Технология и организация строительства автомобильных дорог

  • Вид работы:
    Курсовая работа (т)
  • Предмет:
    Строительство
  • Язык:
    Русский
    ,
    Формат файла:
    MS Word
    2,65 Мб
  • Опубликовано:
    2015-01-23
Вы можете узнать стоимость помощи в написании студенческой работы.
Помощь в написании работы, которую точно примут!

Технология и организация строительства автомобильных дорог

Федеральное государственное бюджетное образовательное учреждение

высшего профессионального образования

«Уфимский государственный нефтяной технический университет»

Кафедра «Автомобильные дороги и технологии строительного производства»





КУРСОВАЯ РАБОТА

по дисциплине:   «Технология и организация строительства автомобильных дорог»

Раздел:       «Производственные предприятия дорожного строительства»

Вариант 15


Выполнил:ст. гр. БДС-11-01 Исхаков Р.Ф

Проверил:  Асадуллина З.У.




Уфа

Содержание

Введение

Анализ исходных данных

Район строительства

Характеристики строящейся автомобильной дороги

Оценка природных и климатических условий

Выбор органических вяжущих для приготовления асфальтобетонных смесей

Расчёт потребности в дорожно-строительных материалах       

Установление сроков работы битумной базы

Расчет емкости и размеров битумохранилища       

Расчет требуемого тепла

Расчет паровых нагревательных устройств

Расчет потребности в паре

Определение количества плавильных установок

Выбор типа расходной емкости битума

Выбор битумных насосов

Рачет потребности в воде

Расчет протребности в электроэнергии

Численность работников битумной базы

Разработка генерального плана битумной базы     

Контроль качества исходных материалов и готовой продукции

Требования к материалам для приготовления асфальтобетонных смесей

Операционный контроль при приготовлении горячей асфальтобетонной смеси

Список литературы

автомобильная дорога битум асфальтобетонный

Введение

Курсовая работа изложена на 22 страницах машинописного текста, включает 77 таблиц, 5 рисунков, 1 чертеж формата А1. Список использованных источников включает 11 наименований.

Битумная база - производственное предприятие дорожной организации (или цех асфальтобетонного завода, эмульсионной базы и др.), специально оборудованное для приема, хранения и подготовки в рабочее состояние вяжущих материалов и выдачи потребителю по потребности для приготовления смесей, эмульсий, изоляционных работ и др.

Битумные базы предназначаются для приемки, хранения и подготовки для использования битума и других органических вяжущих материалов при строительстве дорог и аэродромов. В зависимости от наличия железнодорожного пути битумные базы классифицируют на прирельсовые и приобъектные, доставка вяжущих материалов на которые производится автобитумовозами.

При наличии приобъектной базы в ряде случаев приходится устраивать промежуточную базу-склад, как правило, около железной дороги, иногда с устройством железнодорожного тупика. Обычно на базе-складе только хранят битум с нагревом его до состояния текучести (80-90°С), доставляя битум на приобъектную базу.

Если расстояние от базы-склада невелико (в пределе экономичной дальности транспортирования), на ней организуют обезвоживание и нагрев битума до рабочей температуры (150-170°С), доставляя горячий битум в автобитумовозах или автогудронаторах. Доставку битума со склада-базы организуют по часовым графикам, увязанным с потребностями в вяжущих материалах.

Доставка и разгрузка битума. При транспортировании битумов по железной дороге в качестве транспортных средств используют цистерны-термосы грузоподъемностью 50-80 т или бункерные полувагоны 40-60 т, в составе которых имеются четыре-шесть секций (бункеров). Полезная грузоподъемность автобитумовозов от 7 до 60 т. Все виды транспортных средств имеют теплоизоляцию и устройство для разогрева битума паром, топочными газами и электрообогрев. Бункерные полувагоны имеют двойные стенки для пропуска пара при разогреве. Слив битума из железнодорожных цистерн производится через сливной патрубок - клапан, к которому прикрепляют шланг или сливают непосредственно по лотку в битумохранилище. Для разгрузки бункерные полувагоны используют лебедку. При этом опрокидывают отдельно каждый бункер на широкий лоток, по которому содержимое скатывается комом в битумо-хранилище или стекает по нему (в зависимости от состояния битума). Из автобитумовозов битум сливают самотеком через патрубок, к которому крепится гибкий шланг, или путем перекачки насосом. Целесообразен принудительный слив из цистерн-термосов, а не самотеком. При использовании насоса снижаются потери при разгрузке, приемная площадка не загрязняется. Жидкие битумы и сырые дегти при температуре воздуха 10° С сливают без подогрева. В холодное время необходим подогрев их до температуры 40-50°С.

Анализ исходных данных

Район строительства

Рисунок 1 - Карта Свердловской области

Свердло́вская о́бласть - субъект Российской Федерации, входит в состав Уральского федерального округа <https://ru.wikipedia.org/wiki/%D0%A3%D1%80%D0%B0%D0%BB%D1%8C%D1%81%D0%BA%D0%B8%D0%B9_%D1%84%D0%B5%D0%B4%D0%B5%D1%80%D0%B0%D0%BB%D1%8C%D0%BD%D1%8B%D0%B9_%D0%BE%D0%BA%D1%80%D1%83%D0%B3>.

Административный центр - г. Екатеринбург <https://ru.wikipedia.org/wiki/%D0%95%D0%BA%D0%B0%D1%82%D0%B5%D1%80%D0%B8%D0%BD%D0%B1%D1%83%D1%80%D0%B3>. Граничит на западе с Пермским краем <https://ru.wikipedia.org/wiki/%D0%9F%D0%B5%D1%80%D0%BC%D1%81%D0%BA%D0%B8%D0%B9_%D0%BA%D1%80%D0%B0%D0%B9>, на севере с Республикой Коми <https://ru.wikipedia.org/wiki/%D0%A0%D0%B5%D1%81%D0%BF%D1%83%D0%B1%D0%BB%D0%B8%D0%BA%D0%B0_%D0%9A%D0%BE%D0%BC%D0%B8> иХанты-Мансийским автономным округом <https://ru.wikipedia.org/wiki/%D0%A5%D0%B0%D0%BD%D1%82%D1%8B-%D0%9C%D0%B0%D0%BD%D1%81%D0%B8%D0%B9%D1%81%D0%BA%D0%B8%D0%B9_%D0%B0%D0%B2%D1%82%D0%BE%D0%BD%D0%BE%D0%BC%D0%BD%D1%8B%D0%B9_%D0%BE%D0%BA%D1%80%D1%83%D0%B3_%E2%80%94_%D0%AE%D0%B3%D1%80%D0%B0>, на востоке с Тюменской областью <https://ru.wikipedia.org/wiki/%D0%A2%D1%8E%D0%BC%D0%B5%D0%BD%D1%81%D0%BA%D0%B0%D1%8F_%D0%BE%D0%B1%D0%BB%D0%B0%D1%81%D1%82%D1%8C>, на юге с Курганской <https://ru.wikipedia.org/wiki/%D0%9A%D1%83%D1%80%D0%B3%D0%B0%D0%BD%D1%81%D0%BA%D0%B0%D1%8F_%D0%BE%D0%B1%D0%BB%D0%B0%D1%81%D1%82%D1%8C>, Челябинской <https://ru.wikipedia.org/wiki/%D0%A7%D0%B5%D0%BB%D1%8F%D0%B1%D0%B8%D0%BD%D1%81%D0%BA%D0%B0%D1%8F_%D0%BE%D0%B1%D0%BB%D0%B0%D1%81%D1%82%D1%8C> областями и Республикой Башкортостан <https://ru.wikipedia.org/wiki/%D0%91%D0%B0%D1%88%D0%BA%D0%BE%D1%80%D1%82%D0%BE%D1%81%D1%82%D0%B0%D0%BD>.

Датой основания административного центра области считается 1723 год, когда начал работу Казенный металлургический завод на реке Исеть <https://ru.wikipedia.org/wiki/%D0%98%D1%81%D0%B5%D1%82%D1%8C>[4] <https://ru.wikipedia.org/wiki/%D1%E2%E5%F0%E4%EB%EE%E2%F1%EA%E0%FF_%EE%E1%EB%E0%F1%F2%FC>. В своё время область входила в состав Сибирской губернии <https://ru.wikipedia.org/wiki/%D0%A1%D0%B8%D0%B1%D0%B8%D1%80%D1%81%D0%BA%D0%B0%D1%8F_%D0%B3%D1%83%D0%B1%D0%B5%D1%80%D0%BD%D0%B8%D1%8F>, а затем Зауральской области Пермской губернии <https://ru.wikipedia.org/wiki/%D0%9F%D0%B5%D1%80%D0%BC%D1%81%D0%BA%D0%B0%D1%8F_%D0%B3%D1%83%D0%B1%D0%B5%D1%80%D0%BD%D0%B8%D1%8F> Российской империи <https://ru.wikipedia.org/wiki/%D0%A0%D0%BE%D1%81%D1%81%D0%B8%D0%B9%D1%81%D0%BA%D0%B0%D1%8F_%D0%B8%D0%BC%D0%BF%D0%B5%D1%80%D0%B8%D1%8F>.

Характеристики строящейся автомобильной дороги

Строящаяся автомобильная дорога является дорогой IV категории. Автомобильная дорога имеет следующие параметры [1]:

Число полос - 2

Ширина полосы движения - 3 м

Ширина проезжей части - 6 м

Ширина обочин - 2 м

Наименьшая ширина укрепленной полосы обочины - 0,5 м

Ширина земляного полотна - 10 м

Протяженность - 41 км;

Рисунок - 2 Эскиз поперечного профиля дорожной одежды:

-верхний слой покрытия (МЗ плотный а/б, тип Б, м I, 5 см); 2-нижний слой покрытия (холодный а/б м II, 7 см); 3- верхний слой основания (щебень рядовой, 13,5 см); 4-нижний слой основания (Песок, 19 см).

Оценка природных и климатических условий

Климат Свердловской области умеренно континентальный. Зима <https://ru.wikipedia.org/wiki/%D0%97%D0%B8%D0%BC%D0%B0> снежная, продолжительная; лето <https://ru.wikipedia.org/wiki/%D0%9B%D0%B5%D1%82%D0%BE> умеренно-тёплое; большинство атмосферных осадков <https://ru.wikipedia.org/wiki/%D0%90%D1%82%D0%BC%D0%BE%D1%81%D1%84%D0%B5%D1%80%D0%BD%D1%8B%D0%B5_%D0%BE%D1%81%D0%B0%D0%B4%D0%BA%D0%B8> выпадает в тёплое полугодие. Среднегодовая температура воздуха колеблется от 0 °C на севере до +4 °C на юге Свердловской области, а на северо-востоке края (в горной местности) среднегодовая температура составляет ниже 0 °C. Годовая норма осадков составляет от 410-450 мм на юго-западе края до 1000 мм на крайнем северо-востоке края[2] <https://ru.wikipedia.org/wiki/%D0%9A%D0%BB%D0%B8%D0%BC%D0%B0%D1%82_%D0%9F%D0%B5%D1%80%D0%BC%D1%81%D0%BA%D0%BE%D0%B3%D0%BE_%D0%BA%D1%80%D0%B0%D1%8F>.

Районы  Алапаевский <https://ru.wikipedia.org/wiki/%D0%90%D0%BB%D0%B0%D0%BF%D0%B0%D0%B5%D0%B2%D1%81%D0%BA%D0%B8%D0%B9_%D1%80%D0%B0%D0%B9%D0%BE%D0%BD>, Артёмовский <https://ru.wikipedia.org/w/index.php?title=%D0%90%D1%80%D1%82%D1%91%D0%BC%D0%BE%D0%B2%D1%81%D0%BA%D0%B8%D0%B9_%D1%80%D0%B0%D0%B9%D0%BE%D0%BD_(%D0%A1%D0%B2%D0%B5%D1%80%D0%B4%D0%BB%D0%BE%D0%B2%D1%81%D0%BA%D0%B0%D1%8F_%D0%BE%D0%B1%D0%BB%D0%B0%D1%81%D1%82%D1%8C)&action=edit&redlink=1>, Артинский <https://ru.wikipedia.org/wiki/%D0%90%D1%80%D1%82%D0%B8%D0%BD%D1%81%D0%BA%D0%B8%D0%B9_%D1%80%D0%B0%D0%B9%D0%BE%D0%BD>, Ачитский <https://ru.wikipedia.org/wiki/%D0%90%D1%87%D0%B8%D1%82%D1%81%D0%BA%D0%B8%D0%B9_%D1%80%D0%B0%D0%B9%D0%BE%D0%BD>, Байкаловский <https://ru.wikipedia.org/wiki/%D0%91%D0%B0%D0%B9%D0%BA%D0%B0%D0%BB%D0%BE%D0%B2%D1%81%D0%BA%D0%B8%D0%B9_%D1%80%D0%B0%D0%B9%D0%BE%D0%BD>, Белоярский <https://ru.wikipedia.org/wiki/%D0%91%D0%B5%D0%BB%D0%BE%D1%8F%D1%80%D1%81%D0%BA%D0%B8%D0%B9_%D1%80%D0%B0%D0%B9%D0%BE%D0%BD>, Богдановичский <https://ru.wikipedia.org/w/index.php?title=%D0%91%D0%BE%D0%B3%D0%B4%D0%B0%D0%BD%D0%BE%D0%B2%D0%B8%D1%87%D1%81%D0%BA%D0%B8%D0%B9_%D1%80%D0%B0%D0%B9%D0%BE%D0%BD&action=edit&redlink=1>, Верхнесалдинский <https://ru.wikipedia.org/w/index.php?title=%D0%92%D0%B5%D1%80%D1%85%D0%BD%D0%B5%D1%81%D0%B0%D0%BB%D0%B4%D0%B8%D0%BD%D1%81%D0%BA%D0%B8%D0%B9_%D1%80%D0%B0%D0%B9%D0%BE%D0%BD&action=edit&redlink=1>, Верхотурский <https://ru.wikipedia.org/w/index.php?title=%D0%92%D0%B5%D1%80%D1%85%D0%BE%D1%82%D1%83%D1%80%D1%81%D0%BA%D0%B8%D0%B9_%D1%80%D0%B0%D0%B9%D0%BE%D0%BD&action=edit&redlink=1>, Гаринский <https://ru.wikipedia.org/wiki/%D0%93%D0%B0%D1%80%D0%B8%D0%BD%D1%81%D0%BA%D0%B8%D0%B9_%D1%80%D0%B0%D0%B9%D0%BE%D0%BD>, Ирбитский <https://ru.wikipedia.org/wiki/%D0%98%D1%80%D0%B1%D0%B8%D1%82%D1%81%D0%BA%D0%B8%D0%B9_%D1%80%D0%B0%D0%B9%D0%BE%D0%BD>,Каменский <https://ru.wikipedia.org/wiki/%D0%9A%D0%B0%D0%BC%D0%B5%D0%BD%D1%81%D0%BA%D0%B8%D0%B9_%D1%80%D0%B0%D0%B9%D0%BE%D0%BD_(%D0%A1%D0%B2%D0%B5%D1%80%D0%B4%D0%BB%D0%BE%D0%B2%D1%81%D0%BA%D0%B0%D1%8F_%D0%BE%D0%B1%D0%BB%D0%B0%D1%81%D1%82%D1%8C)>, Камышловский <https://ru.wikipedia.org/wiki/%D0%9A%D0%B0%D0%BC%D1%8B%D1%88%D0%BB%D0%BE%D0%B2%D1%81%D0%BA%D0%B8%D0%B9_%D1%80%D0%B0%D0%B9%D0%BE%D0%BD>, Красноуфимский <https://ru.wikipedia.org/wiki/%D0%9A%D1%80%D0%B0%D1%81%D0%BD%D0%BE%D1%83%D1%84%D0%B8%D0%BC%D1%81%D0%BA%D0%B8%D0%B9_%D1%80%D0%B0%D0%B9%D0%BE%D0%BD>, Невьянский <https://ru.wikipedia.org/wiki/%D0%9D%D0%B5%D0%B2%D1%8C%D1%8F%D0%BD%D1%81%D0%BA%D0%B8%D0%B9_%D1%80%D0%B0%D0%B9%D0%BE%D0%BD>, Нижнесергинский <https://ru.wikipedia.org/wiki/%D0%9D%D0%B8%D0%B6%D0%BD%D0%B5%D1%81%D0%B5%D1%80%D0%B3%D0%B8%D0%BD%D1%81%D0%BA%D0%B8%D0%B9_%D1%80%D0%B0%D0%B9%D0%BE%D0%BD>, Новолялинский <https://ru.wikipedia.org/wiki/%D0%9D%D0%BE%D0%B2%D0%BE%D0%BB%D1%8F%D0%BB%D0%B8%D0%BD%D1%81%D0%BA%D0%B8%D0%B9_%D1%80%D0%B0%D0%B9%D0%BE%D0%BD>, Пригородный <https://ru.wikipedia.org/wiki/%D0%9F%D1%80%D0%B8%D0%B3%D0%BE%D1%80%D0%BE%D0%B4%D0%BD%D1%8B%D0%B9_%D1%80%D0%B0%D0%B9%D0%BE%D0%BD_(%D0%A1%D0%B2%D0%B5%D1%80%D0%B4%D0%BB%D0%BE%D0%B2%D1%81%D0%BA%D0%B0%D1%8F_%D0%BE%D0%B1%D0%BB%D0%B0%D1%81%D1%82%D1%8C)>, Пышминский <https://ru.wikipedia.org/wiki/%D0%9F%D1%8B%D1%88%D0%BC%D0%B8%D0%BD%D1%81%D0%BA%D0%B8%D0%B9_%D1%80%D0%B0%D0%B9%D0%BE%D0%BD>, Режевской <https://ru.wikipedia.org/wiki/%D0%A0%D0%B5%D0%B6%D0%B5%D0%B2%D1%81%D0%BA%D0%BE%D0%B9_%D1%80%D0%B0%D0%B9%D0%BE%D0%BD>, Серовский <https://ru.wikipedia.org/wiki/%D0%A1%D0%B5%D1%80%D0%BE%D0%B2%D1%81%D0%BA%D0%B8%D0%B9_%D1%80%D0%B0%D0%B9%D0%BE%D0%BD>, СлободоТуринский <https://ru.wikipedia.org/wiki/%D0%A1%D0%BB%D0%BE%D0%B1%D0%BE%D0%B4%D0%BE-%D0%A2%D1%83%D1%80%D0%B8%D0%BD%D1%81%D0%BA%D0%B8%D0%B9_%D1%80%D0%B0%D0%B9%D0%BE%D0%BD>,Сухоложский <https://ru.wikipedia.org/wiki/%D0%A1%D1%83%D1%85%D0%BE%D0%BB%D0%BE%D0%B6%D1%81%D0%BA%D0%B8%D0%B9_%D1%80%D0%B0%D0%B9%D0%BE%D0%BD>, Сысертский <https://ru.wikipedia.org/wiki/%D0%A1%D1%8B%D1%81%D0%B5%D1%80%D1%82%D1%81%D0%BA%D0%B8%D0%B9_%D1%80%D0%B0%D0%B9%D0%BE%D0%BD>, Таборинский <https://ru.wikipedia.org/wiki/%D0%A2%D0%B0%D0%B1%D0%BE%D1%80%D0%B8%D0%BD%D1%81%D0%BA%D0%B8%D0%B9_%D1%80%D0%B0%D0%B9%D0%BE%D0%BD>, Тавдинский <https://ru.wikipedia.org/wiki/%D0%A2%D0%B0%D0%B2%D0%B4%D0%B8%D0%BD%D1%81%D0%BA%D0%B8%D0%B9_%D1%80%D0%B0%D0%B9%D0%BE%D0%BD>, Талицкий <https://ru.wikipedia.org/wiki/%D0%A2%D0%B0%D0%BB%D0%B8%D1%86%D0%BA%D0%B8%D0%B9_%D0%B3%D0%BE%D1%80%D0%BE%D0%B4%D1%81%D0%BA%D0%BE%D0%B9_%D0%BE%D0%BA%D1%80%D1%83%D0%B3>, Тугулымский <https://ru.wikipedia.org/wiki/%D0%A2%D1%83%D0%B3%D1%83%D0%BB%D1%8B%D0%BC%D1%81%D0%BA%D0%B8%D0%B9_%D1%80%D0%B0%D0%B9%D0%BE%D0%BD>, Туринский <https://ru.wikipedia.org/wiki/%D0%A2%D1%83%D1%80%D0%B8%D0%BD%D1%81%D0%BA%D0%B8%D0%B9_%D1%80%D0%B0%D0%B9%D0%BE%D0%BD>, Шалинский <https://ru.wikipedia.org/wiki/%D0%A8%D0%B0%D0%BB%D0%B8%D0%BD%D1%81%D0%BA%D0%B8%D0%B9_%D1%80%D0%B0%D0%B9%D0%BE%D0%BD>;

Рисунок 3 - Дорожные климатические зоны

Из рисунка 3 следует, что строящаяся автомобильная дорога пролегает во третей дорожно-климатической зоне.

По [2] находим среднемесячную температуру воздуха для Свердловской области, таблица 1.

Таблица 1 - Среднемесячная и годовая температура воздуха, ºС

I

II

III

IV

V

VI

VII

VIII

IX

X

XI

XII

Год

Свердловская

-15,1

-13,4

-7,2

2,6

10,2

16

18,1

15,6

9,4

1,6

-6,6

-12,9

1,5

Рисунок - 4 Дорожно-климатический график района пролегания участка дороги

Составив график изменения среднемесячной температуры и отметив периоды распутицы. Получаем период продолжительностью 131 день, с 6 мая по 13 сентября, в течении которого могут производиться строительные работы в летний период.

Определяем повторяемость направлений таблица 2.

Таблица - 2 Повторяемость направлений ветра, %

С

СВ

В

ЮВ

Ю

ЮЗ

З

СЗ

Июль

18

10

10

12

10

12

14

14


Исходя из повторяемости направлений ветра, согласно таблицы 2, составляем розу ветров (рисунок 3) для летнего периода года.

Рисунок 5 - Роза ветров для Свердловской области

Выбор органических вяжущих для приготовления асфальтобетонных смесей

По [4, 5] устанавливаю марку битума для каждого асфальтобетонного слоя, а также процентное содержание битума в смеси:

битум для МЗ плотного а/б м. I, тип Б - БНД 90/130 (6%);

битум для холодного а/б м. II - БНД 90/130 (5%);

битум для щебня рядового, обработанной битумной эмульсией - БНД 90/130 (4%).

Расчёт потребности в дорожно-строительных материалах

Расчет сезонной потребности в асфальтобетонных смесях для каждого слоя покрытия или основания производится по формуле:

, т где:

 - площадь укладки смеси в слой, м2;

 - толщина слоя (по заданию), м;

 - плотность слоя в уплотненном состоянии, т/м3(=2,0-2,3 т/м3 - для а/б, =1,6-2,0 т/м3-для основания из щебня, =1,5-1,6т/м3-для основания из песка);

 - коэффициент, учитывающий потери смеси при транспортировании

( = 1,02);

 - коэффициент, учитывающий количество смеси, необходимой для выравнивания основания (=1,1 только для нижнего слоя покрытия, для верхнего -=1,0)

Общая потребность в асфальтобетонных смесях в строительном сезоне определяется суммой потребности в смесях для отдельных слоев:

, т

Потребность битуме определяется по формуле:

 т где:

Расчет потребности в МЗ плотного а/б:

Общее количество асфальтобетона:

т

Расход битума:


Расчет потребности холодного а/б:

Общее количество асфальтобетона:

.

Расход битума:


Расчет потребности в щебне, обработанной битумной эмульсией:

Общее количество смеси:

 т.

Расход битума:


Общая потребность в асфальтобетонных смесях в строительном сезоне:


Общая потребность в битуме в строительном сезоне:

УСТАНОВЛЕНИЕ СРОКОВ РАБОТЫ БИТУМНОЙ БАЗЫ

Число рабочих дней АБЗ - Т рассчитывается по формуле:

Т = Тк - Тв - Тм - Тр, где:

Тв - число выходных и праздничных дней в период Тк; [3]

Тм - простои завода по метеоусловиям, дни; [3]

Тр - число дней на ремонт и профилактику машин и оборудования, Тр=0,07Тк.

Тв = 49 дней

Т = 157 - 49 - 15 - 11 = 82 дня

Результаты расчетов сводятся в таблицу 3.

Таблица 3 - Продолжительность работы АБЗ

Наименование продукции базы

Сроки производства Работ

Число нерабочих дней

Число рабочих дней, Т


Тнач

Токонч

Тк

Тв

Тм

Тр


1. Битум БНД 90/130

6.V

13.X

157

49

15

11

82


Расчет емкости и размеров битумохранилища

Битумохранилища предназначены для долго- или кратковременного хранения битума, нагревая его до состояния текучести и выдачи в установки обезвоживания и нагрева. Одно из важнейших требований к хранению битума - исключить загрязнение и попадание в него атмосферной и грунтовой воды.

Битумохранилища представляют собой резервуар вместимостью 100-3000 т. Битумохранилища вместимостью свыше 500 т выполняют секционными, состоящими из нескольких отсеков для хранения битума разных марок. Вместимость битумохранилища определяется суточным расходом битума и периодичностью поставок.

Оборудование для нагрева битума, используемое в битумохранилищах длительного хранения, включает оборудование для нагрева битума до температуры текучести (50-60°С), которое устанавливают непосредственно в хранилище; оборудование для нагрева до температуры перекачивания насосом (90-95 °С) внутри хранилища или в дополнительном отсеке битумонагревательных котлов, обеспечивающих обезвоживание и нагрев битума при рабочей температуре 140-160°С и выдачу его потребителям.

Битумохранилища классифицируют по вместимости резервуара и назначению, по расположению резервуара относительно поверхности земли, наличию нагревателей, виду применяемого теплоносителя и конструкции.

По вместимости и назначению битумохранилища бывают: временные с вместимостью резервуара до 100 т, закрытые или открытые; с вместимостью резервуара до 500 т - переходные, реже открытые; с вместимостью резервуара свыше 500 т - постоянные, закрытые. По расположению резервуара относительно поверхности земли различают битумохранилища ямного (рис. 6, а), полуямного (рис. 6, б) и наземного (рис.6, в) типов.

Рис. 6 Битумохранилища: а - ямное, б - полуямное, в - наземное

Емкость битумохранилища рассчитывают исходя из:

сменной производительности завода;

переходящего запаса битума, который устанавливается в зависимости от способа доставки и режима работы завода.

Проектирование битумохранилища сводится к определению запасов хранения, площади хранилища и расчету требуемого количества тепла.

Максимальный запас - это предельное количество материалов, которое модно хранить на складах. Максимальный запас органических вяжущих определяется по формуле:


где общая потребность на сезон в материале, т;

 максимальная норма хранения материалов (для жидких органических вяжущий ;

 коэффициент, учитывающий потери материала при хранении, погрузке или разгрузке, равный 1,01.


Площадь хранилища исходя из максимального запаса определяется по формуле:


где  - максимальный запас битума, подлежащий хранению на заводе, т;

 коффициент запаса площади, 1,25;

средняя толщина слоя битума в хранилище, ;



Битумохранилище, как правило, строят специального типа, состоящим из двух-трех самостоятельных секций, что позволяет одновременно хранить несколько марок вяжущего, упрощает работу по приемке и выдаче битума.

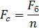
Площадь каждой секции Fc при средней толщине битума h определяют по формуле:


где количество секций, ;


Минимальную длину секции назначают из условия обеспечения разгрузки. При доставке битума железнодорожным транспортом длина секции Lc должна быть не менее 12м . В этом случае ширина секции:


Исходя из значения строительного модуля, равного 3, ширина и длина секции должна быть кратным 3.


Расчет требуемого тепла

Принимаем подогрев битума в битумохранилище двуступенчатым. На первой ступени производим подогрев от температуры tn=10°С до t1=60°С.

Вторичный подогрев от t1=60оС до t2-90°С. Такая температура обеспечивает перекачку битума из хранилища в битумные котлы. Практика показывает, что содержание воды в битуме на стадии поступления в хранилище составляет от 1 до 3 %.

Полный расход тепла в отсеке битумохранилища рассчитывается по формуле:


где  - количество тепла, затрачиваемое на предварительный разогрев битума в хранилище, ;

 количество тепла, затрачиваемое на плавление битума в приямке,.

Полный расход тепла на предварительный разогрев битума в хранилище рассчитывается по формуле:


где  - коэффициент неучтенных потерь, 1,1;

 - количество тепла, затрачиваемое на подогрев битума в хранилище,;

 количество тепла, затрачиваемое на плавление битума в хранилище,;

 потери тепла в окружающую среду,.

Количество тепла для предварительного нагрева битума определяют по формуле:


где  теплоемкость битума, равная 1,47 кДж/кг°С;

 начальная и конечная температура подогрева битума на i-ой ступени, °С;

коэффициент, учитывающий потери тепла в окружающую среду, ;

 часовая производительность битумохранилища по выдаче битума, которую рассчитывают по формуле:


количество смен в день;

 - продолжительность рабочей смены, час.


Количество тепла, необходимое для расплавления битума в хранилище рассчитывают по формуле:


скрытая теплота плавления битума, 126


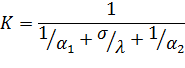
Потери тепла в окружающую среду рассчитывают по формуле:


где  - коэффициент теплоотдачи от битума к дну хранилища, 1,68кДж/м2чоС

 - коэффициент теплоотдачи в выщележащие слои битума, кДж/м2чоС:


где - коэффициент теплопроводности,  кДж/мчоС


Полный расход тепла для разогрева битума в приямке рассчитывают по формуле:


 - количество тепла, необходимого для разогрева битума в приямке,.

 потери тепла в окружающую среду,.


Потери тепла в окружающую среду при разогреве в приямке рассчитывают по формуле:


 - коэффициент теплоотдачи через стенку приямка,  кДж/мчоС

 - коэффициент теплопередачи от зеркала битума к воздуху,  кДж/мчоС

пр=10м2


Расчет паровых нагревательных устройств

Подогрев битума в секциях битумохранилища будет осуществляться при помощи паровых регистров насыщенным паром с давлением Р = 0,8МПа и с температурой Т=169,6°С.

Поверхность паровых труб для нагрева битумохранилища определяют по формуле:


где  коэффициент теплопередачи через стенки стальных труб регистров к битуму, кДж/м2ч°С;

 температура пара, равная 169,6°С;

 температура битума в начале и в конце подогрева.


где  коэффициент теплопередачи от пара к металлу, равный 1000ккал/м2ч°

 толщина стенки трубы регистра;

 коэффициент теплопроводности стали, равный 40 ккал/м2ч°С;

 коэффициент теплопередачи от металла к битуму при температуре битума от 5 до 100°С равный 47,4 ккал/м2ч°С.

Для изготовления регистров как правило используют стальные бесшовные горячекатаные трубы с наружным диаметром dтр=102мм и толщиной стенки


Необходимую длину трубы в паровых регистров секции для первичного нагрева L1 и вторичного L2 находим по формуле:


Расчет потребности в паре

Парокотельное хозяйство обеспечивает выполнение следующих операций: подогрев органических вяжущий материалов в железнодорожных бункерах и автобитумовозах перед выгрузкой битума и в битумохранилищах перед перекачиванием в битумоплавильни, обогрев битумопроводов.

Суммарная потребность пара на битумной базе рассчитывают по формуле:


где  расход пара на слив битума из автобитумовозов (железнодорожных бункеров);

 то же, на нагрев вяжущего в битумохранилище;

 то же, на обогрев трубопроводов.

Расход пара на нагрев битума в битумохранилище, приямке, в железнодорожном вагоне определяется по формуле:


где  теплосодержание 1 кг пара (

 - потребное количество тепла на подогрев битума в хранилище, приямке, в железнодорожном вагоне.

Потребное количество тепла на подогрев битума через паровые рубашки или змеевики железнодорожных полувагонов и цистерн, определяется по формуле:


где - количество одновременно разогреваемого битума в цистерне или полувагоне, кг;

 теплоемкость битума, равная 1,47 кДж/кг°С;

 коэффициент теплопотерь ();

 количество одновременно выгружаемых вагонов;

 нормативное время выгрузки ();=потребное кол-во тепла на подогрев битума xp паровые рубашки или змеевики ж/д полувагонов и цистерн,определяется по формуле

-расход тепла на нагрев вяжущего в битумохранилище и в приямке,кДж/ч;

=Qхр+Qпр;=

Р2=/2800=688.56 кг/ч;=628*L;=628*=101321.2 ккал/ч

Р3=101321.2 /2800=361.86 кг/ч.

расчетная длина трубопровода,м;

Необходимая пов-ть котла для обогрева трубопровода

Р=184.61+688.56+361.86=1235кг/чк=Р*Кз*Кп/q;к=1235*1,2*1,2/675=974.33/675=2.63м2;

к-поверхность нагрева котла,м2;

Р-потребность пара кг/ч

Кз-коэф запаса,учитывающий неравномерностьпотребления пара(1,2)

Кп-коэф.,учитывающий потери пара при подаче его от котельной до мест потребления(1,1-1,2);паропроизводительность котла для обогрева трубопровода(675 кг/с);

Определение количества плавильных установок

Количество битумоплавильных котлов определяется по формуле:


где  коэффициент неравномерного потребления битума (Ки =0,9-1,2);

 часовая потребность асфальтобетонного завода в битуме, т/ч;

 часовая производительность котла, т/ч

Исходя из часовой потребности в битуме, по паспортным данным подбирают серийно выпускаемую промышленностью битумоплавильную установку.

Исходя из часовой потребности (5.96 т/ч) выбираем установку Д-618. Битумоплавильный агрегат непрерывного действия состоит из котла, выносной топки с форсунками, вентилятора и двух шестеренных насосов (выбираем насос Д-171А).

Принимаем 3 котла

Таблица 4 - Характеристика битумоплавильной установки Д-618.

Тип агрегата Принцип действия  Производительность, т/ч, при влажности 5% (нагрев от 90 до 170°С) Вместимость основного агрегата, м3 Расход топлива, кг/ч Установленная мощность, кВт электродвигателей электронагревателей Габариты, мм длина ширина высота

Непрерывного действия С газовым подогревом (жаровые трубы) 6  14,3 45  19,6 176  8025 2760 3800


Выбор типа расходной емкости битума

Расходные емкости битума предназначены для хранения и разогрева битума. Емкости с автоматическим регулированием температуры нагрева, объёмом от 5 до 100 м3 с масленным или электроподогревом, в вертикальном или горизонтальном исполнении. Теплоизоляция резервуаров позволяет долгое время сохранять необходимую температуру битума или эмульсии.

Емкость включает в себя:

резервуар;

люк-лаз (диаметр люка в зависимости от объема резервуара);

опора резервуара;

клапан отсеченой поплавковый;

клапан обратный;

люк замерный.

Тип емкости и модель нужно подобрать исходя из сменной потребности битума Псм.

. Выбираем емкость для битума горизонтального типа SSBC40.

Таблица 5 - Характеристика емкости битума горизонтального типа TH32.

Вместимость, м3 Размеры, м: диаметр высота длина Масса, т

40  2,5 2,55 6.5 4,80


Для перекачки битума из битумохранилища в битумоплавильные агрегаты применяют битумные шестеренные насосы. Наиболее распространены шестеренные битумные насосы с внешним зацеплением.

Выбираем битумный насос марки М 600.

Таблица 6 - Технические характеристики битумного насоса М 600

Подача л/мин Давление, МПа Мощность двигателя, кВт Габариты, мм: длина ширина высота Масса, кг Завод-изготовитель

250-500 0,6 8 10,4 523 346 397 130 Г. Брянск, «СММ-холдинг»


Расчет потребности в воде

Общий расход воды за смену:

 , л/смену ,

где  - расход воды на хозяйственно-питьевые, бытовые, производственные и противопожарные нужды.

Сменная потребность в воде на хозяйственно-питьевые нужды:

 , л/смену ,

где - количество работников на заводе;

- норма потребности в воде, равная 25 л/смену;

 - коэффициент непрерывности водопотребления, равный 3.

 л/смену

Расход воды на бытовые нужды определяется по формуле

 = m1 n 1 + m2 n2 , л/смену ,

где m1, m2 - количество кранов и душевых сеток (m1=3-4, m2 =3);- норма воды на один кран, равная 180-200 л/смену;- норма воды на одну сетку кран, равная 500 л/смену

 л/смену

Расход воды на поливку территории завода определяется по формуле

=S  P / ксм , л/смену ,

где S - площадь, подлежащая поливке, м2;

Р - норма поливки 1 м2 территории за сутки, равна 1,5-4 л/ м2 ;

Ксм - количество смен в день.

=4343,5  3 / 2 =6515.25л/смену

Расход воды на мойку автомобилей определяется по формуле:

= N  3, л/смену ,

где N - количество автомобилей (2-5);

 3 -норма расхода воды (500 л).

= 4 500= 2000 л/смену

Суммарный расход воды на производственные нужды равен

= V1 + V2 , л/смену= 6515.25+ 2000= 8515.25 л/смену

Общий расход воды на тушение пожара:

= t  4, л/смену ,

где t - время, в течении которого необходимо ликвидировать пожар, с (принимается 3 часа);

 4 -норма расхода воды на тушение пожара (5 л/с).

=10800 5=54000 л/смену

Общий расход воды за смену:

Qобщ=1500+2100+8515.25=12115.25 л/смену

Расчетный расход:

р = Q К1  К2/3600 Tсм , л/с,

где К1- коэффициент неравномерности поступления воды в течении смены, равный 1,1-1,6;

К2- коэффициент, учитывающий утечку воды, равный 1,15-1,25;см - продолжительность смены, ч;

=12115.25  1,6  1,25/3600 8 =0,84 л/с

По величине расчетного расхода воды определяем необходимый диаметр водопроводной сети:

=  , м,

где  - скорость течения воды в трубах, равная 1-1,5 м/с.

=  ,=0,84 м

Расчет потребности в электроэнергии

Источником электроэнергии на битумной базе могут служить трансформаторная подстанция, получающая ток от электрической системы данного района или передвижные электростанции.

Потребное количество электроэнергии определяется по формуле:

= 1.1Kc ( ∑ Nc/cos ф +∑ Nв +∑ Nн ), кВт ,

где Kc - коэффициент, учитывающий потери мощности (1,05-1,10);

∑ Nс - суммарная мощность силовых установок, кВт;

∑ Nв - то же, внутреннего освещения, кВт (95-10 кВт);

∑ Nн - то же, наружного освещения, кВт (20-25кВт);ф - коэффициент мощности.

Мощность силовых установок ∑ Nс определяется по формуле:

∑ Nс = n*Nc , кВт ,

где Nс - мощность установки;- количество установок.

∑ Nс 2*17,1= 34,2 кВт= 1.1*1,1 ( 34,2/cos 0,85 +8 +24) = 80,14 кВт

Численность работников битумной базы

Работы по приготовлению вяжущего ведется в 2 смены. В смену базу обслуживает бригада рабочих под руководством сменного мастера.

В обязанности бригады входит ежедневное техническое обслуживание, текущий ремонт, управление, процессы приготовления.

Состав обслуживающего персонала базы по приготовлению вяжущих включает (2 смены):

Ежедневное техническое обслуживание и текущий ремонт:

дежурный слесарь - 1 чел.

дежурный электрик - 1 чел.

станочник - 1 чел.

весовщик - 1 чел.

уборщица - 1 чел.

Итого - 7 чел.

Процессы приготовления:

машинист битумохранилища - 2 чел.

машинист по управлению ПАВ - 2 чел.

машинист битумоплавильной установки - 2 чел.

Итого - 6 чел.

Управление:

начальник базы - 1 чел.

сменный мастер - 2 чел.

зав. лабораторией - 1 чел.

лаборант - 2 чел.

учетчик-кладовщик - 1 чел.

Итого - 7 чел.

В общем - 20 чел в день (2 смены).

Разработка генерального плана битумной базы

Генеральный план битумной базы разрабатывается в соответствии с требованиями СНиП [7] с целью рационального размещения всего оборудования с учетом требований техники безопасности, пожарной безопасности и соответствующей плотностью застройки [7]. Проектирование генерального плана базы начинают с размещения битумохранилищ, которые занимают наибольшую площадь среди всех сооружений базы и должны быть обеспечены удобными подъездными путями для приема и отправки вяжущих материалов.

Битумохранилища прирельсовых баз должны быть расположены около железнодорожных путей, с тем чтобы можно было осуществлять слив вяжущих из цистерн или бункеров непосредственно в хранилища. Необходимо учитывать, что разгрузка вяжущих занимает больше времени, чем разгрузка других материалов. Если база рассчитана на прием большого количества вяжущих (порядка нескольких тысяч тонн в год), то лучше предусмотреть на территории базы устройство специального разгрузочного железнодорожного тупика.

Длина битумохранилища вдоль железнодорожного пути определяется требованиями создания фронта разгрузки, соответствующего ожидаемому одновременному поступлению вагонов. В средних условиях фронт разгрузки должен быть достаточным для одновременной разгрузки не менее 2-3 железнодорожных цистерн или полувагонов. Остальные размеры битумохранилища определяют в зависимости от его проектируемого объема.

После определения границ участка, занимаемого битумохранилищем, намечают место расположения битумоплавильной установки. При ее размещении учитывают:

необходимость противопожарного разрыва между битумоплавильной установкой и битумохранилищем;

требование удобного подъезда к ней автогудронаторов и автоцистерн для загрузки битумом;

желательность расположения ее по уклону ниже битумохранилища для подачи битума из хранилища в котлы самотеком.

Затем намечают места для парокотельной, электростанции или трансформаторной подстанции, лаборатории и т. д.

При устройстве базы вдали от железной дороги план ее может быть в основном сохранен. Вместо разгрузочного железнодорожного тупика необходимо предусмотреть устройство подъездной автомобильной дороги с твердым покрытием и с площадкой для разворота и стоянки автомобилей.

Контроль качества исходных материалов и готовой продукции

Требования к материалам для приготовления асфальтобетонных смесей

Битум: Выбранный битум - БНД 90/130, должен отвечать следующим требованиям ГОСТ [5]:

Таблица 7 - Требования ГОСТ [5]:

Наименование показателя

Норма для битума марки

1. Глубина проникания иглы, 0,1мм:

 

при 25 °С

91-130

при 0 °С,не менее

15

2. Температура размягчения по кольцу и шару, °С, не ниже

41

3. Растяжимость, см,не менее:


при 25 °С

80

при 0°С

4,0

4. Температура хрупкости, °С, не выше

-10

5. Температура вспышки, °С, не ниже

240

6. Изменение температуры размягчения после прогрева/С,не более

6

7. Индекс пенетрации

Oт -1,5 до +1,0


Операционный контроль при приготовлении битума

Качество битума контролируется не реже 1 раза в смену.

Пробы вязких дорожных битумов принимают согласно по ГОСТ 2517-85. Масса объединенной пробы каждой марки битума должна быть не менее 0,5 кг.

По физико-химическим показателям битумы должны соответствовать требованиям и нормам, указанным в ГОСТ [8].

Список литературы

СП 34.13330.2012. Свод правил. Автомобильные дороги. Актуализированная редакция СНиП 2.05.02-85*./ ЗАО «СоюздорНИИ».-М., 2012.-99 с.

СНиП 2.01.01-82 Строительная климатология и геофизика/Госстрой СССР - 1982

СНиП 23-01-99. Строительная климатология / Госстрой СССР - М., 2000

ГОСТ 9128-09. Смеси асфальтобетонные дорожные, аэродромные и асфальтобетон. Технические условия. /Стандартинформ. - М., 2010. - 20 с.

Учебно-методические указания к выполнению курсового работы по дисциплине «Технология и организация строительства автомобильных дорог», раздел «Производственные предприятия дорожного хозяйства». / УГНТУ - УФА., 2007 - 21с.

СП 18.13330.2011. Генеральные планы промышленных предприятий. Актуализированная редакция. /Минрегион России. - М., 2011. - 49 с.

ГОСТ 22245-90. «Битумы нефтяные дорожные вязкие. Технические условия».

ГОСТ Р 52129-2003. «Минеральные порошки».

ГОСТ 8267-93. Щебень и гравий из плотных горных пород для строительных работ. Технические условия.

ГОСТ 8735-88. Песок для строительных работ. Методы испытаний.

Похожие работы на - Технология и организация строительства автомобильных дорог

 

Не нашли материал для своей работы?
Поможем написать уникальную работу
Без плагиата!
Без нейросетей!