|
Параметр
|
Пласт
|
|
Т1-IV
|
Р2-Iа
|
Р2-Iб
|
|
Принятый
в действующем проектном документе
|
Уточненные
|
Изменение
в абсолютных величинах, %
|
Принятый
в действующем проектном документе
|
Уточненные
|
Изменение
в абсолютных величинах, %
|
Принятый
в действующем проектном документе
|
Уточненные
|
Изменение
в абсолютных величинах, %
|
|
Категория
|
С1
|
С1
|
С1
|
|
Площадь
газоносности, км2
|
32,864
|
32,864
|
0
|
34,0
|
34,0
|
0
|
37,44
|
37,44
|
0
|
|
Балансовые
запасы пластового газа, млн м3
|
5252,0
|
5252,0
|
0
|
1157,0
|
1157,0
|
0
|
1783,0
|
1783,0
|
0
|
|
Потенциальное
содержание конденсата, г/м3
|
29,0
|
29,0
|
0
|
70
|
70
|
0
|
70,0
|
70,0
|
0
|
|
Балансовые
запасы «сухого» газа, млн м3
|
5223,0
|
5223,0
|
0
|
1140,0
|
1140,0
|
0
|
1757,0
|
1757,0
|
0
|
|
Балансовые
запасы конденсата (геологические/извлекаемые), тыс. т
|
152/129
|
152/129
|
0
|
81/57
|
81/57
|
0
|
125/87
|
125/87
|
0
|
. Анализ системы разработки
.1 Анализ технологических показателей разработки
Рассмотрено четыре варианта разработки
месторождения. Первый и второй варианты разработки рассчитаны из условия
обеспечения минимального годового отбора газа - 100 млн м3,
обусловленного лицензией на разработку Мастахского месторождения. Третий и
четвертый варианты рассчитаны на максимальную годовую добычу газа при «сезонной»
эксплуатации скважин. Расчетный вариант 2 дополнен вариантом 2-а,
предусматривающим разработку месторождения по тому же сценарию, но с
коэффициентом «сезонной» эксплуатации скважин 0,6.
Исходные данные для расчета экономической
эффективности вариантов разработки основаны на фактических сведениях ОАО
«Якутгазпром», которое осуществляет эксплуатацию месторождения, действующих
прейскурантах и нормативных документах по состоянию на 01.01.2005.
Разработка месторождения осуществляется по
варианту, объединяющему технологические показатели расчетных вариантов 2 и 2-а.
Краткая характеристика варианта разработки.
Разработка месторождения ведется с заданным
диапазоном изменения годового отбора. Нижний предел диапазона составляет добыча
100 млн м3 газа при «сезонной» эксплуатации скважин, коэффициент
эксплуатации скважин 0,5. Верхний предел диапазона определяется увеличением
коэффициента эксплуатации скважин до 0,6, что связано с возможностью
возникновения критических ситуаций на основном газоснабжающем центральный регион
Республики Саха (Якутия) Средневилюйском месторождении.
Дополнительно к действующей скважине № 105 для
разработки пермских залежей восточного купола опущенного блока проектом
предусмотрено восстановление и ввод в эксплуатацию скважины № 11. Это позволяет
отработать пермские залежи с лучшими технологическими показателями и большим
коэффициентом газоотдачи за проектный период.
Ввод в эксплуатацию скважины № 11
проектировалось осуществить в 2008 году. Поскольку продуктивная характеристика
этой скважины значительно хуже, чем скважины № 105, то в ней предусмотрено (для
улучшения условий выноса жидкости с забоя) произвести замену НКТ на трубы
меньшего диаметра (рекомендуемый внутренний диаметр НКТ - 50,3 мм). Кроме того,
для создания лучших условий работы скважин запроектировано с 2008 года
изменение ограничения снижения давления на устье до 5,59 МПа (57 кгс/см2),
что влечет необходимость перехода к одноступенчатой сепарации газа (вместо
применяемой в настоящее время двухступенчатой).
Количество газа, отбираемого из триасовой залежи
Т1-IV,
регулируется условием общего суммарного отбора из двух залежей не ниже 100 млн
м3 за год. Отбор газа также производится при максимально допустимой
депрессии с максимальным дебитом; для получения заданного годового отбора запроектировано
снижение коэффициента эксплуатации скважин. Условие эксплуатации скважин с
максимальным дебитом необходимо для обеспечения выноса с забоя скважины
жидкости (водо-конденсато-метанольной смеси).
По расчету с 2019 года фактические дебиты скважин
станут ниже минимально необходимого дебита для выноса жидкости с забоя. С этого
года необходимо начать эксплуатацию скважин по НКТ меньшего диаметра
(рекомендуемый внутренний диаметр НКТ - 50,3 мм) либо использовать ПАВ. В
случае замены НКТ на трубы меньшего диаметра использование ПАВ потребуется с
2030 года.
В 2019 году пермские (P2-I,II)
и триасовая (Т1-IV)
залежи не смогут обеспечивать требуемый уровень годового отбора. С 2019 года
проектируется ввод в разработку залежи Т1-Х (восточный купол). Ввод
залежи в разработку проектируется осуществить скважиной № 30, ранее
эксплуатировавшей залежь Т1-Ха. Залежь необходимо
эксплуатировать при максимально допустимой депрессии с максимальным дебитом,
получая заданную величину годового отбора снижением коэффициента эксплуатации
скважины. В целях обеспечения превышения фактического дебита над минимально
необходимым для выноса жидкости с забоя скважину рекомендуется эксплуатировать
по НКТ, имеющим внутренний диаметр 50,3 мм.
С 2028 года для получения заданного уровня
годового отбора требуется ввод в разработку юрских залежей J1-I,II
восточного купола опущенного блока. Для обеспечения выноса жидкости с забоя
скважин необходимо, во-первых, произвести замену НКТ на трубы меньшего диаметра
(рекомендуемый внутренний диаметр НКТ - 50,3 мм), а, во-вторых, использовать
ПАВ.
Ввод в эксплуатацию пермской P2-Iа
залежи приподнятого блока проектируется в 2032 году.
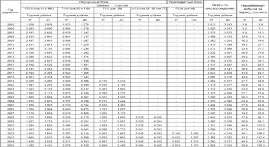
Годовые отборы газа и конденсата по принятому к
внедрению варианту представлены в таблице 2.1.
Таблица 2.1 Принятый к внедрению вариант
разработки (Годовая добыча газа, млн м3 и газоотдача, %)
.2 Анализ истории разработки Мастахского ГКМ
Мастахское газоконденсатное месторождение
разрабатывается с 1973 года. Начальные запасы «сухого» газа, утвержденные ГКЗ
МПР России (протокол № 959 от 03.11.2004), в целом по месторождению составляют:
32,243 млрд м3 категории С1 и 6,541 млрд м3
категории С2. В 2008 году было добыто 0,118 млрд м3 газа
и 2,6 тыс. т стабильного конденсата. Общий отбор газа по месторождению на
01.01.2009 составил 14,167 млрд м3 или 43,9 % от утвержденных
начальных запасов. В период авторского сопровождения 2005 - 2008 годы в
эксплуатации находились газоконденсатные залежи пермских отложений (пласт P2-I)
и газоконденсатные залежи триасовых отложений (пласт T1-IV).
Остальные объекты эксплуатации (газоконденсатные залежи пермских отложений на
приподнятом блоке, газоконденсатные залежи триасовых отложений - пласты T1-X,
T1-Xа
и
газоконденсатные залежи юрских отложений - пласты J1-I,II)
не разрабатывались.
Газоконденсатные залежи пермских отложений (пласты
P2-I,II)
Залежи приурочены к продуктивным пластам Р2-Iа,
Р2-Iб
и Р2-II;
разрывным нарушением разделены на два блока - приподнятый и опущенный.
Промышленно газоносными утверждены запасы газа
на приподнятом блоке и на восточном куполе опущенного блока.
На приподнятом блоке разработка залежи велась в
1984 - 1985 гг. скважиной № 107 (отобрано 6,4 млн м3 газа или 0,5 %
от начальных запасов, составлявших 1225 млн м3).
В разработке пермских залежей опущенного блока
принимали участие четыре скважины:
скважины № 11 и 103 разрабатывали I
свод восточного купола опущенного блока;
скважины № 105 и 110 разрабатывали II
свод восточного купола опущенного блока.
Начальные запасы «сухого» газа категории С1
на восточном куполе опущенного блока составляли 4634 млн м3; на 01.01.2009
отобрано 2320 млн м3 или 50 % от начальных запасов, начальное
пластовое давление 42,77 МПа снизилось к концу 2008 года до 21,40 МПа или на 50
%.
В период авторского сопровождения 2005 - 2008
годы добыча газа велась одной скважиной № 105. За период эксплуатации (1983 -
2008 годы) скважина отобрала 1649 млрд м3 газа, что составляет 36 %
от общих запасов; дебит скважины снижался от 426 тыс. м3/сут в 1985
году до 184 тыс. м3/сут в 2008 году; текущее рабочее устьевое
давление - 8,0 МПа, текущая депрессия на пласт - 9,5 МПа.
Газоконденсатные залежи триасовых отложений
(пласты T1-IV,
T1-X,
T1-Xа)
В период авторского сопровождения 2005 - 2008
годы в разработке находился III
эксплуатационный объект:
залежь пласта T1-IV
на опущенном блоке - начальные запасы «сухого» газа категории С1
составляли 5223 млн м3, на 01.01.2009 отобрано 2629 млн м3
или 50 % от НБЗ, начальное пластовое давление 34,43 МПа снизилось к концу 2008
года до 12,09 МПа или на 65 %.
В разработке триасовой залежи T1-IV
принимали участие три скважины. В период авторского сопровождения 2005 - 2008
годы добыча газа велась двумя скважинами - № 65 и 110.
Скважина № 65 введена в эксплуатацию первой в
1981 году. Пластовое давление за период эксплуатации снизилось с 34,43 до 12,80
МПа, т.е. на 63 %. Дебит скважины снижался от 426 тыс. м3/сут в 1983
году до 157 тыс. м3/сут в 2008 году. Текущая депрессия на пласт -
1,53 МПа, текущее рабочее устьевое давление составило 7,80 МПа. Скважина
отобрала 1894 млн м3 газа, что составляет 36 % от начальных запасов пласта
Т1-IVб¢.
Скважина № 110 переведена с горизонта P2-I,II
в 1993 году. Пластовое давление в районе скважины № 110 при ее вступлении в
разработку составляло 22,52 МПа. За период эксплуатации пластовое давление
снизилось до 14,2 МПа, т.е. на 37 %, или на 59 % от начального давления в
залежи. Дебит скважины снижался от 322 тыс. м3/сут в 1993 году до
162 тыс. м3/сут в 2008 году. Текущая депрессия на пласт - 1,47 МПа,
текущее рабочее устьевое давление - 7,82 МПа. Скважина отобрала 684 млн м3
газа, что составляет 13 % от начальных запасов пласта Т1-IVб¢;
залежь пласта T1-X
на приподнятом блоке - начальные запасы газа категории С1 составляли
5007 млн м3, отобрано 979 млн м3 или 20 %, начальное
пластовое давление 28,84 МПа снизилось за период разработки до 21,50 МПа или на
25 %, разработка залежи не ведется с 1996 года;
залежь пласта T1-Xа
на
восточном куполе опущенного блока - начальные запасы газа категории С1
составляли 1803 млн м3, отобрано 1322 млн м3 или 73 %,
начальное пластовое давление 28,45 МПа снизилось за период разработки до 9,30
МПа или на 66 %, разработка залежи не ведется с 1997 года;
залежи пласта T1-X
на западном куполе опущенного блока (начальные запасы газа 379 млн м3
) и на восточном куполе опущенного блока (начальные запасы газа 808 млн м3)
в разработке не были.
Газоконденсатные залежи юрских отложений (пласты
J1-I,II)
В разработке находилось два эксплуатационных
объекта:
залежи пластов J1-I,II
на западном куполе опущенного блока - начальные запасы газа категории С1
составляли 4018 млн м3, отобрано 2134 млн м3 или 47 %,
начальное пластовое давление 17,60 МПа снизилось за период разработки до 11,8
МПа или на 33 %, разработка залежи не ведется с 1996 года;
залежи пластов J1-I,II
на восточном куполе опущенного блока - начальные запасы газа категории С1
составляли 9146 млн м3, отобрано 4777 млн м3 или 52 %,
начальное пластовое давление 17,60 МПа снизилось за период разработки до 13,9
МПа или на 21 %, разработка залежи не ведется с 1997 года.
.3 Анализ показателей работы фонда скважин
Всего на месторождении пробурено 75 разведочных
и эксплуатационных скважин, добыча газа велась 34 эксплуатационными скважинами.
На 01.01.2009 общий эксплуатационный фонд
скважин составляет 18 единиц. Он состоит из трех действующих скважин (№ 65,
105, 110), двух бездействующих скважин (№ 11 и 30), четырех - наблюдательных (№
66, 68, 104, 106), три скважины в консервации (№ 55, 62, 77) и шесть -
ожидающие ликвидации (консервации) (№ 24, 71, 98, 103, 109, 111).
Принятая в проектном документе [2] схема
эксплуатации Мастахского месторождения позволяет в период 2005 - 2035 годы
производить годовые отборы газа от 100 до 152 млн м3 при количестве
эксплуатируемых скважин от трех до восьми единиц. При этом запроектировано:
увеличить фонд добывающих газ из пермских
отложений скважин до двух единиц за счет возврата в эксплуатацию бездействующей
скважины № 11 в 2008 году;
ввести в эксплуатацию в 2019 году залежь
триасовых отложений на восточном куполе опущенного блока - пласт Т1-Х
(залежь вводится в эксплуатацию переводом с нижележащего объекта бездействующей
скважины № 30);
возвратить в эксплуатацию в 2028 году залежи
юрских отложений на восточном куполе опущенного блока - пласты J1-I,II
(залежи вводятся в разработку возвратом в эксплуатацию двух скважин из трех
бездействующих (№ 55, 66 или 77));
возвратить в эксплуатацию в 2032 году залежь
пермских отложений на приподнятом блоке - пласт P2-Ia
(залежь вводится в разработку возвратом в эксплуатацию ожидающей ликвидации
скважины № 98).
Очередность ввода объектов в эксплуатацию
определялась их удаленностью от имеющейся УКПГ (связанными в связи с этим
затратами на восстановление шлейфов, метонолопроводов и подъездных путей) и
принципом отработки объектов «снизу вверх».
.4 Анализ результатов газогидродинамических
исследований скважин и пластов
Исследования проводились по всему фонду
действующих скважин в 2005, 2006 и 2008 гг.
Газогидродинамические исследования проводились в
условиях стационарного режима фильтрации газа, а также снимались кривые
нарастания и стабилизации (восстановления) давления.
ГГДИ позволили уточнить текущую продуктивную
характеристику скважин:
зависимость дебита газа от разности квадратов
пластового и забойного давлений;
условия притока и уравнение притока газа к забою
скважины.
Результаты обработки ГГДИ за 2008 год приведены
в таблице 2.2.
Таблица 2.2 Результаты обработки ГГДИ в 2008
году по скважине № 65 04.02.2008
Таблица 2.3 Результаты обработки ГГДИ в 2008
году по скважине № 65 18.04.2008
Таблица 2.4 Результаты обработки ГГДИ в 2008
году по скважине № 65 24.08.2008
Таблица 2.5 Результаты обработки ГГДИ в 2008
году по скважине № 65 23.10.2008
Таблица 2.6 Результаты обработки ГГДИ в 2008
году по скважине № 105 28.02.2008
Таблица 2.7 Результаты обработки ГГДИ в 2008
году по скважине № 105 12.04.2008
Таблица 2.8 Результаты обработки ГГДИ в 2008
году по скважине № 110 29.02.2008
Таблица 2.9 Результаты обработки ГГДИ в 2008
году по скважине № 110 24.10.2008
Обработка результатов исследований позволила
получить уравнение притока газа к забою скважины, содержащее третий свободный
член размерности разности квадратов пластового и забойного давлений (МПа2).
Наличие данного члена связано, по всей видимости, с накоплением и последующим
выносом жидкости (конденсата и воды) с забоя скважины.
Построенные по результатам исследований скважин
в 2008 году графики осредненных индикаторных кривых представлены на рисунках
2.1, 2.2, 2.3.
Для скважины № 105 (пласт Р2-I)
уравнение притока газа к скважине в 2008 году имело вид:
Р2пл - Р2з
= 1,111·Q + 0,0025·Q2;
(2.1)
для скважины № 65 (пласт T1-IV)
уравнение притока газа к скважине в 2008 году имело вид:
Р2пл - Р2з
= 0,150·Q + 0,0005·Q2;
(2.2)
для скважины № 110 (пласт T1-IV)
уравнение притока газа к скважине в 2008 году имело вид:
Р2пл - Р2з
= 0,260·Q + 0,0006·Q2,
(2.3)
Где Рпл
- пластовое давление, МПа;
Рз -
забойное давление, МПа;
Q
- дебит газа, тыс. м3/сут.
Проницаемость пласта в зоне отбора скважины,
рассчитанная по коэффициенту «А¢» и по коэффициенту КВД «в»,
составляла (Ч10-15 м2):
Рисунок 2.1 - График осредненной индикаторной
кривой для скважины № 105 в 2008 году
Рисунок 2.2 - График осредненной индикаторной
кривой для скважины № 65 в 2008 году
Рисунок 2.3 - График осредненной индикаторной
кривой для скважины № 110 в 2008 году
3. Технологические режимы эксплуатации скважин
.1 Общие положения
Технологический режим работы газовых и
газоконденсатных скважин зависит от множества факторов, связанных со структурой
месторождения, характеристикой пористой среды и пластовых флюидов, конструкцией
скважин и техническими условиями эксплуатации скважинного и промыслового
оборудования и др.
Эксплуатация газовых и газоконденсатных скважин
осуществляется в соответствии с технологическим режимом их работы,
установленным при проектировании разработки месторождений. Одной из основных
задач проектирования разработки газовых и газоконденсатных месторождений
является выбор такого режима эксплуатации скважин, при котором обеспечивается
бесперебойная их работа в течение всего периода разработки залежи с
максимальным извлечением запасов газа и конденсата при минимальных затратах.
Технологический режим работы скважин устанавливается на основании материалов,
накопленных при поиске, разведке и опытной эксплуатации месторождения.
Соответствующая информация, используемая при выборе технологического режима,
накапливается при изучении геологического строения месторождения, проведении
газо-гидродинамических, геофизических и лабораторных исследований свойств
газоносных коллекторов и содержащихся в них газов, воды и конденсата. Объем
информации, необходимый для установления технологического режима, достаточно
широк. Поэтому правильность выбранного технологического режима работы скважин в
значительной степени зависит от количества и качества этой информации.
Для установления обоснованного технологического
режима необходимо учесть:
- географические и метеорологические
условия района расположения месторождения, наличие слоя многолетней мерзлоты;
форму, тип, размеры и режим залежи; емкостные и фильтрационные параметры
пластов, глубину и последовательность их залегания, наличие гидродинамической
связи между пропластками; запасы газа, конденсата и нефти, наличие и активность
подошвенных вод;
- условия вскрытия пласта в процессе
бурения, свойство промывочной жидкости, степень загрязнения призабойной зоны
промывочной жидкостью; устойчивость пласта к разрушению; влияние изменения
давления на параметры пласта, водонефтегазонасыщеннооть пластов; совершенство
скважин по степени и характеру вскрытия;
- составы газа, конденсата, воды и
нефти, наличие в составе газа коррозионно-активных компонентов, H2S,
CO2,
ртути и др.; присутствие органических кислот в пластовой воде;
физико-химические свойства газа, конденсата, нефти и воды и их изменение по
площади, и по разрезу; влагосодержание газа;
- конструкцию скважин, оборудование
забоя и устья скважины; схему сбора, очистки и осушки газа на промысле, условия
транспортировки газа; техническую и технологическую характеристики применяемого
скважинного и промыслового оборудования;
- условия потребления газа и жидкости
по темпу отбора, неравномерность потребления, теплотворную способность газа и
т.д.
К основным факторам, влияющим на режим
эксплуатации, относятся:
- деформация и устойчивость к
разрушению продуктивного разреза; наличие активной подошвенной или краевой воды
(нефти), способной сравнительно быстро обводнить скважину;
- условия, степень и характер вскрытия
с учетом анизотропии пласта;
- наличие коррозионно-активных
компонентов в составе газа и пластовой воды, концентрация этих компонентов,
давление, температура и скорость потока по стволу;
- возможность образования жидких и
песчаных пробок в процессе эксплуатации;
- многопластовость, различие состава
газа, давлений и температур отдельных пропластков, наличие гидродинамической
связи между ними, различие уровня газожидкостных контактов, неоднородность разреза
месторождения.
По мере истощения месторождения, продвижения
подошвенной и краевой вод, снижения дебита и давлений, изменения состава
добываемой продукции наступает время, когда установленный режим не обеспечивает
нормальную работу скважины. Тогда производят замену одного режима другим.
Каждый из перечисленных факторов с учетом
дополнительных, не приведенных выше, требует разработки конкретных методов и
технологий, позволяющих установить оптимальный технологический режим работы
скважин и снять по возможности ограничения, связанные с влиянием на него того
или иного фактора. Для некоторых из них, например, для наличия подошвенной
воды, разрушения пласта, образования пробок и гидратов и т. д., разработаны
эффективные меры, позволяющие повысить производительность газовых скважин.
Независимо от исходных условий, многообразия
факторов, влияющих на технологические режимы работы скважин, принимаемый в
проекте вариант по режиму эксплуатации должен быть экономически наиболее
эффективным. Нарушение последнего условия возможно лишь временно и в
исключительных случаях.
Технологический режим работы газовых и
газоконденсатных скважин устанавливается и поддерживается в соответствии со
сроками, указанными в проекте разработки для каждой скважины на месторождении,
исходя из геологических и технологических условий.
В качестве критериев при выборе технологического
режима используются:
Режим постоянного градиента на стенке скважины,
если пласт неустойчивый при слабоустойчивый и происходит разрушение призабойной
зоны при превышении некоторого значения градиента давления. Как правило,
разрушение породы в зависимости от устойчивости происходит, начиная от
некоторого значения градиента Если пласт неустойчивый к разрушению, то
разрушение начинается при любом градиенте.
Предельно допустимые градиенты давления в
породах с различной устойчивостью приведены ниже:/dR<0,05 атм/см - в
неустойчивых коллекторах,
.05<dP/dR<0,l атм/см - в слабоустойчивых
коллекторах,
,l<dP/dR<l,0 атм/см - в среднеустойчивых к
разрушению коллекторах,
,0<dP/dR<l,5 атм/см - в устойчивых к
разрушению коллекторах, /dR>1,5 атм/см - в высокоустойчивых коллекторах.
Следует иметь в виду, что критерий в виде
градиента давления в наименьшей степени изменчив в процессе разработки.
Изменение градиента происходит только на поздней стадии разработки, при
обводнении скважин, а также после ремонта скважин. При режиме эксплуатации
скважин с постоянным градиентом давления происходит изменение радиуса скважины,
если скважина эксплуатируется с выносом песка, но эти изменения не влияют на
дебит скважины, так как они незначительны.
При dP/dR =const
расчет дебита ведется по следующим формулам:
Решаем методом
Ньютона
Режим постоянной депрессии на пласт
следует использовать, если существует возможность деформации пласта, приводящей
к ухудшению проницаемости призабойной зоны или обводнение скважины подошвенной
водой.
Следует обратить внимание, что
величина допустимой депрессии на пласт зависит от свойств воды и газа,
положения ГВК и величины вскрытия, т.е. нижней границы интервала перфорации, от
вертикальной проницаемости пласта и активности подошвенной воды.
Таким образом, для обоснования технологического
режима работы скважин в условиях возможного обводнения подошвенной водой
имеются два основных направления работ:
) приближенная оценка текущего безводного
дебита газовых скважин, вскрывших изотропные и а пласты с подошвенной водой;
) численное определение безводного или
точнее, просто дебита скважины с учетом продвижения воды, путем использования
геолого-математической модели скважины, вскрывшей однородные и
неоднородно-многослойные пласты с подошвенной водой.
По методике Алиева З.С. предельный безводный
дебит определяется так:
где
- относительное вскрытие пласта,
- относительный радиус контура
питания,
Ко - параметр,
определяемый по формуле:
- допустимая депрессия на пласт при
наличии подошвенной воды, определяемая согласно работе по формуле:
где
- плотности пластовой воды и газа в
рабочих условиях, g - ускорение силы тяжести;
- высота столба жидкости,
обеспечивающая 0,1 МПа.
аис и bис
- коэффициенты фильтрационного сопротивления, определенные по результатам
исследования скважин, вскрывших пласт толщиной h на величину hв.
Рисунок 3.1 Схема относительного вскрытия пласта
Режим постоянного забойного давления при
проектировании не часто используется для обоснования режима эксплуатации
скважин. Наиболее часто используемый случай P3=Const связан с
разработкой ненасыщенных газоконденсатных месторождений. Такой режим не
долговечен из-за того, что по достижении определенной величины пластового
давления во избежание интенсивного снижения дебита скважин он заменяется другим
режимом, более подходящим на данной стадии разработки залежи. Теоретически
продление срока эксплуатации скважин на режиме P3=Const возможно при
поддержании пластового давления путем закачки сухого газа или воды в пласт.
Дебит определяется из уравнения притока:
Уравнение (14) преобразуется
следующим образом:
где Dscr -
дискриминант квадратного уравнения;
где а и b -
коэффициенты фильтрационного сопротивления.
Режим постоянного дебита скважин
является наиболее выгодным, если его можно поддерживать длительное время, если
увеличение депрессии на пласт при этом не приводит к осложнениям, если
предприятие временно не имеет возможности бурить и обустраивать дополнительное
число скважин. Такой режим может быть временно использован и при условиях
добычи коррозионного-активного газа, когда интенсивность коррозии связана со
скоростью движения газа по стволу скважины с заданной конструкцией. При этом
режиме конструкция скважины должна обеспечить вынос твердых и жидких примесей с
забоя и исключить возможность образования песчано-жидкостных пробок.
Режим постоянного устьевого давления
выбирается, как правило, на непродолжительный срок и при этом не с начала
разработки месторождения. Использование режима Ру=Const всегда
связано с необходимостью некоторое время поддерживать такое давление, при
котором работой системы осушки газа будет обеспечена требуемая кондиция газа.
Такая ситуация возникает при несвоевременном вводе в эксплуатацию дожимных
компрессорных станций. Применение этого режима приводит к снижению дебита
скважин ниже проектных. Такая ситуация возникает почти на всех месторождениях и
приводит к временному уменьшению отбора газа из месторождения, не предусмотренного
проектом.
Режим постоянной скорости потока, в
особенности в интервале перфорации, используется для обеспечения выноса
примесей, поступающих на забой вместе с газом. Режим постоянной скорости потока
по стволу должен быть использован для двух участков: у интервала перфорации для
выноса примесей и у устья скважины, при которой обеспечивается весьма низкая
интенсивность коррозионно-эррозионного разъедания фонтанных труб в случае
отсутствия защитных ингибиторов. Низкая скорость у интервала перфорации, достаточная
для удаления примесей, должна быть
5 м/с. Ниже этого предела существует
опасность образования пробки. Максимальная скорость ближе к устью скважины
должна быть
11 м/с, при
которой интенсивность разъедания труб значительно ниже, чем при скоростях
больше 11 м/с. Таким образом, с точки зрения технологии эксплуатации скорость
движения по стволу должна быть
м/с.
Когда сила сопротивления среды R
равна весу частицы в газовой среде G, получим:
где
- безразмерный коэффициент
сопротивления среды;
d - диаметр
частицы;
- плотность
газа, кг/м3
v0 - скорость
движения частицы.
При Re<500:
При Re>500:
Из (3.19) получаем
где
По результатам опытов величин
критической скорости дебит скважины определяется по формуле:
При выносе капель жидкости скорость, необходимая
для выноса жидкости:
Дебит газа, при котором капли жидкости будут
выноситься с забоя:
, (3.28);
, (3.29);
. (3.30);
(3.31);
(3.32);
Температурный технологический режим
эксплуатации скважин
Для определения возможности образования гидратов
в призабойной зоне пласта необходимо использовать уравнения: движения газа в
пласте, распределения температуры при снижении давления и уравнения
равновесного гидратообразования.
Прежде всего, надо исходить из того, что при
работе скважины наибольший перепад давления в пласте имеет место у стенки
скважины. Следовательно, самая низкая температура газа в зоне, дренируемой
скважиной, будет у стенки, и оно будет самой опасной зоной с точки зрения
образования гидратов.
(3.33);
;
(3.34);
Распределение температуры газа в пласте с
приемлемой точностью определяется по формуле:
(3.35);
где Di -
коэффициент Джоуля-Томсона, G - дебит скважины в кг/час. Для
используемого при расчете распределения давления Q в тыс.м3/сут
может быть переведен в G по формуле: G = 54сQ, (36)
с- относительная плотность газа; Ср -
изобарная теплоемкость газа в пластовых условиях.
При R=RC
можно найти потери температуры снижения давления при пуске скважины в работу с
дебитом Q:
(3.36);
.2 Методика расчета
Определение допустимого дебита
проектной скважины при режиме постоянного градиента на стенке скважины
. Исходные данные (Rc, Rк,
С, А,В, Pпл.) принимаем из приложения
. Определяем значения коэффициентов
А0 и В0 согласно формулам (3.2), (3.3) соответственно;
. Определяем f(Qi), f'(Qi) по
формулам (3.4; 3.5);
. Производим расчет допустимого
дебита с помощью метода Ньютона;
. Строим график зависимости f(Qi) от Qi,, определяем
допустимый дебит.
Определение допустимого дебита
проектной скважины при режиме постоянной депрессии на пласт.
1. Исходные данные (сотн, Тпл,
h г.ср, hвск,, g, св, Rc, Rк,
А, В, Pпл) принимаем из приложения
. Рассчитываем критические, приведенные
параметры и коэффициент сверхсжимаемости по формулам (3.28; 3.29; 3.30; 3.31;
3.32);
. Находим допустимую депрессию на пласт ДР2д
по формуле (3.14), K0 и Q* по формулам (3.13), (3.10);
. Находим Qпб
по формуле (3.8);
. Строим графическую зависимость .Qпб
от hотн
для определения предельного безводного дебита;
Обоснование скоростного режима эксплуатации
проектной скважины.
. Исходные данные (Рз, Ру,
Тз, dнкт, Тз, Tу, Zз,
Zу, Рст,
Тст) принимаем из приложения
. Находим Zу
по формуле (3.28) Находим Zз
по формуле (3.28);
. Определяем дебит скважины из условия, что vз>5
м/с по формуле (3.25);
. Определяем дебит скважины из условия, что vз<11
м/с по формуле (3.24).
. Определяем дебита выноса капельной жидкости по
формуле (3.27).
Определение дебита при режиме постоянного
давления на забое.
. Исходные данные (Pпл
, Pз , A,
B);
2. Находим разность между
;
. Составляем квадратное уравнение
;
. Определяем корень квадратного
уравнения по формуле (3.17);
Определяем давление на забое при
режиме постоянного дебита.
. Исходные данные (Pпл , A , B , Q );
2. Определяем значение Pз
по формуле
Определяем значение дебита при режиме
постоянного давления на устье скважины.
. Исходные данные ( Tу
, Tз , A
,B , Pу
, H );
2. Определяем значения Tпр , Pпр, Zcр ,S ,
;
. Составляем
систему
уравнений
;
. Подставляем Pз в верхнее
выражение и получаем квадратное уравнение;
. Определяем значение дебита из
квадратного уравнения;
3.3 Расчетная часть
Задача 1. Определение допустимого дебита
проектной скважины при режиме постоянной депрессии на пласт.
Исходные данные: Rc=0,095 м , Rк=1000 м ,
сотн=0,605, Tпл=344 К ,
g=9,81
=1020
,
=10м.
Таблица 3.1 Исходные данные
|
№
скв.
|
А
В
Pпл
,МПа
,м ,м
|
|
|
|
|
|
65
|
0,06
|
0,0003
|
12,8
|
9
|
5.6
|
|
105
|
0,46
|
0,0024
|
20,54
|
25
|
15,5
|
|
110
|
0,035
|
0,0003
|
14,2
|
6,6
|
4,1
|
Таблица 3.2 Определение критических параметров и
коэффициента сверхсжимаемости.
|
№
скв.
|
Tкр, K
|
Pкр, МПа
|
Tпр
|
Pпр
|
Z
|
|
65
|
198,051
|
4,65
|
1,74
|
2,75
|
0,866
|
|
105
|
198,051
|
4,65
|
1,74
|
4,42
|
0,873
|
|
110
|
198,051
|
4,65
|
1,74
|
3,06
|
0,864
|
Таблица 3.3 Расчёт необходимых параметров
|
№
скв.
|
    
|
|
|
|
|
|
65
|
91,8
|
0,62
|
0,058
|
0,002308719
|
10526,3
|
|
105
|
148,3
|
0,62
|
1,242
|
0,142513539
|
10526,3
|
|
110
|
103,5
|
0,62
|
0,025
|
0,001241578
|
10526,3
|
Таблица 3.4 Определение предельно допустимого
дебита
|
№
скв.
|
  Q, тыс.м3/сут
|
|
|
|
|
65
|
79718,7
|
132911
|
281,09
|
335,75
|
|
105
|
333722,2
|
1612751
|
993,93
|
409,7
|
|
110
|
64036,4
|
134219
|
282,5
|
268,4
|
Таблица 3.5 Зависимость дебита от относительного
вскрытия скважины №65
|
hотн
|
ДР2д,
МПа2/м
|
K0
|
Q*
|
Q,
тыс.м3/сут
|
|
0
|
0
|
0
|
0
|
0
|
|
0,1
|
188807,5
|
314790
|
176,27
|
211,5
|
|
0,15
|
178318,2
|
297301
|
209,51
|
251,3
|
|
0,2
|
167828,9
|
279813
|
234,40
|
281,2
|
|
0,25
|
157339,6
|
262325
|
253,44
|
304,0
|
|
0,3
|
146850,3
|
244836
|
267,90
|
321,4
|
|
0,35
|
136361,0
|
227348
|
278,50
|
334,1
|
|
0,4
|
125871,7
|
209860
|
285,69
|
342,7
|
|
0,45
|
115382,4
|
192372
|
289,73
|
347,6
|
|
0,5
|
104893,1
|
174883
|
290,77
|
348,8
|
|
0,55
|
94403,8
|
157395
|
288,85
|
346,5
|
|
0,6
|
83914,4
|
139907
|
283,93
|
340,6
|
|
0,65
|
73425,1
|
122418
|
275,86
|
330,9
|
|
0,7
|
62935,8
|
104930
|
264,37
|
317,1
|
|
0,75
|
52446,5
|
87442
|
249,03
|
298,7
|
|
0,8
|
41957,2
|
69953
|
229,10
|
274,8
|
|
0,85
|
31467,9
|
52465
|
203,32
|
243,9
|
|
0,9
|
20978,6
|
34977
|
169,19
|
203,0
|
|
0,95
|
10489,3
|
17488
|
120,35
|
144,4
|
|
1
|
0,0
|
0
|
0,00
|
0,0
|
Рисунок 3.2 График зависимости предельного
безводного дебита от относительного вскрытия пласта для скважины №65 Qопт=348,8
тыс.м3/сут при вскрытии 0,5
Таблица 3.6 Зависимость дебита от относительного
вскрытия скважины №105
|
hотн
|
ДР2д,
МПа2/м
|
K0
|
Q*
|
Q,
тыс.м3/сут
|
|
0
|
0
|
0
|
0
|
0
|
|
0,1
|
790394,8
|
3819674
|
616,88
|
255,3
|
|
0,15
|
746484,0
|
3607470
|
733,94
|
303,7
|
|
0,2
|
702573,1
|
3395266
|
821,88
|
340,1
|
|
0,25
|
658662,3
|
3183062
|
889,40
|
368,1
|
|
0,3
|
614751,5
|
2970858
|
940,93
|
389,4
|
|
0,35
|
570840,7
|
2758654
|
979,01
|
405,2
|
|
0,4
|
526929,8
|
2546450
|
1005,18
|
416,0
|
|
0,45
|
483019,0
|
2334245
|
1020,38
|
422,3
|
|
0,5
|
439108,2
|
2122041
|
1025,09
|
424,2
|
|
0,55
|
395197,4
|
1909837
|
1019,49
|
421,9
|
|
0,6
|
351286,6
|
1697633
|
1003,40
|
415,3
|
|
0,65
|
307375,7
|
1485429
|
976,33
|
404,1
|
|
0,7
|
263464,9
|
1273225
|
937,36
|
387,9
|
|
0,75
|
219554,1
|
1061021
|
884,92
|
366,2
|
|
0,8
|
175643,3
|
848817
|
816,49
|
337,9
|
|
0,85
|
131732,5
|
636612
|
727,64
|
301,1
|
|
0,9
|
87821,6
|
424408
|
609,66
|
252,3
|
|
0,95
|
43910,8
|
212204
|
440,23
|
182,2
|
|
1
|
0,0
|
0
|
0,00
|
0,0
|
Рисунок 3.3 График зависимости предельного
безводного дебита от относительного вскрытия пласта для скважины №105 Qопт=424,4
тыс.м3/сут при вскрытии 0,5
Таблица 3.7 Зависимость дебита от относительного
вскрытия скважины №110
|
hотн
|
ДР2д,
МПа2/м
|
K0
|
Q*
|
Q,
тыс.м3/сут
|
|
0
|
0
|
0
|
0
|
0
|
|
0,1
|
151665,1
|
317886
|
177,14
|
169,0
|
|
0,15
|
143239,3
|
300226
|
210,54
|
200,9
|
|
0,2
|
134813,5
|
282566
|
235,56
|
224,8
|
|
0,25
|
126387,6
|
264905
|
254,70
|
243,0
|
|
0,3
|
117961,8
|
247245
|
269,23
|
256,9
|
|
0,35
|
109535,9
|
229585
|
279,88
|
267,1
|
|
0,4
|
101110,1
|
211924
|
287,11
|
274,0
|
92684,2
|
194264
|
291,17
|
277,8
|
|
0,5
|
84258,4
|
176603
|
292,22
|
278,8
|
|
0,55
|
75832,6
|
158943
|
290,29
|
277,0
|
|
0,6
|
67406,7
|
141283
|
285,35
|
272,3
|
|
0,65
|
58980,9
|
123622
|
277,24
|
264,5
|
|
0,7
|
50555,0
|
105962
|
265,70
|
253,5
|
|
0,75
|
42129,2
|
88302
|
250,28
|
238,8
|
|
0,8
|
33703,4
|
70641
|
230,26
|
219,7
|
|
0,85
|
25277,5
|
52981
|
204,35
|
195,0
|
|
0,9
|
16851,7
|
35321
|
170,06
|
162,3
|
|
0,95
|
8425,8
|
17660
|
120,98
|
115,4
|
|
1
|
0,0
|
0
|
0,00
|
0,0
|
Рисунок 3.4 График зависимости предельного
безводного дебита от относительного вскрытия пласта для скважины №110 Qопт=278,8
тыс.м3/сут при вскрытии 0,5
Задача 2. Определение допустимых дебитов
проектных скважин при режиме постоянного градиента на стенке скважины
Таблица 3.8 Исходные данные
|
№
скв
|
A, (МПа)2/(тыс.
м3/cут)
|
B, (МПа)2/(тыс.
м3/сут)2
|
Pпл, МПа
|
Rк , м
|
Rc , м
|
|
65
|
0,06
|
0,0003
|
12,8
|
1000
|
0,095
|
|
105
|
0,46
|
0,0024
|
20,54
|
1000
|
0,095
|
|
110
|
0,035
|
0,0003
|
14,2
|
1000
|
0,095
|
Таблица 3.9 Значения вычисленных коэффициентов
фильтрационных сопротивлений А0, В0.
|
№
скважины
|
А0
(МПа)2/(тыс. м3/cут)
|
В0
(МПа)2/(тыс. м3/сут)2
|
|
65
|
0,03410
|
0,0015789
|
|
105
|
0,26141
|
0,0126316
|
|
110
|
0,01989
|
0,0015789
|
Таблица 3.10 Значения дебитов в зависимости от C.
|
С
МПа/м
|
Cквж. №65 Q
тыс.м3/сут
|
Cквж. №105 Q
тыс.м3/сут
|
Cквж. №110 Q
тыс.м3/сут
|
|
10
|
501,2
|
669,7
|
590,12
|
Задача 3. Определение забойного давления при
режиме постоянного дебита
Таблица 3.11 Исходные данные.
|
№
скв.
|
A
, B
,  , МПаQ ,
|
|
|
|
|
65
|
0,06
|
0,0003
|
12,8
|
348,8
|
|
105
|
0,46
|
0,0024
|
20,54
|
423,4226
|
|
110
|
0,035
|
0,0003
|
14,5
|
278,4
|
Таблица 3.12 Определение давления на забое
|
№
скв.
|
Pз
, Мпа
|
|
65
|
10,315695
|
|
105
|
13,524464
|
|
110
|
12,986302
|
Вывод: Из проведенных расчетов следует, чтобы
поддерживать оптимальные дебиты нужно поддерживать рассчитанные давления на
забое.
Задача 4. Определение давления на устье при
оптимальном дебите
Таблица 3.13 Исходные данные.
|
№
скв.
|
Q,
тыс.м3/сут
|
Pз
, МПа
|
Tу,
К
|
Tз,
К
|
|
65
|
348,8
|
10,315695
|
292,8
|
341
|
|
105
|
423,4226
|
13,524464
|
293,9
|
345
|
|
110
|
278,4
|
12,986302
|
293
|
345
|
Таблица 3.14 Определение необходимых параметров
для нахождения давления на устье.
|
№
скв.
|
S
|
Pу
|
Zср
|
ᶿ
|
дискриминант
|
|
65
|
0,237372
|
5,120095
|
0,864
|
0,000528
|
0,4067874
|
|
105
|
0,249666
|
7,181893
|
0,844
|
0,000546
|
1,14069631
|
|
110
|
0,23338
|
9,001585
|
0,851
|
0,000509
|
0,11317833
|
Задача 5. Определение минимального и
максимального допустимых дебитов при скоростном режиме.
Таблица 3.15 Исходные данные: Pст=0,101325
МПа, Tcт=293,15 К Tпл=344
К, Ткр=198,051, Ркр=4,65 МПа, dнкт=0,073,
Vзаб=5 м/с Vуст=12
м/с
|
№
скв.
|
Pзаб, МПа
|
Pуст, МПа
|
Tуст, К
|
|
65
|
10,315695
|
5,120095
|
292,8
|
|
105
|
13,524464
|
7,181893
|
293,9
|
|
110
|
12,986302
|
9,001585
|
293
|
Таблица 3.16 Определение дебита на устье
скважины из условий, vу<11
м/с
|
№
Скважины
|
Тпр(уст)
|
Рпр(уст)
|
Z(уст)
|
,
|
|
65
|
1,491
|
1,677
|
0,855
|
458,4
|
|
105
|
1,470
|
2,219
|
0,826
|
628
|
|
110
|
1,461
|
1,941
|
0,836
|
542,9
|
Таблица 3.17 Определение дебита на забое
скважины из условий, что vз>5
м/с
|
№
Скв.
|
Тпр(заб)
|
Рпр(заб)
|
Zзаб
|
Qзаб,
|
|
65
|
1,75
|
2,43
|
0,874
|
270,6
|
|
105
|
1,73
|
2,91
|
0,862
|
329,3
|
|
110
|
1,72
|
2,48
|
0,867
|
222,7
|
Вывод: Из выполненных расчетов следует, что
данные дебиты входят в диапазон дебитов, при которых выносится жидкость и
твердые частицы с забоя, а также при которых устьевое оборудование подвергается
наименьшему износу.
Задача 6. Температурный режим
Таблица 3.18 Исходные данные.
|
Тпл,
К
|
Тнс,
К
|
Тммп,
К
|
Ннс,
м
|
Нскв,
м
|
НММП,
м
|
лтр
|
ср,
Дж/(кг∙К)
|
|
344,00
|
264
|
267
|
5,4
|
3200
|
389
|
0,017
|
2827,1
|
Таблица 3.19
|
cп,Дж/(кг·К)
|
лп,
Вт/(м∙К)
|
Rк,
м
|
Rс,
м
|
dНКТ,
м
|
Ткр,
К
|
Ркр,
МПа
|
сММП,
Дж/м3
|
лММП,Вт/(м∙К)
|
|
960
|
1,6
|
1000
|
0,095
|
0,073
|
198,051
|
4,65
|
2,12
|
3,21
|
Таблица 3.20
|
№ Скв.
|
Q, тыс.м3/сут
|
Рз,
МПа
|
Рпл,
Мпа
|
h, м
|
|
65
|
348,8
|
10,315695
|
12,8
|
9
|
|
105
|
423,4226
|
13,524464
|
20,54
|
25
|
|
110
|
278,4
|
12,986302
|
14,5
|
6,6
|
Таблица 3.21 Определение параметров до ММП
|
№
скв.
|
G,
кг/с
|
Тпр
|
Рпр
|
f(Di),
Дж/(кг·К)
|
Di,
K/МПа
|
f(ф)
|
Г,
К/м
|
б,
1/м
|
ДTi,
K
|
|
65
|
3,17
|
1,74
|
2,75
|
207,01
|
3,12
|
5,42
|
0,026451
|
0,000207
|
2,50
|
|
105
|
3,84
|
1,74
|
4,42
|
167,61
|
2,53
|
5,42
|
0,026451
|
0,000171
|
5,80
|
|
110
|
2,53
|
1,74
|
3,05
|
199,88
|
3,01
|
5,42
|
0,026451
|
0,000260
|
1,19
|
Таблица 3.22 Определение параметров в зоне ММП
|
№
скважин
|
ГММП,
К/м
|
В
|
f(ф)ММП
|
|
65
|
0,007821
|
0,000129
|
8,816937
|
0,000255
|
|
105
|
0,007821
|
0,000129
|
8,816937
|
0,000210
|
|
110
|
0,007821
|
0,000129
|
8,816937
|
0,000320
|
Таблица 3.23 Определение термобарических
параметров по стволу скважины №65
|
Hi,
м
|
Тi,
К
|
Tсрi,
К
|
Рсрi,
МПа
|
zсрi
|
si
|
иi
|
Pi,
МПа
|
|
3300
|
341,50
|
341,50
|
10,32
|
0,874
|
0
|
0
|
10,32
|
|
389
|
312,15
|
326,82
|
7,91
|
0,879
|
0,2093033
|
0,0004974
|
5,50
|
|
0
|
309,10
|
310,63
|
5,11
|
0,901
|
0,0287102
|
0,0000537
|
4,73
|
Таблица 3.24 Определение термобарических
параметров по стволу скважины №105
|
Hi,
м
|
Тi,
К
|
Tсрi,
К
|
Рсрi,
МПа
|
zсрi
|
si
|
иi
|
Pi,
МПа
|
|
3300
|
338,20
|
338,20
|
13,52
|
0,858
|
0
|
0
|
13,52
|
|
389
|
312,92
|
325,56
|
10,70
|
0,857
|
0,215562011
|
0,0004862
|
7,88
|
|
0
|
309,88
|
311,40
|
7,47
|
0,872
|
0,029614135
|
0,0000521
|
7,05
|
Таблица 3.25 Определение термобарических
параметров по стволу скважины №110
|
Hi,
м
|
Тi,
К
|
Tсрi,
К
|
Рсрi,
МПа
|
zсрi
|
si
|
иi
|
Pi,
МПа
|
|
3300
|
342,81
|
342,81
|
12,99
|
0,864
|
0
|
0
|
12,99
|
|
389
|
312,52
|
327,67
|
11,11
|
0,857
|
0,214238
|
0,0004885
|
9,23
|
|
0
|
309,48
|
311,40
|
8,99
|
0,856
|
0,030183
|
0,0000511
|
8,75
|
Рисунок 3.5 График распределения давления и
температуры по стволу скважины №65
Рисунок 3.6 График распределения давления и
температуры по стволу скважины №105
Рисунок 3.7 График распределения давления и
температуры по стволу скважины №110
Таблица 3.26 Определение равновесной температуры
|
№
скв. 65
|
№
скв. 105
|
№
скв. 110
|
|
H
|
Pi,
МПа
|
Трi,
К
|
Pi,
МПа
|
Трi,
К
|
Pi,
МПа
|
Трi,
К
|
|
3300
|
10,32
|
284,57
|
13,52
|
286,91
|
12,99
|
286,56
|
|
389
|
5,50
|
279,13
|
7,88
|
282,24
|
9,23
|
283,61
|
|
0
|
4,73
|
277,83
|
7,05
|
281,28
|
8,75
|
283,14
|
Вывод: При заданном технологическом режиме
работы скважин расчёты показывают, что во всех скважинах не создаются условия
для гидратообразования. Все скважины работают в безгидратном режиме.
.4 Изменение технологического режима
эксплуатации скважин в процессе разработки
Технологический режим эксплуатации газовых и
газоконденсатных скважин, установленный на ранней стадии разработки с учетом
определяющего на этой стадии фактора или сочетания факторов, изменяется в
процессе разработки месторождений. Изменения технологического режима
обусловливаются либо изменением определяющего фактора, по которому
устанавливался данный режим, либо возникновением и влиянием новых факторов,
которые на данном этапе разработки. Необходимость изменения установленного
технологического режима обусловливается изменением характеристик пласта и
скважин в процессе разработки, проведением ремонтно-профилактических и
интенсификационных работ.
Необходимость изменения режима работы скважин
возникает: . Когда определяющим фактором является подошвенная вода и допустимая
предельная депрессия на пласт была выбрана для заданной начальной величины
вскрытия пласта и положения газоводяного контакта. С изменением пластового
давления и толщины газоносного пласта величина допустимой депрессии линейно
уменьшается.. Когда определяющим фактором является близость контурных вод и
когда критерием выбора режима могут служить несколько параметров, среди которых
наиболее существен суммарный отбор газа из месторождения, в особенности с
малыми запасами газа до прорыва воды в скважину.
В скважинах, расположенных близко к контурной
воде, ограничение депрессии с целью предотвращения преждевременного прорыва
воды является необходимым условием. Величина депрессии в приконтурных скважинах
на каждом конкретном месторождении и в конкретной скважине выбирается расчетным
путем, исходя из расстояния от забоя скважины до контакта газ-вода,
коллекторских свойств пласта и их изменения в зоне от скважины до ГВК из-за
изменения пластового давления и других геолого-промысловых параметров. При
наличии нескольких пропластков с различными фильтрационными свойствами эти
расчеты производятся по наиболее опасному с точки зрения быстрого прорыва контурной
воды пласту.
III. Когда устойчивость породы к разрушению
является основным фактором, критерий технологического режима эксплуатации
скважин устанавливается в виде постоянного градиента и его изменение в течение
всего периода разработки не допускается. Если скважина вскрывает коллектор с
весьма низкой устойчивостью пород к разрушению, то в процессе разработки
требуется поддерживать его постоянным до тех пор, пока не будут проведены
определенные мероприятия по предотвращению разрушения пласта.
В большинстве случаев в рыхлых коллекторах
практически при любой величине градиента происходит разрушение пласта. Однако
при сравнительно продолжительной работе скважины на данном градиенте после
выноса породы из зоны определенного радиуса распространения градиента
разрушение пласта должно существенно замедляться в результате перемещения
выбранного градиента от стенки скважины в глубь пласта и отсортировки выносимых
частиц породы.
Изменение технологического режима эксплуатации
скважин, установленного исходя из условия разрушения пласта при превышении
допустимой величины градиента, может происходить при применении механических
или гравийных фильтров, проведении ремонтно-профилактических работ скважинного
или устьевого оборудования и др.
IV. Когда основным фактором является условие
вскрытия пласта и несовершенство скважины по степени и характеру, следует
исходить из двух основных условий, которые связаны с необходимостью вскрытия
скважины заданной промывочной жидкостью и дострел перфорированной части фильтра
и уплотнения перфорации до ее оптимальной величины.
V. Когда основным фактором является наличие
в составе газа коррозионно-активных компонентов, необходимость изменения
технологическогорежима возникает начиная с момента, когда дальнейшее увеличение
диаметра насосно-компрессорных труб невозможно. При этом скорость потока газа
не должна превышать определенную величину в любом сечении ствола скважины.
Превышение допустимой величины скорости потока в этом случае оценивается как
снятие ограничивающего фактора процесса коррозии скважинного оборудования. Если
в процессе эксплуатации скважины производится закачка антикоррозионного
ингибитора, то изменение технологического режима эксплуатации также становится
необходимостью. Технологический режим эксплуатации скважины при постоянной
скорости движения потока, существенно влияющей на интенсивность коррозии,
подлежит изменению и в тех случаях, когда необходимо поддержать определенное
устьевое давление и когда увеличение количества влаги в газе приводит к более
интенсивной коррозии оборудования. Как правило, в процессе разработки по мере
снижения парциального давления коррозионно-активного компонента интенсивность
коррозии снижается.
VI. Когда изменение технологического режима
эксплуатации скважин обусловлено изменением параметров пласта в призабойной
зоне в результате очищения или загрязнения его в процессе разработки.
Происходящее изменение параметров призабойной зоны определяется периодическими
исследованиями, проводимыми на скважинах. Часто на практике изменение
установленного технологического режима происходит в скважинах, выносящих
значительное количество жидких компонентов и твердых примесей при заданной
конструкции скважины.
VII. Когда
изменение технологического режима эксплуатации скважины связано с
многопластовостью. Эти изменения обусловливаются степенью истощения отдельных
пластов в процессе разработки, применением системы одновременно-раздельной
эксплуатации скважин, изменением схемы сбора, очистки и осушки газа на
промысле, необходимостью проведения изоляционных работ на одном из пластов и
т.д.
VIII.Когда
технологический режим устанавливается исходя из возможности образования
гидратов. В этом случае выбранный технологический режим, обеспечивающий
безгидратный режим эксплуатации скважины, должен быть изменен, если производится
ингибирование продукции скважины в призабойной зоне пласта и в стволе.
IX. Когда изменение технологического режима
работы скважины обусловлено накоплением и выносом столба жидкости или песчаной
пробки на забое скважин.
В этом случае, когда дальнейшие изменения в
конструкции фонтанных труб невозможны или нецелесообразны и поступающая из
пласта конденсационная, пластовая вода или тяжелые компоненты углеводородов,
переходящие в жидкое состояние в призабойной зоне и в стволе скважин, полностью
не выносятся, процесс накопления песчано-жидкостного и жидкостного столба
приводит к изменению технологического режима. Удаление столба жидкости
производят путем: закачки в ствол скважины ПАВ; повышения депрессии и
соответственно дебита скважин; изменения глубины спуска и диаметра
насосно-компрессорных труб; использования механического способа; установления
нового технологического режима.. Когда изменение технологического режима
эксплуатации обусловлено необходимостью поддержания определенной величины
устьевого давления или его изменения.
В этом случае величина устьевого давления, а в
некоторых случаях - давления в промысловом газосборном коллекторе требует
изменения технологического режима по некоторым скважинам.
Время перехода от одного технологического режима
к другому в основном зависит от фактора или сочетания факторов, по которым
устанавливался данный технологический режим, от стадии разработки залежи и от
условия сбора и транспорта газа.
Время, которое необходимо для изменения режима в
зависимости от стадии разработки, диктуется темпом освоения рассматриваемого
месторождения, потребностью народного хозяйства по меньшей мере в данном
районе, т.е. годовыми отборами, продолжительностью нарастающей, постоянной и
падающей добычи, условиями сбора и подготовки газа, переводом от одной системы
осушки к другой и начальными данными газопровода, соблюдение которых ставится
весьма жестко.
Заключение
В моей работе была поставлена задача, выбрать
для трех эксплуатируемых скважин наиболее оптимальный технологический режим для
каждой из них.
Я посчитал шесть технологических режимов для
каждой скважины, а также был проведен расчет температурного режима для
выявления дебита, при котором не будут образовываться гидраты на забое и по
стволу скважины.
Прежде чем, сделать выводы, я хотел бы отметить
некоторые особенности моего месторождения. В особенности, то, что коллектор
Мастахского месторождения хорошо сцементирован и градиент давления равняется 10
МПа/м, а также по анализу истории разработки выявлено, что из-за малого
годового отбора уровень ГВК изменяется не значительно.
По расчетам выявлено, что дебиты на забоях
скважин №65,105,110 не должны быть ниже 270,6, 329,3 и 222,7 тыс.м3/сут,
и не больше 458,4, 628 и 542,9 тыс.м3/сут на устье. Так же при
оптимальном вскрытии пласта 0,5 дебиты не должены быть выше 348,8 тыс.м3/сут
для скважины №65, 424,4 тыс.м3/сут для скважины №105 и 278,8 тыс.м3/сут
соответственно. При температурном режиме (таблица 3.26) выявлены, что гидраты
не образуются в стволе скважины. В условиях хорошо сцементированных
коллекторов, при режиме постоянного градиента давления, дебиты составили 501,2
тыс.м3/сут для скважины №65, 669,7 тыс.м3/сут для
скважины №105 и 590,12 тыс.м3/сут соответственно. Так как газ из
месторождения поставляется для Центрального промышленного района Якутии, то
дебит у нас фиксированный и задается потребителем, поэтому основной
ограничивающий фактор экономический и все скважины Мастахского месторождения
эксплуатируются при технологическом режиме постоянного дебита.
Список использованных источников
1.
Перемыщев
Ю.А. Уточненный проект разработки Средневилюйского ГКМ: Отчет о научно -
исследовательской работе. - М.: ООО «Недра-Бизнесцентр», 2003. - 250 с.
2.
Алиев
З.С., Мараков Д.А.: Разработка месторождений природных газов. - М: ООО «Дизайн
Полиграф Сервис», 2005. - 528 с.
3.
Кудинов
В.И. Основы нефтегазопромыслового дела. - Москва-Ижевск: Институт компьютерных
исследований; НИЦ «Регулярная и хаотическая динамика»; Удмуртский
госуниверситет, 2008. - 720 с.
4.
Мстиславская
Л.П. Основы нефтегазового дела: Учебник. - М.: Изд. ЦентрЛитНефтеГаз, 2010. -
256 с.
5.
РФ
Протокол №2105 от 20.12.2000 г, заседания Центральной Комиссии министерства
природных ресурсов РФ по государственной экспертизе запасов полезных ископаемых
(секция нефти и газа).
6.
Лысенко
В.Д. Разработка нефтяных месторождений. Эффективные методы. - М.: ООО
«Недра-Бизнесцентр», 2009. - 552 с.