Расчёт отопительной нагрузки помещений жилого пятиэтажного здания в климатических условиях г. Красноярск
Содержание
Введение
.
Исходные данные
.1
Техническая характеристика здания
.2
Конструкция наружных ограждений
.3
Характеристика климатического района
.4
Расчётные параметры внутреннего воздуха
.5
Характеристика ограждающих конструкций
.
Определение отопительной нагрузки помещения
.1
Определение теплопотерь через ограждающие конструкции
.2
Расчёт отопительной нагрузки помещений
.
Тепловой расчет отопительных приборов
.
Гидравлический расчет трубопровода
4.1
Определение расчетного циркуляционного давления в системе отопления
4.2
Гидравлический расчет стояков
.3
Гидравлический расчет магистральных участков трубопровода
.
Подбор оборудования теплового ввода
.
Спецификация оборудования и материалов
Библиографический
список
Введение
В курсовом проекте выполнен расчёт отопительной
нагрузки помещений жилого 5-ти этажного здания в климатических условиях г.
Красноярск.
Техническая характеристика здания его план и
разрез приведены СК 1-6-89 с. 33.
Система отопления водяная, однотрубная, с
верхней разводкой подающей магистрали, тупиковая. Температура носителя 105-70˚С.
В качестве отопительных приборов приняты
чугунные секционные радиаторы типа МС 140-108.
Курсовой проект выполнен в соответствии с
справочной нормативной литературой и соответствует техническим условиям на
монтаж и эксплуатацию.
здание отопительный трубопровод
тепловой
1. Исходные данные
.1 Техническая характеристика здания
Строительный объём здания = 37808 м3
Площадь застройки = 3100 м2
Жилая площадь = 1435 м2
Общая площадь =2224 м2
Здание жилое 5-ти этажное, имеет чердак и
подполье.
.2 Конструкция наружных ограждений
Наружные стены - трёхслойные панели с
эффективным утеплителем.
Наружная отделка наружных стен - фактурный слой
декоративного бетона.
Внутренняя отделка - оклейка обоями, масляная
окраска панелей.
Перекрытия - сборные железобетонные плоские
панели горизонтального формования толщиной 160 мм.
Утеплитель чердачного перекрытия - минеральная
вата.
Полы - линолеум, керамическая плитка.
Окна и балконные двери - с тройным остеклением.
Наружные двери - остекленные.
Внутренние двери - остекленные.
Перегородки - сборные железобетонные толщиной 80
мм.
Кровля - бетонная плита с мягкой кровлей.
.3 Характеристика климатического района
Город - Красноярск
Влажностная зона - сухая
Режим эксплуатации - нормальный
Коэффициент обеспеченности - 0,92
Средняя температура наиболее холодной пятиднёвки
- -40˚С
Средняя температура наиболее холодных суток -
-44˚С
Абсолютная минимальная температура - -53˚С
Средняя температура отопительного периода - -7,2˚С
Продолжительность отопительного периода - 235
суток.
Средние значение среднемесячных температур
зимнего периода - -12,9˚С
Средняя за зимний период упругость водяного пара
- 1,86 гПа
Максимальная из средних скоростей ветра по
румбам за январь - 6,2 м/с
Минимальная из средних скоростей ветра по румбам
за июль - 0 м/с
Удельная энтальпия - -40,2кДж/кг
Скорость ветра - 1 м/с
Расчетная географическая широта - 56˚С.Ш
Бараметрическое давление - 970 гПа
.4 Расчётные параметры внутреннего воздуха
В соответствии с нормативными требованиями для
жилых зданий температура в помещениях принята следующая:
в жилых комнатах - 21˚С, в угловых жилых
комнатах-23˚С
в кухнях - 19˚С, в угловых кухнях-21˚С
в лестничных клетках - 16˚С
в раздельных сан. узлах - 18˚С
в совмещённых сан. узлах - 25˚С
в ванных комнатах - 25˚С
относительная влажность воздуха - 40-60%.
1.5 Характеристика ограждающих конструкций
Наружные стены:
керамзитобетон δ = 0,3
м
пенополистирол δ = 0,13
м
керамзитобетон δ = 0,05
м
Толщина наружной стены
δ =
0,48 м
Коэффициент теплопередачи Кн.с = 0,27 Вт/(м2˚С)
Чердачное перекрытие:
бетонная стена δ = 0,16
м
минеральная вата δ = 0,2
м
шлаковая засыпка δ = 0,1
м
Толщина чердачного перекрытия δ
= 0,46
м
Коэффициент теплопередачи Кч.п = 0,20 Вт/(м2˚С)
Полы:
Линолеумный пол:
линолеум δ = 0,005
м
цементно-песчаный раствор δ
= 0,03
м
минеральная вата δ = 0,24
м
бетонная плита δ = 0,16
м
Толщина линолеумного пола δ
= 0,43
м
Коэффициент теплопередачи Кл.п = 0,20 Вт/(м2˚С)
Плиточный пол:
керамическая плитка δ
= 0,01
м
цементно-песчаный раствор δ
= 0,03
м
минеральная вата δ = 0,24
м
бетонная плита δ = 0,16
м
Толщина плиточного пола δ
= 0,44
м
Коэффициент теплопередачи Кп.п = 0,20 Вт/(м2˚С)
Бетонный пол:
цементно-песчаный раствор δ
= 0,03
м
бетонная плита δ = 0,16
м
Толщина бетонного пола δ
= 0,19м
Коэффициент теплопередачи Кб.п =2,38 Вт/(м2˚С)
Окна и балконные двери:
Двойное остекление с твердым селективным
покрытием в раздельно - спаренных переплетах.
Коэффициент теплопередачи Кок =1,54 Вт/(м2˚С)
К = Кок - Кн.с
К =1,54 - 0,27 = 1,27 Вт/(м2˚С)
Фактическое сопротивление воздухопроницанию Rиф
= 0,9 м2·ч·Па/кг
Лестничная клетка:
Наружные двери деревянные двойные
Коэффициент теплопередачи Кн.д =2,32 Вт/(м2˚С)
К = Кн.д - Кн.с
К =2,32 - 0,27 = 2,05 Вт/(м2˚С)
Добавка на входные наружные двери
0,27×Н = 0,34×19,6
= 6,7
Расчет потерь теплоты через пол лестничной
клетки, расположенной по грунту, рассчитывают по зонам шириной 2 м.
расположенным параллельно к наружным стенам здания.
Если нет наружных стен, то расчёт ведём по зонам
пола.
В данном проекте есть наружные стены делить зоны
начинаем от уровня земли, а затем пол.
зона стены:
Фактическое сопротивление воздухопроницанию
(1.1)
Rн.с.1з = 2,1+0,37+3,17+0,06 = 2,1+3,6=5,7 м2·ч·Па/кг
Коэффициент теплопередачи
(1.2)
Вт/(м2˚С)
зона пола:
Фактическое сопротивление воздухопроницанию
первой зоны пола по формуле (1.1).
з.п = 2,1+0,2+0,04 = 2,34 м2·ч·Па/кг
Коэффициент теплопередачи по формуле (1.2)
Вт/(м2˚С)
зона пола:
Фактическое сопротивление воздухопроницанию
(1.3)з.п =
4,3+0,2+0,04 = 4,54 м2·ч·Па/кг
Коэффициент теплопередачи по формуле (1.2)
Вт/(м2·˚С)
зона пола:
Фактическое сопротивление воздухопроницанию
(1.4)з.п =
8,6+0,2+0,04= 8,84 м2·ч·Па/кг
Коэффициент теплопередачи по формуле (1.2)
Вт/(м2·˚С)
зона пола:
Фактическое сопротивление воздухопроницанию
(1.5)з.п =
14,2+0,2+0,04= 14,44 м2·ч·Па/кг
Коэффициент теплопередачи по формуле (1.2)
Вт/(м2·˚С)
2. Определение отопительной нагрузки помещения
.1 Определение теплопотерь через ограждающие
конструкции
Потери тепловой энергии определяют через все
ограждения, которые граничат с наружным воздухом (стены, окна, покрытия), с
неотапливаемыми помещениями (чердачные перекрытия, перекрытия над
неотапливаемыми подвалами, техподпольями), а также с помещениями, имеющими
температуру на 3оС и ниже, чем в рассчитываемом помещении.
Через каждый вид ограждения теплопотери
рассчитываются по формуле:
=k·F·(tв-tн)·n·p (2.1)
где F - расчетная площадь ограждения, м2;н
- температура наружного воздуха для расчета отопления, равная температуре по
параметрам Б, оС;- коэффициент, учитывающий зависимость положения
ограждающей конструкции по отношению к наружному воздуху;= 1 - для наружных
стен, дверей, окон;= 0,6 - для пола первого этажа;= 0,9 - для потолка верхнего
этажа.- множитель, учитывающий дополнительные теплопотери, определяемый из
выражения:
=1+∑β
(2.2)
где ∑β
- сумма дополнительных потерь через ограждения, принимаемая в долях от основных
теплопотерь.
Расчетную площадь ограждения конструкции F, м2,
определяют с точностью до 0,1 м2 по правилам обмера линейных
размеров ограждения в плане и разрезе здания.
Линейные размеры ограждения определяют следующим
образом:
а) площадь окон, дверей и фонарей - по
наименьшим размерам строительных проемов в свету;
б) площадь полов и потолков - по размерам между
осями внутренних стен или от внутренней поверхности наружных стен до оси внутренних
стен;
в) высота стен первого этажа при наличии пола,
расположенного непосредственно на грунте, - от уровня чистого пола первого
этажа до уровня чистого пола второго этажа; при наличии неотапливаемого подвала
или подполья - от уровня нижней поверхности конструкции пола первого этажа до
уровня чистого пола второго этажа;
г) высота стен промежуточного этажа - между
уровнями чистых полов данного и вышележащего этажей;
д) высота стен верхнего этажа - от уровня
чистого пола верхнего этажа до верха утепляющего слоя чердачного перекрытия или
от уровня чистого пола до линии пересечения внутренней поверхности наружной
стены с верхней плоскостью бесчердачного покрытия;
е) длина наружных стен неугловых помещений -
между осями внутренних стен, а угловых помещений - от угла до оси внутренних
стен;
ж) длина внутренних стен - от внутренней
поверхности наружных стен до оси внутренней стены или между осями внутренних
стен.
Добавочные теплопотери ∑β
через
ограждающие конструкции помещения любого назначения принимают в долях от
основных теплопотерь:
а) для наружных вертикальных наклонных
(вертикальная проекция) стен, дверей и окон, обращенных на север (С),
восток(В), северо-восток(СВ) и северо-запад(СЗ), - в размере 0,1, на
юго-восток(ЮВ) и запад(З) - в размере 0,05, на юг(Ю) и юго-запад(ЮЗ) - 0;
б) в угловых помещениях- в жилых зданиях tв
повышается на 2˚С по сравнению с рядовыми помещениями;
в угловых помещениях - по 0,05 на каждую стену,
дверь и окно, если одно из ограждений обращено на север, восток, северо-восток
и северо-запад 0,1 - в других случаях.
в) для наружных дверей, не оборудованных
воздушными или воздушно-тепловыми завесами, при высоте здания H, м (от уровня
земли до верха карниза, центра вытяжных отверстий фонаря или шахты), в размере:
.2 H- для тройных дверей с двумя тамбурами между
ними,
,27 H- для двойных дверей с тамбуром между
ними,Ю
.34 H- для двойных дверей без тамбура,
.22 H- для одинарных дверей;
г) для наружных ворот, не оборудованных
воздушными или воздушно-тепловыми завесами, - в размере 3 при отсутствии
тамбура и в размере 1 при наличии тамбура у ворот;
д) через необогреваемые полы первого этажа над
холодными подпольями зданий в местностях с расчетной температурой наружного
воздуха минус 40оС и ниже(параметры Б) - в размере 0.05.
Коэффициент учета положения наружной поверхности
ограждения по отношению к наружному воздуху n принимают по таблице 2.3 [1].
Теплопотери через внутренние ограждающие
конструкции помещений можно не учитывать, если разность температур в этих
помещениях равна 3оС и меньше.
Расчет тепловой нагрузки представляется в
табличной форме (таблица 2.1).
Площадь окон не вычитают из площади стены, а при
определении теплопотерь через окна из коэффициента теплопередачи окна вычитают
коэффициент теплопередачи наружной стены, т.е. в таблице записывают
(kок-kн.с.).
Расчет теплопотерь помещения сведён в таблицу
2.1.
Таблица 2.1. Расчет теплопотерь через ограждения
|
Номер
помещения
|
Наименование
помещения и температура воздуха
|
Характеристики
ограждения
|
Расчётная
разность температур
|
Основные
теплопотери,Вт
|
добавки
|
Коэффициент
учёта добавок
|
Общие
теплопотери
|
|
|
|
|
|
|
|
|
|
|
Обозначение
|
Ориентация
по сторонам света
|
Количество
и линейные размеры, м.
|
Поверхность
ограждения,м2
|
Коэффициент
теплопередачи, К
|
|
|
На
ориентацию по сторонам света
|
|
На
входные наружные двери
|
На
на необогреваемые полы
|
|
Ограждения
|
Q
ограждения
|
|
|
|
|
|
|
|
|
|
|
|
|
|
|
|
|
|
|
|
|
|
|
|
|
|
|
|
|
|
|
|
|
|
|
|
|
|
|
|
|
|
|
|
|
|
|
|
|
|
|
|
|
|
|
|
|
|
|
|
|
|
|
|
|
|
|
|
|
|
|
|
|
|
|
|
|
|
|
|
|
|
|
|
|
|
|
|
|
|
|
|
|
|
|
|
|
|
1
|
2
|
3
|
4
|
5
|
6
|
7
|
8
|
9
|
10
|
|
11
|
12
|
13
|
14
|
15
|
|
1
этаж
|
|
101
|
Жилая
комната, 23˚С
|
НС
|
з
|
6,65×3,43
|
22,8
|
0,27
|
63
|
338,0
|
0,05
|
|
-
|
-
|
1,05
|
407
|
920
|
|
|
НС
|
c
|
3,35×3,43
|
11,5
|
0,27
|
63
|
196,0
|
0,1
|
|
-
|
-
|
1,1
|
216
|
|
|
|
До
|
С
|
1,5×1,2
|
1,8
|
1,27
|
63
|
144,0
|
0,1
|
|
-
|
-
|
1,1
|
158
|
|
|
|
Пл
|
-
|
6,2×2,9
|
17,1
|
0,2
|
37,8
|
129,1
|
-
|
|
-
|
0,05
|
1,05
|
136
|
|
|
|
|
|
|
|
|
|
|
|
|
|
|
|
|
|
|
102
104 109 107
|
Жилая
комната, 21˚С
|
НС
|
С
|
4,2×3,43
|
14,4
|
0,27
|
61
|
237,3
|
0,1
|
|
-
|
|
1,1
|
261
|
660
|
|
|
До
|
С
|
1,5×1,2
|
1,8
|
1,27
|
61
|
139,4
|
0,1
|
|
-
|
|
1,1
|
153
|
|
|
|
БД
|
С
|
1,2×1,9
|
2,3
|
0,27
|
61
|
37,6
|
0,1
|
|
-
|
|
1,1
|
41
|
|
|
|
ПЛ
|
-
|
6,2×4,2
|
26,9
|
0,2
|
36,6
|
196,8
|
-
|
|
-
|
0,05
|
1,05
|
207
|
|
|
103
105 106 108
|
Жилая
комната, 21˚С
|
НС
|
С
|
3×3,43
|
10,3
|
0,27
|
61
|
169,5
|
0,1
|
|
-
|
-
|
1,1
|
186
|
480
|
С
|
1,5×1,2
|
1,8
|
1,27
|
61
|
139,4
|
0,1
|
|
-
|
-
|
1,1
|
153
|
|
|
|
Пл
|
-
|
6,2×3
|
18,6
|
0,2
|
36,6
|
136,2
|
-
|
|
-
|
0,05
|
1,05
|
143
|
|
|
|
|
|
|
|
|
|
|
|
|
|
|
|
|
|
|
110
|
Жилая
комната, 23˚С
|
НС
|
С
|
6,65×3,43
|
22,8
|
0,27
|
63
|
388,0
|
0,1
|
|
-
|
-
|
1,1
|
446
|
940
|
|
|
НС
|
В
|
3,35×3,43
|
11,5
|
0,27
|
63
|
195,5
|
0,1
|
|
-
|
-
|
1,1
|
225
|
|
|
|
До
|
С
|
1,5×1,2
|
1,8
|
1,27
|
63
|
144,0
|
0,1
|
|
-
|
-
|
1,1
|
166
|
|
|
|
Пл
|
-
|
6,2×2,9
|
17,1
|
0,2
|
37,8
|
129,1
|
-
|
|
-
|
0,05
|
1,05
|
136
|
|
|
111
|
Кухня
21˚С
|
НС
|
В
|
3,35×3,43
|
11,5
|
0,27
|
61
|
189,2
|
0,1
|
|
-
|
-
|
1,1
|
218
|
770
|
|
|
НС
|
Ю
|
5,45×3,43
|
18,7
|
0,27
|
61
|
307,9
|
0
|
|
-
|
-
|
1
|
339
|
|
|
|
ДО
|
Ю
|
1,5×1,2
|
1,8
|
1,27
|
61
|
139,4
|
0
|
|
-
|
-
|
1
|
153
|
|
|
|
Пл
|
-
|
2,9×5
|
14,5
|
0,2
|
36,6
|
106,1
|
|
|
|
0,05
|
1,05
|
111
|
|
|
112
115 118 121
|
Жилая
комната, 23˚С
|
НС
|
Ю
|
4,55×3,43
|
14,4
|
0,27
|
63
|
237,2
|
0
|
|
-
|
|
1
|
245
|
720
|
|
|
БД
|
Ю
|
1,2×1,9
|
2,3
|
0,27
|
63
|
37,9
|
0
|
|
-
|
|
1
|
39
|
|
|
|
ДО
|
Ю
|
1,5×1,2
|
1,8
|
1,27
|
63
|
139,4
|
0
|
|
-
|
|
1
|
144
|
|
|
|
Пл
|
-
|
6,2×4,1
|
26,24
|
0,2
|
37,8
|
192,1
|
-
|
|
-
|
0,05
|
1,05
|
218
|
|
|
118*
|
Жилая
комната 23˚С
|
НС
|
В
|
1,2×3,43
|
4,2
|
0,27
|
63
|
71
|
0,1
|
|
-
|
-
|
1,1
|
78
|
|
|
121*
|
Жилая
комната 23˚С
|
НС
|
З
|
1,2×3,43
|
4,2
|
0,27
|
63
|
71
|
0,05
|
|
-
|
-
|
1,05
|
75
|
|
|
113
114 119 120
|
Кухня
19˚С
|
НС
|
Ю
|
3×3,43
|
10,3
|
0,27
|
59
|
163,9
|
0
|
|
-
|
-
|
1
|
164
|
440
|
|
|
До
|
Ю
|
1,5×1,2
|
1,8
|
1,27
|
59
|
134,9
|
0
|
|
-
|
-
|
1
|
135
|
|
|
|
Пл
|
-
|
6,2×3
|
18,6
|
0,2
|
35,4
|
131,7
|
-
|
|
-
|
0,05
|
1,05
|
138
|
|
|
|
|
|
|
|
|
|
|
|
|
|
|
|
|
|
|
116
117
|
Кухня
19˚С
|
НС
|
Ю
|
3×3,43
|
10,3
|
0,27
|
59
|
163,9
|
0
|
|
-
|
|
1
|
164
|
410
|
|
|
До
|
Ю
|
1,5×1,2
|
1,8
|
1,27
|
59
|
134,9
|
0
|
|
-
|
|
1
|
135
|
|
|
|
Пл
|
-
|
5×3
|
15,0
|
0,2
|
35,4
|
106,2
|
-
|
|
-
|
0,05
|
1,05
|
112
|
|
|
|
|
|
|
|
|
|
|
|
|
|
|
|
|
|
|
122
|
Кухня
21˚С
|
НС
|
Ю
|
3,35×3,43
|
11,5
|
0,27
|
61
|
189,2
|
0
|
|
-
|
-
|
1
|
189
|
760
|
|
|
НС
|
З
|
18,7
|
0,27
|
61
|
307,9
|
0,05
|
|
-
|
-
|
1,05
|
323
|
|
|
|
До
|
Ю
|
1,5×1,2
|
1,8
|
1,27
|
61
|
139,4
|
0
|
|
-
|
-
|
1
|
139
|
|
|
|
Пл
|
-
|
5×2,9
|
14,5
|
0,2
|
36,6
|
106,1
|
-
|
|
-
|
0,05
|
1,05
|
111
|
|
|
третий
этаж
|
|
Номер
помещения
|
Наименование
помещения и температура воздуха
|
Характеристики
ограждения
|
Расчётная
разность температур
|
Основные
теплопотери,Вт
|
добавки
|
Коэффициент
учёта добавок
|
Общие
теплопотери
|
|
|
|
|
|
|
|
|
|
|
Обозначение
|
Ориентация
по сторонам света
|
Количество
и линейные размеры, м.
|
Поверхность
ограждения,м2
|
Коэффициент
теплопередачи, К
|
|
|
На
ориентацию по сторонам света
|
|
На
входные наружные двери
|
На
на необогреваемые полы
|
|
Ограждения
|
Q
ограждения
|
|
|
|
|
|
|
|
|
|
|
|
|
|
|
|
|
|
|
|
|
|
|
|
|
|
|
|
|
|
|
|
|
|
|
|
|
|
|
|
|
|
|
|
|
|
|
|
|
|
|
|
|
|
|
|
|
|
|
|
|
|
|
|
|
|
|
|
|
|
|
|
|
|
|
|
|
|
|
|
|
|
|
|
|
|
|
|
|
|
|
|
|
|
|
|
|
|
301
|
Жилая
комната, 23˚С
|
НС
|
С
|
6,65×3
|
20,0
|
0,27
|
63
|
339,3
|
0,1
|
|
-
|
-
|
1,1
|
373
|
710
|
|
|
НС
|
З
|
3,35×3
|
10,1
|
0,27
|
63
|
171,0
|
0,05
|
|
-
|
-
|
1,05
|
180
|
|
|
|
До
|
С
|
1,5×1,2
|
1,8
|
1,27
|
63
|
144,0
|
0,1
|
|
-
|
-
|
1,1
|
158
|
|
|
|
|
|
|
|
|
|
|
|
|
|
|
|
|
|
|
|
|
|
|
|
|
|
|
|
|
|
|
|
|
|
|
302
304 307 309
|
Жилая
комната, 21˚С
|
НС
|
С
|
4,2×3
|
12,6
|
0,27
|
61
|
207,5
|
0,1
|
|
-
|
|
1,1
|
228
|
420
|
|
|
ДО
|
С
|
1,5×1,2
|
1,8
|
1,27
|
61
|
139,4
|
0,1
|
|
-
|
|
1,1
|
153
|
|
|
|
БД
|
С
|
1,2×1,9
|
2,3
|
0,27
|
61
|
37,6
|
0,1
|
|
-
|
|
1,1
|
41
|
|
|
|
|
|
|
|
|
|
|
|
|
|
|
|
|
|
|
303
305 306 308
|
Жилая
комната, 21˚С
|
НС
|
С
|
3×3
|
9,0
|
0,27
|
61
|
148,2
|
0,1
|
|
-
|
-
|
1,1
|
163
|
460
|
|
|
До
|
С
|
1,5×1,2
|
1,8
|
1,27
|
61
|
139,4
|
0,1
|
|
-
|
-
|
1,1
|
153
|
|
|
|
Пл
|
-
|
6,2×3
|
18,6
|
0,2
|
37,8
|
140,6
|
-
|
|
-
|
|
1
|
148
|
|
|
|
|
|
|
|
|
|
|
|
|
|
|
|
|
|
|
310
|
Кухня
23˚С
|
НС
|
С
|
6,65×3
|
20,0
|
0,27
|
63
|
339,3
|
0,1
|
|
-
|
-
|
1,1
|
370
|
720
|
|
|
НС
|
В
|
3,35×3
|
10,1
|
0,27
|
63
|
171,0
|
0,1
|
|
-
|
-
|
1,1
|
190
|
|
|
|
До
|
С
|
1,5×1,2
|
1,8
|
1,27
|
63
|
144,0
|
0,1
|
|
-
|
-
|
1,1
|
160
|
|
|
|
|
|
|
|
|
|
|
|
|
|
|
|
|
|
|
311
|
Кухня
21˚С
|
НС
НС
|
В
Ю
|
3,35×3
5,45×3
|
10,1
16,4
|
0,27
0,27
|
61
61
|
165,5
269,3
|
0,1
0
|
|
-
-
|
-
-
|
1,1
1
|
180
270
|
590
|
|
|
ДО
|
Ю
|
1,5×1,2
|
1,8
|
1,27
|
61
|
139,4
|
0
|
|
-
|
-
|
1
|
140
|
|
|
|
|
|
|
|
|
|
|
|
|
|
|
|
|
|
|
312
315 318 321
|
Кухня
23˚С
|
НС
|
Ю
|
4,55×3
|
14,4
|
0,27
|
63
|
237,2
|
0
|
|
-
|
|
1
|
237
|
480
|
|
|
БД
|
Ю
|
1,2×1,9
|
2,3
|
0,27
|
63
|
37,9
|
0
|
|
-
|
|
1
|
38
|
|
|
|
ДО
|
Ю
|
1,5×1,2
|
1,8
|
1,27
|
63
|
139,4
|
0
|
|
-
|
|
1
|
139
|
|
|
|
|
|
|
|
|
|
|
|
|
|
|
|
|
|
|
321*
|
|
НС
|
З
|
1,2*3
|
3,6
|
0,27
|
63
|
61
|
0,05
|
|
|
|
1,05
|
64
|
|
|
318*
|
|
НС
|
В
|
1,2*3
|
3,6
|
0,27
|
63
|
61
|
0,1
|
|
|
|
1,1
|
67
|
|
|
313
314 319 320
|
Кухня
19˚С
|
НС
|
Ю
|
3×3
|
9,0
|
0,27
|
59
|
143,4
|
0
|
|
-
|
-
|
1
|
143
|
280
|
|
|
До
|
1,5×1,2
|
1,8
|
1,27
|
59
|
134,9
|
0
|
|
-
|
-
|
1
|
135
|
|
|
|
|
|
|
|
|
|
|
|
|
|
|
|
|
|
|
|
|
|
|
|
|
|
|
|
|
|
|
|
|
|
|
316
317
|
Кухня
19˚С
|
НС
|
Ю
|
3×3
|
9,0
|
0,27
|
59
|
143,4
|
0
|
|
-
|
|
1
|
143
|
280
|
|
|
До
|
Ю
|
1,5×1,2
|
1,8
|
1,27
|
59
|
134,9
|
0
|
|
-
|
|
1
|
135
|
|
|
|
|
|
|
|
|
|
|
|
|
|
|
|
|
|
|
|
|
|
|
|
|
|
|
|
|
|
|
|
|
|
|
|
|
|
|
|
|
|
|
|
|
|
|
|
|
|
|
322
|
Кухня
21˚С
|
НС
|
Ю
|
3,35×3
|
10,1
|
0,27
|
61
|
165,5
|
0
|
|
-
|
-
|
1
|
166
|
590
|
|
|
НС
|
З
|
5,45×3
|
16,4
|
0,27
|
61
|
269,3
|
0,05
|
|
-
|
-
|
1,05
|
283
|
|
|
|
До
|
Ю
|
1,5×1,2
|
1,8
|
1,27
|
61
|
139,4
|
0
|
|
-
|
-
|
1
|
139
|
|
|
Пятый
этаж
|
|
|
|
|
|
|
|
|
|
|
|
|
|
|
|
|
|
501
|
Жилая
комната, 23˚С
|
НС
|
С
|
6,65×3,3
|
21,9
|
0,27
|
63
|
373
|
0,1
|
|
-
|
-
|
1,1
|
410
|
960
|
|
|
НС
|
З
|
3,35×3,3
|
11,1
|
0,27
|
63
|
189
|
0,05
|
|
-
|
-
|
1,05
|
198
|
|
|
|
До
|
С
|
1,5×1,2
|
1,8
|
1,27
|
63
|
144,0
|
0,1
|
|
-
|
-
|
1,1
|
158
|
|
|
|
ПТ
|
-
|
6,2×2,9
|
17,1
|
0,2
|
56,7
|
193,7
|
-
|
|
-
|
-
|
1
|
194
|
|
|
|
|
|
|
|
|
|
|
|
|
|
|
|
|
|
|
502
504 507 509
|
Жилая
комната, 21˚С
|
НС
|
С
|
4,2×3,3
|
13,7
|
0,27
|
61
|
231
|
0,1
|
|
-
|
|
1,1
|
254
|
740
|
|
|
ДО
|
С
|
1,5×1,2
|
1,8
|
1,27
|
61
|
139,4
|
0,1
|
|
-
|
|
1,1
|
153
|
|
|
|
БД
|
С
|
1,2×1,9
|
2,3
|
0,27
|
61
|
37,6
|
0,1
|
|
-
|
|
1,1
|
41
|
|
|
|
ПТ
|
-
|
6,2×4,2
|
26,9
|
0,2
|
54,9
|
295,1
|
-
|
|
-
|
|
1
|
295
|
|
|
503
505 506 508
|
Жилая
комната, 21˚С
|
НС
|
С
|
3×3,3
|
9,9
|
0,27
|
61
|
163
|
0,1
|
|
-
|
-
|
1,1
|
179
|
540
|
|
|
До
|
С
|
1,5×1,2
|
1,8
|
1,27
|
61
|
139,4
|
0,1
|
|
-
|
-
|
1,1
|
153
|
|
|
|
ПТ
|
-
|
6,2×3
|
18,6
|
0,2
|
54,9
|
204,2
|
-
|
|
-
|
-
|
1
|
204
|
|
|
|
|
|
|
|
|
|
|
|
|
|
|
|
|
|
|
510
|
Жилая
комната, 23˚С
|
НС
|
С
|
6,65×3,3
|
21,9
|
0,27
|
63
|
373
|
0,1
|
|
-
|
-
|
1,1
|
410
|
970
|
|
|
НС
|
В
|
3,35×3,3
|
11,1
|
0,27
|
63
|
189
|
0,1
|
|
-
|
-
|
1,1
|
208
|
|
|
|
До
|
С
|
1,5×1,2
|
1,8
|
1,27
|
63
|
144,0
|
0,1
|
|
-
|
-
|
1,1
|
158
|
|
|
|
ПТ
|
-
|
6,2×2,9
|
17,1
|
0,2
|
56,7
|
193,7
|
-
|
|
-
|
-
|
1
|
194
|
|
|
511
|
Кухня
21˚С
|
НС
|
В
|
3,35×3,3
|
11,1
|
0,27
|
61
|
183
|
0,1
|
|
-
|
-
|
1,1
|
201
|
800
|
|
|
НС
|
Ю
|
5,45×3,3
|
18
|
0,27
|
61
|
297
|
0
|
|
-
|
-
|
1
|
297
|
|
|
|
ДО
|
Ю
|
1,5×1,2
|
1,27
|
61
|
139,4
|
0
|
|
-
|
-
|
1
|
139
|
|
|
|
ПТ
|
-
|
2,9×5
|
14,5
|
0,2
|
54,9
|
159,2
|
|
|
|
-
|
1
|
159
|
|
|
|
|
|
|
|
|
|
|
|
|
|
|
|
|
|
|
512
515 518 521
|
Жилая
комната, 23˚С
|
НС
|
Ю
|
4,55×3,3
|
15
|
0,27
|
63
|
255
|
0
|
|
-
|
|
1
|
255
|
810
|
|
|
БД
|
Ю
|
1,2×1,9
|
2,3
|
0,27
|
63
|
39
|
0
|
|
-
|
|
1
|
39
|
|
|
|
ДО
|
Ю
|
1,5×1,2
|
1,8
|
1,27
|
63
|
144
|
0
|
|
-
|
|
1
|
144
|
|
|
|
ПТ
|
-
|
6,2×4,1
|
26,24
|
0,2
|
54,9
|
297
|
-
|
|
-
|
|
1,05
|
297
|
|
|
518*
|
|
НС
|
В
|
1,2*3,3
|
4
|
0,27
|
63
|
68
|
0,1
|
|
|
|
1,1
|
75
|
|
|
521*
|
|
НС
|
З
|
1,2*3,3
|
4
|
0,27
|
63
|
68
|
0,05
|
|
|
|
1,05
|
71
|
|
|
513
514 519 520
|
Кухня
19˚С
|
НС
|
Ю
|
3×3,3
|
9,9
|
0,27
|
59
|
158
|
0
|
|
-
|
-
|
1
|
158
|
490
|
|
|
До
|
Ю
|
1,5×1,2
|
1,8
|
1,27
|
59
|
134,9
|
0
|
|
-
|
-
|
1
|
135
|
|
|
|
ПТ
|
-
|
6,2×3
|
18,6
|
0,2
|
53,1
|
197,5
|
-
|
|
-
|
-
|
1
|
198
|
|
|
|
|
|
|
|
|
|
|
|
|
|
|
|
|
|
|
516
517
|
Кухня
19˚С
|
НС
|
Ю
|
3×3,3
|
9,9
|
0,27
|
59
|
158
|
0
|
|
-
|
|
1
|
158
|
450
|
|
|
До
|
Ю
|
1,5×1,2
|
1,8
|
1,27
|
59
|
134,9
|
0
|
|
-
|
|
1
|
135
|
|
|
|
ПТ
|
-
|
5×3
|
15,0
|
0,2
|
53,1
|
159,3
|
-
|
|
-
|
-
|
1
|
159
|
|
|
|
|
|
|
|
|
|
|
|
|
|
|
|
|
|
|
522
|
Кухня
21˚С
|
НС
|
Ю
|
3,35×3,3
|
11.1
|
0,27
|
61
|
183
|
0
|
|
-
|
-
|
1
|
183
|
790
|
|
|
НС
|
З
|
5,45×3,3
|
17.9
|
0,27
|
61
|
295
|
0,05
|
|
-
|
-
|
1,05
|
310
|
|
|
|
До
|
Ю
|
1,5×1,2
|
1,8
|
1,27
|
61
|
139,4
|
0
|
|
-
|
-
|
1
|
139
|
|
|
|
ПТ
|
-
|
5×2,9
|
14,5
|
0,2
|
54,9
|
159,2
|
-
|
|
-
|
-
|
1
|
159
|
|
|
Лестничная
клетка
|
|
Номер
помещения
|
Наименование
помещения и температура воздуха
|
Характеристики
ограждения
|
Расчётная
разность температур
|
Основные
теплопотери,Вт
|
добавки
|
|
Общие
теплопотери
|
|
|
|
|
|
|
|
|
|
|
Обозначение
|
Ориентация
по сторонам света
|
Количество
и линейные размеры, м.
|
Поверхность
ограждения,м2
|
Коэффициент
теплопередачи, К
|
|
|
На
ориентацию по сторонам света
|
|
На
входные наружные двери
|
На
необогреваемые полы и необогреваемый чердак
|
Коэффициент
учёта добавок
|
Ограждения
|
Q
ограждения
|
|
|
|
|
|
|
|
|
|
|
|
|
|
|
|
|
|
|
|
|
|
|
|
|
|
|
|
|
|
|
|
|
|
|
|
|
|
|
|
|
|
|
|
|
|
|
|
|
|
|
|
|
|
|
|
|
|
|
|
|
|
|
|
|
|
|
|
|
|
|
|
|
|
|
|
|
|
|
|
|
|
|
|
|
|
|
|
|
|
|
|
|
|
|
|
|
|
А
Б
|
Лестничная
клетка 16˚С
|
НС
|
С
|
16,3×3,0
|
48,9
|
0,27
|
56
|
739,4
|
0,1
|
|
-
|
-
|
1,1
|
813
|
3430
|
|
|
ДО
|
С
|
1,5×1,2×4
|
7,2
|
1,27
|
56
|
512,1
|
0,1
|
|
-
|
-
|
1,1
|
563
|
|
|
|
НД
|
С
|
1,5×1,2
|
1,8
|
2,05
|
56
|
206,6
|
0,1
|
|
6,7
|
-
|
7,8
|
1612
|
|
|
|
НС1.З
|
С
|
1,5×3
|
4,5
|
0,18
|
56
|
45,4
|
0,1
|
|
-
|
-
|
1,1
|
50
|
|
|
|
ПЛ1.З
|
-
|
0,65×3
|
1,95
|
0,43
|
56
|
47,0
|
-
|
|
-
|
0,05
|
1,05
|
49
|
|
|
|
ПЛ2.З
|
-
|
2×3
|
6
|
0,22
|
56
|
73,9
|
-
|
|
-
|
0,05
|
78
|
|
|
|
ПЛ3.З
|
-
|
2×3
|
6
|
0,11
|
56
|
37,0
|
-
|
|
-
|
0,05
|
1,05
|
39
|
|
|
|
ПЛ4.З
|
-
|
2×3
|
6
|
0,07
|
56
|
23,5
|
-
|
|
-
|
0,05
|
1,05
|
25
|
|
|
|
ПТ
|
-
|
6,65×3
|
19,95
|
0,2
|
50,4
|
201,1
|
-
|
|
-
|
|
1
|
201
|
|
.2 Расчёт отопительной нагрузки помещений
Отопительную нагрузку помещений жилых и ряда
общественных зданий Qот, Вт, рассчитывают по формуле:
от = Qогр + Qинф - Qбыт (2.3)
где Qогр-суммарные теплопотери ограждающих
конструкций помещения, Вт;инф-количество теплоты, потребное для нагрева
инфильтрующего воздуха, Вт;быт-бытовые тепловыделения, Вт.
Расход теплоты Qинф Вт, на нагревание
инфильтрующегося воздуха в помещениях жилых и общественных зданий при
естественной вытяжной вентиляции, не компенсируемого подогретым приточным
воздухом, равен:
инф = 0,28·Ln ·p·c·(tв-tн)·k (2.4)
где Ln - расход удаляемого воздуха, м3/ч,
не компенсируемый подогретым приточным воздухом; для жилых зданий - удельный
нормативный
расход 3 м3/ч на 1 м2
жилых помещений;
р - плотность воздуха в помещении, кг/м3.
При расчёте отопительной нагрузки учитывают
тепловой поток, регулярно поступающий в помещения комнат и кухонь жилых домов
от электроприборов, освещения, людей (бытовые тепловыделения - Qбыт), который
принимают в количестве не менее 10 Вт на 1 м2 площади пола:
быт ≥ 10Fпл (2.5)
Для жилых комнат и кухонь отопительную нагрузку
находим по формуле (2.3)
Для нежилых помещений (коридоров, лестничных
клеток, кладовых и т.п.):
от = Qогр + Qинф (2.6)
Расчёт отопительной нагрузки сведён в таблицу
2.2.
Таблица 2.2-Расчёт отопительной нагрузки
помещений.
|
Номер
помещения, его назначение
|
Суммарные
теплопотери
|
Расход
теплоты на нагревение воз-
|
Бытовые
тепловыделения
|
Отопительная
|
|
|
через
ограждаю-
|
духа,
компенсирую-
|
|
нагрузка
|
|
|
щие
конструк-
|
щего
расход вытяжного воздуха
|
Qбыт,
Вт
|
|
|
|
ции
помещения
|
Qинф,
Вт
|
|
Qот,
Вт
|
|
|
Qогр,
Вт
|
|
|
|
|
101
|
|
|
|
|
|
Жил.
комната
|
920
|
488
|
128
|
1280
|
|
102,
104, 109, 107
|
|
|
|
1150
|
|
Жил.
Комната
|
660
|
676
|
183
|
4600
|
|
103,
105, 106,108
|
|
|
|
820
|
|
Жил.
комната
|
480
|
472
|
128
|
3280
|
|
110
|
|
|
|
|
|
Жил.
комната
|
940
|
488
|
128
|
1300
|
|
111
|
|
|
|
|
|
Кухня
|
770
|
173
|
47
|
900
|
|
112,115,
118, 121
|
|
|
|
1240
|
|
Жил.
комната
|
720
|
699
|
183
|
4960
|
|
113,114,
119, 120
|
|
|
|
640
|
|
Кухня
|
440
|
278
|
78
|
2560
|
|
116,
117
|
|
|
|
530
|
|
Кухня
|
410
|
168
|
47
|
1060
|
|
122
|
|
|
|
|
|
Кухня
|
760
|
173
|
47
|
890
|
|
Первый
этаж
|
13410
|
10158
|
2732
|
|
|
Итого
|
|
|
|
20830
|
|
301
|
|
|
|
|
|
Жил.
комната
|
710
|
488
|
128
|
1070
|
|
302,
304, 307, 309
|
|
|
|
910
|
|
Жил.
комната
|
420
|
676
|
183
|
3640
|
|
305,
306, 308, 303
|
|
|
|
800
|
|
Жил.
комната
|
460
|
472
|
128
|
3200
|
|
310
|
|
|
|
|
|
Жил.
комната
|
720
|
488
|
128
|
1080
|
|
311
|
|
|
|
|
|
Кухня
|
590
|
173
|
47
|
720
|
|
312,315,
318, 321
|
|
|
|
1000
|
|
Жил.
комната
|
480
|
699
|
183
|
4000
|
|
313,314,
319, 320
|
|
|
|
480
|
|
Кухня
|
280
|
278
|
78
|
1920
|
|
316,
317
|
|
|
|
400
|
|
Кухня
|
280
|
168
|
47
|
800
|
|
322
|
|
|
|
|
|
Кухня
|
590
|
173
|
47
|
720
|
|
Третий
этаж
|
9730
|
10158
|
2732
|
|
|
Итого
|
|
|
|
17150
|
|
501
|
|
|
|
|
|
Жил.
комната
|
960
|
488
|
128
|
1320
|
|
502,
504, 507, 509
|
|
|
|
1230
|
|
Жил.
комната
|
740
|
676
|
183
|
4920
|
|
505,
506, 508, 503
|
|
|
|
880
|
|
Жил.
комната
|
540
|
472
|
128
|
3540
|
|
510
|
|
|
|
|
|
Жил.
комната
|
970
|
488
|
128
|
1330
|
|
|
|
|
|
|
|
511
|
|
|
|
|
|
Кухня
|
800
|
173
|
47
|
930
|
|
512,
515, 518, 521
|
|
|
|
1330
|
|
Жил.
комната
|
810
|
699
|
183
|
5300
|
|
513,
514, 519, 520
|
|
|
|
690
|
|
Кухня
|
490
|
278
|
78
|
2760
|
|
516,
517
|
|
|
|
570
|
|
Кухня
|
450
|
168
|
47
|
|
522
|
|
|
|
|
|
Кухня
|
790
|
173
|
47
|
910
|
|
Пятый
этаж
|
|
|
|
|
|
Итого
|
|
|
|
22150
|
|
А,Б
|
|
|
|
|
|
Лест.
клетка
|
3430
|
580
|
|
4010
|
|
Лест.
клетка
|
|
|
|
8020
|
|
Итого
|
|
|
|
102450
|
Суммарное количество теплоты для отопления
здания равно:
∑Qот = ∑Qот,1эт + 3×
∑Qот,3эт + ∑Qот,5эт + 2×∑Qот,л.к
(2.7)
∑Qот = 20830+3×17150+22150+2×4010
= 102450 Вт
Удельная отопительная характеристика здания
равна:
=
(2.8)
где Vн - отапливаемый объём здания по наружному
обмеру
а - поправочный коэффициент учитывающий
климатические условия
(2.9)
н
= 15,1 × 538,4 = 8130 м3
Удельную отопительную характеристику здания
находим по формуле (2.8)
=0,21
Вт (м3·˚С)
Полученная величина q0=0,21 Вт (м3·˚С)
входит в диапазон нормированных значений.
3. Тепловой расчет отопительных приборов
Тепловой расчет выполнен с учетом теплоотдачи
трубопроводов проложенных помещениях.
Последовательность теплового расчета
отопительных приборов:
Температура воды, поступающая в первый по ходу
движения воды прибор стояка однотрубной системы определяется по формуле:
г= tг(расч)-∆ tм (3.1)
где tг (расч) - температура воды в подающей
магистрали на вводе, ˚С;
∆tм - понижение температуры воды в
подающей магистрали до расчетного стояка, ˚С, принимается в соответствии с
рекомендациями на с. 45 [5].
Для однотрубной системы определяют температуру
воды, поступающей в прибор каждого этажа:
(3.2)
где Qст - тепловая нагрузка, Вт, всех приборов
стояка;
-тепловая нагрузка,
Вт, приборов выше расчетного по ходу движения воды.
Рассчитывают среднюю температуру теплоносителя в
приборе:
(3.3)
Вычисляют температурный напор прибора:
∆tср=tср.т - tв (3.4)
Для однотрубной системы отопления определяют
расход воды в стояке Gст и фактический расход воды в отопительном приборе Gпр
по формулам:
(3.5)
где β1 - поправочный
коэффициент, зависящий от вида прибора, определяемый по таблице 9.4 [5];
β2 - коэффициент,
учитывающий способ установки прибора, определяемый по таблице 9.5 [5].
пр= α×Gст
(3.6)
где α - коэффициент
затекания воды в прибор, определяемый по таблице 9.3 [5].
Вычисляют тепловую нагрузку прибора, Вт:
пр = Qот - 0,9×Qтр
- 60 (3.7)
где Qтр - теплоотдача открыто проложенных в
помещении труб;
тр = qв×lв
+ qг×lг
(3.8)
где qв, qг - теплоотдача 1 м открыто проложенных
вертикальных и горизонтальных труб, определяемая по таблице II.22 [5];в, lг -
длина вертикальных и горизонтальных труб в помещении.
Тепловой поток прибора не должен уменьшаться
более чем на 5% (при Qпр≤1200 Вт) или на 60 Вт (Qпр > 1200 Вт) по
сравнению с Qтр.
Находят требуемый номинальный тепловой поток
прибора, по нему выбирают прибор по таблице Х.I [5].
Qн.т =
(3.9)
где φк
- комплексный коэффициент приведения Qн.т к расчетным условиям
(3.10)
где b - коэффициент учета атмосферного давления,
определяемый по таблице 9.1 [5];
ψ - коэффициент учета
направления движения воды, если сверху - вниз, то ψ=1,
если
снизу - верх, то по таблице 9.II [5];, р, с - экспериментальные числовые
показатели, находятся по таблице 9.2 [5].
По величине Qн.т по таблице Х.I [5] подбирают
типоразмер прибора и выписывают его характеристику и фактическое значение Qн.у.
Расчет сводят в таблицу 3.1
Для расчета разбиваем все стояки на группы:
Группа I: стояки 1;
Группа II: стояки 2, 5, 8, 11;
Группа III: стояки 3, 6, 7, 10;
Группа IV: стояки 12; Группа V: стояки 13;
Группа VI: стояки 14,17,20,23;
Группа VII: стояки 15, 16, 21, 22;
Группа VIII: стояки 18, 19; Группа IX: стояк 24;
Группа X: лестничная клетка стояки 4, 9.
Таблица 3.1 - Тепловой расчет приборов
|
Номер
стояка
|
Номер
помещения
|
Отопит.
нагрузка Qот, Вт
|
Температура
воды, поступающей в прибор, tг,n
|
Средняя
температура теплоносителя в приборе tср.т
|
Температурный
напор ∆tср,˚С
|
Теплоотдача
открыто проложенных труб Qтр, Вт
|
Тепловая
нагрузка прибора Qпр, Вт
|
φк
|
Требуемый
номин. Тепловой поток прибора Qн.т, Вт
|
Фактич.
номин. условн. тепловой поток Qн.у, Вт
|
Количество
секций
|
|
1
|
516
416 316 216 116
|
710
520 520 520 660
|
103,2
95,1 89,3 83,4 77,5
|
99,6
92,7 86,8 80,9 74,2
|
80,6
73,7 67,8 61,9 55,2
|
316
282 249 224 190
|
390
240 270 292 456
|
1,14
1,02 0,91 0,81 0,65
|
342
235 297 360 702
|
555
555 555 555 740
|
3
3 3 3 4
|
|
Qст
= 2930 Вт Gст = 81 кг/ч Gпр = 27 кг/ч
|
|
2
|
506
406 306 206 106
|
810
630 630 630 750
|
102,7
95,0 89,0 83,1 77,1
|
99,4
92,5 86,6 80,6 74,1
|
78,4
71,5 65,6 59,3 53,1
|
304
273 239 206 181
|
496
353 383 413 550
|
1,11
0,98 0,87 0,77 0,66
|
451
360 440 536 833
|
555
555 555 555 925
|
3
3 3 3 5
|
|
Qст
= 3450 Вт Gст = 97 кг/ч Gпр = 32 кг/ч
|
|
3
|
502
402 302 202 102
|
1000
750 750 750 950
|
103,4
95,4 89,5 83,5 77,5
|
99,9
92,9 87,0 81,0 74,3
|
80,9
73,9 68,0 62,0 55,3
|
297
266 234 210 178
|
683
473 502 524 742
|
1,16
1,03 0,92 0,82 0,71
|
589
459 546 639 1045
|
740
555 555 740 1110
|
4
3 3 4 6
|
|
Qст
= 4200 Вт Gст = 115 кг/ч Gпр = 38 кг/ч
|
|
12
|
503
403 303 203 103
|
1150
850 850 850 1050
|
103,3
95,2 89,3 83,3 77,4
|
99,8
92,8 86,8 80,6 74,2
|
78,8
71,8 65,8 59,9 53,2
|
454
400 352 311 265
|
684
448 491 528 759
|
1,12
0,99 0,86 0,78 0,67
|
611
453 571 677 1133
|
740
555 555 740 1110
|
4
3 3 4 6
|
|
Qст
= 4750 Вт Gст = 130 кг/ч Gпр = 43 кг/ч
|
|
13
|
512
412 312 212 112
|
1200
990 990 990 1180
|
102,5
95,2 89,2 83,2 77,2
|
99,4
92,7 86,7 80,7 74,1
|
78,4
71,7 65,7 59,7 53,1
|
304
273 239 211 181
|
866
695 725 751 958
|
1,11
0,99 0,88 0,78 0,67
|
780
702 824 964 1470
|
925
740 925 925 1480
|
5
4 5 5 8
|
|
14
|
512
412 312 212 112
|
1200
990 990 990 1180
|
102,5
95,2 89,2 83,2 77,2
|
99,4
92,7 86,7 80,7 74,1
|
78,4
71,7 65,7 59,7 53,1
|
304
273 239 211 181
|
866
695 725 751 958
|
1,11
0,99 0,88 0,78 0,67
|
780
702 824 964 1470
|
925
740 925 925 1480
|
5
4 5 5 8
|
|
15
|
512
412 312 212 112
|
1200
990 990 990 1180
|
102,5
95,2 89,2 83,2 77,2
|
99,4
92,7 86,7 80,7 74,1
|
78,4
71,7 65,7 59,7 53,1
|
304
273 239 211 181
|
866
695 725 751 958
|
1,11
0,99 0,88 0,78 0,67
|
780
702 824 964 1470
|
925
740 925 925 1480
|
5
4 5 5 8
|
|
18
|
512
412 312 212 112
|
1200
990 990 990 1180
|
102,5
95,2 89,2 83,2 77,2
|
99,4
92,7 86,7 80,7 74,1
|
78,4
71,7 65,7 59,7 53,1
|
304
273 239 211 181
|
866
695 725 751 958
|
1,11
0,99 0,88 0,78 0,67
|
780
702 824 964 1470
|
925
740 925 925 1480
|
5
4 5 5 8
|
|
Qст
= 5350 Вт Gст = 150 кг/ч Gпр = 49,5 кг/ч
|
|
24
|
514
414 314 214 114
|
1300
1050 1050 1050 1230
|
103
95,3 89,23 83,26 77,24
|
99,6
92,8 86,7 80,7 74,1
|
78,6
71,8 65,7 59,7 53,1
|
290
257 249 198 170
|
979
766 773 819 1017
|
1,16
1,03 0,92 0,81 0,70
|
844
744 840 1011 1453
|
925
740 925 1110 1480
|
5
4 5 6 8
|
|
Qст
= 8610 Вт Gст = 239 кг/ч Gпр = 79 кг/ч
|
|
4
|
А
2-3 1-2 1
|
3960
|
103,1
|
87,1
|
71,1
|
1353
|
2682
|
0,97
|
2765
|
555
925 1295
|
3
5 7
|
|
Qст
= 3960 Вт Gст = 109 кг/ч Gпр = 36 кг/ч
|
. Гидравлический расчет трубопровода
Для расчета выбираем главное циркуляционное
кольцо. Оно включает в себя магистральные участки с 1 по 26 участки. Потери
давления в наиболее удаленном расчетном стояке 10 определены методом
характеристик сопротивления. Потери давления в магистральных участках с 1 по 26
рассчитаны методом удельных потерь давления на трение.
В результате гидравлического расчета главного
циркуляционного кольца должно быть выполнено условие
∆Рст+∑(R∙I+Z)1 =0,9∙∆Рр
(4.1)
.1 Определение расчетного циркуляционного
давления в системе отопления
Расчетное (располагаемое давление) для создания
циркуляции воды определяется по формуле
∆Рр = ∆Рн + ∆Ре (4.2)
где ∆Рн - давление создаваемое
циркуляционным насосом
∆Рн =5000 Па
- естественное
циркуляционное давление, определяемое по формуле:
∆Рн = ∆Ре,пр + ∆Ре,тр (4.3)
где ∆Ре,тр - естественное циркуляционное
давление, возникающее в расчетном кольце системы вследствие охлаждения воды в
трубах,
∆Ре,тр = 300 Па;
∆Ре,пр - естественное циркуляционное
давление, возникающее в расчетном кольце системы вследствие охлаждения воды в
отопительных приборах. Для вертикальных однотрубных систем:
(4.4)
где
-
среднее приращение плотности при понижении температуры на 1˚С, принимается
по таблице 10.4 [5];
β = 0,66г,tо - расчетная
температура горячей и охлажденной воды, ˚С;ст - отопительная нагрузка всех
приборов стояка, Вт;
Qi - отопительная нагрузка прибора i-го этажа;
hi - вертикальное расстояние между центром охлаждения
прибора i -го этажа и центром нагрева, м;
∑Qi∙hi = Q1∙h1 + Q2∙h2 +
Q3∙h3 + Q4∙h4 + Q5∙h5 (4.5)
∑Q∙h = 1050∙1,8 + 850∙4,6
+ 850∙7,1 + 850∙9,6 + 1150∙12,1 = 33910
Па
=1616 Па + 300 Па =
1916 Па.
∆Рр = 5000 Па + 1916 Па = 6916 Па.
.2 Гидравлический расчет стояков
Расчетным стояком в главном циркуляционном
кольце является стояк 10 с горизонтальным участком. Потери давления в стояке
определяем по формуле:
∆Рст10 = Sст10 ∙ G2ст10 (4.6)
где: Gст10 - расход воды в стояке 10, кг/ч;ст10
- характеристика сопротивления стояка.
Sст10 = S1 + n∙S2 (4.7)
где: S1 - характеристика сопротивления труб (горизонтальных
участков и вертикальных участков труб);- число радиаторных узлов, (число
этажей), n = 5;- характеристика сопротивления радиаторного узла.
(4.8)
где: А - удельное динамическое давление на
участке, Па/(кг/ч)2, определяемый по таблице 10.7 [5];
- приведенный
коэффициент гидравлического трения, определяемый по таблице 10.7 [5];тр - длина
горизонтальных и вертикальных участков труб (без замыкающих участков);
- сумма
коэффициентов местных сопротивлений, определяемый по таблице II.11 [5].
(4.9)
где:
-
проводимость участка.
(4.10)
(4.11)
Расчет стояка сведен в таблицу 4.1.
Таблица 4.1 - Гидравлический расчет стояков
|
№
стояка
|
Q,
Вт
|
G,
кг/ч
|
l,
м
|
d,
мм
|
|
l
|
|
А∙104,
Па/(кг/ч)2
|
S∙104,
Па/(кг/ч)2
|
, Па
|
|
10
|
4750
|
124
|
15,85
0,5 2,6
|
20
20 15
|
1,80
1,80 2,7
|
28,5
0,9 7,02
|
31
2 10,5
|
3,19
3,19 10,6
|
221
|
340+∆Рд
1000
|
|
12
|
4750
|
124
|
20,85
0,5 2,6
|
20
20 15
|
1,8
1,8 2,7
|
37,53
0,9 7,02
|
33
2 10,5
|
3,19
3,19 10,6
|
226
|
394+∆Рд
1000
|
|
11
|
3960
|
103
|
35,5
|
20
|
1,8
|
64
|
53
|
3,19
|
375
|
395+∆Рд
1000
|
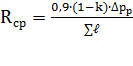
4.3 Гидравлический расчет магистральных участков
трубопровода
При условии, что потери давления в стояках для
устойчивой работы системы отопления составляют 50-70% от общих потерь давления,
получаем, что общие потери давления в главном циркуляционном кольце через Ст10
равны:
Па.
Для снижения расчетного циркуляционного давления
до величины ∆р/р=1692 Па устанавливаем дроссельную шайбу на вводе.
Потери давления в дроссельной шайбе на вводе в
здание равны:
∆рд = ∆рр - ∆р/р (4.12)
∆рд = 6916-1692 =5224 Па
Диаметр диафрагмы равен:
(4.13)
(4.14)
кг/ч
мм.
Для расчета магистральных участков трубопровода
используют метод удельных потерь давления на трение.
На участке трубопровода потери давления равны:
(4.15)
где R- удельная потеря давления на 1 м трубы,
Па/м.
(4.16)
Количество циркуляционной воды, кг/ч, на каждом
участке определяют по формуле:
(4.17)
где Qi - тепловая нагрузка участка, Вт.
Найдем среднюю ориентировочную величину удельной
потери давления на трение в трубопроводах расчетного циркуляционного кольца:
(4.18)
где k- коэффициент,
учитывающий долю потери давления на местные сопротивления от общей величины
расчетного давления, для систем отопления с искусственной циркуляцией k=0,35,
для систем с естественной циркуляцией k=0,5;
∑ℓ-
общая длина последовательно соединенных участков расчетного кольца, м.
По значениям Rср и
расходу теплоносителя на рассчитываемом участке G в пределах допустимых скоростей
по таблицам найдем ближайший диаметр участка d, действительную величину потерь
давления R и скорость воды ν. Определим сумму коэффициентов местных
сопротивлений на каждом участке ∑𝝃 и
потерю давления в местных сопротивлениях Z. Найдем величину общих потерь
давления на участке (Rℓ+Z).
Гидравлический
расчет магистральных участков сведен в таблицу 4.2.
Таблица 4.2 - Гидравлический расчет
магистральных участков
|
№
участка
|
Q,
Вт
|
G,
кг/ч
|
l,
м
|
d,
мм
|
, м/с
|
R,
Па/м
|
Rl,
Па
|
|
Z,
Па
|
Rl+z,
Па
|
|
1
|
120290
|
2963
|
100
|
0,103
|
1,5
|
33,0
|
6,5
|
33,7
|
66,7
|
|
2
|
60590
|
1492
|
3,4
|
65
|
0,107
|
2,6
|
8,84
|
2
|
11,2
|
20,04
|
|
3
|
51900
|
1278
|
5,2
|
65
|
0,093
|
2,0
|
10,4
|
1,5
|
6,34
|
16,74
|
|
4
|
47000
|
1158
|
6,2
|
65
|
0,085
|
1,7
|
10,54
|
2
|
7,06
|
17,6
|
|
5
|
41710
|
1027
|
2,0
|
65
|
0,076
|
1,3
|
3,4
|
1,5
|
4,24
|
7,64
|
|
6
|
37510
|
924
|
3,0
|
50
|
0,118
|
4,5
|
13,5
|
1,5
|
10,22
|
23,72
|
|
7
|
32760
|
807
|
6,0
|
50
|
0,105
|
3,6
|
21,6
|
1
|
5,39
|
26,99
|
|
8
|
28800
|
709
|
3,6
|
50
|
0,091
|
2,8
|
10,1
|
1
|
4,05
|
14,15
|
|
9
|
24050
|
592
|
3,0
|
50
|
0,076
|
2,0
|
6,0
|
1
|
2,83
|
8,83
|
|
10
|
19810
|
488
|
3,0
|
50
|
0,104
|
5,0
|
15,0
|
1,5
|
7,94
|
22,94
|
|
11
|
16360
|
403
|
3,0
|
40
|
0,087
|
3,6
|
10,8
|
1
|
3,7
|
14,50
|
|
12
|
12910
|
318
|
0,4
|
40
|
0,067
|
2,2
|
0,88
|
1
|
2,19
|
3,07
|
|
13
|
8710
|
214
|
3,0
|
32
|
0,060
|
2,2
|
6,6
|
2
|
3,52
|
10,12
|
|
14
|
8710
|
214
|
3,0
|
32
|
0,060
|
2,2
|
6,6
|
1
|
1,76
|
8,36
|
|
15
|
12910
|
318
|
2,1
|
40
|
0,067
|
2,2
|
4,62
|
3
|
6,59
|
11,21
|
|
16
|
16360
|
403
|
3,0
|
40
|
0,087
|
3,6
|
10,8
|
1
|
3,70
|
14,50
|
|
17
|
19810
|
488
|
4,8
|
50
|
0,104
|
5,0
|
24,0
|
2
|
10,6
|
34,60
|
|
18
|
24050
|
592
|
3,0
|
50
|
0,076
|
2,0
|
6,0
|
2
|
5,65
|
11,65
|
|
19
|
28800
|
709
|
3,6
|
50
|
0,091
|
2,8
|
10,08
|
1
|
4,05
|
14,13
|
|
20
|
32760
|
807
|
6,0
|
50
|
0,105
|
3,6
|
21,6
|
1
|
5,39
|
26,99
|
|
21
|
37510
|
924
|
3,0
|
50
|
0,118
|
4,5
|
13,5
|
1
|
6,81
|
20,31
|
|
22
|
41710
|
1027
|
4,4
|
65
|
0,076
|
1,3
|
5,72
|
3
|
8,48
|
14,20
|
|
23
|
47000
|
1158
|
9,5
|
65
|
0,085
|
1,7
|
16,15
|
2
|
7,06
|
23,21
|
|
24
|
51900
|
1278
|
7,7
|
65
|
0,093
|
2,0
|
15,4
|
2
|
8,46
|
23,8
|
|
25
|
60590
|
1492
|
3,4
|
65
|
0,107
|
2,6
|
8,84
|
3,5
|
19,62
|
28,46
|
|
26
|
120290
|
2963
|
10,5
|
100
|
0,103
|
1,5
|
15,75
|
4,5
|
23,35
|
39,10
|
|
м Па
|
|
Циркуляционное
кольцо через стояк 12
|
|
27
|
59700
|
1470
|
2,5
|
65
|
0,110
|
2,6
|
6,5
|
2
|
11,8
|
18,3
|
|
28
|
56770
|
1398
|
3,5
|
65
|
0,100
|
2,2
|
7,7
|
1
|
4,89
|
12,6
|
|
29
|
47710
|
1175
|
6,0
|
65
|
0,088
|
1,7
|
10,2
|
1
|
3,78
|
13,98
|
|
30
|
43910
|
1082
|
0,4
|
65
|
0,079
|
1,4
|
0,56
|
1
|
3,05
|
3,61
|
|
31
|
40110
|
988
|
7,0
|
50
|
0,128
|
5,0
|
35,0
|
1,5
|
12,01
|
47,01
|
|
32
|
30970
|
763
|
3,0
|
50
|
0,098
|
3,0
|
9,0
|
1
|
4,69
|
13,69
|
28040
|
691
|
6,0
|
50
|
0,090
|
2,6
|
15,6
|
1
|
3,96
|
19,56
|
|
34
|
19430
|
479
|
4,5
|
50
|
0,062
|
1,3
|
5,85
|
1,5
|
2,82
|
8,67
|
|
35
|
14340
|
353
|
6,5
|
40
|
0,078
|
2,8
|
18,2
|
2,5
|
7,44
|
25,64
|
|
36
|
8990
|
222
|
2,2
|
32
|
0,062
|
2,2
|
4,84
|
2
|
3,76
|
8,6
|
|
37
|
8990
|
222
|
4,6
|
32
|
0,062
|
2,2
|
10,12
|
2
|
3,76
|
13,88
|
|
38
|
14340
|
353
|
9,5
|
40
|
0,078
|
2,8
|
26,6
|
3
|
8,93
|
35,53
|
|
39
|
19430
|
479
|
8,0
|
50
|
0,062
|
1,3
|
10,4
|
3
|
5,64
|
16,04
|
|
40
|
28040
|
691
|
6,0
|
50
|
0,090
|
2,6
|
15,6
|
1
|
3,96
|
19,56
|
|
41
|
30970
|
763
|
3,0
|
50
|
0,098
|
3,0
|
9,0
|
1
|
4,69
|
13,69
|
|
42
|
40110
|
988
|
8,8
|
50
|
0,128
|
5,0
|
44,0
|
2
|
16,02
|
60,02
|
|
43
|
43910
|
1082
|
0,4
|
65
|
0,079
|
1,4
|
0,56
|
2
|
6,11
|
6,67
|
|
44
|
47710
|
1175
|
8,0
|
65
|
0,088
|
1,7
|
13,6
|
2
|
7,58
|
21,18
|
|
45
|
56770
|
1398
|
3,5
|
65
|
0,100
|
2,2
|
7,7
|
1
|
4,89
|
12,59
|
|
46
|
59700
|
1470
|
2,5
|
65
|
0,110
|
2,6
|
6,5
|
3,5
|
20,7
|
27,2
|
|
м Па
|
Для главного циркуляционного кольца средние
удельные потери давления на участке равны:
Па
Потери давления в главном циркуляционном кольце:
∆рпот.г.ц.к = ∆р10ст+∑(Rℓ+Z)1-26
(4.19)
∆рпот.г.ц.к = 1000+524=1524 Па
Запас давления в системе отопления:
(4.20)
Средние удельные потери давления на участке для
циркуляционного кольца, проходящего через стояк 12:
∆р10ст. + ∑(Rℓ+Z)2-25 = ∆р12ст.+
∑(Rℓ+Z)27-46
+ 418 = 1000 + ∑(Rℓ+Z)27-46
∑(Rℓ+Z)27-46 = 418
Па
Производим увязку циркуляционного кольца,
проходящего через стояк 12, с главным циркуляционным кольцом. Должно быть
выполнено условие:
∆р10ст. + ∑(Rℓ+Z)2-25 = ∆р12ст.+
∑(Rℓ+Z)27-46
1000 + 418 = 1000 + 398
Определяем невязку:
Невязка = [(∆Рст10 + ∑(Rl
+ Ζ)2÷25)-(∆Рст12 + ∑(Rl
+ Ζ)27÷46)]/[∆Рст10
+ ∑( Rl + Ζ)2÷25]·100,
Невязка =
[(1000+418)-(1000+398)/(1000+418)]·100=1,4%.
Производим гидравлическую увязку стояка 11 со
стояком 10 входящим в главное циркуляционное кольцо. Должно быть выполнено
условие:
∆р11ст. = ∆р10ст.
= 340
На стояке 11 ставим дроссельную шайбу.
По формуле (4.12) находим ∆рд
∆рд = 1000-395=605 Па
Диаметр диафрагмы находим по формуле (4.13)
мм.
На стояке 10 и 12 ставим дроссельную шайбу.
По формуле (4.12) находим ∆рд Ст10
∆рд = 1000-340=660 Па
Диаметр диафрагмы находим по формуле (4.13)
мм.
По формуле (4.12) находим ∆рд Ст12
∆рд = 1000-394=606 Па
Диаметр диафрагмы находим по формуле (4.13)
мм.
5. Подбор оборудования теплового ввода
Ввод тепловой сети в здании расположен по оси 5
в подвале. Элеваторный узел спроектирован у капитальной стены (у лестничной
клетки).
Помещение теплового пункта изолированно и имеет
естественное освещение.
В соответствии с указаниями по выбору схемы
присоединения [5] принимаю схему с элеватором.
Расчёт и подбор элеватора осуществляем в
следующем порядке.
Определяем коэффициент смешения элеватора:
(5.1)
где T1 - температура воды в подающем
трубопроводе тепловой сети,= 130°Cг - температура воды в падающей магистралиг =
105°Cо - температура охлаждённой водыо = 70°C
Находим приведённый расход смешанной воды, м3/ч
, (5.2)
где
-
суммарная отопительная нагрузка здания, Вт;
= 120290 Вт;
- общие потери
давления в системе отопления, кПа.
м³/ч.
Вычисляем расход эжектирующей воды из
теплофикационной сети, м3/ч
, (5.3)
м³/ч.
Определяем диаметр горловины элеватора:
, (5.4)
м.
По [5] выбираем стальной элеватор типа ВТИ
Мосэнерго №3, с диаметром горловины 25 мм.
Находим диаметр сопла элеватора:
, (5.5)
м.
Вычисляем требуемое располагаемое давление перед
элеватором, кПа
, (5.6)
Па.
Выбираем схему присоединения с элеватором.
На тепловом пункте установлено: элеватор,
грязевик, расходомер, манометр, термометр, регулятор давления, регулятор
расхода.
6. Спецификация оборудования и материалов
|
№
|
Наименование
|
Ед.
изм.
|
Кол-во
|
ГОСТ,
каталог, завод-изготовитель
|
|
1
|
Радиаторы
чугунные секционные МС-140-108: 8 секций 7 секций 6 секций 5 секций 4 секции
3 секции
|
шт.
|
7 2 13 24 30 60
|
ГОСТ
8690-75
|
|
2
|
Труба
стальная водогазопроводная Ø 15 × 2,8 Ø 20 × 2,8
Ø 32 × 3,2 Ø 40 × 3,5 Ø 57 × 3,5
|
м
|
155
452,8 12,8 24,5 85,3
|
ГОСТ
3262-75 с изм.
|
|
3
|
Труба
стальная горячедеформированная Ø 76 × 3,5 Ø 108
× 4
|
м
|
68,6
32,5
|
ГОСТ
8732-78 с изм.
|
|
4
|
Кран
двойной регулировки КРДП
|
шт.
|
110
6
|
ГОСТ
10944-75
|
|
5
|
Вентиль
запорный муфтовый
|
шт.
|
48
|
ГОСТ
9086-74 с изм.
|
|
6
|
Воздухосборник
|
шт.
|
2
|
ТП
5.903-2
|
|
7
|
Кран
пробковый проходной муфтовый 11Б6бк
|
шт.
|
24
|
ТУ
26-07-1036-75
|
|
8
|
Задвижка
клиновая с выдвижным шпинделем чугунная фланцевая 314 ББР
|
шт.
|
4 2
|
ГОСТ
5762-74 с изм.
|
|
9
|
Водоспускной
кран
|
шт.
|
2
|
СТД
7073 В
|
|
10
|
Элеватор
ВТИ "МосЭнерго" №3
|
Шт.
|
1
|
-
|
Библиографический список
1.
Короткова Л.И., Павлова Г.А. Основы строительной теплофизики и отопления: Учеб.
Пособие. - Магнитогорск, 2007
.
СНиП 23-01-99. Строительная климатология - М.: Госстрой России.2004
.
Богословский В.Н. Строительная теплофизика: Учеб. для вузов. - М.: Высш. шк.,
1982
.
СНиП II-3-79. Строительная теплотехника / Госстрой России. - М.: ГУП ЦПП, 2003
.
Справочник проектировщика. Внутренние санитарно - технические устройства / Под
ред. И.Г. Староверова. Ч.I. Отопление. - М.: Стройиздат, 1990