Вольові порушення у дитячому віці
Дипломна робота
з напрямку підготовки
6.030102 - “Психологія”
Вольові порушення у дитячому
віці
ЗМІСТ
ВСТУП
РОЗДІЛ
1. ТЕОРЕТИЧНІ АСПЕКТИ ДОСЛІДЖЕННЯ ВОЛЬОВИХ ПОРУШЕНЬ У ДИТЯЧОМУ ВІЦІ
.1
Теоретичний аналіз поняття волі
.2
Аналіз вольових порушень у дитячому віці
РОЗДІЛ
2. ЕМПІРИЧНЕ ДОСЛІДЖЕННЯ ВОЛЬОВИХ ПОРУШЕНЬ У ДИТЯЧОМУ ВІЦІ
.1
Методика та організація дослідження
.2
Аналіз та інтерпретація результатів
ВИСНОВКИ
ДОДАТКИ
СПИСОК
ВИКОРИСТАНИХ ДЖЕРЕЛ
ВСТУП
Актуальність дослідження полягає у тому, що на сьогоднішньому
етапі розвитку психології воля та вольові порушення займають вагоме місце.
Особливу увагу приділяють також і дитячому віці.
Серед дослідників волі можна виділити таких: В. Іванніков, Є.
Ільїн, В. Калін, В. Котирло, С. Рубінштейн, В. Селіванов, А. Леонтьєв та ін -
вони виявили критерії прояву волі, ступені розвитку й умови на яких вона
виявляється.
В радянській психології найбільш повний огляд і аналіз робіт
з проблеми волі є у роботах В. Селіванова, Ярошевського [53, 54], у підручниках
С. Рубінштейна [35, 36].
Вольові якості у роботах дослідників найчастіше розглядаються
як відносно стійкі, незалежні від конкретної ситуації психічні утворення, що
засвідчують досягнутий особистістю рівень свідомої саморегуляції поведінки, її
володіння собою. Існує велика кількість різних класифікацій вольових якостей.
Найпоширенішою класифікацію є класифікація В. Каліна. Також існують інші.
Наприклад класифікації вольових якостей М. Добриніна, Є. Ільїна, С. Петухова,
С. Поліщук, А. Пуні, П. Рудіка, В. Селіванова, Т. Шульги, Р. Ассаджіолі та ін.
Місце волі в онтогенезі дитячої особистості аналізується у
роботах М.Денисова, В.Котирло, О. Лурії, Д. Ніколенко, Н. Рогава, В.
Селіванова, О. Смірнова, Н. Фігуріна, Ш. Чхартішвілі та ін. Вчені-психологи
відмічають наявність початкових форм вольових проявів у ранньому дитинстві та
розглядають цей період лише як передумову для формування волі (І. Бех А.
Давидова, М. Денисова, Є. Ільїн, М. Ланге, О. Лурія, С. Рубінштейн, І.
Сікорський, Н. Фігурін, М. Щелованов).
У дослідженнях М. Догонадзе, Р. Кварцхава повністю
заперечується наявність волі не лише у ранньому віці, а й у молодшому
дошкільному.
Аналіз наукових досліджень показав, що у дошкільному віці
довільність якісно змінюється і стає важливою умовою майбутнього шкільного
навчання. Її розглядають Б. Ананьєв, Л. Божович, Л. Виготський, Н. Гуткіна, О.
Запорожець, В. Котирло, Л. Кожаріна, В. Мануйленко, В. Селіванов, О. Тихомиров,
Д. Ельконін, С. Яковлєва та ін.
Об'єктом дослідження є вольові порушення.
Предметом є дослідження вольових порушень у дитячому віці.
Мета: Теоретично та емпірично дослідити проблему вольових порушень
дитячого віку.
Завдання:
1. Здійснити теоретичний аналіз поняття вольових порушень
дитячого віку в науковій літературі.
2. Визначити особливості порушень волі у дітей.
. Дослідити вольові порушення у дітей 3-го класу.
Теоретико-методологічна основа складається із робіт дослідників
психології волі: Є. Ільїна, О. Лурії, С. Рубінштейна, Л. Виготського, В.
Селіванова, В. Іваннікова та ін. А також включає в себе роботи таких видатних
психологів, що вивчали особливості психічних процесів у дітей, і їх
різноманітні порушення: Л. Божович, Б. Зейгарнік, В. Селіванов, Ш. Чхартішвілі,
Є. Ігнатьєв та багато інших.
База дослідження: спеціалізована школа І-ІІІ ступенів № 5, м. Луцьк,
Волинська область. У дослідженні прийняли участь 39 молодших школяра із двох
3-х класів. Їх вік становить 8-9 років, з них 16 хлопчиків і 23 дівчинки.
Наукова новизна полягає у дослідженні особливостей вольових порушень
дитячого віку на прикладі учнів 3-х класів.
Практична значущість полягає у тому, що отримані
результати можна буде застосувати для роботи у школах та інших дитячих
закладах.
РОЗДІЛ 1. ТЕОРЕТИЧНІ АСПЕКТИ ДОСЛІДЖЕННЯ ВОЛЬОВИХ ПОРУШЕНЬ У
ДИТЯЧОМУ ВІЦІ
1.1 Теоретичний аналіз поняття
волі, структура вольового акту
Дослідження поняття волі почалося ще за часів античності і
зустрічається у працях Аристотеля [1].
Р. Декарт також досліджував поняття волі і він, на відміну
від Аристотеля, вводить поняття волі як здатність душі формувати бажання і
визначати прагнення до будь-якої дії людини, яку не можна пояснити на основі
рефлекторного принципу.
Сьогодні ж багато дослідників визначають поняття волі так.
В. Іванніков дає визначення волі як довільній формі мотивації
зі створенням додаткового спонукання (чи гальмування) до суспільно-необхідної
чи соціально-контрольованої дії [16].
Воля - це свідоме регулювання людиною своєї поведінки і
діяльності, виражене в умінні долати внутрішні та зовнішні труднощі при
здійсненні цілеспрямованих дій і вчинків [25, с. 508].
І. Сєченов відзначав, що "воля - це не якийсь безликий
агент, що керує лише диханням, а діяльна сторона розуму і морального почуття,
яка керує диханням в ім'я того чи іншого і часто наперекір навіть почуттю
самозбереження" [46, с. 255-256].
Звідси видно, що найчастіше воля розуміється як певне свідоме
прагнення людини діяти тим чи іншим чином і певних ситуаціях, навіть всупереч
певним зовнішнім чи внутрішнім чинникам.
Воля у власному розумінні виникає тоді, коли людина виявляється
здатною до рефлексії своїх потягів, може так чи інакше співставитися з ними.
Для цього індивід повинен вміти піднятися над своїми потягами і, відволікаючись
від них, усвідомити самого себе як «я», як суб'єкта, у якого можуть бути ті чи
інші потяги, але який сам не вичерпується жодним з них, ні їх сумою, а,
підносячись над ними, в змозі провести вибір між ними. У результаті його дії
визначаються вже не безпосередньо потягами як природними силами, а ними самими.
Виникнення волі, таким чином, нерозривно пов'язано - як сторона або компонент -
зі становленням індивіда як суб'єкта, який сам вільно - довільно - визначає
свою поведінку і відповідає за неї. Таким суб'єктом, здатним до самосвідомості
та самовизначення, людина стає через усвідомлення своїх відносин з іншими
людьми.
Воля в специфічному сенсі цього слова, що піднімається над
рівнем одних лише природних органічних потягів, припускає існування суспільного
життя, в якій поведінка людей регламентується моральністю і правом. У
суспільстві, заснованому на поділі праці, людина може задовольнити свої
потреби, лише направляючи свою діяльність на виробництво предметів, які, як
правило, безпосередньо не служать для задоволення особистих потреб індивіда і
не визначаються тому безпосередньо його потягами. У процесі цієї діяльності
цілі людських дій відокремлюються від його потягів як безпосереднього вираження
чисто особистісної потреби і перестають бути їх прямою, безпосередньою
проекцією. У процесі суспільного життя виділяються суспільні блага і
цінності, які виступають для індивіда як не залежні від його потягів
об'єктивовані цінності. У міру того як в процесі суспільного життя, в
результаті виховання і т.д. суспільно значуще стає разом з тим і особистісно
значущим, ці об'єктивовані в процесі суспільного життя блага і цінності стають
цілями діяльності індивіда [35, с. 622-623].
Насамперед вольовим актом по справедливості можна називати
тільки дії або процеси цілепідпорядкування. Значить, вольові процеси
протиставляються і відрізняються від усіх тих процесів, які не мають ознаки
цілепідпорядкування. Під метою розуміється певний передбачуваний свідомий
результат, до якого має привести дія. І таким чином процеси як би розділилися
на дві групи: мимовільні (до них відносяться автоматичні, інстинктивні,
імпульсивні дії, тобто дії за прямим спонуканням, дії під впливом афекту,
пристрасті) і навмисні, довільні, тобто цілепідпорядкування. Цілком очевидно,
що коли ми говоримо про волю, то вже інтуїтивно завжди відносимо ці процеси до
групи довільних.
Але однієї вказівки на цілепідпорядкування вольових дій
недостатньо, тому що існує дуже багато дій, які ціленаправлені і в цьому
високому сенсі довільні [24, c. 4].
Також окрім поняття цілепідпорядкування до волі він включав
наявність вибору. “Воля є там і тільки там, де цілепідпорядкуванна дія
відбувається в умовах вибору між двома або багатьма можливими діями.”
Отже, вольова дія - це дія, здійснювана за вибором. Вибір є
ознака вольової дії. Де немає вибору, там немає вольової дії. Якщо ж ми
говоримо про вибір, то природно ввести ще одне поняття - прийняття рішення.
Вольовий акт є дія в умовах вибору, що заснована на прийнятті рішення. Вольовий
акт є дія в умовах вибору, що заснована на прийнятті рішення [24, c. 5].
Наступним компонентом, яки виділяє Леонтєв є подолання
перешкод на шляху досягнення поставленої мети. При цьому наскільки важливим
фактором є наявність перешкод для її досягнення? Чи є їх наявність обов'язковою
складовою вольової дії? Наприклад, якщо підніматися в атаку ненасправді, а не в
бойовій обстановці (взяв і піднявся, лежав, а тепер стою або біжу), ніхто не
визнає цю дію вольовою. Вона довільна, цілепідкорена, може бути навіть
альтернативною (наприклад, в умовах військової гри), але тільки не вольовою у
вузькому сенсі, коли кажуть: «людина вольова», або «потрібна велика сила волі»,
або «це по-справжньому вольова дія». Отже, третя характеристика -
подолання перешкод, тобто наявність перешкод. Якщо дія відбувається
безперешкодно, воно не може бути вольовою, навіть якщо вона з вибором і з
прийняттям рішення [24, с 6].
При цьому необхідно враховувати не лише зовнішні перешкоди,
але і внутрішні. Зовнішня перешкода нам нічого не дає. Відомо, що важкі
наркомани здатні подолати будь-які перешкоди, щоб отримати наркотик, але цей
вираження не волі, а безвілля. Відоме правило психіатричних клінік, які
займаються важкими наркоманами, - не зводити з них очей, вони завжди знайдуть
можливість роздобути наркотик і розвинуть для цієї мети колосальну енергію.
Значить, зовнішня перешкода відпадає.
Тут виникає ще інше ускладнення. Вольові явища не завжди
бувають діями. Ще середньовічні письменники описували три роди вольових явищ.
Перше - це фацер, тобто дія; друге - це нон-фацер, бездіяльність
- дуже важко, виявляється, утримуватися від дії. Наприклад, я тримаю підрозділ
під артилерійським обстрілом; дуже важко не бігти; і мені важко, та підрозділу
важко, але доводиться.
І нарешті, третє - найтонше, найвище - вати, що
найпростіше перекласти як «терпіння», але не можна сказати, що це найточніше
[24, с 6].
Наступною характеристикою волі можна виділити наявність
мотиву. При чому видяляють позитивний і негативний мотив. Якщо за метою стоїть
позитивний мотив, то людина діє енергетично (тобто по витраченому часу, силі,
обсягом роботи, який треба провести) знаходиться у відомому співвідношенні з
силою мотивації, точніше - мотиву. Дія йде і не потрапляє в категорію вольових.
Можна уявити собі зворотну картину: за метою лежить негативний мотив -
бездіяльність, і тоді дія просто не йде. Проста альтернатива: позитивний мотив
- дія йде, негативний мотив - дія не йде. Простіше бути не може.
Проте специфіка волі полягає у тому, що вона завжди
полімотивована. Коли я здійснюю будь-яку дію, то я вступаю у відносини не
тільки до одного, а до кількох предметів, які самі по собі можуть виступати як
мотиви. Візьмемо банальний випадок - обидва мотиву позитивні. Дія йде.
Розглянемо другий випадок - обидва мотиви негативні. Дія не піде. Навіщо їй
йти? А тепер розглянемо такий варіант: один мотив позитивний, а інший -
негативний. Виникає ситуація вчинку. Це вже не просто дія. Це вольова дію. При
цьому абсолютно все одно, чи усвідомлюються обидва мотиви, чи усвідомлюється
тільки один або обоє не усвідомлюються. Важливо, щоб ці мотиви були [24, с 7].
Отже, ми прийшли до деякої схеми будь-якої дії, яка може бути
названою вольовою. Ще раз ця схема: дія реалізує об'єктивно дві різні
відносини, тобто здійснює дві різні діяльності, отже, підпорядковується двом
різним мотивам. У разі, коли один з цих мотивів є негативно емоційно
забарвленим, а інший, навпаки, позитивно, то виникає ситуація, типова для
вольової дії [24, с 8].
Інша характеристика волі, яку можна додати до вже названих -
потреба, як одна з основних і вихідних спонук людини до дії. Потреба, тобто
відчуття людиною нестачі у будь-чому, - це стан пасивно-активний: пасивний,
оскільки в ньому виражається залежність людини від того, в чому вона відчуває
потребує, і активний, оскільки воно включає прагнення до його задоволення і
того, що може його задовільнити.
Але одна справа - відчувати прагнення, а інше - усвідомлювати
його. Залежно від ступеня усвідомлення прагнення виражається у вигляді потягу,
бажання або хотіння [35, с. 619].
Згідно з поглядами В. Селіванова [40], під волею слід
розуміти активність особистості, передусім активність регуляції в умовах
подолання труднощів. Ця активність має два аспекти: змістовий та аспект форми
виявлення процесу. Загалом форми активності особистості поділяють на:
• імпульсивну (миттєву психічну реактивність особистості на
внутрішні чи зовнішні впливи - без роздумів, оцінки наслідків);
• звичну, де дії є здебільшого стереотипними, а вольовий
контроль відбувається за звичкою;
• вольову, як вищу форму активності, за якої особливості
ситуації -напруження між мотивацією і перешкодою чинять найбільший опір
особистості та вимагають зусиль свідомої саморегуляції поведінки [6, с.
603-604].
На думку В. Вундта [12] і Т. Рібо [34] воля є різновидом
афекту і, отже, може бути вивчена через характеристики емоційних явищ.
Відповідно до поглядів У. Джемса [14] воля - автономне явище, є наслідком
розвитку психічної регуляції поведінки. Звертаючи увагу на автономність волі,
Джемс все ж вдається при її описі до таких психічних реальностей, як увага,
активна напруга, мотиви.
Воля - це свідомо спрямована активність особистості. Вона є
внутрішньою активністю психіки, пов’язаною з вибором мотивів, цілепокладанням,
прагненням до досягнення мети, зусиллям до подолання перешкод, мобілізацією
внутрішньої напруженості, здатністю регулювати спонукання, можливістю приймати
рішення, гальмуванням поведінкових реакцій. Усе це - специфічні властивості
волі. Зв’язок волі з активністю має важливу характеристику - умисність, свідому
цілеспрямованість психічних процесів у стані вольової активності.
Свідомість і воля є самостійними, хоча й поєднаними та
перехрещуваними гранями психічного. Виконуючи свою роль у психічному процесі,
свідомість не стає волею, але все ж таки є її важливою ознакою. Свідомість і у
вольовому процесі залишається свідомістю. Вона забезпечує виконання волею її
функцій [6, с. 604].
У концепції В. Селіванова [39; 41] воля розуміється як
психологічний інструмент, що дозволяє особистості справлятися з імпульсивністю
і не піддаватися рутині. Воля визначається як свідомий рівень регуляції людиною
своєї поведінки і діяльності, виражений в умінні долати внутрішні та зовнішні
перешкоди при здійсненні цілеспрямованих дій і вчинків. Вольова регуляція
розглядається В. Селівановим як вища форма активності (свідомо спрямована
активність) особистості, в якій проявляється здатність людини панувати над
собою, боротися за досягнення поставленої мети. Така регуляція відбувається за
допомогою вольових зусиль [45], конкретизуючись у вольових процесах, станах,
властивостях, діях. На думку В. Селіванова вольова регуляція не може вважатися
завершеною, якщо вона не виразилася через виконання.
У концепції А. Пуні воля визначається як "діяльнісна
сторона розуму і моральних почуттів, що дозволяє людині управляти собою,
особливо в умовах подолання перешкод різного ступеня труднощів" [32, с.
29]. На думку А. Пуні, перешкоди - необхідна умова актуалізації та розвитку
волі. Вони виникають внаслідок невідповідності можливостей людини (його
уявлень, думок, почуттів, дій) об'єктивним умовам і особливостям діяльності і
діляться на зовнішні і внутрішні. Під зовнішніми перешкодами розумілися будь-які
об'єктивні умови та особливості зовнішнього середовища і діяльності, які стають
перешкодою в досягненні мети, у вирішенні особистих завдань; під внутрішніми
перешкодами - ті, які виникають під впливом зовнішніх умов життя і діяльності
людини.
У концепції Є. Ільїна [18, с. 41] воля розуміється як
різновид довільного управління, яке реалізовується у вигляді вольових дій,
істотною ознакою яких є наявність вольового зусилля. Оголошуючи головною
сутністю волі самість, автор визначає її як самодетермінацію і свідоме навмисне
планування людиною своїх дій, включаючи самокоманду, самостимуляцією,
самоконтроль за своїми діями і станами. Власне воля, на думку Є. Ільїна, є
самоврядуванням поведінки з допомогою свідомості, що припускає самостійність
людини в прийнятті рішення, ініціації, здійсненні та контролі власних дій.
У мотиваційно-діяльнісній теорії В. Іваннікова воля
визначається як "здатність людини до свідомої навмисної активності або до
самодетермінації через роботу у внутрішньому плані, що забезпечує додаткове
спонукання (гальмування) до дії на основі довільної форми мотивації" [16,
с. 93]. Додаткові спонукання, найчастіше, виявляються особистісними, етичними,
естетичними мотивами, тобто не пов'язаними зі специфічною діяльністю з
предметним результатом. У цьому плані Іванніков розглядає волю як "останню
стадію в оволодінні людиною власними процесами, а саме як оволодіння власним
мотиваційним процесом" [15, с. 26].
На основі результатів аналізу дослідів К. Левіна Виготський
[10, с. 282] виділяє у вольовій дії дві самостійні частини:
- Заключну частину вольового процесу або момент
вирішення людиною поводитися певним чином залежно від випадіння жереба; ця
частина будується за механізмом звички, як "штучно створений умовний
рефлекс";
- Виконавчу частину або виконання
вольової дії (після метання жереба); ця частина функціонує як готовий умовний
рефлекс, як дія за інструкцією.
Виділення двох частин вольової дії дозволило Виготському
акцентувати увагу на парадоксі волі, що полягає у створенні при її допомозі
мимоволі діючого механізму [10, с. 283].
Вольовий вибір розуміється Виготським як складний, вільний
вибір, якому притаманні такі характеристики.
По-перше, вольовий вибір і є "дія замикаючого механізму,
тобто замикання зв'язку між даними стимулом і реакцією [10, с. 285]; далі все
відбувається як при ззовні заданому виборі.
По-друге, "при вольовому виборі борються не стимули, а
реактивні утворення, цілі системи установок" [10, с. 284], мотиви [10, с.
285].
По-третє, боротьба мотивів зсувається в часі і здійснюється задовго
до актуальної ситуації, в якій людині треба діяти [10].
По-четверте, мотиви борються не за виконання, а за заключну
частину дії [10].
По-п'яте, при вольовому виборі має місце ілюзія (у
випробуваного і у психологів), що вольова дія спрямована по лінії найбільшого
опору [10, с. 286], а на насправді має місце свобода людини як відома
необхідність.
В-шосте, при вольовому виборі людина сама створює інструкцію
для виконавських механізмів [10, с. 288].
У теорії регуляційно-вольових процесів Л. Веккера [8] воля
розглядається як вище специфічне довільне регулювання людиною поведінки і
діяльності.
Веккер підкреслює, що вибір конкретного варіанту дії
характерний тільки для психічної організації; в той же час на кожному з рівнів
психічної регуляції - мимовільному, довільному і вольовому - вибір має свої
специфічні особливості. Так на психічному мимовільному рівні рухи контролюються
сенсорно-перцептивними образами, але без всякого попереднього наміру.
Мимовільний вибір того чи іншого рухового рішення
здійснюється при виконанні самого завдання без попереднього перебору варіантів
програми дії.
На довільному рівні регуляції відбувається попередній вибір
програм дій.
На вольовому рівні регуляції поведінки і діяльності,
характерному для цілісної особистості, вибір здійснюється за критеріями
інтелектуальної,емоційно-моральної і
загально
соціальної цінності між альтернативами програм дій.
Загалом вольова діяльність особистості охоплює:
• вольові процеси, які мають місце у будь-якому вольовому
вчинку, зусиллі;
• вольову діяльність, яка виражається у здійсненні довільних
і мимовільних дій;
• вольові стани - це тимчасові психічні стани, які
оптимізують, мобілізують психіку людини на подолання внутрішніх і зовнішніх
перешкод. Часто такі стани виявляються у вольовому зусиллі, яке відображає силу
нервово-психічного напруження, що мобілізує фізичні, інтелектуальні й моральні
сили людини;
• вольові якості - відносно стійкі, незалежні від конкретної
ситуації психічні утворення людини [6, с. 604-605].
Вольова дія, її структура.
Дія - це закінчена в часі і просторі сукупність рухів і
розумових операцій, об'єднаних єдиною свідомо поставленою метою [42]. Дії можуть
представляти собою фізичні (посадка дерева) чи інтелектуальні (вирішування
алгебраїчної задачі) завдання. Дії можуть бути індивідуальні та колективні, з
власного бажанням і за завданням інших людей. Поряд з терміном "дія"
в психології вживають і термін " вчинок".
Вчинком зазвичай називають дію, в якому висловлено
усвідомлене ставлення людини до інших людей, суспільству, що вимагає моральної
чи юридичної оцінки [42].
Як ми бачили, не всі дії відносяться до вольових. Критерієм
віднесення одних дій до невольових, а інших - до вольових є не відсутність або
наявність усвідомленої мети, а відсутність або наявність свідомої боротьби
людини з труднощами на шляху досягнення цілі. У імпульсивних або давно
завчених, стереотипних діях немає цієї боротьби з труднощами. Людини, у якого
часто спостерігаються імпульсивні або афективні дії, справедливо називають
слабовільними. Називають слабовільними і того, хто "загруз" у рутині
звичних дій і вже не здатний до ініціативи і творчості.
Виникнення мотиву до дії, усвідомлення його,
"боротьба" мотивів, постановка цілі і прийняття рішення - зміст
першої стадії вольового процесу. Друга стадія - це вибір засобів досягнення
цілі, планування можливих шляхів реалізації цієї мети. Це важлива проміжна
ланка між постановкою цілі і виконанням. Третя стадія - виконання - включає в
себе реалізацію мети і плану на практиці, а також оцінку отриманого результату
[42].
Основні ознаки вольової дії:
. Докладання зусиль для виконання вольового акту.
. Наявність продуманого плану здійснення поведінкового акту.
. Підсилена увага до вольової дії і відсутність
безпосереднього задоволення, яке отримується в процесі і в результаті її
виконання.
. Зусилля волі спрямовані не стільки на перемогу над
обставинами, скільки на подолання самого себе [23].
Структура вольового акту включає в себе таки етапи як:
1. Спонукання до вчинення вольового акту. Воно має місце або
в формі усвідомлення, хоча б і слабкого, яке виникає і прагне до задоволення,
або в формі усвідомлення труднощів, які при цьому виникають.
2. Представлення мети дії. Кожне вольове дія
характеризується тим, що в кінці його виходить результат, намічений в уявленні
людини ще до початку дії.
. Уявлення засобів, необхідних для досягнення
наміченої мети. При відсутності або недостатньої ясності цих уявлень вольовий
акт виявиться або нездійсненним (незнання засобів не дозволить людині виконати
дію), або недосконалим (виконання дії буде протікати несвідомо, без контролю з
боку свідомості).
. Намір здійснити дану дію. За відсутності такого
наміру дія може виявитися нездатною до виконання навіть при ясному уявленні
цілей і засобів.
. Рішення виконати дану дію. Зазвичай вольові дії
розглядають як керовані виразними і сильними рішеннями. Однак далеко не завжди
вони відрізняються цими якостями [56].
Більш ширше розписані ці етапи у даній схемі:
Вольові
процеси.
Для того щоб добре виконувати роботу, потрібно точно
сприймати і оцінювати інформацію, бути уважним, мислити, запам'ятовувати,
пригадувати і т. д.
Усі психічні процеси діляться на дві групи - мимовільні й
довільні. Коли потрібно не просто дивитися чи слухати, а вдивлятися і
вслухатися, щоб краще зрозуміти і запам'ятати конкретну інформацію, то у всіх
подібних випадках ми змушені мобілізувати вольові зусилля, інакше успіху не
домогтися.
Ті психічні процеси, які здійснюються не тільки усвідомлено,
але з досить вираженими зусиллями особистості, називаються вольовими
процесами [42].
Вольові стани
Вольові стани - це тимчасові психічні стани особистості, які
є сприятливими внутрішніми умовами для подолання виникаючих труднощів і
досягнення успіху в діяльності. До них відносяться стану оптимізму і загальної
активності, мобілізаційної готовності, зацікавленості, рішучості та ін [42].
Стан мобілізаційної готовності
Йому передує виникнення цільової домінанти, яка спрямовує
свідомість людини на досягнення результату. Він означає готовність боротися з
труднощами майбутньої діяльності, виявити максимум вольових зусиль, не
допустити розвитку несприятливого емоційного стану, спрямувати свідомість не на
переживання значущості майбутньої діяльності, очікування успіху чи невдачі, а
на контроль своїх дій. За такого стану особистість самоналаштована на цілковиту
мобілізацію можливостей, що забезпечують досягнення результату.
Стан зосередженості
Пов'язаний із навмисною концентрацією уваги на процесі
діяльності, яка забезпечує ефективність сприймання, запам'ятовування, мислення,
швидкість реагування на сигнали, якісний контроль за діями тощо.
Незібраність (неуважність) є протилежним мобілізаційній готовності
станом. У процесі розв'язання завдання вона виявляється у великій кількості
зайвих рухів.
Стан рішучості
Виражає готовність до дії, яка, крім емоційного й
інтелектуального аспектів, передбачає специфічне переживання. Сутністю цього
стану є готовність почати здійснювати прийняте рішення, ініціювати дію за
наявності ризику, ймовірності неприємних наслідків. Виникає одночасно з
прийняттям рішення, а не раніше за нього. З наближенням у часі і просторі до
бажаного об'єкта рішучість може знижуватися, якщо людина не впевнена в успіху,
і навіть переходити в нерішучість. Важливим фактором рішучості є здатність до
самодисципліни, звичка ініціювати дію, вчинки без непотрібних сумнівів.
Стан стриманості
За такого вольового стану поведінка підкоряється розумному
контролю. Вона може бути вираженням самодисципліни, вихованості людини, а може
свідчити про боягузтво. Вольовий стан виражається в стримуванні за допомогою
вольового зусилля негайного задоволення [38].
Вольові якості
Вольові якості - це відносно стійкі, незалежні від
конкретної ситуації психічні утворення, що засвідчують досягнутий особистістю
рівень свідомої саморегуляції поведінки, її влади над собою [55].
Для психології виховання волі досить істотним є знання
пробудові вольових якостей. Однак тут мають місце труднощі як теоретичного
(позначення вольових якостей; описовість їх класифікацій), так і методичного
(вимірювання вольових якостей) характеру.
Є. Ільїн визначає вольові якості так: це особливості вольової
регуляції, які виявляються у конкретних специфічних умовах, що зумовлені
характером трудності, яку треба подолати [18].
На його думку, як і будь-які якості особистості, вольові
якості мають горизонтальну та вертикальну структуру. Горизонтальну структуру
становлять задатки, в ролі яких виступають типологічні властивості нервової
системи. Усі вольові якості мають подібну вертикальну структуру, яка нагадує
трьохшаровий пиріг. Внизу лежать природні задатки - нейродинамічні особливості;
на них накладається другий шар - вольове зусилля,яке ініціюється і стимулюється
соціальними та особистісними факторами, які утворюють третій шар: мотиваційна
сфера, насамперед, моральні принципи людини (моральні компоненти волі). І від
того, наскільки у людини виражені сила потреби, бажання, наскільки вона
розвинута у моральному відношенні, багато у чому залежить ступінь прояву кожної
вольової якості [51, с 661].
В. Нікандров [27] систематизує вольові властивості залежно
від наявності в їх проявах просторово-часових та інформаційно-енергетичних
параметрів. Просторова характеристика полягає у спрямованості вольової дії на
самого суб’єкта; часова - в її процесуальності; енергетична - у вольовому
зусиллі, при якому витрачається енергія; інформаційна - у мотивах, меті,
засобах дії і досягнутому результаті.
До просторового параметру автор відносить самостійність
(незалежність, цілеспрямованість, впевненість), до часового - наполегливість
(упертість, терпіння, стійкість, твердість, принциповість, послідовність), до
енергетичного - рішучість та самовладання (витримка, контроль, сміливість,
відвага та мужність), до інформаційних - принциповість.
В. Селіванов [44] об’єктивною основою для класифікації
вольових якостей вважав динаміку процесів збудження і гальмування. У зв’язку з
цим він поділив вольові властивості на ті, що викликають, підсилюють або
прискорюють активність, і на ті, що її гальмують, послаблюють або уповільнюють.
До першої групи належать ініціативність, рішучість,
сміливість, енергійність, хоробрість; до другою групи - витримка, витривалість,
терплячість [51, с. 662].
А. Пуні [32] вважав, що та чи інша система вольових якостей
визначається об’єктивними умовами конкретного виду діяльності. Ці умови
зумовлюють, насамперед, розвиток провідних вольових якостей, пов’язаних з
успішним подоланням перешкод, типових для даної діяльності, а також вольові
якості, які підкріплюють, підтримують провідні. В експериментальних
дослідженнях виявлена ієрархія вольових якостей спортсменів різних видів
спорту. Наприклад, для бігунів на короткі дистанції найважливішими є
наполегливість та упертість, потім - витримка і самовладання; для
стрибунів-лижників ієрархія інша. Якістю, яка поєднала усі ці властивості в
єдину систему є цілеспрямованість, що зумовлена системою життєвих цілей і
мотивів людини.
Найпоширенішою класифікацією вольових якостей є класифікація
В. Каліна [20]. У ній він виділяє базальні (первинні) та системні (вторинні)
вольові якості. До базальних якостей відносяться: енергійність, терплячість,
витримка та сміливість. В міру накопичення життєвого досвіду базальні вольові
якості поступово «обростають» знаннями та уміннями, необхідними для того, щоб
здійснити вольову регуляцію різними способами, що дозволяють компенсувати
недостатній розвиток деяких базальних якостей. У системних вольових якостях,
таких як наполегливість, дисциплінованість, самостійність, цілеспрямованість,
ініціативність, організованість, найбільше виражена особистісна саморегуляція
діяльності [51, с. 663].
Функції волі
Дискусійним є питання про функції волі. Зокрема, потребує в
поясненні так званої відображувальної функція волі, розглянута в 70 - х роках в
радянській психології [29; 52].
Сьогодні ж найчастіше виділяють спонукаючу і гальмувну
функції волі.
Спонукальна функція забезпечується активністю людини. Активність породжує
дію через специфіку внутрішніх станів людини, які виникають у момент самої дії
(людина, яка відчуває потребу в підтримці під час свого виступу, закликає
висловитися однодумців; перебуваючи в глибокому смутку, людина скаржиться на
всіх навколо тощо).
Гальмівна функція виявляється у стримуванні небажаних проявів активності.
Ця функція найчастіше виступає в єдності зі спонукальною. Людина здатна
гальмувати виникнення небажаних мотивів, виконання дій, поведінку, які
суперечать уявленням про зразок, еталон і здійснення яких може поставити під
сумнів або зашкодити авторитету особистості. Вольове регулювання поведінки було
б неможливе без гальмівної функції [47, с. 368-369].
Окрім даної класифікації ряд вчених виділяє такі функції:
М. Басов [3] у волі виділяв регулятивну функцію, суть
якої Басов бачив в управлінні плином інших психічних процесів (виклик,
прискорення, уповільнення, посилення, ослаблення, зупинка, координації) і в їх
оцінці особистістю.
Функцію організації волею психічних функцій і мобілізації
психічних ресурсів виділяє В. Калин [20]. Він трактує волю як систему
механізмів свідомості, що забезпечують самоврядування організаційних психічних
функцій.
Функцію мотивів або ініціації дій традиційно відносили
до волі більшість дослідників. Зверталася увага на умови актуалізації функції
спонукання: наявність перешкод і конкуруючих мотивів, відсутність бажань, які
актуально переживаються для здійснення дії [2].
Відображувальна функція волі обговорювалася в радянській
психології у зв'язку з вольовими діями. Постулювалося, що об'єктами
відображення як мета діяльності у співвідношенні з фактично виконуваною
діяльністю, так і умовами і обстановкою дій [29; 43], а також такі феномени, як
боротьба мотивів, прийняття рішення, цілеспрямованість, рівень домагань,
вольове зусилля [52]. До властивостей так званого вольового відображення
відносили опосередкованість, вибірковість, активно - особистісний характер і
віднесення до вищої регуляції, спрямованої на досягнення мети [52].
Функція "свободи від" і "свободи для", що реалізовується волею,
виділяв В. Франкл [49], підкреслюючи свободу людини в реалізації ним сенсу
життя в умовах обмеження цієї свободи об'єктивними обставинами.
Функція блокування креативної поведінки [44]; в силу
надмірної локалізації пошуку рішень воля може загальмувати творчу поведінку.
Репресивна функція волі [26, с. 219] проявляється як спосіб боротьби
людини з задоволенням його власних бажань. При акцентуванні цієї функції
виникає репресивний тип сили волі, що приводить до збіднення уяви і прагнень,
до виникнення у людини пригніченості, ворожості, самонеприйняття.
Функція боротьби з боротьбою мотивів, виділена Ф. Василюком [7, с.
141-142], полягає в запобіганні зупинки або відхилення активності суб'єкта
внаслідок боротьби мотивів, є характерною для моделі внутрішньо складного і
зовні важкого життєвого світу.
Отже, в різних концепціях, волі, що розвиваються в
вітчизняної психології, даються різні її визначення, звертається увага на її
різні функції, ознаки, умови актуалізації. По суті має місце в сучасній
вітчизняній психології теорія волі представлена рядом наступних позицій:
- Вивчення волі в контексті оволодіння людиною власною
поведінкою [9; 10; 45] - вивчення волі в контексті особливостей мотиваційної
сфери людини [16; 48];
- Аналіз волі на моделі вольових дій
[16] - аналіз волі на моделі вольової [13], цілісної [7] особистості;
- Завершення вольового акту в
мотиваційній частині дії до безпосереднього виконання дії [16] - завершення
вольового акту тільки після виконання дії [41; 43; 45];
- Опис вольового зусилля, вибору як
специфічних ознак волі[31; 33; 43; 45] - заперечення специфічності для волі цих
ознак [13; 24; 50];
- Акцентування уваги на боротьбі
мотивів і результаті цієї боротьби у вольовому акті [12; 14] - акцентування
увагу на функції волі - боротьби зборотьбою мотивів [7];
- Акцентування уваги на зовнішніх і
внутрішніх перешкодах як умовах актуалізації волі [31; 33; 43; 45] -
акцентування увагу на внутрішній перешкоді як умові актуалізації волі [5];
- Розгляд впливів волі, перш за все, на
поведінку і діяльність людини [16; 33; 45] - розгляд впливів волі в межах
життєбудування особистості [7; 13];
- Акцент на вихованні волі за допомогою
тренування самоконтролю дій - акцент на вихованні волі за допомогою
культивування внутрішньої мотивації [13];
- Опис інтрапсихічних технік волі у
формах самонаказів [21;33; 44] - опис інтрапсихічних технік волі у формах
прохання, обіцяної винагороди, загрози, інтриги по відношенню людини до самої
себе [7].
1.2 Аналіз вольових порушень у дитячому віці
Негативні якості характеризують вольову слабкість людини.
Крайній ступінь слабовілля людини перебуває за межами норм. До вагомих розладів
складної вольової дії призводять абулія, апраксія, гіпобулія та ін.
Ослаблення (зниження) вольової діяльності пов'язане з такими
порушеннями.
Абулія пов'язана з нездатністю прийняти необхідне рішення, діяти.
Причина полягає у порушенні динамічного співвідношення між корою великих
півкуль і підкіркою.
Апраксія - складне порушення цілеспрямованості дій, яке викликається
локальними розладами лобних ділянок мозку. Вона виявляється в порушенні
довільної регуляції рухів, дій і поведінки в цілому [55].
Гіпобулія - зниження вольової активності. Пов'язана з ослабленням
потягів, у зв'язку з цим падає апетит, зменшується активність, спостерігається
в тій чи іншій мірі при розумової відсталості, органічних ураженнях ЦНС,
шизофренічних дефектах.
Ступор - рухове заціпеніння, що виявляється в абсолютній або майже
повній знерухомленості, з підвищенням м'язового тонусу.
Субступорозний стан - загальмований стан без повної знерухомленості. При
цьому можливе застигання в тих чи інших позах на короткий час (стоячи біля
ліжка, з піднятою рукою або ногою).
У дітей рідко спостерігається ступор з повною нерухомістю,
більш характерні його часткові прояви у вигляді рудиментарних ознак
загальмованості і епізодичного утримування однієї якої-небудь пози (застигання
з ложкою, піднесеної до рота, з піднятою рукою при одяганні і т. д.).
Посилення (підвищення) вольової діяльності
По-перше, це походить від недостатнього затримання рухів.
Підвищена активність волі спостерігається у осіб цілком нормальних, у яких
імпульси до руху викликають нервовий розряд так швидко, що струм, який затримує
рух не встигає виникнути. Сюди відносяться люди з украй рухомим і гарячим
темпераментом, постійно жваві і балакучі люди, якими рясніють слов'янська і
кельтська раси і з якими настільки різко контрастують холоднокровні, важкі на
підйом англійці. Якщо взяти двох індивідів, одного - з підвищеною, іншого - із
зниженою активністю волі, то не можна вирішити, який з них має в своєму розпорядженні
більшу кількістю життєвої енергії [14, с. 334].
По-друге, підвищена активність волі проявляється від
надмірної сили імпульсу. Але в той же час безладні імпульсивні дії можна
спостерігати і тоді, коли нервові тканини зберегли нормальний ступінь
внутрішньої напруги, а затримують центри діють правильно або навіть з надмірною
силою. У таких випадках сила імпульсивної ідеї ненормально велика, і те, що за
інших обставин промайнуло б як проста дія, викликає жагуче, нестримне прагнення
до дії [14, с. 337].
Підвищена вольова діяльність пов'язана з такими порушеннями:
Гіпербулія - підвищення вольової активності, пов'язане з посиленням
потягів. Може проявлятися у підвищенні апетиту, агресії, активному або навіть
розгальмованій поведінці; нерідко ці симптоми поєднуються.
Рухове збудження проявляється або в прагненні до руху, або в
більш-менш доцільних діях.
Кататоністичне збудження - одноманітно повторювані
(стереотипні), безглузді рухи або імпульсивні рухові акти. У дітей молодшого
віку може виявлятися у вигляді одноманітного бігу по колу, таких стереотипних
рухів, як підстрибування, потрушування кистями рук і т.д. Старші - кричать,
співають, сваряться, без кінця про щось говорять, викрикують незв'язні фрази.
Маніакальне збудження характеризується цілеспрямованою,
але надзвичайно активною, рухливою і невтомною поведінкою. Виразність збудження
може варіюватися від такого, при якому можливе навіть деяке збільшення
продуктивності, до повної хаотичності у вчинках і діях, змінюється також і
мовна активність від підвищеної балакучості до мовної незв'язності.
Тривожне збудження. Залежно від ступеня вираженості це нездатність
всидіти на місці, метання із сторони в сторону, заламування рук, прагнення до
самоушкодження, ридання, стогони, голосіння.
Парабулія. Сюди відносяться: ехопраксія - копіювання жестів і
рухів оточуючих, ехолалія - повторення почутих слів і речень, негативізм
(активний чи пасивний) - опір впливам ззовні, мутизм - відмова від мови,
стереотипія - повторення одних і тих же рухів або дій, каталепсія, або
воскова гнучкість, - збереження хворим доданої йому пози, патологічна
сугестивність - беззаперечне підпорядкування інструкціям оточуючих [19,
с.161-162].
Ще одним порушенням є слабка воля
Кожен з вас по собі знає, як нелегко іноді буває слідувати
голосу совісті. Якщо ми чинимо всупереч совісті, природно, ми проявляємо слабку
волю, але завжди при цьому лукавимо з собою - прагнемо виправдати будь-який
свій непорядний вчинок, придумуючи найрізноманітніші виверти. Ці людські
слабкості помітив ще в XVII в. великий французький філософ і письменник Франсуа
Ларошфуко. «Люди не можуть втішитися, - писав він, - коли їх обдурять вороги чи
змінять друзі; але коли вони обманюють самі себе, вони часом бувають
задоволені». Але це задоволення собою триває не вічно [37, с. 87].
Особливості формування вольових якостей у дітей і школярів.
Із вступом до школи змінюється характер дитини. Учіння стає провідною
діяльністю молодшого школяра. У процесі індивідуального виконання класних і
домашніх завдань у дитини розвивається самоконтроль, організованість,
самостійність та інші вольові якості. В умовах навчання формуються навчальні
інтереси - важливі мотиви поведінки учнів. Учителі знають, яке велике значення
мають інтереси у вольовій діяльності школярів і постійно намагаються їх стимулювати.
Треба сказати, що воля молодшого школяра ще слабо розвинена. Вольові дії хоча і
стали в результаті сімейного і шкільного виховання більш продуманими, проте не
втратили імпульсивного характеру. Безпосередні бажання і почуття залишаються
найсильнішими мотивами поведінки. Ці недоліки волі поступово ліквідовуються у
підлітковому віці [55].
Маленькі школярі, особливо учні I-II класів, відрізняються
значною імпульсивністю і нестриманістю. Вони постійно бігають, стрибають,
возяться один з одним, їм важко цілий урок нерухомо висидіти за партою. Така
поведінка є результатом підвищеної потреби дитини в русі, що поєднується з ще
недостатнім умінням управляти своєю поведінкою [4, с. 274-275].
Молодший шкільний вік. Вступ до школи знаменує новий етап у
розвитку вольової сфери особистості дитини. Під впливом пред'явлених до неї
вимог починається посилений розвиток витримки (стриманості) і терпіння як
основи дисциплінованої поведінки, яка до кінця першого року стає звичною для
дитини.
Дослідження Є. Ігнатьєва [17], В. Селіванова та інших
показують, що у школярів 1-3-го класів помітно зростає вміння виявляти вольові
зусилля, що наочно виражається в їх розумовій діяльності. Починають формуватися
довільні розумові дії: довільне запам'ятовування і пригадування навчального
матеріалу, довільна увага, спрямоване і стійке спостереження, завзятість у
вирішенні розумових завдань. Якщо в 1-му і 2-му класах школярі здійснюють
вольові дії головним чином за вказівкою дорослих, в тому числі і вчителя, то
вже в 3-му класі вони набувають здатність здійснювати вольові акти відповідно
до власних мотивів. При необхідності утриматися від якої-небудь дії діти самі
створюють умови, що виключають привабливі дії, наприклад відвертаються, щоб не
дивитися на цікаві картинки, заборонені для розглядання (Ш. Чхартішвілі [50]),
або беруться за іншу справу [18, с. 210-211].
Наростаюче прагнення до самостійності і розвиток
самосвідомості нерідко штовхають школярів молодших класів на навмисну непокору
загальним правилам. Таку поведінку вони вважають вираженням своєї дорослості і
незалежності. Часто, захищаючи свої рішення, судження і вчинки, школярі
проявляють впертість. Навіть знаючи, що вони не праві, діти гаряче відстоюють
свою думку. Прояв упертості молодші школярі розцінюють як прояв ними завзятості,
наполегливості. Приводом для прояву впертості у навчальній діяльності служить
конфлікт між учнем і вчителем з приводу «несправедливої оцінки».
Не можна не відзначити і прояв вже в 3-му класі високого
рівня такої вольового якості, як рішучість, яка певною мірою може бути
пов'язаною з усе ще досить високою в цьому віці імпульсивністю. Прояв
сміливості молодшими школярами в чому залежить від того, чи знаходиться дитина
в групі однолітків або виявляє сміливість самостійно.
У молодших школярів зростає витримка (стриманість), вміння
стримувати свої почуття. Витримка проявляється спочатку в підпорядкуванні
вимогам дорослих. Виникає і закріплюється вона саме в молодшому шкільному віці,
коли правила поведінки в школі починають регламентувати поведінку дітей.
Дівчата більш стримані, ніж хлопчики, у яких імпульсивність
сильніша (Є. Ігнатьєв, В. Селіванов). Автори пояснюють це особливим становищем
дівчаток у сім'ї, де вони виконують ряд домашніх доручень з організації побуту
і мають більше обмежень, що сприяє вихованню у них стриманості. Водночас
школярі молодших класів ще не вміють володіти собою і стримувати різкість тону,
розв'язність поведінки або емоційну збудженість, викликану випадковими
обставинами. Відсутність витримки проявляється і в переважання мимовільної
уваги над довільною, що призводить до легкого відволікання дітей від навчальних
завдань, тобто до ненавмисного порушення учнями молодших класів дисципліни.
С. Пєтухов [28] показав, що третьокласники проявляють
ініціативність в грі і вченні краще, ніж у праці. Завзятість у молодших
школярів розвинена ще слабо, навіть у третьокласників (А. Полтев [30]).
Хлопчики здатні проявити завзятість у рухливих іграх, фізичній роботі, але у
них може не вистачати її при виконанні домашнього завдання або для того, щоб дисципліновано
вести себе на уроках [18, с. 211-212].
Демонстрація учням їх просування до мети. Учитель повинен так
організувати навчальну діяльність молодшого школяра, щоб він бачив свій рух до
мети, а головне - усвідомив, що це просування є результатом його власних зусиль
[18, с. 213].
Отже, вольова сфера молодших школярів є ще досить
нерозвиненою у порівнянні із дорослими. Порушення, які найчастіше виникають у
дітей полягають у тому, що їх воля найчастіше є ще слабкою, більшою мірою вони
керуються імпульсами і власними бажаннями. Часто вони нездатні до самоконтролю
діяльності, при чому ця діяльність найчастіше детермінується дорослими, які є
авторитетом.
Сміливість вони проявляють переважно у групі однолітків, а
поодинці чи в присутності старших її вияв є меншим. Також доволі поширеним
явищем є наявність ліні, як однієї з негативних вольових якостей.
Розвинути волю молодших школярів дозволять спеціальні
завдання, які при систематичному їх використанні з боку батьків та вчителів
допоможуть дитині розвинути всі необхідні якості.
вольовий імпульсивність ситуативність школяр
РОЗДІЛ 2. ЕМПІРИЧНЕ ДОСЛІДЖЕННЯ ВОЛЬОВИХ ПОРУШЕНЬ У ДИТЯЧОМУ
ВІЦІ
.1 Методика та організація дослідження
Емпіричне дослідження вольових порушень у дитячому віці
проводилося у 2014 році на базі Луцької спеціалізованої школи І-ІІІ ступенів
№5, у Волинській області. У дослідженні прийняли участь 39 молодших школярів із
двох 3-х класів. Їх вік становить 8-9 років, з них 16 хлопчиків і 23 дівчинки.
Серед них 12 хлопчиків віком 9 років та 4 - віком 8 років. Серед дівчат 9 років
досягли 16, а 8 років - 7. Ці дані представлені у таблиці 2.1.
Таблиця
2.1
|
Вік
|
Дівчата
|
Хлопці
|
|
8 років
|
7
|
4
|
|
9 років
|
16
|
12
|
|
Загальний показник
|
23
|
16
|
Під час проведення дослідження використовувалися такі
методики: “дослідження розвитку вольових якостей”, “соціальна сміливість”, тест
“визначення сили волі”, методика Е. Ільїна та Є. Фещенко “самооцінка
терплячості”, тест “застенчивость.”
Методика “дослідження розвитку вольових якостей”
використовувалася для визначення рівня розвитку наявних вольових якостей
молодших школярів. Процедура проведення полягала у тому, що дітям пропонувалося
дати відповіді на 18 запитань, кожне з яких має три варіанти відповіді. Після
цього досліджувані мали занести обрану відповідь до таблиці.
Обробка даних полягала у тому, що кожній відповіді
приписувався певний бал. Їх розподіл відбувався таким чином: відповіді “а”
приписувалися 2 бала, “б” - 1 бал, “в” - 0 балів. Після цього всі бали
сумувалися. Наявність 31 бала і вище свідчить про наявність високого розвитку
вольових якостей, 21-30 балів - середній рівень, 10-20 - низький рівень, менше
10 балів говорить про те, що вольові якості є несформованими.
Методика “соціальна сміливість” досліджує наскільки діти
здатні долати відчуття страху і розгубленості при спілкуванні з однолітками,
старшими людьми. Також дана методика включає питання пов'язані зі здатністю
виступати на публіці.
Проведення дослідження пов'язане із вибором досліджуваними
однієї відповіді із запропонованих на запитання.
Обробка полягає у тому, що відповідям “а” і “в” нараховується
по 2 бали, за відповіді “б” - 1 бал. При цьому Бали за відповідь “а” рахуються
коли досліджуваний відповідає “так” по пунктах 1, 2, 4, 6, 8, 10, 12, 13. Бали
за відповідь “в” рахуються коли відповідь “ні” стоїть у таких питаннях 3, 5, 7,
9, 11. Варіант “б” становить 1 бал у будь-якому питання, якщо дитина вибрала
дану відповідь.
Потім отримані бали сумуються. Максимальна сума балів може
становити 26 балів. Чим ближчим є показник досліджуваного до даного балу, тим
більш вираженою є його соціальна сміливість.
Тест “визначення сили волі”
Сила волі - це найважливіша риса людської особистості, це
здатність сконцентрувати більшу частину або всю свою енергію для досягнення
поставленої мети. Безумовно, її наявність говорить про те, що перед вами сильна
і цілеспрямована людина.
До речі, багато хто ототожнює силу волі і власне сам характер
людини. Яскравим підтвердженням цього є вираз «сильний характер». Найчастіше
так говорять про тих людей, які характеризуються наявністю великої сили волі.
Це означає, що людина постійно працює над собою і вдосконалюється, поступово
перемагаючи свої недоліки і усуваючи слабкі сторони. Тому виховувати в собі
силу волі потрібно кожній людині, цілеспрямовано і регулярно. Цей тест
допомагає з’ясувати, наскільки розвиненою є сила волі.
Дослідження проводилося таким чином: дитині пропонувалося
ознайомитися із 15-ма твердженнями. Прочитавши їх вона мала визначитися чи
підходять вони їй. Якщо так, то досліджуваний мав поставити знак “+”, якщо не
підходить - знак “-”.
Оцінювання результатів проводиться таким чином: відповіді
«так» присвоюється 2 бали; відповіді «не знаю» - 1бал; «буває» - 1 бал; «ні» -
0 балів. Потім бали сумуються. Якщо сума становить 0-12 балів, то це свідчить
про слабку силу волі. Сума 13-21 бал говорить про посередність сили волі. Сума
у 22-30 балів відображає високий рівень розвитку сили волі.
Методика Е. Ільїна та Є. Фещенко “самооцінка терплячості”.
Метою даної методики є дослідження того наскільки розвиненим є терпіння.
Дослідження полягає у тому, що діагностованим пропонується 18
тверджень, які описують різні ситуації у яких необхідно проявити терпіння і
відповісти “так”, якщо діють відповідним чином, сказаним у твердженні, або “ні”
якщо протилежним.
Відповідь «так» отримує 1 бал у № 4, 5, 8, 10, 11, 12, 13,
16, 17. І за відповіді «ні» у № 1, 2, 3, 6, 7, 9, 14, 15, 18. Далі
підраховується загальна сума. Результат від 0 до 6 балів свідчить про низьку
терплячість, від 12 і більше - про високу.
Тест “ Сором’язливість”
Кожна людина повинна бути трохи сором'язливою. Нормальний
рівень сором'язливості робить людину більш прийнятною в спілкуванні, надає їй
чарівності, якої немає у "людей без комплексів".
Сором’язливість - властивість характеру, позначається в тому,
що сором'язлива людина всіляко намагається втекти, сховатися від інших,
оскільки її легко образити, поранити душевно, і вона дуже цього боїться.
Досліджувані мають прочитати ряд тверджень і відповісти
“так”, якщо воно підходить, або “ні” якщо не підходить.
Обробка результатів проводиться за 2-а блоками А і Б. У
першому блоці підраховуються всі позитивні відповіді, а у другому - негативні.
Після цього всі бали сумуються і визначається загальний показник.
Результат у 14-16 балів говорить про дуже велику
сором'язливість.
Результат 10-13 балів означає, що для досліджуваного дуже
важливою є думка оточуючих і іноді така залежність може стати причиною
неприємностей.
Результат від 7 до 9 балів говорить, що сором'язливість є
однією із рис характеру досліджуваного, проте він успішно з нею бореться.
Від 3 до 6 є найоптимальнішим результатом, оскільки у таких
людей гармонійно поєднується власна думка із думкою інших людей.
Від 0 до 2 балів мають ті, хто завжди іде строго власним
курсом і не прислуховується до думки інших людей.
2.2 Аналіз та інтерпретація результатів
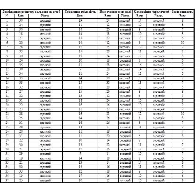
Результати отримані за методикою “дослідження розвитку
вольових якостей” показують, що 28% досліджуваних мають високий рівень, 56% -
середній, 13% - низький. Серед них у 3-А класі високий показник має 8%,
середній - 20%, а низький 8%. Серед учнів 3-Б класу високий показник було
виявлено у 20%, середній у 36%, низький - у 5%. Результаті представлені у
вигляді графіку 2.2.1.

Графік 2.2.1
На графіку 2.2.1 можна побачити, що обох класах найбільше
учнів мають середній результат, а найменше - низький. При цьому у 3-Б класі
відсоток дітей із середнім значенням (36%) майже в два рази більший, ніж у 3-А
(20%). Подібні результати і у високому рівні - 8% у 3-А класі і 20% у 3-Б.
Причиною цього скоріше за все є те, що у 3-Б класі на 11 школярів більше.
Переважання показників високого і середнього рівня у школярів
обох класів свідчить про високу розвиненість вольових якостей у дітей, їх
високу здатність володіти собою і свідомо регулювати свою поведінку в
залежності від обставин. Також можна говорити про їх здатність протистояти
негативним зовнішнім обставинам, вмінню долати перешкоди і не здаватися при
появі перших труднощів. Ці показники свідчать про високу розвиненість таких
якостей як: цілеспрямованість, рішучість, самостійність, наполегливість,
ініціативність, витримка.
Проте не варто забувати, що це ще учні молодшого класу і в
них доволі часто проявляється імпульсивність, ситуативність і спонтанність
рішень та поведінки. Наявність дітей із низьким рівнем розвитку вольових
якостей ще раз це підкреслює. Частина класу ще не здатна адекватно реагувати на
зміни зовнішнього середовища через несформованість вольових якостей.
За методикою «Соціальна сміливість» результати показали, що
школярі мають середній рівень вираженості даної характеристики, оскільки їх
результати близькі до середнього показника. Більшість (20 учнів) набрала 11, 14
і 13 балів. Трохи менше (16 учнів) набрало 17, 15, 10, 9, 16 балів. Найменша
кількість (3 дітей) набрали по 19, 18 і 12 балів.
Переважання середніх показників відображає легкість у
спілкуванні учнів. Оскільки діти у початкових класах найчастіше зорієнтовані на
навчальну діяльність, на відміну від підлітків, для яких важливі міжособистісні
контакти, то вони є більш сміливими у взаємостосунках із іншими людьми.
І хоча більшість дітей має середній показник за даною
методикою, майже стільки ж мають найвищі показники та найнижчі значення у
групі. З цих даних можна зробити висновок, що все ж половина діагностованих
учнів є доволі комунікабельною. Інша - навпаки має або низьку соціальну
сміливість, такі діти важко соціалізуються у групі, також вони можуть проявляти
боязнь при публічних виступах або спілкуванні зі старшими людьми.
Дослідження за тестом “Визначення сили волі” показало такі
результати. У 3-А класі високий рівень було виявлено у 8% дітей, середній
рівень - у 26% дітей, і низький рівень у 3% учнів від усієї вибірки.
У 3-Б класі високий показник отримало 40% дітей, середній -
13% і низький - 10% дітей від усієї вибірки.
Загалом у всій групі досліджуваних школярів було виявлено 48%
дітей з високим показником, 39% із середнім та 13% із низьким рівнем розвитку
сили волі.
Ці дані представлені у графіку 2.2.2.

Графік 2.2.2
Як видно із даного графіка у дітей А класу найбільші
показники представлені середнім рівнем розвитку сили волі, на відміну від дітей
Б класу, де 40% учнів мають високий рівень її розвитку. Водночас у Б класі має
місце і вищий показник низького рівня сили волі. Така відмінність у показниках
може бути викликана розбіжностями у класах, оскільки у першому всього 14 дітей,
а у другому 25. Іншою причиною цих відмінностей є більша зосередженість учнів Б
класу на завданні та його виконанні, аніж у А класі. Даний висновок випливає з
того, що під час дослідження учні 3-Б класу були більш зосереджені на виконанні
завдання, хоча були і такі, що приділяли завданню менше уваги відволікаючись.
Оскільки провідним видом діяльності молодштх школярів є
навчання, а головним пріорітетом часто є бажання сподобатися вчительці і
виділитися серед інших, то розвиваючи власну силу волі вони намагаються
показати себе. При чому розвиток може проходити у вигляді бажання самому
розв'язати задачу чи виконати вправу без сторонньої допомоги не зважаючи на
помилки та невдачі.
Методика “Самооцінка треплячості”. Дані, які були отримані за
даною методикою відображають доволі високий рівень терплячості досліджуваних
школярів, оскільки жодна дитина не отримала низькі бали.
Серед учнів 3-А класу 10% мають високий рівень, а 26% -
середній рівень розвитку терплячості.
У 3-Б класі ці показники становлять 26% для високого рівня та
38% для середнього рівня розвитку терплячості. Загальні показники двох класів
становлять: 36% для високого рівня і 64% для середнього. Дані показники
відображені у графіку 2.2.3.

Графік 2.2.3
Такий високий показник даних школярів пов'язаний із тим, що
за попередні два роки навчання вони вже навчилися менше зважати на сторонні
подразники при виконанні завдань. У першому класі діти дуже часто
відволікаються, через кожні 15 хвилин звичного уроку їм потрібна зміна
діяльності. Учні у третьому класі вже здатні весь урок присвятити одній
діяльності, проте на перерві їм необхідна рухова активність. Таке тривале
заняття однією справою допомагає їм виробити терплячість.
За тестом "Застенчивость" у школярів було виявлено,
що 8% досліджуваних отримали бал у межах від 0 до 2; 31% - у межах від 3 до 6;
56% - у межах від 7 до 9 балів; 5% - у межах від 10 до 13 балів; та 0% - у
межах від 14 до 16 балів.
Серед них на 3-А клас припадає 3% на проміжок 0-2 бала; 18% -
3-6; 15% - 7-9; 0% - 10-13; 0% - 14-16.
На 3-Б припадає 5% на проміжок 0-2 бала; 13% - 3-6; 41% -
7-9; 5% - 10-13; 0% - 14-16. Результати представлені на графіку 2.2.4.

Графік 2.2.4
Наявність результату від 0 до 2 відображає наявність у класах
дітей, що не бажають прислуховуватися до думки інших. Вони мають свій шлях і не
бажають ним поступатися, навіть якщо він не правильний. Їм потрібно навчитися
слухати інших і тоді вони зрозуміють, що інші люди також бувають правими.
Результат від 3 до 6 балів є досить добре представленим у
групі. Цей показник свідчить про вміння школярів вислухати інших, проте вони
мають і свою думку. Така поведінка є найкращою і в майбутньому житті вона
принесе удачу тим, в кого він є.
Від 7 до 9 отримала більша частина групи (56%). Даний
показник відображає наявність сором'язливості у школярів, проте з цією своєю
рисою вони успішно борються. Найчастіше така боротьба направлена на певну
сферу: інтелект, зовнішність, соціальне положення чи спортивна форма. Дитина
відчуває себе неповноцінною і борючись із сором'язливістю намагається побороти
цю неповноцінність.
Шкала у 10-13 балів виражена у доволі невеликої кількості
учнів. Вона полягає у тому, що дитина доволі сильно є залежною від думки оточуючих,
наприклад батьків чи ровесників. Таке підпорядкування іншим людям може стати
причиною неприємностей. Необхідно навчити таку дитину, щоб вона стала трохи
відкритішою і розкованішою.
От 14 до 16. Дана шкала не представлена у вибірці, оскільки
жодна дитина не набрала таку кількість балів. Вона є протилежністю першої
шкали. Люди, які до неї входять дуже сором'язливі. Вони занадто сильно
піклуються про те, що інші подумають про неї. Такій людині необхідно навчитися
бути більш незалежною і навчитися правильно контактувати з оточуючими не сліпо
їм підкоряючись.
ВИСНОВКИ
Воля - це свідоме регулювання людиною своєї поведінки і
діяльності, виражене в умінні долати внутрішні та зовнішні труднощі при
здійсненні цілеспрямованих дій і вчинків.
Вольові порушення у дітей найчастіше пов'язані з їх
імпульсивністю, ситуативністю. Дітям досить важко концентруватися на одному
завданні, відбувається постійне відволікання. Найчастіше школа допомагає дітям
розвинути вольові якості такі як: витримка, стриманість, терпіння, розвиває
силу волі, дитина навчається довільному запам'ятовуванні, зникає розсіяність і
з'являється конкретна мета та план її досягнення з покроковим його виконанням.
Під час емпіричного дослідження був проведений ряд методик,
серед яких: “дослідження розвитку вольових якостей”, “соціальна сміливість”,
тест “визначення сили волі”, методика Е. Ільїна та Є. Фещенко “самооцінка
терплячості”, тест “сором’язливість”.
За допомогою методики “дослідження розвитку вольових якостей”
було вивчено, що високий рівень розвитку вольових якостей відображений у 28%
досліджуваних, середній у - 56%, низький - у 13%. Серед них у 3-А класі високий
показник має 8%, середній - 20%, а низький 8%. Серед учнів 3-Б класу високий
показник було виявлено у 20%, середній у 36%, низький - у 5%.
Отже, звідси видно, що основна частина учнів мають середній
та високий показник розвитку вольових якостей. При цьому існує відмінність між
двома класами. Так у 3-Б класі показники вищі і, відповідно, вони відображають
кращий розвиток вольових якостей у представників даного класу.
Методика «Соціальна сміливість» показала такі результати.
Отримані бали у школярів найчастіше мають середній рівень вираженості оскільки
їх результати близькі до середнього показника. Більшість (20 учнів) набрала 11,
14 і 13 балів. Трохи менше (16 учнів) набрало 17, 15, 10, 9, 16 балів. Найменша
кількість (3 дітей) набрали по 19, 18 і 12 балів.
Дані результати свідчать про наявність ситуацій у яких учні
не здатні проявити сміливість, проте вони говорять і те, що є інші ситуації де
процес комунікації приносить їм радість і вони активно спілкуються з іншими
людьми.
З допомогою тесту “Визначення сили волі” було виявлено, що у
3-А класі високий рівень наявний у 8% дітей, середній рівень - у 26% дітей, і
низький рівень у 3% учнів від усієї вибірки.
У 3-Б класі високий показник отримало 40% дітей, середній -
13% і низький - 10% дітей від усієї вибірки.
Загалом у всій групі досліджуваних школярів було виявлено 48%
дітей з високим показником, 39% із середнім та 13% із низьким рівнем розвитку
сили волі.
Отже, у молодших школярів, які досліджувалися є досить
сформованою така характеристика як “сила волі”. Вони, на відміну від молодших
дітей вже здатні тривалий час виконувати певну роботу без перерви і не
відволікатися доки не завершать її.
За методикою “Самооцінка треплячості” було виявлено, що жоден
учень не отримав низького балу. Навпаки 10% учнів 3-А класу мають високий
рівень, а 26% - середній рівень розвитку терплячості.
У 3-Б класі ці показники становлять 26% для високого рівня та
38% для середнього рівня розвитку терплячості. Загальні показники двох класів
становлять: 36% для високого рівня і 64% для середнього.
Ці високі бали говорять про вміння терпляче ставитися до
інших людей, а також до обставин що виникають у зовнішньому світі і які вони
або зовсім, або майже не здатні змінити. Терплячість також полягає і в
наполегливій роботі та доведенні її до кінця.
За тестом "Застенчивость" у школярів було виявлено,
що 8% досліджуваних отримали бал у межах від 0 до 2; 31% - у межах від 3 до 6;
56% - у межах від 7 до 9 балів; 5% - у межах від 10 до 13 балів; та 0% - у
межах від 14 до 16 балів.
Серед них на 3-А клас припадає 3% на проміжок 0-2 бала; 18% -
3-6; 15% - 7-9; 0% - 10-13; 0% - 14-16.
На 3-Б припадає 5% на проміжок 0-2 бала; 13% - 3-6; 41% -
7-9; 5% - 10-13; 0% - 14-16.
Найбільша кількість досліджуваних отримала результати і
діапазонах від 3 до 6 і від 7 до 9 балів.
Результат у 3, 4, 5 та 6 балів означає, що учні поєднують
власну думку з думкою оточення. У таких випадках відбувається ефективна
взаємодія оточення із особистістю.
Результат у 7, 8 і 9 балів відображає те, що учні, які їх
отримали мають певний рівень сором'язливості, але вони успішно її долають.
Отже, у дитячому віці найчастіше бувають такі вольові
порушення як безвілля, відсутність терпіння, сором'язливість та інші. І
незважаючи ще на доволі юний вік школярі, що були продіагностовані, найчастіше
отримували середні або високі бали і лише невеликий відсоток припадав на
низький рівень розвиненості тієї чи іншої якості.
Список використаних джерел
1.
Арістотель. Про душу. - Соч. : в 4-х т. - М.: Мысль, 1976.
.
Баканов Е.Н. Исследование генезиса волевого действия. Автореф. канд. дис. - М.:
МГУ, 1979. - 22с .
.
Басов М.Я. Воля как предмет функциональной психологии. - Петербург, 1922.
.
Божович Л.И. Личность и ее формирование в детском возрасте. (Психологическое
исследование.) М., «Просвещение», 1968. - 464 с.
.
Божович Л.И. Проблемы формирования личности. / Под ред. Д.И. Фельдштейна. М.:
Изд-во "Институт практической психологии", Воронеж: НПО
"МОДЭК", 1995. - Из записных книжек Л.И. Божович: соображения к
проблеме развития воли. С. 333-341.
.
Варій М.Й. Загальна психологія.: підр. [для студ. вищ. навч. закл.] / М.Й.
Варій - [3-тє вид.]. - К.: Центр учбової літератури, 2009. - 1007 с.
.
Василюк Ф.Е. Психология переживания. Анализ преодоления критических ситуаций. -
М.: МГУ, 1984.
.
Веккер Л.М. Психические процессы. В трех томах. - Л.: ЛГУ, 1981. Т.3. - Гл.
.
Выготский Л.С. СС. В шести томах. - М.: Педагогика, 1982. Т.2. - Лекция 6.
Проблема воли и ее развитие в детском возрасте. 12. Овладение собственным
поведением.
.
Выготский Л.С. СС. В шести томах. - М.: Педагогика, 1983. Т.3. - Гл. 12.
Овладение собственным поведением.
.
Основи загальної та медичної психології / За ред. І.С. Вітенка і О.С. Чабана. -
Тернопіль: Укрмедкнига, 2003. - 344 с.
.
Вундт В. Введение в психологию. М.: Космос. 1912.
.
Гиппенрейтер Ю.Б. О природе человеческой воли. // Психол. журн. - 2005. - Т.26.
№3. - С. 15-24.
.
Джемс У. Психология / Под ред. Л.А. Петровской. - М.: Педагогика, 1991.-368 с.
.
Иванников В.А. Произвольные процессы и проблема воли. // Вестник МГУ. Сер. 14.
Психология. - 1986. - №2. - С. 18-29.
.
Иванников В.А. Психологические механизмы волевой регуляции. - М.: МГУ, 1991
.
Игнатьев Е.И. Экспериментальное изучение простейших компонентов воли у
школьников // Вопросы психологии личности. М., 1960.
.
Ильин Е.П. Психология воли. - СПб.: Питер, 2000. - С. 39-43.
.
Исаев Д.Н. Психопатология детского возраста: Учебник для вузов . - СПб.:
СпецЛит, 2001.-463 с.
.
Калин В.К. Актуальные аспекты теории воли. // Эмоционально-волевая регуляция
поведения и деятельности. Тезисы 2-го Всесоюзного семинара молодых ученых.
Симферополь, 19-24 мая 1986 г. - М., 1986. - С. 120-124.
.
Калин В.К. К вопросу о волевом усилии. // Ученые записки Рязанского
пединститута. - М.: Просвещение, 1968. -.Т. 59. - С.111-129.
.
Калин В.К. Классификация волевых качеств / В.К. Калин // Эмоционально-волевая
регуляция поведения и деятельности. - Симферополь, 1983. - 215 с.
.
Кулешова О. В. Загальна та соціальна психологія [Електронний ресурс] / Кулешова
О В.
.
Леонтьев А.Н. Воля //Вестник МГУ. Сер. 14. Психология. - 1993. - №2. - С. 3-14.
.
Маклаков А.Г. Общая психология: Учебник для вузов. - СПб.: Питер, 2008. - 583
с: ил. - (Серия «Учебник для вузов»).
. Мей
Р. Любовь и воля. - М.: Ваклер, 1997. Ч.2.
.
Никандров В.В. Систематизация волевых свойств человека / В.В. Никандров //
Вестник Санкт-Петербургского университета. - 1995. - № 3. - С. 58-65.
.
Петухов С.А. К проблеме классификации волевых качеств личности // Личность и
деятельность. Тезисы доклада к V Всесоюзному съезду общества психологов. М.,
1977.
.
Платонов К.К., Голубев Г.Г. Психология. Учебник для индустриально-пед.
техникумов. М.: Высшая школа, 1973. - Гл. 9.
.
Полтев А.В. Настойчивость школьников-подростков и ее развитие в процессе
учебной деятельности: Автореф. дис. ... канд. наук. М., 1955.
.
Пуни А.Ц. О препятствиях различной степени трудности как необходимых факторах
проявления и развития воли. // Тезисы докладов на межвузовской научной
конференции по проблемам психологии воли и формирования волевых качеств
личности. - Рязань, 1964. - С.6-9.
.
Пуни А.Ц. Психологические основы волевой подготовки в спорте / А.Ц. Пуни. - М.:
Физкультура и спорт, 1977. - 96 с.
.
Пуни А.Ц. Психологические основы волевой подготовки в спорте. Учебное пособие.
- Л., 1977.
.
Рибо Т. Воля в ее нормальном и болезненном состоянии. Пер. с 8-го доп. фр.
издания под ред. В. Аболенского. - СПб., 1894. - 190с.
.
Рубинштейн С.Л. Основы общей психолоrии. - М., 1946.
.
Рубинштейн С.Л. Основы психолоrии. - М., 1935.
.
Рувинский Л.И., Хохлов С.И. Как воспитывать волю и характер. - М.: Просвещение,
1986.
.
Загальна психологія: навч. посіб. / М.В. Савчин. - К.: Академвидав, 2011. - 464
с.
.
Селиванов В.И. Волевая регуляция активности личности. // Психол. журн.- 1982.
-Т. 3. - №4.-С. 14-25.
.
Селиванов В.И. Воля и ее воспитание / В.И. Селиванов - М.: Знание, 1976. -63 с.
.
Селиванов В.И. Вопросы воли в советской психологии. //Вопросы психологии и
педагогики воли. / Под ред. В.И. Селиванова. - Краснодар, 1969. - С. 3-16.
.
Селиванов В.И. Воспитание воли в условиях соединения обучения с
производственным трудом. - М.: Высшая школа, 1980. - С. 13-21
.
Селиванов В.И. Воспитание воли школьника. 2-е изд. М.: МП СССР,1954.
.
Селиванов В.И. Избранные психологические произведения: воля, её развитие и
воспитание / В.И. Селиванов. - Рязань: Изд. Рязанского гос. пед. института,
1992. - 572 с.
.
Селиванов В.И. Психология волевой активности. Лекции по спецкурсу. - Рязань,
1974.
.
Сеченов И.М. Избр. Произв. Изд. 2 Т.1, М., 1985, с. 255-256
.
Симонов П.В. О филогенетических предпосылках воли. //Вопросы психологии. -
1971. - №4. - С. 84-88.
.
Загальна психологія: Підручник / О.В. Скрипченко, Л.В. Долинська, З.В.
Огороднійчук та ін. - К.: Каравела, 2009. - 464 с.
.
Смирнова Е.О. Развитие воли и произвольности в раннем онтогенезе. //Вопросы
психологии. - 1990. - № 3. - С. 49-54.
.
Франкл В. Человек в поисках смысла. - М.: Прогресс, 1990.
.
Чхартишвили Ш.Н. Проблема воли в психологии. //Вопросы психологии. - 1967. -
№.4. - С. 72-81.
.
Шамлян К.М. Вольовий потенціал особистості в умовах соціальних трансформацій /
К.М. Шамлян // Вісник Одеського національного університету. Психологія, 2012.
Т. 17, Вип. 8.-С.660-667
.
Шмаков А.В. Воля как активно-личностная форма отражения действительности:
Автореф. канд. дис., М., 1972. 19 с.
.
Ярошевский М.Г. История психологии. - М., 1976.
.
Ярошевский М.Г. Сеченов и мировая психологическая мысль. - М., 1981.
.
Лекція № 13 [Електронний ресурс]
.
Психологическая характеристика волевых действий [Електронний ресурс]
ДОДАТОК А
Методика: Дослідження розвитку вольових якостей
Інструкція досліджуваному: Запропонований Вам опитувальник має
18 запитань. До кожного з них дано шкалу відповідей. Уважно прочитайте запитання
і в бланку для відповідей напишіть ту літеру, яка найбільше відповідає Вашій
поведінці. Перевагу надавайте тій відповіді, яка перша спала Вам на думку.
Бланк для відповідей
Дата
Час
|
№п/п
|
Відповідь
|
№п/п
|
Відповідь
|
№п/п
|
Відповідь
|
|
1.
|
|
7.
|
|
13
|
|
|
2.
|
|
8.
|
|
14.
|
|
|
3.
|
|
9.
|
|
15.
|
|
|
4.
|
|
10.
|
|
16.
|
|
|
5.
|
|
11.
|
|
17.
|
|
|
6.
|
|
12.
|
|
18.
|
|
Опитувальник
1. Чи робите Ви вранці зарядку?
а) регулярно;
б) час від часу;
в) не роблю.
2. Чи відстоюєте свою думку перед товаришами та дорослими?
а) завжди;
б) іноді, але не завжди вдається;
в) не намагаюся відстояти.
. Чи вмієте Ви володіти своїми почуттями (долати
розгубленість, страх та ін.)?
а) у будь-якій ситуації;
б) не завжди, залежно від ситуації;
в) не вмію.
. На зборах Ви висловлюєте свою думку, критикуєте недоліки?
а) завжди, коли є своя думка;
б) іноді висловлюю;
в) ніколи.
. Чи буває таке, що невдалі спроби розв’язати завдання,
зробити вправи та ін. мобілізують Вас на досягнення поставленої мети?
а) завжди мобілізують;
б) іноді примушують;
в) практично ніколи.
. До якої міри сформовані у Вас основні побутові навички:
прибирання постелі, підтримання охайності в кімнаті, дотримання основних вимог
до зовнішнього вигляду?
а) в основному сформовані досить стало: регулярно прибираю
постіль, підтримую порядок у кімнаті, охайний щодо одягу;
б) сформовані, але не досить стало;
в) не сформовані.
. Чи здатні Ви самі, без зовнішнього примусу, організувати
свій час?
а) здатен;
б) роблю це нерегулярно;
в) практично ніколи цього не роблю.
. Чи можете Ви без нагадувань сісти за домашні завдання?
а) практично завжди;
б) тільки іноді;
в) практично ніколи цього не роблю.
.Чи здатні Ви протягом кількох тижнів або навіть місяців
займатися якоюсь справою?
а) здатний;
б) здатний лише зрідка;
в) не здатний.
. Чи виявляється у Вас інтерес до самовиховання?
а) досить чітко виявляється;
б) виявляється, але час від часу;
в) не виявляється.
. Чи займаєтеся самовихованням?
а) регулярно намагаюся;
б) час від часу;
в) не займаюся.
. Чи є у Вас якась програма самовиховання?
а) є;
б) певної програми немає, але є деякі накреслення;
в) ніякої програми немає.
. Чи властива Вам звичка доводити свої справи до кінця?
а) так;
б) не всі справи доводжу до кінця;
в) дуже зрідка доводжу до кінця.
.Чи плануєте Ви свій вільний час (особливо на неділю, в
канікули) чи дієте, як вдається?
а) найчастіше планую;
б) планую іноді;
в) практично ніколи не планую.
.Чи вмієте Ви стримувати свої почуття?
а) в основному вмію;
б) інколи не стримуюся;
в) як правило, не стримуюся.
. Чи вмієте Ви серйозно та відповідально виконувати завдання,
яке самі вважаєте важливим?
а) як правило, вмію;
б) не завжди вмію;
в) не вмію.
. Чи намагаєтеся Ви визначити для себе серйозну життєву мету
(вибір професії, оволодіння важливими трудовими навичками)?
а) так;
б) намагаюся, але тільки час від часу;
в) не намагаюся.
. Якщо маєте якусь серйозну мету, чи робите щось за для її
здійснення?
а) роблю;
б) роблю дуже мало;
в) нічого не роблю.
ДОДАТОК Б
Методика «Соціальна сміливість»
Дана методика є фрагментом методики багатофакторного
дослідження особистості Р. Кеттелла (фактор Н).
Текст опитувальника:
. При спілкуванні з людьми я:
· а) з готовністю вступаю в розмову;
· б) щось середнє;
· в) віддаю перевагу спокійно
залишатися осторонь.
2. Я відчуваю себе трохи не по собі, якщо несподівано
опиняюся в центрі уваги групи людей:
· а) так;
· б) щось середнє;
· в) немає.
3. Я завжди радий опинитися серед людей, наприклад в гостях,
на танцях, на який-небудь колективній зустрічі:
· а) так;
· б) щось середнє;
· в) немає.
4. Зазвичай я мовчу у присутності старших за віком, досвідом
і положенню:
· а) так;
· б) щось середнє;
· в) немає.
5. Мені важко говорити чи декламувати перед великою групою
людей:
· а) так;
· б) щось середнє;
· в) немає.
6. Хвилювання перед виступом в присутності багатьох людей я
відчував:
· а) досить часто;
· б) іноді;
· в) майже ніколи.
7. Коли я перебуваю у великій групі людей, то я віддаю
перевагу мовчати і надаю слово іншим:
· а) так;
· б) щось середнє;
· в) немає.
8. Мені легко вступити в контакт з людьми під час різних громадських
заходів:
· а) вірно;
· б) не впевнений;
· в) невірно.
9. Коли потрібно небагато дипломатії та вміння переконати
людей що-небудь зробити, про це зазвичай просять мене:
· а) вірно;
· б) не впевнений;
· в) невірно.
10. Я вважаю себе відкритим товариською людиною:
· а) так;
· б) щось середнє;
· в) немає.
11. У спілкуванні я:
· а) вільно проявляю свої почуття;
· б) щось середнє;
· в) тримаю свої переживання «про
себе».
12. Мені не дуже подобається, коли дивляться, як я працюю:
· а) так;
· б) щось середнє;
· в) немає.
13. Я належу до типу енергійних людей, які завжди зайняті:
· а) так;
· б) не впевнений;
· в) немає.
ДОДАТОК В
Тест “Визначення сили волі”
Інструкція:Вам потрібно прочитати судження і дати відповідь
так чи ні.
. Чи в стані ви завершити розпочату роботу, яка Вам не цікава
відразу, незалежно від того, що і обставини дозволяють Вам відірватися, а потім
продовжити?
. Чи можете Ви без особливих зусиль подолати внутрішнє
протистояння, коли вам потрібно зробити щось неприємне (наприклад прийти на
навчання у вихідний день)?
. Коли потрапляєте у конфліктну ситуацію - у навчанні або у
побуті - чи в змозі Ви взяти себе в руки настільки, щоб подивитися на ситуацію
без надмірної емоційності, свідомо, з максимальною об’єктивністю?
. Якщо Вам прописали дієту, чи зможете Ви подолати спокусу
заборонених продуктів?
. Чи знайдете Ви в собі сили встати вранці раніше звичайного,
як було заплановано ввечері?
. Чи залишитися Ви на місці трагічної події для того, щоб
дати свідчення?
. Ви швидко відповідаєте на листи?
. Якщо у Вас виникає страх перельоту на літаку чи
відвідування стоматологічного кабінету, чи зможете Ви без особливих зусиль
подолати це відчуття і в осатаній момент не змінити свого рішення?
. Чи зможете Ви приймати дуже неприємні ліки, які Вам наполегливо
рекомендують лікарі?
. Чи виконуєте Ви поспішно дану обіцянку, навіть якщо її
виконання принесе Вам немало клопоту, іншими словами, чи є Ви людина слова?
. Чи без коливання Ви вирушаєте у відрядження в незнайоме
місце?
. Чи чітко Ви дотримуєтесь розпорядку дня: часу пробудження,
прийняття їжі, навчання, прибирання та інших справ?
. Чи критично Ви ставитеся до бібліотечних заборгованостей?
. Навіть найцікавіша телепередача не змусить Вас відкласти
термінову і важливу роботу. Так це чи ні?
. Чи зможете Ви припинити сварку і промовчати, хоч якими б
образливими Вам здалися слова опонента?
ДОДАТОК Г
Методика Е.П. Ільїна та Є.К. Фещенко «Самооцінка терплячості»
Інструкція: дайте відповідь, чи згодні ви з запропонованими вам
твердженнями. Якщо згодні, то поряд поставте знак «+», якщо ні, то знак «-». Текст
опитувальника
. Якщо я втомлююся при виконанні важкої роботи, то відразу її
кидаю
. У мене не вистачає терпіння дочитати до кінця нудний
розповідь
. Я дуже не люблю стояти в довгих чергах і часто йду з них,
не достояв до кінця
. Я можу довго терпіти біль, наприклад, коли болить зуб
. Зазвичай я можу довго переносити спрагу
. Я б не витерпів тривалого голодування, наприклад, щоб
схуднути, вилікуватися від хвороби
. Коли на уроці фізкультури я втомлююся, то швидко перестаю
виконувати вправи
. Я рідко кидаю нудну роботу, не довівши її до кінця
. Зазвичай мені важко змусити себе працювати «через не можу»
. Я не кидаю роботу на половині шляху, не дивлячись на втому
. Мені подобається така фізична робота, в якій я повинен
пересилити себе, щоб виконати завдання
. Я з упевненістю можу сказати, що я терплячий
. Незважаючи на втому, я намагаюся з усіх сил підтримати при
бігу високий темп
. Мене дратує, коли на зупинці доводиться довго чекати
транспорт, навіть коли я не поспішаю
. Я терплячий до болю
. Я не хочу вважати себе слабовільним, тому кожен раз
намагаюся довести важку фізичну роботу до кінця
. Я дію за принципом: «Узявся за гуж, не кажи, що не дуж»
. Я не вважаю, що «терпіння і труд все перетруть»: працювати
треба з розумом, а не перевтомлюватися
ДОДАТОК Д
Тест
«Сором’язливість»
Инструкція. Отвечайте на вопросы "да" или "нет".
А
. Если мой наряд на вечеринке разительно отличается от одежды
остальных, я почувствую себя неловко.
. Мне будет неприятно, если кто-то захочет почитать мой
дневник или личную переписку.
. Мне трудно решиться пригласить кого-то на ужин, так как я
боюсь услышать отказ.
. Если меня пригласят принять участие в незнакомой игре, я,
скорее всего, откажусь.
. Опоздав на собрание, я не осмелюсь войти в помещение,
потому что взгляды всех присутствующих устремятся на меня.
. Выступая перед аудиторией, я не смогу оторвать взгляд от
заранее подготовленного текста, даже если прекрасно знакома с темой доклада.
. В гимнастическом зале или на танцах я обычно скромно стою у
стенки, стесняясь собственной неповоротливости.
. Я избегаю рассказывать анекдоты или смешные истории.
Заметив, что меня внимательно слушают, я обычно смущаюсь и теряю нить
повествования.
Б
. Когда я на кого-то зла, я всегда даю ему это понять.
. Мне доставляет удовольствие показываться в общественных
местах в новой модной одежде.
. Неудовольствием принимаю участие в соревнованиях вне
зависимости от уровня моей подготовки.
. Если после лекции что-то все же осталось непонятным, я попрошу
преподавателя объяснить еще раз.
. На пляже или в бассейне я без малейшего стеснения облачаюсь
в купальный костюм.
. Когда на уроке танцев или в спортивном клубе тренер
выбирает партнера, чтобы продемонстрировать упражнение, я всегда надеюсь, что он
обратит внимание на меня.
. Я с удовольствием слушаю отзывы других о моей работе.
. Став объектом шутки, я всегда посмеюсь вместе со всеми и
нисколько не обижусь.
Сосчитайте количество положительных ответов из блока А и
отрицательных из блока Б. Сложите полученные числа - это и есть показатель
уровня вашей застенчивости.
Додаток Е
Зведена таблиця даних