Практическая психодиагностика

  • Вид работы:
    Практическое задание
  • Предмет:
    Психология
  • Язык:
    Русский
    ,
    Формат файла:
    MS Word
    519,33 Кб
  • Опубликовано:
    2015-02-15
Вы можете узнать стоимость помощи в написании студенческой работы.
Помощь в написании работы, которую точно примут!

Практическая психодиагностика

Задание 1

это убежище, где находится 19 мужчин и женщин в скромном доме, расположенном в промышленной части городка (Глассер и Zywiak, 2001) в США. Здание раннее использовалось под пиццерию, и люди до сих пор приходят сюда, по старой памяти, чтобы купить пиццы. В приюте имеется кухня и семь дополнительных кроватей для людей, которые могут остаться только на срок не более двух лет. Люди, которые могут находиться в приюте, чувствуют себя в безопасности. Они чувствуют себя в безопасности и могут спокойно спать ночью. В итоге, они чувствуют, что могут, наконец, приступить к решению некоторых своих проблемах. Стивен приехал в уютный приют две недели назад, после того, как его попросили покинуть дом тети. Он представляет собой довольно человека с печальным лицом, который выглядит значительно старше своих 50 лет. Стивен говорит, что он пил всю свою жизнь, и что он также употреблял много наркотиков во Вьетнаме. Женат, имеет сына, живущего поблизости, который, к сожалению, также является пьяницей. Стивен очень гордится своей дочерью (она учитель), и надеется чаще видеть своих внуков. Стивен очень благодарен сотрудникам приюта, потому что в течение двух недель, что он был там, они положили его в больницу, где ему сделали операцию - катаракта глаза, и он смог увидеть снова. Они также помогают ему разобраться с правовыми проблемами по поводу наследства дома его тети, так как он не являлся на несколько судебных слушаний. Стивен считает, что он может не пить. Для этого он участвует в реабилитационных программах приюта.

. Выявите и разберитесь в соответствующих фактах, представленных в ситуации Стивена

Стивен - человек, попавший в сложную жизненную ситуацию. Фактически он бездомен, находится в депрессивном состоянии. Страдает от нерешительности, проблем со здоровьем и алкоголем, несведущ в области защиты прав. Данный приют является для него в настоящий момент опорой в жизни.

. Определить проблемы, вопросы и проблемы, которые возникают в этом кейсе

·    Человек в трудной жизненной ситуации;

·        Человек, оставшийся без жилья;

·        Страдает от алкоголизма;

·        Проблемы со здоровьем (катаракта глаза);

·        Страдает от последствий употребления наркотиков;

·        Депрессивное угнетённое состояния психики;

·        Стивен не знает прав и законов государства.

. Определите положительные и сильные аспекты кейса

Отвечу цитатами из текста:

.     «Люди, которые могут находиться в приюте, чувствуют себя в безопасности. Они чувствуют себя в безопасности и могут спокойно спать ночью. В итоге, они чувствуют, что могут, наконец, приступить к решению некоторых своих проблемах.» Иными словами данный приют своего рода Ноев Ковчег для подобных людей.

2.      «Стивен очень гордится своей дочерью (она учитель), и надеется чаще видеть своих внуков.» Человек решивший изменить свою жизнь в лучшую сторону, что является благодатной почвой для работы психолога.

.        «Стивен очень благодарен сотрудникам приюта, потому что в течение двух недель, что он был там, они положили его в больницу, где ему сделали операцию - катаракта глаза, и он смог увидеть снова. Они также помогают ему разобраться с правовыми проблемами по поводу наследства дома его тети, так как он не являлся на несколько судебных слушаний.» Здесь подчеркнута роль психологической и социальных служб.

.        «Стивен считает, что он может не пить. Для этого он участвует в реабилитационных программах приюта.» В данном факте ярко очерчена значимость реабилитационных центров и роль психолого - социальной службы США.

. Проанализируйте ситуацию в данном кейсе

Преимущества активной позиции социальных служб в отношении граждан, находящихся в трудной жизненной ситуации, отчетливо видно на примере США. Здесь принята философия личного обращения клиента: не обратился, значит, в социальных услугах не нуждается.

Отсюда нищие и бездомные на улицах американских городов, хотя у государства есть все возможности помочь каждому из них. С бездомными детьми и бежавшими из дома в США проводится, как и в ряде других западных стран следующая работа: функционируют приюты и общежития; проводятся индивидуальные и групповые консультации; беседы с родителями с целью возвращения ребенка в семью; оказывается помощь семьям, вновь объединившимся с детьми и т.д. В США существует также служба «телефонов доверия», оказывающая бесплатные услуги для юных беглецов.

Социальные работники за рубежом работают на упреждение бездомности, с широкой профилактической социальной работой с различными категориями. Специальные учреждения социальной помощи семье и детям предоставляют для малообеспеченных семей и семей риска бесплатно следующие услуги: организация специальных групп профессионального обучения для родителей; обеспечение помощи по трудоустройству; обеспечение присмотра за детьми работающих в дневное и вечернее время родителей; создание при городских центрах здоровья служб для незамужних матерей; создание и поддержка служб защиты детей, подвергшихся насилию; работа с приемными семьями; наблюдение за адаптацией ребенка в новой семье; развитие социальных служб помощи детям в получении образования, помощи родителям в вед В Соединенных штатах Америки, как и в других странах социальное обслуживание умственно отсталых людей осуществляется как в психиатрических больницах и домах-интернатах, так и в специализированных стационарах и диспансерах, а также амбулаторно. Особое внимание обращается на работу с малолетними несовершеннолетними. В США, как и в других западных странах проводится социальная работа с бездомными и сбежавшими из дома детьми, функционируют приюты и общежития для бездомных, служба «телефонов доверия».

Кризисные Центры для женщин, различные бюро социальных услуг для молодежи предоставляют различные социальные услуги бездомным людям. В США существует две категории исправительных учреждений: закрытые места лишения свободы для лиц, перешагнувших закон и закрытые воспитательные учреждения. На период условного осуждения подросткам определяется наставник. Проводится социальная работа и в местах заключения.

Распад семей, стресс, вызванный безработицей, дают импульс таким негативным явлениям, как алкоголизм, психические расстройства, самоубийство, бездомность детей и женщин, подростковая беременность, проституция. Все эти социальные патологии предусматриваются и входят в федеральные, региональные и местные программы по сокращению этих явлений. Особую роль играют неправительственные организации, добровольцы, так как помогают преодолевать данные социальные явления.

5. Составьте список действий и первоначальный план социальной работе со Стивеном в США

Программы помощи бедным включают:

Пособия по социальному обеспечению -- ежемесячные суммы, выплачиваемые государством тем, чей доход не обеспечивает таких основных потребностей, как пища, кров и одежда.

Медикейд -- оказание бесплатной медицинской помощи и госпитализации.

Продовольственные купоны -- книжечки специальных талонов, действительных для приобретения продуктов в любом магазине.

Школьное питание -- бесплатные завтраки и обеды для школьников.

Распределение избытков продовольствия -- в рамках этой программы правительство скупает огромное количество продовольственных продуктов и бесплатно распределяет их среди бедных семей.

В дополнение к этому существует программа предоставления муниципального жилья бедным -- да и не только бедным -- семьям в домах, построенных за счет бюджетных средств. Федеральные, штатные и городские власти следят за тем, чтобы квартиры в этих домах доставались семьям с низким уровнем доходов. Государственные организации обеспечивают содержание домов, оплачивая персонал, ремонт и отопление.

При отсутствии муниципальных домов бедных, не имеющих крова, иногда расселяют на частных квартирах или в гостиницах за счет государства.

Самой обширной по-прежнему остается программа социального обеспечения Со-шиал секьюрити. Финансируется она за счет налогообложения всех работающих американцев. Практически у каждого трудящегося американца вычитается семь процентов заработка (по данным на 1985 год) на обеспечение программы социального страхования.

Страхование по безработице: правительство каждого штата выделяет деньги для выплат трудящимся, потерявшим работу не по своей вине. Безработные получают еженедельные выплаты в течение шести месяцев, пока не найдут новое место. В периоды экономических спадов, когда работу найти чрезвычайно сложно, сроки выплат продлеваются, иногда до года. Суммы выплат меняются в разных штатах, привлекаются для их обеспечения и средства из федеральной казны. В штатах существуют также ведомства, занимающиеся профессиональной переориентацией рабочих и оказывающие им содействие в поисках новых рабочих мест на основе информации, предоставляемой частными компаниями.

Льготы ветеранам: бывшим военнослужащим предоставляется дешевое или полностью оплаченное обслуживание в специальных госпиталях для ветеранов. Ветераны, получившие ранения и увечья на службе стране в вооруженных силах, обеспечиваются также пенсией и бесплатной медицинской помощью.

Образование: Во всех штатах существует сеть государственных школ. В каждом городском микрорайоне их не менее, чем по одной. Школу имеет каждый населенный пункт, независимо от размера, каждый отдельный сельский район. Все дети -- даже из семей, не имеющих американского гражданства -- пользуются правом на получение в этих школах полностью бесплатного образования. Срок обучения в школах --12 лет до возраста 17-18 лет. Высшее образование в колледжах и университетах по большей части платное, но каждый штат и многие города имеют собственные университеты, предоставляющие образование по ценам гораздо более доступным, чем частные.

Во всех городах и штатах есть бесплатные публичные библиотеки, где каждый может читать или брать на дом книги, журналы и звукозаписи.

Деловая жизнь: Специальные государственные ведомства оказывают содействие предпринимателям, либо людям, желающим заняться предпринимательством, вплоть до предоставления кредитов на обзаведение делом. Считается, что, помогая бизнесмену встать на ноги, государство помогает и многим другим людям, для которых будут таким образом создаваться новые рабочие места наряду с производством полезных товаров и услуг.

. Разработайте стратегию практики социальной работы с подобными людьми, такими как Стивенсон

. Выявление бездомных граждан происходит, как правило, в результате самостоятельного обращения граждан к специалистам Комитета по вопросам местного значения или в Пункт питания бездомных (столовая). В условиях маленького города информация о месте и графике приема специалистов по социальной работе с бездомными распространяется быстро как среди государственных учреждений и некоммерческих организаций, так и среди бездомных граждан.

. Специалист проводит беседу с бездомным. Бездомному предлагают заполнить анкету. На основании данной анкеты выявляются потребности бездомного и составляется план индивидуальной работы с бездомным.

. В случае отсутствия источников существования бездомный направляется в благотворительную столовую для получения горячего питания каждый день с 13:00 до 14:00 кроме выходных и праздничных дней. Для организации питания выделено помещение и заключен договор с предприятием общественного питания. Ежедневное посещение столовой дает возможность для ежедневного контакта специалиста с бездомным и индивидуальной работы с ним.

. Направление на санитарную обработку и обеспечение одеждой получают все проживающие в нежилых помещениях и не имеющие доступ к необходимым санитарно-гигиеническим условиям бездомные (при первичном обращении, в дальнейшем - ежемесячно).

. Направление в городскую больницу для прохождения флюорографии получают все бездомные граждане (при первичном обращении).

. В случае отсутствия документа, удостоверяющего личность, бездомному гражданину по его желанию предоставляется социальное сопровождение по оформлению паспорта и, в случае отсутствия источника дохода, оказывается материальная помощь на уплату штрафа, госпошлины и оплату фотографий.

. В случае наличия проблем юридического характера, бездомный гражданин направляется на бесплатную консультацию к юристу (прием юриста 1 раз в неделю по субботам), который в случае необходимости оказывает ему бесплатную юридическую помощь в решении проблем.

. Бездомный может получить консультацию психолога и/или работать с психологом продолжительное время. При наличии родственников проводится работа по установлению контакта с ними.

. При наличии/восстановлении паспорта бездомному гражданину предоставляется регистрация по месту пребывания в одном из государственных учреждений стационарного типа, работающих с инвалидами, осуществляется социальное сопровождение по оформлению пенсий, ИНН, пенсионного страхового свидетельства, полиса ОМС, оказывается содействие в размещении в социальное учреждение в случае необходимости, трудоустройстве (постановке на учет в службе занятости).

Оказывается содействие в устройстве в одну из программ реабилитации людей, имеющих алкогольную или наркотическую зависимость (при желании клиента) по программе Анонимных Алкоголиков, реабилитация в реабилитационных центрах , Общественно-полезный труд поощряется дополнительным питанием, дополнительными продуктовыми и гигиеническими наборами. При необходимости лечения бездомным гражданам, не имеющим источника дохода, приобретаются выписанные врачами медикаменты. Социальная поддержка бездомных осуществляется, пока бездомный нуждается в социальной помощи и/или в социальном сопровождении.

. После завершения социального сопровождения клиентов специалисты отслеживают их дальнейшую судьбу.

Социальная поддержка безработных Церковью может проводиться в трёх направлениях:

- социально-профилактическая территориальная работа (напр., курсы для желающих заняться собственным бизнесом <#"794617.files/image001.gif">

Рис.1. Технология социальной работы с безработными

7. Какие мероприятия необходимо провести для решения проблемы с алкоголем в подобной ситуации в России

социальный помощь работа

Алкоголизм и наркомания сегодня являются одними из самых злободневных проблем в России. Это подтверждает статистика МВД: около четверти всех преступлений в жилом секторе совершается в состоянии наркотического и примерно половина в состоянии алкогольного опьянения. Кроме того, есть отдельная статистика по алкоголю: в нашей стране сейчас в среднем потребляется столько спиртных и слабоалкогольных напитков, что в пересчете на одного человека это составляет 18 (!) литров чистого спирта в год. По данным Всемирной организации здравоохранения (ВОЗ) если количество потребляемого алкоголя превышает 8 (!) литров абсолютного алкоголя на человека в год, то это является признаком вырождения нации.

По наркотикам есть другая статистика: один наркоман ставит на «наркотический путь» в среднем 50 (!) человек за свою обычно не долгую жизнь с наркотиками. Общее количество наркоманов в нашей стране растет не очень быстро, но это из-за того, что век наркомана короток. Если посчитать сколько людей в год умирает от передозировки или заболеваний, связанных с наркотиками, то тоже получится внушительная цифра. Примерно столько же, сколько в год гибнет в ДТП.

Вся эта статистика заставляет задуматься о том, как же все-таки можно справиться в этими двумя бедами. Существует несколько методов борьбы с этими явлениями. Однако есть некоторые нюансы с точки зрения закона, которые обусловливают разные подходы к борьбе с наркотиками и алкоголизмом. Так, алкоголь является разрешенным к употреблению и находится в свободной продаже. Поэтому здесь арсенал средств борьбы против этого зла является существенно меньшим, чем в той же ситуации с наркотиками. С алкоголизмом борются в основном путем его профилактики (антиалкогольная реклама, различные культурные и спортивные мероприятия с антиалкогольной тематикой и т.п.) и лечения в специализированных клиниках. Со стороны силовых структур возможно вмешательство только в случае производства или ввоза в страну безакцизного алкоголя.

В ситуации с наркоманией со стороны закона применяются не только вышеописанные, но куда более жесткие меры. Первый и самый распространенный метод противодействия состоит в том, чтобы выявлять и наказывать распространителей наркотиков (этим у нас занимается полиция, Госнаркоконтроль и др. службы). Однако эффективность этого метода низка. Почему так происходит? Наверное потому, что если человек чего-то очень хочет, то он пойдет даже на преступление, лишь бы добиться своего. Как говорится «охота пуще неволи». Здесь имеется в виду та охота, которая заставляет человека принимать наркотики. Другими словами государство пытается убрать фактор предложения, не влияя или слабо влияя на спрос. Но главным-то является спрос. Если не будет его, то не будет и предложения.

Второй метод (и он куда более действенен) - это профилактика наркомании. Общеизвестно, что болезнь проще предупредить, чем ее лечить. Если быть точным, то профилактика основана на идее, что если человеку донести правду о наркотиках (алкоголе), то ему отнюдь не захочется их принимать. Так, фонд «Скажи наркотикам - НЕТ! Скажи жизни - ДА» проводя антинаркотические акции, мероприятия и беседы с молодежью установил, что донесение профилактической информации действительно побуждает ребят не начинать прием наркотиков и алкоголя.

Другим свидетельством эффективности подобной тактики противодействия наркотикам и алкоголю является ситуация в Колумбии. В этой стране в последнее время сделан упор именно на профилактику наряду с традиционными методами. И в последние годы данная проблема в этой стране стала существенно меньше. И это несмотря на то, что Колумбия в течение долгих лет была основным поставщиком кокаина на мировой рынок.

Таким образом, справиться с алкоголизмом и наркоманией можно. Важно лишь применить правильные методы и в должном масштабе. Тем более, что есть меры, уже доказавшие свою эффективность (Колумбия).

. Какие направления в социальной практике существуют, и вы могли бы их применить и почему? Каковы цели вмешательства в данную ситуацию?

Профилактика алкоголизма в конечном счете сводится к вопросу о воспитании, формировании и функционировании здоровой, гармоничной личности. Лечение и последующая реабилитация больных алкоголизмом также в итоге ведут к проблеме личности, однако речь идет уже не о воспитании в прямом смысле, а о реконструкции личности, ресоциализации, восстановлении ее психологических и социальных функций. «Психологизация» - это выделение в качестве основного механизма той или иной патологии человека какого-либо конкретного психологического процесса: эмоционального, когнитивного (познавательного) и др. В понятие «личность» мы вкладываем гораздо большее содержание, чем это имеет место при таком подходе. Личность - это совокупность всех социальных отношений человека, системное понятие, интегрирующее в себе не только социальный облик, но и социальные роли, взаимоотношения с другими людьми и группами, социальную позицию. Говоря о социальной позиции необходимо отметить, что у людей без определенного места жительства она крайне негативна, их отношение к действительности крайне редко бывает оптимистичным. В связи с безысходностью своего положения, с постоянными стрессами, которые под силу преодолеть далеко не каждому, безобразность межличностных отношений, упадок культуры общения, отсутствие возможности самореализации - все это толкает человека оптимальному, как ему кажется, выходу из сложившегося положения - это уход от реальности, алкоголь. Как свидетельствует опыт психотерапии и консультирования по вопросам алкоголизма, неврозов и других по граничных нервно-психических заболеваний, собственная судьба, возможность изменить свою жизнь в лучшую сторону, сделать ее полнокровнее интересует всех пациентов. В общении с людьми разочарованными, пессимистичными, унылыми, а поэтому цепляющимися за разного рода пагубные привычки (злоупотребление алкоголем), единственной опорой остается апелляция к их личности, нереализованным планам и мечтам, потенции к различным видам деятельности и творчеству, не нашедшим еще своего воплощения духовным ресурсам, способностям. К сожалению, в современной обществе так называемый «метод отвлечения», применяемый психотерапевтами по отношению к «благополучным» алкоголикам (небомжам) неэффективен с бездомными. Положительная мотивация в методе отвлечения является основным фактором в достижении положительного результат в терапии (например, «в жизни есть еще много интересного, помимо алкоголя» и т.п.). Но в случае бездомных положительную мотивацию создать практически невозможно, т.к. она неразрывно связана с объективными факторами (внешняя среда, образ жизни, культура быта и т.п.).

Разрешение проблем кроется в изменении социального статуса людей без определенного места жительства, в ликвидации такой прослойки современного общества как бездомные.

. Определить методы и результаты реализации вашего плана, и последующие шаги по пересмотру плана, в зависимости от различных возможных исходов

Одной из главных проблем социальной работы с «бомжами» является решение проблем беженцев, которые в данном случае составляют «группу риска», при неблагоприятных условиях пополняющую ряды бездомных и бродяг. Для решения проблемы беженцев, необходимо принимать меры глобального, стратегического характера. Их реализация зависит от уровня развития общества, морали, духовной жизни в целом, политической культуры, степени развития социальной сферы, а также от состояния его экономики.

Требуется разработка кодекса миграционных законов, регламентирующих все аспекты территориальных перемещении населения в новых, еще до конца не оформленных условиях государственности.

Нужны совместные решения всех государств СНГ (или двусторонние соглашения между Россией и бывшими союзными республиками). Часть таких соглашений уже заключена. В том числе с прибалтийскими государствами. Заключено, как известно, соглашение между Россией и Германией в связи с выводом российских войск на территорию Российской Федерации, которое предусматривает оказание помощи в обустройстве мест дислокации этих войск.

Учитывая особое положение беженцев-бездомных, государственная политика занятости Российской Федерации предусматривает создание для них дополнительных рабочих мест.

В 1992 г. учрежден российский Фонд помощи беженцам «Соотечественники». Помощь оказывается ассоциациям и общинам беженцев, уже организованным группам людей (имеются в виду строительные бригады, объединения фермеров, деловых людей и т.д.). Отделения фонда существуют в 20 городах России, в Смоленской, Воронежской, Белгородской и других областях. К примеру, во Пскове сформировано 18 жилищно-строительных товариществ и ассоциаций фермерских хозяйств. Здесь работало (по состоянию на март 1993 г.) 1100 семей выходцев в основном из Латвии и Эстонии. Осуществляется комплексное обустройство переселенцев. Лучший выход, конечно, в компактном поселении беженцев. Это дает не только возможность скорейшего обустройства, но и снимает проблему взаимоотношений с местным населением. Так считает почти половина россиян, в том числе 36% сельских жителей.

Многое, конечно, зависит от решения жилищной проблемы. Для решения жилищной проблемы российские экономисты считают возможным и необходимым привлекать денежные средства на селения. Здесь три пути:

. Введение новой системы оплаты квартир, повышение квартплаты в целом и тесная се увязка с размером и качеством занимаемой площади, расположением жилья (тип застройки, развитость сферы услуг, близость центра, ландшафтно-экологические условия).

. Расширение жилищно-строительной кооперации.

. Содействие индивидуальному жилищному строительству.

Кроме намечаемых и решаемых задач перспективного, глобального характера, в России уже сейчас, сегодня оказывают бездомным конкретную помощь, как-то: открывают лома ночного пребывания, приюты, дома-интернаты, временно расселяют беженцев в домах отдыха и пансионатах, в общежитиях предприятий и организаций и т.п. Принято и постепенно реализуется постановление Правительства «О домах ночного пребывания». Указом Президента Российской Федерации (ноябрь 1992 г.) «О мерах по предупреждению бродяжничества и попрошайничества» приемники-распределители УВД реорганизуются в Центры социальной реабилитации, создаются новые. Кое-где для бродяг и бомжей действует специальный «телефон доверия».

Особенности медико-социальной работы с контингентом «бомж»

Бездомный - это человек, лишенный порой не только крова, но и других элементарных условий жизни: медицинского обслуживания (нет прописки); постоянного места работы (нет паспорта или трудовой книжки; нет работы или не берут на работу) и т.д. Не говоря уже о душевном комфорте, нормальном самочувствии.

Объектом медико-социальной работы являются различные контингенты лиц, имеющие выраженные медицинские и социальные проблемы, которые взаимно потенциируют друг друга и решение которых затруднительно в рамках односторонних профессиональных мероприятии. Работа с такими контингентами одинаково тяжела и малоэффективна как для медицинских работников, так и для специалистов социальных служб, поскольку они неизбежно оказываются перед кругом проблем, выходящих за рамки их профессиональной компетенции и препятствующих успешной узкопрофессиональной деятельности.

К таким контингентам относятся длительно, часто и тяжело болеющие, социально дезадаптированные лица, инвалиды, одинокие престарелые, дети-сироты, юные матери, многодетные и асоциальные семьи, пострадавшие от стихийных бедствий, больные СПИДом и др. Численность таких контингентов устойчиво возрастает па протяжении последних лет. Необходимо подчеркнуть, что одной из причин этого является низкая эффективность существующих форм и методов работы с ними, а также отсутствие должной сети специально ориентированных на такого рода деятельность служб.

При организации медико-социальной работы необходимо придерживаться основных принципов, которые позволили бы обеспечить профессиональный целостный подход в этом виде деятельности. Таковыми являются: экосистемность - учет всей системы взаимоотношений чело века и окружающей его среды в данной проблемной парадигме системный анализ взаимосвязей между всеми элементами конкретной проблемной жизненной ситуации и определение на его основе совокупности социально-функциональных позиций и действий.

Солидарность - согласованное организационное взаимодействие в процессе медико-социальной работы государственных учреждений, действующих в любой сфере, и учреждении, входящих в структуры организаций с разной формой собственности.

Конструктивная стимуляция - отказ социальных служб от исключительно патерналистских форм помощи и опеки, порождающих у их субъектов пассивное иждивенчество.

При соблюдении в социальной работе с «бомжами» всех вышеперечисленных принципов деятельности социальных работников в комплексе возможны положительные результаты.

. Опишите последствия для такого вмешательства для сообщества

Как видно из всех вышеприведенных фактов, люди без определенного места жительства - это проблема, в решении которой есть масса нюансов, требующих особенного внимания.

При рассмотрении данной проблемы была проанализирована специальная и учебная литература по социологии и социальной работе, были исследованы данные периодической литературы, самые точные показатели статистики были получены в глобальной сети Internet.

В курсовой работе была исследована не только суть социальной работы, но и глубинные причины формирования самой проблемы. Исходя из всего этого, можно сделать вывод: самое главное в решении рассматриваемой проблемы - это преодолеть системный кризис в стране, проводить такую социальную политику, которая была бы нацелена на обеспечение нормальных условий жизни большинства населения, особенно так называемых слабозащищенных слоев.

И очень хотелось бы, что бы общество перестало думать что спасение дело рук самого утопающего, так не бывает, мы находимся на одном корабле, правда кто-то в «трюме», кто-то из нас на «палубе», а кто-то и вовсе капитан.

Это острая проблема, которая стоит поперек горла у многих, и самое страшное что в наше нестабильное время, никто не застрахован, «сегодня ты можешь быть на коне, а завтра под ним», так и было с многими, которых сейчас как бы презрительно называют «бомжами», грязными, дурно пахнущими, вечно пьяными, но все же людьми…

. Какие социальные реформы и общественная пропаганда, существует в нашей стране, в целях решения проблем в данном кейсе.

Можно сделать вывод, что лица бомж считают себя жертвами обстоятельств, большинство из них не поддерживает связей с родными, испытывая обиду на них и весь окружающий мир. Отношение к текущей ситуации - индифферентное, равнодушное, отсутствуют попытки изменить ситуацию. Отношение к социальной помощи - потребительски-циничное, равнодушное.

Результаты, полученные в ходе проведенного исследования, позволили разработать модель применения технологий социальной работы с данной категорией, внедрение которой позволит повысить эффективность социальной работы с ними и в перспективе решить проблему бездомности. Так, социальная работа с данной категорией должна протекать в условиях реализации следующих принципов применения социальных технологий:

принудительность: данный принцип необходимо применять, когда речь идет о лицах БОМЖ, больных алкоголизмом, т.к. добровольно проходить лечение они будут не готовы, а при условии, если данная проблема не будет решена, вся последующая работа специалиста будет неэффективной, так как велика вероятность рецидивов. Данный принцип должен быть гарантирован со стороны государства, т.е. закреплен законодательно. В настоящее время принудительное лечение считается ограничением прав и свобод личности, несмотря на то, что оно нацелено на помощь самому больному.

всенациональность масштаба: работа с лицами БОМЖ должна проводиться на территории всей страны по четко выстроенной схеме, включая как крупные, так провинциальные города. Данный принцип предусматривает наличие во всех населенных пунктах учреждений стационарного типа для лиц БОМЖ, где проводилась бы комплексная работа по их возвращению к нормальной жизнедеятельности. Это условие является обязательным для выполнения следующего принципа.

комплексность: лицо БОМЖ, как правило, имеет различные проблемы, начиная от материальных (отсутствия крова над головой) и заканчивая психологическими и порой даже психическими расстройствами, в связи с чем необходимо разрабатывать такие программы ресоциализации и реабилитации, которые имели бы комплексный характер и предусматривали участие в них различных специалистов;

долгосрочность: чем больше “стаж” бездомности у клиента, тем сложнее вернуть его к нормальной жизнедеятельности, именно поэтому необходима длительная работа (до нескольких месяцев) как с самим клиентом, так и с его социальным окружением;

конструктивная стимуляция: отказ социальных служб от исключительно патерналистских форм помощи и опеки, вызывающих у их клиентов пассивное иждивенчество и паразитический образ жизни;

психологическое сопровождение: важным моментом для возвращения лиц БОМЖ в нормальную жизнедеятельность является изменение их психологического настроя, который, как правило, находится в угнетенном состоянии, помощь в обретении смысла жизни и веры в себя и возможность изменить ситуацию;

принцип социального партнерства: очевидно, что для эффективного решения проблемы бездомности, особенно в тех масштабах, в которых это социальное явление наблюдается в нашей стране на данный момент, государству необходимо затратить колоссальное количество денежных средств. С учетом особенностей экономического развития страны - сделать это достаточно сложно, именно поэтому к решению проблемы необходимо подключать различные социальные институты, одним из таких институтов может быть церковь и различные приходы, где бы лица БОМЖ по желанию могли бы пройти процесс реабилитации;

принцип инклюзии: не вызывает сомнения тот факт, что одной из причин роста бездомности является деформация процесса социализации членов общества. Современный социум утрачивает контроль над процессом включения граждан в общественные институты. Это в какой-то степени обусловлено тем, что разрушены, либо деформированы традиционные институты социализации (семья, школа, детские и молодежные организации и т.д.). Другими словами, лицо БОМЖ без поддержки самого общества не сможет вернуться к нормальной жизнедеятельности. В социологии эмоционально-личностные отношения с окружающими зачастую трактуются как дополнительный фактор социальной адаптации личности. Необходимо, чтобы окружающие не воспринимали бездомного, как потерянную личность, у которой нет шансов вернуться в социальную структуру и снова стать полезным обществу. Для этого, на наш, взгляд необходимо, проводить тренинги для сотрудников государственных и муниципальных учреждений с целью повышения толерантности, предоставления объективных знаний о бездомности и бездомных, а самих бездомных включать по возможности в общественную деятельность, например, волонтерами для подсобных работ в храмах, уборке улиц и т.п. Важнейшим средством, способствующим формированию социального портрета лица, выступают СМИ, которые также необходимо задействовать в процессе освещения проблем бездомности;

принцип профилактической направленности: в настоящее время существует огромное количество причин, по которым человек может оказаться сначала за чертой бедности, а потом в статусе БОМЖа. Именно поэтому, к лицам группы риска необходимо внимание со стороны государственных органов, чтобы предотвратить данную ситуацию. К таким клиентам относятся: одинокие вдовы (вдовцы), лица, потерявшие работу, семью в результате развода, одинокие пенсионеры и т.д.

Основными принципами теоретической модели необходимо считать комплексность и принудительность, поскольку, именно комплексное сочетание различных методов и средств социальной работы - социально-медицинских, социально-психологических, социально-педагогических, юридических и т.д. - позволит достичь максимально эффективного результата по возвращению бездомного к социально одобряемой жизнедеятельности, с учетом того, что на начальном этапе этой комплексной работы клиент будет избавлен от пагубных привычек. Реализация данных принципов видится необходимым для достижения эффективности функционирования модели.

Основной технологией социальной работы с лицами БОМЖ является социальная адаптация. В рамках данного направления социальная работа с лицами БОМЖ должна включать следующие методы:

. социальная диагностика (процесс исследования бездомности с целью выяснения причин, а также выяснение особенностей каждой отдельной личности бездомного);

. социальная реабилитация (процесс восстановления бездомного в правах, социальном статусе, путем восстановления документов, а также трудовая реабилитация);

. психологическое консультирование (оказание социальной помощи путем целенаправленного, информационного воздействия на бездомного по поводу преодоления его жизненных проблем);

. социально-медицинская помощь (лечение алкоголизма, хронических заболеваний, содействие в получение группы инвалидности);

. социальная профилактика (совокупность мероприятий, направленных на предупреждение, устранение или нейтрализацию причин, вызывающих возникновение бездомности как асоциального явления).

Данная модель позволяет произвести отбор самых эффективных форм и методов из многочисленных существующих в работе с лицами БОМЖ и систематизировать их для успешного решения как каждого отдельного случая, так и всей проблемы в целом.

Также в России существует достаточно много организаций по обслуживанию и помощи лицам БОМЖ. Но среди них очень мало тех, чья деятельность является действительно эффективной и направлена на коренное решение проблемы бездомности. Одной из таких организаций является санкт-петербургская общественная благотворительная организация «Ночлежка», созданная в 1990 году. Основными услугами, оказываемыми данной организацией, являются: выявление и постановка на учет лиц БОМЖ, мероприятия по дезинфекции, предоставление ночлега, социально-медицинская помощь, социально-психологическая помощь, юридическое консультирование, помощь в трудоустройстве, социальный патронаж инвалидов, живущих в приюте. Соответственно, данная организация состоит из нескольких подразделений: непосредственно “Ночлежка”- предоставление крова над головой бездомным на 40 мест; реабилитационный центр «Дом на полдороге» для бездомных, больных алкоголизмом; дневной центр, где клиенты могут получить горячую еду и чистую одежду, а также проконсультироваться по различного рода вопросам; «Ночной автобус» - мобильный пункт социальной помощи, функционирующий в холодное время года; «Пункт обогрева» - обогреваемая палатка, рассчитанная на 50 человек также в холодное время года.

Официально цели “Ночлежки” провозглашаются как правозащитные. Клиента здесь принято называть не лицо БОМЖ, а “бездомный”, лишенный чего-то - прав, жилья, прав, работы, статуса, документов, пенсии, родных и т.д. Основная цель организации - возвращение бездомного к нормальной жизнедеятельности в обществе, а не за его пределами. Кроме того, опыт “Ночлежки” уникален тем, что бездомные продают газету “На дне”, издательством которой является сама организация. С одной стороны, это способ дисциплинировать бездомного, приучить его зарабатывать честным трудом, а, с другой стороны, это способ возвращения бездомного в общество, так, чтобы в глазах окружающих выглядеть не деградированной личностью, а полноценным человеком, стремящимся изменить свою судьбу.

Другими словами, опыт данной организации несомненно является образцовым для других учреждений, занимающихся проблемами бездомности. Основным достоинством работы можно считать то, что основу работы “Ночлежки” составляют принципы комплексности и длительности, что является основой эффективности работы данного учреждения. Кроме того, необходимо отметить соблюдение принципа инклюзии, который реализуется с помощью продаж клиентами газеты “На дне”.

Вместе с тем, можно отметить некоторые недостатки. Главный упор работы необходимо делать не на снабжении бездомных горячей едой и обогревом, что может вызывать иждивенчество за счет организации, а на попытках вывести большее количество бездомных из этого состояния.

Второй недостаток службы в том, что принцип психологического сопровождения осуществляется только на начальном этапе. Согласно нашей модели, психологическое сопровождение должно проводиться на всем протяжении патронажа клиента. Психологическая помощь - это одно из наиболее важных компонентов обеспечения социально одобряемой жизнедеятельности лиц бомж. Сначала с помощью методов, описанных в модели (методы практического воздействия (различные упражнения, тренинги, методы игр), методы воздействия (убеждение, поощрения или осуждения, внушение)), психолог должен убедить клиента в неправильности его поведения, его жизненного уклада, вызвать желание измениться самому и изменить свою жизнь, снять внутренне напряжение, страх. Затем на втором этапе, задача психолога помочь клиенту поверить в себя и свои силы, в то время когда он будет находиться в поисках работы и сборе документов. Наконец, на конечном этапе нужно закреплять полученные положительные результаты. И эта работа должна строиться с учетом того, какую жизненную позицию занимал бездомный раньше, как изменились его представления, какие черты личности удалось искоренить, а какие нет. Все это послужит основой для предупреждения рецидивов.

Кроме того, как говорилось выше, одно из подразделений «Ночлежки» реабилитационный центр «Дом на полдороге» для бездомных алкоголиков. Особенность этого подразделения в том, что лица бомж посещают там занятия и получают лечение - добровольно. Но ведь, как правило, большинство больных алкоголизмом не считают себя таковыми. А у многих, особенно у лиц бомж, алкоголизм уже далеко не первой стадии. И начинать работу с таким клиентом необходимо именно с лечения. И как предлагает наша модель, лечение должно быть принудительным. Иначе вероятность успешности всех дальнейших действий по реабилитации бездомного очень мала. Это обусловливает необходимость внесения в законодательство РФ соответствующих корректив.

. Какие исследовательские проблемы могут быть вами выявлены из данного кейса? Сформулируйте предмет и объект исследования

Предмет обследования - среда бездомных, безработных, страдающих алкоголизмом и наркоманией людей.

Объект исследования - человек, попавший в трудную жизненную ситуацию.

Проблемы:

.     Бездомность;

2.      Безработица;

.        Вредные привычки;

.        Одиночество;

.        Депрессия;

.        Проблемы со здоровьем.

13. Какие приемлемые или желаемые результаты вы бы могли получить в процессе исследования этих проблем?

Осуществление контроля за предоставлением льгот и социальных гарантий женщинам, работающим в учреждениях и организациях города.

Принятие федеральных и региональных законов в поддержку женщин. 3 Повышение социально-правового статуса женщин.

Охрана здоровья женщин.

Укрепление семейных отношений, молодая семья, образование, культура, спорт.

Улучшение условий охраны труда и содействие занятости женщин.

Обеспечение социальной поддержки женщин, семьи, детей. 8 Взаимодействие с некоммерческими и общественными организациями.

Проблемно-ориентированный подход к организации всей социальной политики позволил построить и внедрить в городе территориально-пространственную модель социального обслуживания населения. Технология территориально-пространственного аспекта методом картографирования (разработка серии картосхем) предусматривает работу с различными типами семей и группами «социального риска». На картосхемах отражено пространственное расположение в отдельно взятом микрорайоне семей, женщин, детей «социального риска», пострадавших от насилия, бездомных, инвалидов, одиноких пожилых людей.

Учитывая и используя этот положительный опыт, с учетом социологических исследований необходимо внедрять инновационные технологии по совершенствованию системы социальной работы на профилактику или упреждение бездомности.

Таким образом, работа по упреждению социальных патологий среди женщин, защите их прав и интересов, должна опираться на консолидацию усилий государственной, муниципальной власти, местных сообществ, различных организаций и общественных институтов.

Оценка результатов социальной работы на микро, среднем или макро уровне играет решающую роль в определении состоятельности социальной работы. Поэтому эффективность социальной работы может определяться как на основе общих, так и специфических критериев, причем общие служат для оценки ее эффективности в целом, а специфические для оценки конкретных социальных услуг.

Основным критерием эффективности социальной работы с бездомными станет сокращение количества семей «социального риска», снижение социального сиротства, преступности. Получая через систему социальной защиты населения, здравоохранения, Управления внутренних дел своевременную социальную, медицинскую и трудовую реабилитацию с учетом принятых федеральных и региональных законов, регламентирующих защиту бездомных, в том числе и бездомных женщин, возможно, остановить масштабное распространение бездомности, рост семейного неблагополучия, попрошайничества, бродяжничества.

Можно сделать вывод, что решение большинства проблем социального здоровья лежит в плоскости межведомственных действий и эффективность их решения детермированы степенью адекватности, принимаемых усилий всех уровней власти в рамках своей компетентности и специфических функций, с консолидацией усилий с общественными институтами по преодолению социального недуга - бездомности. Наиболее общий критерий эффективности социальной работы на этих уровнях - выведение клиента из трудной жизненной ситуации. Фундаментальной комплексной технологией социальной работы на макро- уровне станет принятие нормативно-правовых актов по преодолению социальных недугов и определению действенного механизма от макро до мини уровня по преодолению бездомности.


При выборе методов исследования руководствуются особенностями объекта и предмета исследования, а также поставленным целям исследования. Но, в процессе исследования экспериментатор столкнулся с определенными ограничительными возможностями реализации выбранного метода.

. Объясните, каким образом возможен выход из сложившейся ситуации?

Результативность исследований во многом зависит от методов, которые будут использованы при проведении исследовательских работ. Однако, при выборе того или иного метода исследования необходимо учитывать:

• цели исследовательских работ;

• требования, предъявляемые к конечным результатам исследований, их точности и достоверности;

• ограничения по срокам, ресурсам, возможностям исследователей и используемым техническим средствам исследований;

• имеющиеся данные об аналогичных исследованиях и фактические данные об объекте исследования, производственной системе и внешней среде;

•достоинства и недостатки каждого из рассматриваемых методов.

Выбор того или иного метода, (учитывая цели, требования к глубине и точности исследования, ограничения по срокам и т.п.), осуществляется:

) интуитивно, руководствуясь опытом исследователя;

) эвристически, используя приемы логики и формальные методические правила;

) экспертными способами, исходя из опыта, логики, знаний и интуиции экспертов;

)консультативным способом, т.е. на основе рекомендаций специалистов-консультантов;

)формальными методами обоснования и (или) оптимизации (линейной оптимизации и др.).

В любом случае, независимо от выбранного и в дальнейшем используемого конкретного метода, наибольший эффект и объективность исследовательских работ может быть достигнута комплексным

. Надо ли пересматривать объект, предмет и цели исследования и более детализировать их в процессе исследования?

Да это необходимо для получения высокоэффективного результата.

В. Даль: «Объект, предмет, субъект. Объективные признаки, кои могут быть наблюдаемы зрителем; субъективные чувствуются самимъ предметомъ» . «Предметъ - все, что представляется чувствамъ. «Предметъ сочинения - основа, смысл его».

С. И. Ожегов: «Объект. 1. То, что существует вне нас и независимо от нашего сознания, внешний мир, материальная действительность. 2. Явление, предмет, на который направлена какая-н. деятельность. Объект изучения» . «Предмет. 1. Всякое материальное явление, вещь. 2. То, на что направлена мысль, что составляет его содержание или на что направлено какое-то действие».

Н. Е. Яценко: «Объект - 1. В философии - всякое явление, существующее независимо от человеческого сознания. 2. В широком смысле - предмет, явление, которые человек стремится познать и на которые направлена его деятельность» . «Предмет - 1. Всякое материальное явление, вещь. 2. То, на что направлена мысль, действие или чувство».

Объект - это процесс или явление, порождающее проблемную ситуацию и взятое исследователем для изучения. Предмет - это то, что находится в рамках, в границах объекта. Объект - это та часть научного знания, с которой исследователь имеет дело. Предмет исследования - это тот аспект проблемы, исследуя который, мы познаем целостный объект, выделяя его главные, наиболее существенные признаки. Предмет диссертационного исследования чаще всего совпадает с определением его темы или очень близок к нему. Объект и предмет исследования как научные категории соотносятся как общее и частное.

Необходимо подчеркнуть, что объект и предмет исследования, так же как и его цели и задачи, зависят не только от выбранной темы, но и от замысла исследователя.

По нашему мнению, первичным является объект исследования (более широкое понятие) , вторичным - предмет исследования, в котором выделяется определенное свойство объекта исследования. Некоторые исследователи не видят разницы в этих понятиях и отождествляют предмет и объект исследования.

Определив предмет и объект исследования, автор должен дать им всестороннюю характеристику и в процессе научной работы постоянно иметь их в виду.

. Можно ли использовать только качественные или только количественные методы, если есть определенные ограничения?

Психолого-педагогическая наука пока еще в основном остается описательной, эмпирической, поэтому основным видом информации в педагогическом эксперименте является качественная, содержательная.

Качеством какого-либо объекта (процесса) считаются его существенные, устойчивые свойства, благодаря которым он этим объектом и является. Таким образом, качественная информация об объекте выражает его сущность и содержание и совершенно необходима для его характеристики.

Качественными характеристиками (параметрами) описываются в педагогике все процессы и результаты обучения и воспитания, все виды деятельности, взаимоотношений участников педагогического процесса, все достижения в развитии личностей и коллективов. Основные закономерности и принципы педагогики имею качественную форму.

Количественная характеристика окружающего мира представляет более высокий уровень его познаний. Количество - это объективная определенность объекта познания, в силу которой его можно разделить на однородные части. Количественные характеристики позволяют гораздо глубже, чем описательно-логические проанализировать процессы, выявить наличие и оценить величину связи различных качеств, обнаружить закономерности.

Использовать их лучше всего во взаимосвязи.

. Установите соответствие между качественными и количественными методами в психолого-педагогическом исследовании.

Основную проблему при сборе информации в психолого-педагогическом исследовании составляет количественная оценка качеств изучаемых объектов и процессов.

Количество и качество тесно связаны: они диалектически взаимо дополняют и превращаются друг в друга (закон перехода количества в качество). В любой качественной информации всегда содержится та или иная степень количественной.

К сожалению, проникновение в психолого-педагогическую науку и практику количественных методов затрудняется следующими обстоятельствами:

неразработанностью и часто отсутствием адекватных методов и средств количественной оценки психолого-педагогических параметров;

большой сложностью педагогических процессов.

Задание 3

Девушке 15 лет, учится в средней школе в 9 классе. В начале учебного года выясняется, что она беременна. Имя отца ребенка молодая мать скрывает. Родители девушки настаивают на аборте, но она против этого.

. Выявите и разберите факты, изложенные в данной ситуации. Что в этой ситуации происходит?

·    Несовершеннолетняя беременна;

·        Несовершеннолетняя не говорит, кто отец ребёнка;

·        Под угрозой окончание школы и будущая карьера девушки;

·        Противостояние девушки и ее родителей в отношении аборта.

Появляется проблема непонимания между девушкой и ее родителями, в этой ситуации более права будущая мать не желающая «убить» будущего ребёнка.

. Что необходимо решить для улучшения данной ситуации?

Обратиться к помощи профессионального психолога.

. Что удалось сделать участникам ситуации до этого времени?

Девушка учиться в школе, по всей видимости, из-за ситуации в семье: отчуждение между детьми и родителями и произошла подобная ситуация.

4. Какие положительные моменты вы можете выделить в этой ситуации?

Девушка не желает делать аборт. Она против уничтожения новой жизни.

. Какие существуют факторы, влияющие на данную ситуацию? Как эти факторы влияют на эту ситуацию?

Подростковая беременность всегда волновала и волнует общество, ни для кого не секрет, что существовала она во все времена и всегда считалась одной из социальных проблем.

Ранее взросление, попытки самоутвердиться любыми способами, изменение приоритетов в обществе - все это влияет на растущую цифру случаев ранней беременности. Родители, конечно же, переживают за своих детей, но невозможно оградить ребенка от влияния улицы и подросткового коллектива. Поэтому необходимо информировать, объяснять подросткам о возможных последствиях раннего секса.

Вступая в половую связь, подростки не умеют трезво оценивать свои действия, не понимают о важности применения средств контрацепции, не умеют нести ответственности за последствия. Наступление беременности <#"794617.files/image002.gif">):


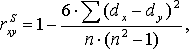
где dx и dy - ранги показателей xi и yi; n - число коррелируемых пар.

Коэффициент ранговой корреляции также имеет пределы 1 и -1. Если ранги одинаковы для всех значений xi и yi, то все разности рангов (dx - dy) = 0 и = 1. Если ранги xi и yi расположены в обратном порядке, то = -1. Таким образом, коэффициент ранговой корреляции является мерой совпадения рангов значений xi и yi.

Когда ранги всех значений xi и yi строго совпадают или расположены в обратном порядке, между случайными величинами Х и Y существует функциональная зависимость, причем эта зависимость не обязательно линейная, как в случае с коэффициентом линейной корреляции Браве-Пирсона, а может быть любой монотонной зависимостью (т. е. постоянно возрастающей или постоянно убывающей зависимостью). Если зависимость монотонно возрастающая, то ранги значений xi и yi совпадают и = 1; если зависимость монотонно убывающая, то ранги обратны и = -1. Следовательно, коэффициент ранговой корреляции является мерой любой монотонной зависимости между случайными величинами Х и Y.

Из формулы видно, что для вычисления  необходимо сначала проставить ранги (dx и dy) показателей xi и yi, найти разности рангов (dx - dy) для каждой пары показателей и квадраты этих разностей (dx - dy)2. Зная эти значения, находятся суммы , учитывая, что всегда равна нулю. Затем, вычислив значение , необходимо определить достоверность найденного коэффициента корреляции, сравнив его фактическое значение с табличным. Если , то можно говорить о том, что между признаками наблюдается достоверная взаимосвязь. Если, то между признаками наблюдается недостоверная корреляционная взаимосвязь.

Коэффициент ранговой корреляции Спирмена вычисляется значительно проще, чем коэффициент корреляции Браве-Пирсона при одних и тех же исходных данных, поскольку при вычислении используются ранги, представляющие собой обычно целые числа.

Коэффициент ранговой корреляции целесообразно использовать в следующих случаях:

если экспериментальные данные представляют собой точно измеренные значения признаков Х и Y и требуется быстро найти приближенную оценку коэффициента корреляции. Тогда даже в случае двумерного нормального распределения генеральной совокупности можно воспользоваться коэффициентом ранговой корреляции вместо точного коэффициента корреляции Браве-Пирсона. Вычисления будут существенно проще, а точность оценки генерального параметра р с помощью коэффициента  при больших объемах выборки составляет 91,2% по отношению к точности оценки по коэффициенту корреляций;

когда значения xi и (или) yi заданы в порядковой шкале (например, оценки судей в баллах, места на соревнованиях, количественные градации качественных признаков), т. е. когда признаки не могут быть точно измерены, но их наблюдаемые значения могут быть расставлены в определенном порядке.

Пример 2. Определить достоверность взаимосвязи между показателями веса и максимального количества сгибания и разгибания рук в упоре лежа у 10 исследуемых с помощью расчета рангового коэффициента корреляции, если данные выборок таковы:,кг~55; 45; 43; 47; 47; 51; 48; 60; 53;50

, кол-во раз ~ 26; 20; 25; 22; 27; 28; 16; 15; 18; 24

Решение

. Расчет рангового коэффициента корреляции Спирмена произведем по формуле:


где: dx и dy - ранги показателей х и у; n - число коррелируемых пар или исследуемых.

Таблица 2 - Данные тестирования

dx

yi

dy

55

9

26

9

0

0

45

2

20

4

-2

4

43

1

25

7

-6

36

47

3.5

22

5

-1.5

2.25

47

3.5

7

8

-4.5

20.25

51

7

28

10

-3

9

48

5

16

2

3

9

60

10

15

1

9

81

53

8

18

3

5

25

50

6

24

6

0

0

= 0


Тогда

. Расчетное значение рангового коэффициента корреляции(rф =-0,13) с табличным значением для n = 10 при α = 5%.

Вывод:

) т.к. rф = -0,13 < 0, то между данными выборок наблюдается прямая отрицательная взаимосвязь, т.е. увеличением показателей веса вызывает снижение максимального количество сгибаний и разгибаний рук в упоре лежа в группе исследуемых;

) т.к. rф = -0,13 < rst = 0,64 для n = 10 при α = 5%, то с уверенностью Р = 95% можно говорить о том, что выявленная зависимость недостоверна.

. Проведите интерпретацию значений коэффициента корреляции

Спирмена в каждой из вариантов взаимосвязи.

Основные свойства коэффициентов корреляции

К основным свойствам коэффициента корреляции необходимо отнести следующие:

коэффициенты корреляции способны характеризовать только линейные связи, т.е. такие, которые выражаются уравнением линейной функции. При наличии нелинейной зависимости между варьирующими признаками следует использовать другие показатели связи;

значения коэффициентов корреляции - это отвлеченные числа, лежащее в пределах от -1 до +1, т.е. -1 < r < 1;

при независимом варьировании признаков, когда связь между ними отсутствует, r = 0;

при положительной, или прямой, связи, когда с увеличением значений одного признака возрастают значения другого, коэффициент корреляции приобретает положительный знак и находится в пределах от 0 до +1, т.е. 0 < r < 1;

при отрицательной, или обратной, связи, когда с увеличением значений одного признака соответственно уменьшаются значения другого, коэффициент корреляции сопровождается отрицательным знаком и находится в пределах от 0 до -1, т.е. -1 < r <0;

чем сильнее связь между признаками, тем ближе величина коэффициента корреляции к 1. Если r = ±1, то корреляционная связь переходит в функциональную, т.е. каждому значению признака Х будет соответствовать одно или несколько строго определенных значений признака Y;

только по величине коэффициентов корреляции нельзя судить о достоверности корреляционной связи между признаками. Этот параметр зависит от числа степеней свободы f = n -2, где n - число коррелируемых пар показателей Х и Y. Чем больше n, тем выше достоверность связи при одном и том же значении коэффициента корреляции.

Проверка значимости коэффициентов корреляции

Для проверки значимости коэффициентов корреляции чаще всего используют распределение Стьюдента и условие:

 , f = N - 2, α = 0,05.

Задание 6

В России от 15 до 20% детей и подростков излишне упитаны, а еще 5-10% страдают от ожирения. В группе риска - ученики начальной школы, которые, предоставленные сами себе и имеющие карманные деньги, зачастую переходят на нездоровую пищу. Но и доля дошкольников с ожирением растёт. За последние 20 лет их число в мире увеличилось на 60%. Более чем у 50% малышей с лишними килограммами ожирение диагностируется до двух лет, а к пяти годам этот диагноз ставят уже 90% толстячков. Многие родители не осознают или не беспокоятся по поводу того, что их дети страдают ожирением.

. Выявите и разберите факты, изложенные в кейсе, ответив на вопрос: «Что на самом деле происходит в данной ситуации?»

Всё большей проблемой в последнее время становится ожирение у детей. Она охватила все страны мира, негативно влияет на общее здоровье подрастающего поколения сейчас и грозит ещё более серьёзными проблемами в ближайшем будущем.

Общепризнанным стандартом определения нормы веса является определение индекса массы тела (ИМТ). Чтобы рассчитать его, следует разделить массу тела в килограммах на квадрат роста в метрах. Всемирная организация здравоохранения (ВОЗ) считает вес избыточным при ИМТ от 25. Об ожирении говорят, когда ИМТ достигает 30 единиц.

Для детей до пяти лет этот метод не подходит, поэтому для них ВОЗ разработала отдельные нормы соответствия возраста и роста весу. Подобные же стандарты существуют и для возраста от 5 до 19 лет.

Статистика детского ожирения

В России от 15 до 20% детей и подростков излишне упитаны, а еще 5-10% страдают от ожирения. Эта картина соответствует общим показаниям по Европе, где случаи ожирения у детей выросли в три раза по сравнению с 1980-ми годами.

Каждый третий ребенок недополучает витамины группы В, а также кальций и железо, что может отрицательно сказаться на здоровье подрастающего поколения.

Специалисты объясняют намечающуюся тенденцию тем, что в последние годы сложилась традиция перекусов и фаст-фуда в детском питании практически во всех детских учреждениях. Из-за чрезмерной загруженности дети не успевают получить горячее питание в течение дня, обходясь гамбургерами, сосисками в тесте и прочей «нездоровой» пищей.

За последние годы резко вырос уровень потребления чипсов, сухариков и сладких газировок, и большая часть потребителей этого вида продукции - дети. Это явление не может не сказаться на уровне здоровья подрастающего поколения: по статистике, в 1995 году на 10 детей приходилось 17 видов заболеваний, а в 2011 - уже 29. Отчасти это, безусловно, вызвано неправильным питанием и общим ослаблением контроля родителей и здравоохранительных организаций за здоровьем детей.

В группе риска - ученики начальной школы, которые, предоставленные сами себе и имеющие карманные деньги, зачастую переходят на нездоровую пищу.

Но и доля дошкольников с ожирением растёт. За последние 20 лет их число в мире увеличилось на 60 процентов.

Более чем у 50% малышей с лишними килограммами ожирение диагностируется до двух лет, а к пяти годам этот диагноз ставят уже 90% толстячков.

Каждый год, в течение которого ребёнок «носит» на себе лишние килограммы, увеличивает его шанс вырасти толстым.

ВОЗ прогнозирует увеличение веса у следующего поколения и одновременно снижение физической активности.

Ранее считалось, что избыточный вес и ожирение являются проблемами только в странах с высоким уровнем дохода. Но на сегодняшний день 81% детей с лишним весом живут в развивающихся странах. Хотя доля детей с ожирением в общем числе жителей развитых стран выше (11,7% против 6,1%).

Многие родители не осознают или не беспокоятся по поводу того, что их дети страдают ожирением.

. Выявите проблемы, которые возникают при анализе кейса, ответив на вопросы: «Что не так происходит в данной ситуации? Что необходимо решить для того, чтобы улучшить ситуацию?»

Проблемы со здоровьем могут появиться даже при незначительном избыточном весе. Негативное влияние лишних килограммов тем сильнее, чем больше вес и чем раньше появился избыток веса.

Дети с ожирением относятся к часто болеющим. С младенческого возраста их часто одолевают простуды.

Лишний вес ребёнка провоцирует развитие у взрослого болезней сердечно-сосудистой системы (ишемическая болезнь, инсульт), инсулинозависимого диабета, некоторых видов артрита и раковых заболеваний. Они становятся причинами преждевременной смерти и инвалидности.

Из-за большой массы тела полные дети чаще падают и при этом наносят себе более серьёзные травмы.

Дети, которым поставлен диагноз ожирение, чаще впадают в стресс и депрессию, испытывают чувство стыда и имеют пониженное чувство собственного достоинства. Они чаще подвергаются нападкам сверстников и в то же время чаще сами агрессивно ведут себя с одноклассниками.

У пухлых детей часто возникают проблемы со сном. Недосыпание влияет на дневную активность ребёнка и его настроение.

Дети с ожирением и лишними килограммами остаются в классе на второй год в два раза чаще, чем ребята с нормальным весом.

. Определите положительные стороны в сложившейся ситуации, изложенной в кейсе. Фактически ответить на вопрос: Что удалось сделать участникам ситуации до этого времени?

В данной ситуации нет положительных сторон.

. Какие положительные элементы вы можете описать в этой ситуации?

В данной ситуации нет положительных сторон.

. Каковы существуют факторы, которые, вероятно, влияют на сложившуюся ситуацию? Как эти факторы оказывают влияние на эту ситуацию?

Перекармливание является одной из основных причин развития ожирения. При этом возраст ребёнка не имеет значения.

Ежедневный перебор нормы калорий всего на 1% за год прибавит ребёнку несколько лишних килограммов.

Доля детей с ожирением выше среди тех, кто был вскормлен искусственно. Скорее всего, это связано с перекармливанием.

Высокие дети (кроме тех, чьи родители отличаются высоким ростом) в 2,5 раза чаще страдают избыточным весом и ожирением, когда вырастают. Предположительно, это связано с более ранним половым созреванием рослых деток, которое может привести в будущем к полноте. Особенно последнее утверждение касается девочек..

У дошкольников, которые принимают пищу вместе со взрослыми, достаточно спят и ограничивают время просмотра телевизора, в два раза реже развивается ожирение по сравнению с детьми, которые не придерживаются распорядка дня.

Длительное недосыпание в младшем возрасте прямо влияет на увеличение веса. Каждый лишний час сна уменьшает индекс массы тела до 61%.

Лишний вес обнаруживается у 40,3% детей, не занятых в спортивных секциях, и у 21% ребят, живущих в районе, далеко расположенном от парка.

Вероятность иметь избыточный вес или ожирение возрастает на 41%, если у ребёнка в комнате есть телевизор, или же в случае, если он смотрит телевизор больше двух часов в день. Эта зависимость более заметна у девочек, так как они меньше занимаются физическими упражнениями, чем мальчики.

Предрасположенность к ожирению характерна для детей, чьи матери курили во время беременности. Развивающееся из-за никотина подавление рефлекса насыщения приводит к перееданию и, как результат, - к ожирению.

Диабет у матери во время беременности провоцирует развитие избыточного веса у ребёнка.

Наличие четырёх друзей с ожирением вдвое увеличивает риск набрать лишние килограммы. Ожирение всего одного человека увеличивает шанс того, что у его друзей и родственников также будет лишний вес.

Наибольшее число детей с избыточным весом (44,8%) проживает в семьях, находящихся за чертой бедности. А также лишний вес и ожирение возникают у 25% детей, воспитываемых одинокой матерью.

Дети толстых родителей находятся под повышенной угрозой развития ожирения. Мамы, не придерживающиеся принципов здорового питания, передают детям собственные проблемы с метаболизмом. А вот рождённые от полных пап не отличаются по весу от тех, чьи отцы не имеют лишних килограммов. Однако у таких детей чаще и быстрее развиваются проблемы с выработкой инсулина, что впоследствии приводит к сахарному диабету.

По статистике, в семьях с высоким доходом ожирение и избыточный вес встречаются намного реже, так как они более образованы, прислушиваются к рекомендациям врачей и имеют больше возможностей для покупки качественных и разнообразных продуктов.

. Составьте список возможных исходов в данной ситуации и первоначальный план ваших действий. Фактически ответьте на вопросы: Что мы можете сделать для разрешения ситуации? Как специалисты-профессионалы в данной области решают эту проблему? Какие возможности доступны в этом случаи? Каковы возможные результаты в каждом из ваших перечисленных вариантов?

Депутаты Госдумы предложили ввести в школах уроки здорового питания. В школьном возрасте, когда только формируются пищевые привычки, легче объяснить ребёнку, что вредно перекусывать чипсами и шоколадками на перемене и запивать их колой.

Депутат Госдумы, заместитель председателя комитета по образованию Алёна Аршинова считает, что должна быть разработана федеральная программа, в рамках которой предусматривалось бы проведение в школах специальных уроков по здоровому питанию. С соответствующими запросами депутат обратилась в министерство образования и науки РФ и министерство здравоохранения РФ.

«Сегодня в России культивируется здоровый образ жизни, вводится система ГТО, но по-прежнему мало внимания уделяется формированию культуры здорового питания у детей. В итоге с каждым годом увеличивается число детей, страдающих ожирением, а в 2013 году наша страна вошла в топ-20 самых «толстых» стран мира. И речь идет даже не о физической привлекательности, а о серьезных болезнях, к которым могут привести переедание и ожирение. К тому же дети с ослабленным здоровьем не готовы к неизбежным умственным и психологическим нагрузкам. В такой ситуации им буквально с первого класса нужно прививать культуру здорового питания, а для этого необходимо разработать программу обучения школьников и их родителей на федеральном уровне. Тем более что практика проведения уроков правильного питания уже развивается в ряде российских регионов», - цитируют Аршинову «Известия».

Так, например, в Ульяновской области с 2011 года в школах начали организовываться «Центры здорового питания». Сейчас их уже 215. Основное их отличие от обычных столовых в том, что здесь ребёнок может сам выбрать, что хочет съесть - выбор блюд организован по принципу «шведского стола». Но все предлагаемые блюда изготовлены из тех же продуктов, которые поставляются в обычные столовые. Кроме того, на базе таких центров проводятся различные образовательные программы, конкурсы, викторины, в ходе которых детям рассказывают, что полезно есть, а что нет.

Депутат Госдумы, заместитель председателя комитета по охране здоровья Олег Куликов добавляет, что важно воспитывать привычку к здоровому питанию не только у детей, но и у их родителей, пишут «Известия».

В то же время в Ульяновской области родители порой вместе с детьми могут принять участие в различных конкурсах и обучающих программах. Также в регионе родители получили возможность голосованием выбирать поставщика, а в случае его неудовлетворительной работы - отказаться от него.

В министерстве здравоохранения РФ депутатский запрос будет рассмотрен в установленном порядке.

Впервые в России 21 мая 2013 года в рамках VI Всероссийского диабетологического конгресса будет проведен первый Всероссийский «День борьбы с ожирением».

В этот день будут обсуждаться не только научные вопросы, но и состоится встреча пациентов с ведущими специалистами, которые занимаются этой проблемой. Всем желающим будет предоставлена возможность пройти экспресс- диагностику (показатели сахара крови, уровня холестерина, жира в организме) и определить индивидуальный риск развития сахарного диабета и сердечно-сосудистых заболеваний. В программу интерактивной встречи включены блиц-лекции о причинах ожирения и мерах борьбы с недугом.

Ожирение - глобальная проблема человечества. Избыточный вес и ожирение относятся к числу пяти основных факторов риска смерти. Ежегодно, по меньшей мере, 2,8 миллиона взрослых умирают по причине избыточного веса или ожирения. Кроме того, 44% диабета, 23% ишемической болезни сердца и от 7 до 41% онкологических заболеваний обусловлены избыточным весом и ожирением.

По данным Всемирной организации здравоохранения (ВОЗ) на 2012 год: c 1980 года во всем мире, число лиц, страдающих ожирением, как минимум удвоилось; в 2008 году более 1,4 миллиарда взрослых людей в возрасте 20-ти лет и старше страдали от избыточного веса. Из этого числа свыше 200 миллионов мужчин и почти 300 миллионов лиц женского пола страдали ожирением; шестьдесят пять процентов населения мира проживают в странах, где избыточный вес и ожирение приводят к смерти большее число людей, чем пониженная масса тела; в 2010 году более 40 миллионов детей в возрасте до 5 лет имели избыточный вес

Ожирение можно предотвратить.

Ожирение - причина значительной доли общего бремени болезней в Европейском регионе ВОЗ и первопричина свыше 1 миллиона смертей ежегодно.

Число людей с лишним весом в России только за последние пять лет увеличилось на 15%! В нашей стране более 60% взрослого населения имеет избыточный вес, около 26% - ожирение. Ожирение - доказанный фактор риска ИБС, гипертонической болезни, инсульта, рака ободочной кишки, рака молочной железы, рака эндометрия и остеоартроза. Свыше 75% случаев диабета типа 2 ассоциируется с избыточной массой тела и ожирением.

Ожирение оказывает негативное влияние на экономическое и социальное развитие, увеличивая расходы на здравоохранение и снижая продуктивность людей и их доходы. На лечение проблем, связанных с ожирением среди взрослых, приходится до 6% всех расходов на здравоохранение в рамках Европейского региона.

В России по данным Министерства здравоохранения (на конец 2009 года) -заболеваемость ожирением составила 789,3 на 100 тыс. человек. По сравнению с 2006 годом этот показатель вырос на 16,1 %. Морбидное (сверхожирение, осложненное ожирение) ожирение в России встречается у 2-4% взрослого населения (около 3 млн. чел).

По данным ФГБУ «Эндокринологический научный центр» - 11,8% подростков, проживающих в России, имеют избыточный вес, из них у 2,3 % - ожирение. Таким образом, в России более 2,7 млн. подростков имеют избыточный вес, из них 0,5 млн. страдают ожирением! Детское ожирение является фактором, обуславливающим более высокую вероятность ожирения, преждевременной смерти и инвалидности во взрослом возрасте. Для детей в странах с низким и средним уровнем дохода существует более высокая вероятность неправильного питания в антенатальный период, в период грудного вскармливания и в младшем возрасте. В дальнейшем они потребляют более дешевые продукты с высоким содержанием жиров, сахара, соли и калорий и с низким содержанием питательных микроэлементов. Подобное питание в сочетании с невысоким уровнем физической активности приводит к резкому росту детского ожирения.

Глобальное решение проблем, связанных с ожирением, невозможно без активного участия, как самих пациентов, так и общества в целом.

. Получите дополнительную информацию, научно-исследовательские знания из журналов и книг, используйте Интернет-ресурсы для разработки и выбора возможных вариантов решения. Что еще необходимо проанализировать, чтобы получить жизнеспособный план решения проблемы? К кому можно обратиться, чтобы получить необходимую информацию? Что вы еще узнали, когда вы искали информацию о возможности решения данной проблемы?

Министерство здравоохранения России бьет тревогу: количество детей с диагнозами «ожирение» и «сахарный диабет» растет с каждым годом. Причины тому самые разные.

На сегодняшний день во всем мире наблюдается неутешительная тенденция ожирения подрастающего поколения. И Россия, к сожалению, не является исключением.

Согласно статистическим данным, в 2012 году сахарный диабет <http://wek.ru/uchenye-diabet-opasnee-dlya-zhenshhin-chem-dlya-muzhchin> был диагностирован у более 19 тысяч российских детей. Однако годом спустя их количество превысило 21 тысячу.

Что касается ожирения, то два года назад это заболевание было выявлено у 235 454 детей, а в 2013 году было зафиксировано уже более 250 тысяч случаев ожирения.

На сегодняшний день в России от 15 до 20% детей и подростков излишне упитаны, а еще 5-10% страдают от ожирения. Подобная картина наблюдается и в европейских странах. По сравнению с восьмидесятыми годами прошлого столетия случаи ожирения у детей выросли в три раза.

Причинами лишнего веса может быть целый ряд причин: от нарушения эндокринной системы и обмена веществ, до расстройства питания.

В группу риска входят ученики начальной школы, которые, предоставленные сами себе и имеющие карманные деньги, зачастую любят перекусить чипсами, шоколадками и запить газированным напитком. А это, как известно, очень вредно для растущего организма.

Но и доля дошкольников с ожирением растет. За последние два десятилетия их число в мире увеличилось на 60 процентов.

Более чем у 50% крох с лишними килограммами ожирение диагностируется до двух лет, а к пяти годам этот диагноз ставят уже 90% маленьких мальчиков и девочек.

В рамках борьбы с данными заболеваниями в различных регионах России были организованы Центры здоровья для детей, где проводятся мероприятия, направленные как на лечение пациентов, так и на профилактику ожирения. Также сотрудники центров обучают детей гигиене и формируют представление о правильном питании и здоровом образе жизни.

Также во многих медучреждениях ведут прием врачи-диетологи, работа которых ориентирована на организацию здорового питания в школах и садиках и проведение санитарно-просветительской работы с учащимися и родителями.

Напомним, что согласно результатам исследований шведских ученых, люди, которые были толстыми в детстве, зарабатывают меньше. Так что заботиться о здоровье и благополучии ребенка стоит уже с самого маленького возраста.

. Разработайте конкретную стратегию. Что необходимо сделать на следующей неделе/ месяце? Что должно быть сделано через 6 месяцев?

действенных способов борьбы с лишним весом у детей:

. Ребенок должен двигаться. Сразу возникает вопрос: как и сколько. Ответ: 60 минут в день такой активности, которая заставляет потеть.

. Ограничить время, проводимое перед телевизором и компьютером. По статистике дети в среднем проводят 6 часов в день перед экранами (4 на ТВ и 2 на компьютер). Врачи советуют сократить время до 2 часов в день. Девочки в возрасте 8 - 11 лет, которые проводят в день перед экранами более 2 часов в день, в 2 раза чаще страдают ожирением.

. Ограничить потребление напитков. Родители должны следить за тем, что и сколько пьет их ребенок. Сладкие напитки несут в себе излишний сахар при минимуме полезных веществ. Поэтому лучше предпочитать 100% сок, там есть хотя бы витамины.

В день ребенку разрешается выпить не более 350 мл сока. Следует учитывать, что 1 фрукт равен 120 мл сока.

. Сон - залог здоровья. Исследования показали, что чем меньше ребенок спит, тем выше его шансы получить ожирение. Ребенок 10 лет и старше должен спать не менее 10 часов. С каждым часом, которые ребенок не доспал, риск получения ожирения увеличивается на 9%.

. Завтрак обязателен! Если вы не можете ежедневно готовить ребенку завтрак, то сделайте так, чтобы он брал его с собой и мог съесть по дороге.

. Семейный обед не только сближает, но и предотвращает ожирение. Семья должна есть вместе не менее 5 раз в неделю, это снижает вероятность возникновения лишнего веса на 25%. Главное помнить: выключи телевизор во время еды!

. Выбирайте закуски правильно. Идеальная закуска - это 100 ккал за раз. Кажется, что мало. Но на самом деле это кружка ягод или средний банан. Учите детей комбинировать продукты.

. Обучение детей - это самый важный шаг. Дети должны знать основы пирамиды питания. Надо постоянно объяснять и показывать на упаковке, что сколько калорий содержит и из чего состоит продукт.

. Творите среду. Показывайте своим примером, направляйте на занятия, в группы по интересам. Чем больше ребенок слышит и применяет на практике свои знания о правильном питании, тем больше у него шансов не стать толстым.

. Сфокусируйтесь на здоровье, а не на весе. Учите детей оценивать свой вес, внешность и питание корректно.

Пухленький карапуз очень умиляет взрослых, но автоматически попадает в группу риска, связанную с развитием ожирения. Понятно, что не каждый розовощекий карапуз со временем превратится в тучного взрослого, однако наличие предрасположенности (полные родители) и отсутствие культуры питания в семье существенно повышают такую вероятность.

Причины ожирения детей. Ожирение - это превышение массы тела ребенка на 20% от нормы. Причин детского ожирения множество - от банального переедания и малоподвижного образа жизни до врожденных заболеваний. Однако у большинства детей ожирение связано с несоответствием потребляемого и растрачиваемого количества калорий. Т.е. если у ребенка отличный аппетит и он «любит покушать», а большую часть времени проводит за просмотром мультиков, то он имеет все шансы трансформироваться в полного подростка, а со временем - в тучного, обиженного на весь мир и самого себя, взрослого.

Кроме того, пищевая промышленность предлагает такой ассортимент полуфабрикатов и готовых блюд, что многие родители предпочитают быстро разогреть купленные полуфабрикаты, а не маяться лишний час у плиты. Однако полуфабрикаты готовят с добавлением пищевых ароматизаторов, красителей и других химических составляющих, а это приводит к тому, что домашняя котлета или каша будет казаться ребенку безвкусной и непривлекательной.

Такой образ жизни может привести в дальнейшем к ухудшению здоровья ребенка и набору лишнего веса.

Актуальность данной проблемы велика, в особенности для учреждений образования.

.1. Определите объект исследования.

Объект исследования - здоровье подрастающего поколения.

.2. Определите предмет исследования.

Предмет исследования - дети, страдающие ожирением.

.3. Перечислите исходные факты (актуальное состояние объекта

исследования), т.е. на каком этапе и как поставленная вами проблема решается другими исследователями.

Лишний вес у ребёнка - это не просто косметический дефект, а следствие психологических проблем.

Проще всего, если ребёнок просто оказывается жертвой семейных традиций приёма пищи (еда в семье слишком жирная, употребляются калорийные продукты, всё нужно есть с хлебом, обязательно доедать и т.д.). Но чаще специалисты центра сталкиваются с детьми, у которых также присутствует переедание или болезненный отказ от еды. Такие нарушения пищевого поведения - это следствие дисгармоничных отношений с собой, окружающими людьми (сверстниками, семьёй) и миром.

Психологи центра снижения веса «Доктор Борменталь»

·        обучают детей и подростков ориентироваться в ощущениях своего тела, своих эмоциях и чувствах;

·              развивают коммуникативные навыки и уверенность в себе;

·              внедряют в мир ребенка идеи полезного питания;

·              развивают пищевые привычки стройных людей.

·             

10.4. Основные теоретические концепции изучения этой проблемы до вашего исследования (концептуальная платформа вашего исследования).

Борьба с избыточным весом не должна ограничиваться лишь диетами. Для ребенка очень важна физическая нагрузка, т.к. это не только поможет израсходовать полученные калории, но и будет хорошей профилактикой других заболеваний, связанных с гиподинамией. Ограничьте ребенку доступ к компьютеру и телевизору. Путь он проводит свободное время, играя в активные игры во дворе: теннис, футбол, волейбол. Хорошие результаты показывают именно регулярные физические нагрузки. Некоторые родители считают, что ребенку будет достаточно того, что он получает в школе на уроке физкультуры. На самом деле это не так. Только опытный тренер сможет подобрать необходимые физические упражнения и элементы ЛФК. Детей с 1-2 степенью ожирения можно отдать в спортивную секцию или на плаванье в бассейн, где ребенок будет много двигаться. Конечно же, этот шаг нужно делать только лишь после консультации с терапевтом и будущим тренером или инструктором. К сожалению, есть распространенное мнение, что полный ребенок ничего не достигнет в спорте. Статистика соревнований показывает, что в некоторых видах спорта более высокая весовая категория наоборот поможет завоевывать призовые места. Но для начала можно ограничиться простой утренней зарядкой и более активным образом жизни.

Если же проблема детского ожирения в наследственности или заболевании, то необходимы радикальные меры, такие как лекарственная терапия или хирургическое вмешательство. После обследования ребенку поставят точный диагноз и назначат соответствующее лечение. Лекарственная терапия используется редко и назначается только в исключительных случаях. Детский организм более остро реагирует на все компоненты, поэтому при лечении используются только препараты для подавления аппетита. Хирургическое лечение детского ожирения назначается только в случае, когда масса ребенка превышает допустимую более чем на 51%.

Любое заболевание проще предотвратить, чем лечить. Всегда следите за питанием ребенка, не допускайте переедания. Даже при первой стадии ожирения нужно вводить ограничение на определенные продукты и заставлять ребенка больше двигаться.

.5. Сформулируйте идеи исходя из концептуальной платформы.

1.   Находить поводы похвалить ребенка за его поведение.

2.      Никогда не использовать пищу в качестве вознаграждения.

.        Договориться с ребенком о «вознаграждении» с его стороны за перемены в поведении самих родителей (больше времени, проведенного с ребенком, совместные прогулки, игры, изменения в собственном питании и др.).

.        Установить ежедневные часы для приема пищи всей семьей.

.        Родители должны решить, какую пищу предлагать и в какое время, а ребенок решает, есть ее или нет.

.        Предлагать ребенку выбор только между продуктами здорового питания (не «яблоко или пирожное») и между вариантами двигательной активности (но не «телевизор или прогулка»).

.        Исключить соблазны (изъять из дома продукты с высоким содержанием жира и сахара).

.        Быть последовательным.

10.6. Сформулируйте цели, задачи и гипотезу (мысленная реализация вашего замысла) исследования.

Общие подходы к лечению ожирения у детей могут быть сформулированы следующим образом:

·        начинать лечение как можно раньше;

·              семья должна быть готова к изменениям образа жизни;

·              обучение членов семьи по вопросам осложнений ожирения;

·              вовлечение членов семьи в программу лечения;

·              программы лечения должны нацеливать на постепенное снижение массы тела, не использовать краткосрочные диеты или программы быстрого снижения массы тела;

·              члены семьи должны научиться контролировать питание и двигательную активность;

·              программа должна помочь семье постепенно провести изменения в питании или двигательной активности (сначала 2-3 изменения). Оценка эффективности программы и поддержка со стороны врача - не реже 1 раза в 2 недели;

·              не должно быть критики со стороны врача, напротив - поддержка и поощрение достигнутых успехов;

·              привлечение команды специалистов (диетолог, психолог, специалист по лечебной физкультуре).

10.7. Перечислите качественные и количественные методы вашего исследования.

Подходы к питанию: небольшое ограничение калорийности безопасно и может дать эффект, когда дети с ожирением и их родители мотивированы на долговременное изменение пищевых привычек и при этом получают постоянную поддержку. Примером подобной программы, направленной на работу с семьей ребенка, является «диета-светофор». Значительное снижение массы тела встречается редко и обычно кратковременно, пока сокращение калорийности пищи сопровождается значительным расходованием энергии. Однако диеты с резким ограничением калорийности не могут соблюдаться длительно и являются потенциально опасными, т. к. значительное ограничение калорийности приводит к дефициту витаминов, минералов и микронутриентов, замедляют рост и минерализацию костей, снижают скорость линейного роста и приводят к нарушениям менструального цикла. Продление резкого ограничения калорийности пищи приводит к фрустрации и может привести к быстрой смене циклов «голодания» и обжорства в тщетной попытке похудеть.

Наиболее рационально обучение детей и родителей принципам рационального питания, которое может соблюдаться сколь угодно долго. Рациональное питание должно быть: сбалансированным по основным компонентам (белки 12-15%, жиры менее 30%, углеводы 55% от калорийности суточного рациона); регулярным; дробным (3 основных и 2 дополнительных приема пищи) с правильным распределением калорийности в течение суток (завтрак - 25%, обед - 30%, ужин - 25% и дополнительные приемы - по 10%); разнообразным с учетом вкуса и кулинарных возможностей; включающим свежие фрукты и богатые клетчаткой овощи (несколько раз в день); ограничивающим жиры (особенно животные); ограничивающим быстроусвояемые углеводы и умеренно ограничивающим медленно усвояемые (картофель, макаронные изделия, хлеб, преимущественно из муки грубого помола, каши); максимально ограничивающим потребление колбас, сосисок, полуфабрикатов и кондитерских изделий, содержащих так называемые «скрытые» жиры.

Использование диеты в сочетании с регулярными физическими нагрузками доказало свою эффективность в краткосрочных программах лечения ожирения у детей. Однако, как показывает клинический опыт специалистов разных стран, для сохранения эффекта снижения ИМТ и уменьшения риска развития заболеваний, сопряженных с ожирением, требуется долгосрочное изменение стиля поведения.

.8. Сформулируйте искомый факт вашего исследования. Какое желаемое или потребное состояние объекта вы хотите получить в итоге реализации вашего исследования?

Пропаганда здорового образа жизни в целях профилактики ожирения должна начинаться в школе и затем распространяться на все общество. Системе образования следует пересмотреть свою политику в плане обеспечения детей продуктами здорового питания (это касается меню школьных столовых, ассортимента буфетов, автоматов с напитками и др.). Должны быть введены образовательные программы в школах по обучению правильному питанию, основам здорового образа жизни, управлению массой тела. В школьных столовых и буфетах должна быть предоставлена возможность выбора свежих фруктов и овощей, а также продуктов с низким содержанием жира.

Первым шагом на пути к расширению двигательной активности детей должно стать ограничение малоподвижных занятий. Другим важным элементом должна стать доступность занятий спортом, спортивными играми как в школе, так и по месту жительства. Физические упражнения должны приносить удовольствие, а не являться наказанием.

Скрининговые программы по выявлению ожирения и его осложнений должны быть узаконены, врачам и медицинским сестрам, работающим в первичном звене здравоохранения, следует выявлять детей с ожирением и его осложнениями при профилактических осмотрах. В идеале, при наличии средств, дети с избыточной массой тела (ИМТ более 85 центиля) и их родители должны получать консультации по способам коррекции массы тела и пользе от ее снижения, а дети с ожирением (ИМТ > 95 центиля) должны проходить скрининг на выявление гипертензии, дислипидемии, нарушений опорно-двигательного аппарата, синдрома ночного апноэ, патологии желчного пузыря, инсулинорезистентности и при обнаружении данных проблем направляться к соответствующим специалистам для уточнения диагноза и включения в программу терапии.

Список использованной литературы

1. Всеобщая декларация прав человека.- М., I988.

. Вынужденная миграция: причины, состояние, перспективы, миграционная политика. - М.: Луч. 1993.

. Дети улицы: растущая трагедия городов /Пер. с англ. - М., 1990.

. Корель Л.В., Ганшина B.C., Трофимов В.А. Миграция и жилище. - Новосибирск, 1988.

. Основы социальной работы. Учебник. / Отв. Ред. П.Д. Павленок, - М., 1997.

. Пантелеева М.И. Экономические основы социальной работы. - М. 2000.

. Психолого-педагогичсская реабилитация детей и под ростков с ограниченными возможностями здоровья и проблемами в обучении. Краткий словарь-справочник. - Ростов н/Д, 1997.

. Райгородский Д.Я. Практическая психодиагностика. Методики и тесты. Учебное пособие / под ред. Д. Я. Райгородского. - Самара: Бахрах-М, 2001. - 672 с.

. Социальная работа. Российский Энциклопедический словарь./ Под общ. ред. В.И. Жукова. - М., 1997.

. Справочное пособие по социальной работе./ Под ред. А.М. Панова, Е.И. Холостовой. - М., 1997.

. Староверов В.И., Рощин Ю.Р. Социальная реабилитация бездомных // Беженцы. Динамика перемещения. - М., 1989.

. Теория и методика социальной работы / Под ред. П.Д. Павленка. - М. ГАСБУ. 1995. - Вып. 2.

. Тетерский В.Н. Введение в социальную работу, - М. 2000.

.http://www.ppr-info.ru/index.php?option=com_content&task=view&id=376&Itemid=18

15.<http://www.sociowork.ru/tsts-295-5.html>

.http://kazan.doctorbormental.ru/services/weight-loss/weight-loss-children/

.<http://presuha.ru/release/326358-alkogolizm-i-narkomaniya-puti-resheniya-problemy.html>

.<http://human.snauka.ru/2013/06/3249>

.<http://prelestnitsa.ru/semya-dom/357-ranniaia-beremennost.html>

.<http://www.ymbaby.ru/news/item/846-news-ozhirenie-stat.html>

.http://www.zdorovieinfo.ru/forum/yaf_postst5389_Боремся-с-детским-ожирением-КАК.aspx

.http://wek.ru/v-rossii-stremitelno-uvelichivaetsya-chislo-detej-s-ozhireniem

Похожие работы на - Практическая психодиагностика

 

Не нашли материал для своей работы?
Поможем написать уникальную работу
Без плагиата!
Без нейросетей!