Розрахунок витрат на виробництво засобу вимірювальної техніки
Вступ
В умовах сучасного виробництва, коли
вимоги якості та швидкодії процесів вимірювання, а отже і до засобів
вимірювання зростають, доцільно розробляти нові системи, що могли б забезпечити
кращі показники та зменшити витрати.
В даний час широко використовується
датчики
переміщення розроблені спеціально для виміру відносних і абсолютних переміщень
від нульової точки за допомогою перетворення переміщення в електричний сигнал.
Розділяють перетворювачі лінійного і кутового переміщення, які в режимі
реального часу вимірюють зміщення
механічних елементів і дозволяють перехоплювати точки спрацьовування для інших
підпорядкованих механізмів.
Для цього широко застосовують
індуктивні датчики,які знаходять в промисловості для виміру переміщень і
покривають діапазон від 1 мкм до 20 мм. Також можна використати індуктивний
датчик для виміру тисків, сил, рівнів витрати газу і рідини і т. д. В цьому
випадку вимірюваний параметр за допомогою різних чутливих елементів
перетвориться в зміну переміщення і потім ця величина підводиться до
індуктивного вимірювального перетворювача. До достоїнств індуктивних датчиків
відносяться: простота і міцність конструкції, відсутність ковзаючих контактів;
можливість підключення до джерел промислової частоти; відносно велика вихідна
потужність(до десятків Ватів); значна чутливість.
Робота індуктивного датчика полягає
в тому, щоб визначити індуктивність замкнутого металевого контура. При
проникненні металевого предмета через контур або поруч біля нього, включається
датчик зміни індуктивності.
Вмить перед площиною індуктивного
вимикача з'являється електромагнітне поле, створене котушкою індуктивності.
Електромагнітне поле спрацьовує після подання електроживлення.
При
появі предмета в зоні індуктивного датчика, амплітуда коливань знижується, зменшується
і якість коливального контура. Комутаційний стан індуктивного датчика міняється
після спрацьовування тригера.
В процесі розробки пристрою
підвищуємо його надійність та точність, що дозволить виготовляти продукцію з
більшим показником якості.
1. ОРГАНІЗАЦІЯ КОМПЛЕКСНОЇ
ПІДГОТОВКИ ВИРОБНИЦТВА
Високопродуктивна, економічна і
безпечна робота технологічних агрегатів промисловості вимагає застосування
сучасних методів і засобів вимірювання величин. Автоматичний контроль є логічно
першим ступенем автоматизації, без успішного функціонування якого неможливе
створення ефективних автоматизованих систем управління.
В сучасній техніці для вирішення
завдань автоматичного контролю все ширше застосовують ЕОМ або мікроконтролери.
Всі основні промислові агрегати оснащені різними системами автоматичного
контролю і управління за допомогою ЕОМ. Основними параметрами, які необхідно
контролювати, є температура різних середовищ, тиск, ємність. І саме
комп`ютерний контроль надзвичайно сильно впливає на ефективність функціонування
всіх основних механізмів, оскільки ту велику кількість інформації, що надходить
від вимірювальних систем неможливо опрацювати оператору.
Починаючи з 60-х рр. ХХ ст. для
підвищення ефективності декілька інформаційно-вимірювальних систем об’єднувалися
між собою, утворюючи вимірювально-обчислювальний комплекс.
Вимірювально-обчислювальні комплекси
(ВОК) відносяться до класу вимірювальних інформаційних систем.
ВОК виконують наступні функції:
) прямі, опосередковані,
сукупні та сумісні вимірювання електричних величин;
) управління процесом
вимірювання і вплив на об’єкт вимірювання;
) представлення оператору
результатів вимірювання у заданому вигляді.
Характеристики пов’язані з обробкою
інформації визначаються типом операційної системи та процесора, що використовуються.
Можливості ВОК, як засобу зберігання інформації, визначаються внутрішніми та
зовнішніми запам’ятовуючими пристроями, що використовуються.
Характеристики ВОК як засобу
представлення інформації визначаються оперативно-диспетчерським обладнанням, що
використовується для управління.
У тому випадку, коли ВОК працює у
стані вимірювально-інформаційної системи, нормуються та перевіряються
характеристики ВОК як засобу для реалізації даного конкретного виду вимірювань.
При цьому нормуються такі параметри, як:
Ø час виконання циклу
вимірювань;
Ø метрологічні
характеристики результатів, що отримуються;
Ø число або
канальність об’єктів вимірювань;
Ø об'єм та форма
документів, що отримуються.
Надійність ІВС залежить від багатьох
факторів. ЇЇ основи закладаються на етапі проектування при виборі архітектурних
рішень і визначення вимог до елементів, що реалізують архітектуру. Такі
властивості як простота архітектури, надійність елементів, наявність
надлишковості для забезпечення живучості, керованість, є атрибутами сучасної
ІВС.
Таким чином, надійність є
внутрішньою властивістю системи, вона закладена при її створенні і проявляє
себе при функціонуванні та експлуатації.
Зазначені особливості призводять до
того, що моделювання, розрахунок і прогнозування надійності ІВС стає складною і
багато в чому не розв’язною научною, технологічною та методичною проблемою.
Вибір кількісних показників
надійності можна розбити на 2 групи:
. критерії, що характеризують
надійність невідновлюваних вимірювальних пристроїв;
. критерії, що характеризують
надійність відновлюваних вимірювальних пристроїв.
Невідновлюваними вимірювальними
пристроями називаються такі пристрої, які в процесі виконання своїх функцій не
допускають ремонту. Якщо відбувається відмова такого вимірювального пристрою,
то операція, яка виконується, буде зірвана, і її необхідно починати знову в
тому випадку, якщо можливе усунення відмови.
Відновлюваними називаються такі
вимірювальні пристрої, які у процесі виконання своїх функцій допускають ремонт.
Якщо відбудеться відмова такого вимірювального пристрою, то відбувається
припинення функціонування вимірювального пристрою тільки на період усунення
відмови.
Вважаємо пристрої, що входять у
склад розроблюваного комплексу, відновлюваними.
Вихідними даними для проведення
технічної підготовки виробництва є:
) повний комплект конструкторської
документації на новий виріб;
) максимальний річний обсяг випуску
при повному освоєнні з урахуванням виготовлення запасних частин і поставок по
кооперації;
) передбачуваний термін випуску
виробів і обсяг випуску за роками з урахуванням сезонності;
) планований режим роботи
підприємства (кількість змін, тривалість робочого тижня);
) плановий коефіцієнт завантаження
устаткування основного виробництва і ремонтна стратегія підприємства;
) плановані кооперовані поставки
підприємству деталей, вузлів напівфабрикатів і підприємства-постачальники;
) плановані поставки стандартних
виробів підприємству і підприємства-постачальники;
) передбачувані ринкові ціни нових
товарів, виходячи з цінової стратегії підприємства та його цілей;
) прийнята стратегія по відношенню
до ризику (з точки зору наявності дублюючого обладнання);
) політика соціології праці
підприємства.
Технологічна підготовка виробництва
регламентується стандартами "Єдиної системи технологічної підготовки
виробництва" (ЕСТПВ). Завданням ТПП є забезпечення повної технологічної
готовності фірми до виробництва нових виробів із заданими техніко-економічними
показниками (високим технічним рівнем, якістю виготовлення, а також з
мінімальними трудовими і матеріальними витратами - собівартістю при конкретному
технічному рівні підприємства і плановані обсяги виробництва).
амортизаційний витрати заробітний одиничний
2. РОЗРАХУНОК ВИТРАТ НА ВИРОБНИЦТВО
ЗАСОБУ ВИМІРЮВАЛЬНОЇ ТЕХНІКИ (ЗВТ)
2.1 Витрати
на покупні ЗВТ
Витрати на покупні ЗВТ розраховуємо
за кожним найменуванням і-го виробу. Ціни на дані вироби - ринкові. Дані про
витрати на покупні засоби занесені до таблиці 2.1
Табл. 2.1 - Витрати на покупні ЗВТ
|
Найменування ЗВТ
|
Кількість
|
Ціна за одиницю, грн.
|
Сума, грн
|
|
PIC 16F874
|
1
|
52
|
52
|
|
Індуктивний датчик
|
1
|
300
|
300
|
|
Електрична комплектація
|
1
|
170,5
|
170,5
|
|
Полоса(0,8х30)
|
1
|
65
|
65
|
|
Дроти
|
120
|
360
|
|
Лист алюмін.(40х40)
|
1
|
50
|
50
|
|
Блок інтерфейсів
|
1
|
28
|
28
|
|
Корпус
|
1
|
34
|
34
|
|
|
|
|
|
Всього:
|
1009,5
|
|
Транспортно-заготівельні затрати:
|
100,95
|
|
Загальна сума:
|
1110,45
|
Транспортно-заготівельні витрати
розраховуємо у межах 10% від вартості покупних виробів. Таким чином загальна
сума витрат на покупні вироби становить 1110,45 грн.
2.2 Витрати
на заробітну плату
Ця стаття включає ставку основного
робітника, а також преміальні надбавки. Тарифну заробітну плату та преміальні
надбавки визначають за кожним видом робіт як добуток норм часу та часових
тарифних ставок робітників відповідних розрядів. Тарифний розряд встановлюємо
за галузевим тарифно-кваліфікаційним довідником.
Для роботи з проектованим засобом
вимірювання необхідний один слюсар КІП і А 4-го кваліфікаційного розряду, з
кваліфікаційним рівнем спеціаліст. Заробітна плата для робітника встановлюється
у вигляді ставки та додаткових виплат. Розрахунок заробітної плати зведений до
таблиці 2.2
Таблиця 2.2 Розрахунок заробітної
плати основних виробничих виробників
|
Операція (робота)
|
Тарифний розряд
|
Часова тарифна ставка, грн
|
Норма часу,год
|
Сума зарплатні, грн
|
|
Інженер КІП і А
|
4
|
23
|
128
|
2944
|
|
Всього:
|
2944
|
|
Премія (25%):
|
736
|
|
Загальна сума (Зо):
|
3680
|
Додаткову заробітну плату (Зд)
визначаємо у відсотках від основної заробітної плати. За нормативами
підприємства вона складає 10% від основної заробітної плати.
грн.
Відрахування до фонду
соціального страхування (β) визначаємо
у відсотках від суми основної та додаткової заробітної плати, за нормативами
діючого законодавства. Приблизно β складає
38%.
Таким чином
грн.
2.3
Загальновиробничі витрати
Враховуючи, що собівартість ЗВТ
визначається на ранніх стадіях його проектування в умовах обмеженої інформації
технології виробництва та витрат на його підготовку до загальновиробничих
витрат включають, окрім цих витрат, витрати на:
ü освоєння нового
виробництва;
ü утримування;
ü експлуатацію
приладу.
Загальновиробничі витрати
визначаються у відсотках до основної заробітної плати основних робітників. При
такому комплексному складі загальновиробничих витрат їх норма складає 140÷160%.
Приймаємо норму загальновиробничих
витрат на рівні 150%. Таким чином, загальновиробничі витрати становлять:
грн.
2.4
Адміністративні витрати
Ці витрати належать до собівартості
ЗВТ пропорційно до основної заробітної плати, та на приладобудівельних
підприємствах вони складають 150÷180% від
основної заробітної плати.
Приймаємо адміністративні
витрати на рівні 170%. Таким чином, адміністративні витрати становлять:
грн.
2.5
Позавиробничі витрати
Витрати за цією статтею
визначаються у відсотках до виробничої собівартості і складають 1÷3 %.
Таким чином,
Позавиробн.витр = 0,03 · 18780=
563,4 грн
Результати виконаних
розрахунків у розділі 2 наведені у табл. 2.3.
Табл. 2.3 Калькуляція
собівартості багатоточкового засобу вимірювання температури
|
Статті витрат
|
Сума, грн
|
Питома вага, %
|
|
1. Покупні вироби
|
1110,45
|
|
2. Заробітна плата основних робітників з
відрахуваннями
|
5624,8
|
15,68
|
|
3. Загальновиробничі витрати
|
5520
|
15,93
|
|
4. Адміністративні витрати
|
6526
|
18,06
|
|
Виробнича собівартість
|
18781,25
|
97,08
|
|
5. Позавиробничі витрати
|
563,4
|
2,91
|
|
Повна собівартість
|
19344,65
|
100
|
3. ФОРМУВАННЯ ЦІНИ НА ЗВТ
Оптова ціна визначається за
формулою:
(3.1)
де 
- повна собівартість ЗВТ, грн;

- норма прибутку, % (за даними підприємства).
Маємо:
грн.
За (3.1) оптова ціна ЗВТ
становить:
грн.
З урахуванням ПДВ (20%)
відпускна ціна підприємства складає:
(3.2)
За (3.2) відпускна ціна підприємства
становить:
грн.
Капітальні вкладення на ЗВТ у сфері
його використання включають ціну з урахуванням витрат на його доставку, наладку
і т.п.
(3.3)
де 
- коефіцієнт, який враховує витрати
на доставку, наладку і т.п.; приймаємо 

- відпускна ціна на ЗВТ з
урахуванням ПДВ, грн.
За (3.3) капітальні вкладення
становить:
грн.
Розраховані капітальні вкладення на
ЗВТ необхідно порівняти з капітальними вкладеннями на ЗВТ по базовому варіанту:
(3.4)

грн.
За (3.4) капітальні вкладення
на ЗВТ по базовому варіанту становлять:
грн.
4. ВИЗНАЧЕННЯ ЕКСПЛУАТАЦІЙНИХ
ВИТРАТ
Експлуатаційні витрати споживача
, які пов’язані із застосуванням ЗВТ, містять:
ü заробітну платню
обслуговуючого персоналу лабораторії метрології;
ü амортизаційні
відрахування за рік;
ü витрати на
електроенергію;
ü витрати на поточний
ремонт та повірку ЗВТ;
ü інші витрати.
4.1 Заробітна
платня обслуговуючого персоналу лабораторії метрології
Заробітна платня обслуговуючого
персоналу з надходженнями для базового і проектного варіантів визначається за
формулою:
(4.1)

- коефіцієнт, який враховує
додаткову заробітну платню, надходження та преміальну доплату;

- коефіцієнт, який враховує
зайнятість оператора обслуговуванням данного ЗВТ;

- кількість робітників, які
обслуговують ЗВТ за зміну, чол.;

- кількість змін роботи ЗВТ за
добу, од.;

- середньомісячний оклад оператора,
грн (за даними підприємства).
(4.2)
де 
- коефіцієнт, що враховує розмір
додаткової заробітної плати, у частках одиниці;

- коефіцієнт, що враховує
преміальні та інші заохочувальні виплати
робітникам, у частках
одиниці;

- норма відрахувань у фонд
соціального страхування, в частках одиниці.
Для базового і проектного
варіантів значення коефіцієнтів для розрахунку наведені у табл.4.1.
Табл. 4.1 - Коефіцієнти для
розрахунку заробітної платні персоналу з надходженнями для базового і
проектного варіантів
|
Варіант
|
Базовий
|
Проектний
|
|
Коефіцієнт
|
|
|
|
|

|
1,1
|
|
|
1,02
|
1,02
|
|
 , чол11
|
|
|
|
 , од11
|
|
|
|
 , грн25001480
|
|
|
|
 , грн3366049547,52
|
|
|
4.2
Амортизаційні відрахування за рік
Амортизаційні відрахування за рік
для базового і проектного варіантів розраховуються за формулою:
(4.3)
де 
- капітальні вкладення за рік,
грн.;

- норма амортизаційних відрахувань
за рік, % (відповідно до діючого законодавства).
Відповідно до діючого
законодавства
а = 20% так
як строк
корисної експлуатації 5 років.
Капітальні вкладення для
базового та проектного варіантів відповідно становлять:
грн.;
грн.
Для базового варіанту
амортизаційні відрахування становлять:
грн.
Для проектного варіанту
амортизаційні відрахування становлять:
грн.
4.3 Витрати
на електроенергію
Витрати на електроенергію для
базового і проектного варіантів визначаються за формулою:
(4.4)
де 
- кількість годин роботи ЗВТ на
рік, год;

- середньо витрачена потужність,
кВт;

- встановлена оплата за 1 кВтгод
електроенергії, грн.( у 2014 році становить 1,20 грн);
Облік витраченої потужності
вказаний у табл.4.2
Табл. 4.2
|
Найменування
|
Мікроконтролер PIC16F874
|
Індуктивний датчик, 1шт
|
Резистори С2-33Н-0,125, 3 шт
|
Конденсатори К50-35-50,11
шт
|
Мікросхема К142ЕН8б, 2 шт
|
Діод ний міст КД 205Д,
2 шт
|
Мікросхема К153УД5, 3 шт
|
Блок живлення, 2 шт
|
|
Споживана потужність, Вт
|
1
|
50
|
0,5
|
0,3
|
10
|
11,5
|
9
|
1
|
|
Загальна споживана потужність, кВт
|
0.0833
|
Середньовитрачена потужність для
базового варіанта становить 0,1 кВт.
Планова кількість годин на рік, з
огляду на прийнятий режим роботи:
(4.5)
де 
- календарна кількість днів на рік;

- кількість вихідних днів на рік;

- кількість святкових днів на рік;

- кількість робочих днів на рік,
які відведені на ремонт та повірку;

- кількість змін роботи на добу;

- тривалість зміни, год;

- коефіцієнт використання системи
за зміну.
Табл. 4.3 - Розрахунок
планової кількості годин на рік
Таким чином, згідно (4.5) та
табл.4.3
год.
Витрати на електроенергію для
базового і проектного варіантів становлять відповідно:
грн.
грн.
4.4
Витрати на поточний ремонт та допоміжні матеріали
Витрати на поточний ремонт і
повірку ЗВТ за базовим та проектним варіантами визначаються за формулою
(4.6)
де 
- норматив витрат на поточний
ремонт і повірку ЗВТ на 1000 годин роботи (приймаємо 0,05);

- капітальні вкладення, грн.
Витрати на поточний ремонт і
повірку ЗВТ за базовим і проектним варіантами відповідно становлять:
грн.
грн.
4.5
Інші витрати
До цієї статті належать
витрати, які пов’язані з експлуатацією ЗВТ, витратами. Величина за рік для
базового і проектного варіантів складає 1,5% від суми за кошторисом.
(4.7)
Інші витрати для базового і
проектного варіантів становлять відповідно
грн.
грн.
Розрахунки, проведені у
розділі 4, зведено до табл.4.4.
Табл. 4.4 - Кошторис
експлуатаційних витрат
|
Статті витрат
|
Витрати за базовим варіантом, грн
|
Витрати за новим варіантом, грн
|
|
1. Зарплатня обслуговуючого персоналу з
нарахуванням
|
33660
|
49547
|
|
2. Амортизаційні відрахування
|
11116,05
|
7660,68
|
|
3. Витрати на електроенергію
|
70,85
|
59,02
|
|
4. Витрати на поточний ремонт і повірку ЗВТ
|
13126
|
9046
|
|
5. Інші витрати
|
836
|
972
|
|
Всього:
|
56586
|
65753
|
5. ВИЗНАЧЕННЯ ТЕХНІЧНОГО РІВНЯ НОВОЇ СИСТЕМИ
При розрахунку економічної
ефективності нових ЗВТ витрати за базовим та проектним варіантами необхідно
довести до вигляду, з яким порівнюють, за їх продуктивністю або виробничими
можливостями. Для цього слід розрахувати узагальнений показник якості нової
системи за порівнянням з базовою за формулою
(5.1)
де 
- кількість врахованих найважливіших
показників;

- коефіцієнт, який враховує
важливість і-го показника;

- одиничний коефіцієнт якості за
і-м показником
Одиничні показники якості
визначаються за формулами:
ü показники,
зростання чисельного значення яких вказує на погіршення якості з лінійним
зв’язком між величиною показника та якістю виробу:
(5.2)
де 
, 
- чисельні значення і-го порядку
для нового та базового варіантів;
ü показники,
зростання чисельного значення яких поліпшує якість, з лінійним зв’язком між
значенням показника та цінністю споживання пристрою:
(5.3)
Основні показники:
1. Робота до відмови, год - Х1;
2. Наведена похибка системи, % - Х2;
. Швидкодія, хв. - Х3.
Коефіцієнт, який враховує важливість і-го
показника, розраховують методом розставлення пріоритетів.
Для проведення експертизи членам
експертної комісії пропонується незалежно один від одного попарно порівняти всі
показники між собою. При цьому необхідно оцінити тільки перевагу одного
показника перед іншим. Знаку «більше», «менше» або «дорівнює» відповідає
відповідний коефіцієнт переваги, на основі якого розраховують відносні оцінки -
пріоритет.
|
Показник
|
Експерти
|
Кінцева оцінка
|
Чисельне значення
|
|
1
|
2
|
3
|
5
|
|
|
|
Х1 та Х2
|
<
|
=
|
<
|
<
|
<
|
<
|
0,5
|
|
Х1 та Х3
|
>
|
>
|
>
|
>
|
>
|
>
|
1,5
|
|
Х2 та Х3
|
>
|
>
|
>
|
>
|
>
|
>
|
1,5
|
На основі прийнятої системи
порівняння складаємо квадратну матрицю.
Табл. 5.2 - Розрахунок пріоритету
показників
|
Показник
|
Крок
|
|
Х1
|
Х2
|
Х3
|
Перший
|
Другий
|
|
|
|
|
в1
|
Кві
|
в1´
|
Кві´
|
|
Х1
|
1
|
0,5
|
1,5
|
3
|
0,3
|
9
|
0,265
|
|
Х2
|
0,5
|
1
|
1,5
|
3
|
0,3
|
9
|
0,265
|
|
Х3
|
1,5
|
1,5
|
1
|
4
|
0,4
|
16
|
0,47
|
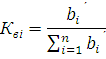
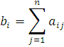
Ступінь важливості пріоритету
кожного показника (Кві) визначають за формулою:
(5.4)
(5.5)
де 
- удільна вага і-го показника за
результатами експертних оцінки;

- кількість показників приладу.
Відносні оцінки
розраховуються до тих пір, поки їх подальші максимально наблизяться до
попередніх.
Відносну оцінку у других та
подальших кроках розраховують за формулами:
(5.6)
На основі наведених
розрахунків визначаємо загальний показник якості за формулою
(5.7)
Згідно (5.3) одиничні показники
якості становлять:
робота до відмови
наведена похибка системи
швидкодія
Узагальнений показник якості, згідно
(5.1) становить
6. ВИЗНАЧЕННЯ ЕКОНОМІЧНОЇ ЕФЕКТИВНОСТІ РОЗРОБКИ
І ВИКОРИСТАННЯ ЗВТ
Узагальнюючим показником
порівняльної економічної ефективності даного варіанта є економічний ефект
даного варіанта за рік, який визначає ефект у сфері його застосування.
(6.1)
де 
- показник якості;

- експлуатаційні витрати за рік
споживача, грн.;

- капітальні витрати на НДР, які
пов’язані з виготовленням нового ЗВТ, не враховані в його собівартості, і які
дорівнюють 20% від капітальних вкладень за новою системою, грн.;

- нормативний коефіцієнт
економічної ефективності, який дорівнює 0,15.
грн.
Таким чином, згідно (6.1),
економічний ефект проектованого варіанта ВОК контролю параметрів акумуляторної
батареї при електричних випробуваннях становить:

=
грн.
Висновок
У ході виконання курсової
роботи систематизували, поглибили та закріпили теоретичні і придбали практичні
знання за курсом «Економіка та організація хімічних виробництв».
Розрахували витрати на
покупні вироби на виробництво ЗВТ : 1110,45 грн; основну - 3680 грн, додаткову
- 368 грн заробітні плати; відрахування до фонду соціального страхування -
5628,4 грн.; обчислили загальновиробничі - 5520 грн, адміністративні - 6526
грн, поза виробничі витрати - 563 грн; визначили повну собівартість
розроблювального ЗВТ 19344,65 грн; розрахували оптову - 19344,65 грн, відпускну
- 27857 грн ціни; капіталовкладення - 30642,7 грн; заробітну платню
обслуговуючому персоналу - 49547,52 грн; амортизаційні відрахування за рік -
7660,68 грн; витрати на електроенергію - 59,02 грн, на поточний ремонт і
додаткові матеріали - 13126 грн; обчислили інші витрати - 972грн; розрахували
кошторис - 65753 грн.
Отже, у ході розрахунку
нового вимірювально-обчислювального комплексу температури, ми дійшли висновку,
що у порівнянні зі стандартним ЗВТ, наш ВОК забезпечує економічний ефект у
розмірі 50814,55 грн
.
Література
1. Положення
про порядок віднесення амортизаційних відрахувань на витрати виробництва. -
1997. - №283/97.
. Шах
А.Д., Погостин С.З., Альман П.А. Организация, планирование и
управление предприятием химической промышленности. - М.: Высш.шк., 1981. - 524
с.
3. Васильков
В.Г. Організація виробництва: Навч. Посібник. - К.:
КНЕУ, 2003. - 524 с.
. Шепеленко
Г.И. Экономика,
организация и планирование производства на предпиятии. Учеб. Пособие -
Ростов-на_дону: март, 2001. - 544 с.
5. Экономика
химической промышленности: учебник для вузов/ В.Л. Клименко и др. - Л.:
Химия,1990. - 288 с.
6. Покропивний
С.Ф. Економіка підприємства. Підручник - К.: КНЕУ,
2000. - 528 с.
7. Фомин
В.Н. Квалиметрия. Управление качеством. Сертификация. Курс лекций. - М.: ЭКМОС,
2000. - 320 с.