Расчёт линейных электрических цепей синусоидального тока
Курсовая
работа
по
дисциплине «Электротехника и электроника»
Тема «Расчёт
линейных электрических цепей синусоидального тока»
Введение
Целью курсовой работы является расчёт линейных
электрических цепей синусоидального тока.
Для достижения поставленной цели необходимо
решить ряд задач: составить систему уравнений для расчета токов во всех ветвях
цепи в символической форме; определить комплексы действующих значений токов во
всех ветвях; определить падение напряжения на каждой ветви; определить
потребляемую мощность цепи; составить баланс мощности; построить векторную
диаграммой токов и топографическую диаграмму цепи.
микросхема ток мощность цепь
1. Общая часть
.1 Электрический ток в различных средах
Все вещества можно разделить на две группы. К
первой группе относятся те вещества, которые содержат много свободных
заряженных частиц, и поэтому в них легко создать электрический ток. Их называют
проводниками.
К другой группе относят вещества, в которых мало
свободных заряженных частиц, поэтому сила тока в них даже при большой разности
потенциалов очень мала. Эти вещества называют изоляторами или диэлектриками.
К проводникам относятся все металлы (серебро,
медь, алюминий и др.), водные растворы или расплавы электролитов и
ионизированный газ-плазма. К числу хороших изоляторов относятся янтарь, фарфор,
резина, стекло, парафин (р ~ 10+8 Ом • м). Жидкими диэлектриками являются
керосин, минеральное (трансформаторное) масло, лаки, дистиллированная вода и
др. Лучший изолятор - вакуум. Неионизированные газы, в том числе и воздух,
также являются хорошими изоляторами.
Однако при некоторых условиях, например в
сильном электрическом поле, происходит расщепление молекул диэлектрика на ионы
(ионизация), и вещество становится проводником. Напряженность электрического
поля, при которой начинается ионизация молекул диэлектрика, называется
пробивной напряженностью. Поэтому для каждого диэлектрика, используемого в
электрических цепях, устанавливают допускаемую напряженность, которая меньше
пробивной.
Кроме проводников и диэлектриков, имеется группа
веществ, проводимость которых занимает промежуточное положение. Поэтому они
получили названия полупроводников. К ним относятся кремний, германий и др.
Основной закономерностью для тока в любом
проводнике служит зависимость силы тока от приложенного напряжения. График этой
зависимости называется вольтамперной характеристикой данного проводника.
.2 Цифровые и аналоговые интегральные микросхемы
Интегральной микросхемой (ИМС) называется
устройство с высокой плотностью упаковки электрически связанных элементов
(транзисторов, резисторов, конденсаторов и пр.), выполняющее заданную функцию
обработки (преобразования) электрических сигналов. С точки зрения
конструктивно-технологических и эксплуатационных требований ИМС представляет
собой единое изделие. Отдельные элементы ИМС, не имеющие внешних выводов, не
могут рассматриваться как самостоятельные изделия, в то время как компоненты,
являющиеся частью ИМС, можно рассматривать как самостоятельные комплектующие
изделия, например навесные бескорпусные транзисторы, дроссели и т.д.
По своему функциональному назначению ИМС делятся
на цифровые и аналоговые.
Цифровые (или логические) ИМС, принцип работы
которых базируется на использовании аппарата математической логики,
представляет собой устройства с несколькими входами m
и выходами n, реализующие
определенную логическую функцию.
Для представления двоичных переменных в
электронных устройствах используют электрические сигналы. Существует два
способа представления: потенциальный и импульсный. При потенциальном способе
двум значениям истинности, равным единице или нулю соответствуют два различных
потенциала. При импульсном способе двум значениям истинности соответствует
наличие или отсутствие сигнала в определенный момент времени.
Аналоговые ИМС представляют собой устройства,
которые обеспечивают почти пропорциональную зависимость между входными и
выходными сигналами. Аналоговые ИМС разделяются на информационные и силовые.
Информационные ИМС осуществляют функции усиления, генерации, сравнения, модуляции,
присущие информационной электронике, а силовые - функции преобразования
параметров потока электрической энергии, присущей силовой электронике.
2. Специальная часть
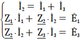
.1 Составление системы уравнений для расчета
токов
Для составления системы уравнений используем 1 и
2 законы Кирхгофа.
Первый закон Кирхгофа:

(1)
I - ток в ветвях
Второй закон Кирхгофа:
U - падение напряжения
Используя исходные данные невозможно
составить систему уравнений, необходимо определить полные сопротивления ветвей,
обозначить направления токов в ветвях и упростить схему.
Исходная схема имеет вид:
Рисунок 1 - Исходная схема
Для упрощения схемы находим действующие
значения ЭДС каждой ветви.

(3)

; 
;

; 
;
Находим ЭДС первой ветви по формуле
(3)

;

; 
;

; 
;
Находим ЭДС третьей ветви по формуле
(3)

;
Определяем угловую частоту

(4)
f - частота сети

;
Определяем реактивные сопротивления
по формулам:

(5)
L -
индуктивность
щ - угловая частота

(6)

- емкость

- угловая частота

;

;

;
Определяем полное сопротивление
каждой ветви

(7)

- полное сопротивление ветви
R - активное сопротивление ветви

- индуктивное сопротивление ветви

- емкостное сопротивление ветви

;

;

;
С учетом полученных параметров, исходная схема
принимает вид:
Составляем систему
уравнений. Первое уравнение составляем по первому закону Кирхгофа (1), второе и
третье - по второму закону Кирхгофа (2).



.2 Определение токов в ветвях
На основе исходной схемы, количество неизвестных
токов в цепи - три.
Рисунок 3 - Первая схема с частичными токами
Определяем токи в ветвях методом наложения
токов.
Преобразуем исходную схему в две простые схемы с
частичными токами.
Рисунок 4 - Вторая схема с частичными токами
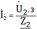
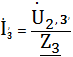
Рассчитываем первую схему (рис. 3)
Находим общее сопротивление по формуле

(8)

;
Находим токи по закону Ома

(9)






;

;



;

;
Рассчитываем первую схему (рис. 3)
Находим общее сопротивление по
формуле (8)

;
Находим токи по закону Ома (9)

;

;



;

;
Находим полные токи

(10)


;


;


;
Проверяем полные токи по первому закону
Кирхгофа (1)

;

;

;

.
.3 Определение падений напряжений на ветвях
По закону Ома (9) определяем падения напряжения
на каждой ветви


;

;

;
2.4 Определение мощности цепи
Находим мощность каждой ветви по
формуле

(11)

;

;

;
Находим полную мощность цепи

(12)

;
.5 Составление баланса мощности
Определяем мощность потребителя в цепи



;
Баланс мощности:


Погрешность составляет 0,5%
.6 Построение векторной диаграммы токов
В комплексной плоскости строим векторную
диаграмму токов. Исходные данные для диаграммы:


;


;

;
.7 Построение топографической
диаграммы
Для построения топографической
диаграммы определим падение напряжения на каждом элементе по закону Ома (9)

;

;

;

;
Заключение
Кроме проводников и диэлектриков, имеется группа
веществ, проводимость которых занимает промежуточное положение. Поэтому они
получили названия полупроводников. К ним относятся кремний, германий и др.
Основной закономерностью для тока в любом
проводнике служит зависимость силы тока от приложенного напряжения. График этой
зависимости называется вольтамперной характеристикой данного проводника.
Литература
1. Пономаренко В.К.
Электротехника: учебное пособие / СПбГТУРП.- СПб.,2011. Часть III.- 91с.;
. Теоретические основы
электротехники. Т.1. Основы теории цепей / под ред. П.А. Ионкина. - М.: Высшая
школа,2008.
. Бессонов Л.А. Теоретические
основы электротехники. Электрические цепи. - М.: Гардарики, 2009.;