Выбор и обоснование технологии проведения горизонтальной горной выработки
Московский Государственный Горный
университет
Кафедра «Подземная разработка
месторождений полезных ископаемых»
РЕФЕРАТ НА ТЕМУ:
«Выбор и обоснование технологии
проведения горизонтальной горной выработки»
.00.22 «Геотехнология (подземная,
открытая и строительная)»
Выполнил: горный инженер Тё А.А.
Научный руководитель: проф., д.т.н. Ломоносов Геральд Георгиевич
Москва 2010 г.
1. Выбор и обоснование технологии проведения горизонтальной горной
выработки
Повышение темпов и эффективности развития экономики на базе
научно-технического прогресса, технического перевооружения и реконструкции
производства, интенсивного использования созданного производственного
потенциала, совершенствования системы управления, хозяйственного механизма и
достижения на этой основе дальнейшего благосостояния народа является главной
задачей в настоящее время. Огромное значение в решении этой задачи играет
развитие горнорудной добывающей промышленности за счет строительства новых
шахт, рудников и реконструкций уже существующих.
Строительство новых предприятий требует выполнения определенного объема
горных работ, связанных с проведением вертикальных, горизонтальных и наклонных
выработок, производится не только в горной промышленности, но и в других
областях производства, например: при строительстве транспортных и
гидротехнических туннелей. В городском коммунальном хозяйстве и во многом
другом.
В развитие и совершенствования шахтного строительства, как ее
капитального направления на сокращении продолжительности и сроков ввода
действий объектов.
Повышение технического уровня строительства, производительности труда,
качества строительно-монтажных работ и снижение их стоимости, усложнившиеся
условия строительства и реконструкции, увеличение объемов горных работ требуют
от шахтостроителей глубоких знаний и серьезной инженерной подготовки
специалистов. Все это в конечном счете приводит к повышению экономического
уровня нашего государства и повышение благосостояния народа.
Исходные данные для этого раздела следующие:
Наименование выработки - капитальный штрек.
Глубина заложения выработки - 390 м.
Приток воды - 3 м3/час.
Протяженность выработки - 350 м.
Коэффициент Пуассона - 0,25.
Размер структурного блока - 0,1 м.
Коэффициент длительной прочности - 0,85.
Угол наклона - 30.
Срок службы выработки - 35 лет.
Плотность - 2,65 г/м3.
Количество путей - 2 шт.
Коэффициент крепости - 15.
.1 Форма и размеры сечения выработки
Форма поперечного сечения выработки зависит от физико-механических
свойств горных пород, от назначения, срока службы выработки, положения
выработки в пространстве и других факторов.
Размеры поперечного сечения выработки зависит от ее назначения и
определяются на основе габаритов подвижного состава или погрузочно-транспортной
машины с учетом необходимых зазоров, предусмотренных правилами безопасности,
числом рельсовых путей, способом передвижения людей и количеством проходящего
воздуха.
При однопутной выработке с рельсовым транспортом ширина транспортных
средств составляет 1950 мм. Так как коэффициенты крепости 15, то применяем
монолитную крепь. Тогда площадь поперечного сечения должна составлять S ≤16,5 м2. Исходя из данного коэффициента крепости
наиболее подходящей формой выработки, является прямоугольная сводчатая.
Наиболее подходящим типом электровоза при однопутной рельсовой дороги
является К-14.
Техническая характеристика электровоза К-14
|
Параметры
|
Ед.изм.
|
Кол-во
|
|
1. Масса
|
т.
|
14
|
|
2. Колея
|
мм
|
750
|
|
3. Тяговое усилие
|
Н
|
23500
|
|
4. Скорость
|
км/ч
|
12,2
|
|
5. Суммарная мощность
двигателей при часовом режиме
|
квт
|
2х45
|
|
6. Длина
|
мм
|
5440
|
|
7. Ширина
|
мм
|
1350
|
|
8. Высота по кабине
|
мм
|
1650
|
|
9. Рабочая высота по
токоприемнику
|
мм
|
2300
|
|
10. Минимальный радиус
кривой
|
м
|
18
|
|
11. Оптовая цена
|
тг
|
|
|
12. Норма амортизации
|
%
|
18,6
|
.2 Определение размеров поперечного сечения выработки
Расчет будем вести по габаритам электровоза.
. Ширина однопутной выработки в свету:
В = 2m + 2А + n, (1.1.)
В = 2*200 + 700 + 2*1950 = 5050 мм
где А - ширина электровоза: А=1950 мм;
m-зазор
между стеной и габаритом подземного состава, m=200мм;
n -
минимальный допустимый зазор для прохода людей на уровне
кромки: n=700 мм.
. Высота электровоза, h =
1650 мм
. Высота стенки выработки от головки рельсов:
h1=1800-hа, (1.2)
h1 =
1800 - 190 = 1610 мм
где hа - высота от балластного слоя до
головки рельсов, hа=190 мм (по ЕПБ);
. Высота от почвы выработки до головки рельсов:
hв=hа+hб, (1.3)
hв =
190 + 200 = 300 мм
где hб - высота балластного слоя от почвы
выработки, hб=200 мм;
. Высота стенки выработки от балласта:
h2 = h1 + hа, (1.4)
h2 =
1610 + 190 + 1800 мм
. Высота стенки выработки от почвы:
h3 = h2 + hб (1.5)
h3=
1800 + 200 = 2000 мм
. Высота подвески контактного провода от уровня головки рельсов:
hкп =
2000 мм.
. Высота коробового свода:
hо =
В/4, hо (1.6)
hо =
2250/4 = 562,5 мм
. Проектная высота выработки в проходке при наличии крепи:
Но= h3 + hо + б, (1.7)
Но = 2000 + 562,5 + 50 = 2612, 5 мм
где б - ширина набрызгбетона, б=50 мм.
Проектная высота выработки без крепи:
Н = h3 + hо (1.8)
Н = 2000 + 562,5 = 2562,5 мм.
. Радиус осевой дуги коробового свода:
R =
0,905 . В (1.9)
R =
0,905 . 2250 = 2036,25 мм.
. Радиус боковой дуги коробового свода:
r =
0,173 . В (1.10)
r =
0,173 . 2250 = 389,25 мм.
. Площадь поперечного сечения выработки в свету:
Sсв=В
. (h2 + 0,175 . В) (1.11)
Sсв=5050
. (1800+0,175.5050)=15,17 м2.
. Проектная площадь поперечного сечения выработки при отсутствии крепи
(площадь в черне):
Sч = Sсв + В . hб (1.12)
Sч =
15,17 + 5050 . 200 = 16,5 м2.
. Проектный периметр выработки в свету:
Рч=2.h2+2,219.В1, (1.15)
Рч = 2 . 1800 + 2,219 . 4750 = 14140 мм ~ 14,1 м.
. Периметр выработки в проходке:
Р = 2.h2 + 2,219.В, (1.16)
Р = 2 . 1800 + 2,219 . 5050 = 14805мм ~ 14,8 м.
.3 Расчет физико-механических свойств пород
Рассчитываем пределы прочности образцов горных пород на сжатие и
растяжение:
σсм = 107 . f, σр = 0,1 . σсм, (1.17)
где f-коэффициент крепости, f=17.
σсм=107.15=150.106=150 МПа;
σр=0,1.150.106=15 МПа.
Рассчитываем пределы прочности массива на сжатие и растяжение:
Rсж = σсм. Кс . ζ; Rр = σр . Кс . ζ, (1.18)
Rсж=150.106.0,2.0,85=28,9
МПа; Rр=15.106.0,2.0,85=2,89 МПа.
где ζ - коэффициент длительной прочности, ζ
= 0,85;
Кс- коэффициент структурного ослабления - В1/в,
В1-линейный размер рассматриваемого массива, В1 = 2350 мм;
в -размер структурного блока, в = 100 мм;
/100 = 23,5 > 14, значит Кс = 0,2.
Рассчитываем коэффициент и угол внутреннего трения:
(1.19)
φ = аrctg αт = arctg 0,82 = 390
1.4 Оценка напряженного состояния пород, расчет параметров устойчивости и
выбор крепи
Оцениваем напряженное состояние пород на контуре выработки, имеющей
прямоугольно-сводчатую форму:
для боков σmax = К1 . γ . н, (1.20)
для кровли σmin = К2 . λ1 . γ . н,
где К1 и К2 - коэффициенты концентрации сжимающих и растягивающих
напряжений для выработки с коэффициентом крепости f=17;
λ1 - коэффициент бокового распора, λ1
= μ . (1- μ);
μ - коэффициент Пуассона, μ
= 0,25, λ1
= 0,25. (1-0,25)=0,19;
γ - плотность, γ
= 2,65 т/м3;
Н- глубина заложения выработки. Н=390 м;
σmax = 2 . 2,65 . 103. 390. 10 = 20,67 МПа;
σmin = 0,4 . 0,19 . 2,65 . 103 . 390 . 10 = 0,78 МПа.
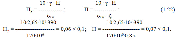
Рассчитываем запасы прочности породного массива в кровле и в боках
выработки:
(1.21)
Рассчитываем
параметры устойчивости для выбора типа крепи:
Для
выработки, пройденной по простиранию пород, при Пу < 0,1 долж-на применяться
набрызгбетонная крепь толщиной 3 см.
1.5 Расчет горного давления
. Интенсивность давления со стороны кровли:
=вп1+γ, q21= 0,08 . 2,65 . 103 = 2,12 .102 . 10 = 2,12 . 103 = 212
МПа
. Нагрузка на верхнюю раму:
θ1 = 2.а. q21.L; (1.25)
θ1 = 2 . 1,2 . 2,12 . 103. 1,35 =
6868,84 = 6,9 н.
где L - расстояние между рамами, L = 1,35 м.
. Интенсивность бокового давления на высоту вертикальной стенки:
с1 = в11. γ. λ2, (1.26)
λ2 = tg2 . (45 - γ/2) = tg2 . (45 - 39,3/2) = 0,225;с1 = 0,64 .
2,65 . 103 . 0,225 = 381,6 кгс/м2 . 10 = 3,8 МПа.
где λ2 - коэффициент бокового распора,
. Интенсивность бокового давления у почвы:п1=(в11 + h1)
. γ . λ2 (0,64 + 1,6).2,65 . 103 . 0,225.10=13356 Па =13,4МПа.
. Боковое давление:
Д11 = 0,5 . (qс1 + qп1) . h1
(1.27)
Д11 = 0,5 (3,8 + 13.4). 103 . 1.6= 13760 н/м.
.6 Выбор способа проходки и комплексной механизации работ
Способ проходки определяется исходя из конкретных горно-геологических
свойств горных пород, их обводненности и устойчивости кровли и боков, с учетом
необходимой скорости проходки и уровня механизации и безопасности работ. В
крепких породах (f ≥4) применяют буровзрывной
способ проходки.
При угле наклона 30 выбираем погрузочную ковшовую машину с боковой
разгрузкой ковша на рельсовые механизмы - локомотивную откатку в вагонетках.
Вид транспорта вспомогательных грузов в забой: напочвенный рельсовый или
монорельсовые подвесные дороги.
. Выбор бурильной машины и определение ее производительности.
При выборе бурильной установки было произведено сравнение применяемых на
Жезказганских месторождениях установок. Результаты сравнения представлены в
Приложении 1. Как видно из таблицы наибольшей производительностью при
наименьших затратах времени на подготовительные операции обладает бурильная установка
Шведской фирмы «Атлас Копко» Rocket Boomer 281,
техническая характеристика которой представлена на демонстрационных чертежах
формата А1.
Далее произведем расчет эксплуатационной производительности бурильной
установки Rocket Boomer 281:
Тсм - (tпз + tпз1 + tот + tвз)
Qэ =
--------------------------------- , (1.28)
1/kо . п
+ tман + tох + tк
где Тсм - продолжительность смены, Тсм=360 мин.;
tпз -
время общих подготовительно-заключительных операций, применяется равным 2,5%, tпз=0,025 . 360 = 9 мин.;
tпз1-
время подготовительно-заключительных операций при бурении шпуров, применяется
равным 9,5% от продолжительности смены,
tпз1 =
0,095 . 360 = 34,2 мин.
tот -
время на отдых проходчиков, применяется равным 10% от продолжительности смены, tот = 0,1 . 360 = 36 мин.;
tвз -
время на технологический перерыв на взрывные работы, применяется равным 12%, tвз = 0,12 . 360 = 43,2 мин.;
kо -
коэффициент одновременности работ буровых машин;
п - число буровых машин на установке, п=2; при п=2 kо=0,78;
tман-
время затрачиваемое на манипулирование по установке и переустановке буровых
машин, tман=0,25 мин. на 1 м шпура;
tох -
время обратного хода бурильной головки на 1 м шпура,
tох=1/υох=1/20=0,05 мин. на 1 м шпура, υох- скорость обратного хода, υох=20 м/мин.;
tк -
время на замену коронок, tк=0,1
мин. на 1 м шпура;
υ - чистая скорость бурения (м/мин), υ
= 13400.А.n/d2 . σсм;
А- энергия удара поршня, А=49 Дж;
n-
частота ударов поршня, n=43,3
Гу;
d-
диаметр шпура, d = 40 мм;
σсм - предел прочности породы на
сжатие, σсм=170.10 МПа;
1300 . 49 . 43,3 28430780
υ = --------------------- =
--------------- = 220,7 м/мин
(1.29)
402 . 17000,59 128800
360 - (9 + 34,2 + 36 + 43,2) 237,6
Qэ =
---------------------------------------------- = --------- = 589,6 м/смену.
1/0,78 . 2 . 220,7 + 0,25 + 10,05 + 0,1 0,403
. Выбор типа ВВ и средств взрывания.
В качестве основного ВВ выбираем патронированный скальный аммонал №1
(ГОСТ9073-64) который по техническим данным наиболее соответствует условиям
проекта .
Характеристика гранулированного ВВ гранулита АС-8В
|
Параметры
|
Ед.измерения
|
Значения
|
|
1. Удельный объем газов
|
л/кг
|
830
|
|
2. Плотность в патронах
|
г/см3
|
0,95-1,1
|
|
3. Работоспособность
|
см3
|
450
|
|
4. Бризантность
|
мм
|
18
|
|
5. Скорость детонации
|
км/с
|
6,25
|
В рекомендации удельный расход эталонного ВВ (аммонита №6ЖВ) - в породе с
f=15 д=3,5 кг/м3. Окончательно
принимаем д=3,5 кг/м3.
В качестве средств инициирования принимаем электродетонаторы
короткозамедленного действия ЭДКЗ с интервалами замедления от 0 до 100 мс.
. Расчет паспорта БВР.
. Среднюю глубину шпура принимаем равной 2,75 м, при которой
обеспечивается наиболее оптимальное распределение рабочих процессов во времени
позволяющих достичь упрощения графика организации работ.
. Определяем число шпуров:
(1.31)
По
расположению шпуров в забое окончательно принимаем 50 шпуров.
.
Выбираем прямой вруб с шестью шпурами, который позволяет исключить
необходимость перебура.
Расстояние
между заряженными шпурами
в=
5.d=5.40=200 мм.
Вспомогательные
шпуры для расширения вруба располагаем на расстоянии л.н.с., равным - 450 мм.
Расстояние
между холостыми шпурами h = 2 . d = 2 . 40 = 80 мм.
Определим
л.н.с. между оконтуривающими и отбойными шпурами.
(1.33)
где
m -коэффициент сближения зарядов, m =
1;
р
- вместимость 1 м шпура;
р
= π
. d2 . ∆ / 4 = 3,14 . 0,016 . 1000 = 1,26 кг/м.
Тогда
расстояние между оконтуривающими и отбойными шпурами
ао
= m . W = 1. 0,6 = 0,6 м.
Такое
же среднее расстояние принимаем и между шпурами, расположенными по контуру
выработки. Учитывая разную степень трудности работы зарядов в кровле и почве
выработки шпуры располагаем на расстояние:
в
кровле (1
÷ 1,2) . W = 1,2 . 0,6 = 0,72 м.
в
почве (0,8
÷ 0,9) . W = 0,9 . 0,6 = 0,54 м.
Такое
же среднее расстояние между оконтуривающими и отбойными шпурами ао = m . W = 1
. 0,6 = 0,6 м.
Такое
же среднее расстояние принимаем и между шпурами, расположенными по контуру
выработки. Учитывая разную степень трудности работы зарядов в кровле и почве
выработки, шпуры располагаем на расстояние
Учитывая
наибольшее число и трудную работу зарядов врубовых шпуров, принимаем
увеличенную длину врубовых шпуров на 0,25 м. Таким образом, будет обеспечен
более высокий к.и.ш.
ℓвр
= ℓш + 0,2 = 2,75+ 0,25 = 3 м (1.34)
.
Подвигание забоя за взрыв составит:
ℓз
= ℓш . η
= 2,75 . 0,9 = 2,5м (1.35)
.
Суммарная длина всех шпуров:
Lш = 6 . 3 + 12
. 2,75 + 12 . 2,75 + 13 . 2,75 + 7. 2,75 = 139 м (1.36)
.Фактический
расход ВВ (с учетом заряда на рыхление под канаву - 0,8 кг) составит: Qф =
6 . 1,6 + 12 . 1,4 + 12 . 1.4 + 13 . 1,4 + 7. 1,4 =80,6 кг
.
Технико-экономические показатели буро-взрывных работ.
1. Расход ВВ на 1 м и 1 м3 выработки:
q1 = Qф/ℓу = 80,6/ 2,5= 32,2 кг/м;
(1.39)
q2 = Q1/Sч = 80,6/16,5 = 4,8 кг/м3.
2. Число шпурометров на 1 м выработки:
ℓ = Lш/ℓу =
139/2,5 = 55,6 м/м (1.40)
3. Выход породы за взрыв (в массиве):
V = Sч . ℓу = 16,5 . 2,5 = 41,25 м3
(1.41)
. Расход буровой стали при f=17
составляет 330 кг на 1000 м шпуров, а расход коронок при диаметре 40 мм - 66
шт. на 1000 м шпуров.
Определим расходы на 1 м выработки:
С = 330 . Lш/ ℓу .
1000 = 330 . 139/2,5 . 1000 = 18,34 кг/м;
п = 66 . Lш/ ℓу .
1000 = 66 . 139/2,5 . 1000 = 3,6 шт/м.
Составим таблицу применительно к расположению шпуров и сводные +
технико-экономические показатели, которые и представляют вместе с рисунком
паспорт БВР.
Таблица 1.1 - Показатели по БВР
|
Номер шпуров, взрываемых за
один прием
|
Длина каждого шпура, м
|
Угол наклона шпуров (град.)
в проекциях
|
Масса заряда каждого шпура,
кг
|
|
|
II
|
III
|
|
|
1 - 6
|
3
|
90
|
90
|
1,6
|
|
7,30,8-16,29
|
2,75
|
85(90)
|
90
|
1,4
|
|
31,17-26,28
|
2,75
|
85(90)
|
90
|
1,4
|
|
34,35,38-44-47,48,32,27
|
2,75
|
90(85)
|
85(90)
|
1,6;1,4
|
|
36,37,45,46,33,49,50
|
2,75
|
85
|
85
|
1,6
|
Таблица 1.2 - Технико-экономические показатели
|
Наименование показателей
|
Ед.изм.
|
Кол-во
|
|
1. Категория шахты опасных
по газу и пыли
|
|
|
|
2. Коэффициент крепости
пород
|
|
15
|
|
3. Площадь поперечного
сечения выработки в черне
|
м2
|
16,5
|
|
4. Тип крепи
|
Монолитный бетон
|
|
5. Угол наклона выработки
|
град.
|
3
|
|
6. Бурильная установка
|
Rocket Boomer
281
|
|
7. Диаметр шпура
|
мм
|
42
|
|
8. Тип ВВ
|
Скальный аммонит
|
|
9. Удельный расход ВВ
|
кг/м3
|
3,5
|
|
10. Глубина шпуров
|
м
|
2,75
|
|
11.Величина заходки
|
м
|
2,5
|
|
12. Количество шпуров
|
шт.
|
50
|
|
13. Величина заряда на 1
шпур
|
кг.
|
1,4;1,6
|
|
14. Выход шпурометров на
цикл
|
м
|
139
|
|
15. Расход шпурометров на
1м
|
м
|
55,6
|
.7 Проветривание горной выработки
Проветривание тупиковых выработок допускается производить за счет
общешахтной депрессии вентиляторами в сочетании с вентиляционными трубами, а
также сжатым воздухом при помощи вентиляторов.
Наибольшее распространение при проходке выработки получил способ местного
проветривания при помощи вентиляторов в сочетании с вентиляционными трубами и
скважинами следующие способы: нагнетательный, всасывающий и комбинированный.
Нагнетательный способ обеспечивает быстрое разжижение продуктов взрыва и
вынос газа и пыли из тупиковой части выработки за счет нагнетания сжатого
воздуха по трубам. Наибольший эффект достигается в том случае, если конец
вентиляционной трубы находится на 8-10м от забоя.
Недостатком этого способа является то, что выработка в течении всего
периода загрязнена пылью и газами.
. Определяем количество воздуха, которое необходимо подать в забой, по
формуле В.Н.Воронина:
2,25 . S 3 k . А . в . L2
Qз =
------------ √ ------------------ , (1.42)
60 . t S . р2
где S - площадь поперечного сечения
выработки в свету, S = 16,5 м2;
t -
время проветривания, t = 30
мин.;
k -
коэффициент, учитывающий обводненность выработки,
k =
0,8 (для сухих выработок);
А - количество одновременно взрываемого ВВ, А = Qф = 80,6 кг;
в - газовость ВВ, принимаем в = 40 л/кг;
L -
длина выработки, l = 350 м;
р - коэффициент утечки воздуха, для прорезиненных труб коэффициент утечки
воздуха равен 1,1.
. Делаем проверку на минимально допустимую скорость движения воздуха по
выработке
υ = Qз/S = 5,9/16,5 = 0,4
м/с >0,3 м/с.
. Определяем потребную подачу воздуха вентилятора:
Qв = р
. Qз = 1,1 . 5,9 = 6,49 м3/с = 3389,4
м3/мин (1.43)
. Аэродинамическое сопротивление трубопровода:
R =
6,5 . а . L / dт5 , (1.44)
а - коэффициент аэродинамического сопротивления трубопровода,
а=0,00025;
dт -
диаметр трубопровода, dт =
800 мм.
R =
6,5 . 0,00025 . 350/0,85 = 2,19/0,33 = 6,6 кг.с.
Рассчитаем депрессию трубопровода (давление вентилятора Нв), которую
должен преодолеть вентилятор Нв состоит статистического давления Нс, местных
потерь напора Нм и динамического давления Нд.
Нв = Нc + Нм +Нд, (1.45)
Нс = р . R . Qз2,
Нс = 1,1 . 6,6 . 5,92 = 252,7 кгс/м2 = 2527 Па,
Нм = 0,2 . Нс = 505,4 Па,
Нд = υт2 . γ /2,
Выбираем вентилятор по значениям Qв = 389,4 м2/мин., Нв= 3114,4 Па, следовательно
выбираем вентилятор ВМ-6.
Техническая характеристика ВМ-6
|
Показатели
|
Ед.измер.
|
значения
|
|
1. Диаметр рабочего колеса
|
мм
|
600
|
|
2. Частота вращения
|
об/мин.
|
2950
|
|
3. Подача: минимальная
максимальная
|
м3/мин. м3/мин.
|
160 470
|
|
4.Давление: максимальное
минимальное
|
Па Па
|
2750 1200
|
|
5. Мощность
электродвигателя
|
кват
|
24
|
|
6. Габариты: длина ширина
высота
|
мм мм мм
|
1048 720 746
|
|
7. Масса агрегата
|
кг
|
960
|
|
8. Оптовая цена
|
тг.
|
597
|
|
9. Норма амортизации
|
%
|
25
|
.8 Погрузка породы и маневрово-транспортные операции
Сменная эксплуатационная производительность погрузочной машины
определяется:
Т - tпз - tл
Qэ =
-------------------------------------------------------------- , (1.46)
kотд. Кр. (kкр /Qт + tв + 2L / 60.Vв. Кз . υ
. пв)
где Т - продолжительность смены, Т = 360 мин.;
tпз- время на подготовительно-заключительные операции, для наклонных
выработок tпз = 40÷50
мин.;
tл -
личное время рабочего, tл =
10 мин.;
kотд-
коэффициент отдыха, kотд = 1,05 при
уборке двумя рабочими;
Кр-коэффициент разрыхления, Кр=1,6;
kпр-коэффициент,
учитывающий крупность кусков породы и ее свойства,
kпр =
1,3;
Qт-техническая
производительность машины, Qт =
1,25 м3/мин.
L - расстояние до обменного пункта вагонеток, L = 50 м;
Vв-объем
вагонетки, Vв = 4,5 м3;
Кз-коэффициент заполнения вагонетки, Кз = 0,9;
υ -средняя скорость откатки вагонеток, υ=0,6
м/с при одиночном
обмене;
пв -число вагонеток в составе, входящих под перегружателем, при одиночном
обмене, пв = 1;
tв-удельные затраты
времени на вспомогательные операции, не связанные с обменом вагонеток, для
ковшовых машин tв=1,5
мин./м3.
Число вагонеток определяем, разделив выход породы за взрыв на вместимость
вагона с учетом коэффициента заполнения вагона:
Nв = Vкр / Кз . Vв = 6,48 . 1,6/4,5 . 0,9 = 2,56 = 3 вагона (1.47)
.9 Возведение крепи
Применяем монолитную крепь без армирования. Монолитный бетон представляет
собой смесь цемента, инертных наполнителей (песчано-гравийная смесь) и воды,
которую возводят с помощью передвижной опалубки. В качестве добавок применяют
хлористый кальций, хлористый натрий.
Монолитный бетонный слой обладает высокой прочностью и хорошим сцеплением
с породами.
Прочность затвердевшего бетона составляет 25-40 Па.
Для крепления принимаем бетон М-500. При наличии запаса прочности (пп =
3,7 > 1) рассчитываем толщину монолитног бетона:
σп = 0,35 . √qн . пп / mб . [σр] . пп (1.48)
где qн- интенсивность нормального
давления со стороны кровли, qн=11,93.103 Па;
пп- коэффициент перегрузки, пп = 1,2;
mб- коэффициент условий работы для неармированного монолитный бетона, mб = 0,85;
[σр] - расчетное сопротивление монолитный бетона
растяжению, для М-500, [σр] = 1,35 Па;
пп- запас прочности, пп = 3,7;
σп = 0,35 . √11,93.103 . 1,2/
0,85 . 1,35 . 106. 3,7 = 0,35. √0,0034 = 0,15 м.
Расчет показывает, что толщина монолитного бетона должна быть 15 см.
.10 Вспомогательные работы
. Устройство водоотводной канавки.
Воду, поступающую в выработку отводят самотеком по водоотливной канавке,
которую устраивают в почве выработки по бокам, в водосборнике околоствольного
двора. Выемку породы для водоотливной канавки производят одновременно с
производством буровзрывных работ в забое, для чего в почве выработки взрывают
заряды в одном, иногда в двух дополнительных шпурах, пробуренных на месте
расположения будущей канавки. Канавки обычно имеют трапецевидное сечение и
уклон 0,003 в направлении водосборника. В неразмываемых крепких породах с f=15. Канавку обычно не крепят, если приток воды до 100 м3/ч.
Сверху канавку на уровне балластного слоя покрывают деревянными щитами или
железобетонными плитками.
Размеры канавки:
ширина по верху - 350 мм
ширина по низу - 250 мм
глубина - 200 мм.
Площадь поперечного сечения в свету 0,06 м2.
. Настилка постоянного рельсового пути намечают периодически по мере
перемещения забоя на длину рельсов (6-8 м). Рельсовый путь состоит из
основания, которым является почва выработки, и верхнего строения - балластного
слоя, шпал, рельсов и скреплений. Настилку пути в выработках при откатке в
вагонетках вместимостью до 2 м3 производят из рельсов Р-24. Высота верхнего
строения рельсового пути составляет 390 мм. Толщина балластного слоя 200 мм.
Балластный слой состоит из щебня крупностью 20-40 или гравия крупностью 3-20
мм.
.11 Организация работ при проведении выработки
Работы организуют по графикам цикличности, предусматривающие выполнение
проходческих процессов в определенной последовательности на заданную величину
подвигания забоя, расстановку людей и время выполнения этих процессов.
. Определим объемы работ на цикл.
Бурение шпуров в забое: Vб =
139 м.
Погрузка породы: Vп = S . ℓ
. η = 16,5 . 2,5 . 0,9 = 41,25 м3.
Возведение крепи: Vкр= р
. ℓу . η = 14,8 . 1,2 . 0,02 = 0,35 м2.
Настилка пути: Vн = а
. ℓ . η = 1 . 12,5 . 0,85 = 10,6 м.
Устройство канавки: Vк = ℓ
. η = 2,5 м.
Наращивание труб: Vтр = ℓ
. η = 2,5 м.
. Определим трудоемкость работ Ni = Vi / Нi по каждому технологическому процессу, где Нi - принятая норма выработки.
Таблица 1.3 - Показатели по организации работ при проходке
|
Наименование процессов
|
Объем работ
|
Принятые нормы выработки
|
Трудоемкость
|
|
1. Бурение шпуров
|
139м
|
81,6
|
1,7
|
|
2. Погрузка породы ТОРО 501
|
41,25м3
|
15.6
|
2,6
|
|
3. Крепление монолитный
бетоном
|
0,35 м2
|
0,5
|
0,7
|
|
4. Настилка пути
|
12,5 м
|
7,5
|
1,66
|
|
5. Устройство канавки
|
2,5 м
|
13,6
|
0,18
|
|
6. Наращивание труб
|
2,5 м
|
60
|
0,041
|
|
7. Неучтенные (прочие)
работы
|
|
|
0,1
|
Суммарная трудоемкость цикла, Nц = 6,9. Согласно трудоемкости цикла принимаем явочный состав звена пя =
7 человека, тогда коэффициент выполнения нормы:
Кн = Nц / пя = 6,9 /7 = 0,99 < 1,15
(1.49)
. Продолжительность выполнения отдельных операций проходческого цикла:
ti = Ni . Т . α / п . Кн , (1.50)
где Т - продолжительность цикла. Т = 6 час;
п - число рабочих или машин, занятых в определенном цикле;
α-коэффициент, учитывающий затраты
времени на проветривание забоя,
α = Т - Тв / Т
Тв- время выполнения вспомогательных работ, Тв = tзар+ tпров+
tпр;
tпров-
время проветривания забоя после взрыва, tпров=20 мин.;
tпр-
время приведения забоя в безопасное состояние, tпр=10 мин.;
tзар-
время заряжания шпуров, tзар= tш . N / пз, где
tш -
время заряжания одного шпура, tш=4
мин.;
N -
число шпуров в забое, N = 24
шт.;
пз - число рабочих, заряжающих шпуры, пз = 2;
tзар = 4. 24/2=48 мин.
Тв = 48 + 20 + 10 = 78 мин.;
α = 360 - 78 / 360 = 0,78.
Время бурения шпуров: tб = 0,448 . 360 . 0,78 = 70 мин.
Время погрузки породы: tп = 0,42 . 360 . 0,78 / 2 . 0,9 = 65 мин.
Время крепления монолитный бетоном: tкр = 0,4 . 360 . 0,78/2 . 0,9 = 62 мин.
Время настилки пути: tн =
0,16 . 360 . 0,78 / 2 . 0,9 = 25 мин.
Время устройства канавки: tк =
0,1 . 360 . 0,78 / 2 . 0,9 = 16 мин.
Время наращивания труб: tтр =
0,025 . 360 . 0,78 / 2 . 0,9 = 4 мин.
Время откатки породы электровозом: tотк = 0,09 . 360 . 0,78 / 2 . 0,9 = 15 мин.
Время прочих работ: tпроч.=
0,16 . 360 . 0,78 / 2 . 0,9 = 25 мин.
Результаты расчета продолжительности каждого вида работ сводим в таблицу.
Таблица 1.4 - Показатели продолжительности по видам работ
|
Виды работ (процессы)
|
Трудоемкость, чел-смен
|
Число рабочих на дан.работу
|
Продолжительность работ
|
|
|
|
час.
|
мин
|
|
1. Бурение, заряжание
шпуров
|
1,7
|
2
|
4
|
45
|
|
2. Погрузка породы
|
2,6
|
3
|
2
|
20
|
|
3. Крепление монолитный
бетоном
|
0,7
|
2
|
1
|
20
|
|
4. Настилка пути
|
1,66
|
2
|
0
|
25
|
|
5. Устойчивость канавки
|
0,18
|
2
|
0
|
16
|
|
6. Наращивание труб
|
0,041
|
2
|
0
|
4
|
|
7. Прочие работы
|
0,1
|
2
|
0
|
25
|
. На основании полученных данных составляем график организации работ. При
составлении графика необходимо, чтобы основные операции в течение смены выполнялись
последовательно, а вспомогательные операции - параллельно с ними.
. Определение комплексной сменной нормы выработки на одного проходчика:
Н = ℓз / ∑ Nц ,
(1.51)
где ℓз - подвигание забоя за взрыв, ℓз = 2,5 м;
Н = 2,5 / 1,803 = 0,665.
Фактическая сменная производительность проходчика на выход:
П = Н . Кн = 1,2 / 2 = 0,6
. Скорость проведения и время сооружения выработки:
υ = 25 . ℓз . псм . пц , (1.52)
где 25 - число рабочих дней;
псм - количество смен, псм = 4;
пц - количество циклов, пц = 0,5;
υ = 25 . 2,5 . 4 . 0,5 = 125 м/мес;
t = L
/ υ ,
L =
длина выработки, L = 350 м;
t =
350 / 125 = 2,8 мес.
1.12 Стоимость проведения выработки
Стоимость проведения выработок складывается из прямых нормируемых затрат,
общешахтных расходов и накладных расходов. Общешахтные расходы складываются из
затрат на содержание всех вспомогательных цехов шахт.
Накладные расходы затрат на социальное страхование, отпускные, охрану
труда, технику безопасности, обучение рабочих, медицинское обслуживание,
коммуникальные расходы, содержание персонала
Расчет стоимости 1 м выработки по зарплате
Прямые нормируемые затраты складываются: из зарплаты рабочих, стоимости
расходуемых материалов, затрат на электроэнергию, амортизации оборудования и
производится расчет на 1 п.м. выработки.
Таблица 1.5 - Показатели нормируемых затрат
|
Наименование операций
|
Разряд
|
Тарифн. заработ. плата,
|
Трудоемкость на цикл,
чел-смен
|
Сумма зарплаты, тенге
|
|
1.Бурение шпуров
|
V
|
10,08
|
0,448
|
4,52
|
|
2.Погрузка породы
|
V
|
10,08
|
0,42
|
4,23
|
|
3.Крепление монолитный бетоном
|
IV
|
8,82
|
0,4
|
3,53
|
|
4. Настилка пути
|
IV
|
8,82
|
0,16
|
1.41
|
|
5.Устойчивость канавки
|
IV
|
8,82
|
0,09
|
0,8
|
|
6.Наращивание труб
|
IV
|
8,82
|
0,02
|
0,2
|
|
7.Откатка породы
|
IV
|
8,82
|
0,09
|
0,8
|
|
8. Прочие работы
|
IV
|
8,82
|
0,16
|
1,41
|
|
И т о г о ∑ Сзп 18,7
|
Неучтенная зарплата принимается в размере 5% от всей рассчитанной
заработной платы. Дополнительная зарплата включает оплату отпускников, выплату
вознаграждений за выслугу лет и др. и составляет 10-12% от основной. Начисление
на зарплату принимается от суммы основного и дополнительного фондов зарплаты
для цветной металлургии в размере 8,3%.
Неучтенная зарплата: ∑ Сзп . 5% = 18,7 . 0,05 = 0,94 тенге.
Районный коэффициент: 1,4.
Премия: ∑ Сзп . 50% = 18,7 . 0,5 = 9,35 тг.
Дополнительная зарплата: ∑ Сзп . 10% = 18,7 . 0,1 = 1,87 тг.
Начисление на зарплату: ∑ Сзп . 8,3% = 18,7 . 0,083 = 1,6 тг.
∑ З = 0,94 + 1,41 + 9,35 + 1,87 + 1.6 + 18,7 = 33,84 тг.
Стоимость 1 п.м. выработки по элементам заработной платы составит:
Сзп 1 м = ∑ З / ℓц = 33,84 / 1,2 = 28,2 тг (1.53)
ℓц - подвигание забоя за цикл, ℓц = 1,2 м.
Расчет стоимости 1 м выработки по материалам
Затраты по материалам слагаются из расходов на крепежные материалы, ВВ,
СВ, рельсы, шпалы, балласт, буровой стали, коронок, вентиляционный рукав и
прочие материалы, расходуемые при проходке выработки. Расчет стоимости
материалов сводим в таблицу.
Таблица 1.6 - Показатели затрат по видам работ
|
Наименование материалов
|
Един. изм.
|
Расход на 1 п.м.
|
Стоимость един.матер.,
тенге
|
Суммарн. стоимость, тенге
|
|
1. Монолитный бетон
|
м3
|
0,2
|
84
|
16,8
|
|
2. ВВ
|
кг
|
23,5
|
18,7
|
439,45
|
|
3. Рельсы
|
м
|
1
|
234
|
234
|
|
4. Шпалы
|
м3
|
0,25
|
305
|
76,25
|
|
5. Буровая сталь
|
Кг/м
|
10,4
|
3,30
|
34,32
|
|
6. Коронки
|
шт.
|
2
|
2,90
|
5,8
|
|
7. Трубы
|
м
|
1,2
|
37,20
|
44,68
|
|
И т о г о ∑ См 851,3
|
Неучтенные материалы составляют 10%:
∑ См . 10% = 851,3 . 0,1 = 85,13 тг.
Стоимость транспортных расходов 4,5%:
∑ См . 4,5% = 851,3 . 0,045 = 38,3 тг.
Стоимость складких расходов 1,9%:
∑ См . 1,9% = 851,3 . 0,019 = 16,17 тг.
Всего : 851,3 + 85,13 + 38,3 + 16,17 = 990,9 тг.
Расчет стоимости 1 м выработки по электроэнергии
Определяется в виде таблицы.
Таблица 1.7 - Стоимость 1 м выработки по электроэнергии
|
Наименование потребителей
|
Кол. потреб.
|
Мощн. одного потреб. квт/ч
|
Число часов работы в смену
|
Стоим. един. энергии тг.
|
Стоим. электроэнергии, тг
|
|
Бурильная установка
|
1
|
600
|
1200
|
2,12
|
0,007
|
17,8
|
|
Погрузочная машина
|
1
|
75
|
75
|
1,2
|
0,011
|
0,99
|
|
Вентилятор ВМ-6
|
1
|
24
|
24
|
6
|
0,011
|
1,58
|
|
Электровоз К-14
|
1
|
45
|
45
|
0,5
|
0,011
|
0,25
|
|
И т о г о ∑ Сэл.эн.
|
20,62
|
Неучтенные затраты 10%: ∑ Сэл.эн . 10% = 20,62 . 0,1 = 2,06 тг.
Потери электроэнергии 15-20%: ∑ Сэл.эн.20%= 20,62 . 0,2 = 4,12 тг.
Всего: ∑ Сэл.эн = 20,62 + 2,06 + 4,12 = 26,8 тг.
Стоимость 1 м выработки по электроэнергии состоит:
Сэл.эн 1 м = ∑ Сэл.эн / ℓц = 26,8 / 1,2 = 22,33 тг.
Амортизационные отчисления
Амортизационные отчисления рассчитываются только по забойным механизмам и
машинам, эксплуатация, которых зависит от работы участка.
Расчет производится в виде таблицы.
Таблица 1.8 - Амортизационные отчисления
|
Наименование потребителей
|
Кол-во
|
Стоим. един. оборуд., тг.
|
Суммарная стоим., тг.
|
Годовая норма амортиз. %
|
Сумма амортизации, тг.
|
|
Бурильная установка
|
1
|
7750
|
15000
|
40,1
|
6200
|
|
Погрузочная машина
|
1
|
3500
|
3500
|
40,1
|
1400
|
|
Вентилятор ВМ-6
|
1
|
597
|
597
|
25
|
149,25
|
|
Электровоз К-14
|
1
|
13360
|
13360
|
18,6
|
2484,96
|
|
Вагон ВГ-4,5А
|
3
|
1300
|
3900
|
32,1
|
1251,9
|
|
И т о г о ∑ Самор
|
11486,1
|
Неучтенное оборудование 35%: Самор. 35%=11486,1 . 0,36 = 4020,1 тг.
Запасные части 2.5%: Самор. 2,5% = 11486,1 . 0,025 = 287,2 тг.
Итого: 11486,1 + 4020,1 + 287,2 = 15793,41 тг.
Текущий ремонт 10-15%: 15793,41 . 0,1 = 1579,3 тг.
Содержание оборудования 10%: 15793,41 . 0,1 = 1579,3 тг.
Всего: ∑ Самор= 15793,41+1579,3+1579,3 = 18952,01 тг.
Стоимость 1 м выработки по амортизации оборудования составит:
Самор 1 м = ∑ Самор / ℓц . псм. Nр= 18952,01/1,2 .3 . 300 = 17,5 тг (1.54)
Таблица 1.9 - Полная стоимость горной выработки
|
Элементы затрат
|
Стоимость 1 п.м.,тг.
|
|
1. Заработная плата
|
28,2
|
|
2. Материалы
|
990,9
|
|
3. Энергия
|
22,33
|
|
4. Амортизация оборудования
|
17,5
|
|
Итого
|
1058,93
|
Общешахтные расходы 45%: 1058,93 . 0,045 = 476,5 тг.
Итого прямых затрат: 1058,93 + 476,5 = 1535,43 тг.
Накладные расходы 26%.
Итого с накладными расходами: 1535,43 + 399,2 = 1934,63 тг.
Плановые накопления 3÷10%: 1934,63 . 0,03 = 154,8 тг.
Полная сметная стоимость 1м. выработки:
С1м=1934,63+154,8=2089,43 тг (1.55)
Общая стоимость выработки:
Собщ = С1м . L, (1.56)
где L - длина выработки, L = 1350 м.
Собщ = 2089,43 . 1350 = 2820730,5 тг. = 2820,7 тыс.тг.
.13 Техника безопасности при проведении выработки
Для обеспечения контроля на всех выработках составляются паспорта. По
длине выработки разбивают на пикеты, на участки длиной 20 м - в капитальных
выработках и 50 м - в подготовительных.
На шахтах принимается 3 вида контроля: текущий, маркшейдерский,
горно-технического надзора и технической инспекции профсоюза.
. Текущий контроль осуществляется лицами, в ведении которых находятся
выработки. При этом проверяют размеры поперечного сечения, соответствия зазоров
между крепью и подвижным составом, требования правил безопасности, состояния
крепи, рельсового пути, водоотводной канавки. Результаты текущего контроля
заносят в специальный журнал, который является составной частью паспорта
выработки.
. Маркшейдерский контроль проводят в сроки, установленные для данного
региона, но не менее раз в году.
. Контроль гостехнадзора и технической инспекции профсоюза направлен на
проверку соблюдения правил безопасности и соблюдению условий труда рабочих.
Инженерно-технические работники обязаны немедленно принимать меры, по
возведению крепи и ее восстановлению, удаления отслаивающихся с боков и кровли
кусков породы.
2. Экономическая часть
Современный этап развития народного хозяйства требует от каждого
специалиста глубоких экономических знаний, овладение которыми должно
способствовать формированию современного экономического мышления,
предприимчивости, умению организовать работу эффективно и качественно,
использовать достижения НТП для повешения производительности труда, снижения
себестоимости.
Строительство горных предприятий требует крупных капиталовложений,
которые заметно возрастают. Последние 10 лет они достигли на многих
предприятиях 500млн.тг., а в отдельных случаях 1млрд.тг. Поэтому современная
горная промышленность стала относиться не только к трудоемким, но и
капиталоемким отраслям промышленности. ВЖР, как и все рудники корпорации
«Казахмыс», является поставщиком сырья для цветной металлургии и имеет большое
значение как отрасль добывающей промышленности для народного хозяйства.
.1 Режим работы рудника и рабочих
При непрерывном режиме работы рудника в году, в зависимости от
продолжительности недели в нашем случае 6-ти дневной рабочей недели составит:
Тр=365 - tn - t1n,
где:- число праздничных дней в году: 0;n - число праздничных дней в году
совпадающих с выходными днями;n = 0.= 365 - 0 - 0 = 365 дней.
Продолжительность рабочей смены для подземных рабочих составляет 10 часов
и для рабочих на поверхности 8 часов.
Траб.подз = (Тр - Тотп) × k,
где:
Тотп - время отпуска; Тотп = 45 дней;- коэффициент учитывающий невыход
рабочих по уважительным причинам; k = 0,96
Траб.подз = (365 - 45) × 0,96 = 297 дней.
Траб.пов=(365-33)×0,96=309 дней
.2 Численность рабочих и производительность труда
Произведем расчет численности работников промышленно-производственного
персонала (явочную и списочную). Явочная численность повременно оплачиваемых
рабочих определяется путем расстановки их по рабочим местам в соответствии с
нормами обслуживания, с учетом рабочих мест, необходимых для выполнения
запланированного объема работ и числа рабочих мест:
яв = Qсут/Нвыр,
где:сут - суточный объем данного вида работ;
Нвыр - норма выработки одного рабочего.
сут = Qгод/Тргод,
где:год - годовая добыча; Qгод = 3580000 т.сут = 3580000/250 = 10000
т/сут.
Определяем явочную численность:
Для бурения: Няв = 10000/430 = 23 чел.
Для погрузки: Няв = 10000/520 = 19 чел.
Для транспортировки: Няв = 10000/230 = 44 чел.
Для заряжения: Няв = 10000/490 = 21 чел.
Для эл.откатки: Няв = 10000/460 = 13 чел.
Сменная производительность труда рассчитывается только для рабочих
(явоч.сост.)
Рассчитываем
сменную производительность труда
Рсм = Qсут/nсм, т/чел.см.,
где:сут - объем работ за сутки; Qсут = 10000т;см - количество человеко
смен.
Рсм = 10000/120 = 83,3 т/чел.см.
nсм -
количество человеко смен, необходимое для производства суточного объема работ. nсм = (Няв.бур + Няв.погр + Няв.тр +
Няв.зар + Няв.отк)см = (23+19+44+21+13) = 120 чел.смен
Списочная
численность рабочих на шахте
Нсп = Няв × kсп,
где:сп - коэффициент типичного состава; kсп = 1,3
Нсп.бур = 23 × 1,3 = 30 чел;
Нсп.пог = 19 × 1,3 = 25 чел;
Нсп.дост = 44 × 1,3 = 57 чел;
Нсп.зар = 21 × 1,3 = 27 чел;
Нэ.от = 13 × 1,3 = 16 чел;
Итого: Нсп = (23+19+44+21+13)×1,3=156чел.
Месячная
производительность труда рабочих
Рмес = Qмес/åНсм, т/чел.см.,
где:мес - объем работ за месяцмес = Qсут × Рсм =
10000 × 30,5 = 305000т.
Рмес = 305000/156 = 1955т/чел.см.
Сводный
сметный расчет
Кобщ = (Ктор.раб + Кстроит + Кмонт + Кпроч.зат+Кобор)×Кзаг.скл, тг
Кобщ = (163017143+2445257154+163017143+163017143+296394802)*
*1,012
Кобщ = 3269471826тг.
На основе общей суммы капитальных затрат на строительство рудника по
сводному сметному расчету можно определить удельные капитальные затраты:
Куд = Кобщ/Qгод,
где:
Qгод -
годовая добыча рудника. Qгод =
3580000
Куд = 3269471826/3580000 =609 тг/год
Таблица
2.2.1.
Месячный фонд
заработной платы
|
Наименование
|
Численность
|
Раз-ряд
|
Тарифная ставка
|
Кол-во выходных дней
|
Районный коэффициент
|
Средняя зарплата
|
Всего фонд заработной платы
|
|
1.2
|
явочная
|
списочная
|
|
|
|
|
факт
|
план
|
факт
|
план
|
|
1
|
2
|
3
|
4
|
5
|
6
|
7
|
8
|
9
|
10
|
11
|
|
Бурильщиков
|
23
|
30
|
5
|
690
|
11
|
50
|
23558
|
27420
|
264882500
|
264882500
|
|
Взрывников
|
21
|
27
|
5
|
630
|
11
|
50
|
|
|
|
|
|
Проходчиков
|
28
|
32
|
6
|
400
|
11
|
50
|
|
|
|
|
|
Крепильщиков
|
8
|
9
|
5
|
473,12
|
11
|
50
|
|
|
|
|
|
Бетонщиков
|
7
|
8
|
5
|
607,5
|
11
|
50
|
|
|
|
|
|
Торкретчиков
|
14
|
16
|
5
|
607,5
|
11
|
50
|
|
|
|
|
|
Маш катерпил
|
19
|
25
|
6
|
610
|
11
|
50
|
|
|
|
|
|
Водители
|
44
|
57
|
6
|
600
|
11
|
50
|
|
|
|
|
|
Электрослес.
|
3
|
3
|
5
|
413
|
7
|
50
|
|
|
|
|
|
Маш электр.
|
13
|
16
|
5
|
450
|
11
|
50
|
|
|
|
|
|
Служащие
|
5
|
5
|
-
|
302,3
|
9
|
40
|
|
|
|
|
|
ИТР
|
114
|
114
|
-
|
1500
|
9
|
40
|
|
|
|
|
|
Специалисты
|
53
|
53
|
-
|
1100
|
9
|
40
|
|
|
|
|
Таблица 2.3.1. Капитальные затраты на строительство рудника,
амортизационные отчисления
|
|
|
|
|
|
Амортизационные отчисления
4%
|
|
Наименование выработок
|
Ед. изм.
|
Кол-во выраб.
|
Объем 1м3 выраб
|
Общий объем выработ, м3
|
Общая стоим., тысяч.тг.
|
сумма, тыс.тг
|
|
Ствол кл
|
м3
|
1
|
18600
|
18600
|
95418
|
3816,7
|
|
Ствол гр
|
м3
|
1
|
27300
|
27300
|
140049
|
5602
|
|
Ствол вент
|
м3
|
6
|
8500
|
51000
|
261630
|
10465,2
|
|
Откаточный штрек
|
м3
|
10
|
273000
|
2730000
|
9025380
|
361015,2
|
|
Вент.штрек
|
м3
|
10
|
364000
|
364000
|
12033840
|
481353,6
|
|
Рудоспуск
|
м3
|
30
|
105600
|
3168000
|
8683488
|
347339,5
|
|
ЦПП
|
м3
|
1
|
1500
|
1500
|
4850
|
186
|
|
Склады
|
м3
|
500
|
1500
|
3180
|
127,2
|
|
Электр.депо
|
м3
|
1
|
1080
|
1080
|
3240
|
129,6
|
|
Насос.камера
|
м3
|
1
|
1148
|
1148
|
3259,2
|
130,4
|
|
Камера опрокида
|
м3
|
2
|
7800
|
15600
|
44288,4
|
1771,5
|
|
Мед.пункт
|
м3
|
1
|
105
|
105
|
298,1
|
11,1
|
|
Заезды
|
м3
|
85
|
360
|
30600
|
959778
|
38391,1
|
|
Итого:
|
|
|
|
|
30394498,7
|
125033,99
|
|
Неучтенные работы 20%
|
|
|
|
|
6678899,7
|
250067,98
|
|
Всего:
|
|
|
|
|
37510197,4
|
1500407,9
|
Таблица 2.3.2. Капитальные затраты на строительство
|
Наименование зданий и
сооружений
|
Общая стоимость, тыс.тг.
|
Амортизационные отчисления
|
|
Надшахтные сооружения
|
385200
|
30816
|
|
Неучтенные работы 10%
|
55837,6
|
44670,08
|
|
Здание вне блока ствола
|
173176
|
13854,08
|
|
Всего:
|
614213,6
|
49137,09
|
Таблица 2.3.3. Капитальные затраты на приобретение и монтаж оборудования
|
Оборудование
|
Кол-во един шт.
|
Цена оборудования, тыс.тг
|
Общая стоимость, тыс.тг
|
Амортиз. отчисления %
|
Год. сумма амортиз отчисл,
тыс.тг
|
|
Параматик
|
4
|
32914,082
|
131656,328
|
25
|
32914,082
|
|
УБШ-532Д
|
6
|
2125
|
28671,97
|
25
|
7167,992
|
|
СБУ-2Б
|
2
|
1240,752
|
12750
|
25
|
3187,5
|
|
Катерпиллер 980
|
7
|
50154
|
2481,5
|
25
|
620,376
|
|
TORO-40
|
12
|
70152,814
|
351078
|
25
|
87769,5
|
|
TORO-501DL
|
2
|
42142,48
|
841833,768
|
25
|
21071,24
|
|
ПМЗШ-12
|
4
|
1370,207
|
78924,692
|
25
|
1370,207
|
|
МоАЗ-7405
|
5
|
6600
|
84284,96
|
25
|
8250
|
|
СП-8А
|
3
|
185,5
|
5480,828
|
25
|
139,125
|
|
LK-1,4
|
6
|
3514,5
|
21087
|
25
|
52,717
|
|
Итого:
|
51
|
|
1484217,884
|
|
365833,2
|
Таблица 2.3.4. Сводный сметный расчет строительства рудника
|
Наименование глав, работ и
затрат
|
Сметная стоимость, тыс.тг.
|
Общая стоимость, тыс.тг.
|
|
Горные работы
|
Строит. работы
|
Монтаж. работы
|
Оборуд
|
Прочие затраты
|
|
|
1. подготовка территории
строительства
|
804635
|
12069536
|
804635
|
804635
|
1609270
|
16092711
|
|
2. основные горные объекты
|
1332620
|
19989300
|
1332620
|
1332620
|
|
26652400
|
|
3. строительные работы
|
21186000
|
317790000
|
21186000
|
21186000
|
42372000
|
|
|
4. оборудование
|
79130953
|
1186964294
|
79130453
|
79130453
|
158261906
|
1582649058
|
|
5. благоустройство и
озеленение территории
|
804635
|
12069536
|
804635
|
804635
|
1609270
|
16092711
|
|
6. временные здания и
сооружения
|
9293296
|
139399440
|
9293296
|
9293296
|
18586592
|
185865920
|
|
7. прочие работы и затраты
|
15737299
|
236359495
|
15757299
|
15757299
|
31514599
|
315145991
|
|
8. содержание дирекции
предприятия
|
641549
|
9623208
|
641549
|
641549
|
1283094
|
12830949
|
|
9. проектные и
изыскательские работы
|
19246416
|
288696240
|
19246416
|
19246416
|
38492831
|
384928319
|
|
Непредвиденные работы
|
14819740
|
222296105
|
14819740
|
14819740
|
29639480
|
296394805
|
|
Всего: Кобщ
|
163017143
|
2445257154
|
163017143
|
163017143
|
296394802
|
3230703385
|
Годовые амортизационные отчисления от стоимости оборудования:
Аг = Соб × Нобщ/100,
где:
Нобщ - норма амортизационного оборудования. Нобщ - 25%
Аг = (1484217,884×25)/100 = 371054,5тыс.тг
Амортизационные отчисления от стоимости горных работ на реконструкцию:
Агв = Св × Нв/100,
где:
Нв - общая норма амортизации для выработок, Нв - 4%.
Св - первичная стоимость выработок,
Св - 37510197,4тг.
Агв = (37510197,4× 4)/100 = 15004079000тг.
Амортизационные отчисления на здания и сооружения при общей норме
амортизации Н = 8%
Азд = (614213,6 × 8)/100 = 49137,09тыс.тг.
Общая сумма амортизационных отчислений:
Аобщ = 1500407,9+49137,09+371054,5
Аобщ = 1920599,49тыс.тг.
Производственные фонды рудника включают в себя основные производственные
фонды и оборотные средства.
Стоимость основных производственных фондов:
Ф = Кобщ - 0,15 × Кобщ
Ф = 3269471826-0,15×3269471826
Ф = 2779051052тг.
Стоимость оборотных средств: О = (Ц × Qгод)/Поб
где: Qгод - годовой объем продукции, Qгод = 3580000 т/год;
Поб - количество оборотных средств в году, Поб = 10
Ц - оптовая цена 1 т. руды, Ц = 759тг
О = (759×3580000)/10
= 271722000тг.
Стоимость
формируемых оборотных средств
Оh = О × jh/100,
где:
jh -
удельный вес формируемых оборотных средств, jh = 80%
Qh =
271722000×80/100=217377600тг.
Таблица
2.3.5. Калькуляция себестоимости руды
|
2.Элементы и статьи затрат
|
2.1.1.1.На ед.тонны руды,
тг
|
Сумма затр., тыс.тг.
|
|
1. сырье
|
28,83
|
154790
|
|
2. материалы
|
166,85
|
896000
|
|
3. топливо
|
24,2
|
130000
|
|
4. энергозатраты
|
45,43
|
243930
|
|
энергия
|
19,3
|
103600
|
|
сжатый воздух
|
26,13
|
140330
|
|
5. основная заработная
плата
|
80,3
|
431100
|
|
6.отчисления из ФОТ
|
20,87
|
112085
|
|
7.капитальный ремонт ОС.
|
15,15
|
81328
|
|
цехами АО
|
5,4
|
29000
|
|
предприятия на сам.балансе
|
8,45
|
45387
|
|
8. текущий ремонт ОС
|
0,166
|
890
|
|
цехами АО
|
7,27
|
39030
|
|
предприятия на сам.балансе
|
1,02
|
5467
|
|
9. аммортизация
|
61
|
327360
|
|
10. ком.услуги
|
19,07
|
102380
|
|
11. командировочные
|
0,186
|
100
|
|
12. спецпитание
|
2,16
|
11590
|
|
13. прочие услуги
|
96,95
|
520597
|
|
14. налоги
|
0,0119
|
64
|
|
15. страховые платежи
|
2,23
|
12000
|
|
Полная себестоимость
|
576,855
|
3097711
|
2.3 Прибыль и рентабельность
П = (Ц - Сп)× Qгод ,
где:
Ц - оптовая цена 1т руды, Ц = 759 тг;
Сп - полная себестоимость добытой руды, Сп = 576,855
П =
(759-576,855)×3580000
П = 652079,100тг.
Уровень
рентабельности
Ур = П/(Ф + Qп)×100%,
где:
Ф - стоимость зданий и сооружений кап.выр., Ф = 326066400тг.
Qп
=2779051052тг.
Ур = 652079100/(326066400+2779051052)×100
Ур = 21%
2.4 Определение экономической эффективности создания новых или
усовершенствование существующих видов машин
Эт={[C1¢+Ен¢(С1+Ен×К1)]-[C2¢+Ен(С2+Ен×К2)]}×В
где:
С1¢ и С2¢- себестоимость эусплуатации машин
соответственно старые и новые модели;
С1, С2- себестоимость производства машины соответственно старые и новые
модели;
Ен¢ и Ен- нормативный коэффициент
эффективности, соответственно отрасли производства и эксплуатации;
К1 и К2- удельные капитальные вложения в производственные фонды,
соответственно для старые и новые модели;
В- годовой выпуск продукции, шт.
Новая машина для бурения шпуров «Параматик», себестоимость изготовления
которой возросла по сравнению со старой моделью с 18200000тг до 18900000тг при
годовом выпуске в 10000шт. Удельные капитальные вложения в производственные
фонды, в части изменяющейся при переходе от производства старой модели к новой,
составили на 1 установку для старой модели 100000тг, а для новой модели
200000тг. В результате улучшения эксплуатационных свойств модели затраты потребителя
на 1 работы снизились с 0,05тыс.тг до 0,045тыс.тг на одну тонну отбитой горной
массы. Нормативный коэффициент сравнительной эффективности в горной
промышленности 0,15 и в цветной металлургии 0,15.
Экономическая эффективность перехода составит:
Эт={[005+0,15×(18200+0,15×100)]-[0,045+0,15(18900+0,15×200)]}×10000=
=153760тыс.тг.
Так как Эт В данном примере имеет положительный знак, значит новая модель
буровой установки эффективна.
Заключение
порода выработка рудник
В настоящей работе разработан проект строительства горно-рудного
предприятия для условий аналогичных условиям Южно-Жезказганского рудника.
Результаты проекта представлены на 10 листах формата А1.
На 1-м листе изображена геологическая карта проектируемого рудника с
выполнением разреза по линиям, по которым можно судить о геологическом строении
массива горных пород. Характеристика пересекаемых пород представлена на
стратиграфической колонке.
На 2-м листе сравниваются варианты вскрытия рудного тела вертикальным
стволом. Для горно-геологических условий Жезказганского месторождения наиболее
оптимальным является вскрытие вертикальным стволом ввиду залегания основных
рудных тел на глубинах свыше 400м. На генплане (лист 4) изображены только
постоянные здания и сооружения, т.е. вид на момент эксплуатации. Здесь также
показаны линии расположения коммуникаций различного назначения, временные авто
дороги и временные склады и здания.
Все сооружения на генплане воздвигаются с учетом преобладающего
направления ветра называемого «роза ветров».
Сооружению зданий и сооружений посвящен 6 лист проекта. На данном листе
приведена технология сооружения многоэтажного промышленного здания с элементами
аксонометрического проектирования. Отдельно вынесена схема стыковки плиты
перекрытия с колонной. По календарному плану продолжительность строительства
составила 73 дня.
На календарном плане представлены основные работы проведенные при
сооружении откаточного штрека а также их продолжительность, необходимое
количество рабочих, график финансовых затрат, требуемое оборудование.
Все данные по проекту сведены в ТЭП проекта представленного на конечном
10 листе. Все данные указаны для значений рассчитанных в специальной части
проекта.
Сравнительная оценка бурильных установок
|
ПОКАЗАТЕЛИ
|
Unimster Mk2
|
Rocket Boomer
|
Axera D05
|
|
Техническая скорость
бурения, м/мин:
|
|
|
|
|
-шпура 51мм
|
1,04
|
1,85
|
1,15
|
|
-шпура 45мм в забой
|
1,34
|
2,35
|
1,57
|
|
-шпура 45мм в кровлю
|
1,66
|
2,8
|
1,57
|
|
-скважины 89мм
|
0,34
|
0,6
|
0,4
|
|
Подготовительно-заключительные
операции, мин
|
41,3
|
40,3
|
40,3
|
|
Бурение шпуров забоя, мин
|
179,7
|
96,4
|
141,1
|
|
Вспомогательные операции
при бурение шпуров забоя, мин
|
8,5
|
6,6
|
7,6
|
|
Бурение скважины, мин
|
11,91
|
6,41
|
8,9
|
|
Вспомогательные операции
при бурении скважины, мин
|
4,35
|
4,26
|
4,3
|
|
Бурение в кровлю, мин
|
45,97
|
28
|
24,1
|
|
Устранение технических
неисправностей, мин
|
32,4
|
5,33
|
7
|
|
- с учетом коэфф.
техготовности, б/р
|
0,9
|
0,97
|
0,97
|
|
Продолжительность цикла,
час
|
5,4
|
3,13
|
3,89
|
|
Суточная производительность
при многозабойной проходке, заб/сут
|
3,33
|
5,75
|
4,63
|
|
Объем бурения за цикл, м
|
148
|
148
|
148
|
|
Производительность удара
перфоратора, м/уд.мото.ч
|
54,42
|
97,8
|
63,6
|
|
Эксплуатационная
производительность, м/уд.мото.ч перфоратора за длительный период, м
|
55,9
|
98,04
|
75,6
|
|
Эксплуатационная
производительность: при к =0,9 и коэф.использ.план.врем.=0,6
|
174,9
|
302,1
|
243,1
|
Литература
1. Именитов В.Ф. «Процессы подземных
горных работ при разработке рудных месторождений». М.Недра, 1984.
2. Байконуров О.А., Филимонов А.Р.
«Комплексная механизация подземной разработки руд».М.Недра.
3. Панин И.Н., Ковалев И.А. Задачник по
подземной разработке месторождения. М.Недра, 1986.
4. «Большой Жезказган» Под редакцией
К.И.Сатпаева. Алматы, издательство Л.И.КазССР, 1967.
5. Современное состояние и перспективы
разработки Жезказганского месторождения. Жезказган, 1985.
6. Шехурдин В.К. Задачник по горным
работам, проведению и креплению горных выработок. М.Недра, 1985.
7. Егоров П.Т. «Гражданская оборона». М.
Высшая школа.
8. Бурчаков А.С, Ушаков К.З. «Рудничная
аэрология». М.Недра, 1971 г, 373 стр.
9. Ушаков К.З, Бурчаков А.С, Медведев
И.И, «Рудничная аэрология». М. Недра, 1978 г, 439 стр.
10.Ушаков К.З,
Бурчаков А.С, Пучков А.А, Медведев И.И, «Аэрология горных предприятий», М.
Недра, 1987 г, 421 стр.
11.«Рудничная
вентиляция». Справочник. (Гращенков Н.Ф, Петросян А.Э, Фролов Н.А, и др)
М.Недра 1988 г, 440 стр.
12.Под редакцией
проф., д.т.н.К.З. Ушакова, «Охрана труда» М.Недра 1986 г.
13.Соболев Г.Г.
«Горноспасательное дело» М.Недра 1979 г.
14.«Единые правила
безопасности при разработке рудных, не рудных и россыпных месторождений
подземным способом» М.Недра 1977 г.