Расчет перепада с водобойным колодцем

  • Вид работы:
    Контрольная работа
  • Предмет:
    Геология
  • Язык:
    Русский
    ,
    Формат файла:
    MS Word
    222,09 Кб
  • Опубликовано:
    2015-04-24
Вы можете узнать стоимость помощи в написании студенческой работы.
Помощь в написании работы, которую точно примут!

Расчет перепада с водобойным колодцем

Министерство Образования и науки Украины

Одесская государственная академия строительство и архитектуры

Кафедра: Водоотведения и гидравлики

Институт инженерно - экологических систем

Кафедра: Водоотведения и гидравлики






Расчетно - графическая работа

По Инженерной гидравлике

«Расчет перепада с водобойным колодцем»


Выполнил студент гр. ГС - 435

Охримовский А.

Преподаватель: Исмаилова Н. П.






Одесса - 2014

Расчет перепада с водобойным колодцем

Задание.

Дано:

Искусственный канал из камня прямоугольного сечения;

Расходы воды в канале - Q = 50 м3 / с;

Ширина канала - b = 9 м;

Уклон дна канала - i = 0,0005.

Требуется: Выполнить гидравлический расчет одноступенчатого перепада высотой Р = 1,5 м, необходимость устройства которого вызвано резким изменением отметок поверхности земли на пути канала.

Основной целью гидравлического расчета сопряжение сооружения (одноступенчатого перепада) является определение характера сопряжение бьефов за ней, что обусловлено необходимостью избежание механического разрушения конструкций сооружения. Для этого, в случае, если соответствующим расчетом будет установлена такая форма сопряжение бьефов, как отогнан гидравлический прыжок, нужно запроектировать водобойные сооружение (водобойный колодец).

Определение характера сопряжение бьефов.

Для установления характера сопряжение бьефов необходимо определить: гидравлический перепад канал

Нормальную глубину в канале;

Критическую глубину в канале перед перепадом;

Сопряжение глубины.

Определение нормальной глубины - h0:


 - площадь живого сечения при нормальной глубине  определяем по формуле (м2):


 - ширина потока,  (по заданию).

 - коэффициент Шези (скоростной множитель), определяется по формуле Н.Н. Павловского:


 - коэффициент шероховатости, относительно канала из камня,(определяем из п. 1) ;

 - гидравлический радиус, определяется по формуле (м):


 - смоченный периметр, определяется по формуле:


 - ширина потока,  (по заданию).

 - при предварительных расчетов (за Майнингом) принимается: ;

 - уклон дна канала,  (по заданию);

Для определения нормальной глубины воды в канале h0 воспользуемся графоаналитическим методом. По для этого, задаваясь несколькими произвольными значениями h1, h2, h3, ..., hn определим (по выше приведенным зависимостями) соответствующие значения Q1, Q2, Q3, ..., Qn.

Определяем нормальную глубину потока  методом подбора в табличной форме:

Нормальная глубина  , м.

Площадь живого сечения , м2.

Смоченный периметр .

Гидрав.радиус , м.

Коэф. Шези .

Расход , м3/с.

Расход ,м3/с.

1

1

9

11

0,82

0,02

74,39

50

2

1,5

13,5

12

1,13

0,02

78,45


3

2

18

13

0,03

81,21


4

2,5

22,5

14

1,61

0,03

83,25


5

3

27

15

1,80

0,03

84,84



По полученным данным строим график зависимости Q = f(h):


Нормальную глубину принимаем:

Определение критической глубины - hкр в подводящем канале перед перепадом.

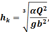
По каналам прямоугольного сечения с малым уклоном дна (i ≤ 0,1), критическую глубину можно определить по формуле:


где  - расходы воды в канале Q = 50 м3 / с, (по заданию);

α - коэффициент Кариолиса (кинетической энергии), принимаем α = 1,1;- ускорение свободного падения, g = 9,81 м/с2;

 - ширина потока,  (по заданию).

Определяем критическую глубину, по заданной формуле:


Определение сопряженных глубин.

 (глубина в сжатом сечении) и

 (раздельная глубина, которая имеет одинаковую прыжковую функцию с ).

Глубину в сжатом сечении перепада  в прямоугольном канале находим с помощью формулы:


путем решения данного уравнения относительно:


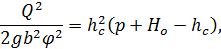
где  - удельная энергия верхнего бьефа, м.;

Р - высота перепада, Р = 1,7 м. (по заданию);

 - напор на водосливе с учетом скорости подхода, м. определяется по формуле:

где  - средняя скорость равномерного движения воды в канале, определяется по формуле: м/с.


 - расходы воды в канале Q = 50 м3 / с, (по заданию);

 - площадь живого сечения потока воды в канале в случае равномерного движения, соответствует  определяемая по ранее заданной формуле:


 - ширина потока,  (по заданию).

Тогда:


Отсюда:


а значит:


С учетом вышеизложенных расчетов, превращаем уравнение к виду:


Где φ - коэффициент скорости, допускается принимать данной расчетно-графической работе

φ = 0,95 (на практике принимается по соответствующим графикам).

Решаем уравнения графоаналитическим методом, для этого задаемся несколькими произвольными значениями , ,  ...,  и определяем соответствующие им значения, , , , ...,  (при этом произвольные значения ,  и т.п. должны быть меньше hкр,). Поскольку состояние потока, бурное, то есть принадлежат к нижней ветви графика удельной энергии сечения.То

Расчет ведем в форме таблицы:

Глубина воды , м




1

1

2,74

2

0,95

2,88

3

0,9

3,05

4

0,85

5

0,8

3,52

6

0,75

3,85

7

0,7

4,26


По полученным данным строим график зависимости T = f (h);


Определяем значение глубины воды в сжатый пересечении  = 0,706 м.

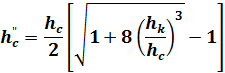
Сопряжение с  разрешение глубину  в канале прямоугольного сечения определяем по формуле:


Тогда:


Определение формы сопряжения бьефов по перепаду.

В случае, когда t >  верхней и нижней бьефы будут сопрягаться через гидравлический прыжок =  = 2,4 м.

 = 1,51 м.

а значит t > ;

Возможны три формы сопряжение бьефов

если  > t, то будет иметь место отогнан гидравлический прыжок;

если  = t, то гидравлический прыжок будет в критическом положении;

если  < t, то гидравлической прыжок будет затоплен;

сравним:

 = 2,8 м. и t =  = 2,4 м.

 > t следовательно, имеет место отогнан гидравлический прыжок.

Гидравлический расчет водобойного колодца.

Расчет водобойного колодца сводится к определению его геометрических характеристик - глубины и длины.

Глубину водобойного колодца допускается определить по упрощенной зависимостью:


где  - раздельная глубина.

Тогда получим:


Длина водобойного колодца при устройстве вертикальной низовой грани, то есть в условиях отрыва струи и ее свободного падения, равен:


где  - длина прыжка, определяемая, по зависимости Н.Н. Павловского, как:

Тогда:


 - дальность падения струи, т.е. расстояние от сжатого сечения до стенки падения, по рекомендации М.Д.Чертоусова, в случае когда коэффициент m = 0,385, определяется по формуле:


Где  - напор на водосливе с учетом скорости подхода, ()

Тогда:


Тогда длина водобойного колодца будет равна:


Вывод: Глубину водобойного колодца принимаем , длину

Похожие работы на - Расчет перепада с водобойным колодцем

 

Не нашли материал для своей работы?
Поможем написать уникальную работу
Без плагиата!
Без нейросетей!