Система вимірювання швидкості газового потоку турбіни

  • Вид работы:
    Курсовая работа (т)
  • Предмет:
    Другое
  • Язык:
    Украинский
    ,
    Формат файла:
    MS Word
    246,52 Кб
  • Опубликовано:
    2015-05-24
Вы можете узнать стоимость помощи в написании студенческой работы.
Помощь в написании работы, которую точно примут!

Система вимірювання швидкості газового потоку турбіни

Міністерство освіти і науки України

Національний університет "Львівська політехніка"

Інститут комп’ютерних технологій, автоматики та метрології

Кафедра «Комп’ютеризовані системи автоматики»









Курсова робота

з навчальної дисципліни «Теорія автоматичного керування»

Система вимірювання швидкості газового потоку турбіни


Виконав: ст. гр. СІ-31

Задворний Юрій






Львів - 2014

 

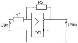
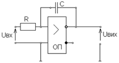
Рис.1. Схема системи автоматичного керування

Рівняння ланок:

А) вимірювальна схема:


Б) електронний підсилювач:


В) двигун:


Г) редуктор:


Таблиця 1 Початкові дані

Параметри

Розмірності

Значення

Tm

с

0,5

Te

с

0,04

C

рад/В*с

2

Ky

-

1

S

В/рад

70

i

-

30


Опис призначення і принципу роботи схеми

Система, що досліджується в даній курсовій роботі - система вимірювання швидкості газового потоку турбіни.

Дана система використовується у авіатехніці (літаках, вертольотах тощо), а також у наземних спорудах (наприклад, у трубах заводів, де потрібно слідкувати за інформацією щодо швидкості газового потоку через трубу). Дещо модифікувавши систему, можливо отримати систему вимірювання швидкості водяного потоку.

Головним чином, ця система використовується у турбінах літаків. В залежності від швидкості потоку повітря, пілот у кабіні спостерігає на приладі зі шкалою або електронним дисплеєм величину вимірюваної швидкості. Виходячи з виміряних і інших другорядних факторів (напрям і сила вітру, висота), пілот або складна система керування літаком приймає певні рішення щодо керування.

Дана система є системою вимірювання і лише надає інформацію про швидкість потоку газу, але вона містить в собі автоматичну систему керування по відхиленню. Інші системи або люди можуть використовувати надану приладом інформацію для керування сладним об’єктом.

Розглянемо детальніше принцип роботи даної схеми. Газовий потік, який з певною швидкістю проходить через турбіну, відхиляє закріплену шарнірно перетинку на певний кут. Вважатимемо, що кут повороту перепонки залежить тільки від швидкості газового потоку. Другий кінець перепонки з’єднаний шатуном з повзунком реостата R1. Спад напруги на реостаті R1, так само як і на R2, дорівнює Uр. При зміні положення повзунка спад напруги між точкою нижньої клеми реостата R1 і точкою положення повзунка прийме значення U1, пропорційне віддалі між вищезгаданими точками. Напруга U1 подається на електричний підсилювач. Якщо повзун реостата R2 стоїть в нульовому положенні, то спад напруги між точкою положення повзунка і точкою нижньої клеми реостата буде становити 0 Вольт. В іншому випадку, аналогічно до першого реостату, спад напруги U2 буде пропорційним віддалі між точкою положення повзунка реостата R2 і точкою нижньої клеми R2. Напруга U2 теж подається на ЕП, але з протилежною полярністю ніж U1, отже на вході ЕП отримуємо напругу DU, яка є різницею напруг U1 і U2. Проходячи крізь ЕП, напруга DU підсилюється, для того щоб можна було її подати на обмотки двигуна. Підсилена напруга становитиме Uдв. Двигун, спрацювавши на дану напругу керування, повернеться на певний кут j. Залежність між кутом j і напругою Uдв диференціальна, але двигун потрібно підключити так, щоб в кінцевому результаті при додатній DU, кут змінювався в додатному напрямку, а при від’ємних DU - у від’ємному. Редуктор перетворює кут повороту вала двигуна в лінійне переміщення (з певним сталим коефіцієнтом), яке передається повзункові реостата R2.

Якщо після цього переміщення ще виникне DU ( внаслідок різниці U1 і нової U2 ) певної величини і полярності, то система зкерує свою дію в тому напрямку, щоб компенсувати спад напруги.

Коли перехідний процес стабілізується, то повзунок реостата R2, який можна під’єднати до стрілки, на встановленій шкалі покаже швидкість газового потоку турбіни.

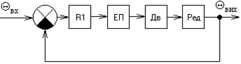
Структурна схема системи

На рис.2 наведено структурну схему системи.


Рис. 2. Структурна схема системи

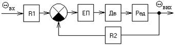
Зважаючи на те, що реостати R1 і R2 однакові, схему можна спростити з метою подальшого спрощення передаточної функції замкнутої системи. Спрощену структурну схему системи наведено на рисунку 2.2.

Рис.3. Спрощена структурна схема системи

Коефіцієнти передачі та cтатичні характеристики окремих ланок системи

А) Вимірювальна схема: S


Рис.4

Б) Електронний підсилювач:


Рис.5

В) Двигун: C


Рис.6

Г) Редуктор:


Рис.7

Вирази диференціальних рівнянь окремих ланок системи та їх розв’язки

У системі лише одна ланка описується диференціальним рівнянням - це двигун. Оскільки , гармоніками третього порядку можна знехтувати.


Рішення диференціального рівняння, що описує дію двигуна, при подачі стрибкоподібної одиничної вхідної напруги (Uвх=1В) і при нульових початкових умовах (φ(0)=0, φ`(0)=0 ) має вигляд:


Всі решта ланки є лінійними.

Побудова перехідних характеристик ланок системи

Нас цікавитиме перехідна характеристика лише двигуна тому, що інші ланки системи є лінійними і їх досліджувати не варто.

Перехідна характеристика двигуна, при подачі на вхід одиничної напруги зображена на рисунку. По осі абсцис відкладено час t, а по осі ординат - кут φ.

Рис.8

Вимірювальна схема, електронний підсилювач і редуктор є без інерційними, тому їхні перехідні характеристики є стрибкоподібною функцією і тому їх вихідні величини повторюють сигнал на вході, з врахуванням коефіцієнта передачі відповідної ланки:

Рис. 9 Перехідна характеристика вимірювальної схеми

Рис. 10 Перехідна характеристика електронного підсилювача

Рис. 11 Перехідна характеристика редуктора

Вирази для диференціальних рівнянь розімкнутої і замкнутої системи

Коли система розімкнута, то на вхід підсилювача буде подаватися тільки спад напруги на повзункові першого реостата, тобто

, де :


Для замкнутої системи вхідна напруга підсилювача буде становити різницю , тому права частина рівняння прийме вигляд різниці кутів  і , помноженій на S і на коефіцієнт підсилення.


Схеми електронного моделювання окремих ланок і замкненої системи в цілому

Для пропорційних ланок, саме для вимірювальної схеми, підсилювача і редуктора, схему моделювання можна зобразити як на рисунку:

Рис. 12 Електронна модель пропорційної ланки

Коефіцієнт передачі (підсилення або послаблення ) ланки виражається:


Ланку двигун можна розглядати як послідовне включення ідеальної інтегруючої ланки та аперіодичної ланки першого порядку.

Рис. 13 Електронна модель інтегруючої ланки

Рис. 14 Електронна модель аперіодичної ланки

Можна спростимо схему, замінивши усі послідовно підключені пропорційні ланки однією. Загальна формула передавальної функції для інтегруючої ланки:

, а для наведеної на рисунку схеми .

Загальна формула передавальної функції для аперіодичної ланки:

.

Для наведеної на рисунку схеми стала часу ланки , коефіцієнт підсилення .

Схема усієї системи:

Рис. 15 Електронна модель замкненої системи

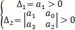
Стійкість системи і граничний коефіцієнт підсилення (критерій Гурвіца)

Скористаємося критерієм стійкості Гурвіца, який формулюється наступним чином: для виконання умови стійкості і, отже, для розташування всіх коренів характеристичного рівняння у лівій півплощині необхідно і достатньо, щоби всі n діагональних мінорів матриці були додатними.

     

Рівняння розімкнутої системи записується:


звідки:


Для рівняння порядку 3 критерій прийме вигляд:


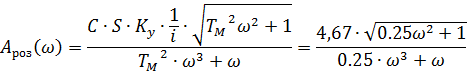
Оскільки  то система є стійкою.

Граничний коефіцієнт знаходиться з умови знаходження системи на межі стійкості, тобто у даному випадку:


Отже, граничний коефіцієнт підсилення дорівнює 5,36.

Вирази передавальних функцій для окремих ланок системи

А) вимірювальна схема:

Б) електронний підсилювач:

В) двигун:


оскільки  має досить мале значення.

Г) редуктор:


Вирази передавальних функцій розімкненої і замкненої системи.

Для розімкнутої системи:


Для замкнутої системи зі 100 %-ним зворотним зв’язком формула виглядає:


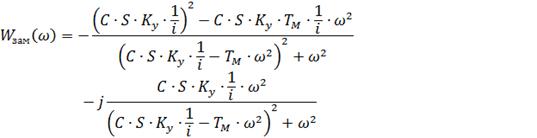
Вирази комплексних коефіцієнтів передачі окремих ланок системи, розімкненої і замкненої системи

·        Передавальна функція для вимірювальної схеми: ;

·        Передавальна функція для ЕП: ;

·        Передавальна функція для редуктора: ;

·        Передавальна функція для двигуна:


Передавальна функція розімкненої системи:


Передавальна функція замкненої системи:


Аналітичний розрахунок та побудова АФЧХ, ЛАЧХ і ЛФЧХ окремих ланок системи, асимптотичних ЛАЧХ і ЛФЧХ розімкненої системи

Характеристики ланок

Безінерційні ланки:

1.      вимірювальна схема;

2.      Електронний підсилювач;

.        Редуктор.

За означенням, якщо залежність між вхідною і вихідною величинами виражається рівнянням виду


то таку ланку називають пропорційною(підсилюючою).

К - коефіцієнт пропорційності або передавальний коефіцієнт.

Амплітудно-фазова характеристика (АФХ) пропорційної ланки вироджується у точку з координатами (К, j×0). Амплітудна логарифмічна характеристика (ЛАЧХ) такої ланки визначається виразом, і представляє собою пряму, що проходить паралельно до осі абсцис, на відстані 20lg(K) дб. Фазо-частотна характеристика (ФЧХ) пропорційної ланки має вигляд прямої  і співпадає з віссю абсцис.

Значення сталих коефіцієнтів для пропорційних ланок системи:

) вимірювальної схеми: S

2) електронного підсилювача:  

3) редуктора:

Єдина інерційна ланка системи - двигун. Запишемо його рівняння:


Будуємо характеристики двигуна:

Рис. 16

Таблиця 2 АФХ

w

u(w)

v(w)

 0

-1

 -∞

5

-0,13793

-0,05517

10

-0,03846

-0,00769

15

-0,01747

-0,00233

20

-0,0099

-0,00099

25

-0,00636

-0,00051

30

-0,00442

-0,00029

 ∞

0

 0


Амплітудно-частотна характеристика двигуна

Рис. 17

Таблиця 3 ЛАЧХ

w

L(w)

0,01

46,02049

0,1

26,00976

1

5,0515

100

-67,9605


Логарифмічна амплітудно-частотна характеристика двигуна

двигун диференціальний амплітуда гурвіц

Рис. 18

Таблиця 4 ЛФЧХ

w

ф(w)

0,01

-90,0143

0,1

-95,7106

1

-135

10

-174,289

100

-179,427

100

-179,427


Логарифмічна фазо-частотна характеристика двигуна

Характеристики розімкненої системи

Запишемо рівняння для розімкненої системи:


Будуємо характеристики розімкненої системи:

Рис. 19

Таблиця 5 АФХ

w

u(w)

v(w)

0

-2,33

 -∞

5

-0,32138

-0,12883

10

-0,08962

-0,01796

15

-0,0407

-0,00544

20

-0,02307

-0,00231

25

-0,01482

-0,00119

30

-0,01031

-0,00069

 ∞

 0

0


Амплітудно-частотна характеристика розімкненої системи

Рис. 20

Таблиця 6 ЛАЧХ

w

L(w)

0,01

53,38623

0,1

33,37549

1

12,41724

100

-60,5948


Логарифмічна амплітудно-частотна характеристика розімкненої системи

Рис. 21

Таблиця 7 ЛФЧХ

w

ф(w)

0,01

-90,0143

0,1

-95,7106

1

-135

10

-174,289

100

-179,427

100

-179,427


Логарифмічна фазо-частотна характеристика розімкненої системи

По АФЧХ розімкненої системи визначити стійкість системи. Знайти запаси стійкості по амплітуді і фазі.

Рис. 22

Для визначення стійкості системи застосуємо критерій стійкості Найквіста.

Як видно з графіка, АФХ розімкнутої системи не охоплює точку (-1;j0), а це значить, що система є стійкою.

Визначення стійкості замкненої системи по ЛАЧХ і ФЧХ розімкненої системи

Рис. 23

Запас стійкості по амплітуді: 48В

Запас стійкості по фазі: 140о

Графік перехідного процесу методом трапецій при одиничній стрибкоподібній дії вхідної величини


Рис. 24

Таблиця 8

w

P(w)

0

1

0,5

1,015276

1

1,059275

1,5

1,118065

2

1,122204

2,5

0,838993

3

0,092913

3,5

4

-0,57112

4,5

-0,5074

5

-0,42222

5,5

-0,34877

6

-0,29047

6,5

-0,24482

7

-0,20885

7,5

-0,18017

8

-0,15699

8,5

-0,13802

9

-0,12231

9,5

-0,10914

10

-0,09801

10,5

-0,08851

11

-0,08033

11,5

-0,07325

12

-0,06707

12,5

-0,06165

13

-0,05686

13,5

-0,05261

14

-0,04883

14,5

-0,04544

15

-0,04239

15,5

-0,03964

16

-0,03716

16,5

-0,0349

17

-0,03284

17,5

-0,03096

18

-0,02923

18,5

-0,02765

19

-0,0262

19,5

-0,02485

20

-0,02361


Опис трапецій:

)        Р1(0)=0.13, wa1=0.8, wc1=1,3, χ1=0.615

)        Р2(0)=1.7, wa2=2.5, wc2=3.1, χ2=0.806

)        Р3(0)=0.42, wa3=4.3, wc3=7.5, χ3=0.573

4)      Р4(0)=0.12, wa4=7.5, wc4=20, χ4=0.375

Рис. 25 Визначаємо трапеції

Таблиця 9

t`

x1(t`)

x2(t`)

x3(t`)

X4(t`)

0

0

0

0

0

0,5

0,255

0,282

0,248

0,223

1

0,49

0,547

0,476

0,432

1,5

0,706

0,776

0,685

0,617

2

0,878

0,957

0,866

0,785

2,5

1,01

1,084

0,985

0,917

3

1,1

1,154

1,081

1,013

3,5

1,145

1,174

1,132

1,074

4

1,158

1,156

1,151

1,11

4,5

1,141

1,111

1,141

1,12

5

1,107

1,053

1,114

1,112

5,5

1,064

0,994

1,076

1,092

6

1,02

0,949

1,036

1,068

6,5

0,982

0,92

1,001

1,043

7

0,957

0,911

0,975

1,023

7,5

0,944

0,02

0,956

1,005

8

0,941

0,944

0,952

0,998

8,5

0,948

0,974

0,954

0,993

9

0,961

1,006

0,962

0,992

9,5

0,977

1,033

0,972

0,993

10

0,993

1,049

0,984

0,994

10,5

1,005

1,054

0,994

0,994

11

1,014

1,048

1,001

0,993

11,5

1,017

1,034

1,006

0,991

12

1,018

1,015

1,007

0,988

12,5

1,015

0,995

1,007

0,986

13

1,012

0,98

1,006

0,984

13,5

1,008

0,968

1,005

0,984

14

1,005

0,965

1,005

0,985

14,5

1,003

0,969

1,005

0,987

15

1,002

0,978

1,006

0,991

15,5

1,001

0,991

1,007

0,995

16

1,001

1,003

1,008

0,999

16,5

1,001

1,014

1,008

1,002

17

1

1,02

1,007

1,005

17,5

0,998

1,023

1,005

1,007

18

0,997

1,02

1,001

1,007

18,5

0,995

1,014

0,999

1,007

19

0,993

1,006

0,995

1,006


 і

Таблиця 10

X1(t)

t1

X2(t)

t2

X3(t)

t3

X4(t)

t4

0

0

0

0

0

0

0

0

-0,03315

0,384615

0,4794

0,16129

-0,10416

0,066667

-0,02676

0,025

-0,0637

0,769231

0,9299

0,322581

-0,19992

0,133333

-0,05184

0,05

-0,09178

1,153846

1,3192

0,483871

-0,2877

0,2

-0,07404

0,075

-0,11414

1,538462

1,6269

0,645161

-0,36372

0,266667

-0,0942

0,1

-0,1313

1,923077

1,8428

0,806452

-0,4137

0,333333

-0,11004

0,125

-0,143

2,307692

1,9618

0,967742

-0,45402

0,4

-0,12156

0,15

-0,14885

2,692308

1,9958

1,129032

-0,47544

0,466667

-0,12888

0,175

-0,15054

3,076923

1,290323

-0,48342

0,533333

-0,1332

0,2

-0,14833

3,461538

1,8887

1,451613

-0,47922

0,6

-0,1344

0,225

-0,14391

3,846154

1,7901

1,612903

-0,46788

0,666667

-0,13344

0,25

-0,13832

4,230769

1,6898

1,774194

-0,45192

0,733333

-0,13104

0,275

-0,1326

4,615385

1,6133

1,935484

-0,43512

0,8

-0,12816

0,3

-0,12766

5

1,564

2,096774

-0,42042

0,866667

-0,12516

0,325

-0,12441

5,384615

1,5487

2,258065

-0,4095

0,933333

-0,12276

0,35

-0,12272

5,769231

1,5793

2,419355

-0,40152

1

-0,1206

0,375

-0,12233

6,153846

1,6048

2,580645

-0,39984

1,066667

-0,11976

0,4

-0,12324

6,538462

1,6558

2,741935

-0,40068

1,133333

-0,11916

0,425

-0,12493

6,923077

1,7102

2,903226

-0,40404

1,2

-0,11904

0,45

-0,12701

7,307692

1,7561

3,064516

-0,40824

1,266667

-0,11916

0,475

-0,12909

7,692308

1,7833

3,225806

-0,41328

1,333333

-0,11928

0,5

-0,13065

8,076923

1,7918

3,387097

-0,41748

1,4

-0,11928

0,525

-0,13182

8,461538

1,7816

3,548387

-0,42042

1,466667

-0,11916

0,55

-0,13221

8,846154

1,7578

3,709677

-0,42252

1,533333

-0,11892

0,575

-0,13234

9,230769

1,7255

3,870968

-0,42294

1,6

-0,11856

0,6

-0,13195

9,615385

1,6915

4,032258

-0,42294

1,666667

-0,11832

0,625

-0,13156

10

1,666

4,193548

-0,42252

1,733333

-0,11808

0,65

-0,13104

10,38462

1,6456

4,354839

-0,4221

1,8

-0,11808

0,675

-0,13065

10,76923

1,6405

4,516129

-0,4221

1,866667

-0,1182

0,7

-0,13039

11,15385

1,6473

4,677419

-0,4221

1,933333

-0,11844

0,725

-0,13026

11,53846

1,6626

4,83871

-0,42252

2

-0,11892

0,75

-0,13013

11,92308

1,6847

5

-0,42294

2,066667

-0,1194

0,775

-0,13013

12,30769

1,7051

5,16129

-0,42336

2,133333

-0,11988

0,8

-0,13013

12,69231

1,7238

5,322581

-0,42336

2,2

-0,12024

0,825

-0,13

13,07692

1,734

5,483871

-0,42294

2,266667

-0,1206

0,85

-0,12974

13,46154

1,7391

5,645161

-0,4221

2,333333

-0,12084

0,875

-0,12961

13,84615

1,734

5,806452

-0,42042

2,4

-0,12084

0,9

-0,12935

14,23077

1,7238

5,967742

-0,41958

2,466667

-0,12084

0,925

-0,12909

14,61538

1,7102

6,129032

-0,4179

2,533333

-0,12072

0,95


Рис. 26

Таблиця 11

X(t)

t

0

0

0,31533

0,637572

0,61444

1,275145

0,86568

1,912717

1,05484

2,550289

1,18776

3,187862

1,24322

3,825434

1,24263

4,463007

1,19804

5,100579

1,12675

5,738151

1,04487

6,375724

0,96852

7,013296

0,91742

7,650868

0,89076

8,288441

0,89203

8,926013

0,93446

9,563586

0,96287

10,20116

1,01272

10,83873

1,06219

11,4763

1,10169

12,11388

1,12165

12,75145

1,12439

13,38902

1,1102

14,02659

1,08415

14,66416

1,05166

15,30174

1,01829

15,93931

0,99384

16,57688

0,97438

17,21445

0,96955

17,85203

0,97637

18,4896

0,9909

19,12717

1,01223

19,76474

1,03173

20,40232

1,05007

21,03989

1,06046

21,67746

1,06642

22,31503

1,06313

22,95261

1,05403

23,59018

1,04249

24,22775


Визначення якісних показників системи по графіку перехідного процесу

Рис. 27 Графіки трапецій

Рис. 28 Графік перехідного процесу при одиничній стрибкоподібній дії вхідної величини

1.    Для визначення тривалості перехідного процесу задамося значенням абсолютної похибки e. Візьмемо e=10%. Визначаємо графічно tпп, для прийнятої абсолютної похибки є рівний 20с.

2.      Час запізнення системи визначаємо графічно: це час, протягом якого вихідна величина Q(t) досягає половини того значення, до якого наближається, починаючи з нуля. tз=1с.

.        Можемо з приблизної формули визначити добротність системи Кv:

;

4.    Час наростання пов’язаний з коефіцієнтами похибок наступним чином:

;


5.    Дуже важливою характеристикою є відхилення керованої величини в перехідному процесі від асимптотичного значення, яка називається динамічною похибкою системи.

Похожие работы на - Система вимірювання швидкості газового потоку турбіни

 

Не нашли материал для своей работы?
Поможем написать уникальную работу
Без плагиата!
Без нейросетей!