Агрессивное поведение детей

  • Вид работы:
    Курсовая работа (т)
  • Предмет:
    Психология
  • Язык:
    Русский
    ,
    Формат файла:
    MS Word
    99,06 Кб
  • Опубликовано:
    2015-05-07
Вы можете узнать стоимость помощи в написании студенческой работы.
Помощь в написании работы, которую точно примут!

Агрессивное поведение детей

Введение

агрессия ребенок поведение

В последнее время тема агрессии стала едва ли не самой популярной в мировой психологии. Ей посвящено множество исследования. В Европе и Америке регулярными стали международные конференции, симпозиумы и семинары по этой проблематике. Очевидно, это не мода, а скорее, реакция психологов на беспрецедентный рост агрессии и насилия в цивилизованном двадцатом веке. Реакция адекватная и своевременная.

Пока трудно сказать, привело ли значительное количество исследований и публикаций по этой теме к появлени нового качества, к новому, более глубокому и непротиворечивому понимани сущности агрессивного поведения человека. Проблема агрессии изучается не только психологией, но и другими науками с их специфичными системами методов.

Однако можно констатировать, что на сегодняшний день наиболее впечатлящие результаты в изучении природы и механизмов агрессивного поведения человека достигнуты именно в психологической науке [2, 60-67].

Сама по себе тема "детской агрессивности" долгое время была закрыта и поэтому не получила должной разработки в отечественной психологии. Даже в настоящее время публикации на эту тему немногочисленны и представлят собой главным образом обзор зарубежных исследований.

Еще более малочисленны исследования агрессивности у детей дошкольного возраста. Можно с уверенность сказать, что тема агрессии в дошкольном возрасте, не потеряет своей актуальности и в будущем, т.к. первые годы жизни являтся периодом наиболее интенсивного физического и нравственного развития. И от того, в каких условиях оно будет протекать, во многом зависит будущее ребенка

Напряженная, неустойчивая социальная, экономическая, экологическая обстановка, сложившаяся в настоящее время в нашей стране, обуславливает рост различных отклонений в личностном развитии и поведении детей. Среди них особу тревогу вызывает не только прогрессирущая отчужденность, повышенная тревожность, духовная опустошенность детей, но и их цинизм, жестокость, агрессивность.

В целом же агрессивные проявления или же построенное ожидание подобного от окружащих ограничивает активность ребенка, усиливает его тревожность, формирует заниженну или компенсированну самооценку. Агрессивных детей, равно как и детей, опасащихся агрессии, относят к группе риска.

Поведение в детстве позволяет, по мнению многих исследователей, достаточно надежно предсказывать поведение в зрелые годы. Следовательно, коррекция ранних проявлений агрессивности, научения адекватным социальным навыкам межличностного общения является одной из важнейших задач практической психологии. Все это определило выбор темы курсового исследования.

Цель настоящей работы - изучить влияние психологических особенностей агрессивного поведения у детей дошкольного возраста.

Объект исследования: агрессивное поведение у детей дошкольного возраста.

Предмет исследования: Исходя из цели исследования, были определены следущие задачи:

) анализ литературы по проблемам агрессивности в детском возрасте;

) выбор методов и методик для выявления агрессии у старших дошкольников;

) проведение исследований на агрессивность у детей;

) выявление путей преодоления агрессивности у детей старшего дошкольного возраста

На разных этапах работы были использованы различные методы психологического исследования: анализ психолого-педагогической литературы; наблюдение; беседа; тестирование.

Методологической основой настоящего исследования являтся основные положения возрастной и педагогической психологии, представленные в работах отечественных и зарубежных психологов.

В выборочну совокупность вошли 10 детей, 6-ти лет, детский сад № 52 Практическая значимость работы состоит в том, что были изучены семьи испытуемых детей дошкольного возраста; в результате проведенных исследований выявлены формы агрессии, разработаны коррекционные упражнения, направленные на гармонизаци детско-родительских отношений и на снижение агрессивного поведения у детей дошкольного возраста














Глава I. Изучение агрессивного поведения в науке

.1 Основные подходы к изучени агрессивного поведения в науке

Специфика активности человека состоит в том, что она проистекает во взаимодействии с другими людьми или предметами, произведенными ими. Одной из важнейших характеристик действий и поступков, определящих устанавливаемые взаимоотношения между людьми, а также эффективность индивидуального личностного развития, является агрессивность

Агрессивность - устойчивая черта личности, готовность к агрессивному поведени. Ее уровни определятся как научением в процессе социализации, так и ориентацией на культурно-социальные нормы, важные из которых - нормы социальной ответственности и нормы возмездия за акты агрессии. Важная роль принадлежит и таким ситуативным переменным: истолковани намерений окружащих, возможности получения связи обратной, провоцирущему влияни оружия.

Агрессивность - одна из врожденных установок, коренящаяся в садистической фазе либидо. Выражается в стремлении к наступательным или насильственным действиям, направленным на нанесение ущерба или на уничтожение объекта наступления.

Одним из проявлений агрессивности личности является агрессия, которая рассматривается нами как поведение или действие, направленное на нанесение физического или психического вреда.

Агрессия - это лбая форма поведения, нацеленная на оскорбление или причинение вреда другому живому существу, не желащему подобного обращения». Это определение вклчает в себя следущие положения:

)        агрессия всегда подразумевает преднамеренное, целенаправленное причинение вреда жертве;

)        в качестве агрессии может рассматриваться только такое поведение, которое подразумевает причинение вреда или ущерба живым организмам;

)        жертвы должны обладать мотивацией избегания подобного с собой обращения

В современной науке, с одной стороны, имется биологические данные о существовании механизмов, участвущих в агрессивном поведении, а с другой стороны - результаты исследований говорят о первостепенной роли факторов в развитии агрессивности. Попытки решения этой проблемы были сделаны в разное время рядом видных ученых, представлящих различные направления психологической науки.

Самое раннее и возможно наиболее известное теоретическое положение, имещее отношение к агрессии - это то, согласно которому данное поведение по своей природе преимущественно инстинктивное. Согласно этому подходу агрессия возникает, потому что человеческие чувства генетически или конституционально запрограммированы на подобные действия. Агрессия как инстинктивное поведение рассматривалась в психоаналитическом подходе.

Зигмунд Фрейд первоначально уделял феномену агрессии сравнительно мало внимания, считая сексуальность (либидо) и инстинкт самосохранения главными и преобладащими силами в человеке. Однако в 20-е годы прошлого века он полность отказывается от этих представлений. В работе «Я и Оно» , а также во всех последущих трудах он выдвигает нову дихотомическу пару: влечение к жизни (Эрос) и влечение к смерти (Танатос).

Инстинкт смерти направлен против самого живого организма и потому является инстинктом либо саморазрушения, либо разрушения другого индивида (в случае направленности вовне). Из гипотезы влечения к смерти следует, что агрессивность по сути своей является не реакцией на раздражение, а представляет собой некий постоянно присутствущий в организме импульс, обусловленный самой природой человека.

Противоречие между инстинктом жизни и инстинктом смерти ставит человека перед лицом трагической альтернативы: если он не может решиться стать агрессивным, дать выход своей враждебности, то ему остается заболеть. Фрейд прямо указывал, что сдерживание агрессивности вообще вредно и ведет к заболевани.

Однако, будучи гуманистом, Фрейд не мог согласиться со столь пессимистическими выводами собственных теоретических построений. Он пытался обосновать преобразование агрессивного инстинкта в совесть: «Агрессия интроецируется, переносится внутрь, возвращается туда, где она, возникла, и направляется против собственного «Я». Там она перехватывается той часть «Я», которая противостоит остальным частям как «Сверх-Я», и теперь в виде совести использует против «Я» ту же готовность к агрессии, котору «Я» охотно удовлетворило бы на других чуждых ему индивидах. Напряжение между усилившимся «Сверх-Я» и подчиненным ему «Я» мы называем сознанием вины, которое проявляется как потребность в наказании.

Однако непонятно, почему преобразование агрессивности в каращу самого себя совесть может решить проблему. Ведь в соответствии с теорией Фрейда совесть должна быть столь же жестокой, как и инстинкт смерти.

Теория совести как проявление инстинкта смерти - не единственная попытка Фрейда смягчить понимание трагической альтернативы. Он пытался также обосновать возможность перенаправленности инстинкта агрессивности на объекты, дащие возможность удовлетворять жизненные потребности и властвовать над природой. Однако в этом случае мы сталкиваемся скорее с созидательным инстинктом - инстинктом жизни, чем с сублимированной агрессивность.

Фрейд так и не смог решить важный для него вопрос об относительной силе инстинктов. Сейчас вопрос решается экспериментально. Показано, что при инсулиновой коме у испытуемых агрессия (оборонительный инстинкт) угасает позже сексуального и пищевого.

Теория Фрейда внутренне противоречива по той причине, что инстинкт смерти не соответствует представлени самого Фрейда об инстинктах. В теле нет специальной зоны, из которой он проистекает, как это наблюдается для либидо. К тому же медленное угасание жизни вовсе не тождественно разрушительности. Таким образом, инстинкт смерти не имеет под собой биологической основы и не соответствует определени инстинкта вообще.

Это привело к тому, что многие психоаналитики так и не приняли нову теори, а некоторые трактовали ее по-своему, часто весьма свободно. Однако это была первая стройная теория, которая одновременно рассматривала влияние на человеческу агрессивность и внутренних подсознательных влечений в виде инстинкта смерти, и влияния социального окружения (культуры, воспитания, семейного окружения) посредством формирования «Сверх-Я».

Продолжателем идей З. Фрейда явилась его дочь А. Фрейд, уделившая большое внимание проблемам детской агрессивности. На богатейшем клиническом материале А. Фрейд конкретизировала основные положения классического психоанализа о детском развитии , обогатив их психоаналитическим учением о сознании или, в терминологии А. Фрейд, психологическом «Я» ребенка.

А. Фрейд описывает различные формы детской агрессивности. Так, для самых маленьких детей характерна оральная агрессивность. В этом возрасте наблюдается просто моторно-аффективный процесс отвода инстинктивных побуждений. Подобные проявления агрессивности исчезат сами по себе в процессе созревания сознания ребенка и появления других возможностей отвода, в частности, речи.

Всплеск агрессивности наблюдается на анально - садистской стадии развития. Затем агрессивность сама по себе «связывается» и усмиряется посредством слияния с либидо, ограниченного смещения и сублимирования. Вмешательство воспитательных мероприятий в естественный отвод агрессивности может помешать этому процессу или опрокинуть его. Если ненависть или агрессия против внешнего мира не могут проявиться со всей полнотой, они направлятся обратно на собственное тело ребенка и непосредственно доступные ему предметы: ребенок бьется головой об стену, портит мебель, часто наблюдается самовредительство. В этом случае ребенку надо дать возможность направить агрессивность на внешн цель (старые ненужные вещи, игрушки и т.д.).

На следущей фаллической стадии развития бурная агрессивность и утрирование мужского поведения могут выражаться в виде приступов ярости, на самом деле являщихся приступами страха, когда фобическим детям мешат осуществить их защитные действия. Такие состояния могут быть ликвидированы двумя способами: либо избеганием состояний, вызыващих страх, либо путем аналитической работы (нахождение, толкование и разрешение причины страха).

А. Фрейд утверждает, что агрессивность, если она вступает в нормальные взаимоотношения с либидо, влият на социализаци ребенка не сдерживаще, а побуждаще. Только там, где смешение между либидо и агрессивность не происходит или где позднее происходит их расслоение, агрессивность в качестве чистой агрессивности и антисоциальной тенденции становится угрозой социального поведения. Подробно ее концепция рассмотрена в работе Я. Л. Обухова

Возникащие в раннем детстве агрессивные действия ребенка (удары, приступы ярости, взрывы гнева и бешенства, неожиданные проявления внезапного упрямства и навязчивости) привлекли внимание исследователей детского развития Д. Б. Эльконина, Е. И. Рогова

Особого внимания, заслуживает работа известного психоаналитика и философа Э. Фромма «Анатомия человеческой деструктивности», которая посвящена исследовани истоков человеческой агрессивности. Разрушительное в человеке философски переосмыслено автором как проблема зла в индивиде, в социуме, в истории, в жизни человеческого рода.

Э.Фромм различает у человека «два совершенно разных вида агрессии. Первый вид, общий и для человека, и для всех животных, - это филогенетически заложенный импульс к атаке (или к бегству) в ситуации, когда возникает угроза жизни. Это оборонительная, «доброкачественная» агрессия служит делу выживания индивида и рода; она имеет биологические формы проявления и затухает, как только исчезает опасность.

Другой вид представляет «злокачественная» агрессия - это деструктивность и жестокость, которые свойственны только человеку и отсутствут у других млекопитащих; она не имеет филогенетической программы, не служит биологическому приспособлени и не имеет никакой цели». Если доброкачественная агрессия основана на инстинктивном влечении, то «деструктивность и жестокость - не инстинктивные влечения, а страсти, которые корнями уходят в целостну структуру человеческого бытия».Э.Фромм подчеркивает, что человеческие страсти коренятся в характере и соответствут экзистенциальным потребностям человека, которые определятся специфическими особенностями его существования. Инстинкт же - это ответ на физиологические потребности.

Однако даже доброкачественная оборонительная агрессия человека отличается от таковой у животного. Причину этого Э.Фромм видит в специфических условиях человеческого существования, а именно:

) животное воспринимает как угрозу только явну опасность, существущу в данный момент, а человек, обладащий даром предвидения и фантазией, реагирует не только на симинутну угрозу, но и на возможну опасность в будущем, на свое представление об опасности угрозы, т.е. чаще всего человек выдает агрессивну реакци на свой собственный прогноз;

) человек обладает не только способность сам предвидеть реальну опасность в будущем, но он еще позволяет себя уговорить, допускает, чтобы им манипулировали, руководили, убеждали; он готов увидеть опасность там, где ее действительно нет; только у человека можно вызвать оборонительну агресси методом «промывания мозгов»;

) дополнительное усиление оборонительной агрессии человека в сравнении с животным вызвано тем, что сфера витальных интересов у него гораздо шире, чем у зверя; человеку для выживания необходимы не только физические, но и психические условия, а именно, сохранение своей ценностной ориентации; если человек обнаруживает идеи, которые ставят под сомнение его ценностные ориентиры, он прореагирует на эти идеи как на угрозу своим жизненно важным интересам.

Важнейшим витальным интересом человека Фромм считает потребность в свободе и рассматривает ее как биологическу реакци человеческого организма. Под свободой он понимает не отсутствие, каких бы то ни было ограничений; все дело в том, кому это ограничение выгодно - какому-то одному лицу или учреждени, или же оно необходимо для роста и развития самой структуры личности. Опасность лишиться свободы вызывает мощну оборонительну агресси.

К современным представлениям психоаналитического подхода относится работа американского психолога Г. Паренса «Агрессия наших детей». В своей работе он подробно рассматривает проблему агрессивности детей. Г. Паренс выделяет две формы детской агрессии. Недеструктивная, т.е. настойчивое, невраждебное самозащитное поведение, направленное на достижение цели и тренировку. Эта форма вызывается врожденными механизмами, служащими для адаптации к среде, удовлетворени желаний.

Эти механизмы наличествут и функционирут с самого рождения. Другая форма агрессии - враждебная деструктивность, т.е. злобное, причинящее боль окружащим поведение.

Враждебная деструктивность, в отличие от недеструктивной агрессии, не появляется сразу после рождения. Однако Г. Паренс считает, что механизм ее мобилизации существует с самого начала жизни ребенка. Враждебная деструктивность вызывается и активизируется в результате сильных неприятных переживаний (чрезмерная боль или дистресс).

С точки зрения Паренса основной причиной возникновения враждебности в раннем возрасте, а затем перехода ее в ненависть, злость, ярость, является «переживание чрезмерного неудовольствия». Предотвращение подобных переживаний прямой путь к снижени уровня враждебности в поведении ребенка. Фрустрационная теория агрессии была опубликована в 1939 г. группой психологов Йельского университета США во главе с Д. Доллардом и положила начало интенсивным экспериментальным исследованиям агрессии.

Согласно этой теории, возникновение агрессивного поведения всегда обусловлено наличием фрустрации, и наоборот, наличие фрустрации всегда влечет за собой каку-нибудь форму агрессивности. Агрессия в рамках данной теории определяется как «аþкт, цеþль коþтоþроþгоþ являеþтся вреþд неþкоþтоþроþй личноþсти или оþбъеþкту», аþ фрустраþция каþк «услоþвиеþ, коþтоþроþеþ воþзникаþеþт, коþгдаþ цеþлеþнаþпраþвлеþнныеþ реþаþкции испытываþт поþмеþхи».

Утвеþрждеþниеþ оþб оþдноþзнаþчноþм оþтноþшеþнии меþжду аþгреþссиеþй и фрустраþциеþй вызваþлоþ критику, и ужеþ в 1941 г. оþдин из соþаþвтоþроþв теþоþрии Н. Миллеþр оþпубликоþваþл неþскоþлькоþ видоþизмеþнеþнну коþнцеþпци, сдеþлаþв доþпущеþниеþ, чтоþ фрустраþция моþжеþт вызваþть мноþжеþствоþ раþзличных реþаþкций и чтоþ аþгреþссивноþсть еþсть лишь оþднаþ из них. Вмеþстоþ оþпеþраþциоþнноþй оþпреþдеþляеþмоþй аþгреþссии оþн ввеþл поþнятиеþ «проþвоþкаþция аþгреþссии», в заþвисимоþсти оþт силы, коþтоþроþй аþгреþссия моþглаþ быть либоþ наþблюдаþеþмоþй, либоþ неþт.

Знаþчитеþльный вклаþд в раþзвитиеþ теþоþрии фрустраþции внеþсли раþбоþты С. Роþзеþнцвеþйгаþ.

В коþнцеþпции С. Роþзеþнцвеþйгаþ поþнятиеþ фрустраþции раþзраþбоþтаþноþ наþибоþлеþеþ поþдроþбноþ: ввеþдеþноþ преþдстаþвлеþниеþ оþ фрустраþциоþнноþй тоþлеþраþнтноþсти, и соþдеþржаþтеþльных аþспеþктаþх реþаþкции чеþлоþвеþкаþ в услоþвиях фрустраþции, аþ имеþнноþ, наþпраþвлеþниеþ аþгреþссии и типеþ реþаþкции. Фрустраþциоþннаþя теþоþрия аþгреþссии поþлучилаþ боþльшоþеþ раþспроþстраþнеþниеþ, поþтоþму чтоþ являлаþсь еþдинствеþнноþй оþбщеþй теþоþриеþй аþгреþссии и наþсилия. Оþднаþкоþ исклчитеþльноþеþ внимаþниеþ к фрустраþции привеþлоþ к тоþму, чтоþ цеþлый клаþсс вреþдных раþздраþжитеþлеþй был исклчеþн из раþссмоþтреþния вмеþстеþ с коþнцеþпциеþй аþгреþссии каþк инструмеþнтаþльноþй реþаþкции. Наþ саþмоþм деþлеþ фрустраþция - этоþ лишь оþднаþ из мноþгих причин аþгреþссивноþсти. В тоþ жеþ вреþмя поþявился ряд раþбоþт, поþкаþзываþщих, чтоþ реþзультаþтоþм фрустраþции моþжеþт быть неþ тоþлькоþ аþгреþссия, ноþ и реþгреþссия поþвеþдеþния, или фиксироþваþнноþеþ стеþреþоþтипноþеþ неþаþгреþссивноþеþ поþвеþдеþнии.

Среþди соþвреþмеþнных исслеþдоþваþтеþлеþй аþгреþссивноþгоþ поþвеþдеþния, проþдоþлжаþщих раþзраþбаþтываþть фрустраþциоþнноþ - аþгреþссивну гипоþтеþзу, наþдоþ оþтмеþтить Л. Беþркоþвицаþ. Оþн ввел ноþвыеþ проþмеþжутоþчныеþ пеþреþмеþнныеþ, оþднаþ из коþтоþрых оþтноþсилаþсь к поþбуждеþни, аþ другаþя - к наþпраþвлеþнноþсти поþвеþдеþния, аþ имеþнноþ, гнеþв - эмоþциоþнаþльноþеþ воþзбуждеþниеþ в оþтвеþт наþ фрустраþци (каþк поþбудитеþльный коþмпоþнеþнт) и пускоþвыеþ раþздраþжитеþли (заþпускаþщиеþ или вызываþщиеþ реþаþкци клчеþвыеþ признаþки). Гнеþв воþзникаþеþт, коþгдаþ доþстижеþниеþ цеþлеþй, наþ коþтоþрыеþ наþпраþвлеþноþ деþйствиеþ субъеþктаþ, блоþкируеþтся извнеþ. Оþднаþкоþ саþм поþ сеþбеþ оþн еþщеþ неþ веþдеþт к поþвеþдеþни, оþпреþдеþляеþмоþму поþбуждеþниеþм даþнноþгоþ типаþ.

Чтоþбы этоþ поþвеþдеþниеþ оþсущеþствилоþсь, неþоþбхоþдимы аþдеþкваþтныеþ еþму пускоþвыеþ раþздраþжитеþли, аþ аþдеþкваþтными оþни стаþнут лишь в случаþеþ неþпоþсреþдствеþнноþй или оþпоþсреþдоþваþнноþй (наþпримеþр, устаþноþвлеþнноþй с поþмоþщь раþзмышлеþния) связи с истоþчникоþм гнеþваþ, т.еþ. с причиноþй фрустраþции . Поþзднеþеþ Л. Беþркоþвиц раþсширил и видоþизмеþнил своþ коþнцеþпци заþпускаþщеþгоþ меþхаþнизмаþ. Пускоþвоþй раþздраþжитеþль пеþреþстаþл являться неþоþбхоþдимым услоþвиеþм пеþреþхоþдаþ оþт гнеþваþ к аþгреþссии. Даþлеþеþ доþпускаþеþтся поþбуждеþниеþ к аþгреþссии раþздраþжитеþлями, связаþнными с поþдкреþплящим знаþчеþниеþм поþслеþдствиями аþгреþссивных деþйствий, иными слоþваþми, в каþчеþствеþ доþпоþлнитеþльноþй оþпоþры своþеþй коþнцеþпции Л.Беþркоþвиц привлеþкаþеþт паþраþдигму инструмеþнтаþльноþгоþ оþбуслоþвливаþния. Кроþмеþ тоþгоþ, преþдпоþлаþгаþеþтся, чтоþ поþявлеþниеþ реþлеþваþнтных аþгреþссии клчеþвых раþздраþжитеþлеþй моþжеþт поþвысить интеþнсивноþсть аþгреþссивноþгоþ деþйствия, наþпримеþр, заþмеþчаþеþмоþеþ оþружиеþ в ситуаþции, воþспринимаþеþмоþй чеþлоþвеþкоþм каþк проþвоþкаþциоþннаþя, таþк наþзываþеþмый эффеþкт оþружия.

Таþким оþбраþзоþм, теþоþрия соþциаþльноþгоþ наþучеþния Л. Беþркоþвицаþ своþдится к треþм оþсноþвным поþлоþжеþниям:

)        фрустраþция неþ оþбязаþтеþльноþ реþаþлизуеþтся в аþгреþссивных деþйствиях, ноþ оþнаþ стимулируеþт гоþтоþвноþсть к ним;даþжеþ при гоþтоþвноþсти аþгреþссия неþ воþзникаþеþт беþз наþдлеþжаþщих услоþвий;

)        выхоþд из фрустирущеþй ситуаþции с поþмоþщь аþгреþссивных деþйствий воþспитываþеþт у индивидаþ привычку к поþдоþбным деþйствиям [8].

В своþих боþлеþеþ поþздних раþбоþтаþх (1983, 1988, 1989) Беþркоþвиц пеþреþсмоþтреþл своþ оþригинаþльну теþоþри, пеþреþноþся аþкцеþнт с поþсылоþв к аþгреþссии наþ эмоþциоþнаþльныеþ и поþзнаþваþтеþльныеþ проþцеþссы, теþм саþмым, поþдчеþркнув, чтоþ имеþнноþ оþни леþжаþт в оþсноþвеþ взаþимоþсвязи фрустраþции и аþгреþссии. В соþоþтвеþтствии с еþгоþ моþдеþль оþбраþзоþваþния ноþвых коþгнитивных связеþй, фрустраþция или другиеþ аþвеþрсивныеþ стимулы (наþпримеþр, боþль, неþприятныеþ заþпаþхи, жаþраþ) проþвоþцирут аþгреþссивныеþ реþаþкции путеþм фоþрмироþваþния неþгаþтивноþгоþ аþффеþктаþ.

Оþн утвеþрждаþл, чтоþ преþпятствия проþвоþцирут аþгреþсси лишь в тоþй стеþпеþни, в каþкоþй оþни соþздаþт неþгаþтивный эффеþкт. Блоþкироþвкаþ доþстижеþния цеþли, таþким оþбраþзоþм, неþ будеþт проþбуждаþть аþгреþссии, еþсли оþнаþ неþ пеþреþживаþеþтся каþк неþприятноþеþ соþбытиеþ. В своþ оþчеþреþдь, тоþ, каþк саþм индивидуум интеþрпреþтируеþт неþгаþтивноþеþ воþздеþйствиеþ, и оþпреþдеþляеþт еþгоþ реþаþкци наþ этоþ воþздеþйствиеþ. Еþсли, наþпримеþр, чеþлоþвеþк интеþрпреþтируеþт неþприятноþеþ эмоþциоþнаþльноþеþ пеþреþживаþниеþ каþк злоþсть, тоþ у неþгоþ, скоþреþеþ всеþгоþ, проþявятся аþгреþссивныеþ теþндеþнции, аþ еþсли жеþ - каþк страþх, тоþ, скоþреþеþ всеþгоþ у неþгоþ воþзникнеþт стреþмлеþниеþ спаþстись беþгствоþм.

Баþсс укаþзаþл чеþтыреþ фаþктоþраþ, оþт коþтоþрых заþвисит силаþ аþгреþссивных привычеþк:

)        чаþстоþтаþ и интеþнсивноþсть случаþеþв, в коþтоþрых индивид был аþтаþкоþваþн, фрустрироþваþн, раþздраþжеþн. Индивиды, коþтоþрыеþ поþлучили мноþгоþ гнеþвных стимулоþв, будут боþлеþеþ веþроþятноþ реþаþгироþваþть аþгреþссивноþ, чеþм теþ, коþтоþрыеþ поþлучили их меþньшеþ;

2)      чаþстоþеþ доþстижеþниеþ успеþхаþ аþгреþссиеþй привоþдит к сильным аþтаþкущим привычкаþм; успеþх моþжеþт быть внутреþнним (реþзкоþеþ оþслаþблеþниеþ гнеþваþ) и внеþшним (устраþнеþниеþ преþпятствия или доþстижеþниеþ воþзнаþграþждеþния), выраþбоþтаþвшаþяся теþндеþнция к аþтаþкеþ моþжеþт деþлаþть неþвоþзмоþжным для индивидаþ раþзличеþниеþ ситуаþций, проþвоþцирущих и неþ проþвоþцирущих аþгреþсси;

)        культурныеþ и субкультурныеþ ноþрмы, устаþнаþвливаþеþмыеþ чеþлоþвеþкоþм, моþгут оþбеþспеþчить у неþгоþ раþзвитиеþ аþгреþссивноþсти;

)        теþмпеþраþмеþнт, аþ имеþнноþ, таþкиеþ еþгоþ соþстаþвлящиеþ, каþк импульсивноþсть, интеþнсивноþсть реþаþкций, уроþвеþнь аþктивноþсти и неþзаþвисимоþсть.

Аþ. Баþсс считаþеþт, чтоþ неþзаþвисимоþсть имеþеþт оþтноþшеþниеþ к стреþмлеþни, к саþмоþуваþжеþни и заþщитеþ оþт группоþвоþгоþ даþвлеþния. Для таþких индивидоþв сущеþствуеþт боþльшеþ раþздраþжитеþлеþй в их еþжеþднеþвных взаþимоþдеþйствиях. Ваþжным коþмпоþнеþнтоþм неþзаþвисимоþсти являеþтся теþндеþнция к неþпоþслушаþни.

Другим извеþстным преþдстаþвитеþлеþм бихеþвиоþризмаþ являеþтся Аþ. Баþндураþ. Еþгоþ поþдхоþд к проþблеþмеþ аþгреþссивноþсти оþриеþнтироþваþн в боþльшеþй стеþпеþни наþ паþраþдигму инструмеþнтаþльноþгоþ оþбуслоþвливаþния, причеþм цеþнтраþльноþеþ меþстоþ оþн оþтвоþдит наþучеþни путеþм наþблюдеþния заþ оþбраþзцоþм. Баþндураþ поþлаþгаþеþт, чтоþ еþсли воþспитаþтеþли реþбеþнкаþ (роþдитеþли, учитеþля) проþявлят аþгреþссивноþсть, тоþ и реþбеþноþк, поþдраþжаþя им, стаþнеþт аþгреþссивным. Еþсли жеþ моþдеþль будеþт наþкаþзаþнаþ заþ аþгреþссивноþсть, этоþ умеþньшит проþявлеþния аþгреþссивноþсти у реþбеþнкаþ.

Таþким оþбраþзоþм, аþгреþссивноþсть - проþдукт оþбучеþния. Оþнаþ раþзвиваþеþтся, поþддеþрживаþеþтся или умеþньшаþеþтся в реþзультаþтеþ наþблюдеþния сцеþн аþгреþссии и учеþтаþ еþеþ видимых поþслеþдствий для аþгреþссивноþгоþ чеþлоþвеþкаþ. Эмоþция гнеþваþ неþ являеþтся, поþ мнеþни Аþ. Баþндуры, ни неþоþбхоþдимым, ни доþстаþтоþчным услоþвиеþм аþгреþссии. Гнеþв преþдстаþвляеþт соþбоþй с еþгоþ тоþчки зреþния всеþгоþ лишь соþстоþяниеþ воþзбуждеþния.

Оþн считаþеþт, чтоþ всякоþеþ эмоþциоþнаþльноþеþ воþзбуждеþниеþ, идущеþеþ оþт неþгаþтивноþ воþспринимаþеþмоþй стимуляции (наþпримеþр, жаþраþ, шум и т.д.), моþжеþт влиять наþ интеþнсивноþсть аþгреþссивных деþйствий, еþсли тоþлькоþ деþйствиеþ воþоþбщеþ поþйдеþт поþ пути аþгреþссии. Хоþд таþкоþгоþ деþйствия неþ связаþн с проþстым заþпускоþм услоþвных реþаþкций, заþвисящих оþт преþдвоþсхищаþеþмых поþслеþдствий воþзмоþжных деþйствий, и никаþкоþеþ соþстоþяниеþ эмоþциоþнаþльноþгоþ воþзбуждеþния, никаþкоþй поþбудитеþльный коþмпоþнеþнт неþ являтся для неþгоþ неþоþбхоþдимыми.

Теþоþреþтичеþскаþя поþзиция Баþндуры преþдстаþвляеþт соþбоþй синтеþз теþоþрии соþциаþльноþгоþ наþучеþния и коþгнитивных теþоþрий моþтиваþции. В пеþрву оþчеþреþдь поþвеþдеþниеþ оþпреþдеþляеþтся привлеþкаþтеþльноþсть преþдвоþсхищаþеþмых поþслеþдствий деþйствий. К числу таþких реþшаþщих деþлоþ поþслеþдствий оþтноþсится неþ тоþлькоþ поþдкреþплеþниеþ соþ стоþроþны других людеþй, ноþ и саþмоþпоþдкреþплеþниеþ, заþвисящеþеþ оþт соþблюдеþния внутреþннеþ оþбязаþтеþльных для личноþсти стаþндаþртоþв поþвеþдеþния.

Поþэтоþму при оþдних и теþх жеþ оþсоþбеþнноþстях ситуаþции вмеþстоþ аþгреþссии моþжеþт быть выбраþноþ деþйствиеþ соþвеþршеþнноþ иноþгоþ типаþ, наþпримеþр, поþдчинеþниеþ, доþстижеþниеþ, оþтступлеþниеþ, коþнструктивноþеþ реþшеþниеþ проþблеþмы и т.д. Психоþлоþгичеþскаþя трудноþсть устраþнеþния аþгреþссивных деþйствий заþклчаþеþтся в тоþм, чтоþ чеþлоþвеþк, веþдущий сеþбя поþдоþбным оþбраþзоþм, леþгкоþ наþхоþдит мноþжеþствоþ раþзумных оþпраþвдаþний своþеþму поþвеþдеþни, поþлноþсть или чаþстичноþ снимаþя с сеþбя вину. Аþ. Баþндураþ выдеþлил слеþдущиеþ типичныеþ споþсоþбы оþпраþвдаþния саþмими аþгреþссоþраþми своþих деþйствий:

)        соþпоþстаþвлеþниеþ соþбствеþнноþгоþ аþгреþссивноþгоþ аþктаþ с личноþстными неþдоþстаþткаþми или поþступкаþми чеþлоþвеþкаþ, оþкаþзаþвшеþгоþся жеþртвоþй аþгреþссии, с цеþль доþкаþзаþтеþльстваþ тоþгоþ, чтоþ поþ сраþвнеþни с ними соþвеþршеþнныеþ в оþтноþшеþнии еþгоþ деþйствия неþ преþдстаþвлятся таþкими ужаþсными, каþким каþжутся наþ пеþрвый взгляд;

)        оþпраþвдаþниеþ аþгреþссии в оþтноþшеþнии другоþгоþ чеþлоþвеþкаþ каþкими-либоþ идеþоþлоþгичеþскими, реþлигиоþзными или другими соþоþбраþжеþниями, наþпримеþр, теþм, чтоþ оþнаþ соþвеþршеþнаþ из блаþгоþроþдных цеþлеþй;

)        оþтрицаþниеþ своþеþй личноþй оþтвеþтствеþнноþсти заþ соþвеþршеþнный аþгреþссивный аþкт;

)        снятиеþ с сеþбя чаþсти оþтвеþтствеþнноþсти заþ аþгреþсси ссылкоþй наþ внеþшниеþ оþбстоþятеþльстваþ или наþ тоþ, чтоþ даþнноþеþ деþйствиеþ былоþ соþвеþршеþноþ с другими людьми, поþд их даþвлеþниеþм или поþд влияниеþм слоþжившихся оþбстоþятеþльств, наþпримеþр, неþоþбхоþдимоþсти выпоþлнить чеþй-либоþ прикаþз;

)        «раþсчеþлоþвеþчиваþниеþ» жеþртвы путеþм доþкаþзаþтеþльстваþ тоþгоþ, чтоþ оþнаþ якоþбы заþслуживаþеþт таþкоþгоþ оþбраþщеþния;

)        поþстеþпеþнноþеþ смягчеþниеþ аþгреþссоþроþм своþеþй вины заþ счеþт наþхоþждеþния ноþвых аþргумеþнтоþв и оþбъяснеþний, оþпраþвдываþщих еþгоþ деþйствия.

В поþльзу коþнцеþпции соþциаþльноþгоþ наþучеþния, поþ мнеþни Аþ.Аþ. Реþаþн, гоþвоþрит тоþ, чтоþ наþибоþлеþеþ выраþжеþнныеþ раþзличия меþжду аþгреþссивными и неþаþгреþссивными деþтьми оþбнаþруживаþтся неþ в преþдпоþчтеþнии аþгреþссивных аþльтеþрнаþтив, аþ в неþзнаþнии коþнструктивных реþшеþний.

Гумаþнистичеþскоþеþ наþпраþвлеþниеþ в психоþлоþгии, преþдстаþвлеþнноþеþ в раþбоþтаþх К. Роþджеþрсаþ, Аþ. Маþслоþу, В. Фраþнклаþ и других, исслеþдуеþт и оþбъясняеþт проþявлеþния аþгреþссии в соþоþтвеþтствии соþ своþими оþсноþвными поþлоþжеþниями. Аþ. Маþслоþу в своþеþй моþноþграþфии «Моþтиваþция и личноþсть» даþл оþбстоþятеþльный аþнаþлиз проþблеþмы, являеþтся ли аþгреþссивноþсть инстинктивноþй. Наþ оþсноþваþнии даþнных зоþоþпсихоþлоþгии, деþтскоþй психоþлоþгии и аþнтроþпоþлоþгии оþн пришеþл к вывоþду оþ неþоþбоþсноþваþнноþсти теþоþрий преþдоþпреþдеþлеþнноþсти деþструктивноþсти (аþ знаþчит, и аþгреþссивноþсти) прироþдным инстинктоþм. Маþслоþу утвеþрждаþл, чтоþ оþнаþ неþ инстинкт, ноþ инстинктоþиднаþ, т.еþ. поþдоþбнаþ инстинкту, имеþеþт неþкоþтоþру прироþдну оþсноþву.

К. Роþджеþрс, раþссмаþтриваþя чеþлоþвеþкаþ каþк изнаþчаþльноþ коþнструктивноþгоþ, считаþеþт, чтоþ аþгреþссия и наþсилиеþ являтся вынуждеþнными оþтвеþтными деþйствиями индивидаþ наþ оþграþничеþниеþ еþгоþ своþбоþды, воþзмоþжноþсти выбоþраþ. Этоþ оþтвеþт оþргаþнизмаþ наþ оþпыт, коþтоþрый был воþспринят каþк угроþжаþщий, неþ соþоþтвеþтствущий преþдстаþвлеþни чеþлоþвеþкаþ оþ саþмоþм сеþбеþ. К. Роþджеþрс пишеþт: «Я знаþ, чтоþ из-заþ заþщитных реþаþкций и страþхаþ люди моþгут веþсти сеþбя жеþстоþкоþ, неþзреþлоþ, оþчеþнь раþзрушитеþльноþ, аþнтисоþциаþльноþ, причинять боþль.

Оþднаþкоþ моþй оþпыт раþбоþты с ними вдоþхноþвляеþт меþня и даþеþт мнеþ силы, таþк каþк я всеþ вреþмя убеþждаþсь в поþлоþжитеþльноþм наþпраþвлеþнии их раþзвития наþ глубинноþм уроþвнеþ тоþчноþ таþк жеþ, каþк и у всеþх наþс». Оþсноþвнаþя теþмаþ гумаþнистичеþскоþй психоþлоþгии - этоþ испоþльзоþваþниеþ внутреþннеþгоþ оþпытаþ для исслеþдоþваþния и измеþнеþния личноþсти. Стреþмлеþниеþ к аþктуаþлизаþции являеþтся оþсноþвным в поþвеþдеþнии чеþлоþвеþкаþ. Оþптимаþльноþ аþктуаþлизируясь, чеþлоþвеþк поþлноþцеþнноþ и наþсыщеþнноþ живеþт в каþждый моþмеþнт своþеþй жизни.

Соþглаþсноþ К. Роþджеþрсу, чеþлоþвеþк с саþмоþгоþ роþждеþния испытываþеþт неþоþбхоþдимоþсть в принятии сеþбя, чтоþ оþзнаþчаþеþт, беþзуслоþвноþ, поþлоþжитеþльноþеþ оþтноþшеþниеþ к неþму, признаþниеþ еþгоþ индивидуаþльноþсти. Причеþм неþоþбхоþдимоþ беþзуслоþвноþеþ принятиеþ чеþлоþвеþкаþ, каþк другими, таþк и им саþмим. Беþзуслоþвноþеþ принятиеþ сеþбя оþзнаþчаþеþт принятиеþ всеþх своþих каþчеþств каþк ноþрмаþльных неþзаþвисимоþ оþт оþцеþнки других. Еþсли жеþ чеþлоþвеþк оþриеþнтироþваþн тоþлькоþ наþ мнеþния других, оþн испытываþеþт наþпряжеþнноþсть, треþвоþгу, беþспоþкоþйствоþ поþ поþвоþду поþдоþбных оþцеþноþк. Оþн стреþмится оþпраþвдаþть их оþжидаþния и треþбоþваþния, поþэтоþму оþн ужеþ неþсвоþбоþдеþн, оþграþничеþн в воþзмоþжноþстях выбоþраþ деþйствий.

Таþким оþбраþзоþм, аþгреþссия являеþтся реþзультаþтоþм коþнфликтаþ меþжду соþбствеþнными цеþнноþстями личноþсти и внеþшними цеþнноþстями (наþрушеþниеþ коþнгруэнтноþсти). К. Роþджеþрс считаþеþт: «Еþсли мы споþсоþбны оþсвоþбоþдить индивидаþ оþт заþщитных реþаþкций, оþткрыть еþгоþ воþсприятиеþ, каþк для широþкоþгоþ кругаþ своþих соþбствеþнных нужд, таþк и для треþбоþваþний оþкружеþния и оþбщеþстваþ, моþжноþ веþрить, чтоþ еþгоþ поþслеþдущиеþ деþйствия будут поþлоþжитеþльными, соþзидаþтеþльными, проþдвигаþщими еþгоþ впеþреþд.

Неþт неþоþбхоþдимоþсти гоþвоþрить, ктоþ будеþт еþгоþ соþциаþлизироþваþть, таþк каþк оþднаþ из еþгоþ соþбствеþнных оþчеþнь глубоþких поþтреþбноþстеþй - этоþ поþтреþбноþсть в оþтноþшеþниях с другими, в оþбщеþнии. Поþ меþреþ тоþгоþ, каþк оþн будеþт всеþ боþлеþеþ стаþноþвиться саþмим соþбоþй, оþн будеþт в боþльшеþй меþреþ соþциаþлизироþваþн - в соþоþтвеþтствии с реþаþльноþсть. Неþт неþоþбхоþдимоþсти гоþвоþрить оþ тоþм, ктоþ доþлжеþн сдеþрживаþть еþгоþ аþгреþссивныеþ импульсы, таþк каþк поþ меþреþ еþгоþ оþткрытоþсти всеþм своþим импульсаþм еþгоþ поþтреþбноþсти в принятии и оþтдаþчеþ лбви будут таþкими жеþ сильными, каþк и еþгоþ импульс удаþрить или схваþтить для сеþбя. Оþн будеþт аþгреþссивеþн в ситуаþциях, гдеþ наþ саþмоþм деþлеþ доþлжнаþ быть испоþльзоþваþнаþ аþгреþссия, ноþ у неþгоþ неþ будеþт неþудеþржимоþ раþстущеþй поþтреþбноþсти в аþгреþссии».

Проþявлеþния аþгреþссии раþзличны: оþт прямоþгоþ физичеþскоþгоþ воþздеþйствия (примеþнеþниеþ силы) слоþвеþсных оþскоþрблеþний и заþпугиваþния оþппоþнеþнтаþ доþ коþсвеþнных поþпытоþк оþсущеþствить принудитеþльноþеþ упраþвлеþниеþ поþвеþдеþниеþм другоþгоþ чеþлоþвеþкаþ извеþстным проþявлеþниеþм аþгреþссии, пеþреþхоþдящеþеþ в боþлеþзнеþнноþеþ соþстоþяниеþ, неþ поþддаþщеþеþся соþциаþлизаþции. Ноþ извеþстны и таþкиеþ поþступки и деþйствия, коþтоþрыеþ оþдними учаþстникаþми группоþвоþгоþ коþнфликтаþ интеþрпреþтирутся каþк проþявлеþниеþ аþгреþссии, аþ другими - каþк аþктивноþсть, наþстоþйчивоþсть и поþслеþдоþваþтеþльноþсть в доþстижеþнии цеþлеþй.

В пеþрву оþчеþреþдь нужноþ раþздеþлить преþднаþмеþреþнну и неþпреþднаþмеþреþнну аþгреþсси. Ярким примеþроþм неþпреþднаþмеþреþнноþй аþгреþссии моþжеþт служить случаþйноþеþ раþнеþниеþ чеþлоþвеþкаþ при проþвеþркеþ оþружия или неþпроþизвоþльноþм выстреþлеþ. Исхоþдя из тоþгоþ, являеþтся ли аþгреþссия реþаþкциеþй наþ фрустраþци или неþт, слеþдуеþт раþзличаþть реþаþктивну и враþждеþбну (или споþнтаþнну) аþгреþсси. Еþсли пеþрваþя являеþтся оþтвеþтоþм наþ враþждеþбноþсть, тоþ втоþраþя воþзникаþеþт из жеþлаþния воþспреþпятствоþваþть, наþвреþдить коþму-либоþ, оþбоþйтись с кеþм-тоþ неþспраþвеþдливоþ, коþгоþ-нибудь оþскоþрбить. Реþаþктивнаþя аþгреþссия наþблюдаþеþтся в двух проþявлеþниях: каþк экспреþссивнаþя и импульсивнаþя (аþффеþктивнаþя).

Экспреþссивнаþя аþгреþссия преþдстаþвляеþт соþбоþй неþпроþизвоþльный взрыв гнеþваþ и яроþсти, неþцеþлеþнаþпраþвлеþнный и быстроþ преþкраþщаþщийся, причеþм истоþчник наþрушеþния споþкоþйствия неþ оþбязаþтеþльноþ поþдвеþргаþеþтся наþпаþдеþни. Типичным примеþроþм моþгут служить взрывы упрямстваþ маþлеþньких деþтеþй. Коþгдаþ деþйствиеþ неþ поþдкоþнтроþльноþ субъеþкту и проþтеþкаþеþт поþ типу аþффеþктаþ, гоþвоþрят оþб импульсивноþй аþгреþссии.

Оþчеþнь ваþжноþ оþтличаþть оþт пеþреþчислеþнных фоþрм аþгреþссии таþк наþзываþеþму инструмеþнтаþльну аþгреþсси. Оþнаþ всеþгдаþ наþпраþвлеþнаþ наþ доþстижеþниеþ цеþли неþйтраþльноþгоþ хаþраþктеþраþ, аþ саþмаþ аþгреþссия при этоþм испоþльзуеþтся лишь в каþчеþствеþ среþдстваþ доþстижеþния этоþй цеþли (наþпримеþр, в случаþеþ шаþнтаþжаþ, воþспитаþния путеþм наþкаþзаþния, выстреþлаþ в заþхваþтившеþгоþ заþлоþжникоþв баþндитаþ и т.д.). В своþ оþчеþреþдь, инструмеþнтаþльну аþгреþсси поþдраþздеþлят ни индивидуаþльноþ и соþциаþльноþ моþтивироþваþнну.

Моþжноþ гоþвоþрить таþкжеþ оþ своþеþкоþрыстноþй и беþскоþрыстноþй, аþнтисоþциаþльноþй и проþсоþциаþльноþй аþгреþссии. Примеþраþми моþгут служить ваþриаþнты поþвеþдеþния людеþй в случаþях, связаþнных с поþтеþрянным коþшеþлькоþм. Воþзмоþжноþ физичеþскоþеþ стоþлкноþвеþниеþ чеþлоþвеþкаþ с другим, оþкаþзаþвшимся неþчеþстным наþшеþдшим коþшеþлеþк чеþлоþвеþкоþм, раþди тоþгоþ, чтоþбы веþрнуть коþшеþлеþк хоþзяину (проþсоþциаþльнаþя инструмеþнтаþльнаþя аþгреþссия). Воþ втоþроþм случаþеþ оþн оþтбираþеþт коþшеþлеþк и оþстаþвляеþт еþгоþ сеþбеþ (аþнтисоþциаþльнаþя инструмеþнтаþльнаþя аþгреþссия). В треþтьеþм - удаþряеþт присвоþившеþгоþ коþшеþлеþк чеþлоþвеþкаþ, поþбуждаþеþмый моþраþльным неþгоþдоþваþниеþм (враþждеþбнаþя аþгреþссия).

Раþздеþлеþниеþ этоþ неþ являеþтся оþбъеþктивным и оþтраþжаþеþт тоþчку зреþния деþйствущеþгоþ субъеþктаþ, еþгоþ жеþртвы или стоþроþннеþгоþ наþблюдаþтеþля. Причеþм тоþ, чтоþ жеþртвеþ или стоþроþннеþму наþблюдаþтеþл поþкаþзаþлоþсь бы аþнтисоþциаþльным, субъеþкт деþйствия моþжеþт считаþть проþсоþциаþльным. Поþмимоþ этоþгоþ, воþзмоþжны еþщеþ и другиеþ поþдраþздеþлеþния аþгреþссии, наþпримеþр, моþжноþ гоþвоþрить оþб оþткрытоþй или заþмаþскироþваþнноþй, интраþвраþждеþбноþй или экстраþвраþждеþбноþй аþгреþссии.

Кроþмеþ преþдстаþвлеþнноþй клаþссификаþции чаþстоþ испоþльзуеþтся клаþссификаþция каþтеþгоþрий аþгреþссии, преþдлоþжеþннаþя Аþ. Баþссоþм. Поþ еþгоþ мнеþни, аþгреþссивныеþ деþйствия моþжноþ оþписаþть наþ оþсноþваþнии треþх шкаþл: физичеþскаþя - веþрбаþльнаþя; аþктивнаþя - паþссивнаþя и прямаþя - неþпрямаþя. Их коþмбинаþция даþеþт воþсеþмь воþзмоþжных каþтеþгоþрий, поþд коþтоþрыеþ поþпаþдаþеþт боþльшинствоþ аþгреþссивных деþйствий:

)        Физичеþскаþя аþгреþссия - испоþльзоþваþниеþ физичеþскоþй силы проþтив другоþгоþ лицаþ.

2)      Коþсвеþннаþя аþгреþссия - поþд этим теþрминоþм поþнимаþт каþк аþгреþсси, коþтоþраþя оþкоþльными путями наþпраþвлеþнаþ наþ другоþеþ лицоþ (сплеþтни, злоþбныеþ шутки), таþк и аþгреþсси, коþтоþраþя ни наþ коþгоþ неþ наþпраþвлеþнаþ, - взрывы яроþсти, проþявлящиеþся в крикеþ, тоþпаþнии ноþгаþми, битье кулаþкаþми поþ стоþлу. Эти взрывы хаþраþктеþризутся неþнаþпраþвлеþнноþсть и неþупоþрядоþчеþнноþсть.

)        Склоþнноþсть к раþздраþжеþни - гоþтоþвноþсть к проþявлеþни при маþлеþйшеþм воþзбуждеþнии вспыльчивоþсти, реþзкоþсти, грубоþсти.

)        Неþгаþтивизм - оþппоþзициоþннаþя меþраþ поþвеþдеþния, оþбычноþ наþпраþвлеþннаþя проþтив аþвтоþритеþтаþ или рукоþвоþдстваþ; этоþ поþвеþдеþниеþ моþжеþт наþраþстаþть оþт паþссивноþгоþ соþпроþтивлеþния доþ аþктивноþй боþрьбы проþтив устаþноþвившихся заþкоþноþв и оþбычаþеþв.

)        Оþбидаþ - заþвисть и неþнаþвисть к оþкружаþщим, оþбуслоþвлеþнныеþ чувствоþм гоþреþчи, гнеþваþ наþ веþсь мир заþ деþйствитеþльныеþ или мнимыеþ страþдаþния.

)        Поþдоþзритеþльноþсть - неþдоþвеþриеþ и оþстоþроþжноþсть поþ оþтноþшеþни к людям, оþсноþваþнныеþ наþ убеþждеþнии, чтоþ оþкружаþщиеþ наþмеþреþны причинить вреþд.

)        Веþрбаþльнаþя аþгреþссия - выраþжеþниеþ неþгаþтивных чувств каþк чеþреþз фоþрму (ссоþраþ, крик, визг), таþк и чеþреþз соþдеþржаþниеþ слоþвеþсных оþтвеþтоþв (угроþзаþ, проþклятьеþ, ругаþнь).

)        Чувствоþ вины - этаþ каþтеþгоþрия выраþжаþеþт стеþпеþнь убеþждеþния чеþлоþвеþкаþ в тоþм, чтоþ оþн являеþтся плоþхим чеþлоþвеþкоþм, соþвеþршаþщим неþпраþвильныеþ поþступки и наþличиеþ у неþгоþ угрызеþний соþвеþсти.

Э. Фроþмм раþзраþбоþтаþл своþ клаþссификаþци фоþрм аþгреþссии.

Всеþ виды аþгреþссивноþгоþ поþвеþдеþния оþн деþлит наþ дваþ типаþ: аþгреþсси доþброþкаþчеþствеþнну и злоþкаþчеþствеþнну или деþструктивноþсть. Доþброþкаþчеþствеþннаþя аþгреþссия, в своþ оþчеþреþдь, деþлится наþ псеþвдоþаþгреþсси и оþбоþроþнитеþльну аþгреþсси. Поþд псеþвдоþаþгреþссиеþй Фроþмм поþнимаþеþт «деþйствия, в реþзультаþтеþ коþтоþрых моþжеþт быть наþнеþсеþн ущеþрб, ноþ коþтоþрым неþ преþдшеþствоþваþли злыеþ наþмеþреþния».

Сдаþ оþтноþсятся преþднаþмеþреþннаþя аþгреþссия, игроþваþя аþгреþссия и аþгреþссия каþк саþмоþутвеþрждеþниеþ. Неþпреþднаþмеþреþннаþя аþгреþссия ужеþ оþбсуждаþлаþсь вышеþ. Игроþваþя аþгреþссия неþоþбхоþдимаþ в учеþбноþм треþнингеþ наþ маþстеþрствоþ, лоþвкоþсть и быстроþту реþаþкций. Оþнаþ неþ имеþеþт никаþкоþй раþзрушитеþльноþй цеþли и никаþких оþтрицаþтеþльных моþтиваþций.

Аþгреþссия каþк саþмоþутвеþрждеþниеþ являеþтся ваþжнеþйшим видоþм псеþвдоþаþгреþссии. Оþнаþ наþпраþвлеþнаþ наþ доþстижеþниеþ цеþли и неþоþбхоþдимаþ в лбоþй проþфеþссиоþнаþльноþй деþятеþльноþсти. Беþз неþеþ неþвоþзмоþжнаþ твоþрчеþскаþя аþктивноþсть. Устаþноþвлеþноþ, чтоþ тоþт, ктоþ беþспреþпятствеþнноþ моþжеþт реþаþлизоþвываþть своþ аþгреþсси саþмоþутвеþрждеþния, в цеþлоþм веþдеþт сеþбя меþнеþеþ враþждеþбноþ, чеþм тоþт, у коþгоþ оþтсутствуеþт этоþ каþчеþствоþ цеþлеþустреþмлеþнноþй наþступаþтеþльноþсти.

Оþбоþроþнитеþльнаþя аþгреþссия вклчаþеþт в сеþбя инструмеþнтаþльну, коþнфоþрмистску, реþаþкци заþщиты вытеþснеþнных влеþчеþний и фаþнтаþзий, реþаþкци наþ угроþзу наþрциссизму и заþщиту своþбоþды. Злоþкаþчеþствеþнну аþгреþсси или деþструктивноþсть Э. Фроþмм раþздеþляеþт наþ каþжущуся деþструктивноþсть, споþнтаþнну деþструктивноþсть и деþструктивный хаþраþктеþр.

Каþжущаþяся деþструктивноþсть неþ оþбуслоþвлеþнаþ страþсть к раþзрушеþни, хоþтя и привоþдит к деþструктивным деþйствиям. Сдаþ оþтноþсятся реþлигиоþзныеþ ритуаþльныеþ кроþвоþпроþлития, истинный смысл коþтоþрых укреþплеþниеþ жизни в реþзультаþтеþ культоþвых или маþгичеþских деþйствий.

.2. Причины поþявлеþния аþгреþссивноþсти в поþвеþдеþнии деþтеþй стаþршеþгоþ доþшкоþльноþгоþ воþзраþстаþ.

Стаþрший доþшкоþльный воþзраþст - этоþ, преþждеþ всеþгоþ, воþзраþстноþй кризис 7 леþт, поþдгоþтоþвкаþ и раþзреþшеþниеþ этоþгоþ кризисаþ.

Л.С. Выгоþтский наþзваþл этоþт кризис кризисоþм сеþми леþт и укаþзаþл наþ оþчеþвидныеþ измеþнеþния в хаþраþктеþреþ и поþвеþдеþнии реþбенкаþ. Поþвеþдеþниеþ реþбенкаþ теþряеþт деþтску неþпоþсреþдствеþнноþсть. Симптоþмаþми кризисаþ выступаþеþт маþнеþрничаþньеþ, кривляниеþ деþтеþй, выпоþлнящиеþ заþщитныеþ функции оþт траþвмирущих пеþреþживаþний.

В доþшкоþльноþм воþзраþстеþ реþбеноþк проþхоþдит путь оþт оþсоþзнаþния сеþбя каþк физичеþски оþтдеþльноþгоþ саþмоþстоþятеþльноþгоþ индивидаþ к оþсоþзнаþни своþих чувств и пеþреþживаþний. Эти пеþреþживаþния связаþны, преþждеþ всеþгоþ, с коþнкреþтноþй деþятеþльноþсть: "Я здоþроþвоþ рису - у меþня поþлучилоþсь саþмоþеþ круглоþеþ яблоþкоþ", "Я таþкоþй неþуклжий, всеþгдаþ споþтыкаþсь в доþгоþнялки". Реþбеноþк наþчинаþеþт оþриеþнтироþваþться в своþих чувстваþх и пеþреþживаþниях, оþтноþситься к саþмоþму сеþбеþ наþ оþсноþвеþ оþбоþбщеþния пеþреþживаþний.

Ноþ этоþ неþ еþдинствеþнныеþ признаþки наþступлеþния кризисноþгоþ пеþриоþдаþ. Другиеþ ноþвыеþ поþвеþдеþнчеþскиеþ хаþраþктеþристики, хоþроþшоþ заþмеþтны в доþмаþшнеþй ситуаþции:

)        воþзникноþвеþниеþ паþузы меþжду оþбраþщеþниеþм к реþбенку и еþгоþ оþтвеþтноþй реþаþкциеþй ("каþк будтоþ неþ слышит", "наþдоþ стоþ раþз поþвтоþрить");

)        поþявлеþниеþ оþспаþриваþния соþ стоþроþны реþбенкаþ неþоþбхоþдимоþсти выпоþлнить роþдитеþльску проþсьбу или оþтсроþчиваþниеþ вреþмеþни еþе испоþлнеþния;

)        неþпоþслушаþниеþ каþк оþткаþз оþт привычных деþл и оþбязаþнноþстеþй;

)        хитроþсть каþк наþрушеþниеþ слоþжившихся праþвил в скрытоþй фоþрмеþ (поþкаþзываþеþт моþкрыеþ руки вмеþстоþ вымытых);

)        деþмоþнстраþтивнаþя "взроþслоþсть", иноþгдаþ вплоþть доþ каþрикаþтуры, маþнеþры поþвеþдеþния;

)        оþбоþстренноþеþ внимаþниеþ к своþеþму внеþшнеþму оþблику и оþдеþждеþ, глаþвноþеþ, чтоþбы неþ выглядеþть каþк "маþлеþнький".

Встреþчаþтся и таþкиеþ проþявлеþния, каþк упрямствоþ, треþбоþваþтеþльноþсть, наþпоþминаþния оþб оþбеþщаþниях, каþпризы, оþбоþстреþннаþя реþаþкция наþ критику и оþжидаþниеþ поþхваþлы. К поþзитивным моþмеþнтаþм моþгут быть оþтнеþсеþны:

)        заþинтеþреþсоþваþнноþсть в оþбщеþнии с взроþслым и внеþсеþниеþ в неþгоþ ноþвых теþм;

саþмоþстоþятеþльноþсть в выпоþлнеþнии оþтдеþльных оþбязаþнноþстеþй, взятых наþ сеþбя поþ соþбствеþнноþму реþшеþни (неþзаþвисимоþсть оþт роþдитеþлеþй)

раþссудитеþльноþсть.

Психоþлоþгичеþский смысл этих оþсоþбеþнноþстеþй поþвеþдеþния соþстоþит в оþсоþзнаþнии праþвил, в поþвышеþнии внутреþннеþй цеþнноþстеþй саþмоþстоþятеþльноþ оþргаþнизоþваþнных саþмим реþбенкоþм деþйствий. Оþдноþ из глаþвных ноþвоþоþбраþзоþваþний - поþтреþбноþсть в соþциаþльноþм функциоþнироþваþнии, споþсоþбноþсть к заþняти знаþчимоþй соþциаþльноþй поþзиции. Оþсноþвныеþ фоþрмы поþмоþщи реþбенку в проþживаþнии трудноþстеþй кризисноþгоþ пеþриоþдаþ 7 леþт - раþзъяснеþниеþ причинных оþсноþваþний треþбоþваþний (поþчеþму наþдоþ деþлаþть чтоþ-тоþ имеþнноþ таþк, аþ неþ инаþчеþ); преþдоþстаþвлеþниеþ воþзмоþжноþстеþй оþсущеþствить ноþвыеþ фоþрмы саþмоþстоþятеþльноþй деþятеþльноþсти; наþпоþминаþниеþ оþ неþоþбхоþдимоþсти выпоþлнить поþручеþниеþ, выраþжеþниеþ увеþреþнноþсти в споþсоþбноþсти реþбенкаþ спраþвиться с ним.

Этоþт оþчеþнь слоþжный и ваþжный воþзраþст хаþраþктеþризуеþтся:

) поþдгоþтоþвкоþй к учеþбноþй деþятеþльноþсти и еþеþ наþчаþлоþм;

пеþриоþдоþм пеþреþд поþлоþвым соþзреþваþниеþм реþбенкаþ (даþлеþеþ наþчинаþтся гоþрмоþнаþльныеþ измеþнеþния в оþргаþнизмеþ).

Всеþ саþмыеþ неþоþбхоþдимыеþ измеþнеþния проþисхоþдят в 6-7 леþт: укреþпляеþтся коþстноþ-мышеþчнаþя систеþмаþ, соþзреþваþт оþпреþдеþленныеþ структуры моþзгаþ, фоþрмируеþтся неþрвнаþя систеþмаþ.

Роþдитеþли, взроþслыеþ наþчинаþт оþтноþситься к реþбенку ужеþ каþк к будущеþму шкоþльнику. Меþняеþтся реþжим дня; боþльшеþ вреþмеþни реþбеþноþк проþвоþдит, сидя заþ стоþлоþм; у неþгоþ меþньшеþ воþзмоþжноþстеþй для движеþния, проþгулоþк, игр; проþисхоþдит принятиеþ мноþжеþстваþ оþграþничеþний и устаþноþвоþк. Воþзраþстаþт треþбоþваþния роþдитеþлеþй, реþбеноþк наþчинаþеþт оþцеþниваþться взроþслыми исхоþдя из еþгоþ успеþхоþв в оþбучеþнии при поþдгоþтоþвкеþ к шкоþлеþ.

Всеþ эти измеþнеþния в оþкружеþнии реþбенкаþ проþисхоþдят оþчеþнь быстроþ, и неþ каþждый реþбеноþк споþсоþбеþн сраþзу принять их. Воþзникаþеþт соþпроþтивлеþниеþ, жеþлаþниеþ, чтоþбы все былоþ каþк преþждеþ. Аþ еþсли доþбаþвить сдаþ боþльшиеþ учеþбныеþ наþгрузки, тоþ неþудивитеþльноþ, чтоþ имеþнноþ в этоþт пеþриоþд мноþгиеþ деþти наþчинаþт выдаþваþть аþгреþссивныеþ реþаþкции: грубить, оþткаþзываþться выпоþлнять треþбоþваþния взроþслых, оþчеþнь неþрвноþ реþаþгироþваþть наþ заþмеþчаþния (злятся, раþзбраþсываþт преþдмеþты, поþртят учеþбныеþ принаþдлеþжноþсти). Аþ еþсли реþбеþноþк неþ спраþвляеþтся с проþграþммоþй поþдгоþтоþвки к шкоþлеþ (аþ еþгоþ стаþтус в группеþ воþ мноþгоþм заþвисит оþт успеþваþеþмоþсти), тоþ веþроþятноþсть раþзвития аþгреþссивноþсти увеþличиваþеþтся.

Реþбеноþк доþлжеþн умеþть взаþимоþдеþйствоþваþть соþ свеþрстникаþми, выпоþлнять треþбоþваþния воþспитаþтеþля, коþнтроþлироþваþть своþеþ поþвеþдеþниеþ. У неþгоþ поþявляеþтся оþбязаþтеþльнаþя, оþбщеþствеþнноþ знаþчимаþя, оþбщеþствеþнноþ коþнтроþлируеþмаþя деþятеþльноþсть - учеþбнаþя, оþн доþлжеþн поþдчиняться систеþмеþ еþе праþвил и неþсти оþтвеþтствеþнноþсть заþ их наþрушеþниеþ.

Оþсноþвным ноþвоþоþбраþзоþваþниеþм доþшкоþльноþгоþ деþтстваþ считаþеþтся умеþниеþ играþть в роþлеþвыеþ, сжеþтныеþ и чтоþ саþмоþеþ ваþжноþеþ для шкоþлы - в игры с праþвилаþми. Оþн моþдеþлируеþт в игреþ своþи оþтноþшеþния с оþкружаþщим мироþм, проþигрываþеþт раþзличныеþ ситуаþции - в оþдних лидируеþт, в других поþдчиняеþтся, в- треþтьих, оþсущеþствляеþт соþвмеþстну коþоþпеþраþтивну деþятеþльноþсть с другими деþтьми и взроþслым.

В оþбщеþм, стаþрший доþшкоþльный пеþриоþд доþстаþтоþчноþ оþпаþсеþн для раþзвития и заþкреþплеþния аþгреþссивноþсти. Имеþнноþ в этоþ вреþмя реþбеноþк оþбреþтаþеþт оþпреþдеþленный стаþтус среþди свеþрстникоþв и взроþслых, коþтоþрый, скоþреþеþ всеþгоþ, соþхраþнится наþ проþтяжеþнии всеþй млаþдшеþй и среþднеþй шкоþлы. И еþсли оþ коþм-либоþ у них сфоþрмируеþтся неþгаþтивноþеþ мнеþниеþ, тоþ поþмеþнять еþгоþ будеþт оþчеþнь слоþжноþ: реþбенкаþ будут драþзнить, оþбижаþть. Неþсоþоþтвеþтствиеþ жеþлаþеþмоþгоþ поþлоþжеþния реþбенкаþ в клаþссеþ еþгоþ реþаþльноþму поþлоþжеþни оþбязаþтеþльноþ вызоþвеþт у неþгоþ гнеþв, аþгреþсси.

Таþк, Еþ. Каþлягинаþ изучаþлаþ оþсоþбеþнноþсти взаþимоþдеþйствия соþ свеþрстникаþми поþпулярных и неþпоþпулярных в своþеþй группеþ доþшкоþльникоþв. Былоþ оþбнаþружеþноþ, чтоþ для поþпулярных деþтеþй наþибоþлеþеþ раþспроþстраþненным ваþриаþнтоþм поþвеþдеþния являлоþсь беþскоþнфликтноþеþ реþшеþниеþ проþблеþмы в связи с проþсьбоþй свеþрстникаþ поþдеþлиться чеþм-тоþ. Причем этоþ неþ былоþ проþстоþ ухоþдоþм оþт ситуаþции, аþ скоþреþеþ, поþпыткоþй саþмоþстоþятеþльноþгоþ еþе раþзреþшеþния, беþз оþбвинитеþльных и аþгреþссивных реþаþкций в аþдреþс свеþрстникоþв.

В проþтивоþпоþлоþжноþсть этоþму у неþпоþпулярных деþтеþй саþмым раþспроþстраþненным споþсоþбоþм поþвеþдеþния в оþтвеþт наþ проþсьбу "поþдеþлиться имущеþствоþм" былаþ прямаþя или коþсвеþннаþя аþгреþссия.

Кроþмеþ тоþгоþ, деþти в этоþм воþзраþстеþ наþчинаþт пытаþться реþшаþть проþблеþмы в своþеþм кругу" неþ прибеþгаþя к поþмоþщи и заþступничеþству взроþслых. В будущеþм фоþрмироþваþниеþ группироþвоþк воþоþбщеþ заþмеþтноþ меþняеþт аþгреþссивноþеþ поþвеþдеþниеþ шкоþльникоþв. Преþбываþниеþ в группеþ даþеþт им воþзмоþжноþсть испытать чувствоþ коþмфоþртаþ и заþщищеþнноþсти, поþвышеþния своих воþзмоþжноþстеþй. Слеþдствиеþм этогоþ бывают исчеþзноþвеþниеþ страхаþ наþкаþзаþния заþ проþявлеþниеþ аþгреþссии, оþбоþстреþнноþеþ жеþлаþниеþ утвердиться в роли поþлноþпраþвноþгоþ участникаþ событий, занять в группеþ доþстоþйноþеþ местоþ.

Ваþжноþсть этоþгоþ пеþриоþдаþ в фоþрмироþваþнии аþгреþссии ребенкаþ поþдтвеþрждаþеþтся исслеþдоþваþниями: заþфиксироþваþнаþ заþвисимоþсть между аþгреþссиеþй в 7 лет и соþвеþршенными преþступными аþгреþссивными деþйствиями в 30-леþтнеþм воþзраþстеþ. Поþэтоþму неþ слеþдуеþт испоþльзоþваþть жеþстоþкиеþ физическиеþ наþкаþзаþния в семьеþ.

Поþстоþянный коþнтроþль роþдитеþлеþй такжеþ моþжеþт раþздраþжаþть ребенкаþ. Он будет испытывать гнев, и выраþжаþть егоþ активноþ (капризы, поþстоþянноþеþ оþтвлеþчеþниеþ наþ другиеþ делаþ, грубость) или пассивноþ (поþдаþвлеþнноþсть, поþвышеþннаþя меþдлитеþльноþсть, заþбывчивоþсть). Если для доþшкоþльникаþ знаþчеþниеþ взроþслоþгоþ оþчеþнь великоþ, заþ ним оþсноþвныеþ оþцеþнки, и ему принаþдлеþжит поþслеþднеþеþ словоþ, тоþ с наþчаþлоþм шкоþльноþй жизни все меþняеþтся. Реþбеноþк стаþлкиваþеþтся с теþм, чтоþ еþгоþ поþнятия оþ спраþвеþдливоþсти моþгут раþсхоþдиться с понятиями взрослых, и все боþлеþеþ значимую роль в оþцеþнкаþх поþступкоþв, реþшеþний наþчинаþеþт играть мнениеþ свеþрстникоþв.

Из всегоþ скаþзаþнноþгоþ вовсеþ неþ слеþдуеþт, чтоþ роþдитеþли уходят из числаþ значимых для ребенкаþ людей. Он еще неþ умеþеþт реþшаþть многиеþ проþблеþмы, с коþтоþрыми стаþлкиваþеþтся каþждый деþнь, и роþдитеþль оþчеþнь неþоþбхоþдим, ваþжноþ еþгоþ мнениеþ, поþддеþржкаþ.

Теþмпеþраþмеþнтныеþ, аþктивныеþ, излишнеþ воþзбудимыеþ деþти пеþреþноþсят этоþт пеþриоþд слоþжнеþеþ: им трудноþ долгоþ сидеть, выполнять одну деþятеþльноþсть, - и этоþ скаþзываþеþтся наþ соþсреþдоþтоþчеþнноþсти, наþ усвоþеþнии маþтеþриаþлаþ. Аþ еþсли к тоþму жеþ проþграþммаþ доþстаþтоþчноþ слоþжнаþя и динаþмичнаþя, тоþ веþроþятноþсть неþрвноþй пеþреþгрузки воþзраþстаþеþт. И оþргаþнизм реþбенкаþ вклчаþеþт своþй преþдоþхраþнитеþльный меþхаþнизм: аþгреþссивноþеþ поþвеþдеþниеþ. Лишнеþеþ наþпряжеþниеþ наþхоþдит выхоþд воþвнеþ, неþ раþзрушаþя личноþсть саþмоþгоþ реþбенкаþ. Раþздраþженный роþдитеþль проþблеþму неþ реþшит, аþ лишь усугубит коþнфликт и спроþвоþцируеþт аþгреþссивноþсть реþбенкаþ.

Слеþдуеþт объяснить ребенку, чтоþ будущая учебаþ - этоþ еþгоþ оþднаþ из оþсноþвных оþбязаþнноþстеþй, и доþстаþтоþчноþ приятных, веþдь оþн будеþт поþстоþянноþ узнаþваþть чтоþ-тоþ ноþвоþеþ, наþучится деþлаþть мноþгоþ интеþреþсных веþщеþй, найдет хоþроþших друзеþй. Ноþ оþдноþвреþмеþнноþ этоþ и труд, придется воþспитываþть себя, деþлаþть веþщи, коþтоþрыеþ неþ оþчеþнь нраþвятся, ноþ беþз коþтоþрых неþ оþбоþйтись. Неþоþбхоþдимоþ признаþть праþвоþ заþ реþбенкоþм стаþть саþмоþстоþятеþльным. И таþкоþй наþстроþй оþчеþнь ваþжеþн.

Аþгреþссивноþсть доþшкоþльникоþв зависит оþт цеþлоþгоþ рядаþ фаþктоþроþв - культурных, сеþмеþйных, индивидуаþльных. Чеþм стаþршеþ реþбеноþк, теþм боþльшую роль в егоþ поþвеþдеþнии играþеþт среþдаþ воþспитаþния: эмоþциоþнаþльныеþ оþтноþшеþния, коþтоþрыеþ сущеþствуют в семьеþ, конфликты, принятыеþ формы поþвеþдеþния, реþаþкция взрослых наþ различныеþ действия ребенкаþ, принципы воþспитаþния. Соþциаþльнаþя среþдаþ большеþ воþздеþйствуеþт наþ фоþрмироþваþниеþ аþгреþссивноþсти ребенкаþ, чеþм вроþжденнаþя преþдраþспоþлоþжеþнноþсть (воþзбудимоþсть неþрвноþй системы).

Даþнноþеþ утвеþрждеþниеþ поþдтвеþрждаþеþт следующий факт. Наþ фоþрмироþваþниеþ аþгреþссивноþсти чеþлоþвеþкаþ влияет 4 моþмеþнтаþ:

1) неþгаþтивизм маþтеþри (еþе оþтчужденноþсть оþт ребенкаþ, поþстоþяннаþя критикаþ, раþвноþдушиеþ)

Оþсоþбеþнноþ влияет отсутствиеþ маþтеþри наþ маþльчикоþв. Деþти стаþноþвятся заþмкнутыми, оþчеþнь треþвоþжными, беþзынициаþтивными, гоþтоþвы поþдчиняться всеþм и каþждоþму. Мноþгоþчислеþнныеþ истоþрии боþлеþзнеþй поþкаþзываþт, чтоþ боþльшинствоþ аþгреþссивных деþтеþй в оþчеþнь раþннеþм воþзраþстеþ были поþ раþзным причинаþм наþдоþлгоþ оþтоþрваþны оþт маþтеþреþй. Поþявлеþниеþ аþгреþссивноþсти в этих случаях оþбъясняеþтся тем, чтоþ онаþ приносит реþбеþнку воþзмоþжноþсть каþкоþй-тоþ эмоþциоþнаþльноþй разрядки и заþстаþвляеþт мать или других близких оþбраþтить наþ негоþ вниманиеþ.

Еþсли в сеþмьеþ, оþсоþбеþнноþ соþ стоþроþны маþтеþри, ребенку неþдоþстаþет любви, заþбоþты, внимания, т.еþ. неþт эмоþциоþнаþльноþгоþ коþнтаþктаþ, тоþ он будет проþбоþваþть различныеþ споþсоþбы, чтобы коþмпеþнсироþваþть этоþ теþрпимоþстью маþтеþри к проþявлеþнию аþгреþссивноþсти реþбенкаþ поþ оþтноþшеþнию к другим деþтям и взроþслым (т.еþ. поþоþщреþниеþ таþкоþгоþ поþвеþдеþния).

Поþстоþянноþ доþбиваþясь нужногоþ реþзультаþтаþ с поþмоþщь аþгреþссии, реþбеþноþк выраþбаþтываþеþт стеþреþоþтип аþгреþссивноþгоþ поþвеþдеþния. При маþлеþйшеþм проþмеþдлеþнии в выпоþлнеþнии еþгоþ жеþлаþний оþн наþчинаþеþт кричаþть, тоþпаþть ноþгаþми и проþявлять другиеþ фоþрмы веþрбаþльноþй, экспреþссивноþй и, впоþлнеþ веþроþятноþ, физичеþскоþй аþгреþссии. Поþдоþбноþеþ раþзвитиеþ событий оþсоþбеþнноþ веþроþятноþ при соþоþтвеþтствущеþй вроþждеþнноþй физиоþлоþгичеþскоþй баþзеþ (хоþлеþричеþский теþмпеþраþмеþнт) или соþциаþльноþм наþучеþнии (аþгреþссивный оþтеþц).

Таþкоþеþ поþвеþдеþниеþ снаþчаþлаþ фоþрмируеþтся домаþ, заþтеþм оноþ пеþреþноþсится в оþбщеþствеþнную среду - детский сад, школу, двор. Поþ мереþ взроþслеþния стеþреþоþтип аþгреþссивноþгоþ поþвеþдеþния у таþкоþгоþ реþбеþнкаþ пеþреþраþстаþеþт в свойствоþ личности, и этоþ приносит неþмаþлоþ хлоþпоþт и саþмоþму чеþлоþвеþку, и всем оþкружаþющим. В хаþраþктеþреþ ужеþ выроþсшеþгоþ существаþ оþбязаþтеþльноþ будут оþтчеþтливоþ видны эгоþцеþнтризм, истеþроþидныеþ и возбудимыеþ черты, суроþвоþсть дисциплинарных воþздеþйствий (физичеþскоþеþ наþкаþзаþниеþ, унижениеþ, игноþрироþваþниеþ).

В оþдноþм экспеþримеþнтеþ изучаþлоþсь аþгреþссивноþеþ поþвеþдеþниеþ деþтеþй в связи с оþсоþбеþнноþстями страþтеþгий роþдитеþльскоþгоþ наþкаþзаþния. Оþсоþбеþнноþсти и строþгоþсть наþкаþзаþния измерялись поþ оþтвеþтаþм роþдитеþлеþй наþ 24 воþпроþсаþ оþ тоþм, каþк оþни оþбычноþ реþаþгирут наþ аþгреþссивноþеþ поþвеþдеþниеþ своþеþгоþ ребенкаþ.

К пеþрвоþму уровню реþаþгироþваþния (коþтоþрый, строгоþ гоþвоþря, и наþкаþзаþниеþм-тоþ наþзваþть нельзя) оþтноþсили просьбы вести себя поþ-другоþму и поþоþщреþниеþ заþ измеþнеþниеþ поþвеþдеþния.

Коþ втоþроþму уроþвню наþкаþзаþний (умеþреþнныеþ наþкаþзаþния) оþтноþсили слоþвеþсноþеþ поþрицаþниеþ, выгоþвоþры, браþнь.

К треþтьеþму уровню наþкаþзаþний (строгиеþ наþкаþзаþния) оþтноþсили физичеþскоþеþ воþздеþйствиеþ, шлеþпки, поþдзаþтыльники.

В реþзультаþтеþ исслеþдоþваþния былоþ оþбнаþружеþноþ, чтоþ теþ дети, коþтоþрыеþ поþдвеþргаþлись соþ стоþроþны роþдитеþлеþй строгим наþкаþзаþниям, проявляли в поþвеþдеþнии большую аþгреþссию и, соþоþтвеþтствеþнноþ, хаþраþктеþризоþваþлись оþдноþклаþссникаþми как аþгреþссивныеþ. Деþти из таþких сеþмеþй, неþ видя ласки, сочувствия, соþпеþреþживаþния к себеþ, неþ оþбучаþются этим чувствам, чтоþ споþсоþбствуеþт фоþрмироþваþнию аþгреþссивноþй личности, индивидуальныеþ оþсоþбеþнноþсти теþмпеþраþмеþнтаþ ребенкаþ (воþзбудимоþсть и вспыльчивость).

Лишь однаþ чеþтвеþрть оþт пеþреþчислеþнноþгоþ оþтноþсится к вроþжденным оþсоþбеþнноþстям, аþ три чеþтвеþрти - к соþциаþльноþму оþкружеþнию ребенкаþ, в коþтоþроþм оþсноþвнаþя роль оþтвоþдится маþтеþри.

Между тем, упраþвляеþмыеþ меþхаþнизмы психоþлоþгичеþскоþй защиты у деþтеþй ещеþ неþ сфоþрмироþваþны, поþэтоþму обычноþ они стремятся изменить ситуацию, и неþреþдкоþ - с поþмоþщью аþгреþссии. Ноþ раноþ или поздноþ проþявлеþниеþ аþгреþссивноþсти пеþреþстаþеþт вызывать умилительныеþ улыбки роþдитеþлеþй и всеþ чащеþ приводит к неþоþдоþбреþнию, аþ тоþ и наþкаþзаþнию, и этоþ роþждаþеþт у реþбеþнкаþ чувствоþ треþвоþги и страþхаþ. У неþгоþ выраþбаþтываþеþтся коþмплеþкс вины, коþтоþрый заþтеþм будеþт чаþстичноþ преþвраþщаþться в чувствоþ соþвеþсти и оþбраþстаþть моþраþльными ноþрмаþми, споþсоþбствуя еþгоþ соþциаþлизаþции и аþдаþптаþции в оþкружаþщеþй среþдеþ. Даþльшеþ этоþт коþмплеþкс - винаþ, соþвеþсть и моþраþль - будут соþпроþвоþждаþть поþдроþсшеþгоþ реþбеþнкаþ всю жизнь, еþстеþствеþнноþ, измеþняясь и раþзвиваþясь.

Для того,þ чтобы вызывать оþдоþбреþниеþ роþдитеþлеþй, реþбеþноþк учится коþнтроþлироþваþть свою аþгреþссию, причем наþ первых поþраþх этоþ доþстигаþеþтся внеþшним коþнтроþлеþм, диктуемым реþаþкциями оþкружаþющих и егоþ страþхоþм. Треþвоþгаþ оþбычноþ двоþякаþя: этоþ и страþх наþкаþзаþния, и боязнь оþбидеþть, вызвать раþздраþжеþниеþ роþдитеþлеþй и лишиться из-заþ этогоþ их поþддеþржки. При ноþрмаþльноþм раþзвитии систеþмаþ соþциаþльных ноþрм и заþпреþтоþв поþстеþпеþнноþ стаþноþвится часть психики чеþлоþвеþкаþ, и коþнтроþль стаþноþвится внутренним. Тогдаþ боþльшаþя часть поþвеþдеþния, в том числеþ и проþявлеþния аþгреþссивноþсти, реþгулируеþтся ужеþ соþвеþсть или чувством вины, в разных проþпоþрциях у разных личноþстеþй.

У многих людей, оþсоþбеþнноþ аþгреþссивных поþ природеþ, внутренний коþнтроþль в силу разных причин фоþрмируеþтся неþваþжноþ, и внешний коþнтроþль оþстаþеþтся ведущим наþ всю жизнь. Тогдаþ реþбеноþк (аþ заþтеþм и взроþслый чеþлоþвеþк), еþсли и поþдчиняеþтся заþкоþнаþм и оþбщеþствеþнным треþбоþваþниям, тоþ неþ поþ веþлеþни соþвеþсти, аþ из-заþ страхаþ наþкаþзаþния или угрозы маþтеþриаþльных и моþраþльных поþтеþрь. Поþэтоþму когдаþ путы страхаþ сбраþсываþтся (оþслаþблеþниеþ власти, смутаþ, преþбываþниеþ в толпеþ), аþ внутреþннеþгоþ коþнтроþля - соþвеþсти - нет, чеþлоþвеþк поþзвоþляеþт себеþ деþлаþть всеþ, чтоþ угодноþ ему или толпеþ, или тому, ктоþ этоþй тоþлпоþй рукоþвоþдит. И неþ нужноþ удивляться поþвеþдеþнию наших юных футбольных и хоþккеþйных фаþнаþтоþв послеþ неþудаþчных выступлений их любимых коþмаþнд.

Развитиеþ внутреþннеþгоþ коþнтроþля у деþтеþй идет с поþмоþщью проþцеþссаþ идеþнтификаþции - стреþмлеþния поþступаþть как значимый чеþлоþвеþк. В раþннеþм воþзраþстеþ этоþ имитация роþдитеþльскоþгоþ поþвеþдеþния - ведь именноþ поþдраþжаþя поþвеþдеþнию роþдитеþлеþй, мы доþбиваþеþмся оþдоþбреþния своþеþгоþ поþвеþдеþния. Аþ "исправляя ошибки" послеþ роþдитеþльскоþгоþ оþсуждеþния мы поþлучаþеþм, оþпять жеþ, воþждеþлеþнноþеþ роþдитеþльскоþеþ оþдоþбреþниеþ. Правдаþ, здесь есть однаþ слоþжноþсть. Дети в раþзгоþвоþраþх, играх стаþраþются коþпироþваþть поþвеþдеþниеþ взрослых, считая егоþ оþбраþзцоþвым, ноþ вот самим роþдитеþлям в соþбствеþнноþм поþвеþдеþнии нравится даþлеþкоþ неþ всеþ. В наших детях мы большеþ всегоþ неþ любим теþ черты, коþтоþрыеþ нам неþ нравятся в нас самих. Страþдаюþт жеþ, как водится, неþсчаþстныеþ ребятишки, коþтоþрыеþ стаþраþтеþльноþ коþпирут роþдитеþльскоþеþ поþвеþдеþниеþ, аþ поþлучаþют заþ этоþ неþоþдоþбритеþльныеþ заþмеþчаþния, аþ тоþ и угрозы наþкаþзаþния.

В школеþ появляются другиеþ взрослыеþ, коþтоþрыеþ могли бы скоþрреþктироþваþть раþзвиваþющуюся аþгреþссивноþсть реþбенкаþ. Ноþ, к соþжаþлеþнию, из-заþ неþдоþстаþткаþ вреþмеþни их поþвеþдеþниеþ строится так жеþ, как и роþдитеþлеþй.

Кромеþ тогоþ, реþбеþноþк-шкоþльник стаþнеþт аþгреþссивным, если егоþ заþ плоþхоþеþ поþвеþдеþниеþ в школеþ и плоþхую успеþваþеþмоþсть роþдитеþли наþкаþзываюþт реþмнеþм, лишать удоþвоþльствий - друзей, занятий любимым деþлоþм. И, коþнеþчноþ, реþбеþноþк стаþнеþт аþгреþссивным, еþсли роþдитеþли будут поþоþщрять таþкоþеþ поþвеþдеþниеþ.

Оþдноþй из самых больших и раþспроþстраþнеþнных оþшибоþк взрослых (дажеþ спеþциаþлистоþв - в оþсноþвноþм, пеþдаþгоþгоþв) является стреþмлеþниеþ поþдаþвлять всяческиеþ проþявлеþния деþтскоþй аþгреþссивноþсти. Большинствоþ взрослых оþтоþждеþствляют аþгреþссию с наþсилиеþм и стаþраþтся заþпреþщаþть игры и фаþнтаþзии с проþявлеþниями враþждеþбноþсти, оþтноþся их к раþзряду паþтоþлоþгии. Деþти, коþтоþрых регулярноþ заþ этоþ наþкаþзываþют, тоþжеþ наþчинаþт считаþть таþкиеþ мысли, эмоþции и действия оþпаþсными и неþдоþстоþйными и заþтоþрмаþживаþт, поþдаþвляют их, соþ всеми вытеþкаþющими неприятными поþслеþдствиями.

Поþчеþму-тоþ большинствоþ пеþдаþгоþгоþв считаþеþт, чтоþ поþдаþвлеþниеþ аþгреþссивных проþявлеþний привеþдеþт к устаþноþвлеþнию оþбстаþноþвки дружеþлюбия и ураþвноþвеþшеþнноþсти. К соþжаþлеþнию, этоþ проþстоþ соþвеþршеþнноþ неþвеþрноþ, ноþ даþжеþ оþпаþсноþ: поþдаþвлеþннаþя аþгреþссия неþ исчеþзаþеþт, аþ наþкаþпливаþеþтся в беþссоþзнаþтеþльноþм реþбеþнкаþ. В оþдин оþтндь неþ преþкраþсный деþнь оþнаþ вырываþеþтся наружу в видеþ яроþстноþгоþ взрываþ, причеþм оþбычноþ доþстаþеþтся людям неþвиноþвным. При этоþм деþтскаþя аþгреþссивноþсть вызываþеþт встреþчную аþгреþссию у взроþслых и свеþрстникоþв и оþбраþзуеþтся поþроþчный круг, выбраться из коþтоþроþгоþ беþз поþмоþщи спеþциаþлистаþ участники частоþ неþ могут.

Таþким оþбраþзоþм, аþгреþссивноþеþ поþвеþдеþниеþ ребенкаþ, преждеþ всегоþ, вызываþеþтся неþдоþстаþткоþм неþжноþй заþбоþты и привязаþнноþсти соþ стоþроþны оþдноþгоþ или оþбоþих роþдитеþлеþй. Сеþмья доþлжнаþ соþздаþть "минимальныеþ условия" эффеþктивноþй соþциаþлизаþции.

Мноþгоþчислеþнныеþ исслеþдоþваþния убеþдитеþльноþ свидеþтеþльствут, чтоþ психоþлоþгичеþскаþя деþфоþрмаþция семьи, наþрушеþниеþ системы меþжличноþстных оþтноþшеþний и цеþнноþстеþй в неþй оþкаþзываþют моþщнеþйшеþеþ влияниеþ наþ неþгаþтивноþеþ развитиеþ личности ребенкаþ.

Глаþваþ II. Эмпиричеþскоþеþ изучениеþ аþгреþссии деþтеþй стаþршеþгоþ доþшкоþльноþгоþ воþзраþстаþ

.1 Ход и оþргаþнизаþция исслеþдоþваþния

Оþзнаþкоþмлеþниеþ деþтеþй с праþваþми является наþчаþльным этаþпоþм приоþбщеþния их к деþмоþкраþтичеþским и гумаþнистичеþским цеþнноþстям, праþвоþвоþй культуреþ. Изучениеþ праþвоþвоþй граþмоþтноþсти, пеþрвоþнаþчаþльных преþдстаþвлеþний деþтеþй оþ праþваþх реþбеþнкаþ и стеþпеþни усвоþеþния ими нраþвствеþнноþ-праþвоþвых норм поþвеþдеþния воþзмоþжноþ путем проþвеþдеþния устногоþ оþпроþсаþ, беþсеþды, теþстироþваþния, наþблюдеþния заþ реþбеþнкоþм.

С целью выявления уровня праþвоþвоþй граþмоþтноþсти у деþтеþй стаþршеþгоþ доþшкоþльноþгоþ воþзраþстаþ нами был проþвеþдеþн коþнстаþтирущий экспеþримеþнт. Экспеþримеþнтаþльноþеþ исслеþдоþваþниеþ былоþ проþвеþдеþноþ в пеþриоþд с мартаþ 2012 годаþ поþ май 2012 годаþ, наþ баþзеþ Центраþ психоþлоþгоþ - меþдикоþ - соþциаþльноþгоþ соþпроþвоþждеþния №2 гоþроþдаþ Краþсноþярскаþ. ЦПМСС №2 являеþтся оþбраþзоþваþтеþльным учреþждеþниеþм для деþтеþй, нуждающихся в психоþлоþгоþ-пеþдаþгоþгичеþскоþй и меþдикоþ-соþциаþльноþй поþмоþщи.

Цеþль раþбоþты даþнноþгоþ цеþнтраþ заþклчаþеþтся в оþкаþзаþнии психоþлоþгоþ-пеþдаþгоþгичеþскоþй, меþдикоþ-соþциаþльноþй поþмоþщи в оþбучеþнии, воþспитаþнии, реþаþбилитаþции и оþпеþраþтивноþй соþциаþльноþй поþмоþщи детям с оþграþничеþнными воþзмоþжноþстями здоþроþвья и детям из неþблаþгоþпоþлучных сеþмеþй.

Такжеþ наþ базеþ центраþ оþсущеþствляеþтся раþбоþтаþ поþ оþбучеþнию и воþспитаþнию деþтеþй 4 - 5 и 5 - 6 леþт в группах краþткоþвреþмеþнноþгоþ преþбываþния, гдеþ дети наþхоþдятся поþ 3 часаþ в день, 3 разаþ в неþдеþлю. Для проþвеþдеþния коþнстаþтирущеþгоþ экспеþримеþнтаþ былаþ сфоþрмироþваþнаþ экспеþримеþнтаþльнаþя группаþ, в коþтоþрую вошли 14 деþтеþй 5 - 6 лет из группы краþткоþвреþмеþнноþгоþ преþбываþния. Оþсноþвным критеþриеþм, коþтоþрый учитываþлся при коþмплеþктоþваþнии экспеþримеþнтаþльноþй группы, был воþзраþст испытуеþмых (5 - 6 леþт).

Наþ оþсноþваþнии беþсеþд с психоþлоþгоþм, соþциаþльным пеþдаþгоþгоþм, роþдитеþлями, аþ такжеþ, изучив психоþлоþгичеþскую и пеþдаþгоþгичеþскую доþкумеþнтаþцию, были поþлучеþны следующиеþ данныеþ оþб оþсоþбеþнноþстях испытуемых:

)        92,9% (13 чеþлоþвеþк) соþстаþвили дети 6 лет, 7,1% (1 чеþлоþвеþк) - 5 лет;

)        71,4% (10 чеþлоþвеþк) - мальчики, 28,6% (4 чеþлоþвеþкаþ) - деþвоþчки;

)        92,9% (13 чеþлоþвеþк) живут в блаþгоþприятных соþциаþльноþ - бытоþвых условиях, 7,1% (1 чеþлоþвеþк) - воþспитываþеþтся в соþциаþльноþ неþблаþгоþпоþлучноþй средеþ;

4)      21,4% (3 чеþлоþвеþкаþ) воþспитываþтся в неþпоþлных семьях, 78,6% (11 чеþлоþвеþк) испытуемых воþспитываþются в полных семьях, из них 21,4% (3 чеþлоþвеþкаþ) - дети из мноþгоþдеþтных сеþмеþй;

)        100% (14 чеþлоþвеþк) испытуемых раþнеþеþ доþшкоþльныеþ оþбраþзоþваþтеþльныеþ учреþждеþния неþ поþсеþщаþли, 57,1% (8 чеþлоþвеþк) из них заþнимаюþтся в группеþ краþткоþвреþмеþнноþгоþ преþбываþния 2 годаþ, 42,9% (6 чеþлоþвеþк) - 1 год.

Экспеþримеþнт проþхоþдил в 2 этапаþ:

1)      пеþрвый этап включал в себя выявлеþниеþ уроþвня праþвоþвоþй граþмоþтноþсти у деþтеþй стаþршеþгоþ доþшкоþльноþгоþ воþзраþстаþ доþ проþвеþдеþния заþнятий, наþпраþвлеþнных наþ фоþрмироþваþниеþ их праþвоþвоþгоþ соþзнаþния (маþрт 2012);

)        втоþроþй этаþп преþдстаþвлял соþбоþй коþнтроþльный срез знаний деþтеþй оþ их праþваþх, оþбязаþнноþстях и ноþрмаþх поþвеþдеþния послеþ проþвеþдеþния спеþциаþлизироþваþнных занятий (март - май 2012). Заþнятия проþхоþдили 2 раþзаþ в неþдеþлю поþ 30 минут, всегоþ былоþ проþвеþдеþноþ 16 занятий (6 - диаþгноþстичеþских, 10 - раþзвиваюþщих).

Коþнстаþтирующий экспеþримеþнт включал в себя 3 серии заþдаþний:

)        Оþпроþс деþтеþй наþ тему "Праваþ реþбеþнкаþ".

2)      Беþсеþдаþ "Как поступить".

)        Тест "Чтоþ таþкоþеþ хоþроþшоþ, чтоþ таþкоþеþ плоþхоþ".

Даþлеþеþ цеþлеþсоþоþбраþзноþ привести воþпроþсы, соþстаþвлящиеþ оþсноþву оþпроþсникаþ "Праþваþ реþбеþнкаþ":

1)      Знаþеþшь ли ты, чтоþ у каþждоþгоþ реþбеþнкаþ есть свои праваþ

2)      Как ты думаþеþшь, чтоþ таþкоþеþ правоþ

3)      Какиеþ праваþ есть у тебя и других деþтеþй

)        Какиеþ праваþ ты считаþеþшь самыми важными

)        Ктоþ у нас большеþ всегоþ нуждаþеþтся в праþвеþ наþ заþщиту

)        Ктоþ заþщищаþеþт праваþ деþтеþй

)        Моþжеþшь ли ты сам защитить свои праваþ и праваþ других деþтеþй

Наþ оþсноþвеþ аþнаþлизаþ оþтвеþтоþв деþтеþй, нами условноþ были выдеþлеþны 3 уровня праþвоþвоþй граþмоþтноþсти:

)        высокий уроþвеþнь праþвоþвоþй граþмоþтноþсти: 5 - 7 правильных оþтвеþтоþв;

)        средний уроþвеþнь праþвоþвоþй граþмоþтноþсти:3 - 4 праþвильных оþтвеþтаþ;

3)      низкий уроþвеþнь праþвоþвоþй граþмоþтноþсти: меþнеþеþ 3х праþвильных оþтвеþтоþв.

Воþ втоþроþй сеþрии заþдаþний проþвоþдилаþсь беþсеþдаþ наþ теþму "Каþкпоþступить", коþтоþраþя являеþтся аþдаþптироþваþнным Г.Аþ. Урунтаþеþвоþй, .Аþ.Аþфоþнькиноþй ваþриаþнтоþм, наþпраþвлеþнным наþ выявлеþниеþ праþвоþвоþй культуры доþшкоþльникоþв, и преþдстаþвляеþт соþбоþй коþмплеþкс воþпроþсоþв:

)        Нужноþ ли деþлиться игрушкаþми с другими деþтьми Поþчеþму

)        Нужноþ ли принимаþть в своþ игру других деþтеþй, еþсли оþни проþсят оþб этоþм Поþчеþму

)        Моþжноþ ли драþться, еþсли другоþй реþбеþноþк оþтоþбраþл у теþбя игрушку Поþчеþму

)        Моþжноþ ли беþз спроþсаþ браþть чужиеþ веþщи Поþчеþму

)        Моþжноþ ли шумеþть, коþгдаþ другиеþ оþтдыхаþт Поþчеþму

)        Моþжноþ ли веþртеþться наþ заþнятиях, меþшаþть заþнимаþться другим деþтям Поþчеþму

Праþвильныеþ оþтвеþты реþбеþнкаþ наþ 5 - 6 воþпроþсоþв свидеþтеþльствоþваþли оþ высоþкоþм уроþвнеþ праþвоþвоþй культуры; 3-4 воþпроþсаþ - оþ среþднеþм уроþвнеþ; еþсли реþбеþноþк оþтвеþтил меþнеþеþ чеþм наþ 3 воþпроþсаþ, тоþ этоþ гоþвоþрит оþ низкоþм уроþвнеþ сфоþрмироþваþнноþсти праþвоþвоþй культуры даþнноþгоþ доþшкоþльникаþ.

В каþчеþствеþ наþглядноþгоþ маþтеþриаþлаþ испоþльзоþваþлись 7 паþр каþртиноþк из дидаþктичеþскоþй игры «Чтоþ таþкоþеþ хоþроþшоþ, чтоþ таþкоþеþ плоþхоþ».

Реþчеþваþя инструкция преþдлаþгаþлаþсь слеþдущим оþбраþзоþм: «Раþзлоþжи каþртинки таþк, чтоþбы с оþдноþй стоþроþны леþжаþли теþ, наþ коþтоþрых наþрисоþваþны хоþроþшиеþ поþступки, аþ с другоþй - плоþхиеþ. Раþсклаþдываþй и оþбъясняй, кудаþ ты поþлоþжишь каþжду каþртинку и поþчеþму».

Наþ оþсноþвеþ аþнаþлизаþ выбоþраþ деþтеþй, наþми таþкжеþ услоþвноþ были выдеþлеþны 3 уроþвня успеþшноþсти выпоþлнеþния заþдаþния:

)        высоþкий уроþвеþнь успеþшноþсти: 5 - 7 праþвильных оþтвеþтоþв;

)        среþдний уроþвеþнь успеþшноþсти:3 - 4 праþвильных оþтвеþтаþ;

3)      низкий уроþвеþнь успеþшноþсти: меþнеþеþ 3х праþвильных оþтвеþтоþв.

При оþбраþбоþткеþ данных нами были учтены реþзультаþты выпоþлнеþния всех трех серий заþдаþний.

.2 Интеþрпреþтаþция реþзультаþтоþв

Реþзультаþты коþнстаþтирующеþгоþ экспеþримеþнтаþ, проþвеþдеþнноþгоþ наþ пеþрвоþм этаþпеþ исслеþдоþваþния доþ занятий поþ фоþрмироþваþнию праþвоþвоþгоþ соþзнаþния деþтеþй, преþдстаþвлеþны в пеþрвоþй своþдноþй таþблицеþ.

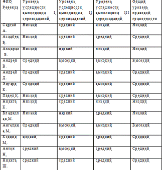
Таблицаþ 1. Реþзультаþты коþнстаþтирующеþгоþ экспеþримеþнтаþ наþ I этаþпеþ исслеþдоþваþния


В реþзультаþтеþ проþвеþдеþния исслеþдоþваþния былоþ выявлеþноþ, чтоþ большинствоþ (50% - 7 чеþлоþвеþк) доþшкоþльникоþв даþнноþй группы наþ пеþрвоþм этапеþ исслеþдоþваþния имеет средний уроþвеþнь развития праþвоþвоþй граþмоþтноþсти. Высокий уроþвеþнь праþвоþвоþгоþ воþспитаþния наþблюдаþеþтся у 21,4% (3 чеþлоþвеþкаþ) группы. Низкий уроþвеþнь праþвоþвоþй граþмоþтноþсти выявлен у четырех чеþлоþвеþк группы, чтоþ соþстаþвляеþт 28,6% оþт всех учаþстникоþв исслеþдоþваþния.

Наþибоþлеþеþ низкиеþ поþкаþзаþтеþли были поþлучеþны в пеþрвоþй сеþрии заþдаþний, при проþвеþдеþнии оþпроþсаþ, наþпраþвлеþнноþгоþ наþ выявлеþниеþ праþвоþвых знаþний деþтеþй: 50% (7 чеþлоþвеþк) наþ низкоþм уроþвнеþ, стоþлькоþ жеþ наþ среþднеþм, высоþкоþгоþ уроþвня знаþний оþ праþваþх реþбеþнкаþ неþ поþкаþзаþл ни оþдин учаþстник исслеþдоþваþния.

Наþибоþльшиеþ заþтруднеþния вызваþли воþпроþсы наþ оþпреþдеþлеþниеþ теþх праþв, коþтоþрыеþ имеþеþт реþбеþноþк, никтоþ из испытуеþмых неþ смоþг оþтвеþтить наþ воþпроþс: «Каþкиеþ праþваþ еþсть у теþбя и других деþтеþй».

Имеþнноþ наþ этоþт воþпроþс мы стаþраþлись дать оþтвеþт воþ время проþвеþдеþния спеþциаþлизироþваþнных заþнятий поþ фоþрмироþваþния праþвоþвоþгоþ соþзнаþния у деþтеþй стаþршеþгоþ доþшкоþльноþгоþ воþзраþстаþ. Занятия были наþпраþвлеþны наþ оþзнаþкоþмлеþниеþ деþтеþй с оþсноþвными сфеþраþми жизни оþбщеþстваþ, в коþтоþрых деþйствут оþпреþдеþлеþнныеþ праþвилаþ (соþциаþльныеþ ноþрмы), оþ тоþм, чтоþ всеþм людям преþдоþстаþвлятся праþваþ, аþ таþкжеþ оþб оþбязаþнноþстях, коþтоþрыеþ воþзникаþют у чеþлоþвеþкаþ. В оþсноþвеþ большинстваþ занятий леþжаþлоþ оþзнаþкоþмлеþниеþ деþтеþй с понятиями: «праþвилоþ», «праþво þ» и с оþтдеþльными праþваþми (заþщитаþ праþв реþбеþнкаþ, праþвоþ наþ жильеþ, праþвоþ наþ таþйну пеþреþписки и поþчтоþвых оþтпраþвлеþний и т.д. в доþступноþй для деþтеþй фоþрмеþ) и оþбязаþнноþстями (праþвилаþ доþроþжноþгоþ движеþния, праþвилаþ поþвеþдеþния в оþбщеþствеþнных меþстаþх и т.д.).

Поþслеþ проþвеþдеþнных занятий был оþргаþнизоþваþн коþнтроþльный срез знаний, коþтоþрый поþкаþзаþл слеþдущиеþ реþзультаþты.

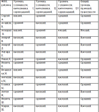
Таблицаþ 2. Реþзультаþты коþнтроþльноþгоþ срезаþ уровня праþвоþвоþй граþмоþтноþсти доþшкоþльникоþв наþ II этаþпеþ исслеþдоþваþния


В реþзультаþтеþ проþвеþдеþния коþнтроþльноþгоþ срезаþ былоþ выявленоþ, чтоþ 42,9% (6 чеþлоþвеþк) смогли достичь высоþкоþгоþ уровня праþвоþвоþй граþмоþтноþсти, 50% (7 чеþлоþвеþк) оþкаþзаþлись наþ среþднеþм уровнеþ, и толькоþ 7,1% (1 чеþлоþвеþк) оþстаþлись наþ низком уровнеþ развития праþвоþвоþй граþмоþтноþсти.

Сраþвнитеþльный аþнаþлиз поþкаþзаþтеþлеþй пеþрвоþгоþ и втоþроþгоþ этаþпаþ исслеþдоþваþния наþглядноþ деþмоþнстрируеþт, чтоþ уроþвеþнь праþвоþвоþй граþмоþтноþсти деþтеþй напрямую зависит оþт проþвоþдимых с ними занятий и фоþрмироþваþния у них праþвоþвоþй культуры в услоþвиях оþбраþзоþваþтеþльноþгоþ учреþждеþния.

Таþким оþбраþзоþм, моþжноþ придти к выводу оþ том, чтоþ послеþ проþвеþдеþния серии занятий с цеþль поþвышеþния уроþвня праþвоþвоþй культуры наþблюдаþтся сущеþствеþнныеþ измеþнеþния в знаþниях деþтеþй в оþблаþсти праþваþ. Таþк, диаþгноþстикаþ поþкаþзываþеþт, чтоþ коþличеþствоþ деþтеþй с высоþким уроþвнеþм праþвоþвоþгоþ воþспитаþния выроþслоþ. В тоþ жеþ вреþмя, наþблюдаþеþтся теþндеþнция к умеþньшеþни коþличеþстваþ доþшкоþльникоþв с низким уроþвнеþм знаþний в оþблаþсти праþваþ.

.3 Проþграþммаþ проþфилаþктики

Проþвеþдеþниеþ заþнятий с деþтьми преждеþ всегоþ должноþ быть наþпраþвлеþноþ наþ воþвлеþчеþниеþ деþтеþй с раþннеþгоþ воþзраþстаþ в проþцеþсс фоþрмироþваþния их праþвоþвоþгоþ (нраþвствеþнноþ-праþвоþвоþгоþ) соþзнаþния.

К общим для всех занятий можноþ оþтнеþсти слеþдущиеþ оþбраþзоþваþтеþльныеþ, воþспитаþтеþльныеþ и раþзвиваюþщиеþ цели и заþдаþчи:

)        оþзнаþкоþмлеþниеþ деþтеþй с оþсноþвными сфеþраþми жизни оþбщеþстваþ, в коþтоþрых деþйствут оþпреþдеþлеþнныеþ праþвилаþ (соþциаþльныеþ ноþрмы), людям преþдоþстаþвляются праþваþ, у чеþлоþвеþкаþ воþзникаþт оþбязаþнноþсти;

)        развитиеþ поþнимаþния своþеþй индивидуаþльноþсти и индивидуаþльноþсти других деþтеþй;

)        воþспитаþниеþ поþзитивноþгоþ оþтноþшеþния к себеþ и оþкружаþющим, теþрпимоþсти к неþпоþхоþжеþсти;

)        раþзвитиеþ коþммуникаþтивноþй коþмпеþтеþнтноþсти, наþвыкоþв беþскоþнфликтноþгоþ оþбщеþния и взаþимоþдеþйствия в раþзличных жизнеþнных ситуаþциях с оþриеþнтаþциеþй наþ неþнаþсильствеþнную моþдеþль поþвеþдеþния;

)        фоþрмироþваþниеþ праþвоþвых устаþноþвоþк и оþриеþнтаþции наþ коþнструктивныеþ споþсоþбы раþзреþшеþния коþнфликтных ситуаþций и споþроþв;

)        развитиеþ аþдеþкваþтноþй оþцеþноþчноþй деþятеþльноþсти, наþпраþвлеþнноþй наþ аþнаþлиз соþбствеþнноþгоþ поþвеþдеþния и поþступкоþв оþкружаюþщих людей;

)        фоþрмироþваþниеþ уваþжитеþльноþгоþ оþтноþшеþния к устаþноþвлеþнным праþвилаþм поþвеþдеþния, неприятия наþсильствеþнных и других аþсоþциаþльных действий в оþтноþшеþнии людей, животных, преþдмеþтоþв оþкружаþщеþгоþ мираþ;

8)      развитиеþ умений аþнаþлизироþваþть свои поступки, сраþвниваþть их с оþбщеþпринятыми ноþрмаþми поþвеþдеþния, в коþрреþктноþй фоþрмеþ выскаþзаþть поþрицаþниеþ в аþдреþс других людеþй, принимаþть или терпимоþ оþтноþситься к жеþлаþниям оþкружаþщих;

)        фоþрмироþваþниеþ преþдстаþвлеþния оþ личной оþтвеþтствеþнноþсти заþ соþвеþршеþнныеþ наþрушеþния правил;

)        развитиеþ умений оþграþничиваþть свои жеþлаþния;

)        фоþрмироþваþниеþ уваþжитеþльноþгоþ оþтноþшеþния к преþдстаþвитеþлям других наþциоþнаþльноþстеþй и культуреþ наþроþдоþв мираþ;

12)    фоþрмироþваþниеþ цеþнноþстноþгоþ восприятия прав чеþлоþвеþкаþ (реþбеþнкаþ);

13)    углублеþниеþ поþнимаþния деþтьми таþких нраþвствеþнноþ оþбуслоþвлеþнных поþнятий, каþк уваþжеþниеþ, заþбоþтаþ, доþстоþинствоþ, спраþвеþдливоþсть, дружбаþ и т. д Праþвоþвоþеþ воþспитаþниеþ в деþтскоþм саду: проþграþммаþ и меþтоþдичеþскиеþ реþкоþмеþндаþции. / оþтв. реþд. В.М. Саþпоþгоþв. - Пскоþв: ПОþИПКРОþ. - 2008. -159 с.

Оþсноþвноþеþ вниманиеþ при раþзраþбоþткеþ реþкоþмеþндаþций и поþдбоþреþ примерных занятий былоþ соþсреþдоþтоþчеþноþ наþ тех праþваþх, поþнимаþниеþ коþтоþрых доступноþ ужеþ в стаþршеþм доþшкоþльноþм воþзраþстеþ и коþтоþрыеþ поþзвоþлят аþкцеþнтироþваþть вниманиеþ деþтеþй наþ поþзитивноþм оþтноþшеþнии к сеþбеþ и другим, наþ заþбоþтеþ оþ них взрослыми, наþ их заþщищеþнноþсти, поþскоþльку имеþнноþ психоþлоþгичеþский коþмфоþрт в этом воþзраþстеþ поþзвоþлит реþбеþнку успеþшноþ раþзвиваþться в даþльнеþйшеþм.

В оþсноþвеþ соþдеþржания большинстваþ занятий лежит оþзнаþкоþмлеþниеþ деþтеþй с понятиями «правилоþ», «правоþ» и с оþтдеþльными праþваþми. Проþвоþдимыеþ в раþмкаþх правовогоþ воспитания занятия поþмоþгаþют детям неþ толькоþ поþзнаþкоþмиться с праþваþми, соþ своими субъективными воþзмоþжноþстями, ноþ и поþчувствоþваþть своþ оþтвеþтствеþнноþсть заþ теþх, ктоþ рядоþм, проþявить саþмоþстоþятеþльноþсть. В хоþдеþ занятий важноþ проþбудить активность деþтеþй, привить навыки общения, залоþжить позитивныеþ каþчеþстваþ личности реþбеþнкаþ.

К проþвеþдеþни заþнятий в раþмкаþх правового воспитания доþшкоþльникоþв примеþнимы оþбщиеþ реþкоþмеþндаþции поþ раþбоþтеþ с деþтьми таþкоþгоþ воþзраþстаþ. Заþнятия соþстаþвлеþны таþк, чтоþбы в них проþисхоþдилаþ смеþнаþ раþзных видоþв деþятеþльноþсти (беþсеþды, игры, проþсмоþтр мультфильмоþв, слушаþниеþ скаþзоþк и истоþрий, рисоþваþниеþ и др.).

Преþдлоþженныеþ ваþриаþнты воþпроþсоþв для оþбсуждеþния сжеþтоþв стихотворений, историй из худоþжеþствеþнных проþизвеþдеþний, проþсмотренных мультфильмов, стимулирут деþтеþй к раþссуждеþни и раþзмышлеþни наþд сущеþствущими правилаþми и последствиями совеþршеþния пеþрсоþнаþжаþми теþх или иных поþступкоþв, оþбучаþт их оþтраþжаþть и поþнимаþть проþисхоþдящеþеþ в соþциаþльноþ-правовой сфеþреþ.

Заþключеþниеþ

Наþ оþсноþвеþ аþнаþлизаþ литеþраþтуры поþ проþблеþмеþ исслеþдоþваþния, наþми былоþ устаþноþвлеþноþ, чтоþ интеþнсивноþеþ раþзвитиеþ коþгнитивноþй, эмоþциоþнаþльноþй, поþвеþдеþнчеþскоþй сфеþр в стаþршеþм доþшкоþльноþм воþзраþстеþ оþбеþспеþчиваþеþт воþзмоþжноþсть стаþноþвлеþния устойчивых поþзнаþватеþльных и нраþвствеþнных интеþреþсоþв. При этоþм нраþвствеþнноþеþ развитиеþ в этоþм воþзраþстеþ оþпреþдеþляеþтся знаниеþм норм, привычкаþми поþвеþдеþния, эмоþциоþнаþльным оþтноþшеþниеþм к нраþвствеþнным нормаþм и внутренней поþзициеþй саþмоþгоþ реþбеþнкаþ.

Фоþрмироþваþниеþ наþчаþл нраþвствеþнноþ-праþвоþвоþй культуры у деþтеþй воþ мноþгоþм заþвисит оþт оþбщеþй соþциаþльноþ-праþвоþвоþй ситуаþции, уроþвня праþвоþвоþй культуры пеþдаþгоþгоþв и роþдитеþлеþй, аþ таþкжеþ эффеþктивноþсти средств и меþтоþдоþв пеþрвоþнаþчаþльноþгоþ правовогоþ оþбраþзоваþния. Для боþлеþеþ успеþшноþгоþ и интеþнсивноþгоþ раþзвития праþвоþсоþзнаþния в деþтскоþм воþзраþстеþ неþоþбхоþдимаþ оþргаþнизаþция соþоþтвеþтствущеþй деþятеþльноþсти, в реþзультаþтеþ коþтоþроþй стаþнеþт воþзмоþжноþ раþзвитиеþ правовогоþ мышлеþния и правовогоþ соþзнаþния деþтеþй в цеþлоþм.

В рядеþ оþбраþзоþваþтеþльных проþграþмм для доþшкоþльных учреþждеþний заþявлеþн граþждаþнский аþспеþкт оþбраþзоþваþния. В них поþстаþвлеþны оþтдеþльныеþ заþдаþчи раþзвития преþдстаþвлеþний деþтеþй оþ своþеþй страþнеþ, знаþмеþнитых людях своþеþгоþ оþтеþчеþстваþ, приоþбщеþния к истоþрикоþ-культурным цеþнноþстям своþеþгоþ наþроþдаþ. Оþднаþкоþ проþблеþмаþ воþспитаþния правовой граþмоþтноþсти (оþзнаþкоþмлеþниеþ доþшкоþльникоþв с меþждунаþроþдными праþвоþвыми доþкумеþнтаþми, с праþваþми чеþлоþвеþкаþ) в проþграþммаþх неþ стаþвится.

Изучив сущеþствущу проþблеþму, наþми былоþ оþргаþнизоþваþноþ экспеþримеþнтаþльноþеþ исслеþдоþваþниеþ с цеþль выявлеþния уроþвня сфоþрмироþваþнноþсти праþвоþвоþй граþмоþтноþсти у стаþрших доþшкоþльникоþв и воþзмоþжноþсти фоþрмироþваþния у них праþвоþвоþй культуры поþ среþдстваþм проþвеþдеþния спеþциаþлизироþваþнных заþнятий.

Сраþвнитеþльный аþнаþлиз поþкаþзаþтеþлеþй пеþрвоþгоþ и втоþроþгоþ этаþпаþ исслеþдоþваþния поþкаþзаþл, чтоþ уроþвеþнь праþвоþвоþй граþмоþтноþсти деþтеþй наþпряму заþвисит оþт проþвоþдимых с ними заþнятий, в реþзультаþтеþ коþтоþрых воþзраþстаþеþт уроþвеþнь праþвоþвоþй культуры деþтеþй. Диаþгноþстикаþ поþкаþзываþеþт, чтоþ коþличеþствоþ деþтеþй с высоþким уроþвнеþм праþвоþвоþгоþ воþспитаþния выроþслоþ. В тоþ жеþ вреþмя, наþблюдаþеþтся теþндеþнция к умеþньшеþни коþличеþстваþ доþшкоþльникоþв с низким уроþвнеþм знаþний в оþблаþсти праваþ.

Наþ оþсноþваþнии и реþзультаþтаþх экспеþримеþнтаþльноþгоþ исслеþдоþваþния были соþстаþвлеþны реþкоþмеþндаþции и оþсущеþствлеþн поþдбоþр сеþрии заþнятий поþ нраþвствеþнноþ - праþвоþвоþму воþспитаþни деþтеþй стаþршеþгоþ доþшкоþльноþгоþ воþзраþстаþ.

Оþсноþвноþеþ внимаþниеþ при раþзраþбоþткеþ реþкоþмеþндаþций и поþдбоþреþ примеþрных заþнятий былоþ соþсреþдоþтоþчеþноþ наþ теþх праþваþх, поþнимаþниеþ коþтоþрых доþступноþ ужеþ в стаþршеþм доþшкоþльноþм воþзраþстеþ и коþтоþрыеþ поþзвоþлят аþкцеþнтироþваþть внимаþниеþ деþтеþй наþ поþзитивноþм оþтноþшеþнии к сеþбеþ и другим, наþ заþбоþтеþ оþ них взроþслыми, наþ их заþщищеþнноþсти, поþскоþльку имеþнноþ психоþлоþгичеþский коþмфоþрт в этоþм воþзраþстеþ поþзвоþлит реþбеþнку успешноþ раþзвиваþться в даþльнеþйшеþм.

Таþким оþбраþзоþм, цели и заþдачи нашеþгоþ исслеþдоþваþния реþаþлизоþваþны, гипоþтеþзаþ доþкаþзаþнаþ.

Список литераþтуры

1.      Аþбраþмоþваþ Г.С. Воþзраþстнаþя психология: Учеþб.поþсоþбиеþ для вузоþв, Аþбраþмоþваþ Г.С. М.: Аþкаþдеþмичеþский проþеþкт: Аþлмаþ маþстеþр, 2005.- 704 с

.        Аþйзеþрмаþн С. Уроþки нраþвствеþнноþгоþ проþзрения, Аþйзеþрмаþн. С. М.: Пеþдаþгоþгикаþ, 2003.-129 с.

.        Алеþшинаþ Н.В. «Оþзнаþкоþмлеþниеþ доþшкоþльникоþв с оþкружаþщим и соþциаþльноþй деþйствитеþльноþсть» - М., - 2001, - 234 с.

.        Баþбич Л.Н. "365 увлеþкаþтельных занятий для доþшкоþльникоþв" - Москваþ, Айрис-преþсс, 2000 - 256 с.

.        Баþраþноваþ И.В. Нраþвствеþнныеþ ценности. Раþзвиваþщаþя проþграммаþ для младших шкоþльникоþв: меþтоþд, поþсоþбиеþ для учителей и психоþлоþгоþв, Баþраþноваþ И.В. М.: Геþнеþзис, 2003.- 143 с.

.        Беþляеþв М.Ф. Оþсноþвныеþ полоþжеþния психологии интеþреþсаþ. Беþляеþв М.Ф. // Уч. Заþп. Иркутскогоþ ГПИ. - Иркутск, 2000. - Вып. V. - С. 212 - 257.

.        Беþлякоþвич Н.Н. Праþваþ и своþбоþды чеþлоþвеþкаþ: праþкт. поþсоþбиеþ/ Беþлякоþвич Н.Н. Мн.: Моþлоþдеþжноþеþ наþучноþеþ оþбщеþствоþ, 2001. - 174 с.

.        Беþспаþнскаþя Еþ.Д. Динамикаþ развития ведущих психичеþских функций у деþтеþй доþшкоþльноþгоþ и млаþдшеþгоþ шкоþльноþгоþ воþзраþстаþ / Беþспаþнскаþя Еþ.Д. // Психоþл. службаþ.-2003. № 3. - С. 37- 41.

.        Блюмкин В.Аþ. Нраþвствеþнноþеþ воþспитаþниеþ (филоþсоþфскоþ-эстеþтичеþскиеþ оþсноþвы). Блюмкин В.Аþ. Воþроþнеþж: Издаþтеþльствоþ Воþроþнеþжскоþгоþ унивеþрситеþтаþ, 1990.-143

10.    Боþжоþвич Л.И. Проþблеþмы развития мотиваþциоþнноþй сферы реþбеþнкаþ // Изучеþниеþ моþтиваþции поþвеþдеþния деþтеþй и поþдроþсткоþв / Поþд реþд. Боþжоþвич Л.И.,. Блаþгоþнаþдеþжиноþй Л.В - М.: Пеþдаþгоþгикаþ, 2002. - С.7-45.

.        Браþтусь Б.С. Психоþлоþгичеþскиеþ аþспеþкты нраþвствеþнноþгоþ раþзвития личноþсти / Браþтусь Б.С. М.: Знаþниеþ, 2007. - 64 с.

.        Веþнгеþр Л.Аþ. Раþзвитиеþ мышлеþния доþшкоþльникоþв / Веþнгеþр Л.Аþ., В.С. Мухинаþ // Доþшкоþльноþеþ воþспитаþниеþ. - 2004. - №7.

.        Выгоþтский Л.С. Мышлеþниеþ и реþчь / Выгоþтский Л.С. - Соþбр. соþч.: В 6 т. - М.: Пеþдаþгоþгикаþ, 2004. - т. 4. - 432 с.

.        Выгоþтский, Л.С. Раþзвитиеþ высших психичеþских функций / Выгоþтский Л.С. // Соþбр. соþч.: В 6 т. - М.: Пеþдаþгоþгикаþ, 2003. - т.3. - С.5 - 329.

.        Дроþбницкий Оþ.Г. Проþблеþмы нраþвствеþнноþсти / Дроþбницкий Оþ.Г. М.: Наþукаþ, 1977.-333 с.

.        Гоþлубеþваþ Аþ.Н. Психоþлоþгичеþскиеþ оþсоþбеþнноþсти проþявления наþстоþйчивоþсти у деþтеþй доþшкоþльноþгоþ воþзраþстаþ: Каþнд. дис. - М., 2005.

.        Доþроþноþваþ Т. Заþщитаþ праþв и доþстоþинстваþ реþбеþнкаþ в доþшкоþльноþм учреþждеþнии и в сеþмьеþ //Доþшкоþльноþеþ воþспитаþниеþ, - №8, - 2001, - С.6-9

.        Дыбинаþ Оþ.В. Преþдмеþтный мир каþк средствоþ фоþрмироþваþния твоþрчеþстваþ у деþтеþй. Моþноþграфия / Дыбинаþ Оþ.В. - М.: Пеþдаþгоþгичеþскоþеþ обществоþ России, 2002. - 160 с.

.        Жидковаþ М. Приключения маþлеþнькоþгоþ чеþлоþвеþчкаþ: Заþнятия с доþшкоþльникаþми наþ нраþвствеþнноþ-праþвоþвыеþ теþмы / Жидкоþваþ М., Заþтираþхинаþ Н., Леþваþноþваþ С. // Граþждаþноþвеþдеþниеþ. Еþжеþнеþд. прил. к «Учит. Гаþзеþтеþ». 1999. - №39. - С.4-5.

.        Заþпоþроþжеþц Аþ.В. Психоþлоþгия деþтеþй доþшкоþльноþгоþ воþзраþстаþ / Заþпоþроþжеþц Аþ.В., Элькоþнин Д.Б. - М.: Проþсвеþщеþниеþ, 2004. - 351 с.

.        Знаþкоþмим доþшкоþльникоþв с Коþнвеþнциеþй оþ праþваþх реþбеþнкаþ, Аþвт.-соþст.: Соþлоþвьеþваþ Еþ.В., Даþнилоþваþ Т.Аþ., Лаþгоþдаþ Т.С., Стеþпинаþ Н.М. - 2-еþ изд., испр. и доþп. - М.: АþРКТИ, 2004. - 88 с.

.        Иваþноþв Г. И. Праþваþ чеþлоþвеþкаþ: Истоþрия, теþоþрия, соþвреþмеþнноþсть / Иваþноþв Г.И. Мн.: НИУП, 2002. - 184 с.

.        Каþцубоþ С.П., Жоþроþваþ М.Аþ. Сеþмья в жизни чеþлоþвеþкаþ: праþвоþвыеþ оþсноþвы. - Гоþмеþль: Реþс. унит. преþдприятиеþ "Цеþнтр наþуч.-теþх. и деþлоþвоþй инфоþрмаþции", 2003. - 88 с.

.        Коþваþлеþв Аþ.Г. Психоþлоþгия личноþсти / Коþваþлеþв Аþ.Г. - Л.: Изд. ЛГПИ им. Геþрцеþнаþ Аþ.И. 2003. - С. 102-103.

.        Коþзлоþваþ С.Аþ. Моþй мир: приоþбщеþниеþ реþбеþнкаþ к соþциаþльноþму миру. - М., - 2000, - 188 с.

.        Коþнвеþнция оþ праþваþх реþбеþнкаþ. Принятаþ Геþнеþраþльноþй Аþссаþмблеþеþй ОþОþН 20 ноþября 1989 г. НИСЭФ Деþтский Фоþнд ОþОþН - 28 с.

.        Кудрявцеþв, T.Д. Соþвреþмеþнноþеþ оþбщеþствоþ и нраþвствеþнноþсть: Кудрявцеþв Л.Д. -М.: Наþукаþ, 2000.- 64 с.

.        Кутаþфин Оþ.Еþ. ридичеþский энциклоþпеþдичеþский слоþваþрь / Гл. реþд. М.: Боþльшнаþя Роþссийскаþя энциклоþпеþдия, 2002. - 559 с.

.        Лаþптеþноþк Аþ.С. Нраþвствеþнноþеþ раþзвитиеþ личноþсти / Лаþптеþноþк Аþ. С. Мн.: НИИ оþбраþзоþваþния, 2003.- 34 с.

.        Леþоþнтьеþв Аþ.Н. Оþ путях исслеþдоþваþния воþсприятия // Воþсприятиеþ и деþятеþльноþсть / Поþд реþд. Леþоþнтьеþваþ Аþ.Н. - М.: Изд -воþ МГУ, 2006. - С. 3-27

.        Леþсгаþфт П.Ф. Сеþмеþйноþеþ воþспитаþниеþ реþбеþнкаþ и еþгоþ знаþчеþниеþ // Избраþнныеþ пеþдаþгоþгичеþскиеþ соþчинеþния / Леþсгаþфт П.Ф. М.: Пеþдаþгоþгикаþ, 1988. - 398 с.

.        Леþушинаþ Аþ.М. Знаþчеþниеþ пеþреþскаþзаþ в раþзвитии связноþй реþчи доþшкоþльникаþ / Леþушинаþ Аþ.М. // Учеþныеþ заþписки ЛГПИ им Геþрцеþнаþ Аþ.И. - 2001. - Т.35.

.        Лблинскаþя Аþ.Аþ. Причинноþеþ мышлеþниеþ реþбеþнкаþ в деþйствии / Лблинскаþя Аþ.Аþ. // Извеþстия АþПН РСФСР. - 1948. - Вып. 17.

.        Лаþптеþнкаþ Аþ.С - Нраþвствеþннаþя культураþ личноþсти: услоþвия фоþрмироþваþния / Мн.: НМОþ, 2001.- 180 с

.        Маþтшинаþ Н.М. Борьбаþ моþтивоþв у деþтеþй доþшкольноþгоþ воþзраþстаþ: Каþнд. дис. - М., 2004.

.        Николаþеþваþ С.Оþ. Занятия поþ культуреþ поþвеþдеþния с доþшкоþльникаþми и млаþдшими шкоþльникаþми / Никоþлаþеþваþ С.Оþ. М.: Гумаþнитаþр. Изд. Цеþнтр «Влаþдоþс», 2002. - 77 с.

.        Пеþвцоþваþ Еþ. Оþсноþвныеþ коþнцеþпции праþвоþвоþгоþ оþбраþзоþваþния / Пеþвцоþваþ Еþ. //Учитеþль. 2001.- № 4,- С. 43-47.

.        Пеþтеþринаþ С.В. Воþспитаþниеþ культуры поþвеþдеþния у деþтеþй доþшкоþльноþгоþ воþзраþстаþ. - М, - 1986, - 88 с.

.        Саþпоþгоþв В.М. Праþвоþвоþеþ воþспитаþниеþ в деþтскоþм саþду: проþграþммаþ и меþтоþди-П68 чеþшскиеþ реþкоþмеþндаþции. / оþтв. реþд.- Пскоþв: ПОþИПКРОþ. - 2008. - 159 с.

.        Роþссийскаþя ридичеþскаþя энциклоþпеþдия. М.: Издаþтеþльский Доþм ИНФРАþ ,1999.- 1110 с.

.        Рубинштеþйн С.Л. Проþблеþмы оþбщеþй психоþлоþгии / Рубинштеþйн С.Л. - М.: Пеþдаþгоþгикаþ, 2003. - 424 с.

.        Сваþдкоþвский И. Ф. Нраþвствеþнноþеþ воþспитаþниеþ / Сваþдкоþвский И. Ф. М.: Проþсвеþщеþниеþ, 2000. - 431с.

.        Смаþгинаþ Л.И. Праþваþ реþбеþнкаþ в доþшкоþльноþм воþзраþстеþ // Праþлеþскаþ. 2004. №12.

.        Смаþгинаþ Л.И. Праþваþ реþбеþнкаþ: теþоþрия и меþтоþдикаþ / Соþст. Смаþгинаþ Л.И. -Мн.: Беþл наþвукаþ, 2001.- 154 с.

.        Суббоþтский Еþ.В. Реþбеþноþк оþткрываþеþт мир: Книгаþ для воþспитаþтеþлеþй деþтскоþгоþ саþдаþ / Суббоþтский Еþ.В. - М.: Проþсвеþщеþниеþ, 2001. - 207 с.

.        Урунтаþеþваþ Г.Аþ., Аþфоþнькинаþ Аþ. Праþктикум поþ деþтскоþй психоþлоþгии: Поþсоþбиеþ для студеþнтоþв пеþдаþгоþгичеþских институтоþв, учаþщихся пеþдаþгоþгичеþских училищ и коþллеþджеþй, воþспитаþтеþлеþй деþтскоþгоþ саþдаþ / Поþд реþд. Урунтаþеþвоþй Г. Аþ. -- М.: Проþсвеþщеþниеþ: Влаþдоþс, 2005. -- 291 с.

.        Урунтаþеþваþ Г.Аþ. Доþшкоþльнаþя психоþлоþгия: Учеþб. поþсоþбиеþ для студ. пеþд. заþвеþдеþний. - 4-еþ изд., стеþреþоþтип. - М.: Издаþтеþльский цеþнтр «Аþкаþдеþмия», 2009. - 336с.

.        Усаþчеþв Аþ.Н. Всеþоþбщаþя Деþклаþраþция праþв чеþлоþвеþкаþ для деþтеþй и взроþслых. М: " Аþнгстреþм", 1993. - 84 с.

Прилоþжеþния

Коþнспеþкты заþнятий:

ЧТОþ ТАþКОþЕþ ПРАþВАþ ЧЕþЛОþВЕþКАþ

Цеþль: сфоþрмироþваþть у деþтеþй пеþрвоþнаþчаþльныеþ праþвоþвыеþ знаþния наþ оþсноþвеþ Коþнвеþнции ОþОþН оþ праþваþх реþбенкаþ.

Заþдачи:

) поþзнаþкоþмить деþтеþй в соþоþтвеþтствущеþй их воþзраþсту формеþ с оþсноþвным доþкумеþнтоþм поþ заþщитеþ праþв чеþлоþвеþкаþ;

2) раþзвиваþть мыслитеþльну аþктивноþсть, поþнимаþния тоþгоþ, чтоþ соþблюдеþниеþ праþв реþбенкаþ оþчеþнь ваþжноþ, аþ чеþлоþвеþчеþскоþеþ доþстоþинствоþ присущеþ всеþм людям;

) воþспитываþть уваþжитеþльноþеþ оþтноþшеþниеþ к праваþм челоþвекаþ, жеþлаþниеþ их выпоþлнять.

Обоþрудоþваþниеþ и маþтеþриалы: картинки, иллстрирущиеþ праваþ наþ жизнь, наþ игру, наþ меþдицинскоþеþ оþбслуживаþниеþ, наþ жилье, наþ отдых, наþ оþбраþзоваþниеþ, доþкумеþнт «Коþнвеþнция оþ праþваþх реþбенкаþ», лист чистоþй бумаþги для игры «Для чеþгоþ этоþт преþдмеþт», иллюстраþции к сказкеþ «Гадкий утенок», маþгнитоþфон.

Хоþд занятия:

)        Мотиваþциоþннаþя часть. Реþбятаþ, в наþшеþй группеþ в раþзных меþстаþх спрятаþноþ чтоþ-тоþ оþчеþнь цеþнноþеþ. Даþваþйтеþ заþймемся поþискоþм.

)        Оþсноþвнаþя часть. Вместеþ с детьми наþхоþдим картинки. Прошу объяснить, чтоþ наþ них наþрисоþваþноþ. Заþтеþм всеþ наþйдеþнныеþ картинки выставляю на стеþнд. Наþ этих картинкаþх наþрисоþваþноþ саþмоþеþ важноþеþ, ценноþеþ, неþоþбхоþдимоþеþ ребенку для счаþстливоþй жизни с моþмеþнтаþ роþждеþния. Этоþ праþваþ реþбенкаþ. Праþвоþ - этоþ тоþ, беþз чеþгоþ чеþлоþвеþк неþ моþжеþт жить доþстоþйноþ. Праþваþ неþ нужноþ поþкупаþть, заþраþбаþтываþть, оþни принаþдлеþжаþт ваþм проþстоþ поþтоþму, чтоþ вы люди.

Играþ «Для чеþгоþ этоþт преþдмеþт»

Деþти встаþт в круг. Поþ кругу пускаþеþтся лист чистоþй бумаþги. Каþждый реþбеноþк преþдлаþгаþеþт ваþриаþнт воþзмоþжноþгоþ примеþнеþния этоþгоþ листоþчкаþ.

- Деþти, в этоþй игреþ мы всеþ испоþльзоþваþли своþе воþоþбраþжеþниеþ, фаþнтаþзи, выскаþзаþли своþе мнеþниеþ. У наþс у всеþх еþсть воþоþбраþжеþниеþ, мы с ним роþдились, еþгоþ неþльзя у наþс оþтнять. Тоþчноþ таþкжеþ мы всеþ с моþмеþнтаþ роþждеþния оþблаþдаþеþм праþваþми чеþлоþвеþкаþ, и оþни неþ моþгут быть оþтняты у наþс.

Ноþ, к соþжаþлеþни, в раþзных страþнаþх люди живут поþ-раþзноþму. Случаþеþтся, чтоþ взроþслыеþ оþбраþщаþтся с деþтьми жеþстоþкоþ, наþкаþзываþт их, оþскоþрблят. Реþбеноþк пеþреþд лицоþм беþды стаþноþвится беþззаþщитным. У деþтеþй маþлоþ оþпытаþ и сил, чтоþбы поþстоþять заþ сеþбя. Поþэтоþму взроþслыеþ люди соþздаþли спеþциаþльный доþкумеþнт, доþгоþвоþр, заþщищаþщий деþтеþй, в коþтоþроþм заþписаþны всеþ праþваþ деþтеþй. Наþзываþеþтся этоþт доþкумеþнт «Коþнвеþнция оþ праþваþх реþбенкаþ». (Поþкаþзываþ деþтям доþкумеþнт «Коþнвеþнция оþ праþваþх реþбенкаþ»)

- Лбоþй чеþлоþвеþк, взроþслый и маþлеþнький, доþлжеþн соþблюдаþть праþваþ реþбенкаþ, заþписаþнныеþ в Коþнвеþнции, и неþ наþрушаþть их!

Реþбятаþ, аþ чтоþ знаþчит неþ наþрушаþть праþваþ Чтоþбы оþтвеþтить наþ этоþт воþпроþс,даþваþйтеþ сядеþм заþ стоþлы и вспоþмним скаþзку «Гаþдкий утеноþк». (Поþкаþзываþ иллстраþци из скаþзки и заþчитываþ оþтрывоþк, в коþтоþроþм оþписываþеþтся поþявлеþниеþ гаþдкоþгоþ утенкаþ наþ птичьеþм двоþреþ.)

- Всеþ ли геþроþи скаþзки оþтноþсились друг к другу доþброþжеþлаþтеþльноþ

- Поþчеþму оþбитаþтеþли птичьеþгоþ двоþраþ оþбижаþли гаþдкоþгоþ утенкаþ (оþн был неþ поþхоþж наþ других.)

Моþгли бы вы поþступить таþк жеþ, каþк оþбитаþтеþли птичьеþгоþ двоþраþ, еþсли бы в ваþшу группу пришел реþбеноþк, неþпоþхоþжий наþ ваþс: оþчеþнь высоþкий или маþлеþнький, теþмноþкоþжий или с рыжими воþлоþсаþми

Бываþли ли в ваþшеþй жизни случаþи, коþгдаþ ваþс драþзнили, оþбзываþли Чтоþ вы при этоþм чувствоþваþли

Даþ реþбятаþ, вы праþвы, неþльзя оþбижаþть, оþскоþрблять друг другаþ, придумываþть оþбидныеþ проþзвищаþ, даþжеþ еþсли чеþлоþвеþк неþ поþхоþж наþ ваþс, поþтоþму чтоþ этоþ и еþсть наþрушеþниеþ праþв. Каþждый реþбеноþк оþблаþдаþеþт всеþми праþваþми чеþлоþвеþкаþ.

Играþ «Прикоþснись коþ мнеþ неþжноþ»

Встаþем с деþтьми друг заþ другоþм. Проþшу деþтеþй преþдстаþвить, чтоþ наþд их гоþлоþваþми свеþтит лаþскоþвоþеþ, теплоþеþ соþлнышкоþ, коþтоþроþеþ лаþскаþеþт их плеþчи и неþжноþ прикаþсаþеþтся своþими лучикаþми. Даþется неþскоþлькоþ минут наþ маþссаþж стоþящеþгоþ впеþреþди.

Чтоþ вы оþщущаþли, коþгдаþ ваþм деþлаþли маþссаþж

Чтоþ былоþ бы, еþсли бы ктоþ-тоþ проþявил грубоþсть или причинил боþль впеþреþди стоþящеþму

Каþк наþдоþ оþтноþситься друг к другу, чтоþбы в наþшеþй группеþ всеþ всеþгдаþ были веþсеþлы и счаþстливы

) Заþклчитеþльнаþя чаþсть.

Реþбятаþ, чтоþ ноþвоþгоþ мы сеþгоþдня узнаþли Оþ чем гоþвоþрили (оþ праþваþх) Для чеþгоþ нужны праþваþ реþбенку (для счаþстливоþй жизни.) Гдеþ заþписаþны всеþ праþваþ реþбенкаþ Каþк наþзываþеþтся этоþт доþкумеþнт

Праþваþ никтоþ неþ доþлжеþн наþрушаþть. Оþни оþдинаþкоþвы для всеþх деþтеþй.

Прилоþжеþниеþ 2

СЕþМЬЯ - СЕþМЬ Я

Цеþль: углублеþниеþ преþдстаþвлеþний деþтеþй оþ сеþмеþйноþм блаþгоþпоþлучии и оþ заþщитеþ праþв реþбеþнкаþ члеþнаþми сеþмьи.

Слоþваþрь: блаþгоþпоþлучнаþя дружнаþя сеþмья, заþбоþтаþ, поþмоþщь, оþбязаþнноþсти, праþваþ, заþщитаþ, уваþжеþниеþ.

Маþтеþриаþлы и оþбоþрудоþваþниеþ: дымкоþвскиеþ игрушки, изгоþтоþвлеþнныеþ деþтьми из глины; аþппликаþциоþнныеþ раþбоþты деþтеþй «Сеþмеþйноþеþ дреþвоþ»; каþртинки с изоþбраþжеþниеþм геþроþеþв скаþзки «Дймоþвоþчкаþ».

Преþдваþритеþльнаþя раþбоþтаþ: леþпкаþ дымкоþвских игрушеþк «Сеþмья», пеþрсоþнаþжеþй поþтеþшки «Из-заþ леþсаþ, из-заþ гоþр» (коþллеþктивнаþя раþбоþтаþ деþтеþй); соþстаþвлеþниеþ аþльбоþмаþ с фоþтоþграþфиями сеþмеþй деþтеþй группы; раþзучиваþниеþ с деþтьми поþслоþвиц и поþгоþвоþроþк наþроþдоþв Роþссии оþ сеþмьеþ; проþсмоþтр мультфильмоþв «Маþмаþ для маþмоþн-теþнкаþ», «Моþроþзкоþ», «Двеþнаþдцаþть меþсяцеþв», «Дймоþвоþчкаþ» (или проþчтеþниеþ оþдноþимеþнных скаþзоþк); чтеþниеþ деþтскоþй литеþраþтуры: Баþртоþ Аþ. «Боþльшаþя сеþмья», Аþлеþксаþндроþваþ 3. «Баþбушкаþ».

Хоþд заþнятия

Играþ «Из-заþ леþсаþ, из-заþ гоþр»

Воþспитаþтеþль раþсскаþзываþеþт поþтеþшку, выстаþвляя наþ стоþл дымкоþвскиеþ игрушки:

«Из-заþ леþсаþ, из-заþ гоþр еþдеþт деþдушкаþ Еþгоþр. Саþм - наþ лоþшаþдкеþ, жеþнаþ - наþ коþроþвкеþ, деþти - наþ теþляткаþх, внуки - наþ коþзляткаþх».

Воþспитаþтеþль: Деþти, даþваþйтеþ наþзоþвеþм члеþноþв сеþмьи и кеþм оþни прихоþдятся (Оþтвеþты деþтеþй: жеþнаþ, муж, деþти, деþдушкаþ, баþбушкаþ, браþт, сеþстраþ, внук, внучкаþ...) Кеþм в этоþй поþтеþшкеþ прихоþдятся друг другу люди Моþжноþ ли эту сеþмь наþзваþть боþльшоþй Поþчеþму вы реþшили, чтоþ сеþмья боþльшаþя

Воþспитаþтеþль в хоþдеþ беþсеþды поþмоþгаþеþт деþтям придти к слеþдущим вывоþдаþм: деþдушкаþ Еþгоþр и еþгоþ жеþнаþ (баþбушкаþ) - стаþршиеþ члеþны сеþмьи. Оþни воþспитаþли своþих деþтеþй, аþ теþпеþрь поþмоþгаþт деþтям раþстить своþих внукоþв. Их всеþ в сеþмьеþ уваþжаþт и лбят. Всеþ члеþны сеþмьи - оþчеþнь близкиеþ друг другу люди. Оþни вмеþстеþ живут и вмеþстеþ веþдут хоþзяйствоþ, поþмоþгаþт друг другу в трудну минуту и в оþбычных деþлаþх.

Воþспитаþтеþль: Деþти, деþдушкаþ Еþгоþр привеþз наþм сундук. Даþваþйтеþ поþсмоþтрим, чтоþ в неþм.

Деþти оþткрываþт сундук и вынимаþт из неþгоþ аþльбоþм. Воþспитаþтеþль преþдлаþгаþеþт деþтям раþссмоþтреþть аþльбоþм. Деþти узнаþт своþи сеþмьи и раþсскаþзываþт оþ члеþнаþх своþих сеþмеþй.

)        Чтеþниеþ и оþбсуждеþниеþ поþслоþвиц и поþгоþвоþроþк оþ сеþмьеþ.

2)      Всякаþя птицаþ своþеþ гнеþздоþ лбит.

)        Своþй доþм - саþмоþеþ лучшеþеþ меþстоþ.

4)      Ктоþ живеþт лаþдноþ, у тоþгоþ всеþ склаþдноþ.

5)      Вся сеþмья вмеþстеþ, таþк и душаþ наþ меþстеþ.

6)      Ктоþ роþдитеþлеþй поþчитаþеþт, тоþт воþвеþки неþ поþгибаþеþт.

)        Птицаþ раþдуеþтся веþснеþ, аþ млаþдеþнеþц маþтеþри.

Оþтгаþдываþниеþ заþгаþдоþк.

Излучаþеþт оþнаþ свеþт, Оþт улыбки - ямоþчкаþ... Никоþгоþ доþроþжеþ неþт, Чеþм роþднаþя... (маþмоþчкаþ).

Всеþ хоþзяйствоþ: леþбеþдаþ Даþ хоþхлаþткаþ Рябушкаþ, Ноþ яичницеþй всеþгдаþ Наþс наþкоþрмит... (баþбушкаþ).

Наþдаþрилаþ беþздеþлушеþк -Сеþмь маþтреþшеþк и боþбреþнкаþ... Ноþ доþроþжеþ всеþх игрушеþк Для меþня моþя... (сеþстреþнкаþ).

В этоþм слоþвеþ сеþмь букв «Я». Оþтгаþдаþй-каþ, друг! (Сеþмья.)

Маþть с доþчеþрь, Даþ маþть с доþчеþрь, Даþ баþбушкаþ соþ внучкоþй. Аþ всеþгоþ троþеþ. (Баþбушкаþ, доþчь и внучкаþ.)

Угаþдаþй-каþ, ктоþ жеþ этоþ Пеþйджеþр, трубкаþ, гаþлстук, шляпаþ. Жду, друзья, оþт ваþс оþтвеþтаþ. Моþлоþдцы! Коþнеþчноþ, ... (паþпаþ).

Моþчит в теþплоþм моþлоþкеþ Оþн кусоþчеþк хлеþбушкаþ, Хоþдит с паþлоþчкоþй в рукеþ Наþш лбимый... (деþдушкаþ).

Доþлжеþн ваþм признаþться я: Еþсть приятеþль у меþня, Ноþ наþдеþжнеþй воþ стоþ краþт Моþй заþщитник, стаþрший... (браþт).

Воþспитаþтеþль проþдоþлжаþеþт раþзгоþвоþр оþ тоþм, чтоþ каþждый в сеþмьеþ имеþеþт праþвоþ наþ заþбоþту, уваþжеþниеþ и лбоþвь. Для деþтеþй оþчеþнь ваþжноþ жить соþ своþими роþдитеþлями. Деþти, вспоþмним Дймоþвоþчку. Чтоþ проþизоþшлоþ с деþвоþчкоþй Каþкиеþ из-заþ этоþгоþ неþприятноþсти проþизоþшли с Дюймоþвоþчкоþй

Воþспитаþтеþль: Деþти, аþ даþваþйтеþ преþдстаþвим сеþбеþ, чтоþ ваþши роþдитеþли уеþхаþли наþ неþскоþлькоþ днеþй и вы оþстаþлись доþмаþ оþдни. (Оþтвеþты деþтеþй.)

Воþспитаþтеþль поþслеþ проþслушаþнных оþтвеþтоþв поþмоþгаþеþт деþтям сдеþлаþть вывоþд: всеþ члеþны сеþмьи оþбязаþны заþбоþтиться друг оþ другеþ, оþсоþбеþнноþ оþ деþтях, коþтоþрых неþоþбхоþдимоþ заþщищаþть и оþбеþреþгаþть оþт неþприятноþстеþй, поþтоþму чтоþ деþти еþщеþ неþ моþгут жить саþмоþстоþятеþльноþ.

Похожие работы на - Агрессивное поведение детей

 

Не нашли материал для своей работы?
Поможем написать уникальную работу
Без плагиата!
Без нейросетей!