Особенности экологического лицензирования и ход его осуществления

  • Вид работы:
    Курсовая работа (т)
  • Предмет:
    Основы права
  • Язык:
    Русский
    ,
    Формат файла:
    MS Word
    352,91 Кб
  • Опубликовано:
    2015-03-05
Вы можете узнать стоимость помощи в написании студенческой работы.
Помощь в написании работы, которую точно примут!

Особенности экологического лицензирования и ход его осуществления

Содержание

Введение

Глава 1. Связь экологического лицензирования и охраны окружающей среды

.1 Нормативно-правовое обеспечение экологического лицензирования

.2 Понятие окружающей среды и влияние на нее природоохранной деятельности

.3 Острые проблемы природопользования в Ростовской области

Глава 2. Особенности экологического лицензирования и ход его осуществления

.1 Общее понятие экологического лицензирования. Лицензирование отдельных видов деятельности

.2 Осуществление лицензионного контроля

.3 Субъекты и объекты финансирования экологического лицензирования

Глава 3. Оценка вариантов повышения экологической безопасности эксплуатации автомобильного транспорта

.1 Методика оценки суммарной токсичности выбросов

.2 Методика определения суммарной токсичности выбросов в атмосферный воздух

3.3 Определение экономичности природоохранных мероприятий

Заключение

Список использованных источников

Приложения

природопользование экологический лицензирование выброс

Введение

Охрана окружающей среды на данный момент занимает одно из важнейших мест в жизни человечества. Много сотен лет люди даже не задумывались о таком понятии, но, с приходом индустриализации, научно-технического прогресса на территории государств появились тысячи производств и оборудования. Эти загрязнители способствовали быстрому ухудшению экологической обстановки, появились такие экологические проблемы как снижение биоразнообразия, деградация естественных экосистем и ландшафтов, истощение запасов природных ресурсов, пресной воды, ухудшение качества почвы, появление озоновых дыр и глобальное потепление.

Нависла серьёзная угроза антропогенного кризиса, что заставило правительство принять меры. Службы контроля качества окружающей среды устанавливают ограничения, издают нормативные документы и следят за выполнением норм и правил в отношении правильной эксплуатации окружающей среды. Просмотрим эволюцию природоохранных органов в России. К примеру, в 1918 году в России впервые была создана Постоянная природоохранная комиссия при Русском географическом обществе во главе с академиком И. П. Бородиным. В 1988 был учреждён Государственный комитет по охране природы СССР, который со временем трансформировался в Министерство охраны окружающей среды и природных ресурсов России. [24, C. 52] Своевременный сбор информации и контроль позволяет в короткие сроки выявить и устранить источники загрязнения.

Данными органами был проведен комплекс мероприятий по улучшению качества окружающей среды. Некоторые из них: формирование у людей экологической культуры, установление ограничений на выбросы и сбросы загрязняющих веществ, обозначение вокруг предприятий разного вида санитарных охранных зон, контроль за ненормированными вырубками леса и добычей полезных ископаемых, введение ряда штрафов за нанесение вреда окружающей среде, попытки сделать промышленность экологичной, рациональное использование ресурсов и пр.

В числе проводимых мероприятий можно указать и экологическое лицензирование. Вышеупомянутая процедура позволяет избежать нанесения ущерба природе, жизни человека, контролировать деятельность предприятий и уровень наносимого ими ущерба. Далее в работе будут изложены основные цели и задачи, субъекты и объекты финансирования, а так же порядок осуществления экологического лицензирования.

Целями данной курсовой работы является изучение механизма экологического лицензирования в России, рассмотрение особенностей лицензирования и правового регулирования отдельных природных ресурсов, а так же выявление основных участников финансирования.

1. Связь экологического лицензирования и охраны окружающей среды

1.1    Нормативно-правовое обеспечение экологического лицензирования

Законодательная основа природопользования базируется на Конституции Российской Федерации, Земельном кодексе Российской Федерации, Федеральном законе от 10.01.2002 "Об охране окружающей среды", других федеральных законах и нормативных правовых актах. Статья 72 Конституции Российской Федерации гласит "1. В совместном ведении Российской Федерации и субъектов Российской Федерации находятся: в) вопросы владения, пользования и распоряжения землей, недрами, водными и другими природными ресурсами;… д) природопользование; охрана окружающей среды и обеспечение экологической безопасности; особо охраняемые природные территории; охрана памятников истории и культуры;… к) административное, административно-процессуальное, трудовое, семейное, жилищное, земельное, водное, лесное законодательство, законодательство о недрах, об охране окружающей среды". [1] Так же в статье 42 указано, что каждый гражданин РФ имеет право на благоприятную окружающую среду и на получение любой достоверной информации по этому вопросу. В случае экологического ущерба здоровью, имуществу право на возмещение убытков. Статья 58 предписывает сохранять окружающую среду и природные богатства.

Обратим внимание на Федеральный Закон № 128 от 8 августа 2001 года "О лицензировании отдельных видов деятельности". В нем указаны основные принципы лицензирования, условия получения лицензий, перечень требований к лицензируемым видам деятельности, определение полномочий лицензирующих органов и Правительства Российской Федерации, осуществление контроля, лицензионные сборы и финансирование лицензирования, а так же многое другое. Так же модифицированной версией вышеуказанного нормативного документа является Федеральный Закон № 99 от 3 ноября 2011 года "О лицензировании отдельных видов деятельности". На примере этого закона можно проследить неразрывную связь защиты окружающей среды и лицензирования. Это специальное разрешение в той или иной мере ограждает природу от неконтролируемого загрязнения, уничтожения. Федеральный закон контролирует отношения, которые возникают между органами исполнительной власти субъектов Российской Федерации, федеральными органами исполнительной власти, юридическими лицами и индивидуальными предпринимателями. Экологическое лицензирование является своеобразным рычагом контроля антропогенной деятельности.

Рассмотрим Федеральный закон № 52 "О животном мире", принятый Государственной думой 22 марта 1995 года. В соответствии с данным законом животный мир является народным достоянием Российской Федерации, важным стабилизирующим компонентом окружающей среды, охраняемым возобновляющимся ресурсом. Нормативный акт направлен на защиту биосферы и разнообразия животного мира. К перечню подобных документов можно прибавить Федеральный Закон № 74 "Водный кодекс РФ от 3 июня 2006 года", который принят Государственной Думой 12 апреля 2006 года и одобрен Советом Федерации 26 мая 2006 года. Он направлен на охрану гидросферы, включает в себя помимо общих положений водное законодательство и его основные принципы, а так же отношения, регулируемые им. Право собственности, пользования, а так же ограничения пользования водными объектами, мониторинг водных объектов и прочее указано в Федеральном Законе № 74.

Большое значение в регулировании процесса природопользования имеет Федеральный Закон № 7 от 10 января 2002 года "Об охране окружающей среды". Помимо перечня объектов охраны окружающей среды, к которым относятся околоземное космическое пространство, почвы, озоновый слой атмосферы; в документе прописаны такие важные моменты, как платность негативного воздействия на окружающую среду, виды негативного воздействия (выбросы и сбросы загрязняющих веществ в атмосферу, гидросферу, почвы; шумовые, световые, тепловые, электромагнитные загрязнения; размещение отходов производства и др.). В этом законе напрямую прослеживается неразрывная связь защиты окружающей среды от негативного воздействия и экологического лицензирования. Прописано проведение обязательного и добровольного лицензирования в порядке, определенным Правительством РФ. Планируемую хозяйственную и иную деятельность рассматривают и оценивают с точки зрения её возможного косвенного и прямого воздействия на окружающую среду. Помимо этого разрабатываются альтернативные варианты проведения деятельности и проектная документация.

.2      Понятие окружающей среды и влияние на нее природоохранной деятельности

Противостояние человека и природы в последнее время обрело острый характер. Появились проблемы, которые требуют решения немедленно и незамедлительно. Нависла серьёзная угроза экологического кризиса, т.е. стабильного ухудшения экологической обстановки, влекущее за собой нанесение вреда здоровья человека. Особое внимание теперь уделяется таким мероприятиям, как природопользование и охрана окружающей среды.

Окружающая среда - это сочетание компонентов природной среды и искусственной, созданной человеком в результате его деятельности. Произошло от английского environment - среда. Профессор В.В. Петров полагал, что "окружающая среда" состоит из природы и непосредственно окружающей человека среды. Под окружающей человека средой понимается та часть естественной среды, которая преобразована в процессе антропогенной деятельности человека, состоящая в органическом единстве естественных, модифицированных, трансформированных экологических систем. [25, С. 19]

В некоторых трактовках это понятие гиперболизируют, обозначая под окружающей средой всю планету Земля, а так же материальные и духовные аспекты. Так или иначе, понятие подразумевает неразрывную связь природы и человека, включает различные сферы деятельности общества, которые прямо или косвенно могут оказать воздействие на жизнь человека.

История происхождения термина уходит корнями в середину XIX века и обязано своим появлением биологии. Понятие ввел уроженец нынешней Германии немецкий зоолог Эрнест Геккель в 1866 году. В своем труде "Всемирная морфология организмов" впервые окружающая среда подразумевалась как совокупность природных условий образования и существования организмов. Со временем этот термин получил широкое распространение в литературе и нормативных документах, особенно в 60-70 годах XX века. Его активно используют такие организации, как ЮНЕСКО и ООН. Окружающая среда часто упоминается во многих документах Российской Федерации. Кроме того, на международной конференции 1972 года в Стокгольме, организованной ООН, был назначен 5 июня Всемирный день охраны окружающей среды. Стоит отметить, что окружающая среда была включена в разряд природных ресурсов наравне с почвами, поверхностными и внутренними водами, воздухом, полезными ископаемыми, климатом, флорой и фауной, околоземным космическим пространством Модельным законом об охране окружающей среды, составленным под руководством Совета Европы и принятым им в 1994 г.

Одновременно с понятием "окружающая среда" вводятся различные мероприятия по её охране и защите, дисциплины, изучаемые в школах и университетах, создаются различные организации, пишутся научные работы, принимаются законы, разрабатываются гипотезы, словом, появляется новый аспект в жизни общества. Это не может не отобразиться в государственном устройстве и политике разных стран. В США регулирование охраны исторических мест стало важной частью законодательства. В Российской федерации так же большое внимание уделили сфере природопользования и охране окружающей среды, хотя в широкое использование эти понятия вошли совсем недавно - в 90е года прошлого века. Российской федерацией была подписана Декларация по окружающей среде и развитию, где можно отметить пункт, что даже во время вооруженных конфликтов государство должно максимально обеспечить сохранность окружающей среды насколько это возможно.

Улучшение экологической обстановки в последнее время стало для многих регионов приоритетным. И без разъяснений понятно, что ухудшение качества окружающей среды ставит под угрозу само существование жизни на Земле. Поэтому выявление и предотвращение этого процесса очень трудоемкое, требует много времени, затрат и ресурсов. Ежегодно из государственного бюджета выделяются немалые средства для поддержания хрупкого равновесия экосистем и природы в целом. Правительством периодично проводятся мероприятия по обеспечению экологической и радиационной безопасности, перенесение крупных предприятий из городов в малонаселенные районы с условиями, непригодными для развития сельского хозяйства, подбор оптимального варианта проведения градостроительства без нанесения вреда экологии, противопожарные мероприятия.

Восстановление нарушенных земель входит в список наиболее востребованных мер по улучшению окружающей среды, так как почва является ограниченным неперемещаемым ресурсом. Рекультивация включает в себя разравнивание терриконов, засыпка оврагов, орошение, мелиорация засоленных почв, внесение удобрений, возобновление флоры и фауны, проведение очистных работ, уход за урожаем, система многополья, дренаж.

Невозможно представить современное общество без автомобилей, железных дорог, промышленных предприятий, различной техники и прочего. Для обеспечении работы всего перечисленного требуется колоссальное количество энергии, она не возьмётся из неоткуда. Энергетика базируется на всевозможного вида гидростанциях, теплоэлектростанциях, атомных электростанциях. Конечно же, выбросы от этих предприятий, пожалуй, одни из самых объемных. Большие надежды возлагают на поиск альтернативных источников энергии. В этом вопросе прогресс можно наблюдать по таким разработкам как, экологически чистое топливо для автомобилей (топливо из биомассы), использование солнечной, приливной энергии, энергии ветра. Во многих странах уже установлены гелиостанции на испытательной основе. С помощью них можно добывать энергию от солнца, не нанося вред окружающей среде. В России, США, Канаде, Италии, на Филиппинах были построены геотермальные станции, в Дании установлена ветровая, а во Франции и Италии приливные.

Жесткий контроль установлен над промышленностью и хозяйственной деятельностью. Для законного функционирования предприятиям и фирмам необходимо получить лицензию. Для этого необходимо провести оценку воздействия на окружающую среду (ОВОС), предоставить проект предприятия и ряд документов: договора с принимающими организации, лицензия на право обращения с опасными отходами и выбросы, а так же их паспорта и др. Главные задачи промышленной экологии - это разработка методов производства и утилизации отходов таким образом, чтобы негативное влияние на биосферу было минимальным.

Природоохранная деятельность важна для общества, так как качество окружающей среды влияет на уровень жизни населения. Прямую зависимость между ними можно выразить следующим образом: чем больше загрязнения и наносимый ущерб среде, тем выше вероятность роста числа заболеваний, средняя продолжительность жизни снижается. В числе регионов с наиболее тяжелой экологической обстановкой Урал, Алтай, район Кузбасса и Курской Магнитной Аномалии. Стоит обратить внимание на города, основной доход которых составляет прибыль от крупных предприятий. Такие города как Норильск, Череповец, Липецк, Челябинск были построены вокруг заводов и фабрик, они имеют специализацию на выпуске определенной продукции и известны во всей России. Именно здесь экология страдает больше всего, и антропогенное воздействие достигает предельного уровня.

Состояния окружающей среды можно разделить на нормальное, нарушенное, кризисное и экологически опасное. Главной целью природоохранных органов является установление нормального (естественного) состояния среды. Оно характеризуется равновесием экосистем, взаимодействием человека и природы без нанесения урона, антропогенное воздействие оказывает в основном положительное влияние на среду. В этом случае продолжительность жизни растет, а заболеваемость и смертность населения уменьшается.

При нормальном состоянии наблюдается сдвиг экологических систем из состояния равновесия, однако общее функционирование не нарушено.

Состояние, при котором число выбросов и сбросов, степень антропогенной нагрузки приближаются к критическим показателям, называется кризисным. Деградация природных систем в этом случае неизбежна. Наблюдается нарушение плодородия и целостности почв, опустынивание, высокая концентрация в воде и воздухе загрязнителей, и в итоге нарушение баланса среды. Для предотвращения регресса экосистем в целом следует в срочном порядке провести оптимизацию хозяйства и работы промышленного сектора, ввести материальные наказания за причинения урона среде и усовершенствовать систему здравоохранения.

Конечная стадия состояния окружающей среды определяется полной непригодностью для жизни человека, растений и животных. Экологически опасное состояние может быть следствием экологической катастрофы или бедствия. Пострадавшим и потерявшим собственность выплачивается компенсация, как например жертвам аварии 26 апреля 1986 года в Чернобыле. В этом случае почвы, вода, воздух утрачивают свою ценность в качестве природного ресурса. Исправить положение может только усиление экологической безопасности технических устройств, жесткий контроль и экологический мониторинг среды, экологическое планирование, экологическая оптимизация хозяйства.

.3      Острые проблемы природопользования в Ростовской области

Как и в любом субъекте Российской Федерации в Ростовской области есть ряд экологических проблем, требующих пристального внимания и решения. Этими вопросами занимается Ростоблкомприроды - комитет по охране окружающей среды и природных ресурсов Администрации Ростовский области. Данный комитет управляет государственным экологическим контролем охраны окружающей среды, направляет в этой области деятельность органов государственной власти, осуществляет экологический мониторинг и аудит, снижает риск негативного воздействия и контролирует соблюдение требований в области охраны окружающей среды. В его ведении находятся улучшение экологической ситуации, разработка совместно с другими природоохранными органами и учеными деятелями работ, направленных на повышения уровня экологической безопасности и качества среды на территории Ростовской области. Для обеспечения воспроизводства и целесообразного использования природных ресурсов был проведен комплекс мер в рамках единой государственной политики в сфере улучшения экологической обстановки. Было сформировано областное природоохранное законодательство, воплощено в жизнь множество программ по сохранению природных ресурсов, скоординированы действия административных муниципальных образований в целях повышения работоспособности природоохранных органов. Ужесточен экологический контроль над деятельностью хозяйственных и иных предприятий, развито и развивается по сей день экологическое образование население и проведена комплексная оценка состояния окружающей среды области в целом.

Во многом ухудшению экологии способствует разностороннее развитие промышленности. Ведущими отраслями являются машиностроение, черная и цветная металлургия, производство строительных материалов, электроэнергетика, химическая и легкая промышленность. Кроме рабочих мест и постоянного дохода разного вида отросли наносят невосполнимый ущерб окружающей среде.

Ростовская область производит одну четвертую часть всей промышленной продукции Южного федерального округа. По уровню развития некоторых направлений область лидирует не только среди субъектов России, но и среди стран СНГ. Стоит отметить, что в области изготавливают более половины зерноуборочных комбайнов, стальных труб, навигационного оборудования и 70 % паровых котлов, электровозов в России. Выпуск изделий черной металлургии составляет 16,5 % от общероссийского.

Одно из значимых предприятий в области - "Ростсельмаш", которое входит в пятёрку крупнейших экспортеров и производителей сельскохозяйственной техники. По выпуску комбайнов 65 % составляет доля предприятия в России и 17 % во всем мире. Филиалы основаны во многих странах Европы, предприятие имеет свой футбольный клуб, канадский тракторный завод - Buhler VERSATILE.

"Росвертол" - основанная 1 июля 1939 года авиастроительная компания. Предприятие выпускает вертолеты не только по заказу Министерства обороны России, но и для Китая, Индонезии, Бразилии.

Новочеркасский электровозный завод, Таганрогский и Сулинский металлургические заводы, корпорация "Gloria-Jeans", "Донской текстиль", "Юг Руси" завод, "ТагАЗ" ежегодно выпускают тонны продукции, выбросы от производства которых загрязняют воздух, воду и почву. Утилизация отходов - одна из назревших проблем нашей области, решение которой требует финансовой поддержки и времени.

Волгодонская атомная станция это самый мощный загрязнитель и источник экологической опасности во всей области. Около 40 % электрической энергии Ростовская область, а так же Краснодарский и Ставропольский края получают от Волгодонской АЭС, однако такие крупномасштабные производства не могут не отразиться на экологической обстановке. Кроме явной угрозы наступления опасного экологического состояния среды в случае аварии станции, причем радиусом распространения в несколько сотен километров, даже при правильной работе АЭС страдает окружающая среда Волгодонска и близлежащих окрестностей. До недавнего времени город входил в 30 самых загрязненных в России. Токсичные отходы ухудшают состояние почвы, тепловое загрязнение так же сказывается на состоянии среды. В воздухе обнаружены концентрации формальдегидов, оксида углерода, азота, цезия, аргона, превышающие допустимые нормы. На десятки километров вокруг атомной станции среда заражена радионуклидами, они образуются в результате деления ядер урана и коррозии металлов реактора. Токсичные сточные воды попадают в Цимлянское водохранилище, а оттуда в реки, распространяясь далее. Для исправления ситуации были построены очистные сооружения, около двух десятков постов радиационной службы и отстойник для воды.

Большую часть загрязнений атмосферы составляют выхлопные газы. Транспорт в крупных городах насыщает воздух формальдегидами, угарным газом, диоксидом азота и несгоревшими углеродами.

сентября 2013 года в Ростове-на-Дону прошел организованный митинг под названием "За благоприятную окружающую среду" на площадке у Дворца спорта с 16 до 18 часов. Организатором была общественная организация "Зелёный союз", митинг был согласован с администрацией города. Целью выступления было выражение своей гражданской позиции, властям были предъявлены требования, касающиеся сохранения природного богатства города и прекращение застроек на территории скверов, парков и особо охраняемых территорий.

В итоге общее состояние окружающей среды Ростовской области оценивается как неблагополучное.

2. Особенности экологического лицензирования и ход его осуществления

2.1 Общее понятие экологического лицензирования. Лицензирование отдельных видов деятельности

Для контроля уровня антропогенного воздействия на окружающую среду проводится ряд природоохранных мероприятий, в список которых входит и экологическое лицензирование. Это деятельность государственных органов по выдаче соответствующих разрешений на осуществление работ, связанных с природопользованием. Она осуществляется с целью предупреждения и предотвращения негативного воздействия на природу, человека, памятники культуры, права и интересы граждан, а так же для охраны государства в целом от ущерба при осуществлении разного вида деятельности.

Задачами лицензирования отдельных видов деятельности являются предупреждение, выявление и пресечение нарушений юридическим лицом, его руководителем и иными должностными лицами, индивидуальным предпринимателем, его уполномоченными представителями (далее - юридическое лицо, индивидуальный предприниматель) требований, которые установлены настоящим Федеральным законом, другими федеральными законами и принимаемыми в соответствии с ними иными нормативными правовыми актами Российской Федерации. Соответствие соискателя лицензии этим требованиям является необходимым условием для предоставления лицензии, их соблюдение лицензиатом обязательно при осуществлении лицензируемого вида деятельности. (Федеральный закон "О лицензировании отдельных видов деятельности" от 04.05.2011 N 99-ФЗ, статья 2.2)

Эта отрасль получила широкое распространение сравнительно недавно, но постепенно набирает юридическую силу. Вся экологическая значимая деятельность обязана осуществляться только после получения лицензии, иначе она считается незаконной, и предприятие могут привлечь к юридической ответственности.

Экологическое лицензирование отвечает за все действия, связанные с захоронением, перевозкой, утилизацией, хранением отходов, а так же с паспортизацией оборудования и машин, организацией и проведением работ по защите окружающей среды на суше и море, прогнозированием воздействия на среду проектируемых и действующих предприятий.

К основным принципам осуществления лицензирования можно отнести следующее:

–       на территории Российской Федерации обеспечивается единое экономическое пространство;

–       федеральным законом непосредственно устанавливаются отдельные виды деятельности;

–       для каждого лицензируемого вида деятельности устанавливается исчерпывающий список лицензионных требований;

–       федеральный закон устанавливает единого порядок лицензирования отдельных видов деятельности на всей территории РФ;

–       информация о лицензировании должна быть доступной и открытой, исключая ту, распространение которой ограничено или запрещено согласно законодательству РФ;

–       исключая плату установленной государственной пошлины, недопустимо взимание с лицензиатов и соискателей лицензии платы за проведение лицензирования;

–       соблюдается законность при осуществлении лицензирования.

К лицензированию в сфере природопользования так же относится и изъятие природных резервов, отзыв лицензии в случае правонарушений в соответствии с порядком, который установлен в соответствии с федеральными законами и нормативными актами. План проведения этих операций определяется лицензионным порядком приобретения прав природопользования, установленных в законодательстве. Специфика применения лицензирования состоит в тесном комбинировании с договорными формами.

Ход осуществления лицензионной деятельности осуществляется следующим образом: соискатель подает заявку на оформление или переоформление лицензии. Далее лицензирующие органы могут даже без разрешения прокуратуры проводить внеплановые проверки и оценки легальности документации. Это предусмотрено статьями № 13, № 18 Федерального закона "О лицензировании отдельных видов деятельности", так как само заявление на предоставление лицензии является основанием для проведения ревизии в отношении соискателя лицензии. В заявлении указывается адрес предприятия, и электронной почты, наименование юридического лица в полном и сокращенном виде, ФИО индивидуального предпринимателя, его данные о месте жительства, контактной информации, документы, подтверждающие личность, идентификационный номер налогоплательщика, данные документа о постановке соискателя лицензии на учет в налоговом органе, вид деятельности с описание проводимых работ. Кроме того, соискатель лицензии может оставить просьбу на предоставление ему информации о лицензировании. Прилагаются копии учредительных нотариально заверенных документов юридического лица, документов о своевременной уплате налогов, пошлин и опись всех приложенных документов.

Документальной проверке подвергаются сведения о проводимой деятельности, соблюдение требований к эксплуатируемым машинам, оборудованию, земле, помещениям и т.д. Так же прослеживают меры, которые соискатель лицензии осуществляет для соблюдения установленным нормам и предписаниям. Обращают внимание и на своевременное устранение правонарушений, возникающих в ходе осуществления рассматриваемой деятельности. Рассматриваются предыдущие акты проверок.

Если обнаруживаются несоответствия с предоставленной информацией или нарушения, то отправляется документ, требующий предъявить в течение определенного времени пояснения, предоставления недостающих документов или устранения правонарушения. Соискатель лицензии имеет право во время установленного срока предоставить документы, подтверждающие подлинность указанных ранее сведений. Если же объяснения не последует, то проверяющий вправе вернуть заявление или, в крайнем случае, составить протокол об административном правонарушении.

Завершается процедура вынесением общего решения об отказе или о выдаче лицензии. В течение примерно 45 дней с момента поступления заявления и прилагаемых документов, но не более, лицензирующие органы обязаны сообщить о своем решении, составить акт. Урегулирование сроков выдачи документа или отказа в нем могут быть различны в соответствии с положениями о лицензировании конкретных видов деятельности. Кроме того, все материалы обоснования лицензий являются объектами государственной экологической экспертизы федерального уровня.

На каждого лицензиата заводится дело, в которое подшиты заявление соискателя и все сопутствующие документы, приказы органов о предоставлении лицензии или отказе в ней, о переоформлении, продлении, возобновлении, приостановлении, аннулирования лицензии, а так же её копия. Назначения и копии актов проверок, предписания и протоколы об обнаруженных правонарушениях, постановления о назначении наказаний и пр.

Рассмотрим особенности лицензирования и правового регулирования отдельных природных ресурсов.

Проблема разрешения на пользование недрами зависит от характера работ, относящихся к недрам, способа использования и разновидности полезных ископаемых. В одних случаях землевладельцы, арендаторы, землепользователи или собственники земли имеют право беспрепятственно пользоваться распространенными полезными ископаемыми для удовлетворения своих потребностей, без каких-либо разрешительных документов. В ряде других случаев требуется оформить лицензию для законной эксплуатации недр. Во вторую категорию в соответствии с законодательством входят добыча полезных ископаемых, изучение геологии недр, создание подземных построек и их использование, даже если они не связаны с добычей полезных ископаемых, основание особо охраняемых объектов и др.

Получение лицензии осуществляется только после предоставления разрешения от специальных органов управления земельными ресурсами на выдачу земли под недропользование. Далее утверждается проект работ по недропользованию, и обозначаются точные границы участка, регистрируются земельные права пользования.

Пользование недрами регулируется Федеральным законом "О недрах" от 21 февраля 1992 года. Он контролирует отношения охраны, использования и изучения недр, находящихся на территории Российской Федерации, а так же в пределах её акватории, континентального шельфа. Под юрисдикцию закона попадают горнодобывающая и обрабатывающая (минеральные ресурсы) промышленности. По закону, Государственный фонд недр - это все части недр в пределах государства - используются в интересах граждан РФ. Если дело не касается радиоактивного сырья, то пользователями недр могут быть субъекты предпринимательской деятельности, юридические лица и даже иностранные граждане, если эти случаи предусмотрены законодательством. За нарушение Федерального закона установлена уголовная, а так же административная ответственность. [4]

На основании лицензии недра предоставляются в бессрочное пользование или в срок от пяти до двадцати пяти лет (зависит от вида пользования). Исключая отдельные случаи, пользование недрами платное. В плату входят налоги, акцизные сборы, отчисления, различного вида платежи за право на пользование, восстановление сырьевой базы, на выдачу лицензий, за пользование землёй и акваторией, различную информацию по этому вопросу и пр.

Порядок и принципы пользования водными ресурсами регулируется Водным кодексом Российской Федерации, вступившим в силу с 1 января 2007 года. В нем указаны правовая база использования, охраны водных отношений. Водное законодательство подразделяется на кодекс, федеральные законы, законы субъектов РФ, а все неурегулированные кодексом имущественные вопросы разрешаются гражданским законодательством.

Основные принципы водного законодательства заключаются в том, что водные отношения регламентируются в пределах бассейновых округов, такой подход называется бассейновым; охрана водных ресурсов осуществляется в соответствии с их приоритетом, например, использование воды для питья и бытового водоснабжения имеет приоритет перед другими задачами. [6]

Все водные объекты, исключая пруды, обводные карьеры в пределах земельного участка (они принадлежат собственнику, право утрачивается с потерей собственности на землю), находятся в федеральной собственности. Водные объекты предоставляются в аренду. Регулируется порядок водопользования и охраны водных объектов.

Право на пользование утверждается специальным договором, решением о предоставлении водного объекта в пользование. В силу вступает ст. 11 вышеупомянутого кодекса, в соответствии с которой все водные объекты, которые принадлежат субъектам РФ, находятся в федеральной или муниципальной собственности, передаются в пользование в соответствии с договорами:

–       для изъятия (забора) водных ресурсов из поверхностных вод;

–       для задействования акватории водных объектов (в том числе и для рекреационных целей);

–       использование воды без изъятия водных ресурсов для энергетики;

–       для иных целей, к примеру, на предоставления лицензии на сброс дренажных или сточных вод, возведение мостов, причалов, портов, дамб, разведку и добычу полезных ископаемых, сплав древесины и др.

Максимальный срок действия договора по правилам не должен превышать двадцать пять лет. На некоторые виды использования водных объектов лицензия не требуется. К ним относятся судоходство, восстановление водных ресурсов, рыболовство и водопой, полив огородных, садовых участков, содержание личного подсобного хозяйства, купания, для забора вод в целях ликвидации чрезвычайных ситуаций или для санитарных, экологических целей.

В соответствии со ст. 19 Водного кодекса РФ возможна передача прав водопользования по договору иному лицу при получении согласия исполнительного органа власти или органа местного самоуправления.

Пользование лесными ресурсами регулируется Лесным кодексом РФ. Опираясь на ст. 71 кодекса, можно предоставлять в аренду, постоянное пользование лесные участки, находящиеся в федеральной, муниципальной собственности, гражданам РФ, юридическим лицам в порядке, установленном Земельным кодексом РФ при условии, что иное не предусмотрено Лесным кодексом.

Оформляется право пользования с помощью договора аренды лесного участка, сроком до сорока девяти лет в соответствии со ст. 72 Лесного кодекса РФ. Ст. 74 гласит, что договор заключается на основе результатов аукциона по продаже права на заключение данного договора. Без проведения аукциона договор составляется в случае геологической разведки недр, разработки месторождений, освоение лесов, реконструкции и строительства линий электропередачи, дорог, линии связи, трубопроводов и пр.

Договоры аренды лесных объектов, которые находятся в государственной, муниципальной собственности, собственности объектов Российской Федерации, заключаются органами государственной власти, органами местного самоуправления в соответствии с Лесным кодексом РФ. Правительство РФ утверждает порядок заключения договоров.

Предоставление лицензии на право пользования животными ресурсами регулируется Федеральными законами "О животном мире", "О континентальном шельфе РФ", "О рыболовстве и сохранении водных биологических ресурсов" и др. Животным миром могут пользоваться физические и юридические лица, а так же иностранные граждане. Срок действия лицензии варьируется в зависимости от вида пользования животным миром в пределах территории или акватории. Гражданам Российской Федерации предоставляются разовые лицензии на промысел установленного количества животных ресурсов в пределах определенной территории или на некоторый промежуток времени.

В соответствии со ст. 35 ФЗ "О животном мире", на одной территории могут проводиться несколько видов пользования, если они не препятствуют осуществлению друг другу. Лицензии выдаются в приоритетном порядке гражданам РФ и юридическим лицам, которые являются собственниками, землевладельцами данной территории или акватории; ранее осуществляющим указанный вид пользования в пределах данной территории.

Ст. 36 Федерального закона "О животном мире гласит", что специально уполномоченный орган субъекта Российской Федерации по контролю, охране и регулированию использования животного мира и его среды обитания в соответствии с постановлением высшего исполнительного органа государственной власти может предоставить долгосрочную лицензию на право пользования животными ресурсами.

Если на одну и ту же акваторию, территорию притязают несколько лицензиатов, то лицензия выдается на основе результатов конкурса, который организуют специально уполномоченные органы. В юрисдикцию этих же органов попадает выделение разовых лицензий в установленном порядке и в границах поставленных лимитов.

Лицензирование деятельности, осуществляющей удаление отходов в окружающую среду, регламентируется в основном Федеральным законом "Об охране окружающей среды", а так же Положением о лицензировании деятельности по сбору, использованию, обезвреживанию, транспортировке, размещению опасных отходов, природоресурсными актами законодательства, другими нормативными правовыми актами.

Обязательному лицензированию подлежат захоронение твердых отходов производств, вредных веществ, сброс сточных вод, выбросы загрязнителей в атмосферу и пр. Внесение отходов производства и потребления в окружающую среду в экологическом праве считается как вид пользования соответствующей сферы - гидросферы, атмосферы, литосферы, недрами.

Федеральная служба по экологическому, технологическому и атомному надзору играет важную роль в процессе выдачи лицензий. Ростехнадзор ведает предоставлением разрешительных документов на сбросы и выбросы загрязнителей в окружающую среду, а так же на использование, транспортировку, размещение, обезвреживание и сбор опасных токсичных отходов. Так же под его контролем находится лицензирование физических воздействий на окружающую среду.

Для экологического лицензирования любого вида деятельности проводится государственная экологическая экспертиза экологических обоснований лицензий, которая служит гарантией выполнения требований и нормативов законодательства об охране окружающей среды при проведении работ по устранению вышеперечисленных сбросов и выбросов. При необходимости проводится экологическое аудирование на предприятии-соискателе лицензии.

.2 Осуществление лицензионного контроля

В ходе надзора за лицензиатами используются материалы ФЗ № 294 "О защите прав юридических лиц и индивидуальных предпринимателей при осуществлении государственного контроля и муниципального контроля", учитывая специфику проведения проверок в зависимости от особенностей отдельного дела.

Как было сказано ранее, соискатели лицензии подвергаются документарным внеплановым проверкам лицензирующими органами, проводятся внеплановые выезды в соответствии со статьями 13 и 18 ФЗ №294. Для вышеуказанных действий согласование с прокуратурой не требуется. Заявление о предоставлении, переоформлении лицензии рассматривается как основание на осуществление проверки соискателя.

Сведения, предоставленные в заявлении, сравниваются со стандартами, описанными в ст. 13 и 18 Федерального закона №294, а так же по базе единого государственного реестра предпринимателей проверяются данные о соискателе лицензии. В ходе внеплановой проверке выполняется сравнение используемых машин, оборудования, зданий и работников установленным лицензионным требованиям.

Лицензиат подвергается документарным проверкам, плановым и внеплановым выездным проверкам, которые так же осуществляются без согласования с органами прокуратуры, кроме внеплановых выездных проверок, основанных на заявлениях физических и юридических лиц о грубых нарушениях лицензиатом лицензионных требований или по истечении срока, отведенного лицензиату для устранения выявленных нарушений. Положением о лицензировании отдельных видов деятельности устанавливается список грубых нарушений. В этот перечень в основном входят нарушения, которые послужили причиной возникновения угрозы причинения вреда животным, растениям, объектам культурного наследия, окружающей среде, вреда здоровью и жизни граждан ( смерти, причинения тяжкого вреда здоровью, травм средней тяжести двум и более людям). Все нарушения, способные повлиять на появление угрозы чрезвычайных ситуаций техногенного характера. Нанесение ущерба правам или интересам граждан, безопасности государства и обороне страны так же входят в вышеупомянутый перечень.

Сведения о деятельности лицензиата, состоянии эксплуатируемых сооружений, оборудования, зданий, техники; согласованность оказываемых услуг, квалификации и навыков работников лицензионным требованиям, выполнение предписаний об устранении найденных нарушений, являются предметом проверок.

Согласно плану проведения проверок, составленном в специальном порядке, утвержденным лицензирующим органом, ежегодно проводятся плановые проверки. График составляется на основании ряда факторов:

–       для некоторых сфер деятельности Правительством РФ устанавливается специальный срок между проведением плановых проверок;

–       с момента принятия решения о переоформлении лицензии, о её предоставлении прошел год;

–       лицензиат проверялся последний раз три года назад.

В ходе проведении проверки представитель органов лицензирующего контроля имеет право получать информацию, документы и сведения, доказывающие соответствие деятельности лицензиата или соискателя лицензии установленным лицензионным нормам и требованиям.

В соответствии со ст. 7 ФЗ "О лицензировании отдельных видов деятельности", представители лицензирующих органов так же вправе:

–       применять меры по устранению административных правонарушений и привлекать к ответственности причастные к нарушениям лица в порядке, установленном законодательством РФ;

–       выдавать предписания об устранении обнаруженных нарушений, получать необходимые сведения о лицензиате или соискателе лицензии в информационной базе органов местного самоуправления или органов государственной власти.

В процессе осуществления лицензирования должностные лица соответствующих органов обязаны действовать согласно законодательству РФ и своевременно выполнять свои обязанности в сфере лицензирования. За нарушение надлежащего исполнения и совершение противоправных действий, бездействие должностные лица несут полную ответственность, предусмотренную законодательством страны. Если же в лицензирующие органы поступят сведения о нарушениях, то в течение тридцати рабочих дней со дня поступления информации пострадавшие юридические лица, индивидуальные предприниматели, чьи интересы и права были нарушены, будут уведомлены о мерах, принятых в отношении виновных должностных лиц.

Ежегодная подготовка докладов об эффективности лицензирования подготавливается федеральными органами исполнительной власти и органами исполнительной власти субъектов Российской Федерации, которые осуществляют лицензирование конкретных видов деятельности, в особом порядке, установленном Правительством Российской Федерации. Доклады предоставляются в уполномоченный Правительством РФ орган исполнительной власти, занимающийся составлением общего отчета о состоянии лицензирования.

Остановимся подробнее на этом вопросе. Что касается порядка формирования единого государственного информационного ресурса, то лицензирующие органы создают общедоступный и открытый государственный информационный портал, в котором содержатся сведения из положений о лицензировании отдельных видов деятельности, из реестра лицензий, технических регламентов и прочих нормативных правовых актов РФ, регламентирующих обязательные требования к лицензируемым видам деятельности. Исключениями являются случаи, не подлежащие огласке по причине сохранения служебной или государственной тайны в соответствии с законодательством Российской Федерации. Информация предоставляется бесплатно в течении пяти рабочих дней с момента получения запроса по интересующему вопросу.

Реестры лицензий на определенные виды деятельности ведутся лицензирующими органами, лицензирование которых они осуществляют. В реестре содержатся:

–       даты внесения в реестр лицензий сведений о лицензиате;

–       номер и дата выдачи дубликата лицензии (в случае его выдачи);

–       основание и дата прекращения действия лицензии;

–       основания и даты проведения проверок лицензиатов и реквизиты актов, составленных по результатам проведенных проверок;

–       даты и реквизиты выданных постановлений о назначении административных наказаний в виде административного приостановления деятельности лицензиатов;

–       основания, даты вынесения решений лицензирующего органа о приостановлении, о возобновлении действия лицензий и реквизиты таких решений;

–       основания, даты вынесения решений суда об аннулировании лицензий и реквизиты таких решений;

–       иные установленные настоящим Федеральным законом сведения. [1]

Хранение и ведение журнала осуществляется на электронных носителях в условиях, предохраняющих от блокирования, модифицирования, хищения, уничтожения сведений, в недоступных для посторонних лиц местах. Принятие лицензирующим органом решения в установленном законном порядке служит основанием для внесения новой записи в реестр. Запись вносится в тот день, в который было принято решение о выдаче, переоформлении, продлении, ограничении срока действия, выдачи дубликата лицензии, вынесении предписания о ликвидации обнаруженных нарушений, о назначении даты проверки лицензиата. Информация о прекращении деятельности, аннулировании лицензии так же заносится в реестр.

Сводные реестры составляются и ведутся в установленном законодательством порядке федеральными органами исполнительной власти, осуществляющими контроль за выполнением переданных полномочий РФ в сфере лицензирования субъектов Российской Федерации.

Все сведения об отдельной лицензии направляются заявителю лично или заказным письмом с уведомлением о получении либо в форме выписки из реестра лицензий, либо в виде копии акта лицензирующего органа, либо справки об отсутствии запрашиваемых сведений, которая высылается при затруднении определения конкретного лицензиата или отсутствия в реестре информации. Так же сведения могут пересылаться в электронной форме с электронной подписью в формах, указанных выше.

Кроме того, лицензирующий орган должен обеспечить получение от лицензиатов и соискателей лицензий документов и сведений, доступ к открытой информации в информационно-телекоммуникационной сети "Интернет" о ходе и порядке принятия решений, предусмотренных настоящим Федеральным законом. Лицензирующий орган при получении сведений направляет их её заявителям в электронной форме. Доступ к информации может быть ограничен в тех ситуациях, при которых сведения отнесены законодательством к государственной или производственной тайне.

Правительство РФ в праве устанавливать дополнительные требования к созданию единого государственного реестра, ведению и формированию информационного портала, предоставлению информации по вопросам лицензирования и пр.

.3 Субъекты и объекты финансирования экологического лицензирования

Финансирование экологического лицензирования может осуществляться по двум схемам.

Первая рассчитана на финансирование органа, который занимается только экологическим лицензированием, это является его основной деятельностью. Для данной схемы характерно выделение денежных средств на содержание конкретного лицензирующего органа на год, предусмотренное законодательством о бюджете. Вся выделенная сумма расходуется на осуществление экологического лицензирования.

Вторая схема применима в том случае, если экологическое лицензирование выступает в роли одной из ветвей деятельности некого лицензирующего органа. Суть заключена в том, что выделение финансовых средств осуществляется за счет общего бюджета центрального аппарата.

Ответственность за денежное обеспечение экологического лицензирование законодательством возложено на плечи государства и соответствующих муниципальных органов (органов местного самоуправления). Бюджет как форма расходования и накопления финансовых средств, сформированная для выполнения функций и задач органов местного самоуправления и государства, образуется за счет расходов и доходов. Для рационального распределения денег по разным направлениям применяется бюджетная классификация Российской Федерации. Данное образование представляет собой сортирование по группам источников финансирования, дефицитов бюджетов всех уровней бюджетной системы Российской Федерации, расходов, доходов и видов государственных (муниципальных) активов и государственного (муниципального) долга. Классификация помогает сохранять баланс показателей бюджетов всех уровней бюджетной системы РФ, в её состав входят экономическая и функциональная классификации.

Экономическую классификацию бюджетов РФ можно описать как комплекс расходов всех уровней денежной системы Российской Федерации по их экономическому содержанию. Расходы подразделяют на текущие и капитальные. Текущие расходы бюджетов иллюстрируют функционирование в настоящее время:

–       органов местного самоуправления и государственной власти;

–       оказания государственной поддержки отдельным отраслям экономики и другим бюджетам в форме субвенций, дотаций и субсидий на текущее функционирование;

–       другие расходы бюджетов, которые в соответствии с бюджетной классификацией Российской Федерации не включены в капитальные расходы.

Функциональная классификация бюджетов РФ представляет собой комплекс расходов бюджетов всех уровней, направленных на разрешение вопросов местного значения и выполнения основных задач государства, на реализацию и финансирование нормативных и муниципальных правовых актов, на обеспечение отдельных государственных полномочий других уровней власти и пр.

Понятие "финансирование" подразумевает растрату средств на ряд целей, в основном на мероприятия по лицензированию разных видов деятельности, предоставление лицензий, непосредственно выдачу и переоформление документов, возобновление и приостановление срока действия лицензий, их аннулирование, ведение реестров лицензий и проведение лицензионного контроля.

Следовательно, в роли основных субъектов финансирования экологического лицензирования выступают органы местного и государственного самоуправления, в частности их бюджет. В качестве же объектов финансирования выступают соответствующие лицензирующие органы. В соответствии с Постановлением Правительства РФ от 26.01.2006

№ 45, лицензирующими органами являются федеральные органы власти, источником их финансирования, соответственно, будет федеральный бюджет, предназначенный для исполнения расходных обязательств Российской Федерации.

3. Оценка вариантов повышения экологической безопасности эксплуатации автомобильного транспорта

3.1 Методика оценки суммарной токсичности выбросов

 

Задание

1. Оценить суммарную токсичность выбросов автомобилями с дизельными и бензиновыми двигателями за год по двум вариантам природоохранных мероприятий.

. Рассчитать долю основных компонентов отработавших газов в общую токсичность выбросов.

. По результатам расчетов построить гистограммы, проанализировать экологическую эффективность предлагаемых мероприятий.

. Сравнить экономичность предлагаемых вариантов природоохранных мероприятий, сделать вывод о большей целесообразности одного из них.

Исходные данные

Средний пробег автомобиля за год, L ……………10 000 км

Средний расход топлива на 100 км:

для бензиновых двигателей ………………………………………….10 л

для дизельных двигателей……………………………………………30 л

Средняя стоимость используемых топлив:

бензинов……………………………………15 руб/л

дизельных топлив……………………….15 руб/л

Стоимость одного каталитического

нейтрализатора для автомобиля

с бензиновым двигателем………………..10 000 руб.

Стоимость комбинированной системы

фильтр-нейтрализатор для автомобиля

с дизельным двигателем ………………12 000 руб.

Срок службы каталитического нейтрализатора ………….3 года

Срок службы комбинированной системы

фильтр-нейтрализатор……………………………3 года

Стоимость многофункциональной присадки:

для бензинов…………………………………2 коп/л

для дизельных топлив……………………….6 коп/л

.2 Методика определения суммарной токсичности выбросов в атмосферный воздух

Мероприятия по охране окружающей среды предприятия, у которого в автопарке находятся автомобили с бензиновыми и дизельными двигателями, предлагаются, опираясь на то, что автомобили с бензиновыми двигателями оборудованы системой впрыска топлива и потребляют только неэтилированный бензин. Использование каталитических нейтрализаторов и системы фильтр-нейтрализатор увеличивает расход топлива на 10 %.

Для уменьшения количества токсичных выбросов, которые производятся автомобилями предприятия, предложены 2 альтернативных природоохранных мероприятия:

– эксплуатация трехкомпонентных каталитических нейтрализаторов для автомобилей с бензиновыми двигателями и комбинированной системы фильтр-нейтрализатор для автомобилей с дизельными двигателями (природоохранное мероприятие 1);

–       использование многофункциональной присадки к бензинам и дизельным топливам.

Сведения о выбросах загрязняющих веществ одним автомобилем на единицу пробега представлены в табл. 1.1.

Загрязнение воздуха городов токсичными веществами, выбрасываемыми автотранспортом, влечёт за собой во многих случаях скопление токсичных веществ в воздухе в зоне дыхания, во много раз превышающие безопасные для здоровья человека. Выбросы токсичных веществ автомобилями зависят как от технического совершенства автомобилей и их двигателей, так и от экологических свойств моторных топлив.

При сгорании моторных топлив в бензиновых и дизельных двигателях при стехиометрическом (=1) или сверхстехиометрическом (>1) соотношении кислород воздуха/топливо помимо основных продуктов полного окисления - воды и диоксида углерода - образуются и выбрасываются с отработавшими газами в воздух токсичные вещества: оксиды углерода, азота, органические кислородосодержащие соединения, несгоревшие углеводороды, сажа, а при использовании свинцовых антидетонаторов (этилированных бензинов) свинец (в виде бромидов и хлоридов). Образование токсичных веществ в бензиновых и дизельных двигателях имеет свои отличия и особенности, поэтому и состав отработавших газов различен. Главные токсичные продукты отработавших газов бензиновых двигателей (в современных бензиновых двигателях соотношение воздух/топливо автоматически поддерживается в пределах 1,00 . 1,02 относительно стехиометрического) - продукты неполного горения топлива: оксид углерода (CO) и недогоревшие углеводороды (CmHn).

Дизельный двигатель работает со значительным избытком воздуха, и микродиффузионный режим сгорания топлива создает условия образования токсичных веществ, которые значительно отличаются от условий в бензиновых двигателях.

Таблица 1.1 Исходные данные для решения


* Выбросы до проведения природоохранного мероприятия.

** Выбросы после природоохранного мероприятия 1.

*** Выбросы после природоохранного мероприятия 2.

В итоге в дизельных двигателях образование оксидов азота значительно больше, чем в бензиновых двигателях, а образование оксида углерода - много ниже. В то же время значительно больше степень полного и неполного окисления углеводородов, и, следовательно, значительно ниже общие выбросы углеводородов и их оксипроизводных (но доля выбросов альдегидов в 1,5 . 4 раза выше), чем в бензиновых двигателях. Помимо этого, в выбросах дизельных двигателей всегда содержится сажа, из-за особенностей диффузионного горения.

Для оценки общей токсичности отработавших газов нужно знание ПДК токсичных компонентов выбросов. Чаще всего при оценке токсичности веществ, которые автотранспорт выбрасывает в атмосферу, исходили из значений максимальной разовой ПДК. Сейчас города настолько насыщены автомобилями, что вернее будет использовать среднесуточные ПДК. Есть значительная неопределенность в величине ПДК для группы токсичных веществ CmHn, так как определяется сумма горючих, кроме СО, которые включают в себя малотоксичные и чрезвычайно токсичные вещества (табл. 1.2).

Таблица 1.2 Предельно допустимые концентрации некоторых веществ, входящих в группу CmHn отработавших газов АТС


Так как усреднение ПДК в данном случае затруднительно, то мы берём для группы CmHn ПДК, равное ПДК NO2 (в нормах ПДВ стран ЕС до 2000 г. CmHn и NOx, определяемые в виде NO2, лимитировались суммарно). Далее указаны среднесуточные ПДК главных токсичных компонентов отработавших газов:

Вещество ПДКСС, мг/м3……………………………0,04……………………………..3…………………………..0,04

Твердые частицы (сажа)………………………...0,05

Если при сжигании 1 кг топлива выделяется GA г токсичного вещества А и предельно допустимая среднесуточная концентрация его равна ПДКА, то концентрация А в воздухе будет равна ПДКА. Тогда объем воздуха, в котором разбавлены продукты сгорания (коэффициент разбавления - Кр(А), м3), равен

 (1)

Аналогичная степень загрязнения воздуха веществом В, или Кр(В) = Кр(А). Следовательно загрязнение воздуха веществом В можно рассчитать через вес GА , г:

. (2)

Отсюда суммарное загрязнение воздуха разными токсичными веществами можно выразить через вес одного вещества GА , г, которое принято за эталон, определяя

 (3)

Суммирование ведется по видам токсичных веществ.

За эталон примем оксид углерода. Следовательно, суммарное загрязнение воздуха токсичными веществами, которые образуются при сжигании 1 кг моторного топлива, будет вычисляться формулой

 (4)

где gco - вес оксида углерода, дающий такое же загрязнение, как все токсичные вещества в сумме, г.

Бензин:

gCO0 =12,41+(19/0,04)*3+(2,11/0,04)*3 = 12,41+142,5+158,25=0,31316 кг

gCO1= 1,24+57+0,75=0,05899 кг

gCO2=8,69+105+102,75=0,21644 кг

Дизель:

gCO1=0,3+420+7,5+5,4=0,4332

gCO2=2,6+315+54+5,4=0,377 кг

Используя данный способ, можно сопоставить экологические характеристики разных типов автомобилей по интегральной характеристике токсичности отработавших газов, которая выражена через эквивалентный вес оксида углерода, можно сравнивать экологическую эффективность методов снижения токсичности отработавших газов автомобилей, оценить экологические свойства различных сортов бензинов и дизельных топлив и т.д.

Для оценки общей токсичности выбросов автомобилями фирмы за год нужно учитывать среднегодовой пробег L. Суммарная токсичность выбросов за год i-го токсичного вещества одним автомобилем Gco, кг, рассчитывается по следующей формуле:

 (5)

где gi - выбросы i-го токсичного вещества автомобилем на километр пробега, г;

gCO - вес оксида углерода, дающий такое же загрязнение, как сумма токсичных выбросов на километр пробега автомобиля, г;

-3 - коэффициент перевода годовых выбросов в килограммы;

GCO - вес оксида углерода, дающий такое же загрязнение, как сумма токсичных выбросов автомобилем за год, кг.

Принимая во внимание то, что в автопарке фирмы есть автомобили, и с бензиновыми, и с дизельными двигателями, формула преобразуется следующим образом:

 (6)

где j - тип двигателя (дизельный или бензиновый); gij - выбросы i-го токсичного вещества автомобилем j-го типа на километр пробега, г; j GCO - эквивалентный по токсичности этим выбросам вес оксида углерода, кг.

Бензин:

GCO0=3,1316 кг

GCO1 =0,5899 кг

GCO2 =2,1644 кг

Дизель:

GCO0 =5,164 кг

GCO1 =4,332 кг

GCO2 =3,77 кг

В работе расчет суммарной токсичности производится отдельно для автомобилей с дизельными и бензиновыми двигателями.

 

3.3 Определение экономичности природоохранных мероприятий

Экономичность вычисляют по соотношению снижения суммарной токсичности отработавших газов и текущих расходов.

Экономичность мероприятий по охране окружающей среды, направленных на снижение токсичных выбросов автомобилями, Э, кг/руб.:

, (7)

где

-суммарная токсичность годовых выбросов автомобилем до проведения природоохранного мероприятия, кг;

 - суммарная токсичность годовых выбросов автомобилем после проведения природоохранного мероприятия, кг;

C - текущие расходы при проведении природоохранного мероприятия, руб. (расчёты приведены ниже)

Бензин:

Э1 = (3,1316-0,5899)/153333,33 = 0,000016576 = 1,66*10-5 кгСО/руб

Э2 = (3,1316-2,1644) )/153333,33 = 0,000006307=0,631*10-5 кгСО/руб

Дизель:

Э1 = (5,164 - 4,322)/180000 = 0,000004622=4,622*10-6 кгСО/руб

Э2 = (5,164 - 3,77)/180000 = 0,000007744=7,74*10-6 кгСО/руб

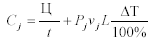
Для мероприятия по охране окружающей среды 1, считая каталитические нейтрализаторы приспособлениями целевого назначения и учитывая увеличение расхода топлива, находим текущие расходы при внедрении мероприятия для автомобилей с двигателями j-го типа, получаем:



где Ц - стоимость каталитического нейтрализатора для бензиновых или комбинированной системы фильтр-нейтрализатор для дизельных двигателей, руб;

t - срок службы нейтрализатора, лет;

Ц/t - сумма годового износа, руб.;

Pi - стоимость j-го вида топлива, руб/л;

vj - расход j-го вида топлива, л/км;

L - средний пробег автомобиля за год, км;

     - увеличение расхода топлива автомобилем после применения каталитической нейтрализации отработавших газов, %.

Бензин: С1 = 10000/3+(15*10*10000*10)/100=153333,33 руб.

Для мероприятия по охране окружающей среды 2 текущие расходы определяются по формуле:

 

С=сjvjL , (9)

где cj -- стоимость присадки в расчете на литр потребляемого топлива j-го вида, руб/л.

Дизель: С2 = 0,6*30*10000=180000 руб.

По полученным результатам расчетов делается вывод о большей целесообразности одного из предлагаемых природоохранных мероприятий.

Выбирается более экономичный способ уменьшения суммарной токсичности отработавших газов. Рассчитанные в ходе работы результаты сводятся в нижеуказанную форму (табл. 2).

Табл. 2 Сравнение альтернативных вариантов природоохранных мероприятий


Исходя из полученных результатов, можно сделать соответствующие выводы. Все исследованные выше природоохранные мероприятия малоэффективны, имеют результат, который держится короткий промежуток времени.

Для автомобилей с бензиновыми двигателями целесообразнее проводить природоохранное мероприятие №1, так как оно более экономичное и имеет меньшую суммарную токсичность. GCO1<GCO2 и Э1>Э2.

Для автомобилей с дизельными двигателями практичнее проводить природоохранное мероприятие №2, по тем же критериям. Суммарная токсичность природоохранного мероприятия № 1 больше, чем токсичность №2. Большую экономичность имеет мероприятие №2. GCO1>GCO2 и Э1<Э2.

Более наглядно результаты вычислений отображены на гистограммах - Рис. №1 и Рис. №2.

Заключение

В ходе выполнения данной курсовой работы были достигнуты следующие задачи - был установлен порядок осуществления экологического лицензирование в России, разобрана специфика лицензирования и правового регулирования отдельных природных ресурсов, а так же обозначены основные субъекты и объекты финансирования.

Для сохранения природного богатства человечество разработало ряд механизмов в целях защиты окружающей среды от внешних воздействий. Чтобы снизить антропогенный ущерб, федеральные органы государственной власти ведут контроль над юридическими лицами и индивидуальными предпринимателями, чья деятельность затрагивает окружающую среду, будь то прямое использование природных ресурсов или косвенное воздействие на них.

Экологическое лицензирование препятствует неограниченному и нерациональному использованию природных богатств, способствует соблюдению нормативов на выбросы и сбросы загрязняющих веществ в атмосферу, гидросферу и литосферу.

Для законного осуществления определенных видов деятельности соискатели лицензии или лицензиаты обязаны получить разрешающий документ - лицензию. Только в этом случае они могут беспрепятственно функционировать. Выдачей, переоформлением, аннулированием, приостановлением занимаются лицензирующие органы. Для удобного контроля за лицензиатами органы ведут реестры лицензий, отчеты по которому сдаются ежегодно и после формируются в сводный реестр.

Финансирование лицензирующих органов, которыми по законодательству являются федеральные органы исполнительной власти (объекты финансирования), ведется из государственного, муниципального бюджетов (субъекты финансирования).

Список использованных источников

. Федеральный закон № 128 от 3 ноября 2011 г. "О лицензировании отдельных видов деятельности" (в ред. Федеральных законов от 18.07.2011 № 242-ФЗ - последняя редакция от 02.07.2013 № 185-ФЗ)

.. Конституция Российской Федерации: офиц. текст. - М.: Маркетинг, 2001

3. Федеральный закон № 7 от 10 января 2002 г. "Об охране окружающей среды" (в ред. Федеральных законов от 22.08.2004 № 122-ФЗ, от 29.12.2004 № 199-ФЗ - последняя редакция от 23.07.2013 № 226-ФЗ)

. Федеральный закон № 2395-1 от 21 февраля 1992 "О недрах" (в ред. Федеральных законов от 03.03.1995 № 27-ФЗ - последняя редакция

. Федеральный закон № 294 от 26 декабря 2008 года "О защите прав юридических лиц и индивидуальных предпринимателей при осуществлении государственного контроля и муниципального контроля" (в ред. Федеральных законов от 28.04.2009 № 60-ФЗ - последняя редакция от 02.11.2013 № 294-ФЗ)

. Федеральный закон № 74 от 03 июня 2006 г. "Водный кодекс Российской Федерации" (в ред. Федеральных законов от 04.12.2006 N 201-ФЗ - последняя редакция от 02.07.2013 № 148-ФЗ)

. Федеральный закон от 30.11.1995 № 187 "О континентальном шельфе Российской Федерации" (в ред. Федеральных законов от 30.09.2013)

. Федеральный закон от 25.10.2001 № 136 "Земельный кодекс Российской Федерации" (ЗК РФ) (действующая редакция от 06.09.2013)

. Федеральный закон от 19.07.1997 N 109 "О безопасном обращении с пестицидами и агрохимикатами" (ред. от 19.07.2011)

. Федеральный закон от 23 ноября 1995 г. № 174 "Об экологической экспертизе" (в ред. Федеральных законов от 15.04.1998 № 65-ФЗ - последняя редакция от 17.12.2009 № 314-ФЗ)

. Федеральный закон от 29 января 1997 г. № 22 "Лесной кодекс Российской Федерации" (в ред. Федеральных законов от 25.07.2002 № 116-ФЗ - последняя редакция от 23.12.2003 № 186-ФЗ)

. Закон РФ от 14.07.1992 № 3295-1 "Об основах градостроительства в Российской Федерации" (ред. от 19.07.1995)

. Федеральный закон от 23 февраля 1995 г. № 26 "О природных лечебных ресурсах, лечебно-оздоровительных местностях и курортах"

14. Федеральный закон от 23.02.1995 № 26 "О природных лечебных ресурсах, лечебно-оздоровительных местностях и курортах"(ред. от 25.06.2012)

. Федеральный закон от 14 марта 1995 г. № 33 "Об особо охраняемых природных территориях" (ред. от 25.06.2012)

. Федеральный закон № 52 от 24 апреля 1995 года "О животном мире" (в ред. Федеральных законов от 11.11.2003 № 148-ФЗ ФЗ - последняя редакция от 07.05.2013 N 104-ФЗ)

. Проект Федерального закона "Об экологическом аудите, экологической аудиторской деятельности и внесении изменений в отдельные законодательные акты Российской Федерации" (подготовлен Минприроды РФ) (не внесен в ГД ФС РФ)

. Акимова Т.А, Кузьмин А.П, Хаскин В.В. "Экология. Природа - Человек - Техника" - Логос, 2001 - С. 343

. Боголюбов С.А. "Экологическое право: Учебник для вузов." -

М.: Издательство НОРМА, 2002 г. - С. 260.

. Бринчук М.М. "Экологическое право (право окружающей среды)": Учебник для высших юридических учебных заявлений. - М.: Издательство Юристъ, 2002 г. - С. 524

. Маглыш С.С. "Общая экология" (Учебное пособие) - Дрофа, 2001 г.

23. Ситаров В.А., Пустовойтов В.В. "Социальная экология" - Логос, 2003 г

24. Соколовский Н. С., Шимова О. С. Экономика природопользования.

. Петров В.В. "Экологическое право России. Учебник." М., Логос, 1995

26. Цветкова Л. И., Алексеев М. И., Кармазинов Ф. В., Неверова-Дзиопак Е. В., Усанов Б. П., Жукова Л. И. "Экология. Учебник для технических вузов": Издательство Ассоциации строительных вузов, Химиздат, 2001 г. - С. 552

Приложения

Рис. №1

Рис. №2

Похожие работы на - Особенности экологического лицензирования и ход его осуществления

 

Не нашли материал для своей работы?
Поможем написать уникальную работу
Без плагиата!
Без нейросетей!