Обзор методов определения содержания витаминов А и Е в продуктах питания

  • Вид работы:
    Курсовая работа (т)
  • Предмет:
    Другое
  • Язык:
    Русский
    ,
    Формат файла:
    MS Word
    463,49 Кб
  • Опубликовано:
    2015-05-05
Вы можете узнать стоимость помощи в написании студенческой работы.
Помощь в написании работы, которую точно примут!

Обзор методов определения содержания витаминов А и Е в продуктах питания

Введение

морепродукт витамин антиоксидантный

С древнейших времен человека интересовало все, что связано с пищей и питанием. Вначале главным было добывание любой пищи, затем последовали столетия, когда люди расширяли источники пищи, развивая сельское хозяйство, а заодно и совершенствовали способы приготовления различных блюд, доводя их до подлинного искусства (вспомним французскую или китайскую кулинарию). Лишь в середине прошлого века с началом промышленной и научной революции возникла наука о питании, которую теперь называют диетология или нутрициология.

Как правило, витамины поступают в наш организм вместе с пищей, которая теоретически должна содержать те или иные витамины, заложенные в её элементы самой природой. Фрукты и овощи, мясо, молоко, злаковые растения - все это, выращенное соответствующим образом, должно содержать минимальный перечень необходимых витаминов, но в наше время это происходит достаточно редко. Плохая экология, активное использование химических элементов в питании животных и производстве растительной продукции, генная инженерия - это очень часто сводит на нет, полезность продуктов, которые не содержат витамины, и является прямой причиной недостатка их содержания в организме человека.

Витамины представляют особые органические соединения, которые жизненно необходимы организму человека для его нормального функционирования, они играют важную роль в обмене веществ [1].

Недостаток витаминов может привести к серьезным изменениям в состоянии здоровья. К сожалению, наш организм не способен самостоятельно синтезировать витамины (исключение составляет витамин К, который за счет деятельности особых бактерий в достаточном количестве образуется в кишечнике), поэтому их дефицит необходимо обязательно восполнять [2].

Витамины А и Е содержащиеся в продуктах питания играют огромную роль для жизнедеятельности т.к. являются природными антиоксидантами [3].

В последе время очень часто используется слово антиоксиданты. Его можно услышать по телевизору, прочитать в газете или модном журнале, увидеть на упаковке продуктов питания. В связи с этим мы начинаем задаваться вопросами: «Что такое антиоксиданты, и для чего они нужны в продуктах питания?»

Целью работы является определение количественного содержания витаминов А и Е в мясе морепродуктов и морской рыбе.

Задачи исследования. Для достижения поставленной цели необходимо решить следующие задачи:

. Определить количественное содержание витаминов А и Е и диеновых конъюгатов в мясе морепродуктов.

. Сравнить количественное содержание витаминов А и Е и диеновых конъюгатов в мясе морепродуктов.

Объектами исследования является мясо морепродуктов (креветки, осьминога, кальмара, мидии) и мясо морской рыбы (минтая, путассу, камбалы).

Предмет исследования - количественное содержание витаминов А и Е в мясе морепродуктов и морской рыбы.


1. Аналитический обзор литературы

.1      Общие представления о химическом составе и свойствах морепродуктов

Понятие морепродукты используется для обозначения всех съедобных обитателей мирового океана. Хотя рыба и относится к морскими жителями, этот продукт выделяют в отдельную группу и не причисляют к морепродуктам. Дары моря применяют и не только в кулинарии, но и в медицине, а так же в химической промышленности. Практически каждый вид морепродуктов обладает исключительными полезными свойствами, которые оказывают благоприятное воздействие на здоровье и самочувствие человека.

Рыба - это продукт высокой пищевой ценности, поскольку содержит белки (13-23%), жиры (0,1-33%), минеральные вещества (1-2%), витамины А, D, Е, В1, В12, РР, С, экстрактивные вещества и углеводы. Химический состав рыбы не является постоянным, он меняется в зависимости от вида, возраста, места и времени вылова

В рыбе и морепродуктах содержатся такие крайне необходимые для человека соединения, как незаменимые аминокислоты, в том числе лизин и лейцин, незаменимые жирные кислоты, включая уникальные эйкозопентаеновую и докозогексаеновую, жирорастворимые витамины, микро - и макроэлементы в благоприятных для организма человека соотношениях.

Особое значение имеет метионин, относящийся к липотропным противосклеротическим веществам. По содержанию метионина рыба занимает одно из первых мест среди белковых продуктов животного происхождения. Благодаря присутствию аргинина и гистидина, а также высокому коэффициенту эффективности белков (для мяса рыбы он составляет 1,88-1,90, а для говядины - 1,64) рыбопродукты весьма полезны для растущего организма. Белок рыбы отличается хорошей усвояемостью. По скорости переваримости рыбные и молочные продукты идентичны и занимают первое место.

Белки рыбы в основном полноценные: альбумины и глобулины (простые белки), нуклеопротеиды, фосфоропротеиды и глюкопротеиды (сложные белки). Всего в мышечной ткани рыб 85% полноценных белков. Они почти полностью (97%) усваиваются организмом человека. Поэтому рыба является источником белкового питания.

Неполноценный белок соединительной ткани коллаген (15%) под действием тепловой обработке легко переходит в глютин, поэтому мясо рыбы размягчается быстрее, чем мясо домашних животных.

Жир рыбы содержит большое количество ненасыщенных жирных кислот (линолеву, линоленову, арахидонову и др.), поэтому он жидкий при комнатной температуре, имеет низкую температуру плавления (ниже 37° С) и легко усваивается организмом человека. Жир в организме рыб распределен неравномерно.

Рыба удовлетворяет суточную потребность человека в животных белках на 7-24%, в жирах - на 0,1-12%, в том числе в полиненасыщенных жирных кислотах - на 0,1-18%.

Особенно большое количество витаминов А и D содержится в жире печени рыб. Витамином А богат в первую очередь жир печени морских рыб тресковых (треска, пикша, минтай и др.), акул, морского окуня, скумбрии и многих других. Содержание витамина D в печени рыб колеблется от 60 до 360 мкг%, но у некоторых видов горбылей достигает 700-1900 мкг%.

Водорастворимые витамины (группы В) при обычных способах обработки рыбы в значительной мере сохраняются. В процессе варки рыбы некоторая часть содержащихся в ней водорастворимых витаминов переходит в бульон, в связи с чем его целесообразно использовать для пищевых целей. Особенно много витаминов группы В в темном мясе атлантической скумбрии, сардины, тунцов (20 мкг на 100 г.), крайне необходимых в связи с увеличением белка в рационе человека.

Количество жира в мясе разных рыб неодинаковое. По содержанию жира рыбу условно делятся на следующие группы:

·        нежирная (до 2%) - треска, пикша, сайда, навага, линь, судак, речной окунь, выглядел, ерш, тихоокеанская камбала;

·        маложирная (2-5%) - сельдь тихоокеанский и атлантический (во время нереста), корюшка, карп, вобла, карась, кефаль, морской окунь, сом, язь;

·        жирная (5-15%) - белуга, осетр, стерлядь, семга, кета, горбуша, скумбрия, ставрида, тунец, сельдь атлантическая и тихоокеанская (летом, осенью, в начале зимы);

·        очень жирная (15-33%) - лосось, минога, стерлядь сибирская, осетр сибирский, сельдь тихоокеанская и атлантическая (в конце лета).

Содержание жира влияет на вкусовые качества рыбы, ее пищевую ценность и кулинарное использование. Чем жирнее рыба, тем она нежнее, вкуснее и у нее вкуснее аромат. Однако жир рыбы легко окисляется, при этом ухудшается качество рыбных товаров.

Минеральные вещества входят в состав белков, жиров, ферментов и костей рыбы. Больше всего их в костях. Это соли кальция, фосфора, калия, натрия, магния, серы, хлора. Содержание фосфора в мясе рыб составляет в среднем 0, 20-0,25%. Особенно большое физиологическое значение имеют содержащиеся в рыбе в очень малых количествах такие элементы, как железо, медь, йод, бром, фтор и др. С помощью рыбы можно удовлетворить потребность организма в железе на 25%, фосфоре - на 50-70, магнии - на 20%. Морепродукты содержат больше минеральных веществ, в частности микроэлементов, чем пресноводная рыба. Она богата йодом, который необходим для нормальной деятельности щитовидной железы. В среднем в пресноводных рыбах содержится 6,6 мкг йода на 100 г. сухого вещества, в проходных - 69,1 мкг, в полупроходных - 26 мкг, в морских - 245 мкг.

Специфический резкий запах морской рыбы обусловлен присутствием в ней азотистых веществ - аминов.

Углеводы рыбы представлены гликогеном (0,05-0,85%), который формирует вкус, запах и цвет рыбных продуктов. Сладковатый вкус рыбы после тепловой обработки обусловлен распадом гликогена до глюкозы.

Содержание воды в рыбе зависит от ее жирности (чем больше жира, тем меньше воды) и колеблется от 52 до 83%.

Пищевая ценность рыбы зависит не только от химического состава, но и от соотношения в ее теле съедобных и несъедобных частей и органов. К съедобным частям относят мясо, кожу, икру, молочко, печень; к несъедобным - кости, плавники, чешую, внутренности. Чем больше в рыбе мяса и икры, тем выше ее пищевая ценность.

Рыба как продукт питания ценится достаточно высоко. Однако загрязненность пресноводных рыб вредными веществами стала настоящей проблемой. Правда, остаточные количества тяжелых металлов или хлорированных углеводородов большей частью ниже предельно допустимой концентрации (ПДК), но сумма всех вредных веществ может привести к нежелательным последствиям для здоровья. Концентрация этих веществ в морской рыбе в среднем значительно ниже ПДК.

Если исключить из рациона испортившеюся рыбу и рыбы из чрезмерно загрязненных водоемов, то можно сказать, что она представляет собой очень важный и высококачественный продукт питания.

Полезные свойства морепродуктов в первую очередь определяется средой их обитания. Морская вода обладает огромным количеством минеральных веществ, поэтому животные, обитающие в ней, впитывают в себя всю «пользу» морей и океанов.

В морепродуктах содержатся быстроусвояемые белки, жирные кислоты, микро- и макроэлементы. В отличии от мясных продуктов морепродукты намного питательнее и полезнее для здоровья. в мышцах морепродуктов соединительной ткани в несколько раз меньше, чем в мышцах наземных животных - это связано с особенностями их строения и среды обитания. В отличии от животных суши, в мясе морских животных нет плотного жира, зато в нем много белка и полиненасыщенных жирных кислот (ПНЖК), которые необходимы детям и взрослым. Недостаток ПНЖК грозит преждевременной старостью и хроническими заболеваниями. ПНЖК защищают сосуды, предотвращая развитие атеросклероза.

Жиры содержащиеся в морепродуктах являются лекарственным средством. В «морских» жирах много витамина D, который способствует усваиванию фосфора и кальция, которые в свою очередь способствуют формированию хрящевой, костной и других важных тканей организма человека.

Своего фосфора в морепродуктах тоже много, и это актуально для тех, кто страдает заболеваниями центральной нервной системы, интенсивно учится или занимается умственной работой.

Морепродукты не калорийны, следовательно их употребление в пищу защищает от накопления избыточного веса. Например, если сравнивать их с телятиной, которая считается диетическим мясом, то они окажутся мение калорийными, т.к. калорийность телятины - около 290 ккал на 100 г., тогда как в кальмарах, креветках и мидиях - всего около 70-85 ккал, а жиров они содержат от 0,3 до 3 г.

Польза креветок не ограничивается их низкой калорийностью. Это богатый источник животного белка и железа, а также ряда витаминов. Имеются в креветках и антиоксиданты. И важнейший из них - астаксантин - защищает от рака и атеросклероза. Это вещество близкое по строению к каротину моркови. Его образуют океанические водоросли, от них он переходит в организм креветок, крабов и красной рыбы [4].

Известно, что продукты моря богаты йодом (причем относится это не только к морским животным, но и к растениям), и самым доступным его натуральным источником можно считать морскую капусту. Йод необходим людям занимающимся умственной деятельностью, так как его недостаток способствует быстрой утомляемость, подросткам, так как их организм быстро растет и ему необходимо питание, беременным необходим йод как для собственного организма, так и для плода.

Морепродукты богаты также медью и цинком, которые необходимы организму для нормализации обмена веществ, выработки гормонов, образования клеток иммунной системы, половых клеток, переработки белка и других важных процессов жизнедеятельности.

Важным свойством практически всех морепродуктов является способность снижать воздействие эмоциональных перегрузок: не зря в странах, расположенных на морском побережье, население отличается спокойствием и доброжелательностью, уравновешенностью и оптимизмом - не последнюю роль здесь играет рацион питания.

Вредными могут быть морепродукты, которые выловлены в экологически неблагоприятных водах, а таких мест на Земле сегодня становится все больше. Кроме загрязнений, вызванных утечками нефти и сбросом промышленных и бытовых отходов, в океане много мест, где присутствует радиоактивное излучение, а обитатели моря плавают и живут везде.

Употреблять в пищу следует свежевыловленные или замороженные морепродукты, в консервированных сохраняется мало полезного, и к тому же в них часто бывает слишком много пищевых добавок. Продукты в вакуумных упаковках тоже могут содержать вредные химические вещества. Если морепродукты были заморожены достаточно свежими, то свои полезные свойства сохраняют почти полностью, но многое зависит и от хранения: если продукт хранился неправильно, его качество может резко ухудшиться [5].

Диетологи не советуют злоупотреблять морепродуктами, и рекомендуют включать их в свой рацион не чаще двух раз в неделю. Кстати, некоторые морские деликатесы богаты на холестерин, часть имеет способность накапливать избыточное количество ртути [6].

.2 Перекисное окисление липидов

Перекисное окисление липидов - сложный процесс, протекающий как в животных, так и в растительных тканях. Он включает в себя активацию и деградацию липидных радикалов, встраивание в липиды предварительного активированного молекулярного кислорода, реорганизацию двойных связей в полиненасыщенных ацилах липидов и, как следствие, деструкцию мембранных липидов и самих биомембран. В результате развития свободнорадикальных реакций перекисного окисления липидов образуется целый ряд продуктов, в том числе спирты, кетоны, альдегиды, эфиры др. Так, например, только при окислении линолевой кислоты образуется около 20 продуктов ее распада. Биологические мембраны, особенно мембраны холоднокровных животных, содержат большое количество ненасыщенных жирных кислот, металлопротеины, активирующие молекулярный кислород. Поэтому неудивительно, что в них могут развиваться процессы перекисного окисления липидов.

Современные представления о механизме перекисного окисления липидов свидетельствуют о возможности непосредственного присоединения молекулярного кислорода к органическим молекулам с образованием гидроперекисей. Субстратом окисления в биологических мембранах являются полиненасыщенные жирные кислоты, входящие в состав фосфолипидов [7].

Перекисное окисление (автоокисление) липидов при контакте с кислородом не только приводит в негодность пищевые продукты (прогоркание), но и вызывает также повреждение тканей in vivo, способствуя развитию опухолевых заболеваний. Повреждающее действие инициируется свободными радикалами, возникающими в период образования перекисей жирных кислот, содержащих двойные связи, чередующиеся с метиленовыми мостиками (такое чередование имеется в природных полиненасыщенных жирных кислотах). Перекисное окисление липидов является цепной реакцией, обеспечивающей расширенное воспроизводство свободных радикалов, которые инициируют дальнейшее распространение перекисного окисления. Весь процесс можно представить следующим образом.

) Инициация: образование R из предшественника


) Развитие реакции:

3) Терминация (прекращение реакции):


Поскольку гидроперекись ROOH выступает как предшественник в процессе инициации, перекисное окисление липидов является разветвленной цепной реакцией, потенциально способной вызвать значительное повреждения. Для регулирования процесса перекисного окисления жиров и человек, и природа используют антиоксиданты. В пищевые продукты с этой целью добавляют пропилгаллат, бутилированный гидроксианизол и бутилированный гидрокситолуол. К природным антиоксидантам относятся жирорастворимый витамин Е (токоферол), а также водорастворимые ураты и витамин С. Каротин является антиоксидантом только при низких значениях.

Антиоксиданты распадаются на два класса:

) превентивные антиоксиданты, снижающие скорость инициации цепной реакции.

) гасящие (прерывающие цепь) антиоксиданты, препятствующие развитию цепной реакции.

К первым относятся каталаза и другие пероксидазы, разрушающие ROOH, и агенты, образующие хелатные комплексы с металлами - ДТПА (диэтилентриаминпентаацетат) и ЭДТА (этилендиаминтетраацетат). В качестве прерывающих цепь антиоксидантов часто выступают фенолы или ароматические амины. В условиях in vivo главными прерывающими цепь антиоксидантами являются супероксиддисмутаза, которая в водной фазе улавливает супероксидные свободные радикалы а также витамин Е, улавливающий свободные радикалы ROO в липидной фазе, и, возможно, мочевая кислота [8].

1.3 Биологическая роль витаминов А и Е

Ретино́л (истинный витамин A, транс - 9,13 - диметил-7 - (1,1,5 - триметил-циклогексен-5-ил-6) - нонатетраен - 7,9,11,13 - ол) - жирорастворимый витамин, антиоксидант (рис. 1.1)

Рис. 1.1 Формула ретинола

Биологическая роль витамина А.

·        Антиоксидантная функция: нейтрализация свободных кислородных радикалов, препятствует повторному появлению (рецидиву) опухолей после операций.

·        Регуляция генетических функций: повышение чувствительности клеток к ростовым стимулам, что обеспечивает нормальный рост клеток эмбриона и молодого организма, регуляцию деления и дифференцировку быстроделящихся клеток, таких как клетки плаценты, костной ткани, хряща, эпителия кожи, сперматогенного эпителия, слизистых, иммунной системы.

Все эти функции обеспечивают нормальное функционирование иммунной системы, повышают барьерную функцию слизистых оболочек, восстановление повреждённых эпителиальных тканей, стимулирует синтез коллагена, снижает опасность инфекций.

·        Участие в зрительных фотохимических процессах.

Ретиналь в комплексе с белком опсином формирует зрительный пигмент родопсин, который находится в клетках сетчатки глаза, отвечающих за чёрно - белое сумеречное зрение - палочках.

·        Участие в синтезе стероидных гормонов, сперматогенезе, является антагонистом тироксина - гормона щитовидной железы.

·        Специфическими функциями обладают отдельные каротиноиды:

а) b - каротин особенно необходим для нейтрализации свободных радикалов полиненасыщенных жирных кислот и радикалов кислорода, обладает защитным действием у больных атеросклерозом, стенокардией, повышая содержание в крови липопротеидов высокой плотности, обладающих антиатерогенным действием (препятствует формированию атеросклеротических бляшек).

б) лютеин и зеаксетин - способствуют предупреждению катаракты, снижают риск дегенерации жёлтого пятна.

в) ликопин обладает антиатеросклеротическим действием, защищает организм от развития рака молочной железы, эндометрия, простаты. Наибольшее содержание ликопина в помидорах.

Гиповитаминоз

Причинами являются пищевая недостаточность, гиповитаминоз С, гиповитаминоз Е, дефицит цинка, снижение функции щитовидной железы (гипотиреоз), дефицит железа в организме. Железо необходимо для нормального функционирования железосодержащих ферментов, катализирующих в печени и кишечнике превращение каротиноидов в ретинол [10].

Недостаток витамина А приводит к возникновению в нашем организме большого количества заболеваний и других проблем со здоровьем. Самым известным признаком нехватки этого витамина считается куриная слепота - заболевание, которое характеризуется плохим зрением в местах со слабым освещением. В данном случае не только плохо видят глаза, но и человек начинает испытывать дискомфорт: пересыхает слизистая, на холоде слезятся глаза, происходит помутнение роговицы. Кроме того, возникает ощущение песка в глазах, появляются корочки и слизь в уголках.

Помимо органов зрения недостаток витамина А влияет и на другие органы. В частности, страдает кожа, которая становится слишком сухой, поэтому довольно рано начинает покрываться морщинами. На голове образуется перхоть, волосы утрачивают естественный блеск и тускнеют. Мочеполовая система и ЖКТ из-за нехватки ретинола также страдают от многочисленных патологий, а на женских репродуктивных органах могут образовываться эрозии, полипы, мастопатия и даже рак.

Недостаток витамина А объясняется в основном скудным питанием, при этом часто наблюдается отказ от жиров и белковой пищи. Кроме того, это может быть связано и с наличием болезней кишечника, печени и желудка, а также дефицитом витамина Е, который помогает ретинолу быстрее окисляться.

Гипервитаминоз.

В основном связан с избыточным приёмом различных пищевых добавок, содержащих витамин А. Гипервитаминоз, связанный с употреблением в пищу продуктов богатых витамином А, практически не встречается.

Острое отравление проявляется головной болью, слабостью, тошнотой, нарушением сознания, зрения.

Хроническое отравление характеризуется нарушением пищеварения, потерей аппетита, что ведёт к похуданию, снижается активность сальных желёз кожи, развивается сухой дерматит, возможна ломкость костей.

Особенно опасен гипервитаминоз при беременности. Доказана эмбриотоксичность препарата в высоких дозах. Описана также нефротоксичность и канцерогенность гипервитаминоза.

Суточная норма витамина А для детей дошкольного возраста от 0,5 до 1,5 мг. Норма для взрослого человека несколько выше, но низшей границей является значение в 1,5 мг, при понижении этой отметки развиваются симптомы дефицита. Беременным и кормящим грудью женщинам нужно увеличивать норму витамина А до отметки в 2-2,5 мг [11].

Витамин Е относится к группе природных соединений - производных токола. Светло-желтые вязкие жидкости не растворимые в воде, хорошо растворимые в хлороформе, эфире, гексане, петролейном эфире, хуже - в ацетоне и этаноле.

·        Витамин встраивается в фосфолипидный бислой мембраны клеток и выполняет антиоксидантную функцию, препятствуя перекисному окислению липидов.

Особенно данная функция важна в быстроделящихся клетках, таких как эпителий, слизистые оболочки, клетки эмбриона, в сперматогенезе.

·        Снижает дегенерацию клеток нервной ткани.

·        Известно положительное влияние витамина Е на состояние сосудистой стенки, снижение тромбообразования.

·        Витамин Е защищает витамин А от окисления.

·        Местное применение кремов с витамином Е улучшает состояние кожи, предотвращает старение клеток, способствует заживлению повреждённых участков.

Гиповитаминоз.

Причинами гиповитаминоза являются пищевая недостаточность.

Клиническая картина. Патология мембран клеток ведёт к гемолизу эритроцитов, развивается анемия, возникает увеличение проницаемости мембран, мышечная дистрофия.

Со стороны нервной системы может отмечаться поражение задних канатиков спинного мозга и миелиновой оболочки нервов, что приводит к нарушению чувствительности, парезу взора.

Гиповитаминоз может привести к бесплодию [12].

При недостатке витамина Е человек начинает чувствовать слабость, настроение резко ухудшается и наступает апатия ко всему. Так же симптомы недостатка витамина Е выражаются в появлении пигментных пятен и ухудшении состояния кожи лица. С момента начала подготовки к беременности вплоть до окончания грудного вскармливания гинекологи назначают свои пациенткам увеличенные дозы витамина Е. Токоферол незаменим для тех, кто занимается профессиональным спортом или испытывает ежедневные физические перегрузки.

Суточная норма витамина Е зависит от возраста и пола. Детям от 0 до 7 лет достаточно от 5 до 10 мг. этого витамина. Детям от 7 до 14 лет требуется уже чуть большая доза, от 10 до 14 мг. Взрослым людям нужно в сутки получать минимум 10 мг витамина Е. Именно при таком значении не разовьется дефицит. Так же увеличивается потребность в витамине Е у беременных и кормящих грудью женщин. Для них нормой является от 15 и до 30 мг. Норма витамина Е может повышаться при нервных потрясениях, стрессах или после перенесения тяжелых заболеваний.

Антиоксидантная активность витамина А.

Биологически активные вещества выполняют в организме определенную функцию, принимая участие в сложных биохимических процессах. Как известно, ультрафиолетовое облучение, курение, стрессы, некоторые препараты (в том числе и лекарственные) способны стимулировать образование свободных радикалов и активных форм кислорода [13].

Кислород необходим для жизни. Снижение содержания кислорода пагубно влияет на состояние живых организмов. Но, с другой стороны, окислительная способность кислорода повреждающее действует на клеточные структуры.

Свободные радикалы кислорода появляются не только под влиянием агрессивного воздействия внешних факторов, но и могут возникать как побочные продукты биологического окисления в тканях и клетках. Свободные радикалы способны провоцировать развитие различных реакций. Самой нежелательной является реакция взаимодействия с липидами - перекисное окисление. В результате образуются перекиси. По этому механизму чаще окисляются ненасыщенные жирные кислоты - составляющие клеточных мембран. Перекисное окисление может иметь место в маслах, содержащих ненасыщенные жирные кислоты. Масло приобретает горький вкус - «прогоркает».

Окисление в тканях и клетках носит цепной характер и нарастает лавинообразно. В результате дополнительно к свободным радикалам образуются липидные перекиси, легко превращающиеся в новые свободные радикалы, реагирующие со всеми биологическими молекулами (липидными, белковыми, ДНК).

Антиоксидантная система способна блокировать реакции свободнорадикального окисления. Антиоксиданты взаимодействуют комплексно. Часть антиоксидантов расположены в органеллах клеток, другие - внеклеточно (в межклеточном пространстве). Например, СОД, каталаза, глутатионпероксидаза находятся как в цитоплазме, так и в митохондриях тех клеточных органелл, где больше всего свободных радикалов. В дополнение к внутриклеточным антиоксидантную защиту осуществляют внеклеточные антиоксиданты - глутанион, витамины Е, С, А, СОД, каталаза, глутанионпероксидаза. Кофермент Q10 (убихинон) защищает митохондрии от окислительного повреждения [14].

Кроме того, антиоксидантными свойствами обладают и другие биологические соединения: токоферолы, каротиноиды, женские половые гормоны, тиоловые соединения (содержащие серу), некоторые белковые комплексы, аминокислоты витамин К и др. [14].

Однако под действием агрессивных внешних факторов (например, ультрафиолета) антиоксидантная система кожи не всегда способна ее защитить. Тогда необходимо применять средства, усиливающие антиоксидантную защиту.

Витамин А (ретинол, Retinolum). Роль витамина А в жизнедеятельности организма разнообразна. Ретинол и его метаболиты ретиналь (цис- и трансальдегид) и ретиноловая кислота, эфиры ретинола (ретинилпальмитат, ретинилацетат и др.) претерпевают под воздействием специфических ферментов определенные превращения [15].

Изучение ретинола начато в 1909 г., синтезирован он в 1933 г. Паулем Каррером. Витамин А в пищевых продуктах присутствует в виде эфиров, а также в виде провитаминов: альфа, бета и гамма-каротинов и др. (в продуктах растительного происхождения). Каротин был обнаружен в 1931 г. в моркови. Самым активным является в-каротин [16].

Витамин А широко распространен. Он содержится в продуктах животного происхождения, печени крупного рогатого скота и свиней, яичном желтке, в цельном молоке, сметане, в печени морского окуня, трески, палтуса и др.

Каротины также являются источником витамина А (красно-мякотные овощи: морковь, томаты, перец и др.). Расщепление каротинов происходит преимущественно в энтероцитах под действием специфического фермента (в-каротиндиоксигеназы (не исключена возможность аналогичного превращения в печени) до ретиналя. Под действием специфической кишечной рефуктазы ретиналь восстанавливается в ретинол. Усвоение улучшается в присутствии жиров и при наличии ненасыщенных жирных кислот. Витамин А обладает иммуностимулирующим свойством.

При авитаминозе А наряду с общими явлениями отмечается специфическое поражение кожи, слизистых оболочек и глаз. Отмечается поражение эпителия кожи, сопровождающееся пролиферацией и патологическим его ороговением. Наблюдается гиперкератоз, кожа усиленно шелушится, образуются трещины, появляются угри, кисты сальных желез, обострение бактериальной и микотической инфекции. Имеет место поражение слизистых оболочек ЖКТ, мочеполовой системы, дыхательного аппарата, что нарушает их функцию и способствует развитию заболеваний (гастритов, циститов, пиелитов, ларинготрахеобронхитов, пневмоний). Характерно поражение глазного яблока - ксерофтальмия, нарушение остроты зрения, способности различать предметы в сумерках (нарушение темновой адаптации), при выраженном авитаминозе может нарушаться цветовое восприятие [17].

При дефиците витамина А нарушается рост костей, так как витамин А необходим для синтеза хондроитинсульфатов костной и других тканей. Витамин А и каротиноиды обладают выраженным антиоксидантным свойством благодаря способности тормозить перекисное окисление липидов.

Каротиноиды - в-каротин (накапливается в яичниках, защищая яйцеклетки от перекисей), резерватол (находится в красном вине и арахисе - мощный антиоксидант), ликопин (обладает выраженным антиоксидантным свойством в отношении липо-протеидов, содержится в помидорах) и др. (лютеин, зеаксантин, кантаксантин накапливаются в сетчатке).

В современных косметических средствах особое место уделяется ретиноидам (синтетические и натуральные соединения, по действию аналогичны ретинолу). Витамин А, как отмечалось, регулирует биохимические процессы в коже, способен воздействовать на клетки кожи (регулирует процессы пролиферации, дифференцировки и межклеточных взаимодействий).

Ретиноиды при местном применении (в концентрациях 0,001-1% - ретин-А, айрол, радевит, ретиноевая кислота, дифферин и др.) способствуют обновлению эпидермиса, нормализации функционирования сальных желез, восстановлению дермального матрикса, применяются в программах лечения угревой сыпи и замедления процессов старения [18].

Не следует использовать данные препараты при приеме некоторых лекарственных средств, обладающих фотосенсибилизирующим свойством (тетрациклинов, сульфаниламидов, тиазидов и др.). Препараты обладают тератогенным свойством, их не рекомендуются применять у беременных. Использование препаратов для общего применения изложено в разделе «Лечение акне» [19].

Антиоксидантная активность витамина Е.

Витамин Е (токоферола ацетат, Tocopheroli acetas). Токоферола ацетат является синтетическим препаратом витамина Е. Наибольшей биологической активностью обладает а-токоферол. Под названием «витамин Е» известны и другие токоферолы, они близки по химической природе и биологическому действию. Витамин Е обладает выраженным антиоксидантным свойством. Он захватывает неспаренные электроны активных форм кислорода, блокирует перекисное окисление липидов (а именно тормозит перекисное окисление ненасыщенных жирных кислот), стабилизируя состояние клеточных мембран. Это свойство - предотвращение окисления ненасыщенных жирных кислот - используется в косметических средствах, дает возможность избежать прогоркания жиров.

Кроме того, витамин Е участвует в биосинтезе гемоглобина крови и белков, в делении клеток, в тканевом дыхании и других сложных и важных процессах. Витамин Е восстанавливает витамин А и кофермент Q10 (убихинон). Кроме того, действие витамина Е связано с действием микроэлементов (в частности, селена, который входит в состав фосфолипидглутатионпероксидазы и глутатионпероксидазы, активность которых зависит от витамина С) [20].

Токоферолы в природе содержатся в зеленых частях растений, особенно в молодых ростках злаков, некоторое количество их содержится в жире, мясе животных, яйцах, молоке, креветках, кальмарах и др.

В медицине и косметологии используют экстракты из злаков, пророщенных зерен, растительные масла, полученные холодным отжимом. Богаты токоферолом следующие растительные масла:

·        соевое (1140 мг/кг);

·        хлопковое (990 мг/кг);

·        кукурузное (930 мг/кг);

·        оливковое (130 мг/кг)

и другие (арахисовое, облепиховое, пальмовое, миндальное, масло лесного ореха).

.4 Неферментативная антиоксидантная система

В качестве компонентов неферментативной АОС могут выступать низкомолекулярные вещества, имеющие высокую константу скорости взаимодействия с АФК.

Неферментативная АОС включает различные по химическому строению и свойствам соединения: водорастворимые - глутатион, аскорбат, цистеин, эрготионеин, и гидрофобные - - токоферол, витамин А, каротиноиды, убихиноны, витамины группы К, которые снижают скорость образования свободных радикалов и уменьшают концентрацию продуктов реакций, протекающих с участием радикалов [21].

Основная направленность действия низкомолекулярных АО связана с защитой белков, нуклеиновых кислот, полисахаридов, а также биомембран от окислительного разрушения при свободнорадикальной процессах. Важное значение низкомолекулярные АО приобретают в условиях окислительного стресса, когда ферментативная АОС оказывается менее эффективной в сравнении с их протекторным действием. Причины этого - быстрая инактивация конститутивного пула ферментов свободными радикалами и значительное время, необходимое для индукции их синтеза [22].

В липидах содержатся природные антиоксиданты (АО), существенно влияющие на скорость реакции обрыва цепей окисления. К гидрофобным АО фенольного типа относятся три группы веществ: токоферолы, убихиноны и витамины группы К. Каждое из этих веществ образует группу структурно-родственных соединений, включающую хиноны, хинолы, хроманолы и хроменолы. В липидном бислое мембран эти формы могут переходить одна в другую. Каждая группа природных АО присутствует в липидах преимущественно в одной, наиболее стабильной для данных соединений форме: витамины группы К находятся в виде хинонов, токоферолы находятся в липидах, в основном, в циклической форме 6-оксихроманов как в виде свободного токоферола, так и в виде его эфиров, для убихинонов наиболее устойчивой является хинонная форма. Гидрохинонная форма убихинонов довольна нестабильна и окисляется кислородом воздуха, однако в клетках до 70% убихинона может находится в восстановленной форме. Более стабильными являются циклические формы - убихроменолы, не участвующие в процессе переноса электрона по дыхательной цепи. Предполагают, что эта форма выполняет в липидах роль АО [23].

Характерной особенностью вышеназванных соединений является наличие в их структуре боковых алифатических заместителей, состоящих из нескольких изопреноидных звеньев, различающихся степенью ненасыщенности.

Хиноны легко реагируют с алкильными радикалами липидов (R), доля которых в общем количестве свободных радикалов при ПОЛ велика, по механизму:+ Q RQ; RQ + R RQR и могут эффективно тормозить окисление.

Хиноны и их производные способны реагировать с АФК, в частности, хиноны способны связывать радикалы супероксид-аниона, участвующие в инициировании цепей свободнорадикального окисления липидов, с образование семихинонов. Вместе с тем предполагают, что убисемихиноны и убихиноны могут, подобно менасемихинону и менадиолу, реагировать с молекулярным кислородом с образованием супероксидных анион-радикалов.

2. Материалы и методы исследования

.1 Общий обзор методов определения содержания витаминов А и Е

В области изучения витаминов накоплен громадный и разнообразный материал и он свидетельствует о том, что витамины являются органическими соединениями разной химической природы, необходимыми для обеспечения обмена веществ, лежащего в основе всех жизненных процессов. В связи с этим интерес к витаминам со временем не ослабевает, а возрастает еще больше. Особенно важной является разработка методов определения витаминов в различных объектах с целью контроля за их содержанием в продуктах питания, косметических средствах, лекарственных препаратах.

Методы определения содержания витамина А в продуктах.

При количественном определении витамина А в пищевых продуктах используют различные методы: колориметрический, флуоресцентный, способ прямой спектроскопии и ВЭЖХ. Выбор метода определяется наличием той или иной аппаратуры, целью исследования, свойствами анализируемого материала, предполагаемым содержанием витамина А и характером сопутствующих примесей.

Выделение витамина осуществляют кипячением со спиртовым раствором КОН в среде азота; и последующей экстракцией петролейным эфиром.

. Для количественного определения веществ, обладающих А-витаминной активностью, может быть использован метод прямой спектрофотометрии, основанный на способности этих соединений к избирательному светопоглощению на разных длинах волн в УФ области спектра. Поглощение пропорционально концентрации вещества при измерении на тех длинах волн, где наблюдается свойственный данному соединению максимум абсорбции в используемом растворителе. Метод - наиболее простой, быстрый, достаточно специфичный. Дает надежные результаты при определении витамина А в объектах, не содержащих примесей, обладающих поглощением в той же области спектра. При наличии таких примесей метод может быть использован в сочетании со стадией хроматографического разделения.

. Перспективным является флуоресцентный метод, основанный на способности ретинола флуоресцировать под действием УФ лучей (длина волны возбуждающего света 330-360 нм). Максимум флуоресценции наблюдается в области 480 нм. Определению витамина А этим методом мешают каротиноиды и витамин D. Для устранения мешающего влияния используют хроматографию на оксиде алюминия. Недостаток флуоресцентного метода - дорогостоящая аппаратура.

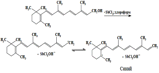
.        Ранее наиболее распространенным являлся колориметрический метод определения витамина А по реакции с хлоридом сурьмы. Используют раствор хлорида сурьмы в хлороформе (реактив Карр-Прайса). Механизм реакции точно не установлен и предполагают, что в реакцию вступает примесь SbCL5 в SbCl3. Образующееся в реакции соединение окрашено в синий цвет. Измерение оптической плотности проводят при длине волны 620 нм в течение 3-5 секунд. Существенным недостатком метода является неустойчивость развивающейся окраски, а также высокая гидролизуемость SbCl3. Предполагается, что реакция протекает следующим образом:


Эта реакция для витамина А не специфична, аналогичное окрашивание дают каратиноиды, но хроматографическое разделение этих соединений позволяет устранить их мешающее влияние.

Определению витамина А перечисленными методами, как правило, предшествует подготовительная стадия, включающая щелочной гидролиз жироподобных веществ и экстракцию неомыляемого остатка органическим растворителем. Часто приходится проводить хроматографическое разделение экстракта.

. В последнее время вместо колоночной хроматографии находит все более широкое применение ВЭЖХ, которая позволяет разделить жирорастворимые витамины (A, D, E, K), обычно присутствующие одновременно в пищевых продуктах, и количественно их определить с большой точностью. ВЭЖХ облегчает определение различных форм витаминов (витамин А-спирт, его изомеры, эфиры ретинола), что особо необходимо при контроле за внесением витаминов в пищевые продукты.

Методы определения содержания витамина Е в продуктах.

К группе веществ, объединяемых общим названием «витамин Е» относятся производные токола и триенола, обладающие биологической активностью a-токоферолла. Кроме a-токоферолла, известно еще семь родственных ему соединений, обладающих биологической активностью. Все они могут встречаться в продуктах. Следовательно, главная трудность при анализе витамина Е состоит в том, что во многих случаях приходится рассматривать группу соединений, имеющих большое химическое сходство, но одновременно различающихся по биологической активности, оценить которую можно только биологическим методом. Это трудно и дорого, поэтому физико-химические методы почти полностью вытеснили биологические.

Основные стадии определения витамина Е: подготовка образца, щелочной гидролиз (омыление), экстракция неомыляемого остатка органическим растворителем, отделение витамина Е от мешающих анализу веществ и разделение токоферолов с помощью различных видов хроматографии, количественное определение. Токоферолы очень чувствительны к окислению в щелочной среде, поэтому омыление и эктсракцию проводят в атмосфере азота и в присутствии антиоксиданта (аскорбиновой кислоты). При омылении могут разрушаться ненасыщенные формы (токотриенолы). Поэтому при необходимости определения всех форм витамина Е, содержащихся в продукте, омыление заменяют другими видами обработки, например, кристаллизацией при низких температурах.

. Большинство физико-химических методов определения витамина Е основано на использовании окислительно-восстановительных свойств токоферолов. Для определения суммы токоферолов в пищевых продуктах наиболее часто используют реакцию восстановления трехвалентного железа в двухвалентное токоферолами с образованием окрашенного комплекса Fe(2+) с органическими реагентами. Наиболее часто используют 2,2’ - дипиридил, с которым Fe(2+) дает комплекс, окрашенный в красный цвет (лmax = 500 нм). Реакция не специфична. В нее также вступают каротины, стиролы, витамин А и др. Кроме того, интенсивность окраски существенно зависит от времени, температуры, освещения. Поэтому для повышения точности анализа токофероллы предварительно отделяют от соединений, мешающих определению, методом колоночной, газожидкостной хроматографии, ВЭЖХ. При определении Е-витаминной ценности продуктов, в которых a-токоферол составляет более 80% общего содержания токоферолов (мясо, молочные продукты, рыба и др.), часто ограничиваются определением суммы токоферолов. Когда в значительных количествах присутствуют другие токоферолы (растительные масла, зерно, хлебобулочные изделия, орехи), для их разделения используют колоночную хроматографию.

. Для определения суммы токоферолов может быть использован также флуоресцентный метод. Гексановые экстракты имеют максимум флуоресценции в области 325 нм при длине волны возбуждающего света 292 нм.

. Для определения индивидуальных токоферолов несомненный интерес представляет метод ВЭЖХ, обеспечивающий в одном процессе как разделение, так и количественный анализ. Метод также характеризуется высокой чувствительностью и точностью. Детектирование проводят по поглощению или по флуоресценции.

2.2 Определение количественного содержания витаминов А и Е в морепродуктах

Определение количественного содержания витаминов А и Е проводилось на образцах четырех видов замороженных морепродуктов (креветка, осьминог, кальмар, мидия) и трех видах замороженной морской рыбы (минтай, путассу, камбала). Исследовали по пять параллельных образцов каждого объекта, в которых определяли содержание витаминов А и Е.

Методика определения количественного содержания витаминов А и Е.

В центрифужные пробирки помещается растертое мясо морепродукта (навеска 1 г), 1 мл спирта и 1 мл дистиллированной воды. Пробирки закрывают крышками и перемешивают содержимое осторожными встряхиваниями. Затем добавляют по 5 мл гексана и еще раз производят встряхивание. Затем центрифугируют в течении 10 минут при 1500 об/мин.

Четко отделившийся гексановый слой используют для проведения измерений.

Определение содержания витаминов А и Е проводили на анализаторе «Флюорат».

Градуировку прибора «Флюорат» осуществляли путем измерения сигналов флуоресценции, приготовленных растворов. Контроль стабильности градуировочной характеристики состоит в проведении измерений концентрации витаминов в нескольких смесях. Градуировка признается стабильной, если полученное значение концентрации витаминов в смеси отличается от известного не более, чем на 10% в диапазоне 0,5 -2,0 мг/дм3 и 20% при более низких концентрациях. При несоответствии полученных результатов указанным нормативам процесс градуировки необходимо повторить.

В основу работы прибора положен флуориметрический метод измерения содержания органических и неорганических веществ в области спектра 250-900 нм (например, витамин Е диапазон 300-320 нм). Для анализа использовались кюветы 10х20 мм. Во время работы на «Флюорате» необходимо выбрать из меню необходимую методику, затем измерить фоновый сигнал, после установить кювету с пробой и запустить процесс измерения.

В качестве светофильтров при измерения витамина Е применяют светофильтр возбуждения Е-1 (292 нм) и светофильтр регистрации Е-2 (320 нм). В качестве светофильтров при анализе витамина А используют светофильтр возбуждения А-1 (335) нм) и светофильтр регистрации А-2 (460 нм).

Этот метод определения содержания витаминов был выбран в связи с наличием необходимого оборудования и простотой использования.

2.3 Определение содержания диеновых конъюгатов в морепродуктах

Помимо того что о антиоксидантной активности морепродуктов можно судить по содержанию витаминов А и Е так и по содержанию диеновых конъюгатов.

К первичным продуктам перекисного окисления липидов относятся циклические эндоперекиси и алифатические моно- и гидроперекиси, так называемые липопероксиды и диеновые конъюгаты [25].

Определение диеновых конъюгатов имеет значительное преимущество для оценки ПОЛ, поскольку отражает раннюю стадию окисления. Обычным субстратом для определения диеновых конъюгатов выступает любое вещество, содержащее полиненасыщенные жирные кислоты.

Свободнорадикальное, или перекисное, окисление липидов (ПОЛ) представляет собой самоподдерживающуюся цепную реакцию, продукты которой в умеренных количествах необходимы для осуществления таких функций организма, как обновление биологических мембран, фагоцитоз, регуляция артериального давления и т.д., но в больших - вредны, поскольку нарушают структуру клеточных мембран [26].

При свободнорадикальном окислении арахидоновой кислоты происходит отрыв водорода в б-положении по отношению к двойной связи, что приводит к перемещению этой двойной связи с образованием ДК [27].

Диеновые конъюгаты относятся к токсическим метаболитам, которые оказывают повреждающее действие на липопротеиды, белки, ферменты и нуклеиновые кислоты [28].

Определение диеновых конъюгатов имеет значительное преимущество для оценки ПОЛ, поскольку отражает раннюю стадию окисления. Обычным субстратом для определения диеновых конъюгатов выступает любое вещество, содержащее полиненасыщенные жирные кислоты.

Диеновые конъюгаты обладают поглощением в УФ-области (л = 232 нм), коэффициент молярной экстинкции 2,2∙105 см-1 ∙М -1. Пробоподготовка для анализа диеновых конъюгатов обязательно включает в себя экстрагирование липидов органическими растворителями.

а) Экстракция диеновых конъюгатов из сыворотки крови или ткани гептан-изопропанольной смесью, с последующим измерением оптической плотности в гептановой или изопропанольной фазе (л= 232-234 нм).

б) При анализе с использованием ВЭЖХ, установлено, что диеновые конъюгаты, образующиеся в организме человека, в основном представлены изомерами линолевой кислоты, октодека-9 цис -, транс - диеновой кислоты.

В данной работе степень диеновой конъюгации ненасыщенных высших жирных кислот определяли по методике И.Д. Стальной (1977).

Принцип. Процесс пероксидного окисления полиненасыщенных жирных кислот сопровождается перегруппировкой двойных связей и возникновением системы сопряженных диеновых структур, имеющих максимум поглощения при 232-234 нм с плечом в области 260-280 нм, соответствующим сопряженным кетодиенам.

Реактивы:

)        гептанн

)        изопропанол

)        этиловый спирт

Ход исследования:

Для определения диеновых конъюгатов 300 мг мяса морской рыбы гомогенизировали с 3 мл смеси гептан: изопропан в соотношении 1:1 и центрифугировали 10 мин при 6000 об/мин. К супернатанту добавили 0,25 мл воды. К 0,5 мл гептановой фазы добавили 2,5 мл этилового спирта. Оптическую плотность измеряют при л=233 нм против контроля (гептан: изопропан 1:1) [29].

В ходе ПОЛ на стадии образования свободных радикалов в молекулах НЖК возникает система сопряженных двойных связей, что сопровождается появлением нового максимума в спектре поглощения при 233 нм.

Расчет ДК производили по формуле:

ДК=Д233/(Е*с)

где Д233 - оптическая плотность;

Е - коэффициент молярной экстинкции, 2,2*105см-1-1;

С - концентрация липидов, мг / мл.

Диеновые конъюгаты выражали в мкмоль ДК/мг липидов.

3. Результаты и обсуждения

По выбранным методам определения витаминов А и Е и диеновых конъюгатов были проведены эксперименты, в результате которых представлены в рисунках.

Примечание* - Р < 0,05 по сравнению с мясом осьминога

Рисунок 3.1 - Содержание витамина А в морепродуктах

Руководствуясь данными рисунка 3.1, исследуемые образцы морепродуктов можно расположить в следующей последовательность, по увеличению содержания витамина А: осьминог, кальмар, мидия, креветка. Содержание витамина А в мясе кальмара в 2,3 раза больше чем в мясе осьминога, в мясе мидии витамина А содержится больше в 4,6 раз, а в мясе креветки в 6,9 раз больше.

Рисунок 3.2 - Содержание витамина А в морской рыбе

По результатам опытов на количественное содержание витамина А в мясе морской рыбы видно что в исследуемых образцах содержится практически одинаковое количество витамина А (рис. 3.2).

Примечание* - Р < 0,05 по сравнению с мясом осьминога

Рисунок 3.3 - Содержание витаминов Е в морепродуктах

Из исследуемых образцов морепродуктов меньше всего витамина Е содержится в мясе осьминога. В мясе мидии количественное содержание витамина отличается незначительно, в мясе креветки витамина больше в 1,5 раза, а мясо кальмара содержит витамина Е больше чем мясо осьминога в 2 раза (рис. 3.3).

Примечание* - Р < 0,05 по сравнению с мясом минтая

Рисунок 3.4 - Содержание витамина Е в морской рыбе

Наименьшее количество витамина Е из исследуемых образцов морской рыбы содержится в мясе минтая. Содержание витамина Е в мясе камбалы и путассу отличается незначительно, так витамина Е в мясе камбалы содержится в 2,25 раза больше чем в мясе минтая, а в мясе путассу витамина Е в 2,5 раза больше (рис. 3.4).

Примечание* - Р < 0,05 по сравнению с мясом осьминога

Рисунок 3.5 - Содержание диеновых конъюгатов в морепродуктах

На рисунке 3.5 представлены результаты опытов по количественному определению диеновых конъюгатов в морепродуктах. Меньше всего ДК содержится в мясе осьминога, а самое большое содержание в мясе мидии - в 9,6 раза больше чем в мясе осьминога. Мясо креветки содержит диеновых конъюгатов в 2,7 раза больше чем мясо осьминога, а в кальмаре ДК больше в 1,2 раза.

Примечание* - Р < 0,05 по сравнению с мясом путассу

Рисунок 3.5 - Содержание диеновых конъюгатов морской рыбе

По данным рисунка 3.5 видно что ДК в мясе минтая и путассу содержится примерно одинаковое количество, а в мясе камбалы ДК больше чем в путассу в 8,8 раза.

Наличие диеновых конъюгатов в продуктах свидетельствует о присутствии процессов перекисного окисления, вызываемых снижением антиоксидантной активности липидов и естественных антиоксидантов, таких как витамины А и Е.

Заключение

Показателями неферментативной антиоксидантной системы являются витамины А и Е, и диеновые конъюгаты.

Диеновые конъюгаты являются первичными продуктами перекисного окисления липидов, относятся к токсичным метаболитам которые оказывают повреждающее действие на липопротеиды, белки, ферменты и нуклеиновые кислоты. Диеновая конъюгация является показателем степени выраженности процессов перекисного окисления липидов. Поэтому, чем выше значение диеновых конъюгатов, тем интенсивнее процесс перекисного окисления липидов. Среди исследуемых образцов морепродуктов наиболее интенсивный процесс перекисного окисления липидов наблюдается в мясе мидии, а среди морской рыбы в мясе камбалы.

Полученные результаты позволяют сделать следующие выводы:

1. Содержание жирорастворимых витаминов в морской рыбе минтае и путассу статистически значимо не отличается и выше, чем в камбале. 2. Наименьшее содержание витаминов А и Е выявлено в мясе осьминога, наибольшее содержание витамина А находится в креветках, витамина Е - в кальмарах.

. Снижение уровня витамина Е в камбале сопровождается увеличением в ней содержания диеновых конъюгатов.

Таким образом, большую пищевую ценность по витаминному составу из исследуемых продуктов имеют креветки, кальмары, минтай и путассу.

Список использованных источников

1.     Ковалевская Н.И. Биологическая химия / Н. И Ковалевская. - М.: Академия, 2008. - 83 с.

2.      Дроздова Т.М. Физиология питания / Т.М. Дроздова. - М.: Дели плюс, 2012. - 97 с.

.        Горбачев В.В. Витамины микро- и макроэлементы. Справочник. / В.В. Горбачев, В.Н. Горбачева. - М.: Книжный дом, 2002. - 178 с.

.        Интернет-портал Российской Федерации - Режим доступа: http://www.fismag.ru/pub/konish-03-13.php. - Дата доступа: 28.0.2014.

.        Интернет-портал Российской Федерации - Режим доступа: http://www.inmoment.ru/beauty/health-body/seafood.html. - Дата доступа: 28.04.2014.

.        Интернет-портал Российской Федерации - Режим доступа: http://doktorshen.ru/pitanie10-moreprodykt.php. - Дата доступа: 30.04.2014.

.        Орел Н.М. Биохимия мембран / Н.М. Орел. - М.: БГУ, 2010. - 10 с.

.        Интернет-портал Российской Федерации - Режим доступа: http://edu.sernam.ru/book_b_chem1.php? id=106. - Дата доступа: 30.04.2014.

9.     Березовский В.М. Химия витаминов / В.М. Березовский. - М.: 1973. - 256 с.

10.    Березов Т.Т. Биологическая химия / Т.Т. Березов, Б.Ф. Коровкин. - М.: Медицина, 1990. - 140 с.

.        Строев, Е.А. Биологическая химия / Е.А Строев. - М.: Высшая школа, 1986. - 360 с.

12.   Интернет-портал Российской Федерации - Режим доступа: http://sebulfin.com/meditsinskie-sovetyi/rasskazyi-o-vitaminah-biologicheskaya-rol-vitamina-a. - Дата доступа: 30.04.2014.

.       Шатерников, В.А. Витамины / В.А. Шатерников. - М.: 1974. - 125 с.

14.    Костюк В.А., Потапович А.И. Биорадикалы и биоантиоксиданты. - М.: БГУ, 2004. - 179 с.

.        Машковский, М.Д. Лекарственные средства/ М.Д. Машковский. - М.: Новая Волна, 2005. - 480 с.

16.   Филиппович Ю.Б. Практикум по общей биохимии / Ю.Б. Филиппович. М.: Просвещение, 1975.

17.    Северина С.Е. Практикум по биохимии / под ред. С.Е. Северина, Г.А. Соловьевой. М.: изд-во МГУ, 1989.

18.   Викторов А.П., Препараты витамина А в фокусе безопасности / А.П. Викторов, А.Г. Войтенко, М.: - 2008. - №9. - С. 21-23.

.       Морозкина, Т.С. Витамины. Краткое руководство для врачей и студентов медицинских, фармацевтических и биологических специальностей / Т.С. Морозкина, А.Г. Мойсеенок - М., Асар, 2002. - 112 с.

20.    Блинкин, С.А. Иммунитет и здоровье / С.А. Блинкин. - М.: Знание. - 1977. - 420 с.

21.   Никитина Л.П. Клиническая витаминология / Л.П. Никитина, Н.В. Соловьева. - Чита, 2002. - 66 с.

22.   Кения М.В. Роль низкомолекулярных антиоксидантов при окислительном стрессе / М.В. Кения, А.И. Лукаш, Е.П. Гуськов. М.:1993. - 456-470 с.

23.    Меньщикова Е.Б. Прооксиданты и антиоксиданты/ Е.Б. Меньщикова, В.З. Ланкин Н.К. Зенков, И.А. Бондарь и др. / М.: «Слово». - 2006. - С. 556.

24.   Ермолаев М.В. Биологическая химия/ М.В. Ермолаев. - М.: Медицина, 1983. - 288 с.

25.   Березов Т.Т. Биологическая химия/ Т.Т. Берёзов, Б.Ф. Коровкин. - М.: Медицина, 1998. - С. 212.

26.    Курашвили Л.В. Современное представление о перекисном окислении липидов и антиоксидантной системе при патологических состояниях / Л.В. Курашвили, Г.А. Косой, И.Р. Захарова, Пенза: Инс-т усоверш. врачей МЗ РФ, 2003. 32 с.

.        Каган, В.Е. Модификация ферментной системы транспорта кальция в саркоплазматическом ретикулуме при перекисном окислении липидов / В.Е. Каган, Ю.В. Архипенко, Ф.З. Меерсон и др / М.:1983, 7: 1141-1148.

.        Чеснокова Н.П. Типовые патологические процессы // Саратов: Саратовский медицинский университет, 2004. 132-136 с.

.        Тарасов Н.И., Состояние перекисного оксиления липидов, антиоксидантной защиты крови у больных инфарктом миокарда, отягощенным недостаточностью кровообращения / Н.И. Тарасов, А.Т. Тепляков, Е.В. Малахович и др // Тер. архив. 2002. 12-15 с.

.        Стальная И.Д. Методы определения диеновой конъюгации ненасыщенных жирных кислот. И.Д. Стальная // Современные методы биохомии/ В.Н. Орехович. - М.:1977, 63-64 с.

Похожие работы на - Обзор методов определения содержания витаминов А и Е в продуктах питания

 

Не нашли материал для своей работы?
Поможем написать уникальную работу
Без плагиата!
Без нейросетей!