Технологический расчет основного производства. Организация ремонтных работ на льнозаводе
Министерство образования Тверской области
государственное бюджетное образовательное
учреждение
среднего профессионального образования
"Вышневолоцкий колледж"
Курсовой проект
Технологический расчет основного производства.
Организация ремонтных работ на льнозаводе
г.Вышний Волочек
год
Содержание
Введение
. Основная часть
.1 Схема технологического процесса
на льнозаводе
.2 Техническая характеристика
технологического оборудования
.3 Баланс рабочего времени и режим
работы завода
.4 Расчет производственной мощности
завода по сырью
.5 Расчет сырья по переходам
технологического процесса
.6 Расчет производственной мощности
завода по готовой продукции
.7 Расчет загруженности
куделеприготовительного агрегата
.8 Сводная таблица выходов готовой
продукции основного производства
.9 Организация системы ППР на
льнозаводах
.10 Задачи и структура ремонтной
службы
.11 Сущность и содержание системы
ППР
.12 Ремонтные нормативы
.13 Планирование ремонтных работ
.14 Организация выполнения ремонтных
работ
.15 Безопасность труда при ремонте
Заключение
Список литературы
технологический льнозавод
куделеприготовительный агрегат
Введение
Обслуживание и ремонт
технологического оборудования
Повышение эффективности производства с целью
полного удовлетворения населения в продуктах питания, а промышленности в сырье
невозможно без высокопроизводительной техники.
В сельскохозяйственном производстве используется
большое количество тракторов, автомобилей, комбайнов и других сложных
сельскохозяйственных машин, требующих в процессе своей эксплуатации
систематического выполнения различных работ по техническому обслуживанию и
ремонту. При этом основной объём работ осуществляется силами мастерской
хозяйств. Это объясняется необходимостью проведения на месте различных плановых
видов технического обслуживания и простых видов ремонта, внеплановых аварийных
ремонтов машин и почвообрабатывающих орудий, оборудования животноводческих
ферм, а также необходимостью выполнения работ по изготовлению нестандартного
оборудования и оснастки.
За годы реформирования резко снизилось качество
технического сервиса машин , обслуживание и ремонт проводится с нарушением
требований нормативно-технической документации.
Основной причиной этого является несоблюдение
регламентных работ, отсутствие диагностического и технологического
оборудования. Мастерские хозяйств не укомплектованы мастерами-наладчиками,
диагностическое оборудование не соответствует требованиям, определяющим
качественное проведение диагностирования.
Поэтому, изучение вопросов проектирования предприятий
технического сервиса является важной задачей, которую необходимо решать
специалистам по техническому обслуживанию и ремонту машин в АПК.
Для успешной реализации мероприятий по
обеспечению населения продуктами питания необходимо дальнейшее обновление
материально-технической базы перерабатывающей отрасли.
Эффективность использования
технологического оборудования перерабатывающей отрасли определяется не только
конструктивно - технологическими решениями как условиями ее эксплуатации,
технического обслуживания и ремонта. В связи с этим важное значение имеет
повышение качества и надежности выпускаемых машин, уровня технического
обслуживания и ремонта, включая организацию и проектирование
ремонтно-обслуживающего производства. Однако с ростом балансовой стоимости
сельскохозяйственной техники и перерабатывающего оборудования существенно
растут и затраты на ее ремонт. Следовательно встает задача снижения этих затрат
за счет:
- повышение качества надежности
изготовления и капитального ремонта машин,
- предотвращение износов и отказов машин на
основе использования методов диагностирования и технического обслуживания
непосредственно в местах эксплуатации машин,
увеличение производительности труда и
ресурсообеспечение при техническом обслуживании и ремонте машин.
Ремонт машин как производственный процесс
восстановления утраченной ими работоспособности возник одновременно с
появлением машин.
По мере увеличения наработки
машин под действием нагрузок и окружающей среды искажаются формы рабочих
поверхностей и изменяются размеры деталей; увеличиваются зазоры в подвижных и
снижающих натяги в неподвижных соединениях; нарушается взаимное расположение
деталей, что приводит к нарушению зацепления зубчатых передач, возникновению
дополнительных нагрузок и вибраций; снижаются упругие и эластичные свойства,
намагниченность; откладываются нагар и накипь; появляются усталостные и
коррозионные разрушения и т.д.
Долговечность деталей машин
зависит от выполняемых ими функций, широкого диапазона действующих нагрузок и
скоростных нагрузок, разнообразия видов трения, используемых материалов,
наличия отклонений в их свойствах, различия в допусках на размеры, качества
обработки поверхностей, взаимного расположения деталей, влияния условий
эксплуатации.
Характеристика "Вышневолоцкий льнозавод"
Вышневолоцкий льнозавод построен в 1951 году,
принят в эксплуатацию в 1959 году. Место расположения льнозавода -
юго-восточная окраина города Вышнего Волочка.
Строительство льнозавода осуществлялось по
проекту ГПИ-3. Промышленная площадка завода занимает 20,5 га и находится в 6км
от железной дороги Москва- Санкт-Петербург, а также в 200 м от соответствующей
автомагистрали.
Вся площадь льнозавода располагается в пределах
подпойменной территории реки Тверцы и ограничена с севера Новотверецким
каналом, с востока - рекой Тверцой, с юга - автомагистралью Москва -
Санкт-Петербург. Рельеф участка спокойный, ровный, с колебаниями отметок высот
160,5-166,5 м над уровнем моря.
На территории льнозавода расположены:
основной производственный корпус с
мяльнотрепальным агрегатом;
заводоуправление;
котельная, цехи нетканых материалов и
котонизированного волокна;
сырьевой двор (имеет 2 железобетонные шохи
емкостью 2500 тонн);
весовая;
склад готовой продукции;
сети водопровода, паропровода, канализация,
лаборатория, гаражи и ряд других сооружений.
Льнотресту завод заготавливает в объеме 3500
тонн из трех районов - Вышневолоцкий, Фировский, Торжокский.
Сорта заготавливаемого льна -
"Торжокский", "ВНИИЛ", "Лазурный",
"А-29", "Алексим". Заготовка ведется из сельских хозяйств:
совхозов, колхозов и других объединений.
Потребителями длинного волокна являются Ржевская
льночесальная фабрика, Смоленский и Вяземский льнокомбинаты. Часть волокна
отправляется на экспорт в страны ближнего зарубежья: Прибалтика, Белоруссия,
Украина.
Актуализация темы курсовой работы
Ha
заводах первичной обработке лубяных волокон принята система планово
предупредительного ремонта (ППР). Она представляет собой совокупность
организационных и технических мероприятий, которые обеспечивают своевременное
восстановление изношенного оборудования и предупреждают внезапные остановки его
из-за поломок и неисправностей. При этом неполадки устраняют заблаговременно с
таким расчетом, чтобы исключить угрозу аварийного нарастания износов в
определенной последовательности по заранее составленному плану-графику
Внедрение системы ППР в производство позволяет повысить долговечность машин и
аппаратов, снизить затраты на ремонт и сократить его продолжительность, достичь
максимальной производительности оборудования при высоком качестве готовой
продукции. При ремонтных работах не только восстанавливают изношенные детали,
но заменяют их новыми. В систему ППР входят следующие виды ремонтов техническое
обслуживание (ТО), средний ремонт (СР) и капитальный ремонт (KP). Ohи отличаются
один от другого характером и объёмом выполненных |работ, а также межремонтными
сроками и источниками финансирования. Ответственными за ТО являются мастера
смен и начальники участков.
Они организуют уход за машинами
и их текущий ремонт непосредственно в рабочие время (в сменах), руководствуясь
специальными инструкциями и правилами технической эксплуатации. КР проводят
периодически через значительные промежутки времени (год и более), когда
дальнейшая эксплуатация основных шов предприятия не может быть обеспечена проведением
среднего ремонта. Машины, механизмы и аппараты после капитального ремонта
должны соответствовать техническим условиям на новое оборудование.
Обслуживающий персонал того или иного участка обязан внимательно следить за
работой и состоянием оборудования, не нарушать действующие правила и постоянно
поддерживать машины и аппараты в состоянии рабочей готовности.
Современное промышленное
производство, независимо от отрасли промышленности, содержит ремонтную службу
предприятия. Эффективность производства во многом зависит от состояния
оборудования. Работоспособность парка машин поддерживается с помощью системы
ремонта и технического обслуживания, основанной на принципе планомерного
проведения профилактических мероприятий, предупреждающих возникновение разладок
в машинах, возрастающий износ, поломку их деталей и узлов. Из - за
недостаточной надежности и долговечности оборудования, объем по ремонту и уходу
за ним очень велик. Весь парк машин промышленности ПОЛВ в году подвергался
среднему ремонту и ежегодно проходит капитальный ремонт.
Трясильные машины во многом
определяют качество короткого волокна.Обескостривание отходов трепания важная
технологическая задача.Таким образом уход и эксплуатация ТЛ-135 актуальна.
1. Основная часть
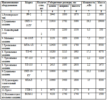
.1 Схема технологического процесса на льнозаводе

Таблица 1 - Техническая
характеристика оборудования
1.3 Баланс рабочего времени и
режим работы завода
Таблица 2 - Бюджет времени
использования оборудования на 2014 год
Таблица 3 - Режим работы
основного производства
Таблица 4 - Режим работы
вспомогательного производства
1.4 Расчет производственной
мощности завода по сырью
Расчет среднего номера N
вычисляют по формуле
, (1.1)
где N - номера
сырья в ассортименте;
Пi - процент
сырья каждого номера в ассортименте, %
Таблица 5 - Ассортимент сырья
Расчет средней пропускной способности агрегата
Расчет средней пропускной способности агрегата Аср,
кг/ч, вычисляют по формуле
, (1.2)
где Аср. - пропускная способность
агрегата соответствующего номера сырья, кг/ч
Пi - процент
каждого номера в ассортименте сырья, %
Таблица 6 - Норма производительности
агрегата
Расчет годового фонда времени
Расчет годового фонда времени Nг,
час, вычисляют по формуле
Nг = Пф х Ксм х КПВ,
(1.3)
где Пф - плановый фонд времени, ч;
Ксм - количество смен;
КПВ - коэффициент полезного времени. (КПВ=0,931)
Nг = 1803 х 3
х 0,931 = 5036
Расчет количества сырья, переработанного на
агрегате за год
Расчет количества сырья, переработанного на
агрегате за год Gмта,
тонн, вычисляют по формуле
, (1.4)
где Аср. - средняя
пропускная способность агрегата, кг/ч;
N г - годовой
фонд времени, ч
nмта - число
установленных агрегатов
Расчет заготовленного количества
сырья
Расчет заготовленного количества
сырья Gз, тонн,
вычисляют по формуле
, (1.5)
где Gмта -
количество сырья переработанного на агрегате за год, т
Пмта - процент сырья,
поступающий на агрегат по общей массе заготовленного сырья, %
Пмта =
100-(0,65+0,5+0,5+4,42)=93,93 (%)
Gзаг.=9347/93.93*100=9951
1.5 Расчет сырья по переходам
технологического процесса
Таблица 8 - Переработка сырья
.6 Расчет производственной мощности завода по
готовой продукции
Расчет количества сырья поступающего на агрегат
при заготовленной влажности
Расчет количества сырья поступающего на агрегат
при заготовительной влажности Gтр,
тонн, вычисляют по формуле
, (1.6)
где G, мта - масса
тресты, поступающий на МТА, т
Wз -
заготовительная влажность, %
Wт -
технологическая влажность, %
Gзаг.=9208*100+19/100+13.65=9642
Таблица 9 - Сводная таблица заготовок
Таблица 10 - Количество и качество готовой
продукции
.7 Расчет загруженности куделеприготовительного
агрегата
Расчет годового фонда времени
Расчет годового фонда времени Тр, ч, вычисляют
по формуле
Тр = Пф х Ксм х КПВ, (1.7)
где Пф - плановый фонд времени, ч;
Ксм - количество смен;
КПВ - коэффициент полезного времени.(КПВ = 0,92)
Тр = 1803 х 3 х 0,92 = 4976
Расчет времени необходимого для обработки
отходов трепания и путанины
(1.8)
где Gкпм - масса
отходов трепания поступающих на КПМ, т
Gпут - масса
путанины поступающей на КПМ, т
Но.тр. - производительность
КПМ по отходам трепания, т/ч
Нпут - производительность
КПМ по путанине, т/ч.
Расчет загруженности КПМ
Расчет загруженности КПМ Кзаг
вычисляют по формуле
, ( 1.9)
где пкпм - количество
установленных агрегатов
Тр - годовой фонд времени, ч
Тф - время необходимое для
переработки отходов трепания и путанины
Расчет количества низкосортной
тресты, которое необходимо дозаготовит
Расчет количества низкосортной
тресты, которое необходимо дозаготовить Gдоз, тонн,
вычисляют по формуле
Gдоз=(Трхnкпм-Тф)
х Нпут, (1.10)
где, nкпм - количество
установленных агрегатов;
Тр - годовой фонд
времени, (ч);
Тф - время,
необходимое для переработки отходов трепания и путанины,(ч)
Нпут -
производительность КПМ по путанине, (т/ч).
Gдоз=
(4976 х 1 - 3165) х 0,5 = 906
Расчет низкосортной тресты с
учетом потерь по переходам технологического процесса
Расчет низкосортной тресты с
учетом потерь по переходам технологического процесса Gн.тр.
тонн, вычисляют по формуле
(1.11)
где Пкпм - процент сырья
поступающий на КПМ от общей массы, %
Пкпм = 100 - (0,65 +
8,64) = 90,71 (%),
Gдоз. - количество
низкосортной тресты, которое необходимо дозаготовить
Таблица 11 - Переработка
низкосортной тресты
1.8 Сводная таблица выходов готовой
продукции основного производства
Таблица 11 - Сводная таблица выходов
готовой продукции
1.9 Организация системы ППР на
льнозаводах
Система технического
обслуживания (Т.О.) и ремонта (Р) представляет собой комплекс
организационно-технических мероприятий по техническому обслуживанию и ремонту
оборудования с целью обеспечения своевременной безопасной работы оборудования с
минимальными затратами в производстве.
Система технического
обслуживания и ремонта включает.
·общие положения
·определение видов технического
обслуживания и ремонта, их организацию
·структуру и продолжительность
ремонтных циклов
·трудоемкость технического
обслуживания и ремонта
·порядок сдачи оборудования в ремонт,
выдачу из ремонта
·типовые нормы расхода материалов на
техническое обслуживание и ремонт
·номенклатуру запчасти и нормы запаса
·учет хранения, выдачу запчастей
·инженерное обеспечение ремонта
·нормативно-техническую документацию
При организации ремонтной
службы на льнозаводах, пенькозаводах необходимо руководствоваться:
·стандартом на техническое
обслуживание и ремонт оборудования
·положением о системе технического
обслуживания и ремонта промышленности ПОЛВ технического оборудования,
электротехнического оборудования вентиляционных установок, производственных
зданий и сооружений
·положением об отделе (службе)
главного механика на льно-пенькозаводах.
В этих документах указаны общие положения о
системе технического обслуживания и ремонта всех видов оборудования,
производственных зданий и сооружений. Выполнение технического обслуживания и
ремонта оборудования возлагается на предприятия, с учетом достижений науки и
техники, передового опыта системы ПОЛВ. Ответственность за общую организацию и
проведение технического обслуживания и ремонта возлагается на главного
инженера.
Контроль за техническим
состоянием технологического оборудования, соблюдением правил технической
эксплуатации, а также организацию всех видов ремонта осуществляет отдел
(служба) главного механика. Штат отдела (службы) главного механика включает,
слесарей, электриков, жестянщиков, токарей, кузнецов, рабочих строителей,
подсобных рабочих. В период между ремонтами полная ответственность за нормальное
состояние оборудования и уход за ним возлагается на начальников участков и
сменных мастеров. Виды технического обслуживания и ремонт, объем выполняемых
работ определяется соответствующими инструкциями по технической эксплуатации и
правилами техники безопасности, правилами технической эксплуатации.
Стандарт предприятия на технологическое
обслуживание и ремонт оборудования
На основании системы
технического обслуживания и ремонта технологического оборудования на льнозаводе
проектом предусматривается:
Стандарт предприятия
(СТП) Утвержден:
Приказом № от "1"12
20__ г. _
Срок введения с" ГО 1 20__
г.
Настоящий документ
устанавливает порядок организации и проведения работ по монтажу (демонтажу),
техническому обслуживанию и ремонту технологического оборудования. Стандарт
распространяется на ремонтомеханический отдых льнозавода, производственных
участков и ремонтные мастерские, лаборатории технического контроля и качества.
Целью настоящего стандарта является:
Обеспечение исправного
состояния оборудования во время эксплуатации. Обеспечение выполнения монтажных
(демонтажных) работ. Сокращение простоя оборудования в ремонте. Достижение
минимальных затрат и потерь в ходе плановых и не плановых ремонтов.
Совершенствование качества выпускаемой продукции - длинного и короткого волокна
- и ассортимента готовой продукции.
Стандарт регламентирует:
Способы выполнения монтажных работ.
Основные направления и.содержание нормативно -
технической документации, регламентирующий настоящий стандарт предприятия.
Основные термины и определения в системе технического обслуживания и ремонта
оборудования по ГОСТ 18322-78. Эксплуатацию оборудования в межремонтные сроки и
его техническое обслуживание. Межремонтное обслуживание. Виды ремонта: средний
и капитальный. Методы ремонта оборудования, применяемые на льнозаводе.
Планирование и учет ремонтных работ. Организацию ремонта оборудования.
Внедрение ремонтного оборудования, Организацию планирования, учета,
хранения и выдачи запасных частей. Организационно - технические мероприятия и
ответственность предприятия по осуществлению системы технического
техобслуживания и ремонта оборудования. Техническую документацию на ремонт.
1.10 Задачи и структура ремонтной службы
Существует два типа
производственных процессов: основные, цель которых состоит в изготовлении
продукции, являющейся предметом народнохозяйственного оборота, вспомогательные,
в результате которых создается продукция, используемая в основном производстве,
и обслуживающие процессы, которые предполагают выполнение работ, обеспечивающих
бесперебойное ведение основного производства.
Работы по уходу и надзору за
оборудованием, по его наладке, ремонту и модернизации относятся к обслуживающим
процессам.
Следует определить, что такое
есть ремонт. Ремонт - это комплекс операций по восстановлению исправности,
работоспособности или ресурса оборудования либо его составных частей.
Наряду с этим понятием
используется также понятие "техническое обслуживание".
Техническим обслуживанием
принято называть комплекс операций по поддержанию работоспособности или
исправности оборудования при его использовании по назначению, во время
ожидания, хранения и транспортирования. Для выполнения всех видов работ по
организации рационального обслуживания и ремонта оборудования и других видов
основных фондов на предприятиях создаются ремонтные службы.
Основными задачами ремонтного
хозяйства являются:
) систематическое повышение культуры
эксплуатации, ухода и текущего обслуживания с целью продления срока службы
деталей, увеличения межремонтного периода функционирования машины, сокращения
объема ремонтных работ;
) снижение трудоемкости и стоимости
ремонтных работ при повышении их качества;
) паспортизация, аттестация и
модернизация оборудования.
Структура ремонтной службы
зависит от ряда факторов: типа и объема производства, его технических
характеристик, развития кооперирования при выполнении ремонтных работ, системы
централизации и др.
В состав ремонтной службы
крупного и среднего предприятия входят отдел главного механика (ОГМ),
ремонтно-механический цех (РМЦ), цеховые ремонтные службы, общезаводской склад
запасных деталей и узлов.
Отдел главного механика
возглавляется главным механиком, подчиненным непосредственно главному инженеру
завода.
В составе ОГМ, как правило,
создаются следующие функциональные подразделения: отдел
планово-предупредительного ремонта (ППР), конструкторско-технологическое бюро.
В состав бюро ППР входят группы: инспекторская, учета оборудования, запасных
частей и ремонтно-смазочного хозяйства.
Группа учета оборудования ведет
паспортизацию и учет оборудования всех видов, следит за его перемещением,
контролирует состояние хранения и качества консервации неустановленного
оборудования, проводит ежегодную инвентаризацию.
Группа запасных частей
устанавливает номенклатуру, сроки службы, нормы расхода и лимиты на запасные
детали и материалы, планирует изготовление запасных частей и руководит
складскими запасами деталей. Группа ремонтно-смазочного хозяйства контролирует
выполнение графика смазки оборудования; устанавливает лимиты на
обтирочно-смазочные материалы и на сбор отработанного масла и его регенерацию.
Ремонтно-механический цех
является основной материальной базой ремонтной службы предприятия. Он
комплектуется разнообразным универсальным оборудованием и
высококвалифицированные рабочими. В этом цехе выполняются все наиболее сложные
работы по ремонту оборудования, изготовлению и восстановлению сменных деталей,
а также работы по модернизации оборудования.
Цеховые ремонтные службы
создаются в крупных основных цехах завода только при использовании
децентрализованной и смешанной систем организации ремонтных работ. Службы
находятся в ведении механиков цехов. Штаты инженерно-технических работников и
служащих ремонтной службы предприятия устанавливаются в зависимости от числа
ремонтных единиц оборудования в целом по заводу.
.11 Сущность и содержание системы ППР
Эта система представляет собой
совокупность организационных и технических мероприятий по уходу, надзору,
обслуживанию и ремонту оборудования, проводимых профилактически по заранее
составленному плану с целью предотвращения прогрессивного износа,
предупреждения аварий и поддержания оборудования в постоянной эксплуатационной
готовности. Сущность системы ППР заключается в проведении через определенное
число часов работы оборудования профилактических осмотров и различных видов
плановых ремонтов, чередование и периодичность которых определяются назначением
агрегата, его особенностями, размерами и условиями эксплуатации. Основными
задачами системы ППР являются снижение расходов на ремонт и повышение качества
ремонта.
Все работы по обслуживанию и
ремонту оборудования при системе ППР подразделяются на: межремонтное
обслуживание; периодические профилактические операций; плановые ремонты.
1. Межремонтное обслуживание включает
повседневный уход и надзор за оборудованием. Правильная организация
межремонтного обслуживания позволяет значительно удлинить сроки службы
оборудования, сохранить высокое качество его работы, ускорить и удешевить
плановые ремонты. К уходу и надзору за оборудованием относятся: соблюдение
рабочими правил эксплуатации, ежедневная смазка и очистка станков,
своевременное регулирование механизмов и устранение мелких неисправностей. Эти
работы выполняются самими рабочими, обслуживающими агрегаты, дежурными
ремонтной службы (слесарем, электриком, смазчиком).
. Периодические профилактические операции
включают: промывку оборудования, его проверку на точность и осмотр, смену
масла. Всё эти периодические ремонтные операции осуществляются ремонтной
службой по плану-графику ППР. Промывке подвергается оборудование, работающее в
тяжелых условиях загрязненности и запыленности, например, станки, занятые
обработкой чугуна, литейное оборудование.
Осмотры оборудования
производятся периодически по графику и являются дальнейшим, более глубоким
этапом профилактических мероприятий. Осмотры проводятся между плановыми
ремонтами и сочетаются со сменой износившихся деталей и мелким ремонтом, без
которого оборудование нельзя эксплуатировать до очередного планового ремонта.
Осмотры оборудования производит ремонтный персонал цеха во время
технологических перерывов в его работе или в нерабочее время.
. Плановые ремонты в
зависимости от содержания и трудоемкости выполнения работ подразделяются на
текущие, средние и капитальные.
Текущий ремонт (малый)
заключается в замене небольшого количества изношенных деталей и регулировании
механизмов для обеспечения нормальной работы агрегата до очередного планового
ремонта. Как правило, он проводится без простоя оборудования (в нерабочее
время). Затраты на такой вид ремонта включаются в себестоимость продукции,
выпускаемой на этом оборудовании. Средний ремонт заключается в смене или
исправлении отдельных узлов или деталей оборудования. Он связан с разборкой,
сборкой и выверкой отдельных частей, регулировкой и испытанием оборудования под
нагрузкой. Этот вид ремонта проводится по специальной Ведомости дефектов и
заранее составленной смете затрат в соответствии с планом-графиком ремонтов
оборудования. Затраты на ремонты, проводимые с периодичностью менее 1 года,
включаются в себестоимость продукции, выпускаемой на этом оборудовании, а с
периодичностью более 1 года за счет амортизационных отчислений. Капитальный
ремонт осуществляется с целью восстановления исправности оборудования и
восстановления полного или близкого к полному ресурса. Как правило,
производятся ремонт всех базовых деталей и узлов, сборка, регулировка и
испытание оборудования под нагрузкой. Так же, как и средний ремонт, капитальный
ремонт выполняется по специальной Ведомости дефектов, составленной при осмотре
оборудования, а также по смете затрат и в соответствии с планом-графиком.
Затраты на капитальный ремонт осуществляются предприятием за счет производимых
им амортизационных отчислений. В течение года капитальному ремонту подвергается
около 10-12% установленного оборудования.
1.12 Ремонтные нормативы
Для перехода на систему ППР
необходимо установить ремонтные нормативы и провести техническую и материальную
подготовку. От точности нормативов в большой степени зависят расходы
предприятия на техническое обслуживание и ремонт оборудования, а также уровень
потерь в производстве, связанных с неисправностью оборудования. Нормативы
дифференцируются по группам оборудования и характеризуют последовательность
проведения ремонтов и осмотров, объемы ремонтных работ, их трудоемкость и
материалоемкость.
Важнейшими нормативами системы
ППР являются:
1. Продолжительность межремонтного цикла.
Под продолжительностью межремонтного цикла
понимается время работы оборудования от момента ввода его в эксплуатацию до
первого капитального ремонта или период между двумя последовательно
выполняемыми капитальными ремонтами (при его определении используется такие
коэффициенты, как например, коэффициент, учитывающий тип производства, род
обрабатываемого материала).
. Структура межремонтного цикла
Под структурой межремонтного цикла понимается
перечень и последовательность выполнения ремонтных работ и работ по
техническому обслуживанию в период межремонтного цикла. Из структуры
межремонтного цикла видно, сколько и в какой последовательности проводится тот
или иной вид ремонта или осмотра.
. Продолжительность межремонтного и
межосмотрового периодов.
Межремонтный период - время работы единицы
оборудования между двумя очередными плановыми ремонтами. Определяется по
формуле:
где
- продолжительность межремонтного
периода,
- продолжительность межремонтного
цикла,
- число средних и текущих ремонтов
соответственно.
Под категорией сложности ремонта
понимаются степень сложности ремонта оборудования и его особенности. Чем
сложнее оборудование, чем больше его размер и выше точность обработки на нем,
тем сложнее ремонт, а следовательно, и выше категория сложности.
Трудоемкость ремонтных работ того
или иного вида определяется исходя из количества единиц ремонтной сложности и
норм времени, установленных на одну ремонтную единицу.
Количество единиц ремонтной
сложности совпадает с категорией сложности.
Нормы времени устанавливаются на
одну ремонтную единицу по видам ремонтных работ отдельно на слесарные,
станочные и прочие работы.
Суммарная трудоемкость по отдельному
виду ремонтных работ определяется по формуле:
Где
- трудоемкость среднего ремонта
оборудования данной группы, нормо-ч;
- норма времени на одну ремонтную
единицу по всем видам работ, нормо-ч;
- количество ремонтных единиц;
- количество единиц оборудования
данной группы, шт.
На основе нормативов разрабатываются
годовые графики ППР оборудования, в которых предусматриваются по срокам ремонты
и планируемые мероприятия по техническому обслуживанию каждой единицы
оборудования; определяются размеры трудоемкости предстоящих работ и устанавливается
штат ремонтного персонала.
Эти графики ложатся в основу
текущего планирования и выполнения работ в цехах и на предприятии в целом.
1.13 Планирование ремонтных работ
Планирование ремонтных работ
заключается в составлении общих годовых, уточненных квартальных и месячных
планов ремонтов по цехам и заводу в целом. Планы ремонтов составляются в виде
календарных планов-графиков, включающих перечень всех инвентарных единиц
оборудования, виды ремонтов и осмотров, которые должны быть осуществлены в плановом
году с указанием календарного срока их выполнения (табл. 13).
Таблица 13- Годовой план-график
оборудования по механическому цеху
Предварительные сроки выполнения ремонтов и
осмотров определяются по нормативам ППР в соответствии с продолжительностью
межремонтного цикла, межремонтного и межосмотрового периодов. Месяц, в котором
должен производиться очередной плановый ремонт или осмотр, определяется путем
прибавления к месяцу предыдущего ремонта (осмотра) времени межремонтного
(межосмотрового) периода.
На основе годового
плана-графика составляются месячные планы ремонтных работ, которые служат базой
для разработки календарных планов ремонта каждого вида оборудования и
организации труда рабочих ремонтных бригад. Месячный план ремонта согласуется с
планом выпуска основной продукции на данный месяц.
Состав бригад для осуществления
ремонта конкретного типа оборудования зависит от трудоемкости и вида ремонта
Для каждого вида ремонта и типа оборудования устанавливается определенное
нормативное, количество рабочих в бригаде исходя из трудоемкости ремонтных
работ, обеспечивающие полную загрузку ремонтников в течение рабочего дня.
1.14 Организация выполнения ремонтных paбoт
Учитывая специфику предприятия (значительный возраст
оборудования, наличие собственных ремонтных сил) была определены следующие
принципы организации сервисного обслуживания:
) Сервисное обслуживание осуществляется в
течение межремонтного периода (нормативный срок работы оборудования между
капитальными ремонтами).
) К сервисным относятся работы, связанные
с техническими обслуживанием и текущими ремонтами оборудования. Объемы и сроки
работ определяются в соответствии с техническими регламентами эксплуатации
оборудования.
) Сервисное подразделение несет ответственность
за соответствие фактических технико-экономических показателей (ТЭП) работы
оборудования заданным при условии выполнения эксплуатационным персоналом
требований норм и правил по эксплуатации оборудования.
Вывод: Исходя из этого были определены требования
к собственным и внешним ремонтным подразделениями:
. Сервисные подразделения должны быть
специализированны, сервис должен проводиться по специальным технологиям
ремонта, восстановления, так как специализация дает наибольшую эффективность.
. Сервис должен охватывать все
функциональные части оборудования и все виды работ, которые необходимо
проводить для поддержания работоспособности оборудования в межремонтный период.
. Организация деятельности собственных
ремонтных сил в соответствии с полным хозяйственным расчетом.
Исходя из требований, были определены следующие
направления реорганизации собственных ремонтных подразделений:
1. Централизация ремонтных сил льнозавода;
2. Создание специализированных
высококвалифицированных бригад сервисного обслуживания;
. Формирование на базе собственных
ремонтных подразделений ЦФО с последующим выводом на сервис.
В результате:
. Сокращение на 30% ремонтного персонала
за счет централизации ремонтных подразделений основного производства.
. Сокращение на 20% инженерно-технического
персонала основного производства за счет перераспределения функций и задач.
Технико-экономические показатели ремонтной
службы
При анализе и оценке работы
ремонтной службы используются следующие технико-экономические показатели:
1. Время простоя оборудования в ремонте,
приходящееся на одну ремонтную единицу сократиться на 3 дня.
. Число ремонтных единиц установленного
оборудования, приходящееся на одного ремонтного рабочего увеличится на 2
станка. Проектом рекомендуется приобрести и установить в ремонтную мастерскую
цеха токарно-винторезный станок марки 1К62 для более эффективной работы оборудования.
. Оборачиваемость парка запасных деталей.
Необходимо приобрести дополнительно 200 запасных деталей к станкам и
вспомогательному оборудованию.
1.15 Безопасность труда при ремонте
Общие положения.
При выполнении ремонтных работ
следует соблюдать требования стандартов безопасности груда на Всех Видах работ,
а также требования специальных инструкций и указаний по безопасности труда,
утвержденных в установленном порядке для соответствующих Видов работ.
В соответствии с ГОСТ 12.004-79
"Система стандартов безопасности труда. Организация обучения работающих
безопасности труда Общие положения" и ОСТ 17-886-80 "ССБТ. Обучение
работающих безопасности труда на предприятиях и в организациях"
осуществляется порядок инструктажа, обучении безопасности методом груза,
проверки знаний и Запуском к самостоятельной работе ремонтного персонала
предприятий перерабатывающей промышленности и 6 частности льнозаводов. Общее
руководство и ответственность за обучение, и инструктаж всех работающих на
льнозаводе возложено на главного инженера, на участках - на руководителя
подразделения - главного механика, мастеров смен.
В соответствии с ОСТ 17-866-80
предусмотрено проведение следующих видов инструктажей1 вводный -
первичный на рабочем месте, повторный, внеплановый, текущий. К работам
повышенной опасности относятся:
) монтаж, демонтаж, подъем и
перемещение тяжеловесных грузов при отсутствии грузоподъемных кранов;
) монтажные и
ремонтно-строительные работы на высоте более 2 м. без инвентарных лесов и
подмостей;
) электрогазосварочные работы в
колодцах, закрытых резервуарах из-под горючих веществ;
) вскрытие и испытание сосудов,
работающих под давлением, не подлежащих регистрации 6 органах Госгортехнадзора.
Требования безопасности по
окончании работы
. Выключить ток и привести в порядок
рабочее место;
. Убрать электродержатель,
инструмент, оставленные электроды;
. Закрыть кабину и сообщить
сменщику.
Требования безопасности о
подготовке оборудования к ремонту или осмотру и его приемку из ремонта
. Остановка оборудования на
ремонт производится в соответствии с графиком технического обслуживания и
ремонта, согласно письменного распоряжения начальника цеха.2. Подготовка
оборудования в ремонт включает в себя;
оборудование должно быть
отключено от источника электроэнергии;
оборудование должно быть
очищено от грязи и промыто;
в средний и капитальный ремонт
оборудования принимают по акту
в случаях, когда оборудование
выведено из строя и направлено на ремонт вследствие аварии, при сдаче его в
ремонт представляют аварийный акт;
оборудование, сдаваемое в
ремонт должно быть комплектным;
остановка оборудования на
ремонт допускается только при полном обеспечении материалами, запасными частями
и рабочей силой;
на средний ремонт оборудования
составляют ведомость дефектов;
на капитальный ремонт оборудования
составляют дефектную ведомость и смету с приложением ведомости работ;
основными показателями качества
ремонта является соответствие отремонтированного оборудования техническим
условиям на ремонт, а также выполнение всех требований, указанных в дефектной
ведомости. Безопасность труда дли слесарей-ремонтников по ремонту оборудования.
Общие положения.
Заключение
Значение ремонтного хозяйства предприятия можно
определить по следующей статистике. Ежегодно 10-12% технологического
оборудования подвергается капремонту, 20-25% - среднему и 90-100% малому.
Удельный вес расходов на ремонт т эксплуатацию оборудования в себестоимости
продукции машиностроительных заводов составляет 6-8% или 10-12% цеховых
расходов. Не менее 6-7% наличного парка оборудования машиностроительных заводов
занято изготовлением запасных деталей для ремонта оборудования.
От работы ремонтных служб завода в значительной
мере зависит эффективная работа производства, то есть увеличение объема выпуска
продукции с действующего оборудования, бесперебойная и интенсивная работа
оборудования, максимальный выход качественной продукции. Поломки и плохое
техническое состояние оборудования решающим образом влияют на эффективность
деятельности всего предприятия, на основные экономические показатели его работы.
Список использованной литературы
1. Брикус, И.Б.
"Экономика организации и планирование производства ПОЛВ"/, Легкая
промышленность, 1984г.
2. Зайцев, И.А. "Экономика
промышленного предприятия"/, М., Наука,1996г.
. Попов, И.А. "Экономика
сельского хозяйства"/, М., Дело и сервис, 2001г.
. Положение "О системе
технического обслуживания и ремонта технического оборудования производственных
объединений и предприятий"/ ЦУМК, МТМ, Москва, 1983г.
. "Инструкция по расчету
производственной мощности действующих заводов ПОЛВ",М.,ЦНИТ и легкая
промышленность, 1998г.
. Марков В.В. "Первичная
обработка льна и других лубяных волокон", 1981г.
. Морозов С.В. "Сушка
лубоволокнистых материалов", 1974г.
. "Справочник по заводам
первичной обработки льна", под ред. Храмцова Л.И. 1983г.
. Сидоров М.Н.
"Справочник по производству крученых изделий"
. Справочник механика завода
первичной обработки лубяных волокон./Н.Н.Суслов, К.И.Козлов, Москва, 1968г.
. Современные методы ремонта
машин/ В.А.Степанов, Москва, 2001г.
. Рекомендации справочной
литературы.
. Правила технической
эксплуатации льнозаводов. ЦНИИТЭИ., Москва, 1985г.
. Противопожарные нормы
проектирования зданий и сооружений СН и пп-4,5-70.
. Тарасов С.В. "Прядение
льна и других лубяных волокон", 1980г.
. Технические паспорта
технологического оборудования и инструкции по устройству, эксплуатации, монтажу
и наладке.
. Паспортные данные на
технологическое оборудование
. Общая технология
переработки лубяных культур
. Справочник механика завода
первичной обработки лубяных волокон.