Теплотехнический расчет наружных стен
Министерство
образования и науки Российской Федерации
Федеральное
государственное бюджетное образовательное учреждение высшего профессионального
образования
Национальный
минерально-сырьевой университет
«Горный»
Кафедра
строительства горных предприятий и подземных сооружений
Расчетно-графическое
задание
Теплотехнический
расчет наружных стен
Выполнил:
Ахмадеева Д.И.
студентка.
гр. ПГС-13-2
Проверил:
ассистент Попов М.Г.
Санкт-Петербург
- 2014 год
Исходные данные
г. Архангельск
Функциональное назначение здания - жилые,
лечебно-профилактические и детские учреждения
Толщина цементно-песчаного раствора- 10 мм
Материал стены - газобетон 380 мм
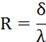
Расчетная схема стены
-штукатурный слой
- стена
- защитно-декоративный слой
теплопередача теплозащитный
ограждающий здание
Решение
1) Требуемое сопротивление теплопередаче стены
где
-
расчетная температура внутреннего воздуха,
;
- средняя
температура,
, и
продолжительность, сут., периода со средней суточной нормой ниже или равной
.
Согласно СНиП 41-01-2003 «Отопление, вентиляция
и кондиционирование» требуемая минимальная температура воздуха в помещениях,
предназначенных под жилые, лечебно-профилактические здания и детские учреждения
равна 15
.
Согласно СНиП 23-01-99 «Строительная
климатология», средняя температура и продолжительность периода со средней
суточной нормой ниже или равной 8
равны:
сут.
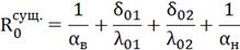
2) Требуемое сопротивление теплопередаче стены
) Сопротивление теплопередаче стены без
наружной теплоизоляции.
где
-
коэффициент теплоотдачи внутренней поверхности,
- коэффициент
теплоотдачи наружной поверхности,
- сопротивление
теплопередаче однородной ограждающей конструкции
где
-
толщина слоя, м,
Согласно СНиП II-3-79
= 8,7 Вт/(м2·°С)
= 23 Вт/(м2·°С)
Согласно СНиП 23-101-2004
= 0,76 Вт/(м·°С)
= 0,63 Вт/(м·°С)
) Значение требуемого усиления теплозащитных
свойств
) Толщина дополнительного слоя изоляции
где r-
коэффициент однородности согласно ГОСТ 26254-84 равен 0,92
= 0,025 Вт/(м·°С)
- плиты из пенополиуретана ППУ
Принимаем слой изоляции равным 70 мм, кратно
номенклатуре типовых толщин.
) Фактическое сопротивление теплопередаче.

Данный вариант стеновой ограждающей конструкции,
для здания 1-го типа, соответствует требованиям по теплозащите здания для
региона Архангельск, при толщине наружной теплоизоляции 70 мм фактическое
сопротивление теплопередаче составит 3,35