Розрахунок циклів теплових машин
І. Теоретична частина
Вступ
Досить нескладно отримати теплову енергію за рахунок роботи,
наприклад, досить потерти два предмети один до одного і виділиться теплова
енергія. Однак одержати механічну роботу за рахунок теплової енергії набагато
важче, і практично корисний пристрій для цього було винайдено лише близько 1700
р.
Тепловими машинами називають пристрої для перетворення
теплоти у роботу, тобто перетворення енергії хаотичного руху в енергію
упорядкованого. За другим началом термодинаміки таке перетворення можливе лише
при одночасному з роботою протіканні процесу „впорядкування” на який
затрачається частина початкової кількості теплоти. Тобто перетворити повністю
теплоту в роботу неможливо.
Проте актуальним є питання, як реалізувати цей процес найбільш
ефективно з мінімальними втратами теплоти. Відповідь на це питання дається у
матеріалі, що викладений нижче.
За призначенням теплові машини поділяються на теплові
двигуни, холодильні установки та теплові насоси.
Тепловими двигунами називаються безперервно діючі пристрої, у
яких відбувається перетворення теплоти у роботу; холодильні установки та
теплові помпи - це безперервно діючі пристрої, які призначені для перенесення
теплоти від тіл з меншою температурою до тіл з більшою.
тепловий двигун газотурбінний цикл
1. Класифікація циклів
Безперервну роботу теплових машин можна забезпечити, якщо
робоче тіло буде здійснювати круговий термодинамічний процес або цикл.
Цикли поділяються на прямі і зворотні. Цикл, в результаті
якого частина питомої підведеної теплоти q1 перетворюється у питому
роботу l0, а інша частина q2 віддається теплоприймачу,
називається прямим.
Якщо в результаті циклу теплота q2 переходить від
тіла з меншою температурою до тіла з більшою температурою завдяки затраті
зовнішньої роботи l0 , то такий цикл називається зворотним
(холодильним).
Ефективність прямого циклу оцінюється його термодинамічним
ККД :

(1.1)
Цикли теплових двигунів можна поділити в залежності від робочого
тіла на дві групи. Спільним для циклів першої групи є використання робочими
тілами газоподібних продуктів згорання палива, які протягом всього циклу
знаходяться в одному агрегатному стані при відносно високих температурах і які
можна вважати ідеальним газом (двигуни внутрішнього згорання, газові турбіни і
реактивні двигуни).
Цикли другої групи характерні використанням робочих тіл, які
впродовж циклу можуть змінювати агрегатний стан (рідина, волога і перегріта
пара) і підкоряються законам реальних газів.
У теплових машинах, які працюють за зворотним термодинамічним
циклом (холодильні машини), корисний ефект полягає у передачі питомої теплоти q2
від тіл з меншою температурою до тіл з більшою температурою. Компенсуючим
процесом тут є зовнішня питома робота l0.
Рис.1 Термодинамічна схема теплового насоса.
Ефективність такого циклу оцінюється відношенням питомої
кількості теплоти q2 (корисного ефекту) до питомої затраченої роботи
l0, яке називається холодильним коефіцієнтом.

(1.2)
Зворотний цикл може здійснюватися і у ширшому інтервалі температур,
див. рис.1. У цьому циклі теплота q2 передається від довкілля до
споживача (наприклад, системи опалювання), який має температуру Т, вищу від
температури довкілля Тд. Питома кількість теплоти, яка підводиться
до тіл з більшою температурою 
.
Такі установки називають тепловими насосами (помпами); їх
ефективність оцінюють коефіцієнтом перетворення теплоти

.
(1.3)
Ефективність термодинамічних циклів залежить від характеру
термодинамічних процесів, які утворюють цикл. Очевидно, за інших рівних умов
найбільшу ефективність мають ті цикли, у яких всі процеси оборотні.
Це означає, що у процесах підведення і відведення теплоти робоче тіло
повинно мати температуру, рівну відповідній температурі джерел теплоти, і ці
процеси повинні протікати без тертя та інших необоротних явищ.
Цикли, які складаються лише з оборотних процесів, називаються
оборотними.
Отже, для здійснення довільного оборотного циклу, у якому температура
робочого тіла в загальному випадку в кожній точці циклу має різне значення,
потрібна безмежна кількість джерел теплоти з різною температурою.
Цикл, який здійснюється з використанням мінімальної кількості джерел
теплоти - найпростіший. Прикладом такого циклу, що має лише два джерела теплоти
постійної температури, є цикл Карно.
Для реалізації циклу Карно достатньо лише двох джерел теплоти з різними
температурами: гаряче (тепловіддавач) з постійною температурою Т1 і
холодне (теплоприймач) з постійною температурою 
.
Прямий цикл Карно
Припустимо, що такі джерела у нас є, але необхідно виконати умову
оборотності підведення і відведення теплоти у циклі, а це означає, що процеси
теплообміну повинні бути ізотермічними з температурами Т1 і Т2.
Проте дві ізотерми не можуть забезпечити круговий процес. Замкнути цикл, за
умови відсутності інших зовнішніх джерел теплоти, між ізотермами Т1
і Т2 можливо лише адіабатами 2-3 і 4-1, див. рис. 2
Рис.2 Цикл Карно на „р-v” діаграмі. Т1-температура нагрівника, Т2-
охолоджувача.
Тому найпростіший оборотний цикл повинен складатися з двох ізотерм
(1-2, 3-4) і двох адіабат (2-3, 4-1). Такий цикл з двома джерелами теплоти був
вперше запропонований французьким інженером Саді Карно (1824 р.) і на його
честь названий циклом Карно.
З "Т-s" діаграми на рис. 3 випливає, що питома кількість
підведеної у прямому циклі теплоти дорівнює :

,
а питома кількість відведеної :
і термічний ККД циклу Карно відповідно запишеться так:

.
(1.4)
Рис.3. Цикл Карно на „Т-s” діаграмі.
Отже, термічний ККД циклу Карно залежить тільки від абсолютних
температур гарячого і холодного джерел теплоти і не залежить від властивостей
робочого тіла, тобто не залежить від того, чи буде робочим тілом ідеальний або
якийсь інший газ. Це положення має строге доведення і називається першою
теоремою Карно. Його можна представити у вигляді 
.
Зворотний цикл Карно
У цьому циклі, див. рис. 4, який відбувається проти ходу годинникової
стрілки і який почнемо від точки 3, робоче тіло спочатку стискується адіабатно
по шляху 3-4 з затратою зовнішньої питомої роботи l1, а потім
ізотермічно по 4-1 з віддачею питомої теплоти q1 зовнішньому
джерелу. Після цього відбувається адіабатне розширення робочого тіла 1-2 з
виконанням питомої роботи l2 і зниженням його температури від Т1
до Т2, яке продовжується по ізотермі 2-3 з отриманням від
внутрішнього джерела (холодильника) питомої теплоти q2.
Рис.4. Зворотний цикл Карно на „Т-s”
діаграмі. Позначення стандартні.
В результаті зворотного (холодильного) циклу теплота q2 від
холодного тіла передається до більш теплого за рахунок затрати зовнішньої
питомої роботи 
,
яка рівна площі прямокутника 34123, 
.
Описаний процес передачі теплоти від внутрішнього джерела до
зовнішнього не суперечить другому закону термодинаміки, оскільки він супроводжується
додатковим процесом перетворення роботи у теплоту.
Для зворотного циклу Карно холодильний коефіцієнт можна виразити через
температури Т1 і Т2. Дійсно, з виразу (1.1) холодильний
коефіцієнт зворотного циклу Карно може бути представлений так:

(1.5)
З останнього виразу випливає, що збільшення ефективності
холодильних установок зв’язане зі зменшенням різниці температур Т1 -
Т2 , зниженням температури довкілля Т1 і підвищенням температури
об'єму, що охолоджується Т2.
В залежності від величини цих температур, холодильний
коефіцієнт може бути як більшим, так і меншим від одиниці.
Еквівалентний цикл Карно
З рівності (1.5) випливає, що ККД циклу Карно тим більший,
чим вища температура тепловіддавача і чим менша температура теплоприймача. Це
основне твердження, яке випливає з виразу для ККД циклу Карно, дійсне для
будь-якого циклу теплового двигуна. Довільний цикл ABCD, див. рис. 5, у якому
підведення і відведення теплоти відбуваються при змінних температурах, можна
замінити еквівалентним циклом Карно1234, де теплоти q1 і q2 та
зміна питомої ентропії s1 - s2 відповідають таким самим
значенням, що і у довільному циклі ABCD.
Рис.5. Еквівалентний цикл Карно на „T-s”
діаграмі.
З урахуванням того, що за теоремою про середнє

(1.6)

(1.6а)
термічний ККД довільного циклу запишемо так :

(1.7)
Т2с і Т1с - середні термодинамічні температури,
які відповідають процесам підведення і відведення теплоти. З рівності (1.7)
випливає, що для підвищення термічного ККД будь-якого циклу теплових двигунів
необхідно збільшувати середню температуру в процесі підведення теплоти (Т1с)
і зменшувати середню температуру в процесі відведення теплоти (Т2с).
Границею термічного ККД довільного циклу, який відбувається між крайніми
температурами Tmax і Tmin, див. рис. 5, є термічний ККД
циклу Карно при 
.
Звідси отримаємо, що у даному інтервалі температур цикл Карно є найбільш
ефективним (друга теорема Карно).
Отже, ступінь досконалості довільного термодинамічного циклу можна
визначити, порівнявши його термічний ККД з ККД циклу Карно1΄2΄3΄4΄1΄, який відбувається між крайніми температурами цього
циклу.
. Цикли двигунів внутрішнього згорання (ДВЗ)
Машини, в яких паливо спалюється безпосередньо в циліндрі під поршнем,
називаються двигунами внутрішнього згорання (ДВЗ). Їх досить широко
використовують на транспорті, на електростанціях для приводу насосних
установок, на нафто- і газопереробних і бурових установках, у сільському
господарстві, на металургійних заводах.
У двигунах внутрішнього згорання умовно можна говорити про круговий
процес роботи, якщо не брати до уваги хімічних змін і визначати його ККД за
рівнянням, підставляючи роботу lц і витрату теплоти 
,
які дорівнюють їх теоретичним значенням для двигуна:

(2.1)
Неточність, що допускається при цьому, мала, тому що, незважаючи на
зміну хімічного складу робочого тіла при згоранні, газові постійні пальної
суміші і продуктів горіння незначно відрізняються одна від одної.
Існує декілька різних класифікацій ДВЗ:
) за способом підготовки пальної суміші розрізняють двигуни з
зовнішньою (карбюратори) і з внутрішньою підготовкою пальної суміші;
) за кількістю тактів розрізняють 2 типи поршневих ДВЗ: чотиритактні і
двотактні (за один такт приймають хід поршня від верхньої мертвої точки до
нижньої, причому всі типи двигунів можуть виконуватися як чотиритактними, так і
двотактними).
Основними характеристиками циклу теплового двигуна в залежності від
способу підводу теплоти можуть бути наступні безрозмірні величини:
) ступінь стиску (відношення питомих об’ємів робочого тіла на початку 
і
наприкінці 
стиску):

(2.2)
2) ступінь підвищення тиску (відношення тисків наприкінці 
і
на початку 
ізохорного
процесу підведення теплоти):

(2.3)
3) ступінь попереднього розширення чи ступінь ізобарного розширення
(відношення питомих об’ємів наприкінці 
і
на початку 
ізохорного
процесу підведення теплоти):

(2.4)
Усі сучасні поршневі двигуни внутрішнього згорання підрозділяють на три
групи:
) зі швидким згоранням палива з підводом теплоти при постійному об’ємі
(карбюраторні ДВЗ);
) з поступовим згоранням палива з підводом теплоти при постійному тиску
(компресорні дизелі);
) зі змішаним згоранням палива з підводом теплоти частково при
постійному об’ємі і частково при постійному тиску (безкомпресорні дизелі).
Віддача теплоти холодному джерелу 
у
всіх цих циклах здійснюється тільки в ізохорному процесі. Ці три види циклів
складаються з термодинамічних оборотних процесів. При їх дослідженні прагнуть
визначити умови для одержання максимального ККД.
Розглянемо цикл ДВЗ з підводом теплоти при постійному об’ємі на
прикладі чотиритактного двигуна. Діаграму ідеального циклу двигуна з підводом
теплоти при постійному об’ємі наведено на рисунку 3.13.
Ідеальний газ з початковими параметрами 
,

і

стискується
за адіабатою 1-2 до точки 2. За ізохорою 2-3 до робочого тіла підводиться певна
кількість теплоти 
.
Від точки 3 робоче тіло розширюється за адіабатою 3-4. І нарешті, за ізохорою
4-1 робоче тіло повертається в початковий стан, при цьому відводиться теплота 
у
теплоприймач. Характеристиками цього циклу є ступінь стиску ε (див. рівняння (2.2)) і ступінь підвищення
тиску λ (див. рівняння (2.3)). Якщо вважати, що
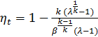
теплоємність Сv і величина k є постійними, то термічний ККД цього циклу можна
визначити за рівнянням :

(2.5)
Кількість підведеної теплоти дорівнює :

,
(2.6)
а кількість відведеної теплоти

.
(2.7).
Тоді термічний ККД циклу дорівнює :

(2.8)
Якщо значення температур виразити через ε, то рівняння (2.8) набуде вигляду :

(2.9)
З рівняння (2.9) випливає, що термічний ККД такого циклу залежить від
ступеня стиску ε і показника адіабати k або від природи
робочого тіла. ККД збільшується зі зростанням ε і показника адіабати k. Від ступеня
підвищення тиску λ термічний ККД не залежить.
Розглянемо ідеальний цикл двигуна з поступовим згоранням палива при
постійному тиску, тобто цикл із підводом теплоти при постійному тиску.
Створення такого двигуна зв'язують з ім'ям німецького інженера Дизеля, який
вперше розробив конструкцію подібного двигуна. На рисунку 3.14 зображено цей
цикл у Рv- і Ts-діаграмах. Здійснюється він у такий спосіб. Газоподібне робоче
тіло з початковими параметрами 
,

і

стискується
за адіабатою 1-2; потім до тіла за ізобарою 2-3 підводиться деяка кількість
теплоти 
.
Від точки 3 робоче тіло розширюється за адіабатою 3-4. І нарешті, за ізохорою
4-1 робоче тіло повертається в початковий стан, при цьому в теплоприймач
відводиться теплота 
.
Характеристиками циклу є ступінь стиску ε (див. рівняння (2.2)) і ступінь попереднього
розширення ρ (див. рівняння (2.4)). Якщо вважати, що
теплоємності Сv, Ср і величина k є постійними, то термічний ККД цього циклу
можна визначити за рівнянням

(2.10)
Кількість підведеної теплоти дорівнює :

,
(2.11)
а кількість відведеної теплоти :

(2.12)
Тоді термічний ККД циклу дорівнює

(2.13)
Якщо значення температур виразити через ε і ρ, то рівняння (2.13) набуде виду

.
(2.14)
З рівняння (2.14) випливає, що термічний ККД цього циклу залежить від
ступеня стиску ε, величини показника k і ступеня попереднього
розширення ρ. Зі збільшенням ε і k ККД збільшується, а зі збільшенням ρ - зменшується.
Розглянемо цикл ДВЗ зі змішаним згоранням палива з підводом теплоти
частково при постійному об’ємі і частково при постійному тиску. Ідеальний цикл
двигуна зі змішаним підводом теплоти зображено на Рv- і Ts-діаграмах на рисунку
3.15. Робоче тіло з параметрами 
,

і

стискується
за адіабатою 1-2 до точки 2. За ізохорою 2-3 до робочого тіла підводиться перша
частка теплоти 
’.
За ізобарою 3-4 підводиться друга частка теплоти 
”.
Від точки 4 робоче тіло розширюється за адіабатою 4-5. І нарешті, за ізохорою
5-1 робоче тіло повертається в початковий стан - в точку 1, при цьому
відводиться теплота 
у
теплоприймач.
Характеристиками циклу є ступінь стиску ε (див. рівняння (2.2)), ступінь підвищення
тиску λ (див. рівняння (2.3)) і ступінь попереднього
розширення 
.
Якщо вважати, що теплоємності Сv, Ср і величина k є постійними, то термічний
ККД цього циклу можна визначити за рівнянням

(2.15)
Кількість підведеної теплоти при постійному об’ємі дорівнює

(2.15)
Кількість підведеної теплоти при постійному тиску дорівнює

(2.16)
Тоді термічний ККД циклу дорівнює

.
(2.17)
Якщо значення температур виразити через ε, λ і ρ, то рівняння набуде вигляду

.
(2.18)
З рівняння випливає, що термічний ККД цього циклу залежить від ступеня
стиску ε, величини показника k, ступеня попереднього
розширення ρ і ступінь підвищення тиску λ. Зі збільшенням ε, k і λ ККД циклу зростає, а зі збільшенням ρ - ККД зменшується.
. Цикли газотурбінних установок (ГТУ)
Велике значення для економічності ГТУ має підвищення ефективного ККД
компресора, що входить до схеми установки. Справа в тім, що приблизно 75%
потужності газової турбіни витрачається на привід компресора, і тому загальний
ефективний ККД ГТУ головним чином визначається досконалістю роботи компресора.
ГТУ можуть працювати зі згоранням палива при постійному тиску і при постійному
об’ємі. Відповідні йому ідеальні цикли поділяються на цикли з підведенням
теплоти у процесі при постійному тиску і постійному об’ємі.
Цикл ГТУ з підведенням теплоти при постійному тиску. До камери згорання
через форсунки безупинно надходить повітря з турбокомпресора і паливо з
паливного насоса. З камери продукти згорання направляються до комбінованих
сопел, в котрих робоче тіло розширюється до тиску, близького до атмосферного.
Із сопел продукти згорання надходять на лопатки газової турбіни, а потім
викидаються в атмосферу через вихлопний патрубок.
На рисунку 3.17 подано ідеальний цикл ГТУ в Pv-и Ts-діаграмах з
підведенням теплоти при Р=const. У цьому циклі відвід теплоти від робочого тіла
виконується не за ізохорою, як це має місце в двигунах внутрішнього згорання, а
за ізобарою. У поршневих двигунах об’єм газів при розширенні обмежений об’ємом
циліндра. У газових турбінах такого обмеження немає і гази можуть розширюватися
до атмосферного тиску.
Робоче тіло з початковими параметрами 
,

і

стискується
за адіабатою 1-2 до точки 2. Від точки 2 до робочого тіла підводиться деяка
кількість теплоти 
за
ізобарою 2-3. Потім робоче тіло розширюється за адіабатою 3-4 до початкового
тиску і повертається за ізобарою 4-1 у початковий стан, при цьому відводиться
теплота 
.
Характеристиками циклу є ступінь підвищення тиску в компресорі

(3.1)
і ступінь ізобарного розширення

(3.2)
Якщо вважати, що теплоємність Ср і величина k є постійними, то
термічний ККД цього циклу можна визначити за рівнянням

(3.3)
Кількість підведеної теплоти при постійному тиску дорівнює

(3.4)
а кількість відведеної теплоти

(3.5)
Тоді термічний ККД циклу дорівнює

(3.6)

(3.7)
Таким чином, термічний ККД газотурбінної установки з підведенням
теплоти при постійному тиску залежить від ступеня підвищення тиску β і показника адіабати k і зі збільшенням цих
величин він зростає.
Цикл ГТУ з підведенням теплоти при постійному об’ємі. У цій установці
стиснуте у турбокомпресорі повітря надходить з ресивера (судини великої ємності
для вирівнювання тиску) через повітряний клапан у камеру згорання. Сюди ж
паливним насосом через паливний клапан подається рідке паливо. Продукти
згорання після проходження через сопловий клапан розширюються в соплі і
приводять в обертання ротор газової турбіни. Для здійснення періодичного
процесу горіння необхідно подавати повітря і паливо через керовані клапани у
визначені періоди часу. Процес горіння проводиться при закритих клапанах.
Запалення палива походить від електричної іскри. Після згорання палива тиск у
камері підвищується, відкривається сопловий клапан і продукти горіння направляються
в сопло, де і розширюються до кінцевого тиску.
На рисунку 3.19 на Pv- і Тs-діаграмах зображено ідеальний цикл ГТУ з
підводом теплоти при V=const. Робоче тіло з початковими параметрами 
,

і

стискується
за адіабатою 1-2 до точки 2, тиск у якій визначається ступенем підвищення
тиску. Далі за ізохорою 2-3 до робочого тіла підводиться деяка кількість
теплоти 
,
потім робоче тіло розширюється за адіабатою 3-4 до початкового тиску (точка 4)
і повертається в початковий стан за ізобарою 4-1, при цьому відводиться теплота

.
Характеристиками циклу є ступінь підвищення тиску в компресорі

(3.8)
і ступінь додаткового підвищення тиску

(3.9)
Якщо вважати, що теплоємності Ср, Сv і величина k є постійними,
то термічний ККД цього циклу можна визначити за рівнянням

(3.10)
Кількість підведеної теплоти при постійному об’ємі дорівнює

, (3.11)
а кількість відведеної теплоти при постійному тиску згідно з рівнянням

(3.12)
Тоді термічний ККД циклу дорівнює

(3.13)
Якщо значення температур виразити через β, λ і k, то рівняння (3.51) набуде виду

(3.14)
Таким чином, термічний ККД газотурбінної установки з підведенням
теплоти при постійному об’ємі залежить від ступеня підвищення тиску β, ступінь додаткового підвищення тиску λ і показника адіабати k, і зі збільшенням цих
величин він зростає.
Дійсний цикл ГТУ відрізняється від теоретичного наявністю втрат на
тертя і вихроутворення в турбіні і компресорі. Ефективними методами підвищення
економічності газотурбінних установок є регенерація теплоти, ступінчастий стиск
і розширення робочого тіла.
ІІ. Практичні завдання
Завдання 1.
1 кг повітря здійснює цикл Карно (рис. 1) в межах температур t1= 627°С і t2=
27°С, причому,найбільший тиск становить 60 бар, а найменший - 1 бар.
Визначити параметри стану повітря в характерних точках циклу,
роботу, термічний ККД циклу та кількість підведеної і відведеної теплоти.
Розв'язання:
Дано: P1 = 60 бар
P3 = 1
бар t1 = 627°C t2 = 27°C k =
1,4 
|

|
|
|
|
1) P, V, T - ? 2) lц - ? 3) ht - ? 4) q1 - ? 5) q2 - ?
|
|
|
Точка 1.
P1 = 
;
T1=
.
Питомий об’єм визначимо з рівняння Клапейрона:
Точка 2.
T2 = 
.
З рівняння адіабати (відрізок 2-3) :

.
З рівняння ізотерми (відрізок 1-2) :
Отримаємо
Точка 3.
T2 = 
.

Питомий об’єм визначимо з рівняння Клапейрона:
Точка 4.
T2 = 
.
З рівняння адіабати (відрізок 4-1) отримаємо :
З рівняння ізотерми (відрізок 3-4) отримуємо наступну рівність
Визначаємо термічний ККД циклу:
Визначаємо кількість підведеної і відведеної теплоти (теплоємність
повітря прийняли сталою, незалежно від температури):
Визначаємо роботу циклу:

.
Для перевірки можна скористатися формулою
Завдання 2.
Для ідеального циклу поршневого ДВЗ з підведенням теплоти при V =
const. визначити параметри в характерних точках, одержану роботу, термічний
ККД, кількість підведеної і відведеної теплоти, якщо: Р1=1 бар; t1
= 20°C, степінь стискання e = 3,6; степінь
підвищення тиску (відношення параметрів в ізохорному процесі) l = 3,33; показник адіабати k = 1,4. Робоче тіло -
повітря. Теплоємність прийняти сталою.
Дано: V = const P1 = 1 бар t1 = 20°C e = 3,6 l = 3,33 k = 1,4 
|
|
|
|
1) P, V, T - ? 2) lц - ? 3) ht - ? 4) q1 - ? 5) q2 - ?
|
|
Точка 1.
P1 = 
;
T1 = 
.
Питомий об’єм визначимо з рівняння Клапейрона:
Точка 2.
Питомий об’єм визначаємо зі степеня стискання:
Перша стадія циклу - адіабатне стиснення. Температура наприкінці
адіабатного стискання визначається із співвідношення параметрів (показник
адіабати для повітря = 1,4)

;
t2 = 216°C
Тиск в кінці адіабатного стискання визначимо з рівняння Клапейрона:
Точка 3.
Друга стадія циклу - ізохорне підведення теплоти, питомий об’єм
Степінь підвищення тиску при цьому складає 3,33. Зі співвідношення
параметрів ізохорного процесу одержуємо:

Визначаємо тиск та температуру:
Точка 4.
Третя стадія - адіабатне розширення.
Питомий об’єм 
(тому
що четверта стадія циклу - ізохорне відведення теплоти). Температуру в кінці
адіабатного розширення визначаємо зі співвідношення параметрів адіабатного
процесу:
Тиск в кінці адіабатного розширення визначаємо з рівняння Клапейрона:
Тиск можна визначити також із співвідношення параметрів ізохорного
процесу:
Визначаємо кількість підведеної і відведеної теплоти (теплоємність
повітря прийняли сталою, незалежно від температури ):
Визначаємо термічний ККД циклу:
Визначаємо роботу циклу:

.
Завдання 3.
Визначити параметри точок циклу ДВЗ з підведенням теплоти при сталому
об’ємі (рис. 2), якщо відомо, що Р1=0,78 бар, t1=87°С, степінь стискання e = 7,0 і степінь підвищення тиску l = 3,2, робочим тілом є 1 кг сухого повітря, показник
адіабати k = 1,4
Розв'язання:
Дано: V = const P1 = 0,78
бар t1 = 87°C e = 7,0 l = 3,2 k = 1,4 
|
|
|
|
P, V, T - ?
|
|
Точка 1.
P1 = 
;
T1
= 
.
Питомий об’єм визначимо з рівняння Клапейрона:
Точка 2.
Питомий об’єм визначаємо зі степеня стискання:
Перша стадія циклу - адіабатне стиснення. Температура наприкінці
адіабатного стискання визначається із співвідношення параметрів (показник
адіабати для повітря = 1,4)

; t2
= 512°C
Тиск в кінці адіабатного стискання визначимо з рівняння Клапейрона:
Точка 3.
Друга стадія циклу - ізохорне підведення теплоти, питомий об’єм
Степінь підвищення тиску при цьому складає 3,2. Зі співвідношення
параметрів ізохорного процесу одержуємо:
Визначаємо тиск та температуру:
Точка 4.
Третя стадія - адіабатне розширення. Питомий об’єм 
(тому
що четверта стадія циклу - ізохорне відведення теплоти). Температуру в кінці
адіабатного розширення визначаємо зі співвідношення параметрів адіабатного
процесу:
Тиск в кінці адіабатного розширення визначаємо з рівняння Клапейрона:
