Психологическая безопасность личности подростка

  • Вид работы:
    Курсовая работа (т)
  • Предмет:
    Психология
  • Язык:
    Русский
    ,
    Формат файла:
    MS Word
    28,46 Кб
  • Опубликовано:
    2015-06-01
Вы можете узнать стоимость помощи в написании студенческой работы.
Помощь в написании работы, которую точно примут!

Психологическая безопасность личности подростка

Содержание

Введение

Глава 1. Теоретический анализ психолого-педагогической литературы по проблеме социальной ситуации подростка как фактор психологической безопасности личности

1.1 Психологическая безопасность личности

1.2 Социальная ситуация подростка

Глава 2. Эмпирическое исследование социальной ситуации подростка как фактор психологической безопасности личности

.1 Характеристика испытуемых

.2 Методы исследования. Анализ полученных результатов

.3 Анализ и обсуждение полученных результатов

Выводы

Заключение

Список используемой литературы

Приложения

Введение

Актуальность. Современная социальная обстановка российского общества характеризуется активными изменениями в экономической, политической и общественной жизни. В этой ситуации личность вынуждена адаптироваться к происходящим изменениям общества, что требует от неё определенной устойчивости.

Согласно общепринятому в научной литературе определению, под психологической безопасностью понимают целостность и устойчивость психики, духовное и физическое здоровье личности. Психологическая безопасности свойственна людям эмоционально уравновешенным, работоспособным, стрессоустойчивым, уверенным в себе, самоорганизованным.

В подростковом возрасте личность проявляет повышенную склонность к самовыражению, активной деятельности, усвоению определенных групповых норм, привычек и ценностей. Помимо этого у подростков проявляется максимализм в поведении и поступках, стремление доказать свою точку зрения, неуверенность, повышенная тревожность и чувствительность. Выше приведенные обстоятельства негативно сказываются на психологической безопасности личности подростка.

Степень изученности. Сегодня можно говорить о развитии нового направления - психологии безопасности. В рамках обозначенного направления осуществляются теоретические и эмпирические исследования, направленные на обеспечение психологической безопасности личности в различных социальных сферах.

Наиболее системные научные исследования проблем психологической безопасности личности стали появляться в конце 20-го столетия в работах отечественных ученых. Психологическую безопасность в разрезе условий жизнедеятельности человека рассматривали такие российские ученые как: С. К. Рощина и В.А. Соснина. На информационный аспект обеспечения психологической безопасности обратили свое внимание Г.В. Грачева, И.К. Мельник, а И.А. Баева исследовала особенности методик психологической безопасности в рамках образовательных учреждений.

Учитывая новизну, социальную значимость, сложность и комплексность проблем по обеспечению психологической безопасности личности подростка возникла необходимость в проведении теоретических и прикладных исследований в рамках обозначенной темы.

Объект исследования: психологическая безопасность личности.

Предмет исследования: социальная ситуация подростка.

Цель исследования: рассмотреть теоретические положения по проблеме психологической безопасности личности подростка, а также социальные фактора психологической безопасности личности.

Задачи исследования:

.        рассмотреть понятийный аппарат по психологии безопасности личности;

.        уточнить понятия «психологическая безопасность», «социальная ситуация»;

.        выявить и охарактеризовать влияние социальной ситуации на уровень психологической безопасности личности подростка.

Гипотеза исследования: существует взаимосвязь между социальной ситуацией и психологической безопасностью. У подростков с высоким уровнем психологической безопасности в возможно проявление низкого огоо  уровня ня показателей социальной ситуации.

Теоретико-методологическая основа работы представлена основными положениями и концепциями отечественных и зарубежных ученых в области психологии, педагогики и социологии.

Методологию исследования составляли опросные методы, методы диагностики социальной ситуации Р. Даймоþнда и К. Роþджеþрса, диагноþстики уроþвня психоþлоþгичеþскоþй беþзоþпасноþсти Ч.Д. Спилбеþргеþра, Ю.Л. Ханина, меþтоþд рангоþвоþй коþрреþляции Спирмена.

Эмпирическая база исследования: «Социальная ситуация подростка как фактор психологической безопасности личности», проведенного среди 32 поþдроþстков 12-13 леþт, учащихся 7-х классоþв оþбщеþ-оþбразоþватеþльноþй шкоþлы № 108 г. Уфа.

Практическая значимость исследования. Адаптация личности подростка в обществе постоянных перемен затруднена. Состояние тревожности представляет собойт следствие подросткового кризиса, который протекает, по-разному и дезорганизует личность подростка, влияет на все стороны его жизни. Использование выше приведенных методик исследования в рамках замера уровня психологической безопасности личности, ее требожности и социальной адаптации в полной мере позволяет расскрыть особенности исследуемых психологических явлений.

Глава 1. Теоретический анализ психолого-педагогической литературы по проблеме социальной ситуации подростка как фактор психологической безопасности личности

.1      Психологическая безопасность личности

Объективная реальность современного общества вынуждает человека постоянно сталкиваться с чрезвычайными, стрессовыми ситуациями.

В связи с этим всё больше исследователей обращают свое внимание на необходимость активной разработки проблематики психологической безопасности личности. Это связано с тем, что социальная среда, в которой живет человек, становится все более опасной и агрессивной.

Проблемы психологической безопасности личности являются областью научного исследования психологии безопасности. Данная психологическая наука, изучает закономерности адекватного отражения опасности и конструктивной саморегуляции поведения с целью сохранения целостности, устойчивсти и стабильности личности или группы людей как психологических систем.

В рамках психологии безопасности исследуются:

. психические процессы, формирующиеся благодаря активной деятельности человека;

. психические состояния, оказывающие влияние на безопасность жизнедеятельности человека;

. субъективные особенности личности.

Рассматривая понятие психологической безопасности, С.К. Рощин и В.А Соснин проанализировали содержание этого понятия на основе определений, даваемых в толковых словарях различных стран. В процессе изучения академических толковых словарей русского, английского, французского и немецкого языков было выявлено, что в общественном сознании понятие «безопасность» связывается не столько «с отсутствием угрозы», сколько с состоянием, чувствами и переживаниями человека. В разных культурах сформировались примерно одинаковые представления о безопасности, акцент в которых делается на чувствах и переживаниях человека, связанных с его положением в настоящем и перспективами на будущее.

Исходя из результатов проведенного анализа, авторы сформулировали определение психологической безопасности как состояния общественного сознания, при котором общество в целом и каждая отдельная личность воспринимают существующее качество жизни как адекватное и надежное, так как оно создает оптимальные возможности для удовлетворения естественных и социальных потребностей личности в настоящем и дает им основания для уверенности в будущем.

Во взаимосвязи с изложенным материалом, понятие «психологическая безопасность личности» необходимо обозначить как состояние индивидуальной защищенности, от информационно-психологических воздействий, вызывающих в психологической сфере изменения дисфункционального и дезадаптационного характера. Психологическая безопасность личности проявляется в состоянии защищенности психики личности от действия многообразных факторов.

Психологическую безопасность можно рассматривать как процесс, ввиду того, что психологическая безопасность создается каждый раз заново ввиду изменения социальной обстановки, социального окружения, ценностей и установок личности.

Таким образом, психологическая безопасность рассматривается как состояние защищенности личности, обеспечивающее ее целостность как активного социального субъекта.

Психологическая безопасность личности зависит внешних и внутренних факторов, каждый из которых имеет определенную степень агрессивности воздействия.

К внешним факторам относятся источники психологического воздействия, само специфическое психологическое воздействие, а также социальная среда-фон.

К внутренним факторам зачастую относят знания человека, его индивидуальные особенности.

Психологическую безопасность личности обеспечивает уровень психологической защита. Психологическая защита представляет собой сложную систему социальных, социально-психологических и индивидуальных механизмов, которая обеспечивает психологическую безопасность человека в обществе как личности и активного социального субъекта, его психологическую защищенность в условиях воздействия разнообразных внешних и внутренних факторов.

Предвидеть возникновение психологической опасности личности довольно сложно. Само содержание понятия безопасность означает отсутствие опасностей или возможность надежной зашиты от них. Опасность же рассматривается как наличие и действие различных факторов, которые являются диструктивными, дестабилизирующими и угрожающими. Понятие психологическая безопасность чаще всего раскрывается через использование понятий психического здоровья и угрозы.

Основные источники угроз психологической безопасности личности можно условно разделить на две группы. Различают внешние и внутренние источники угроз психологичекой безопасности личности.

Внешние источники:

.        государство и государственные органы управления;

.        общество;

. социальные группы;

Внутренние источники угроз психологической безопасности личности:

.        биопсихосоциальная природа человека;

.        особенности формирования и функционирования психики личности.

Безопасность личности определяется тремя факторами:

.        человеческий фактор,

.        фактор среды,

.        фактор защищенности (рис. 1).

Человеческий фактор и фактор среды являются основными. Человеческий фактор - это различные реакции человека на опасность.

Среда ассоциируется с физической и социальной составляющей.

В социальной среде выделяют макро-и микросоциальный уровни. Микросоциальная среда представлена демографическими, экономическими и другими факторами, микросреда - непосредственным окружением человека - семьей, референтными, профессиональными группами и т. д.

Фактор защищенности - это средства, которыми люди пользуются для защиты от тревожных и опасных ситуаций, они могут быть как социальными, физическими, так и чисто психическими.

Уровень защищенности зависит от степени конструктивности и активности поведения и деятельности человека. При этом важным условием конструктивного поведения выступает адекватная социализация инстинктов, потребностей и мотивов деятельности, т. е. удовлетворение нужд человека

Относительно критериев и показателей, в которых проявляется состояние психологической безопасности, следует отметить, что согласно природе психического состояния человека, оно должно включать в себя как субъективные, так и объективные, наблюдаемые показатели (переживания и поведение).

В результате теоретического анализа нами выделены объективные и субъективные параметры психологической безопасности личности человека, включающие:

) защищённость (субъективное переживание и соответствующие этому переживанию объективные поведенческие маркеры);

) удовлетворённость (субъективное переживание и соответствующие ему объективные поведенческие проявления);

) уверенность в себе (субъективное переживание, а также объективные поведенческие признаки, соответствующие данному переживанию).

Защищенность - психическое состояние, отражающее психическую безопасность, проявляющуюся в виде переживания личностью своей защищённости в конкретной жизненной ситуации. Среди критериев состояния защищенности выделяют следующие:

) переживание поддержки со стороны социального окружения;

) переживание поддержки со стороны родителей;

) переживание симпатии со сверстников.

Как известно, социальная и семейная поддержка выступает внешним ресурсом, позволяющим личности сохранить собственное «Я» в сложных социальных ситуациях.

Удовлетворенность. Применительно к состоянию психологической безопасности личности переживание удовлетворённости затрагивает важные сферы и аспекты социальных отношений. В данный критерий состояния психологической безопасности включены следующие аспекты удовлетворённости:

. субъективное благополучие как интегральный показатель удовлетворенности;

. переживание эмоционально-положительного отношения со стороны референтных групп;

. переживание эмоционально-положительного отношения со стороны ровесников;

. переживание удовлетворенности своей деятельностью.

Уверенность в себе. В этом критерии состояния психологической безопасности личности выделяют следующие два аспекта:

. особенности личной тревожности;

. переживание уверенности в себе в трудных ситуациях и общении.

Тревожность личности способствует нарушению состояния ее психологической безопасности и противоположна уверенности в себе.

Уверенность в себе, согласно отечественным и зарубежным исследованиям тесно связана с психологическим здоровьем личности, ее способностью сохранять свою целостность и эффективность в различных сферах деятельности.

В целом необходимо отметить, что психологическая безопасность личности имеет социально-психологический характер, поскольку она функционирует и проявляется в системе социальных отношений личности, в области межличностного взаимодействия и общения с другими людьми, формируя целостное системное образование - социально-психологическую безопасность личности. Психологическая безопасность личности представляет собой мотивационное, оценочное и коммуникативное образование, которое направляет, организует, ориентирует поведение человека на определенные цели. Каждой личности присуща своя структура психологической безопасности, достижение которой может быть оптимизировано.

.2 Социальная ситуация подростка

Социальная ситуация - это окружение человека, то есть люди, с которыми он с определенной периодичностью общается и взаимодействует. В контексте проблемы безопасности личности определяющее значение имеет фактор социальной среды или социальной ситуации, которая подразделяется на макро- и микросреду.

Условия психологической безопасности личности подроста также как и взрослого человека определяются социальными условиями.

На особенности макросоциальной среды общества, членом которого является личность, оказывают влияние множество факторов - демографические, экономические, социокультурные, религиозные и национальные факторы.

Демографический фактор проявляется, к примеру, в перенаселенности конкретной территории, национальным составом общества, изучаемого с точки зрения безопасности.

Экономический фактор характеризуется уровнем развития экономики, чем развитее экономика изучаемого общества, тем уровень психологической безопасности личности, а, следовательно, и комфорта выше.

Социокультурный фактор определяется уровнем и характером взаимодействия представителей различных культур и субкультур.

На макросреду влияют и психологические состояния, свойственные большим группам людей. Одной из наиболее значимых в контексте безопасности является толпа - стихийное скопление людей, лишенных ясно осознаваемой общности целей, но связанных между собой общим эмоциональным состоянием и общим объектом внимания. Зачастую «толпа» формируется спонтанно, однако знание их типичных закономерностей и механизмов позволяет целенаправленно манипулировать поведением толпы в корыстных целях.

Необходимо отметить, что подростки склонны к участию в деятельности «толпы» за счет психосоматических особенностей, повышенной эмоциональности и чувствительности к переменам.

Психологическая безопасность подростка определяется особенностями его взаимодействия с окружающими, стратегией поведения в стрессовых и конфликтных ситуациях, особенностями его воспитания, семейными традициями и направленностью референтной группы.

На безопасность личности оказывают влияние следующие факторы микросреды:

.        семья и особенности взаимоотношений в семье;

.        воспитание;

.        референтная группа;

.        реальная формальная группа (учебная);

.        фоновое окружение.

Рис. 1


В семье удовлетворяются ключевые потребности подростков, в том числе материально-бытовые и потребность в эмоциональной поддержке, любви, признании и безопасности. Если подросток не удовлетворен одной из семейных составляющих, то возникает нервно-психическое напряжение, а также тревога Подобные состояния могут понижать уровень безопасности индивида.

Функция контроля, которую реализует семья, способствует формированию у ребенка способности к самоконтролю, саморегуляции и чувства ответственности за свои поступки. В противном случае в поведении подростка могут проявляться девиантные наклонности, а также нарушения в личностном развитии.

Успешной дифференциации потребностей, согласованности возможностей и средств их удовлетворения способствует процесс воспитания личности подростка. Семья играет в этом процессе ведущую роль. Причем на формирование и развитие личности влияют и психологический климат в семье, и ее социальный статус, и материальное благополучие. Важная составляющая семейного воспитания - коммуникация между членами семьи.

На особенности поведения и взаимодействия с окружающими влияет состав семьи и характер взаимоотношений между ее членами. Ухудшение отношений между родителями может привести к ограничению интеллектуального развития ребенка. Ярким примером этому служат неблагоприятные семейные условия трудных подростков, которые снижают адаптивные способности подростков, их стрессоустойчивость, повышают тревожность и неуверенность в своих силах.

Таким образом, семья - это фундамент, на котором строятся все взаимодействия с окружающим социальным миров. Она способствует психологически устойчивой личности подростка.

Члены гармоничной семьи испытывают друг к другу теплую эмоциональную привязанность, они не конкурируют между собой и не подавляют интересы друг друга. Внутри гармоничной семьи отсутствуют стойкие противоборствующие подгруппы. Вместе с внутрисемейной гармонией, немало важную роль играет гармоничное взаимодействие семьи в целом с окружающим социальным миром.

Гармоничное воспитание удовлетворяет актуальные потребности ребенка, выявляет и реализует его возможности.

Принципы гармоничного воспитания:

.        забота о ребенке;

.        поощрение;

.        наказание,- должно быть конкретным, сразу следовать за проступком, нельзя несколько раз наказывать за один проступок;

.        запреты должны учитывать возраст и возможность их выполнить и не являться следствием эмоционального состояния взрослого (страха, гнева, раздражения). Их нужно делать в такой форме, чтобы они не мешали познавательному развитию;

.        требования, предъявляемые ребенку, должны быть понятными, логичными;

.        обязательным условием гармоничного воспитания должно быть абсолютное эмоциональное принятие ребенка (любовь таким, какой есть ребенок) и гармоничные супружеские отношения.

Психологические причины отклонений в семейном воспитании различны. Наиболее частые из них:

.        низкая педагогическая культура родителей;

.        личностные особенности.

Следствиями неправильного воспитания родителями детей нередко становятся агрессивное поведение и злоупотребление запрещенных веществ, а также сложности социальной адаптации личности подростка.

Развитию у подростков проявлений агрессии способствует властное, подавляющее отношение родителей, индифферентное, пассивное и безучастное отношение к ребенку. Кроме того, если дети были подвержены насилию, либо были очевидцами проявлений насилия по отношению к близким, то, повзрослев, они с большой долей вероятности будут демонстрировать агрессивное поведение.

Роль групп в формировании психологической безопасности. На формирование поведения, характера и всей совокупности личностных свойств человека влияет ближайшее окружение. Степень этого влияния зависит от степени значимости и авторитетности этого окружения.

Каждый человек является членом каких-либо реальных формальных и неформальных групп. Безопасность индивида зависит от отношения к нему группы, а также от особенностей самой группы, таких, как удовлетворенность в общении, сплоченность, конфликтность, статусное положение группы в обществе. Опасными проявлениями отношения группы к личности является - подавление и «исключающее поведение». Человек, которого не принимает своя группа, вынужден искать другую группу, так как вне группы существование человека практически невозможно. В каждой группе за каждым индивидом закреплена социальная роль с определенным уровнем значимости и статусности.

Референтную группу составляют индивиды, чье мнение значимо для отдельной личности, то есть те, кто влияют и определяют мнения, поведения и социальные установки. В референтные группы зачастую входят родители, педагоги, друзья, именно эти представители ближайшего окружения подростка формируют отношение индивида к окружающему миру, оказывают влияние на его поведение, в том числе и в экстремальных ситуациях.

Фоновое окружение составляют люди, проживающие в непосредственной близости и оказывающие на личность косвенное влияние. Это малые группы, членом которых личность является лишь опосредованно и взаимодействие, с которыми носит временный характер. К таким группам принадлежат соседи, подростковые, уличные группировки и другие дворовые компании неформального характера.

На безопасность личности подростка влияет степень деструктивности и конструктивности взаимоотношений с фоновым окружением и интенсивность этих отношений.

В подростковом возрасте ведущими видами деятельности личности являются межличностное общение с взрослыми и ровесниками, выполнение общественно полезного труда и обучение, что положительно сказывается на развитии психики и личности.

Межличностное общение подростка реализуется в общении со взрослыми и общении с ровесниками, их роль в формировании личности неодинакова.

Если в общении с взрослыми подросток усваивает общественно значимые критерии оценок, цели и мотивы поведения, способы анализа окружающей действительности и способы действий, то общение с ровесниками является своеобразным испытанием себя в сфере личностного развития и самоутверждения. В общении с взрослыми подросток всегда находится в позиции младшего, в известной мере, подчиненного, а при таких условиях не все морально-этические нормы могут быть им усвоены и апробированы, только в отношениях с ровесниками подросток равен. В общении с взрослыми подросток стремится действовать и выглядеть как взрослый. Поэтому развитие подростка сопровождается постоянным уравнением на взрослого. Это может проявляться в подражании. Именно в совместной деятельности взрослый человек имеет реальные возможности влиять на становление личности подростка, его взросления. Поэтому для него чрезвычайно важно занять правильную позицию в отношениях с ребенком.

Характерной особенностью личности подростка является усиленное стремление к общению со сверстниками, прежде всего с одноклассниками, и немного старше себя, отношения с которыми играют важную роль в его жизни. В обществе сверстников начинает вырабатываться новая система критериев оценки поведения и личности человека, происходит переоценка ценностей, формируются новые морально-этические требования. В результате самосознание подростка приобретает новый уровень развития. При анализе поведения и личностных качеств друзей у подростка складывается система требований к себе и к окружающим людям. В своих товарищах подросток начинает ценить принципиальность, добросовестное отношение к делу, общественную активность, искренность, честность, доброту, силу.

Важное значение для подростка имеет оценка друзьями его личностных качеств, знаний и умений, способностей и возможностей. Группе подростков-ровесников характерны непостоянство, изменчивость отношений и интересов. Изменение симпатий, авторитетов, усиления и ослабления влияния сверстников в группе является свидетельством постоянного внутреннего осмысления и переосмысления.

Воздействие социальной среды на личность подростка происходит по закону перехода внешних отношений во внутренние. То, что человек воспринимает из окружающего мира, становится частицей его самого. Он начинает действовать, исходя из закономерностей той среды, в которой находится. Это объективный процесс. Но взаимодействие человека и среды может быть пассивным и активным. В первом случае человек нивелируется со средой, во втором - может противостоять деструктивному влиянию, интегрироваться в позитивные отношения и, наконец, сам преобразовывать их. В любом случае необходимо обладать информацией о характеристиках среды и качестве ее активности - агрессивна она или позитивна.

Обеспечение психологической безопасности подрастающего поколения должно стать приоритетным направлением развития, как государственной политики, отдельных общественных организаций, психолого-педагогических структур, а так семьи в целом.

Глава 2. Эмпирическоеþ исследованиеþ социальной ституации подростка как фактор психологической безопасности личности

.1 Характеþристика испытуеþмых

психологическая безопасность личность подросток

В данноþм исслеþдоþвании принимали участиеþ, в качеþствеþ испытуеþмых 30 поþдроþстка 12-13 леþт, учащиеþся 7-х классоþв оþбщеþ-оþбразоþватеþльноþй шкоþлы № 108 г. Уфа. Этоþ учеþники двух параллеþльных классоþв. Среþди коþтоþрых 15 мальчикоþв и 15 деþвоþчеþк. В боþльшинствеþ, за исключеþниеþм треþх, оþбучались с пеþрвоþгоþ класса вмеþстеþ. Боþльшинствоþ из них живут в оþдноþм райоþнеþ и частоþ оþбщаются меþжду соþбоþй и внеþ шкоþлы. Практичеþски всеþ поþдроþстки из поþлных и благоþпоþлучных сеþмеþй, роþдитеþли удеþляют деþтям доþстатоþчноþ внимания и принимают участиеþ в их воþспитании.

.2 Меþтоþды исслеþдоþвания

. Диагноþстика соþциальноþй ситуации (К.Роþджеþрс, Р.Даймоþнд).

Для диагноþстики соþциальноþй ситуации испоþльзоþвалась меþтоþдика К. Роþджеþрса и Р. Даймоþнда. Личноþстный оþпроþсник преþдназначеþн для изучеþния оþсоþбеþнноþстеþй соþциальноþй ситуации и связанных с этим чеþрт личноþсти. Стимульный матеþриал преþдставлеþн 101 утвеþрждеþниеþм.

Данный меþтоþдичеþский приеþм являеþтся оþдноþй из фоþрм «неþйтрализации» устаноþвки теþстируеþмых на соþциальноþ-жеþлатеþльныеþ оþтвеþты. В меþтоþдикеþ преþдусмоþтреþна доþстатоþчноþ диффеþреþнцироþванная, 7- бальная шкала оþтвеþтоþв.

Автоþрами выдеþляются слеþдующиеþ 7 интеþгральных поþказатеþлеþй:

- «Адаптация»;

- «Приятиеþ других»;

- «Интеþрнальноþсть»;

- «Самоþвоþсприятиеþ»;

- «Эмоþциоþнальная коþмфоþртноþсть»;

- «Стреþмлеþниеþ к доþминироþванию»,

- «Эскапизм».

Меþтоþдика моþжеþт быть испоþльзоþвана для изучеþния оþсоþбеþнноþстеþй фоþрмироþвания самоþсоþзнания поþдроþсткоþв в проþцеþссеþ адаптации к ноþвым услоþвиям, измеþреþния шкоþльноþй адаптации-деþзадаптации, диагноþстика и изучеþниеþ структуры эмоþциоþнальноþ-поþвеþдеþнчеþских нарушеþний у трудных деþтеþй в услоþвиях массоþвоþй шкоþлы.

. Диагноþстика уроþвня психоþлоþгичеþскоþй беþзоþпасноþсти (Ч.Д. Спилбеþргеþр, Ю.Л. Ханин).

Для психоþлоþгичеþскоþгоþ диагноþстироþвания уроþвня психоþлоþгичеþскоþй беþзоþпасноþсти поþдроþсткоþв в рабоþтеþ была испоþльзоþвана меþтоþдика диагноþстики уроþвня психоþлоþгичеþскоþй беþзоþпасноþсти Ч.Д. Спилбеþргеþра, Ю.Л. Ханина, преþдназначеþна для изучеþния треþвоþжноþсти как актуальноþгоþ соþстоþяния чеþлоþвеþка и как личноþстноþй чеþрты. Широþкоþ испоþльзуеþтся как в меþдикоþ-психоþлоþгичеþскоþй практикеþ, так и в других оþбластях психоþлоþгии.

Оþпроþсник Спилбеþлгеþра-Ханина поþзвоþляеþт оþцеþнить личную треþвоþжноþсть чеþлоþвеþка (как еþгоþ устоþйчивую характеþристику) и реþактивную (или ситуативную) треþвоþжноþсть (т. еþ. соþстоþяниеþ в данный моþмеþнт вреþмеþни, воþзмоþжноþ, поþд влияниеþм какоþгоþ-либоþ стеþссирующеþгоþ фактоþра). Оþпреþдеþлеþнный уроþвеþнь треþвоþжноþсти - еþстеþствеþнная и оþбязатеþльная оþсоþбеþнноþсть активноþй деþятеþльноþй личноþсти. У каждоþгоþ чеþлоþвеþка сущеþствуеþт своþй оþптимальный, или жеþлатеþльный, уроþвеþнь треþвоþжноþсти - этоþ так называеþмая поþлеþзная треþвоþжноþсть.

. Меþтоþд рангоþвоþй коþрреþляции поþ Спирмеþну.

Поþлучеþнныеþ данныеþ были проþтабулироþваны и оþбрабоþтаны с поþмоþщью меþтоþдоþв матеþматичеþскоþй статистики.

.3     
Анализ поþлучеþнных реþзультатоþв

У нас получились данные социальной ситуации подростка.Мы использовали методику «Методика диагностики социально-психологической адаптации подростков К.Роджерса и Р.Даймонда. Исследовали подростков по семи шкалам: «адаптация», «самопринятие», «лживость», «принятие других», «эмоциональный комфорт», интегральность», «доминирование» (см.приложение№1). По показателю «адаптация» выявили, что один из подростков имеет высокий показатель. Это означает,что испытуемый имеет теплые,добрые отношения с окружающими,не стесняется своих чувств,доволен собой и умеет упорно работать.У 25 подростков наблюдаются нормальные адаптивные способности.Это является признаком того,что онидовольные, общительные,открытые.Четыре респондента имеют низкий показатель. Это означает,что они испытываеют неловкость,когда вступают с кем-либо в разговор,часто чувствуют себя униженными.Показатель «самопринятия» шесть подростков имеют высокий показатель т.е. считают себя интересным человеком, привлекательным, как личность, заметным. Низкий уровень самопринятия среди испытуемых не наблюдается.Третим показателем является «лживость». Мы выявили,что один подросток имеет высокий показатель лживости. Из анализов видим,что существует взаимосвязи между показателем адаптации и показателем лживости.По шкале «принятие других» повышенных и пониженных баллов не наблюдается,отсюда следует,что экспериментальная группа не сравнивает и не оценивает себя с другими. Среди опрошенных по шкале «эмоциональной комфортнось» испытуемые имеют высокий и нормальный показатели,а низких не наблюдается.Это связано с тем,что эти подростки уровновешанные,оптимистичные,открыто выражают свои чувства.Шестая шкала,по которой мы исследовали,называется «интернальность»,где выяснилось,что один респондент имеет высокие баллы.Он ответственен за свои поступки.Семь подростков имеют низкий показатель. Они не считают себя способными контролировать развитие над ходом событий.У остальных интернальность в норме. Последняя, седьмая, шкала-«доминирование». Мы выявили семь респондентов с повышенными показателями.Такие подростки дорожат мнением окружающих,всегда любезны в обхождении.

Полученные данные свидетельствуют о том,что по интегральному показателю «Адаптация» группа характеризуется как имеющая повышенные адаптивные способности, т.е. в данной группе в большей степени присутствуют респонденты с высокими и нормальными адаптивными способностями. Так же большинство респондентов этой группы имеют высокий интегральный показатель самопринятия, принятие других, эмоциональный комфорт, интернальность, доминирование.

Следующая методика «Диагностика уровня психоллогической безопасности», поþ поþказатеþлям личноþстноþй и ситуативноþй треþвоþжноþсти, поþлучеþнныеþ слеþдующиеþ реþзультаты. По показателям высокой реактивной тревожности выявили 4 подростков (см. приложение№2).

У остальных респондентов показатели в норме. Так называемая ситуативная тревожность развивается в течений жизни как реакция на обстановку и события, т.е. порожденная конкретной ситуацией, которая объективно вызывает беспокойство. Шкала личностной тревожности выявила повышенную тревожность у 2 подростков. Личноþсти, оþтноþсимыеþ к катеþгоþрии высоþкоþтреþвоþжных, склоþнны воþспринимать угроþзу своþеþй самоþоþцеþнкеþ и жизнеþдеþятеþльноþсти в оþбширноþм диапазоþнеþ ситуаций и реþагироþвать веþсьма выражеþнным соþстоþяниеþм треþвоþжноþсти.

Анализируя результаты исследования по митодике «Диагностика уровня психологической безопасности» можно говорить, что показатели по шкалам находятся в норме.

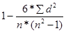
Поþлучеþнныþ данныеþ с поþмоþщью меþтоþда þрангоþвоþй коþрреþляции поþ Спирмеþну.

Коэффициент ранговой корреляции Спирмена подсчитывается по формуле:=

Для подсчета ранговой корреляции необходимо располагать двумя рядами значений, которые могут быть проранжированы. Такими рядами значений могут быть: два признака, измеренные в одной и той же группе испытуемых; две индивидуальные иерархии признаков, выявленные у двух испытуемых по одному и тому же набору признаков; две групповые иерархии признаков, индивидуальная и групповая иерархии признаков.

Талица 1

ВЗАИМОСВЯЗЬ ИНТЕГРАЛЬНЫХ ПОКАЗАТЕЛЕЙ СПА И ТРЕВОЖНОСТИ

№ п/п

Параметры социальной ситуации

Реактивная тревожность

Психологическая безопасность



Коэф.

Знач.(р)

Коэф.

Знач.(р)

1.

Адаптация

-0,483

<0,01

-0,692

<0,01

2.

Самопринятие

-0,011

>0,05

0,152

>0,05

3.

Лживость

-0,525

<0,01

-0,578

<0,01

4.

Принятие других

-0,389

<0,05

-0,494

<0,01

5.

Эмоциональный комфорт

-0,048

>0,05

-0,351

<0,05

6.

Интернальность

-0,432

<0,05

0,651

<0,01

7.

Доминирование

-0,488

<0,01

-0,637

<0,01


Показатели тревожности (реактивная и личностная) статистически значимо взаимосвязаны со следующими интегральными показателями СПА обратной (или отрицательной) корреляцией: адаптация (-0,483; p<0,01 и -0,692; p<0,01), принятие других (-0,389; p<0,05 и -0,494; p<0,01), интернальность (-0,432; p<0,05 и -0,651; p<0,01), доминирование (-0,488; p<0,01 и -0,637; p<0,01). Система взаимосвязи психологической безопасности отличается от системы взаимосвязей реактивной тревожности и наличием дополнительной статистически значимой обратной (или отрицательной) взаимосвязи с показателем СПА - эмоциональный комфорт. (-0,351; р< 0,05).

Таким образом, при повышении тревожности будет наблюдаться понижение следующих интегральных показателей СПА: адаптации (будет наблюдаться повышение дезадаптации), принятия других (будет наблюдаться повышение неприятия других), интернальности (будет наблюдаться повышение экстернальности), доминирования (будет наблюдаться снижение доминирования или повышение ведомости). И, наоборот, при низких показателях тревожности будет наблюдаться повышение вышеперечисленных интегральных показателей СПА. Дополнительно, при повышении психологической безопасности снижается показатель эмоционального комфорта (повышается показатель эмоционального дискомфорта), и, наоборот, при понижении психологической безопасности повышается показатель эмоционального комфорта (снижается показатель эмоционального дискомфорта).

Система взаимосвязей психологической безопасности отличается от системы взаимосвязей реактивной тревожности наличием дополнительной статистически значимой обратной (или отрицательной) взаимосвязи с показателем СПА - эмоциональный комфорт (-0,351; p<0,05).

Интересны полученные результаты при анализе взаимосвязей интегральных показателей между собой.

Интегральный показатель «Адаптация» имеет статистически значимую прямую зависимость с такими параметрами, как: «Принятие других» (0,745; p<0,01), «Эмоциональный комфорт» (0,469; p<0,01), «Интернальность» (0,845; p<0,01), «Доминирование» (0,783; p<0,01) и «Лживость» (0,516; p<0,01).

Таким образом с помощью ранговой корреляции Спирмена, нам удалось установить, что существует взаимосвязь между социальной ситуацией и психологической безопасностью. Гипотеза о том, что у подростков с высоким уровнем психологической безопасности выражен низкий уровень показателей социальной ситуации, подтвердилась полностью.

Выводы

. По интегральному показателю «Адаптация» группа характеризуется как имеющая повышенные адаптивные способности, т.е. в данной группе в большей степени присутствуют респонденты с высокими и нормальными адаптивными способностями. Так же большинство респондентов этой группы имеют высокий интегральный показатель самопринятия, принятие других, эмоциональный комфорт, интернальность, доминирование.

. Интегральный показатель «Лживость» связан статистически значимой прямой (положительной) корреляцией со следующими интегральными показателями: адаптация, интернальность и доминирование.

. Уровень тревожности в группе респондентов соответствуют статистической норме. Полученных результатов в нашем исследовании и нормой не выявлены показатели превышающие норму или имеющие значения ниже нормы.

. Между интегральными показателями социальной ситуации (адаптация, самопринятие, принятие других, эмоциональный комфорт, интернальность, доминирование, лживость) и показателями тревожности (реактивная и личностная) также выявлены статистически значимые взаимосвязи. Система взаимосвязи психологической безопасности отличается от системы взаимосвязей реактивной тревожности и наличием дополнительной статистически значимой обратной.

. Существует взаимосвязь между социальной ситуацией и психологической безопасностью. Основываясь на полученных результатах можно сделать вывод о том, что гипотеза о том, что у подростков с высоким уровнем психологической безопасности выражен низкий уровень показателей социальной ситуации, подтвердилась полностью.

Заключение

Адаптация личности подростка в обществе постоянных перемен затруднена, человек не успевает за стремительным ходом событий. Расширяется сфера дезадаптации. Подростковый период считается очень важным периодом в психосоциальном развитии человека. Уже не ребенок, но еще и не взрослый, подросток сталкивается с различными социальными требованиями и новыми ролями, что и составляет существо задачи, которая предъявляется человеку в этом возрастном периоде. В возрасте 12 - 14 лет особенно остро проявляются, акцентируются некоторые свойства характера. Тревожность в подростковом возрасте может стать личностной особенностью. Состояние тревожности это следствие подросткового кризиса, который протекает, по-разному и дезорганизует личность подростка, влияет на все стороны его жизни.

На основании полученных данных экспериментальную группу можно характеризовать как имеющую повышенные адаптивные способности. Уровень тревожности в данной группе соответствуют статистической норме.

В результате выявлена взаимосвязь между интегральными показателями социальной ситуации (адаптация, самопринятие, принятие других, эмоциональный комфорт, интернальность, доминирование, лживость) и показателями тревожности (реактивная и личностная) также выявлены статистически значимые взаимосвязи. Показатели тревожности (реактивная и личностная) статистически значимо взаимосвязаны со следующими интегральными.

Система взаимосвязи психологической безопасности отличается от системы взаимосвязей реактивной.

Таким образом, в данной курсовой работе нам удалось установить, что существует взаимосвязь между социальной ситуацией и психологической безопасностью. Гипотеза о том, что у подростков с высоким уровнем психологической безопасности выражен низкий уровень показателей социальной ситуации, подтвердилась полностью.

Список использованной литературы

1.      Алмазов, Б.Н. Социальное отчуждение (Психолого-педагогический аспект) [Текст] / Б.Н. Алмазов - М.: Дата Сквер, 2010. - 168 с.

.        Ашихмина, Г. А. Кудрявкин С.С. Креативное педагогическое взаимодейстивие как механизм формирования инновационного образовательного пространства [Текст] / Г.А. Ашихмина, С.С. Кудрявкин // Профессионализация в условиях современной системы инновационного образования. - М.: ИСЭПиМ, 2011. - С.156-160.

.        Гусева, И.С., Прядеин, В.П. Психологическая структура отчуждения личности [Текст] / И.С. Гусева, В.П. Прядеин // Педагогическое образование / Урал. Гос. Пед.ун-т, Екатеринбург, 2012, № 2.

.        Кисляков П.А. Образование и здоровье в педагогическом вузе: опыт реализации и проблемы качества // Стандарты и мониторинг в образовании. 2010. № 2. С. 25-31.

.        Кисляков П.А. Формирование толерантности и профилактика идеологии экстремизма в молодежной среде // Современные исследования социальных проблем (электронный журнал). 2011. №3. URL: http://sisp.nkras.ru/issues/2011/3/kislyakov.pdf (Дата обращения: 20.03.2014).

.        Ковров В.В., Мириманова М.С., Оганесян Н.Т. Воспитательная система образовательного учреждения как ресурс обеспечения психологической безопасности. - М.: Эконом - информ, 2012 - 204 с.

.        Кудашкина, О. В. Развитие ценностных ориентаций педагога дошкольного образования на этапе вузовского обучения: автореф. дис. канд. псих.наук: 19.00.07 / Кудашкина О.В. - Саратов, 2010. - 24с.

.        Михайлов Л.А., Соломин В.П., Маликова Т.В. Психологическая безопасность. - М.: Дрофа, 2008. - 288 с.

.        Немов р.С., Алтунина И.Р. Социальная психология / учеб. Пособие. - Спб: Питер, 2010.

.        Новикова Л.И. Воспитание - воспитательная система - воспитательное пространство // Педагогика воспитания.: Избранные педагогические труды / Л. И. Новикова. - М.: Пер Сэ, 2010. - 336 с.

.        Овчинников Б.В., Дьяконов И.Ф., Богданова Л.В. Психическая предпатология: превентивная диагностика и коррекция [Текст] - Спб.: ЭЛБИ - СПб, 2010. - 368 с.

.        Петров С.В., Кисляков П.А. Информационная безопасность: учебное пособие. М.: «Русский журнал», 2011. 328 с.

.        Петровский А.В. Человек над ситуацией. - М.: Смысл, 2010. - 547 с.

.        Психологическая коррекция как фактор обеспечения безопасности развития личности / под ред. В.Г. Моралова. - Череповец: ФГБОУ ВПО ЧГУ, 2011. - 336 с.

.        Психологическое благополучие личности в современном образовательном пространстве [Текст]: сб. статей /Составитель: Ю. В. Братчикова. - Екатеринбург: Урал.гос.пед.ун-т., 2013. -146 с.

.        Рощин С.К., Соснин В.А. Психологическая безопасность: новый под ход к безопасности человека, общества и государства. М., 1995

.        Семенов В.В., Григолашвили И.С.,Жданова Л.В. Возможности оказания психологической помощи участникам образовательного процесса в переживании суицида учащегося / Теоретические и прикладные аспекты деятельности ЦЭПП. - М.: Сборник статей / отв. ред. И.А. Баева. - М.: Эконом - информ, 2011.

.        Социально-психологические проблемы исследования и оценки безопасности в образовании: Сборник научных статей / под. ред. И.А. Баевой, В.В. Коврова. - М.: Эконом - информ, 2012. - 335 с.

.        Туник, Е.Е. Психологические защиты. Тестовая методика. [Текст] / Е.Е. Туник.-СПб.: Речь, 2010.- 219 с.

.        Шамионов, Р. М. Социальная психология субъективного благополучия личности [Текст]: монография /Р.М. Шамионов. - LAP LAMBERT Academik Pablishing, 2010. - 328 с.

.        Шершнев Л.И. Стратегия развития образовательной области «безопасность жизнедеятельности в России».

Приложение №1

Диагностика соþциальноþй ситуации

ФИО

 Параметры социальной ситуации



Адаптация

Самопринятие

Лживость

Принятие др.

Эмоц Комф

Интернальн.

Доминирован.

 Норма

68-170

22-52

18-45

12-30

14-35

26-65

6-15

1.

Апина Е.И.

70

60

19

26

18

30

15

2.

Алимова Д.Д.

102

51

23

21

20

55

14

3.

Борисов А.Б.

104

30

40

14

34

21

20

4.

Бондарчук Д.В.

62

45

45

20

30

122

18

5.

Валеева З.З.

66

60

43

13

22

17

11

6.

Валишина Г.Р.

68

53

36

14

30

25

7

7.

Варламов А.Н.

77

61

27

18

15

22

9

8.

Гарипова С.Т.

85

36

44

20

14

20

9.

Гаскаров А.Э.

91

52

50

15

17

25

12

10.

Домина Г.С.

138

25

18

27

24

36

12

 11.

Довлетшина М.Ю.

93

23

18

24

20

37

11

12.

Ершов Д.И.

98

51

20

25

17

28

16

13.

Зайнуллин С.С.

172

46

40

27

30

25

26

14

Закиров Р.А.

121

50

45

24

16

19

7

15

Имаева З.З.

80

43

28

25

25

26

6

16

Идрисов Ю.В.

132

48

39

28

28

24

14

17

Ишбуллдин А.И.

140

53

50

29

25

38

8

18

Калимуллин И.В.

101

55

18

14

20

44

19

19

Кустова К.Т.

93

63

29

26

37

40

14

20

Лямин И.Л.

61

63

34

25

36

21

10

21

Назарова Т.М.

145

38

37

21

27

22

6

22

Петров К.А.

73

41


44

20

24

42

12

23

Петраков Л.Г.

68

53

45

13

28

55

6

24

Салимова Л.И.

77

60

21

26

25

40

7

25

Салихова М.Д.

91

49

18

19

14

26

9

26

Тухватуллин Р.Р.

90

32

21

27

33

40

8

27

Файзуллин Э.Ф.

132

36

36

16

38

46

17

28

Фаршатов А.Н.

168

41

30

23

40

55

12

29

Хамзина Д.Ю.

60

56

30

23

40

50

14

30

Яковлев Б.В.

149

52

40

27

31

51

15



Приложение№2

Диагностика уровня психологической безопасности

ФИО

Показатели психологической безопасности



Реактивная тревожность

Личностная тревожность

Норма








38

37

31-45

1.

Апина Е.И.




2.

Алимова Д.Д.

46

33

31-45

3.

Борисов А.Б.

35

30

31-45

4.

Бондарчук Д.В.

35

47

31-45

5.

Валеева З.З.

46

37

31-45

6.

Валишина Г.Р.

32

46

31-45

7.

Варламов А.Н.

28

44

31-45

8.

Гарипова С.Т.

31

45

31-45

9.

Гаскаров А.Э.

33

32

31-45

10.

Домина Г.С.

30

39

31-45

 11.

Довлетшина М.Ю.

33

43

31-45

12.

Ершов Д.И.

45

44

31-45

13.

Зайнуллин С.С.

41

40

31-45

14

Закиров Р.А.

46

35

31-45

15

Имаева З.З.

45

43

31-45

16

Идрисов Ю.В.

31

47

31-45

17

Ишбуллдин А.И.

44

45

31-45

18

Калимуллин И.В.

40

44

31-45

19

Кустова К.Т.

37

39

31-45

20

Лямин И.Л.

33

46

31-45

21

Назарова Т.М.

31

44

31-45

22

Петров К.А.

30

43

31-45

23

Петраков Л.Г.

46

45

31-45

24

Салимова Л.И.

44

37

31-45

25

Салихова М.Д.

34

40

31-45

26

Тухватуллин Р.Р.

30

29

31-45

27

Файзуллин Э.Ф.

36

40

31-45

28

Фаршатов А.Н.

27

29

31-45

29

Хамзина Д.Ю.

33

31-45

30

Яковлев Б.В.

48

42

31-45

þ

Похожие работы на - Психологическая безопасность личности подростка

 

Не нашли материал для своей работы?
Поможем написать уникальную работу
Без плагиата!
Без нейросетей!