалічною
решіткою для з'єднань А3В5 і А2В6 є так звана структура цинкової обманки ZnS,
показана на рис. 3.8. Якщо поверхня підкладки паралельна одній з граней
елементарного куба з індексами Міллера (001), то епітаксіальне нарощування
здійснюється послідовним нарощуванням аніонних і катіонних шарів, як це
показано на рис. 3.7., де схематично представлена ГС
А1хGа1-xАs-GaAs, в якій шар арсеніду галію укладений між двома шарами твердого
розчину алюмінію (з атомної концентрацією х) в арсеніді галію . Алюміній ,
близький за своїми хімічними властивостями галію, заміщає атоми галію в гратці
GaAs, не приводячи при цьому до істотної зміни міжатомних відстаней.
Рис. 3.8 Кристалічна структура
цинкової обманки. Вгорі - проекція на площину (001), перпендикулярну осі росту.
Виділена грань елементарного куба в площині (001). Цифрами вказані атоми, що
заповнюють шар в площині (001), стрілки вказують послідовність шарів, як це
показано на малюнку внизу, де представлена проекція структури на площину (110)
Кожен напівпровідник (наприклад,
GaAs або А1хGа1-xАs) може бути вирощений пошарово при фіксованій швидкості
росту, коли температура підкладки забезпечує оптимальну для даного з'єднання
швидкість поверхневої дифузії. Оскільки хімічні зв'язки в різних
напівпровідникових з'єднаннях різні, то різні і енергії активації поверхневої
дифузії катіонів, що входять до складу цих з'єднань. Тому якість гетерограниць
може бути істотно різна залежно від того, яка з сполук при обраному
температурному режимі зростає першою. Межі прийнято називати нормальними, якщо
компонент з більш низькою температурою плавлення росте першим (наприклад,
А1хGа1-xАs на GaAS); для зворотної послідовності використовується термін
"інвертована границя". На рис. 3.7. проекції цих двох границь
зображені лініями з літерними індексами n та i відповідно. Щоб отримати більш
гладкі і досконалі гетерограниці, використовується методика переривання росту
або методика осадження пульсуючим пучком. Згладжування поверхні протягом часу
переривання росту (само переривання здійснюється механічним перекриттям на
деякий проміжок часу засувок ефузних комірок) обумовлено поверхневою міграцією
та/або сублімацією атомів, адсорбованих на поверхню вирощеного моношару.
Температура підкладки визначає співвідношення
між потоками адсорбції і десорбції атомів, що входять до складу зростаючої
структури. Це співвідношення може бути охарактеризоване коефіцієнтом прилипання
атома даного сорту до поверхні, на якій відбувається епітаксіальне нарощування.
Коефіцієнт прилипання показує, яка частина падаючого потоку адсорбується на
поверхні. При адсорбції аніонного компонента, наприклад миш'яку при зростанні
арсеніду галі , важливу роль відіграє те, в якій молекулярній формі (As2 або
As4) аніонний компонент доставляється на поверхню, де відбуваються дисоціація
молекул і подальше вбудовування атомів в кристалічну гратку.
Крім того, температура підкладки
визначає швидкість поверхневої дифузії, яка випереджає вбудовування атомів в
кристалічну гратку. Ця температура повинна бути досить високою, щоб забезпечити
необхідне число (~104) дифузійних стрибків атома на поверхні, перш ніж він
займе своє положення в гратці. При цьому середнє переміщення атома по поверхні
за чвс t визначається як
, де
коефіцієнт поверхневої дифузії.
Передекспоненційний фактор
де a - довжина дифузійного стрибка
(відстань між сусідніми еквівалентними положеннями атома на поверхні росту), T
- температура в енергетичних одиницях,
1012
с-1 - частота коливань атома на поверхні. Енергія активації поверхневої дифузії
в
напівпровідниках зазвичай становить 1-1,5 еВ, тому за одну секунду атом в
середньому зміщується на кілька десятків або сотень міжатомних відстаней при
температурі підкладки 600 - 800 ° C. Таке зміщення якраз і відповідає приблизно
104 дифузійним стрибкам.
Метод МПЕ - складний і дорогий для
експлуатації, його можна віднести до ексклюзивного. Для більшості
термоелектричних матеріалів не є обов’язковими упорядковані структури, тому для
їх реалізації пропонується використовувати парофазні методи: відкритого
випаровування, гарячої стінки, чи газодинамічного потоку.
Рис. 3.9. Модель процесу росту
надграток квантових точок (механізм Странскі-Крастанова) а) - утворення
пірамідальних островків InAs в результаті трансформації плоских шарів цього
напівпровідника (пунктир), вирощуваних на підкладці GaAs із відмінними
параметрами гратки; б - система зв’язаних вертикально квантових точок InAs на
підкладці GaAs
.3
Наноструктури на основі PbTe
Телурид свинцю PbTe є одним із
кращих термоелектричних матеріалів для середніх температур (450-800) К.
Максимум ZT РbТе становить 0,7 при 700 К. Останнім часом ZT була подвоєна при
773 K у легованих талієм PbTe через підвищення коефіцієнту Зеєбека.
Використанням нанокомпозитів PbTe
також можна досягнути високих ZT. Мікроструктура кульково подрібнених
наночастинок представлена на (рис.3.9, а). Під час гарячого пресування,
наночастинки швидко ростуть, і розмір зерна гарячоспресованого PbTe більший,
ніж 1 мм (рис. 3.9, б). У порівнянні з властивостями злитків, теплопровідність
гарячопресованих зразків незначно зменшується у всьому діапазоні температур
(рис. 3.9, с), а електропровідність зростає (рис. 3.9, e). Коефіцієнт Зеєбека
трохи зменшується при більш високих температурах (рис. 3.9, d), а ZT зростає
(рис. 3.9, f). Нанокомпозити PbTe з 95% теоретичної густини отримують також при
спіканні наночастинок (100-150) нм іскро-плазмовим методом.
Нанокомпозити PbTe підготовлені
спіканням порошків в об'ємні зразки показали невелике збільшення коефіцієнта
Зеєбека при значному параметрі розсіювання за рахунок фільтрації енергії
електронів. В окремому дослідженні об'ємні зразки телуриду свинцю були
підготовлені з надлишком Pb або Ag, які осаджували в PbTe матрицю. Ці зразки
показали чудове підвищення (до 100%) коефіцієнт Зеєбека, і одночасне збільшення
параметра розсіювання (який склав < 1 для сипучих і до 3-4 у зразках із
нановключеннями). Хоча природа збільшення параметра розсіювання не ясна, ефект,
ймовірно, є фільтрацією енергії електронів, що призводить до високого
коефіцієнта Зеєбека. З іншого боку, рухливість електронів була занадто низькою
і збільшення ZT не було отримано. Зовсім недавно у роботі підготовлено PbTe з
нановключеннями як Pb так і Sb одночасно, що призвело до значного підвищення
коефіцієнта потужності по відношенню до об'ємного PbTe. Зауважимо, що досі не
з'ясовно те що, коли концентрація Sb склала 3% і Pb 2% у нанокомпозиті,
рухливість електронів збільшувалася у температурному інтервалі від 300 K до 450
K.
Рис. 3.10 ПЕМ - зображення кульково
подрібнених PbTe нанопорошків (а) і СEM (скануючий електронний мікроскоп) -
зображення гарячо-спресованих PbTe нанокомпозитів (b) та залежність від
температури теплопровідності (с), коефіцієнта Зеєбека (d), електропровідності
(е), і ZT(f) гарячо спресованих нанокомпозитів PbTe
ВИСНОВКИ
. На базі експериментальних
даних для термоелектричних властивостей квантово-розмірних структур показано,
що у таких системах має місце різке зниження граткової теплопровідності.
. Виходячи з теоретичних та
експериментальних досліджень зафіксовано немонотонний осциляційний характер
термоелектричної добротності квантово-розмірних напівпровідникових структур.
. Для розуміння шляхів
покращення термоелектричної добротності основна задача на сьогодні полягає у
розробці теоретичних моделей впливу квантово-розмірних ефектів на електронну і
фононну підсистему наноструктур.
. Представлена характеристика
термоелектричних матеріалів та підкреслена перспективність матеріалів із
високими значеннями термоелектричної добротності.
СПИСОК ВИКОРИСТАНОЇ ЛІТЕРАТУРИ
1.
A.I. Boukai, Y. Bunimovich, J. Tahir-Kheli, J.-K. Yu, W.A. Goddard III, J.R.
Heath, Nature 451 (2008) 168-171.
.
A.I. Hochbaum, R. Chen, R.D. Delgado, W. Liang, E.C. Garnett, M. Najarian, A.
Majumdar, P. Yang, Nature 451 (2008) 163-167.
.
T.C. Harman, P.J. Taylor, M.P. Walsh, B.E. La Forge, Science 297 (2002)
2229-2232.
.
B. Poudel, Q. Hao, Y. Ma, Y. Lan, A. Minnich, B. Yu, X. Yan, D. Wang, A. Muto,
D.Vashaee, X. Chen, J. Liu, M.S. Dresselhaus, G. Chen, Z. Ren, Science 320
(2008) 634-637.
.
J. Androulakis, C.H. Lin, H.J. Kong, C. Uher, C.I. Wu, T. Hogan, B.A. Cook, T.
Caillat, K.M. Paraskevopoulos, M.G. Kanatzidis, Journal of the American
Chemical Society 129 (2007) 9780-9788.
.
G.D. Mahan, Good Thermoelectrics, Solid State Physics, vol. 51, Academic Press,
1997, pp. 82-157.
.
L.D. Hicks, T.C. Harman, X. Sun, M.S. Dresselhaus, Physical Review B 53 (1996)
R10493-R10496.
.
T.C. Harman, D.L. Spears, M.J. Manfra, Journal of Electronic Materials 25
(1996) 1121-1127.
.
A. Casian, I. Sur, H. Scherrer, Z. Dashevsky, Physical Review B 61 (2000)
15965.
.
A. Ishida, D. Cao, S. Morioka, M. Veis, Y. Inoue, T. Kita, Applied Physics
Letters 92 (2008) 182105.
.
G.S. Nolas, J. Sharp, H.J. Goldsmid, Thermoelectrics-Basic Principles and New
Materials Development, Springer, New York, 2001.
.
A.F. Ioffe, Semiconductor Thermoelements and Thermoelectric Cooling, Infosearch
Ltd., London, 1957.
.
C. Kittel, Introduction to Solid State Physics, John Wiley, New York, 1996.
.
H. Kroemer, C. Kittel, Thermal Physics, W.H. Freeman and Co., New York, 1980.
.
C.B. Vining, Nature Materials 7 (2008) 765-766.
.
D.G. Cahill, S.K. Watson, R.O. Pohl, Physical Review B: Condensed Matter 46
(1992) 6131-6140.
.
M.M. Koza, M.R. Johnson, R. Viennois, H. Mutka, L. Girard, D. Ravot, Nature7
(2008) 805-810.
.
B.C. Sales, B.C. Chakoumakos, D. Mandrus, Physical Review B 61 (2000) 2475
.
R.P. Hermann, F. Grandjean, G.J. Long, American Journal of Physics 73 (2005)
110-118.
.
M. Christensen, A.B. Abrahamsen, N.B. Christensen, F. Juranyi, N.H. Andersen,
K.Lefmann, J. Andreasson, C.R.H. Bahl, B.B. Iversen, Nature Materials 7 (2008)
811- 815.
.
A.A. Balandin, Journal of Nanoscience and Nanotechnology 5 (2005) 1015-1022.
.
X. Lu, Applied Physics Letters 104 (2008) 054314
.
E.T. Swartz, R.O. Pohl, Reviews of Modern Physics 61 (1989) 605-668.
.
P. Kim, L. Shi, A. Majumdar, P.L. McEuen, Physical Review Letters 87 (2001)
.
.
H. Maune, H.-Y. Chiu, M. Bockrath, Applied Physics Letters 89 (2006) 013109.
.
R.S. Prasher, Physical Review B 77 (2008) 075424.
.
R.S. Prasher, Applied Physics Letters 89 (2006) 063121.
.
R.S. Prasher, Applied Physics Letters 89 (2006) 063121.
.
L.J. Lauhon, M.S. Gudiksen, D. Wang, C.M. Lieber, Nature 420 (2002) 57-61.
.
P. Carruthers, Reviews of Modern Physics 33 (1961) 92-138