Теплообмінник для охолодження вершків
Вступ
Теплообмінники - це пристрої, в яких здійснюється теплообмін
між середовищем, які гріють, і середовищем, які нагрівають. За технологічним
призначенням та конструктивним оформленням теплообмінні апарати дуже
різноманітні.
За способом передавання теплоти усі теплообмінники поділяють
на дві великі групи:
~поверхневі
~змішувальні.
В поверхневих теплообмінниках обидва теплоносії відокремлені
один від одного твердою стінкою або по черзі контактують з однією і тією самою
стінкою, яка бере участь у процесі теплообміну й утворює так звану поверхню
теплообміну. Залежно від призначення теплообмінного апарата цю поверхню також
часто називають поверхнею нагріву або охолодження. У змішувальних
теплообмінниках, або апаратах змішування, теплообмін здійснюється внаслідок
безпосереднього контакту і змішування гарячого й холодного теплоносіїв.
Поверхневі теплообмінники, у свою чергу, поділяють на:
~ рекуперативні
~ регенеративні.
В рекуперативних апаратах один бік поверхні теплообміну весь
час омиває гарячий теплоносій, а другий - холодний. Теплота від одного
теплоносія до другого передається крізь стінку з теплопровідного матеріалу, що
їх розділяє. Напрямок теплового потоку в стінці лишається незмінним. У
регенеративних апаратах одна й та сама поверхня теплообміну поперемінно
омивається то одним, то другим теплоносієм. У період нагрівання, тобто під час
контакту з гарячим теплоносієм, у твердих тілах (насадці), що заповнюють
апарат, акумулюється теплота, яка в період охолодження віддається рухомому
холодному теплоносію. Напрямок потоку теплоти в стінках періодично змінюється.
Теплообмінники класифікують за конфігурацією поверхонь
теплообміну, внаслідок чого існують такі типи поверхневих апаратів:
. трубчасті вертикальні;
. трубчасті горизонтальні;
. змійовикові;
. трубчасто-змійовикові;
. пластинчасті;
. ребристі;
. поплавкові;
. сотові;
. спіральні;
. голчасті.
Найважливіша особливість пластинчастих теплообмінників -
пристосованість конструкції апарата в цілому до частої розборки і складання та
доступність всієї теплообмінної поверхні для очищення. Визначальною особливістю
пластинчастого теплообмінника є конструкція його теплопередаючої стінки.
Пластинчасті теплообмінники для теплової обробки рідких
харчових продуктів потребують частого розбирання для очищення поверхні теплообміну
від шару пригару або осаду, тому основна увага конструкторів пластинчастих
апаратів була зосереджена на створенні теплопередаючої стінки, яка складається
з окремих зімкнутих елементів і легко розбирається.
Пластинчасті теплообмінні апарати є різновидом поверхневих
рекуперативних теплообмінних апаратів з поверхнею теплообміну, виготовленого із
тонких штампованих гофрованих пластин. Ці апарати можуть бути розбірні,
напіврозбірні та нерозбірні. Найбільш широко використовуються в промисловості
розбірні пластинчасті теплообмінники.
Найважливішою особливістю цих апаратів є конструкція і форма
поверхні теплообміну і каналів для робочого середовища. Пластинчастий
пастеризатор складається з окремих сталевих пластин, підвішених на
горизонтальних штангах, кінці яких закріплено у стійки. За допомогою наживної
плити та гвинта пластини в зібраному стані стиснуті в один пакет. Плити
оснащені патрубками, до яких приєднують трубопроводи. Нерухома плита
прикріплюється до підлоги. Пластини щільно притиснуті одна до одної за
допомогою спеціальних термостійких гумових прокладок. Пластини мають однакові
габарити, але відрізняються розташуванням вхідних і вихідних каналів. Під час
збирання пластини чередуються та утворюють ряд замкнених камер по один бік яких
проходить продукт, що пастеризується, а по іншій охолоджуюча або гріюча рідина.
Робоче середовище рухається по поверхні теплообміну тонким шаром. У зібраному
апараті теплообмінні пластини групуються в секції (рекуперативні, пастеризації,
охолоджування). Кожна секція складається з пакетів через які продукт рухається
послідовно.
Паралельне розташування пластин з малими проміжками між ними
дозволяє розмістити в просторі робочу поверхню теплообмінника найбільш
компактно, що дозволяє значно зменшити габарити пластинчастого апарата
порівняно з іншими типами рідинних теплообмінників. Наприклад, коефіцієнт
компактності пластинчастих апаратів досягає 200 м2/м3, що у 5-10 разів більше,
ніж для трубчастих.
Основним конструктивним елементом пластинчастого апарата є
теплопередаюча пластина. Пластини гофровані для того, щоб збільшити поверхню
теплообміну і створити турбулентну течію рідини у вузьких каналах, відстані між
якими дорівнює 3...10 мм. Товщина пластин становить 0,7-1 мм. Від форми
поверхні залежить коефіцієнт тепловіддачі та ефективність роботи апарата при
незначному гідравлічному опорі.
Компоновка каналів для теплоносія чи іншої робочої рідини
може здійснюватися трьома способами:
. Канали для робочої рідини скомпоновані однаково із каналами
для продукту. Таку компоновку називають симетричною. Робоча рідина послідовно
проходить таке ж число пакетів, що і продукт, а також рівні і їх швидкості в
міжпластинних каналах.
. Всі канали для робочої рідини з'єднані паралельно і
утворюють один загальний пакет, який охоплює зону усіх пакетів для продукту.
При цьому для підтримання рівності швидкостей обох рідин необхідно, щоб витрати
робочої рідини перевищували витрати продукту.
Число пакетів з боку робочої рідини не дорівнює числу пакетів
з боку продукту.
Пластинчасті теплообмінники для теплової обробки рідких
харчових продуктів потребують частого розбирання для очищення поверхні
теплообміну від шару пригару або осаду, тому основна увага конструкторів
пластинчастих апаратів була зосереджена на створенні теплопередаючої стінки,
яка складається з окремих зімкнутих елементів і легко розбирається.
В якості теплоносіїв у пластинчатих апаратах використовують
гарячий продукт, гарячу воду або пару. При використанні гарячої води, її беруть
із бойлерних установок, а після апарата повертають на повторне нагрівання. З
огляду на те, що вода циркулює і використовується багаторазово, подачу води
відносно продукту підтримують досить високою, а температурний напір -
невеликим, що запобігає швидкому утворенню пригару на стінках.
В якості холодоносіїв використовують джерельну, водопровідну
чи артезіанську воду. Відпрацьована вода, як правило,в подальшому не
використовується і у великих кількостях скидається у каналізацію, тому її
намагаються використовувати економно.
Для подачі продукту в апарат на підприємствах харчової
промисловості використовують:
~ відцентрові і відцентрово-вихрові насоси;
~ відцентрові очисники;
~ роторні насоси;
~ гомогенізатори з плунжерними насосами;
~ компресійні та вакуумні напорні засоби.
Переваги пластинчастих теплообмінників :
."Паралельне розташування тонких пластин з малими
зазорами між ними дозволяє збільшити теплообмінну поверхню на одиницю робочого
об'єму теплообмінника . Це приводить до значного зменшення габаритних розмірів
пластинчастого теплообмінника порівняно з розмірами всіх інших типів
промислових теплообмінних апаратів (окрім пластинчасто-ребристих). При роботі
на середовищах рідина - рідина в промислових умовах пластинчасті теплообмінники
мають найменші габаритні розміри при рівній тепловій продуктивності, порівняно з
будь-якими іншими типами промислових рідинних теплообмінників.
. Для розбирання і чищення поверхонь теплообміну розбірного
пластинчастого теплообмінника не потрібні додаткові виробничі площі.
Принцип пристрою пластинчастого теплообмінника дає можливість
здійснювати різні схеми компоновки пластин для кожного робочого середовища,
зраджувати (збільшувати або зменшувати) поверхні теплообміну не тільки
проектованого, але і вже використовуваного апарату, вносити різні коректування
в схему руху потоків, а також зосереджувати на одній рамі декілька
теплообмінних секцій різного призначення для виконання в одному апараті всього
комплексу операцій технологічної обробки декількох робочих середовищ при |
різних температурних режимах.
Компонувальні можливості пластинчастих апаратів дозволяють
конструктору створювати будь-які перетини паралельних і послідовних ходів (а
отже, оптимальні швидкості робочих середовищ при заданих витратах), підбирати у
кожному окремому випадку оптимальні умови для теплообміну з урахуванням повного
використання натиску, що розташовується.
. Пластинчасті теплообмінні апарати різної продуктивності і
призначення можна створити з одних і тих же вузлів і деталей і, зокрема, з
однакових пластин. Технологія виготовлення теплообмінних апаратів широкого розмірного
ряду поверхонь і їх основних елементів (робочих пластин) заснована на холодному
штампуванні тонких металевих листів, що створює надійні передумови для масового
економічного виготовлення їх при найменшій витраті праці і матеріалів.
. При виготовленні поверхонь теплообміну методом холодного
штампування на поверхні пластин легко створювати різні конструктивні елементи,
турбулентний потік робочого середовища при її русі в міжпластинному каналі з
метою підвищення інтенсивності тепловіддачі. Ці елементи профілю, що обурюють
потік (різні виступи, гофри і поглиблення), створюють високу жорсткість пластин
в зібраному пакеті, а в розбірних конструкціях легко доступні для чищення і
миття.
. У пластинчастих теплообмінниках успішно піддаються тепловій
обробці різні робочі середовища, починаючи від газів, пари і до високов'язких
рідин, а також емульсій і суспензій.
. Пластинчасті теплообмінники відповідають сучасним засобам
автоматизації контролю і регулювання технологічних процесів.
Разом з великими перевагами слід зазначити і великі труднощі
в експлуатації пластинчастих теплообмінників.
При експлуатації зварних блокових, нерозбірних і
напіврозбірних теплообмінників слід постійно контролювати коефіцієнт
теплопередачі і гідравлічний опір апарату. При забрудненні поверхні теплообміну
коефіцієнт теплопередачі зменшується, а гідравлічний опір зростає. При
підвищенні гідравлічного опору до встановленого максимального значення апарат
треба перемикати на промивку від забруднень. Невчасна промивка може вивести
апарат з ладу. Одним з найбільш ефективних методів очищення поверхні
теплообміну без розбирань пластин є хімічна промивка.
При експлуатації розбірних пластинчастих теплообмінників
необхідний догляд за прокладками. Крім того, не всі види гуми володіють високою
термічною і корозійною стійкістю, тому температура робочих середовищ розбірних
пластинчастих теплообмінників обмежується межами від мінус 30° до плюс 150-200°
С.
Вихідні дані
Вершки:
Масові витрати Gверш=31 т/год=8,611 кг/с;
Температура : tп.верш.=71 ˚С;к.верш=12
˚С;
швидкість руху: wверш=0,3 м/с
Теплофізичні властивості :
( при середній температурі tсер.=(71+12)/2=41,5
˚С)
густина ρверш=982,55 кг/м3;
теплоємність сверш=3558,5 Дж/(кг*К) ;
коефіцієнт теплопровідності λверш =0,335 Вт/(м*К);
коефіцієнт динамічної в`язкості μверш =0,42*10-3 Па*с;
критерій Прандля Prверш=44,81
об`ємні витрати вершків:
(м3/с).
Вода:
Температура : tп.в.=7˚С;
tк.в.=39 ˚С;
швидкість руху : wв=0,6 м/с;
( при середній температурі tс в=(7+39)/2=23 ˚С
густина ρв=998 кг/м3;
теплоємність св=4177 Дж/(кг*К) ;
коефіцієнт теплопровідності λв=0,608
Вт/(м*К) ;
коефіцієнт динамічної в`язкості μв
=940,546*10-6 Па*с;
критерій Прандтля Prв=6,473.
Апарат проектуємо на базі пластин ПР-0.5Е із сталі Х18Н10Т з гофрами в
“ялинку’’ із слідуючими даними:
поверхня теплопередачі пластини F1=0,5м2;
еквівалентний діаметр міжпластинчастого простору dе=0,008м;
площа поперечного перерізу каналу f1=0,0018м2;
приведена довжина каналу Lп=1,15м;
діаметр бокового отвору Dy=150мм;
товщина пластини δст=0,001м;
коефіцієнт теплопровідності матеріалу стінки λст =17,5Вт/(м*К)
Для пластин заданого типу при вказаній величині dе дійсні
слідуючі рівняння тепловіддачі та втрат енергії:
=0,135*Re0.73*Pr0.43*(Pr/Prст)0,25
ξ=22,4/(Re0.25).
Площа прохідного перерізу штуцерів fD=0,0173м2.
теплообмінник енергетичний гідравлічний
1. Тепловий розрахунок
. Кількість тепла, що передається за одиницю часу:
(Bт).
2. Витрати гріючої води:
Масові витрати:
(кг/с).
Об`ємні витрати:
(м3/с);
1. Середній температурний напір :
Δtб=71-39=32 ˚С
,
Δtм=12-7=5 ˚С
;
Δtб/
Δtм=32/5=6,4>2
Оскільки Δtб/
Δtм<2,
то середній температурний напір знаходимо за формулою:
Рис. 1
˚С.
. Критерій Рейнольдса для вершків:
. Критерій Нусельта для вершків:
. Коефіцієнт тепловіддачі від вершків до стінки:
(Вт/(м2*К))
. Критерій Рейнольдса для води:
. Критерій Нусельта для води:

. Коефіцієнт тепловіддачі від стінки до води:
(Вт/(м2*К))
. Коефіцієнт теплопередачі:
(Вт/(м2*К))
. Загальна поверхня теплопередачі:
(м2).
Приймаємо найближчу стандартну поверхню 26 м2.
2. Конструктивний розрахунок
1. Площі поперечних перерізів пакетів:
а) зі сторони вершків:
(м2);
б) зі сторони води:
(м2);
;
.
3. Число пластин в одному пакеті:
вершки nверш=2*mверш=2*16=32;
вода nв=2*mв=2*13=26.
4. Поверхня теплообміну одного пакета при одержаному
числі пластин:
вершки Fп верш=F1*nверш=0,5*32=16
(м2);
вода Fп в=F1*nв=0,5*26=13 (м2).
5. Число пакетів в апараті:
Вершки:
;
Вода: 
6. Число пластин в апараті визначаємо з урахуванням
наявності кінцевих пластин:
;
.
7. Компоновка апарата:
С=(4+4+4+4+4+4+3)/(4+4+4+4+4+4+3).
8. Фактична площа поперечного перерізу в пакетах для
обох середовищ:
п верш=mверш*f1
п верш=0,0018*16=0,0288 (м2).
п в.=mв*f1
п.в.=0,0018*13=0,0234 (м2).
. Фактична швидкість руху вершків і води в каналах
після уточнення:
(м/с);
(м/с).
10. Критерії Рейнольдса після уточнення швидкості руху
вершків і води:
11. Критерії Нусельта після уточнення швидкості руху
вершків і води:
;
12. Уточнені значення коефіцієнтів тепловіддачі:
(Вт/(м2*К));
(Вт/(м2*К)).
13. Фактичний коефіцієнт теплопередачі:
(Вт/(м2*К)).
14. Поверхня теплообміну після уточнення:
(м2).
Приймаємо найближчу стандартну поверхню 26 м2.
.Розраховуємо діаметр патрубків:
Для вершків:
=
0,193 (м);
Для води:
0,169
(м)
3. Розрахунок теплової ізоляції
. Температура в апараті дорівнює: tа=71ºC;
Температура на поверхні ізоляції: tі=35ºC;
Температура повітря: tп=20ºC;
=0,032
Вт/(м2*К).
2.Сумарний коефіцієнт тепловвідачі від стінки до повітря:
Вт/(м2*К)
.Товщини теплової ізоляції дорівнює:
=0,0071 (м).
5. Гідравлічний розрахунок
1. Коефіцієнт гідравлічного опору для вершків:
;
2. Коефіцієнт гідравлічного опору для води:
3. Гідравлічний опір пакетів пластин для вершків:
;
33,05(кПа).
4. Гідравлічний опір пакетів пластин для води:
136,86
(кПа).
5. Перевірка швидкостей руху вершків і води в штуцерах:
(м/с);
(м/с).
(кВт);
;
(кВт).
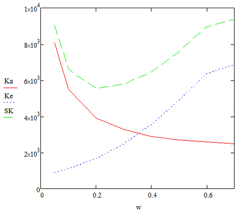
. Техніко-економічний розрахунок
Розрахунок проводиться з метою знаходження оптимальної
швидкості руху теплоносія (води), яка буде відповідати мінімальним сумарним
затратам (енергетичним та амортизаційним). Швидкість руху продукту (молоко)
приймаємо сталою - 0,30 м/с.
.Енергетичні витрати розраховуємо за формулою:
Ке=N*Cn*τ,
де: N - сумарна потужність насосів, кВт;= 0,26 - вартість 1
кВт*год електроенергії, грн.;
τ = 7420 - тривалість роботи
апарата за рік, год.
.Амортизаційні витрати розраховуємо за формулою:
Ка=F*af*a,
де:
=1000 вартість 1 м2 поверхні,грн.=0,1 -
річна амортизація.
.Сумарні витрати дорівнюють:
= Ke + Ka.
кВт
=3,587*0,24*7420=6387,73 (грн)=26*1000*0,1=2600
(грн)=6387,73+2600=8987,73 (грн)
Розраховуємо сумарні витрати при швидкості теплоносія wв=0,05
м/с :
кПа
кВт
0,525*0,24*7420=934,92
(грн)
81*1000*0,1=8100
(грн)
934,92+8100=9034,92
(грн)
Розраховуємо сумарні витрати при швидкості теплоносія wв=0,1
м/с :
кПа
кВт
0,62*0,24*7420=1104,1
(грн)
55*1000*0,1=5500
(грн)
1104,1+5500=6604,1
(грн)
Розраховуємо сумарні витрати при швидкості теплоносія wв=0,2
м/с :
кПа
кВт
0,94*0,24*7420=1674
(грн)
39*1000*0,1=3900
(грн)
1674+3900=5574
(грн)
Розраховуємо сумарні витрати при швидкості теплоносія wв=0,3
м/с :
кПа
кВт
1,405*0,24*7420=2502
(грн)
33*1000*0,1=3300
(грн)
2502+3300=5802
(грн)
Розраховуємо сумарні витрати при швидкості теплоносія wв=0,4
м/с :
кПа
кВт
2*0,24*7420=3561,6
(грн)
29*1000*0,1=2900
(грн)
3561,6+2900=6461,6
(грн)
Розраховуємо сумарні витрати при швидкості теплоносія wв=0,5
м/с :
кПа
кВт
2,745*0,24*7420=4888,3
(грн)
27*1000*0,1=2700
(грн)
4888,3+2700=7588,3
(грн)
Розраховуємо сумарні витрати при швидкості теплоносія wв=0,6
м/с :
кПа
кВт
3,587*0,24*7420=6387,73
(грн)
26*1000*0,1=2600
(грн)
6387,73+2600=8987,73
(грн)
Розраховуємо сумарні витрати при швидкості теплоносія wв=0,7
м/с :
кПа
кВт
3,865*0,24*7420=6882,8
(грн)
25*1000*0,1=2500
(грн)
6882,8+2500=9382,8
(грн)
Таблиця 1
|
wв=0,05
|
Re=424,43
|
Kе=934,92
|
SK=9034,92
|
|
ξ=4,93
|
|
|
|
∆p=1,768
|
|
|
|
Nверш=0,485
|
Nв=0,04
|
|
|
|
N=0,525
|
|
|
|
Nu=24,96
|
Ка=8100
|
|
|
α=1896,96
|
|
|
|
K=1538
|
|
|
|
F=81
|
|
|
|
wв=0,1
|
Re=848,87
|
Kе=1104,1
|
SK=6604,1
|
|
ξ=4,15
|
|
|
|
Nверш=0,485
|
Nв=0,135
|
|
|
|
N=0,62
|
|
|
|
Nu=41,41
|
Ка=5500
|
|
|
α=3147,16
|
|
|
|
K=2272,73
|
|
|
|
F=55
|
|
|
|
wв=0,2
|
Re=1697,74
|
Kе=1674
|
SK=5574
|
|
ξ=3,5
|
|
|
|
∆p=20,08
|
|
|
|
Nверш=0,485
|
Nв= 0,455
|
|
|
|
N=0,94
|
|
|
|
Nu=68,68
|
Ка=3900
|
|
|
α=5219,68
|
|
|
|
K=3225,81
|
|
|
|
F=39
|
|
|
|
wв=0,3
|
Re=2546,61
|
Kе=2502
|
SK=5802
|
|
ξ=3,15
|
|
|
|
∆p=40,67
|
|
|
|
Nверш=0,485
|
Nв=0,92
|
|
|
|
N=1,405
|
|
|
|
Nu=92,34
|
Ка=3300
|
|
|
α=7017,84
|
|
|
|
K=3802,3
|
|
|
|
F=33
|
|
|
|
wв=0,4
|
Re=3395,47
|
Kе=3561,6
|
SK=6461,6
|
|
ξ=2,93
|
|
|
|
∆p=67,26
|
|
|
|
Nверш=0,485
|
Nв= 1,52
|
|
|
|
N=2
|
|
|
|
Nu=113,92
|
Ка=2900
|
|
|
α=8657,92
|
|
|
|
K=4246,26
|
|
|
|
F=29
|
|
|
|
wв=0,5
|
Re=4244,34
|
Kе=4888,3
|
SK=7588,3
|
|
ξ=2,78
|
|
|
|
∆p=99,71
|
|
|
|
Nверш=0,485
|
Nв=2,26
|
|
|
|
N=2,745
|
|
|
|
Nu=134,07
|
Ка=2700
|
|
|
α=10189,32
|
|
|
|
K=4584,17
|
|
|
|
F=27
|
|
|
|
wв=0,6
|
Re=5093,21
|
Kе=6387,73
|
SK=8987,73
|
|
ξ=2,65
|
|
|
|
∆p=136,86
|
Nв= 3,102
|
|
|
|
N=3,587
|
|
|
|
Nu=153,15
|
Ка=2600
|
|
|
α=11639,4
|
|
|
|
K=4854,37
|
|
|
|
F=26
|
|
|
|
wв=0,7
|
Re=5942,1
|
Kе=6882,8
|
SK=9382,8
|
|
ξ=2,55
|
|
|
|
∆p=179,26
|
|
|
|
Nверш=0,485
|
Nв=3,38
|
|
|
|
N=3,865
|
|
|
|
Nu=171,4
|
Ка=2500
|
|
|
α=13026,4
|
|
|
|
K=5082,17
|
|
|
|
F=25
|
|
|
За результатами техніко-економічного розрахунку було
побудовано графік залежностей енергетичних, амортизаційних та сумарних затрат.
В результаті побудови графіка було знайдено мінімальні
сумарні затрати. Оптимальна швидкість теплоносія, яка відповідає цим затратам,
становить 0,22 м/с.
Рис. 2
Висновок
Проектований мною теплообмінник для охолодження вершків має
загальну площу 26 м2 та 54 пластин. Потужність насосів для подачі
води та вершків складає відповідно 3,102 та 0,485 кВт.
За отриманими даними техніко-економічного розрахунку було
побудовано графік залежностей енергетичних, амортизаційних та сумарних затрат.
В результаті побудови графіка було знайдено мінімальні
сумарні затратам, становить 0,22 м/с.
Література
1. Технологія молока та молочних продуктів/Дяченко
П.Ф.- К.:Вища шк..1978.-466 с.
2. Технологія молока та молочних
продуктів/Твердохлеб Г.В., Диланян З.Х., Чукалаєва Л.В., Шиллер Г.Г.-К.: Вища
шк., 1978.- 446 с.
. Пластинчасті та спіральні теплообмінники/
Барановський Н.В., Коваленко Л.М., Ястребенецький А.Р. - М.: Машинобудування,
1973.- 160 с.
. Теплообмінні апарати для молока та молочних
продуктів/Волчков І.І.- М.: Харч. пром-ть, 1972. - 256 с.
. Теплообмінні апарати харчових
виробництв/Лунін О.Г. - М.: Агропроміздат, 1987.- 239 с.