Расчёт теплового режима РЭА с естественным воздушным охлаждением
Введение
Воздушное охлаждение в настоящее время является
основным способом обеспечения теплового режима РЭА. Это объясняется простотой
конструкции, надежностью, удобством эксплуатации и ремонта РЭА с воздушным
охлаждением. Анализ теплонагруженной РЭА, выпускаемой и разрабатываемой
промышленностью, показывает, что более 97% все аппаратуры имеет воздушное
охлаждение, причем около 95% выпускается с принудительным воздушным
охлаждением.
Естественное воздушное охлаждение является
наиболее простым, надежным и дешевым способом охлаждения РЭС, не требующим
затрат дополнительной энергии. Однако интенсивность такого охлаждения невелика,
поэтому он используется при небольших удельных мощностях рассеивания тепла q.
При естественном воздушном охлаждении конвективный теплообмен осуществляется
между элементами РЭС и воздухом, причем воздух перемешивается за счет тепловой
энергии.
Различают две основные схемы естественного
воздушного охлаждения блоков (РЭМ2) и стоек (РЭМ3) РЭС: с герметичным или
перфорированным кожухом. В герметичном (или пылезащищенном) кожухе конвективный
теплообмен осуществляется от элементов РЭС к воздуху внутри аппарата, от
воздуха к кожуху, от кожуха к окружающей среде. При перфорированном кожухе
конвективный теплообмен в основном происходит между элементами РЭА и окружающей
средой с помощью воздуха, проникающего сквозь отверстия.
При создании методики расчета использовались
экспериментальные данные по тепловым режимам реальных РЭА различного
конструктивного исполнения: на шасси, с кассетами и смешанной конструкции.
Тепловой режим этих РЭА определяется при нормальном и пониженном атмосферном
давлении, причем в некоторых случаях для интенсификации теплообмена применялись
либо наружный обдув корпуса, либо внутренне перемешивание воздуха. Из анализа
экспериментальных данных следует, что перегрев нагретой зоны нелинейно
возрастает с ростом удельной мощности зоны и уменьшается с ростом коэффициента
перфорации, асимптотически приближаясь к некоторой постоянной величине.
Для облегчения пользования методикой теплового
расчета РЭА с естественным воздушным охлаждением приведем примеры расчета по
ряду алгоритма.
тепловой воздушный охлаждение
Исходные данные для расчета теплового режима
блоков различной конструкции
Вариант 3.
Герметичный блок с внутренним перемешиванием:
Р=200 Вт - мощность рассеиваемая в блоке;
а) Рэл=4 Вт - тепловой поток, рассеиваемый
элементом;
б) Рэл=6 Вт;=0,2 м, l2=0,3 м, l3=0,25 м -
горизонтальные и вертикальные размеры корпуса блока;=20
10-3
м2;эл=4
10-3
м2 - площадь теплоотдающей поверхности элемента;
Кз=0,5 - коэффициент заполнения;
Тс= 40
(313 К) - температура окружающей среды;в=50
10-3
кг/с - производительность вентилятора.
Герметичный блок с оребренным корпусом:
Р=200 Вт; k3=0,5;
а) Рэл=4 Вт; б) Рэл=6 Вт;
Тс=40
;=0,2
м, l2=0,3 м, l3=0,25 м;кр=0,16 м2;
Н1=5,3
104
Па - атмосферное давление снаружи корпуса аппарата;
Н2=9
104
Па - атмосферное давление внутри корпуса аппарата;=20
10-3
м2; Sэл=4
10-3
м2.
Блок в перфорированном корпусе:
Р=200 Вт;
а) Рэл=3 Вт; б) Рэл=4 вт; в) Рэл=Вт; k=0,7;=0,35
м, l2=0,4 м, l3=0,25 м;
)Sэл=2,7
10-3 м2; 2)
Sэл=7,7
10-3 м2; 3)
Sэл=2
10-3 м2;=500
- количество перфорационных отверстий;=8
10-3 - диаметр перфорационного
отверстий;
Н1=0,1
МПа; Тс=20
(293 К);
Расчет
теплового режима РЭА при естественном воздушном охлаждении
Расчет
теплового режима блока в герметичном корпусе с внутренним перемешиванием.
Целью
расчета является определение температур нагретой зоны и среды вблизи поверхности
ЭРЭ, необходимых для оценки надежности. Обычно производится расчет для наиболее
критического элемента, т. е. элемента, допустимая положительная температура
которого имеет наименьшее значение среди всех элементов, входящих в состав
устройства и образующих нагретую зону.
Рассчитываем
поверхность корпуса блока:
Рассчитываем
условную поверхность нагретой зоны:
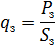
Находим
удельную мощность:
Находим
удельную мощность нагретой зоны:
Определяем
по рисунку (4.6) коэффициент
в зависимости от удельной мощности
корпуса блока:
.
Определяем
коэффициент
в
зависимости от удельной мощности нагретой зоны по рисунку (4.4)
.
Находим
коэффициент, зависящий от атмосферного давления по рисунку (4.7а)
:
Рассчитываем
объем воздуха в блоке:
Рассчитываем
среднюю скорость перемешивания воздуха в блоке
:
Определяем
коэффициент, зависящий от перемешивания воздуха по рисунку (4.10)
:
Определяем
перегрев корпуса блока:
Определяем
перегрев нагретой зоны:
Определяем
средний перегрев воздуха в блоке:
Находим
удельную мощность элементов:

Рассчитываем
перегрев поверхности элемента:
Рассчитаем
перегрев окружающей элемент среды:
Находим
температуру корпуса блока:
Находим
температуру нагретой зоны:
температуру
поверхности элементов:
среднюю
температуру воздуха в блоке:
температуру
окружающей элемент среды:
Определяем
коэффициент
в
зависимости от удельной мощности нагретой зоны по рисунку (4.4)
.
Рассчитываем
перегрев между нагретой зоной и корпусом неоребренного блока:
Рассчитываем
поверхность оребренного корпуса:
,
поверхность
корпуса не занятая ребрами;
поверхность
ребер.
Рассчитываем
мощность оребренного корпуса:
Определяем
коэффициент, зависящий от удельной мощности оребренного корпуса блока
:
Находим
коэффициенты, зависящие от атмосферного давления вне и внутри корпуса блока
=1,6 и
:
Рассчитываем
перегрев оребренного корпуса блока:
Рассчитываем
перегрев нагретой зоны с оребренным корпусом:
Рассчитываем
средний перегрев воздуха в блоке:
Определяем
удельную мощность элементов:
перегрев
поверхности элементов:
перегрев
окружающей элемент среды:
Находим
температуру поверхности блока:
температуру
нагретой зоны:
температуру
поверхности элементов:

среднюю
температуру воздуха в блоке:
температуру
окружающей элемент среды:
Расчет
теплового режима блока в перфорированном корпусе
Целью
расчета является определение температур нагретой зоны и среды вблизи
поверхности ЭРЭ, необходимых для оценки надежности. Обычно производится расчет
для наиболее критического элемента, т. е. элемента, допустимая положительная
температура которого имеет наименьшее значение среди всех элементов, входящих в
состав устройства и образующих нагретую зону.
Рассчитываем
поверхность корпуса блока:
условная
поверхность нагретой зоны:
удельную
мощность корпуса блока:
удельную
мощность нагретой зоны:
Находим
коэффициенты, зависящие от удельной мощности корпуса блока и нагретой зоны
и
:
Находим
коэффициенты, зависящие от атмосферного давления окружающей среды
=
:
Рассчитаем
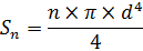
площадь перфорационных круглых отверстий:
Рассчитаем
коэффициент перфорации:
Находим
коэффициент, зависящий от коэффициента перфорации
:
Определяем
перегрев корпуса блока:
Определяем
перегрев нагретой зоны:
Определяем
средний перегрев:
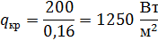
Рассчитываем
удельную мощность:
перегрев
поверхности элементов:
перегрев
окружающей среды у элемента:
Температура
корпуса блока:
Библиографический список
«Обеспечение
тепловых режимов при конструировании РЭА» Роткоп Л.Л. и др., - М.: СОВЕТСКОЕ
РАДИО, 1976г., 154-170с.: ил.