Розробка капітального ремонту реактора Р-101а установки ЛЧ-24/7-68
Тема
Розробка капітального ремонту
реактора Р-101а установки ЛЧ-24/7-68
Вступ
Установка ЛЧ 24-7/68 складається з двох рівнозначних потоків,
на яких здійснюється очищення прямогонної фракції дизельного палива або суміші
прямогінної фракції дизельного палива з легким каталітичним газойлем (I і II
потік) і прямогінної фракції палива для реактивних двигунів(II потік).
На I потоці установки також може здійснюватися гідро
депарафінізація, гідроочищення прямогінної (чи заздалегідь гідроочищенної) фракції
дизельного палива на каталізаторах АКМ ( США ) в Р-101а - DM-3551(літній),
Р-101- DN-3531, SDD-800 (1,6) (зимовий), Р-102- SDD-800 (1,6) (зимовий), II
потік - Р-201а -DN-3531(1,2), Р-201-DN-3531(1,2)(літній), Р-202-SDD-800(1,6)
(зимовий),DN-3531, які покращують гідроочищення дизельного палива. Кожен потік
включає наступні блоки:
реакторний блок;
блок стабілізації;
блок очищення ВСГ(водневмісних газів);
блок очищення вуглеводневих газів і регенерація насиченого
розчину МЕА, загальний для обох потоків.
Для підтримки робочого стану обладнання на підприємстві
створена ремонтна служба. Мета ремонтної служби полягає не тільки в ремонті
обладнання, але й в зменшенні простою обладнання в ремонті, підвищення якості
ремонту, розробка більш досконалих технологій ремонтів та збільшення
механізації та автоматизації ремонтних робіт. В даний час підприємство
знаходиться у стані промислового підйому, тому для усунення всіх цих недоліків
має всі можливості.
Метою даного проекту є розробка капітального ремонту реактора
Р-101а установки ЛЧ-24/7-68, проведення необхідних
розрахунків, розробка креслень, що повністю відображають конструкцію апарату,
його складових частин та деталей.
1. Загальна частина
.1 Основне виробниче обладнання дільниці, його призначення і
технічні характеристики
Блоку попереднього гідроочищення сировини з вузлом
відпарювання гідрогенізата;
Сировина - фракція прямогінного бензину з межами викіпання 62
- 180º С з резервуарів проміжного парку № 15 або № 16 через фільтр
А- 16 підпірним насосом ЦН-1А(ЦН-2А) подається на всас сировинного насоса ЦН-
1(ЦН- 2). Колір сировини визначається сигналізатором колірної прозорості
нафтопродуктів поз.QIR - 3.
З нагнітання насоса ЦН- 1(ЦН- 2) сировина в кількості не
більше 65 м3/ч через електроприводну засувку №2 подається в трійник змішення з
водневмісним газом(ВСГ). Циркуляційний водневмісний газ блоку гідроочищення в
трійник змішення подається компресором ПК- 1(ПК- 2 ÷ 6).
У лінію нагнітання компресора ПК- 1(ПК- 2 ÷ 6) подається надмірний
водневмісний газ з блоку риформінга.
Схемою передбачена можливість виведення надлишку ВВГ з
нагнітання компресора ПК- 1 (ПК- 2 ÷ 6) у колектор № 17(для
розвантаження печі П- 1).
Витрата сировини в трійник змішення блоку гідроочищення
підтримується в заданих межах за допомогою регулятора поз.FIRCS(L) A(L) -
3-185, клапан який розташований на лінії нагнітання насосів ЦН- 1, ЦН- 2.
Температура сировини після ЦН-1, ЦН-2 реєструється приладом
поз.TIR- 1-185.
Тиск сировини після ЦН- 1, ЦН- 2 реєструється приладом
поз.PIR - 2-185.
Тиск сировини перед трійником змішення реєструється приладом
поз.PIR-2-180а.
Витрата водневмісного газу, що подається в трійник змішення
блоку гідроочищення реєструється приладом поз.FIRS(L) A(L) -3-9а. Витрата
надмірного водневмісного газу, що подається з блоку риформінга в лінію
нагнітання компресорів ПК- 1(ПК- 2 ÷ 6) реєструється приладом
поз.FIR-3-9б.
Температура газу на нагнітанні компресора ПК- 1(ПК- 2 ÷ 6) реєструється приладами
поз.TIRS(H) A(H) - 1-403, 406, 409, TIRA(H) - 1-415 ÷ 418, 435 ÷ 438, 455 ÷ 458.
Температура водневмісного газу на всосі компресора ПК- 1(ПК-
2 ÷ 6) реєструється за свідченнями приладу поз.TIR - 1-253.
Тиск на нагнітанні компресорів ПК- 1 ÷ 3 реєструється приладом
поз.PIRS(H) A(H) -2-24д/1 ÷ 3, на ПК- 4 ÷ 6 - приладом поз.PIRS(H)
A(H) - 2-2/4 ÷ 6 відповідно.
Об'ємна доля водню у водневмісному газі реєструється приладом
поз.QIR - 16.
Для безпечного ведення процесу передбачені технологічні
блокування: поз.FIRCS(L) A(L) - 3-185, що спрацьовує при зниженні витрати
сировини в трійник змішення блоку гідроочищення до 12 м3/ч і поз.FIRS(L) A(L)
-3-9а, що спрацьовує при зниженні витрати водневмісного газу в трійник змішення
блоку гідроочищення до 8000 м3/ч за нормальних умов.
Схемою передбачена можливість використання компресорів ПК- 1 ÷ 6 для здійснення циркуляції
водневмісного газу в системі установки ЛЧ- 24-7/68 і в системі блоку
гідроочистки установки ЛЧ- 35-11/600-68 як під час простою установки Л-
35-11/300, так і при одночасній роботі обох установок.
Передбачена схема циркуляції водневмісного газу компресором
ПК- 3 з приймального сепаратора С- 4, що дає можливість працювати самостійно
установці ЛЧ- 24-7/68 і блоку гідроочищення установки ЛЧ- 35-11/600-68, не
включаючись в систему установки Л- 35-11/300.
Газосировинна суміш проходить послідовно по міжтрубному
простору теплообмінників Т- 1/1, Т- 1/2, Т- 1/3, де нагрівається до температури
210-300º С зустрічним потоком газопродуктової
суміші, що відходить з трубного простору рібойлера Т- 3, а потім поступає двома
потоками в змійовики камери конвекції печі П- 1.
Газосировинна суміш проходить послідовно двома паралельними
потоками змійовики камери конвекції (по 30 труб змійовика в кожному потоці).
Потім об'єднується в один потік, і поступає двома паралельними потоками в 1-шу
камеру радіації печі П-1(по 10 труб в змійовику), об'єднавшись в один потік з
температурою 300-420º С, поступає в реактор Р- 1.
Температура газосировинної суміші на вході в конвекційну
камеру печі П- 1 реєструється приладом поз.TIR - 1-138, на виході з
конвекції(по потоках) приладами поз.TIR - 1-130,131, на вході в 1-шу камеру
радіації печі П-1(об'єднаний потік) - приладом поз.TIR - 1-139.
Температура газосировинної суміші на виході з печі (по
потоках) реєструється приладом поз.TIR - 1-140,141.
Температура димових газів в конвекційній камері печі П-1
реєструється приладом поз.TIR - 1-135,136,137,156,157,158.
Температура димових газів на перевалах 1-ї камери радіації
печі П-1 реєструється приладом поз.TIR - 1-83/1-3.
Об'ємна доля кисню в димових газах на виході з печі
визначається лабораторним аналізом.
У реакторі Р-1 при температурі 300-420ºС і тиску 3,0 - 4,0 МПа(30,0
- 40,0 кгс/см2) у присутності водневмісного газу відбувається гідрування
сірчистих, азотистих і кисневмісних з'єднань.
Температура газосировинної суміші на вході в реактор Р- 1
підтримується в заданих межах регулятором поз.TIRCA(H) - 1-50-1/1, клапан якого
встановлений на лінії подання паливного газу до форсунок 1-ї камери радіації
печі П-1.
Температура в шарі каталізатора (цикл регенерації
каталізатора) вимірюється по висоті трьома багатозонними термопарами і
реєструється приладом поз.TIR-1-54-1АБВ/1÷3.
Температура стінок і штуцерів реактора Р-1 реєструється
приладом поз.TIRA(H) - 1-101/1÷22.
Тиск на вході в реактор Р-1 реєструється приладом поз.PIRA(L)
-2-58-1а, а тиск на виході з реактора Р-1 - приладом поз.PIR-2-58-1б.
Перепад тиску між входом в реактор і виходом з нього
реєструється приладом поз.PDIRA(H) - 2-61 і не повинен перевищувати 0,3 МПа(3,0
кгс/см2).
З реактора Р-1 газопродуктова суміш(нестабільний гідрогінізат
і водневмісний газ) проходить паралельними потоками по трубному простору
рібойлера Т- 3, де віддає частину свого тепла на підтримку температури низу
відпарної колони К-1.
Після рібойлера Т-3 газопродуктова суміш проходить по
трубному простору теплообмінників Т-1/3, Т-1/2, Т-1/1, де її тепло
використовується для підігрівання газосировинної суміші. Після теплообмінників
Т-1/3, Т-1/2, Т-1/1 газопродуктова суміш послідовно проходить холодильники
Х-1/1, Х-1/2, де охолоджується і з температурою не вище 50ºС поступає в сепаратор С-1,
де від нестабільного гідрогенизата відділяється водневмісний газ.
Температура газопродуктової суміші на виході з реактора Р-1
реєструється приладом поз.TIR - 1-226, на виході з трубного простору Т-3 в
теплообмінник Т-1/3 приладом поз.TIR - 1-234, на виході з Т-1/1 в Х-1/1 -
приладом поз.TIR - 1-232.
Температура газопродуктової суміші на виході з міжтрубного
простору холодильни-ков Х-1/1, Х-1/2 контролюється за свідченнями приладу
поз.TIR - 1-253.
У сепараторі С-1 відбувається розділення газопродуктової
суміші на водневмісний газ і нестабільний гідрогенізат. З верху сепаратора С-1
водневмісний газ спрямовується в прийомний сепаратор С-5(при необхідності в
сепаратор С-4).
Для безпечного ведення процесу передбачені блокування
поз.LIRS(H) A(H)-4-12-1 і поз.LIRS(H) A(H)-4-13-1, зупиняючі компресори ПК-1,
2, 4, 5, 6 досягши 60 % рівня рідких вуглеводнів в сепараторі С-5, і компресор
ПК-3 досягши 60 % рівня рідких вуглеводнів в сепараторі С-4. Схемою передбачена
можливість звільнення С-4, С-5 від рідких нафтопродуктів у факельну ємність
Е-8.
Водневмісний газ з сепаратора С-5 подається на всас
компресора ПК-1(ПК-2, ПК-4, ПК-5, ПК-6), а з сепаратора С-4 - на всас
компресора ПК-3.
При варіанті роботи установки з поданням частини
водневмісного газу в систему установки ЛЧ- 24-7/68 або на блок гідроочищення
установки ЛЧ- 35-11/600 ВВГ повертається в сепаратор С-5 на всас компресора
ПК-1(ПК-2, ПК-4, ПК-5) або в сепаратор С-4 на всас компресора ПК-3. Надлишок
водневмісного газу з приймального колектора компресорів ПК-1 ÷ 6 скидається в колектор
підприємства №17 або паливну мережу.
Тиск в системі блоку гідроочищення підтримується в заданих
межах регулятором поз.PIRC-2-1, клапан якого встановлений на лінії скидання
водневмісного (надмірного) газу з приймального колектора компресорів в колектор
підприємства №17 або в паливну мережу.
Витрата надмірного водневмісного газу в колектор №17
реєструється приладом поз.FIR-3-240а, тиск - поз.PIR-2-240а, температура -
поз.TIR-1-240а.
Витрата надмірного водневмісного газу, що виводиться з
установки в паливну мережу, реєструється приладом поз.FIR - 3-240, тиск -
поз.PIR - 2-240, температура - поз.TIR - 1-240.
Аварійне скидання тиску з блоку гідроочищення(з сепаратора
С-1) здійснюється на факел через електроприводну засувку №1.
Рідка фаза (нестабільний гідрогенізат), з частиною розчинених
у ній газів, виводиться з нижньої частини сепаратора С-1, проходить послідовно
через трубний простір теплообмінників Т-2а, Т-2, де нагрівається до температури
від 140º С до 150ºС за рахунок тепла
стабільного гідрогенізатів, виведеного з низу колони К-1 через рібойлер Т-3 та
подається на 9, 14 або 21-у тарілки отпарної колони К-1.
У отпарной колоні К-1, що має 30 тарілок
(клапанно-жалюзійних), відбувається відпарювання гідрогенізатів від сірководню,
води, аміаку та легких вуглеводнів. Відпарювання проводиться при тиску не
більше 1,35 МПа (13,5 кгс/см2), температурі низу колони не вище 270º С і температурі верху колони
не вище 140º С.
Масова частка сірки в гідрогенізатів не повинна перевищувати
0,001%, азоту - 0,0001%.
Відпарювання гідрогенізатів від води в колоні К-1 необхідно
вести при такому режимі, щоб масова частка вологи в циркулюючому водневмісном
газі блоку риформінгу знаходилася в межах 20 - 40 ррm.
Рівень нестабільного гідрогенізатів в сепараторі С-1
підтримується в заданих межах регулятором поз.LIRCA (HL) -4-213-1, клапан якого
встановлений на лінії перетікання з сепаратора С-1 в Т-2а, Т-2 на завантаження
колони К-1.
Температура нестабільного гідрогенізатів, що подається на
завантаження в колону К-1 контролюється за показаннями приладу поз.TIR-1-231,
витрата - за показаннями приладу поз.FIR-3-187.
Температура низу колони К-1 підтримується в заданих межах
подачею газопродуктових суміші в рібойлер Т-3 через регулятор поз.TIRC-1-170-1,
клапан якого встановлений на лі-нії подачі газопродуктовой суміші з реактора
Р-1 крім трубних пучків рібойлера Т-3
Температура верху колони К-1 контролюється за показаннями
приладу поз.TIR-1-233
Тиск у колоні К-1 реєструється приладом поз.PIR-2-181а.
На зрошення верху колони подається нестабільний гідрогенізат
з сепаратора С1
Подача зрошення проводиться під тиском сепаратора С-1.
Витрата зрошення підтримується в заданих межах регулятором
поз.FIRC-3-192, клапан який розташований на лінії подачі зрошення з сепаратора
С-1 в колону К1
Парогазова суміш виводиться з верху колони К-1 в сепаратор
С-2 через холодильника-конденсатор ХК-1 (здвоєний з паралельним підключенням
корпусів).
Рідка фаза - «голівка» відпарки гідрогенізатів з сепаратора
С-2 скидається в лінію виведення «головки» стабілізації з установки в парки ГФУ
або на секцію 400 установки ЛК-6У. Схемою передбачено можливість виведення
«головки» з С-2 в ємність Е-7 (блоку стабілізації риформат)
Сірководнева вода з нижньої частини сепаратора С-2 скидається
в каналізацію.
Вуглеводневий газ з сепаратора С-2 скидається в лінію
виведення сухого вуглеводневого газу з установки (л.7 / 2) в паливну мережу
підприємства.
Температура газопродуктовой суміші на виході з міжтрубному
простору холодильника-конденсатора ХК-1 реєструється (по потокам) приладами
поз.TIR-1-91, поз.TIR-1-238.
Рівень рідких вуглеводнів (верхній) в сепараторі С-2
підтримується в заданий-них межах регулятором поз.LIRCA (HL) -4-202-1, клапан
якого встановлений на лінії їх скидання в лінію виведення «головки»
стабілізації з установки
Витрата «головки» з сепаратора С-2 в лінію виведення
«головки» з установки реєструється приладом поз.FIR-3-271
Тиск в сепараторі С-2 і системі вузла відпарки гідрогенізатів
підтримується в заданих межах регулятором поз.PIRC-2-176, клапан (поз.182)
якого встановлено на лінії скидання вуглеводневого газу з сепаратора С-2 в
лінію сухого газу з установки (л.7 / 2).
Звільнений від сірководню та води стабільний гідрогенізат з
нижньої частини відпарної колони К-1 через рібойлер Т-3 подається в міжтрубний
простір теплообмінників Т-2, Т-2а і далі надходить на всос насоса ЦН-3 (ЦН-3а,
ЦН -2).
Передбачена можливість подачі стабільного гідрогенізатів на
установку ЛГ-35-8/300Б при використанні як сировини фракції 62 - 105º С.
Рівень стабільного гідрогенізатів в рібойлере Т-3
підтримується в заданих межах регулятором поз.LIRCА (L) -4-196-1, клапан якого
встановлений на лінії виведення гідрогенізата з Т-3 в лінію некондиційного
бензину з установки в парки.
Витрата стабільного гідрогенізатів з установки в лінію
некондиції реєструється прибором поз.FIR-3-155, температура - поз.TIR-1-155.
Блок каталітичного риформінгу.
Очищений від сірчистих, азотистих, кисневмісних сполук і води
стабільний гідрогенізат насосом ЦН-3 (ЦН-3а, ЦН-2), у кількості не більше 65 м3
/ ч, через фільтри А-14, А-15 (паралельними потоками ) подається в трійник
змішання, куди від компресорів ПК-6 (ПК-1¸ПК-5) через сепаратор С-10 надходить
водородовмісним газ.
Обсяг водородовмісним газу при нормальних умовах, подаваного
в трійник змішання на одиницю об'єму гідрогенізатів на годину повинен становити
на м'якому режимі не менше 1300, а на жорсткому - не менше 1500 м3 на годину.
Масова частка сірки в гідрогенізатів не повинна перевищувати
0,001%, азоту - 0,0001%.
Об'ємна частка водню в водородовмісним газі має бути не менше
70%.
Масова частка вологи в циркулюючому водородовмісним газі - 20
- 40 ррm.
Масова частка ненасичених вуглеводнів не повинна перевищувати
0,5%.
Витрата стабільного гідрогенізатів в трійник змішання блоку
риформінгу підтримується в заданих межах регулятором поз.FIRCA (L) -3-186,
клапан якого розташований на лінії нагнітання насосів ЦН-3 (ЦН-3а, ЦН-2).
Тиск гідрогенізатів перед трійником змішання реєструється
приладом поз.PIR-2-180б.
Витрата водородовмісним газу, що подається в трійник змішання
блоку риформінгу для розвантаження печі П-1, підтримується в заданих межах
регулятором поз.FIRCS (L) A (L) -3-10, клапан якого розташований на лінії
подачі ВВГ з нагнітання компресорів ПК-1 ÷ 6 в приймальний колектор ВВГ
компресорів блоку риформінгу через водяний холодильник Х-4.
Температура водородовмісним газу на всосі компресорів ПК-6
(ПК-1 ¸
ПК-5) реєструється приладами поз.TIR-1-122, 125, а на нагнітанні - реєструється
приладами поз. TIRS (H) A (H) -1-403, 406 , 410, TIRA (H) -1-415 ÷ 418, 435 ÷ 438, 455 ÷ 458.
Тиск на нагнітанні компресорів ПК-1 ÷ 3 реєструється приладами
поз.PIRS (H) A (H)-2-24д / 1 ÷ 3, на ПК-4 ÷ 6 - приладами поз.PIRS (H) A
(H) -2-2 / 4 ÷ 6 відповідно.
Для безпечного ведення процесу передбачена технологічна
блокування поз.FIRCS (L) A (L) -3-10, що спрацьовує при зниженні витрати
водородовмісним газу в трійник змішання блоку риформінгу до 36000 м3 / ч при
нормальних умовах. Перелік відключень при спрацьовуванні блокування наведений у
таблиці 3.
Об'ємна частка водню в циркулюючому водородовмісним газі
реєструється приладом поз.QIR-15, а масова частка вологи - приладом поз.QIR-17.
Схемою передбачено можливість циркуляції частини
водородовмісним газу компресорами ПК-6 (ПК-1 ¸ ПК-5) через систему
установки ЛЧ-35-11/600-68, в разі зупинки або виходу з ладу турбокомпресора
ТК-601 на установці ЛЧ -35-11/600-68 (як під час зупинки установкиЛ-35-11/300,
так і при одночасній роботі установок Л-35-11/300 і ЛЧ-35-11/600-68).
При цьому необхідна частина циркулюючого водородовмісним газу
від компресорів ПК-1, ПК-2, ПК-4, ПК-5, ПК-6 направляється з сепаратора С-10 і
далі по лініях № 241а, 241б в трійник змішання блоку риформінгу установки ЛЧ-
35-11/600-68, а повертається в сепаратор С-9 по лініях № 242а, 242б.
Газосирова суміш двома потоками проходить міжтрубний простір
паралельно розташованих теплообмінників Т-6/1-1, Т-6/1-2, Т-6/2, Т-6/3, Т-6/4
(I потік) і Т-6а/1-1, Т-6а/1-2, Т-6а / 2,Т-6а / 3, Т-6а / 4 (II потік), де
нагрівається за рахунок тепла газопродуктовой суміші після Р-4 до
тем-температуру 420 - 460º С, і, об'єднавшись в один
потік, надходить в IV камеру радіації печі П -1.
Так як реакції ароматизації протікають з негативним тепловим
ефектом, внаслідок чого температура в реакторах знижується, передбачено ведення
процесу каталітичного ріформінг в три щаблі, тобто газосирова суміш послідовно
надходить у реактори Р-2, Р-3, Р-4 з між ступневим підігрівом до необхідних
температур, проходячи по змійовиком робочих радіантних камер печі П-1.
Газосирова суміш проходить двома паралельними потоками
частина змійовиків IV камери радіації (по 6 труб змійовика в кожному потоці),
потім прямує в II камеру радіації двома паралельними потоками (по 10 труб
змійовика в кожному потоці), де нагрівається до температури реакції (але не вище
520º С) і надходить в реактор Р-2.
Перед реактором Р-3 газопродуктова суміш проходить через III
камеру радіації двома паралельними потоками (по 10 труб змійовика в кожному
потоці), перед реактором Р-4 - через частину змійовиків IV камери радіації
двома паралельними потоками (по 4 труби змійовика в кожному потоці).
В реакторах Р-2, Р-3, Р-4 при температурі не вище 520º С і тиску не більше 3,5
МПа(35,0 кгс/см2) на каталізаторі у присутності водородовмісним газу протікають
реакції ароматизації бензину.
Температура газосирових суміші на виході з камер печі П-1 (по
потокам) реєструється приладами поз.TIR-1-142 ÷ 148.
Температура димових газів на перевалах II, III, IV камер
радіації печі П-1 реєструється приладом поз.TIR-1-83/4 ¸ 12 і не повинна перевищувати
900º С.
Розрідження димових газів на виході з печі П-1 перед
димососом ГД-1 реєструється приладом поз.PIRA (L) -2-87.
Температура димових газів перед димососом реєструється
приладом поз.TIR-1-162.
Температура газосирової суміші на вході в реактори Р-2, Р-3, Р-4
підтримується в заданих межах регуляторами поз.TIRCA (H) -1-50-2 / 1, 50-3/1,
50-4 / 1, клапани яких установ-лени на лінії подачі паливного газу до форсунок
відповідних камер радіації печі П-1.
Температура зовнішніх стінок і штуцерів реакторів Р-2, Р-3,
Р-4 реєструється приладами поз.TIRA (H) -1-102 ÷ 104/1 ÷ 22.
Температура в шарі каталізатора в реакторах Р-2, Р-3, Р-4
(при проведенні регенерації каталізатора) реєструється приладами
поз.TIR-1-55-2, 3, 4 АБВ / 1 ÷ 5.
Тиск на вході в реактори Р-2, Р-3, Р-4 реєструється приладами
поз.PIR-2-58-2а,
PIR-2-58-3а, PIR-2-58-4а відповідно, тиск на виході з реакторів - приладами
PIR-2-58-2б, PIR-2-58-3б, PIR-2-58-4б.
Перепад тиску між входом в реактори і виходом з них
реєструється приладами поз.PDIRA (H) -2-62, 63, 64 і не повинен перевищувати
0,3 МПа (3,0 кгс/см2).
Для підтримування активності каталізатора в газосирову суміш
на вхід в реакториР-2, Р-3, Р-4 насосом ПН-3 (ПН-4) з ємності Е-1 подається
розчин дихлоретану в гідрогенізатів.
Схемою передбачено можливість подачі конденсату водяної пари
насосом ПН-3 (ПН-4) в лінію нагнітання насосів ЦН-3, ЦН-3а (ЦН-2) для
підвищення вологості циркулюючого водородовмісним газу.
Газопродуктова суміш з реактора Р-4 двома паралельними
потоками проходить трубне простір теплообмінників Т-6/4, Т-6/3, Т-6/2, Т-6/1-2,
Т-6/1-1 (I потік) і теплообмінниківТ-6а / 4, Т-6а / 3, Т-6а / 2, Т-6а/1-2,
Т-6а/1-1 (II потік), де охолоджується до температури 120-150º С, віддаючи тепло
газосировой суміші. Подальше охолодження газопродуктовой суміші здійснюється в
секціях повітряних холодильників ВХ-106 і ВХ-106а, а також у водяних
холодильниках Х-6 та Х-6а, після яких газопродуктовая суміш з температурою не
вище 50º С надходить у сепаратор С-7.
Схемою передбачено байпасірованіе холодильників Х-6, Х-6а,
ВХ-106, ВХ-106а під час роботи установки для можливості проведення ремонтних
робіт на якомусь із них із збереженням температурного режиму згідно з
технологічною картою.
У сепараторі С-7 відбувається поділ газопродуктовой суміші на
нестабільний риформат і водородовмісним газ.
Водородовмісний газ з верху сепаратора С-7 подається в
приймальний сепаратор С-9 і далі на всос компресорів ПК-6 (ПК-1 ¸ ПК-5) для подачі в трійник
змішання блоку риформінгу.
Для безпечного ведення процесу передбачено блокування поз.LIRS
(H) A (H) -4-11-1, що зупиняє компресори ПК-1 ÷ 6 при досягненні рівня
рідких вуглеводнів в сепаратор С-9 - 60%. Схемою передбачено можливість
звільнення С-9 в смолоскипову ємність Е-8.
Схемою передбачено можливість скидання балансового надлишку
ВВГ з блоку риформінгу в колектор ВСГ підприємства № 16 (або подачі свіжого ВСГ
з колектора № 16 для підживлення системи ВСГ блоку риформінгу).
Передбачена можливість осушки циркулюючого водородовмісним
газу блоку риформінгу в адсорбери К-608 вузла осушки ЛЧ-35-11/600-68 за
схемою:З-7 перемичка в лінію № 241а → лінія № 241а → К-608 →
перемичка в лінію № 242а лінія № 242а → С-9 → всмоктуючий колектор →
компресори ПК-6 (ПК-1 ¸ ПК-5).
Нестабільний риформат з нижньої частини сепаратора С-7 прямує
в сепаратор низького тиску С-8, де за рахунок зниження тиску до 1,8 МПа (18,0
кгс/см2) з риформат виділяється частина водень-і вуглеводневої газів.
Вуглеводневий газ з сепаратора С-8 скидається в паливну
мережу.
Температура до і після теплообмінників Т-6/1-1, Т-6/1-2,
Т-6/2, Т-6/3, Т-6/4 (I потік) і теплообмінників Т-6а / 1-1, Т-6а/1-2, Т-6а / 2,
Т-6а / 3, Т-6а / 4 (II потік) реєструється приладамипоз.TIR-1-105 ÷ 117,120.
Температура газопродуктової суміші на виході з секцій ВХ-106
і ВХ-106а реєструється приладами поз.TIR-1-118, 119, на виході з міжтрубному
простору холодильників Х-6, Х-6а - приладами поз.TIR-1-125, 122.
Тиск у системі блоку риформінгу підтримується в заданих межах
регулятором поз.PIRC-2-2, клапан якого встановлений на лінії скидання
надлишкового водородовмісного газу з лінії нагнітання компресорів ПК-1 ÷ 6 блоку риформінгу на блок
гідроочищення (в лінію нагнітання компресорів ПК-1 ÷ 6).
Аварійне скидання тиску з блоку риформінгу здійснюється на
факел через електропровідних засувку № 3, яка встановлена на трубопроводі
виведення ВСГ з сепаратора С-7 в сепаратор С-9.
Тиск в колекторі ВСГ підприємства № 16 підтримується в
заданих межах регулятором поз.PIRC-2-244а, клапан якого розташований на лінії
скидання водородовмісного газу з блоку риформінгу в колектор ВСГ підприємства №
16.
Тиск в колекторі ВВГ підприємства № 16 реєструється приладом
поз.PIR-2-244.
Витрата водородовмісного газу з блоку риформінгу в колектор
ВВГ підприємства № 16 реєструється приладом поз.FIR-3-244.
Температура водородовмісного газу з блоку риформінгу в
колектор ВСГ підприємства № 16 реєструється приладом поз.TIR-1-244.
Рівень нестабільного реформат в сепараторі С-7 підтримується
в заданих межах регулятором поз.LIRCA (HL) -4-166-1, клапан якого встановлений
на лінії перетікання з сепаратора С-7 в сепаратор С-8.
Тиск в сепараторі С-8 підтримується в заданих межах
регулятором поз.PIRC-2-129, клапан якого встановлений на лінії скидання
вуглеводневого газу з сепаратора в паливну мережу.
Рівень нестабільного реформат в сепараторі С-8 підтримується
в заданих межах регулятором поз.LIRCA (HL) -4-143-1, клапан якого встановлений
на лінії перетікання з сепаратора С-8 в теплообмінник Т-7/1.
Для забезпечення безпечних умов відбору проб з реакторів
передбачені сепаратор С-15 і холодильник Х-15.
Блок стабілізації реформат.
Нестабільний реформат з низу сепаратора С-8 проходить
міжтрубний простір теплообмінників Т-7/1, Т-7/2, Т-7/3, Т-8, де нагрівається за
рахунок тепла стабільного реформат, і подається в стабілізаційну колону К-7.
У стабілізаційної колоні при тиску не вище 1,65 МПа (16,5
кгс/см2), температурі верху не вище 80º С і температурі низу не вище
230º С від нестабільного реформат отгоняются водень, метан, етан,
пропан, бутан і частина пентанов, які з верху колони через паралельно
підключені холодильники-конденсатори ХК-4/1, ХК-4/2 надходять в ємність
зрошення Е-7.
Витрата нестабільного реформат з сепаратора С-8 в
стабілізаційну колону К-7 реєструється приладом поз.FIR-3-135.
Тиск у стабілізаційної колоні К-7 підтримується в заданих
межах регулятором поз.PIRC-2-131, клапан якого встановлений на лінії виходу
пари з колони.
Температура нестабільного реформата на виході з міжтрубному
простору теплообмінника Т-7/3 в теплообмінник Т-8, і з Т-8 в стабілізаційну
колону К-7 контролюється за показаннями приладів поз.TIR-1-343, 349 відповідно.
Температура верху К-7 реєструється приладом поз.TIR-1-348.
Температура низу К-7 реєструється приладом поз.TIR-1-347.
Зверхньої частини ємності Е-7 вуглеводневий газ виводиться в
лінію сухого газу (л.7 / 2) і далі надходить у колектор паливного газу
підприємства (УТТ).
З нижньої частини ємності Е-7 рідка фаза («головка»
стабілізації) надходить на всос насоса
ЦН-12 (ЦН-13) і подається на зрошення колони К-7, а
балансовий надлишок «головки» стабілізації виводиться з установки в парки ДФУ
або на секцію 400 установки ЛК-6У.
Витрата зрошення, що подається в колону К-7, підтримується в
заданих межах регулятором поз.FIRC-3-139, клапан якого встановлений на лінії
нагнітання насосів ЦН-12, ЦН-13.
Витрата сухого вуглеводневого газу з установки Л-35-11/300
реєструється приладом поз.FIR-3-241.
Тиск сухого вуглеводневого газу з установки реєструється
приладом поз.PIR-2-241.
Температура сухого вуглеводневого газу з установки
реєструється приладом поз.TIR-1-241.
Тиск у системі ХК-4/1, ХК-4/2, Е-7 підтримується в заданих
межах регулятором поз.PIRC-2-132, клапан якого встановлений на лінії скидання
вуглеводневого газу з ємності Е-7 в паливну мережу.
Рівень «головки» стабілізації в ємності Е-7 підтримується в
заданих межах регулятором поз.LIRCA (HL) -4-146-1, клапан якого розташований на
лінії виведення балансового надлишку головки стабілізації з установки.
Температура «головки» стабілізації після холодильників
ХК-4/1, ХК-4/2 реєструється приладом поз.TIR-1-342.
Витрата «головки» стабілізації на виході з установки
реєструється приладом поз.FIR-3-154.
Температура «головки» стабілізації на виході з установки
реєструється приладом поз.TIR-1-154.
Підігрів низу колони К-7 здійснюється за рахунок тепла
стабільного реформата, ціркуліруемого насосом ЦН-14 (ЦН-15) через піч П-3.
Стабільний реформат з нагнітання насосів ЦН-14 (ЦН-15)
проходить послідовно змійовики камери конвекції печі П-3, де нагрівається за
рахунок тепла відхідних димових газів, а також змійовики камери радіації і
подається в нижню частину стабілізаційної колони К-7.
Витрата стабільного реформата через змійовик печі П-3 повинен
бути не менше 30 м3 / ч, температура стабільного реформата («гарячої струменя»)
на виході з печі - не вище 230º С, температура димових газів
на перевалі - не вище 750º С.
Витрата стабільного реформата через змійовик печі П-3
підтримується в заданих межах регулятором поз.FIRCA (L)-3-138a, клапан якого
розташований на лінії нагнітання насосів ЦН-14, ЦН-15.
Тиск у змійовику печі П-3 реєструється приладом поз.PIRA (L)
-2-138.
Температура «гарячої струменя» на виході з печі П-3
підтримується в заданих межах регулятором поз.TIRC-1-121-1, клапан якого
встановлений на лінії подачі паливного газу до форсунок печі.
Температура стабільного реформата на вході в піч П-3 та на
виході з П-3 реєструється приладом поз.TIR-1-346, TIR-1-121-2 відповідно.
Температура димових газів на перевалі печі реєструється
приладом поз.TIR-1-354, 355.
Температура перед димососом ГД-2 реєструється приладом
поз.TIR-1-152.
Розрідження перед димососом ГД-2 реєструється приладом
поз.PIRA (L) -2-107.
Балансовий надлишок стабільного реформата, під тиском
системи, виводиться з нижньої частини колони К-7, проходить трубне простір
теплообмінників Т-8, Т-7/3, Т-7/2, Т-7/1, де віддає тепло нестабільного
реформата, потім охолоджується в холодильнику Х-13 до температури не вище 40º С і направляється з
установки в резервуари парків № 19 або № 20.
Схемою передбачено байпасіровані холодильника Х-13 під час
роботи установки для можливості проведення його ремонту.
Рівень стабільного реформата в колоні К-7 підтримується в
заданих межах регулятором поз.LIRCA (HL) -4-145-1, клапан якого встановлений на
лінії виведення реформата з установки.
Температура стабільного реформата після трубного простору
теплообмінників Т-8, Т-7/1 контролюється за показаннями приладів поз.TIR-1-356,
357, після холодильника Х-13 - за показаннями приладу поз.TIR-1-153.
Витрата стабільного реформата з установки реєструється
приладом поз.FIR-3-153.
Передбачена можливість подачі стабільного реформата на блок екстракції
установки ЛГ-35-8/300Б для добування ароматичних вуглеводнів (при переробці
установкою фракції 62 - 105º С).
Схемою передбачено можливість збору бензинового конденсату з
факельної системи установки в проміжну ємність Е-8.
Бензиновий конденсат з ємності Е-8 насосом ЦН-8 відкачується
в лінію виведення стабільної «головки» в парки ДФУ або на секцію 400 установки
ЛК-6У.
Схемою передбачено можливість звільнення ємності Е-8 по лінії
не кондиції в парки № 15,16.
Вузол утилізації тепла відхідних димових газів печі П-1 та
схема постачання паливом (газоподібним, рідким) печей П-1, П-3.
Паливний газ на установку надходить з колектора паливного
газу підприємства через ємність Е-5, де паливний газ відділяється від газового
конденсату, який скидається в смолоскипову ємність Е-8. Далі паливний газ
підігрівається водяною парою в підігрівачі паливного газу Т-12 до температури
60 - 120º С і, розділившись на два потоки
подається до основних форсунок печей П-1 та П-3, а також до контрольних
пальників печі П-1.
Схемою передбачено можливість байпасірованія ємності Е-5 і
теплообмінника Т-12.
Тиск паливного газу, що подається до основних форсунок печей
П-1, П-3 підтримується в заданих межах регулятором поз.PIRCА (L) -2-235, клапан
якого встановлений на лінії подачі паливного газу до основних форсунок печей
П-1 , П-3.
На трубопроводі паливного газу, що подається до основних
форсунок печі П-1, передбачений клапан-відсікач поз.20, який закривається при
спрацьовуванні блокувань поз.FIRS (L) A (L)-3-9а (витрата водородовмісного газу
в трійник змішання блоку гідроочищення сировини менше 8000 нм3 / ч) або
поз.FIRCS (L) A (L) -3-10 (витрата ВСГ в трійник змішання реакторного блоку
менш 36000 нм3 / ч).
Тиск паливного газу, що подається до контрольних пальників
печі П-1, підтримується в заданих межах регулятором поз IRCS (L) A (L) -2-276,
клапан якого встановлений на лінії подачі паливного газу до контрольних
пальників печі П1.
Для безпечного ведення процесу передбачена технологічна
блокування поз.PIRCS (L) A (L) -2-276, що спрацьовує при зниженні тиску
паливного газу до контрольних пальників печі П-1 до 0,01 МПа (0,1 кгс/см2).
Перелік відключень при спрацьовуванні блокування наведений у таблиці 3.
Рівень конденсату в Е-5 реєструється приладом поз.LIRA (Н)
-4-261, при підвищенні рівня конденсату в ємності до 30% спрацьовує
сигналізація.
Витрата паливного газу на установку реєструється приладом
поз.FIR-3-263.
Тиск паливного газу на установку реєструється приладом
поз.PIRA (L) -2-263, при зниженні тиску паливного газу до 0,02 МПа (0,2 кгс/см2)
спрацьовує сигналізація.
Температура паливного газу на установку реєструється приладом
поз.TIR-1-303.
Температура паливного газу після теплообмінника Т-12
реєструється приладом поз.TIR-1-304.
Витрата паливного газу на основні форсунки печі П-1 реєструється
приладом поз.FIR-3-279.
Температура паливного газу, що надходить на основні форсунки
печі П-1 реєструється приладом поз.TIR-1-279.
Витрата паливного газу, що надходить на контрольні пальники
печі П-1 реєструється приладом поз.FIR-3-278.
Температура паливного газу на контрольні пальники печі П-1
реєструється приладом поз.TIR-1-278.
Для забезпечення можливості продувки ліній паливного газу
колектори паливного газу печей з'єднані з факельним трубопроводом і зі свічками
в атмосферу.
Рідке паливо на установку надходить з колектора підприємства
через підігрівач рідкого палива Т-11, де нагрівається до температури 90 - 130ºС водяною парою, і подається
до форсунок печей П-1, П-3 відповідно.
Схемою передбачено можливість байпасірованія теплообмінника
Т-11.
Надлишок рідкого палива від форсунок печей П-1, П-3
виводиться в колектор зворотного рідкого палива.
Температура рідкого палива після підігрівача Т-11
реєструється приладом поз.TIR-1-305.
Тиск зворотного рідкого палива підтримується в заданих межах
регулятором поз.РIRС-2-94, клапан якого встановлений на лінії виходу рідкого
палива з установки.
Витрата, тиск та температура прямого рідкого палива до
форсунок печі П-1 реєструються приладами поз.FIR-3-93, РIRА (L) -2-93,
ТIR-1-93, зворотного рідкого палива - приладами поз.FIR- 3-94, РIRС-2-94,
ТIR-1-94.
На трубопроводі прямого і зворотного рідкого палива печі П-1
передбачені клапани-відсікачі поз.21 і поз.22 відповідно, які закриваються при
спрацьовуванні блокувань поз.FIRS (L) A (L)-3-9а (витрата ВСГ в трійник змішання
блоку гідроочищення сировини менше 8000 нм3 / ч) або поз.FIRCS (L) A (L) -3-10
(витрата ВВГ в трійник змішання реакторного блоку менш 36000 нм3 / ч).
Водяна пара на розпил рідкого палива подається з колектора
пара 16.
Тиск водяної пари до печей П-1, П-3 підтримується в заданих
межах регулятором поз.PIRC-2-247-1, клапан якого встановлений на лінії подачі
пари на установку.
Витрата водяної пари реєструється приладом поз.FIR-3-247.
Температура водяної пари реєструється приладом поз.TIR-1-247.
Після печі П-1 за ходом димових газів розміщений
повітропідігрівник Т-9, призначений для утилізації тепла відхідних димових
газів печі (підігрів повітря подається до основних форсунок печей П-1, П-3).
Димові гази з камери конвекції печі П-1 чотирма потоками
подаються в димовій стояк і, об'єднавшись в загальний потік, пройшовши борів
печі П-1, надходять в трубне простір повітропідігрівника Т-9, де, віддаючи
частину тепла повітрю, який проходить по міжтрубному просторі
повітропідігрівників, виробляють його підігрів. Потім димові гази забираються
димососом ГД-1 і скидаються у димову трубу. Температура димових газів перед
димососом повинна бути не вище 225º С.
Температура димових газів в димовому стояку реєструється
приладом поз.TIR-1-160.
Температура димових газів перед димососом ГД-1 реєструється
приладом поз.TIR-1-162.
Регулювання розрідження в камері конвекції печі П-1
проводиться шиберами, які розташовані на чотирьох вхідних каналах димових газів
в димовій стояк. Розрідження перед димососом ГД-1 має бути не менш 480 Па (48
мм вод.ст.).
Розрідження по камерах печі П-1 реєструється приладами
поз.PIR-2-106-1 ÷ 20.
Розрідження в димовому стояку реєструється приладом
поз.PIR-2-88.
Розрідження перед димососом ГД-1 реєструється приладом
поз.PIRA (L) -2-87.
Схемою передбачена можливість виводу димових газів в димову
трубу крім повітропідігрівника Т-9 і димососа ГД-1.
Подача повітря до основних форсунок печей П-1, П-3
здійснюється повітродувкою ВД-1 (ВД-3).
Повітря з нагнітання повітродувки ВД-1 (ВД-3) надходить в
міжтрубний простір повітропідігрівника Т-9, де нагрівається за рахунок тепла
відхідних димових газів печі П-1 і далі надходить до форсунок печей П-1, П-3.
Температура повітря на нагнітанні повітродувки ВД-1
реєструється приладом поз.TIR-1-159.
Температура повітря на нагнітанні повітродувки ВД-3
реєструється приладом поз.TIR-1-161.
Температура повітря подається до форсунок печей П-1, П-3
реєструється приладом поз.TIR-1-163.
Тиск повітря на нагнітанні повітродувки ВД-1 реєструється
приладом поз.PIRA (L) -2-86 / 1.
Тиск повітря на нагнітанні повітродувки ВД-3 реєструється
приладом поз.PIRA (L) -2-86 / 3, при зниженні тиску на нагнітанні ВД-1, 3 до
2,0 КПа (200 мм вод.ст.) спрацьовують сигналізація.
Схемою передбачено можливість Циркуляції частини гарячого
повітря після повітропідігрівників Т-9 на прийом ВД-1.
.2 Технологічні розрахунки
Вихідні данні до проекту
Продуктивність установки по сировині т / рік 6000000
Масова частка сірки в сировині % 0,25
Меркаптанової 0,01225
Сульфідної 0,1225
Дисульфідної 0,0245
Тиофенової 0,08575
Масова частка ненасичених сполук в сировині % 10
Склад свіжого ВСГ, об'ємні частки:
Н2 85,02
СН4 7.0
С2Н6 5.08
С3Н8 1.92
С4Н10 0.98
Склад циркуляційного ВСГ, об'ємні частки:
Н 2 71.82
СН 4 19.64
С2Н6 5.41
С3Н8 1.94
С4Н10 1.19
Кратність циркуляції ВСГ м 3/м 3 250-400
Густина дизельного палива при 20Сº кг/м 3 850
Температура:
на вході в реактор Сº 350
на виході з реактору С º 358
Масова частка сірки в гідроочищеному ДП % 0,005
.2.1 Матеріальний баланс установки
.2.1.1 Вихід гідроочищенного дизельного палива
Вихід гідроочищенного дизельного палива ВД.П % (мас) на
вихідну сировину дорівнює
ВД.П =100-Вб-Вг-ΔS (1)
Де Вб, Вг, ΔS - виходи бензину, газу та
кількість видаляємої сірки із сировини відповідно на сировину, %(мас).
Бензин та газ утворюються переважно при гідрогенолізу
сірчистих сполук. При середньої молекулярної маси 209 в 100 кг сировини
міститься 100:209=0,48 кмоль, 0,25 кг сірки містять 0,25:32=0,0078 кмоль сірки,
тобто сірковмісні молекули складають 2% загального вмісту молекул. Якщо прийняти
рівномірне розподілення атомів сірки уздовж вуглеводневої ланцюжки, то при
гідрогенолізу сіркоорганічних сполук з розривом біля атому сірки з виходом
бензину та газу складе Вб=ΔS=0,245%(мас) Вг=0,3ΔS=0,3*0,245=0,074 % (мас).
Тоді вихід дизельного палива буде рівним
Вд.п=100-0,245-0,074-0,245 =99,436 %.
.2.1.2 Витрати водню на гідроочистку
Водень в процесі гідроочистки витрачається на: 1)
гідрогеноліз сіркоорганічних сполук, 2) гідрування ненасичених сполук 3) втрати
водню з відхідними потоками.
Витрати водню на гідрогеноліз сіркоорганічних сполук можна
знайти по формулі:
=m·ΔS (2)
Де G1 - витрати 100%-го водню, % (мас);
ΔS - кількість сірки
видаляємої при гідроочистці, %(мас);- коефіцієнт, залежний від характеру
сірчистих сполук.
Оскільки в сировині присутні різні сірчисті сполуки,
визначається витрата на гідрогеноліз кожного з них, та отримані результати
сумуються.
Значення m для вільної сірки рівним 0,0625, для меркаптанів -
0,062, циклічних та аліфатичних сульфідів - 0,125, дисульфідів - 0,0938,
тіофенів - 0,250 та бензотіофен - 0,187. Найбільш стабільні при гідроочистки
тіофенові сполуки, тому при розрахунку приймаємо, що вся залишкова сірка
(0,005% мас) в гідрогенізаті -
тіофенова.=0,01225·0,062+0,1225·0,125+0,0245·0,0938+(0,08575- 0,005)·0,25=0,045%
(мас).
Витрати водню на гідрування ненасичених вуглеводнів дорівнює
=2ΔC2/M (3)
Де G2 - витрати 100%-го водню, %мас;
ΔC2 - різниця вмісту
ненасичених ВВ в сировині та гідрогенізаті, %мас;
М - середня молекулярна маса сировини.
Середня молекулярна маса сировини дорівнює:
кг/кмоль (4)
Приймаючи, що ступінь гідрування ненасичених ВВ та гідрогенолізу
однакові, тоді
%
мас
Мольну долю водню, розчиненого в гідрогенізаті, можна розрахувати з
умови фазової рівноваги в газосепараторі високого тиску
(5)
де
- мольна частка водню в паровій фазі
-
мольні частка водню рідинній фазі;
Кр=30 - константа фазової рівноваги (для даних умов газосепаратору при
40 оС та 4 МПа).
Витрати водню на розчинення в гідрогенізату G3 (мас) на сировину складе
(6)
%
(мас)
Механічні втрати водню складають 1% від загального об’єму ЦВВГ:
(7)
%
(мас)
Де к=300 нм3/м3 -
кратність циркуляції воденьвмісного газу;=850 кг/м3 - густина сировини.
.2.1.3 Втрати водню з
віддухом
Втраті водню з
віддувом сприяють такі фактори: 1) хімічне забезпечення реакції гідрогенолізу;
2) розчинення водню в рідкому гідрогенізаті; 3) утворення газів, які
розбавляють ВВГ.
Об’ємний баланс по
водню та вуглеводневим газам записують таким чином:
Де
,
,
,
,
- об’єми свіжого ВВГ, хімічно регулюючого та
сорбуючого гідрогенізатом водню, віддува, газів гідрокрекінгу та газів, що
абсорбуються рідким гідрогенізатом відповідно, м3/год;
,
-
об’ємні концентрації водню в свіжому та циркулюючому ВВГ.
Найбільш економічний по витраті водню режим без віддува ВВГ
можна підтримувати, якщо гази, що утворюються при гідрокрекінгу, та гази які
поступають в систему зі свіжим ВВГ, повністю сорбуються в газосепараторі в
рідкому гідрогенізаті, тобто:
(10)
Рішенням системи рівнянь (8) та (9)
отримуємо об’єм газів віддува:
(11)
Об’єм водню в газі, що віддувається дорівнює
. Тоді загальна витрата водню при гідроочистки складе:
(12)
Розрахунок ведемо на 100 кг вихідної сировини, так як при цьому
абсолютні значення витратних показників (в %мас) можна використовувати з
розмірністю кг:
м3 (13)
м3
Де
=2,04 м3 - об’єм хімічно реагуючого водню.
м3 (14)
м3,
Де
=0,04 м3 - гази гідрокрекінгу;
=(16+30+44+58)/4=37
кг/кмоль - середня молекулярна маса газів гідрокрекінгу.
Кількість вуглеводневих газів, які абсорбуються рідким гідрогенізатом,
можна визначити, якщо допустити що ЦВВГ прийнятого складу знаходиться в
рівновазі з рідким гідрогенізатом.
Вміст окремих компонентів в ЦВВГ і константи фазової рівноваги в умовах
газосепаратора високого тиску (4,0 МПа) наведені в табл. 1.1.
Таблиця 1.1- Вміст окремих компонентів в ЦВВГ і константи фазової
рівноваги
|
Показники
|
Компоненти
|
|
CH4
|
C2H6
|
C3H8
|
C4H10
|
|
Вміст компоненту мол. частки0,200,050,020,01
|
|
|
|
|
|
Константа фазової
рівноваги Крі
|
3,85
|
1,2
|
0,47
|
0,18
|
Кількість абсорбованого компоненту i
в кг на 100 кг гідрогенізату дорівнює
(15)
Кількість абсорбованого компоненту і (υі, м3 на 100 кг гідрогенізату) складає
(16)
Підставляючи в рівняння (16) відповідні значення
отримуємо об’єм кожного компоненту, розчиненого в
гідрогенізаті
м3,
м3,
м3,
м3,
Сумарний об’єм абсорбованих газів дорівнює Συі = υа = 2,051 м3.
Балансовий об’єм вуглеводневих газів, які поступають в газосепаратор
складає 2,04·(1-0,85)+0,04=0,31<υа
Оскільки виконується вимога рівняння , можлива робота без віддува
частини ЦВВГ. Таким чином, загальна витрата водню в процесі складається з
водню, який поглинається при хімічній реакції, який абсорбується в сепараторі
високого тиску та механічно втрачає мого:
=G1+G2+G3+G4=0,045+0,093+0,022+0,031=0,191%
(мас)
Витрати свіжого ВВГ на гідроочистку дорівнює:
%
(мас) (17)
%
(мас),
Де
=0,65 - витрати свіжого ВВГ на гідроочистку;
,29 - вміст водню в свіжому ВВГ, % (мас).
1.2.1.4
Матеріальний баланс установки
Вихід сірководню:
%
(мас) (18)
%
(мас),
Таким чином, балансовим сірководнем поглинається 0,26-0,245=0,015 %
(мас) водню.
Кількість водню, який увійшов при гідруванні в склад ДП, дорівнює
+G2-0,015=0,045+0,093-0,015=0,123% (мас),
Таким чином вихід г/о ДП складе 99,436+0,123=99,559 % (мас).
Вихід сухого газу, який виводиться з установки, складається з
вуглеводневих газів, які поступають зі свіжим ВВГ, газів, яки утворюються при
гідрогенолізі, а також абсорбованого гідрогенізатом водню:
·(1-0,29)+Вг+G4=0,65·(1-0,29)+0,074+0,031=0,566
% (мас),
Таблиця 1.2 Матеріальний баланс установки
|
Найменування
|
%мас
|
т/рік
|
т/добу
|
кг/год
|
|
Взято - Дизпаливо
П/Г - Водневмісний газ
|
600000 3900
|
1764,7 11,47
|
73529,41 477,29
|
|
Разом
|
100,65
|
603900
|
1776,17
|
74007,35
|
|
Отримано -
Дизпаливо Г/О - Бензин відгін - Сірководень - Газ сухий - Втрати
|
99,559 0,245 0,26
0,566 0,02
|
597354 1470 1560
3396 120
|
1756,92 4,32 4,59
9,99 0,35
|
73205,14 180,14
191,18 416,17 14,72
|
|
Разом
|
100,65
|
603900
|
1776,17
|
74007,35
|
.2.1.5 Матеріальний баланс ректору
В реактор поступає сировина, свіжий
воденьвмісний газ та циркулюючий воденьвмісний газ (ЦВВГ).
Таблиця 1.3 - Склад ЦВВГ
|
H2
|
CH4
|
C2H6
|
C3H8
|
C4H10
|
|
Мольна частка y’
|
0,720
|
0,200
|
0,050
|
0,020
|
0,010
|
|
Масова частка y
|
0,192
|
0,427
|
0,201
|
0,103
|
0,077
|
Середня молекулярна маса ЦВВГ Мц
дорівнює:
кг/кмоль (19)
де Мц=7,6 кг/кмоль - середня молекулярна маса ЦВВГ;
Мі - молекулярна маса і-го компоненту;
-
мольна частка і-го компоненту.
Витрати ЦВВГ на 100 кг сировини Gц знайдемо по формулі:
(20)
кг
де Gц= 11,7 кг - витрати ЦВВГ на 100 кг сировини;
ρс=850 кг/м3 - густина сировини.
Складаємо матеріальний баланс реактору:
Таблиця. 1.4 Матеріальний баланс реактору
|
Найменування
|
%мас
|
т/рік
|
т/добу
|
кг/год
|
|
Взято - Дизпаливо
П/Г - Свіжий водневмісний газ - Циркулюючий водневмісний газ
|
100,0 0,65 11,7
|
600000 3900 70200
|
1764,7 11,47
206,47
|
73529,41 477,29
8602,94
|
|
Разом
|
112,35
|
674100
|
1982,64
|
82609,64
|
|
Отримано -
Дизпаливо Г/О - Бензин відгін - Сірководень - Газ сухий - Циркулюючий
водневмісний газ - Втрати
|
99,559 0,245 0,26
0,566 11,7 0,02
|
597354 1470 1560
3396 70200 120
|
1756,92 4,32 4,59
9,99 206,47 0,35
|
73205,14 180,14
191,18 416,17 8602,94 14,72
|
|
Разом
|
112,35
|
674100
|
1982,64
|
82609,64
|
1.2.1.6 Тепловий баланс реактору
Рівняння теплового балансу реактору
гідроочистки можливо записати так:
(21)
де Qс, Qц - тепло, яке надходить в реактор зі свіжою сировиною та
ЦВВГ;, Qг.н - тепло, яке виникає при протіканні реакцій гідрогенолізу сірчистих
та гідрування ненасичених сполук;
ΣQсм - тепло, яке відводиться з реактору реакційною
сумішшю.
Середня теплоємність реакційної суміші при гідроочистки мало змінюється
в ході процесу, тому тепловий баланс реактора можна записати в наступному
вигляді:
, (22)
, (23)
Де G - сумарна кількість реакційної суміші, % (мас);
-
середня теплоємність реакційної суміші, кДж/(кг·К);
ΔSн, ΔCн - кількість сірки та ненасичених ВВ, видаленні з
сировини, %(мас);, to - температура на вході в реактор та при видаленні сірки,
оС;, qн - теплові ефекти гідрування сірчистих та ненасичених сполук, кДж/кг.
Значення to визначають для кожної пари каталізатор-сировина в інтервалі
250-380 оС. Для заданої пари каталізатор-сировина to=350 оС.
Кількість сірки, видаленої з сировини ΔS=0,245% (мас). Глибину гідрування ненасичених
ВВ можна прийняти рівній глибині видалення сірки ΔСн=10·0,245=2,45% (мас).
Кількість тепла, що видаляється при гідрогенолізу сірчистих сполук (на
100 кг сировини) при заданій глибині знесірчування, рівній 0,245,
кДж
Де Qs=1319 кДж - кількість тепла, що видаляється при гідрогенолізі
сірчистих сполук;- теплові ефекти гідрогенолізу окремих сіркоорганічних сполук,
кДж/кг;- вміст окремих сіркоорганічних сполук, % (мас).
Кількість тепла, що видаляється при гідруванні ненасичених сполук,
дорівнює 126000 кДж/кмоль. Тоді
кДж (24)
кДж
Де Qн=1476 кДж - кількість тепла, що видаляється при гідруванні
ненасичених сполук;н=126000 кДж/кмоль - тепловий ефект, що видаляється при
гідруванні ненасичених сполук.
Середню теплоємність ЦВВГ можна знайти по формулі:
кДж/(кг·К),
де сц=5,45 кДж/(кг·К) - середня теплоємність ЦВВГ;
сРі - теплоємність окремих компонентів, кДж/(кг·К);і - масова частка
кожного компонента в ЦВВГ.
Таблиця 1.5 Теплоємність індивідуальних компонентів
|
Теплоємність
|
H2
|
CH4
|
C2H6
|
C3H8
|
C4H10
|
сР , кДж/(кг К ) сР, кДж/(кг
)14,57
,483,35
,8003,29
,7863,23
,7723,18
Ентальпія пари сировини при 350 оС
визначають I350=1050 кДж/кг.
Поправку на тиск знаходять по
значеннях приведених температури і тиску. Абсолютна критична температура
Ткр=460+273=733 К.
Приведена температура дорівнює
Тпр=(350+273)/733=0,85
Критичний тиск сировини знаходять по
формулі:
(25)
МПа,
Де Ркр=4,15 МПа - критичний тиск сировини;
(26)
Приведений тиск дорівнює:
(27)
Де Рпр=0,96 - приведений тиск;
Р=4 МПа - тиск процесу.
Для знайдених значень Тпр та Рпр :
кДж/кг
Ентальпія сировини з поправкою на тиск дорівнює І350=1050-51,3=998,7
кДж/кг. Теплоємність сировини з поправкою на тиск дорівнює сс=998,7/350=2,85
кДж/(кг·К).
Середня теплоємність реакційної суміші складає:
кДж/(кг·К) (28)
кДж/(кг·К),
Підставимо знайдені величини в рівняння (23), знайдемо температуру на
виході з реактору t:
оС (29)
оС
Потрібний об’єм каталізатору в реакторі Vк розраховують по
формулі:
(30)
29,5м3,
Де Vк=29,5м3 - потрібний об’єм каталізатору в реакторі;
’=G/ρ (31)
’=73529,41/850= 86,5м3/год
Так схема установки передбачає два послідовно працюючих реактора тому
кількість каталізатору в одному реакторі дорівнює= Vk/2=29,5/2=14,75
Об’ємна швидкість подачі сировини:
ω= G’/ Vк (32)
ω=86,5/27,5=2,93 ≈3г-
де ω=2,93 г-1 - об’ємна швидкість подачі сировини.
Приймаємо циліндричну форму реактору і відношення висоти до діаметру
рівним 2:1 або Н=2D. Тоді
Діаметр реактору дорівнює
м (33)
Приймаю D=2,4м, тоді висота шару каталізатору буде розрахована:
H=2D=2·2,34=4,8 м.
Розрахуємо втрати напору в шарі каталізатора
(34)
Де ε - порозність шару;- лінійна швидкість руху
потоку, м/с;
μ - динамічна в’язкість, Па·с;- середній
діаметр частинок, м;
ρ - густина реакційної суміші, кг/м3;-
прискорення силі тяжіння, кг/с2.
Порозність шару
розраховуємо по формулі:
ε=1- γн/γк ,
де γн=850 кг/м3 - насипна густина каталізатора;
γк=1210 кг/м3 - уявна густина каталізатора;
ε=1- 950/1210=0,214
Лінійну швидкість
руху потоку розраховуємо по формулі:
=4V/πD2 (35)
де V - об’єм
реакційної суміші, який складається з об’єму сировини та ЦВВГ, тобто V=Vс+Vц .
Об’єм сировини
розраховуємо по формулі:
м3/год (36)
м3/год
Де Vc=88,5 м3/год -
об’єм сировини;=73529 кг/год - витрата сировини в реакторі;- коефіцієнт
стисливості (при Тпр=0,845 та Рпр=0,98 дорівнює 0,25);=(to+t)/2=354 - середня
температура в реакторі, оС.
Об’єм ЦВВГ складе:
(37)
м3/год,
м3/год,
м3/год,
м/с,
Динамічну в’язкість
суміші визначаємо по її середньої молекулярної маси, рівній
(37)
По рівнянню Фроста
знаходять динамічну в’язкість суміші:
μ=T·(6,6-2,25·lnMcp)·10-8=354·(6,6-2,25·ln55,36)·108=9.68·10-6
кг·с/м2.
Середній діаметр
частинок каталізатору d=1,35·10-3м. Густина реакційної суміші в умовах процесу
дорівнює:
кг/м3 (38)
кг/м3
Таким чином,
кг/(м2·м)
кПа
Таким чином, втрата
напору каталізатору не перевищує гранично допустимих значень 0,2-0,3 МПа.
2. Спеціальна частина
.1 Призначення, конструкція, робота і технічна характеристика
реактора
Конструкція реактора гідроочищення показана на малюнку 2.1
Малюнок 2.1 - Конструкція реактора гідроочищення
Сировина (фракція 200-318°C) і водородосодержащих газ за
допомогою розподільника направляється на тарілку з фільтруючими елементами.
Парожідкостная суміш сировини і водородосодержащей газу,
очищена від механічних домішок, рівномірно розподіляється по перетину реактора.
Під тарілкою у верхній частині шару каталізатора встановлені
фільтруючі корзини для доочистки газорідинної суміші.
Пройшовши реакційний шар каталізатора, знесірчений продукт
через збірний перфорірованний пристрій (збірник) і далі через нижній штуцер
виводиться з реактора.
Реактор гідроочищення являє собою вертикальний циліндричний
апарат з еліптичних днищем.
У центрі верхнього днища розташований штуцер Ду 500 мм, через
який здійснюється монтаж внутрішніх пристроїв, завантаження каталізатора,
фарфорових кульок і подачі сировини.
Введення сировинного потоку проводиться через розподільник,
який спирається на фланець штуцера Ду 500.
Для вимірювання температури усередині реакторана верхньому
днище розташовані 3 штуцера для установки зональних термопар.
На нижньому днище передбачений штуцер Ду 200 для вивантаження
каталізатора.
Вихід продукту здійснюється через штуцер Ду 300, розміщений в
центрі нижнього днища.
У верхній частині встановлена тарілка з фільтруючими
елементами.
Реактор вільно спирається на конічну опору, виконану зварюванням
з двох частин.
Корпус реактора виконаний зі сталі 12ХМ з наплавленням із
сталі 08Х18Н10Т, штуцера - зі сталі 16ХМ (12ХМ) з наплавленням із сталі
08Х18Н10Т.
Кріплення опори реактора до постаменту здійснюється 8
фундаментними болтами М36.
Зовнішня поверхня апарату теплоізольована реальну ватою.
ТЕХНІЧНА ХАРАКТЕРИСТИКА
Робочі умови:
Продуктивність по сировині, т/год. -107,7
Тиск, Мпа (каг/см2)
робочий режим реакції -
5,0 (50)
робочий режим регенерації -
2,5 (25)
розрахунковий режим реакції -
6,2 (62)
розрахунковий режим регенерації -
3,0 (30)
гідровипробування -
8,63 (86,3)
Температура, °C
робоча при реакції -
370
середовища при регенерації -
540
розрахункова меттала корпусу при реакціі - 400
- розрахункова металу корпусу при регенерації - 540
Габаритні розміри, мм:
діаметр внутрішній, мм -
2800
висота, мм -
9620
місткість, м3 -
51,5
Маса, кгс:
металу реактора -
80000
реактора в робочому стані -123000
при гідровипробуванні -132000
.2 Робота реактора, можливі несправності апарата та засоби їх
усунення
Всі можливі неполадки наведені в таблиці 2.1.
Таблиця 2.1 - Можливі несправності в роботі реактора
|
Несправність
|
Можлива причина
несправності
|
Засоби усунення
несправності
|
|
1
|
2
|
3
|
|
1. Великій
гідравлічний опір.
|
Великі відкладення
на внутришніх пристроях та на каталізаторі.
|
Очистити внутрішні
пристрої від відкладень та замінити каталізатор.
|
|
2. Недостатня
очистка нафтопродукту.
|
«Отруєння»
каталізатора, зношення, покриття сирковою плівкою.
|
Замінити або
регенерувати каталізатор.
|
|
3. Малий масообмін.
|
«Знищення» корозією
внутришніх пристроїв реактора.
|
Заміна внутришніх
пристроїв колони або їх ремонт.
|
|
4. Пропускання
газів або продукту через фланцеве з’єднання і кришок.
|
Відкручення болтів фланців,
пропускання продукту внаслідок виходу з ладу прокладки.
|
Закрутити болти
відповідно до інструкції по ремонту; замінити прокладку.
|
|
5. Пропускання
продукту через зварні шви.
|
Дефект зварного шва
(мала товщина зварного шва).
|
Заварити місце
пропускання продукту.
|
3. Розрахунок реактора
.1 Розрахунок корпусу реактора на міцність
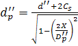
.1.1 Визначення толщині стінки обичайки для умови реакції
Товщина стінки обичайки, прийнята в проекті, повинна бути не менше
розрахункової:
Товщина стінки обичайки:

,
мм (1)
де D=2820 мм - внутрішній діаметр обичайки;

=132
Мпа - допустима напруга для стали 12XM при температурі 400 ◦С;

=
1 - коефіцієнт міцності зварного шва.
Сума надбавок до розрахункової товщині

,
мм (2)
Де 
=2
мм - надбавка на корозію і ерозію;

=
1,5 мм - негативний допуск на товщину стінки;

=
0 - технологічна надбавка.

,
мм
Перевірка:

,
мм (3)
Де 
=90
мм - товщина стінки прийнята в проекті.

,мм
.1.2 Товщина стінки еліптичного днища для умови реакції
Товщина стінки еліптичного днища, прийнята в проекті, повинна бути не
менше розрахункової:
Розрахункова товщина еліптичного днища:

,
мм (4)
Де 
=D=
2820 мм - внутрішній радіус кривизни в вершині еліптичного днища.
Сума надбавок до розрахункової товщині:

,
мм (5)
Де 
-
технологічна надбавка.
Перевірка:

(5)
Де 
=95
- товщина стінки еліптичного днища.
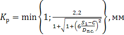
.1.3 Допустимий тиск для умови регенерації
Допустиме тиск для умови регенерації:

,
МПа (6)
Де 
=
50 МПа - допустиме напруження для сталі 12ХМ при температурі 540 ◦С.

МПа

(7)

МПа
3.2 Зміцнення отворів Ду 500 в верхньому днище штуцером
Малюнок 3.1 Штуцер верхнього днища
Матеріал штуцера - сталь 12ХМ.
Зміцнення отворів потовщенням стінки штуцера:
Розрахункова товщина стінки штуцера:

(8)
Де 

=
132 МПа - допустиме напруження для сталі 12ХМ при температурі 400 ◦С;

=
65,9 мм - розрахункова товщина днища;
Розрахунковий діаметр отвору для штуцера з круговим поперечним
перерізом, вісь якого збігається з нормальюк поверхні в центрі отвору:

(9)
Розрахункова довжина штуцера:

(10)
Ширина зони зміцнення в стінці днища в околиці штуцера:

(11)
Розрахунковий діаметр отвору, що не вимагає додаткового зміцнення при
відсутності надлишкової товщини стінки посудини:

(12)
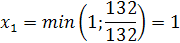
Ставлення допустимих напружень:

(13)
Умову зміцнення виконано:
263
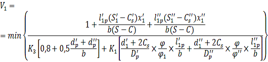
.3 Розрахунок взаємного впливу отворів на верхньому днище
Малюнок 3.2 Перемички між отворами
Для перевірки достатності зміцнення перемички між отворами визначаємо
допустиме тиск для перемички:

,
МПа (14)
Де 
=
2 - коефіцієнт для опуклих днищ;

=
5640 мм

=4700
мм
де 
=1
- коефіцієнт для опуклих днищ;

=546,6
мм

,
мм (15)


(16)
Умова зміцнення перемички виконано:
3.4 Розрахунок кришки
Малюнок 3.3 Товщина кришки
Товщина кришки повинна бути не менше:

Розрахункова товщина кришки:

(17)
Де 
=1
- коефіцієнт ослаблення для кришки без отвору;

=0,41
, мм (18)

=0,41

,
мм (19)
Реакція прокладки:

(20)
Де 
=6,5
- прокладочний коефіцієнт;

=
20 мм - ширина прокладки;
Ефективна ширина прокладки:

(21)
Рівнодіюча внутрішнього тиску:

(22)
Таким чином, конструктивна товщина кришки перевищує розрахункову:

(23)

(24)
Де 
прибавка
на корозію і ерозію;

негативний
допуск на товщину кришки.
Допустиме тиск для плоскої круглої кришки визначено за формулою:

(25)
Т.к. 
множимо
на поправочний коефіцієнт 

(26)
Умова міцності виконано:

(27)
.5 Перевірка міцності корпусу реактора при гідро випробуванні
Напруга в обичайці корпусу реактора при гідровипробуванні повинні
задовольняти умові:

(28)
Де 
=9,8
МПа - тиск гідровипробування;

(29)
де 
=1,1
- коефіцієнт запасу міцності рої гідровипробуванні;

=
220 МПа - межа плинності стали 12ХМ при t=20 ◦С.
Умова міцності при гідровипробуванні виконано:


4. Монтаж і демонтаж реактора
Установка реактора, його реєстрація в органах
Держгірпромнагляду, пуск в експлуатацію, технічне опосвідчення, утримання і
обслуговування повинні проводиться в повному відповідності з Правилами будови і
безпечної експлуатації посудин, що працюють під тиском, затверджених
Держгіртехнаглядом.
До початку монтажу реактора повинні бути виконані наступні
роботи:
Підготовлено опорний постамент;
Підготовлено до роботи монтажно-такелажне обладнання, згідно
проекту виконання монтажних робіт.
При прийманні в монтаж реактор повинен бути підданий огляду
(вхідного контролю), без розбирання на складальні одиниці і деталі, при цьому
перевіряється:
Комплектність поставки за заводськими специфікаціям або
довідковим і пакувальні відомостями;
Відсутність пошкоджень, раковин, тріщин, вм'ятин та інших
видимих дефектів апарату;
Відповідність реактора вимогам техдокументації;
Наявність у штуцерів реактора заглушок з прокладками, якими
вони повинні бути заглушені, щоб уникнути попадання в апарат атмосферних
опадів, бруду і т.д.;
Монтаж реактора повинен здійснюватися відповідно до діючих
норм і правил на підставі проекту виробництва робіт, з урахуванням розділу з
техніки безпеки цієї інструкції.
Марка бетонної суміші для підливи під опорне кільце опори
приймається не нижче марки бетону опорного постаменту.
Монтаж і вивертку проектного положення реактора на постаменті
виробляти за інструкцією ВСН-75/ММСС.
Перед складанням фланцевих з'єднань реактора необхідно
провести перевірку паспортних даних на кріпильні деталі й прокладки, і
встановити відповідність матеріалу вимогам креслень і маркування
підприємства-виробника.
Після установки реактори на постамент, затягування
фундаментних болтів м його заземлення виробляють під'єднання технологічних
трубопроводів з арматурою і приладами. Підключення трубопроводів до реактора
проводиться відповідно до проекту трубопроводів, розробленим автором проектом
установки.
Перед установкою шпильки, гайки, шайби повинні бути
перевірені на якість виготовлення, при цьому різьблення повинна бути чистою,
без задирів, подряпин, а поверхня нарізної частини шпильок - гладкою. Гайка,
навернута на шпильку, не повинна мати слабини (хитань) і повинна накручуватися
на всю різьбу вручну з невеликим зусиллям. Шпильки повинні бути покриті пастою
ВНДІ НП - 232 ГОСТ 14068-79. Торці гайок і шайб повинні щільно прилягати до
поверхні фланців по всьому колу.
Перед складанням фланцевих з'єднань зробити огляд привалочних
поверхонь фланців. Ризики, забоїни і інші дефекти неприпустимі.
Перевірити розміри і стан прокладок і відповідність їх
розмірів привалочних поверхонь фланців.
Перед затягуванням шпильок переконатися в правильності
встановлення прокладки, в наявності повного комплекту шпильок. Перекіс фланців,
а також неповний комплект шпильок не допускається.
Загортання гайок фланцевих з'єднань здійснюється
гайковертами, а також ключами з контролем зусилля затяжки з використанням
діаметрів і спеціальних пристосувань. Необхідні крутний момент для затягування
шпильок фланцевих з'єднань реактора відповідні, РД 26-16-88 Посудини та
апарати.
Через дві години після затягування шпильок проводиться їх
додаткова підтяжка із забезпеченням однакового зусилля на кожній шпильці,
підтяжка шпильок під час експлуатації та гідровипробуванні реактора не
допускається. Виявлення діфектові спосіб їх усунення, повинні бути
зареєстровані в паспорті реактора.
Колонні апарати збирають в горизонтальному положенні. Для
цього окремі блоки (частини циліндра) укладають на складальні стенди з катками
(малюнок 4.1, а), що обертаються, або на шпали з обмежувальними куточками -
упорами (малюнок 4.1, б). Число опор під кожну стикуєму частину вибирають в
залежності від ваги і перетину апарату. Звичайно відстань між опорами не
перевищує 5 м.
Стикуємі частини апарату підтягають один до одного
трубовкладачами або тракторами. Для збігу стиків по всьому периметру
використовують контователі та за допомогою болтів і фланців царг збирають
циліндричну частину колони. Стиковку проводять строго по заводських контрольних
ризках або кернах на корпусах, які ретельно суміщають, а також по маркіровці на
деталях. Відхилення розмірів стикуємих ділянок повинні бути в межах допустимих
норм: зсув кромок в кільцевих швах повинен бути не більше 10% від товщини листа
апарату, а у разі двошарової сталі воно не повинне перевищувати товщину
плануючого шару; кривизна апарату на ділянці завдовжки 1 м повинна бути в межах
2 мм і т.д. Підгонку стиків, наприклад місцевим підтяганням, роздачею,
надсадкой, проводять за допомогою інструментів і пристосувань вживаних на
машинобудівних заводах. Теж саме відноситься до технології зварювання стиків і
деталей, а також до збірки крупних блоків і обичайок з окремих завальцованих
листів. Ретельно контролюються зазори в зварюваних стиках, які незалежно від
товщини листів обичайок повинні знаходитися в межах 2-4 мм. Перед кінцевим
зварюванням зібрані на прихватних стиках апарати або зібрані на фланцях апарати
здаються по акту замовнику.
Малюнок 4.1 - Стенди для зварювання циліндрових апаратів: а -
рольганг; б - майданчик для кантування.
В процесі укрупненої збірки блоків на монтажному майданчику
доводиться вмонтовувати частину внутрішніх пристроїв, а іноді і всі внутрішні
пристрої.
В колонних апаратах залежно від їх призначення вмонтовуються
відбійники, відпарні секції, живильники і т.д. Вимоги, що пред'являються до їх
монтажу, вказуються в кресленнях і технічних умовах. Монтаж цих пристроїв
бажано проводити до підйому колони, тому в деяких випадках їх додатково
кріплять до корпусу.
Технологія підйому апарату є складовою частиною проекту
проведення монтажних робіт. Проектом передбачається докладна схема підйому:
місця установки щогл або кранів, їх положення на різних етапах підйому,
розташування розчалок, лебідок, відвідних тросів, поліспастів і т.д. В цьому ж
проекті приводяться технічні характеристики всіх підйомних засобів.
Зусилля, що випробовуються елементами оснащення, такелажу,
при підйомі апарату, змінюються в широкому діапазоні. Розрахунок цих елементів
проводять на максимальне зусилля.
Ступінь складності установки колонних апаратів в проектне
положення визначається їх габаритними розмірами (висотою і діаметром), вагою, а
також висотою фундаменту (постаменту). Підйом апаратів здійснюють кранами або
за допомогою щогл.
Підйом способом повороту навколо шарніра.
В цьому випадку колонні апарати можна піднімати і
встановлювати у вертикальному положенні на фундамент по декількох схемах.
Знайшли застосування наступні схеми:
) за допомогою однієї або двох нерухомих вертикальних щогл,
що розташовуються по іншу від лежачого апарату в бік фундаменту (малюнок 4.2,
а);
) за допомогою щогл, що встановлюються між фундаментом і
верхнім днищем лежачого апарату (апарат підводять щоглами в таке положення, щоб
його вертикальна вісь складала з лінією горизонту кут, рівний 40-70°), і
додаткового тягового поліспасту, що додає апарату вертикальне положення;
) за допомогою щогли, що коливається, яка спочатку
нахиляється у бік лежачого апарату, а потім у бік фундаменту (малюнок 4.2, б).
Малюнок 4.2 - Монтаж реактора
Вибір схеми підйому залежить від ваги і розмірів апарату, що
піднімається, характеристики підйомних щогл, а також можливості їх дислокації.
Загальним для всіх схем є те що опорна частина апарату встановлена на
поворотний шарнір надійно прикріплений до фундаменту.
Розміри шарніра і його розташування на фундаменті і опорній
частині апарату вибирають так, щоб після установки апарату у вертикальне
положення вся його опорна поверхня лежала на фундаменті, а вісі отворів на
опорному кільці співпадали з вісями шахт для фундаментних болтів. Для
часткового вирівнювання апарату використовують домкрати.
Підйом способом повороту навколо шарніра на завершальній
стадії повинен супроводжуватися гальмівною відтяжкою, що забезпечує плавне
опускання опорної частини апарату на фундамент в результаті повільного
гальмування, здійснюваного за допомогою поліспасту і лебідок.
Максимальні зусилля в елементах оснащення, такелажу,
виникають в початковий період підйому, тому при нагоді доцільно верхню частину
високих апаратів заздалегідь підводити кранами або невисокими щоглами, встановленими
у місця тимчасової строповки. Після цього в роботу вводять основні вантажні
поліспасти робочих щогл, а тимчасові стропи знімають.
Розрахункова схема підйому реактора аналогічна схемі підйому
щогл способом повороту навколо шарніра. Визначення зусиль, необхідно не тільки
для розрахунку засобів, такелажів, але і для перевірки міцності апарату, що
піднімається, під дією стискаючих навантажень, а також для встановлення міцних
розмірів поворотної опори
Вивіряння і кріплення апарату до фундаменту.
Реактор вивіряють на фундаменті особливо ретельно, оскільки
навіть незначні їх відхилення від строго вертикального положення можуть
привести до помітної втрати стійкості і порушенню нормальної роботи внутрішніх
пристроїв.
Допустиме відхилення від вертикалі рівне 0,1 % висоти
апарату, але не більше 15 мм; для апаратів, що не мають внутрішніх пристроїв, і
для насадочних колон воно складає 0,3%, але не більше 35 мм. Звичайно в робочих
монтажних кресленнях для кожного апарату вказується максимально допустиме
відхилення осі апарату від вертикалі.
Перевірка на вертикальність проводиться за допомогою
теодолітів, які встановлюють в двох взаємно перпендикулярних площинах, що
проходять через вісь апарату, що вивіряється. Щоб уникнути помилок, бажано
проводити перевірку в таких умовах, коли виключена можливість одностороннього
нагрівання стінок корпусу апарату сонячними променями.
Перевірка висоти розташування опорної площини апарату
проводиться нівеліром від нанесеної на фундаменті нівелірної відмітки.
Апарату додають потрібне положення, підкладаючи під його
опорну поверхню сталеві підкладки, після чого прикріплюють до фундаменту
фундаментними болтами. Зазори між фундаментом і опорною поверхнею апарату
заповнюють цементним розчином.
5. Випробування реактора
Нові реактори, а також реактори, корпуси яких піддавалися
значному ремонту, опресовують при локальних ремонтах корпусу, в, малих розмірах
обмежуються перевіркою на герметичність. Виняток становлять спеціальні
реактори, які за правилами Держгірпромнагляду опресовують при кожному розтині.
Опресовування з метою перевірки міцності і щільності апарату
проводиться на пробний тиск, величина якого встановлюється залежно від робочого
тиску і вказується в паспорті або технологічній карті. Найбільш поширене
гідравлічне опресовування, яке полягає в наступному:
- Гідравлічне випробування реактора повинно проводитися при
знятій теплоізоляції, з дотриманням вимог,, Правил будови і безпеки
експлуатації посудин, що працюють під тиском,, затвердженим
Держнаглядохоронпраці.
- При заповненні реактора рідиною для гідравлічних
випробувань повинно бути забезпечене повне видалення повітря з апарату через
воздушники, які входять в комплект поставки підприємства-виробника. Під час
гідравлічних випробувань реактор повинен бути від’єднаний від трубопроводів
обв'язки.
Гідравлічні випробування проводяться хімічно
очищеною водою з контролем вмісту хлоридів і кисню в ній.
Температура води при гідравлічних випробуваннях
повинна бути такою, щоб температура корпусу реактора була в межах плюс 6 40 С.
При проведенні гідровипробувань вміст хлоридів у
воді - не більш 10 мг / л.
Швидкість підйому і зниження тиску при
гідровипробуванні не повинна перевищувати 0,5 МПа (5 кгс / см) в хвилину.
Після проведення гідровипробувань реактор просушують
азотом з температурою на 20 С вище точки роси гаовой суміші в апараті.
Результати проведення гідровипробування оформляються
актом і заносяться в паспорт реактора.
При гідравлічному опресовуванню високих колонних апаратів
слід враховувати величину гідростатичного стовпа води опресовування, тому перед
опресовуванням по паспорту або розрахунком перевіряють допустимість
гідравлічного випробування в робочому положенні. Воно може проводитися, якщо
навантаження на стінку нижнього поясу апарату від суми пробного тиску і тиску
стовпа рідини не перевищує 0,8 величини межі текучості металу корпусу при
температурі опресовування.
У тих випадках, коли ця умова не виконується або виникає
небезпека перевантаження фундаменту апарату, по дозволу і у присутності
інспектора Держгірпромнагляду можна проводити опресовування реакторів повітрям
або інертним газом. До пневматичного опресовування вдаються також тоді, коли за
умовами технологічного процесу присутність води в колоні може викликати аварію
при виході її на робочий режим.
Пневматичне опресовування вимагає дотримання особливих
запобіжних засобів. Зокрема, перед опресовуванням повітрям необхідно
переконатися в повній відсутності в апараті вибухо- і пожеженебезпечних рідин,
парів і газів. Для цього реактор заздалегідь продувають інертним газом або
водяною парою. Апарат, що знаходиться під тиском повітря, обстукувати молотком
не можна; зварні шви обстукують до початку опресовування. В момент підвищення
тиску стояти поблизу апарату не дозволяється.
При перевірці зварних швів змазують гасом протягом 20-40 хв.
(залежно від товщини кожного шва) і стежать за появою плям на змащеній крейдою
протилежній (звичайно зовнішній) його стороні.
6. Ремонт реактора
.1 Порядок приймання обладнання до ремонту
Підготовка до ремонту має особливо велике значення в умовах
хімічних та нафтопереробних заводів, де досить істотними факторами є вибухо- і
пожежонебезпека і робота з токсичними середовищами. Тому послідовність і зміст
операцій з підготовки до ремонту обумовлюються в технологічній карті установки
або в інструкції з експлуатації кожного виду обладнання. При складанні карти
виходять з властивостей середовища, заповнюючого обладнання (або систему, в яку
воно входить), розмірів устаткування, а також прийнятого способу проведення
ремонту.
Зупинку обладнання, відключення його від системи і підготовку
до ремонту здійснює технологічний персонал (оператори). Різкі зміни
температури, тиску, навантажень при зупинці можуть викликати серйозні
пошкодження устаткування, тому зупинкою обладнання або технологічного об'єкта
керує начальник ділянки (установки).
Зупинена обладнання звільняють від заповнює його середовища,
використовуючи дренажі для спуску самопливом, продувку парою або повітрям,
промивку водою (промивка реактора водою сприяє також швидшому їх охолодженню.
Не можна приступати до ремонтних робіт, якщо температура промивальної води
перевищує 50°С ) і т. д. Після цього обладнання надійно відключають від
системи, встановлюючи заглушуки на фланцевих з'єднаннях до запірної арматури
або після неї. Заглушки повинні мати добре помітний хвостовик з обозначенням
номером. Факт встановлення кожної заглушки регистр ріруют у вахтовому журналі,
де зазначають дати установки і подальшого вилучення заглушки і вказують
прізвище виконавчої теля. Заглушки ставлять чергові слюсарі, а в разі великого
обсягу робіт слюсарі, виділені ремонтною базою заводу.
Подальша підготовка обладнання залежить від його
конструктивних особливостей, конкретних умов і характеру требуємого ремонту.
Вона може включати промивання та пропарювання, чередують певне число раз,
застосування спеціальних реагентів і ін технологічна служба повинна видати
виконаєтелям ремонту офіційну довідку, що гарантує підготовку обладнання. При
капітальному ремонті установки складається акт за певною формою, в якому
підтверджується готовність обладнання і комунікацій до ремонту і обумовлюються
особливі заходи обережності при проведенні робіт.
.2 Зміст робіт та діючі параметри на ТО і ремонт реактора
Склад робіт при поточному ремонті:
очищення корпуса та внутрішніх пристроїв від відкладень;
часткова заміна шпильок;
заміна прокладок, люків-лазів, приєднувальних трубопроводів.
Склад робіт капітального ремонту:
очищення корпуса та внутрішніх пристроїв від відкладень;
часткова заміна шпильок;
заміна прокладок, люків-лазів, приєднувальних трубопроводів;
ремонт корпусу реактора;
заміна штуцерів;
заміна захисного кожуха;
випробування на міцність і щільність.
Всі нормативи на трудоємкість капітального ремонту наведені в
графічній частині дипломного проекту.
.3 Відомість дефектів та капітальний ремонт реактора
Відомості ремонтних робіт. Підготовка до ремонту і його
успішне проведення в стислі терміни можливі, якщо виробники ремонту точно
вкажуть що їм належить зробити і в якому обсязі. Крім ремонтних робіт у
відомості можуть бути відображені роботи, обумовлені виробничою необхідністю
(крейдакі перемикання комунікацій, конструктивні зміни та ін.), Спрямовані на
поліпшення умов праці (номенклатурні роботи з техніки безпеки), а також роботи
по (часткової модернізації технологічної установки або повної монізації
конкретного обладнання (заміна старого обладнанням новим, більш досконалим).
Складання відомостей ремонтних робіт - дуже відповідальна
справа, що вимагає високої кваліфікації виконавців. Останні повинні добре знати
стан всього обладнання ремонтується об'єкта, передбачити характер і розміри до
моменту зупинки обладнання на ремонт, знати способи ліквідації дефектів,
зразкову технологію виробництва ремонтних робіт і т. д. Укладачі відомостей
керуються досвідченими даними, візуальними спостереженнями, контрольними
замірами, результатами аналізу показників роботи за весь міжремонтний період,
бракувальної нормами, що діють на підприємстві, та ін..
Відомість складають керівники експлуатації ділянки: начальник
та механік дільниці, старший механік і начальник цеху. Щоб забезпечити високу
якість складеної відомості, слід враховувати думку всього обслуговуючого
персоналу (операторів, апаратників, машиністів, чергових слюсарів і т.і.).
Відомість узгоджується з головним механіком і затверджується головним інженером
підприємства.
На підставі відомостей ремонтних робіт (відомостей дефектів)
складаються зведені заявки на необхідні для ремонту матеріали і запасні
частини, які повинні бути підготовлені до призначеного терміну ремонту службами
постачання підприємства або виконавця.
З урахуванням витратних матеріалів та запасних частин за
відомостями складають кошторис на ремонт, визначальну поелементну і загальну
вартість всього ремонту. Керівництвом для складання кошторисів служать
затверджені цінники або - в разі їх відсутності - оформлені відповідним чином
калькуляції.
Для своєчасного проведення ремонту виконавці повинні завчасно
отримати затверджені відомості ремонтних робіт. Чим більше об'єм робіт, тим
раніше повинні бути підготовлені відомості та інші документи, потрібні при
проведені ремонту (креслення, технологічні карти, графіки робіт та ін.)
Відомість ремонтних робіт (відомість дефектів) не можна
вважати документом, що вимагає неухильного, пунктуального виконання. При
розтині, розбирання та ретельному технічному огляді ремонтованого устаткування
можуть бути виявлені нові, не передбачені відомістю дефекти або, навпаки,
передбачувані дефекти можуть бути відсутні. Тому в ході ремонту відомість
доповнюється новими пунктами або скорочується. Скоригований відомість, яка
відображає перелік і обсяг фактично виконаних робіт, називається виконавчої і
разом з попередньою відомістю служить звітним документом при оформленні здачі
об'єкта після ремонту. Розбіжності між попередньою і виконавчою відомостями
повинні бути детально пояснені в графі «Примітки» або в спеціальному акті.
Дефектна відомість на капітальний ремонт реактора
|
№ п/п
|
Найменування робіт
|
Об’єм робіт
|
Матеріали і запасні
частини
|
Виконувач
|
Примітка
|
|
|
|
Од. виміру
|
Кіл-ть
|
Найменування
|
Од. виміру
|
Кіл-ть
|
|
|
|
|
1
|
2
|
3
|
4
|
5
|
6
|
7
|
8
|
9
|
|
|
1
|
Промивка та
пропарювання апарату.
|
чол.год
|
20
|
Гас
|
кг.
|
100
|
Підрядна
організація
|
-
|
|
|
2
|
Відключення апарату
від трубопровідного обв’язування та установка заглушок.
|
чол.год
|
10
|
Заглушки
|
шт.
|
4
|
Підрядна
організація
|
-
|
|
|
3
|
Демонтаж та
розбирання апарату.
|
чол.год
|
45
|
-
|
-
|
-
|
Підрядна
організація
|
-
|
|
|
4
|
Очищення
внутришньої поверхні корпусу та пристроїв
|
чол.год
|
50
|
-
|
-
|
-
|
Підрядна
організація
|
-
|
|
|
5
|
Часткова заміна
шпильок
|
чол.год
|
10
|
Шпильки
|
кг
|
23
|
Підрядна
організація
|
-
|
|
|
6
|
Заміна прокладок,
приєднувальних трубопроводів
|
чол.год
|
15
|
Пароніт
|
м 8Підрядна організація
|
-
|
|
|
|
8
|
Ремонт корпусу
реактора
|
чол.год
|
35
|
Електрод
|
кг
|
100
|
Підрядна
організація
|
-
|
|
9
|
Заміна штуцерів
|
чол.год
|
25
|
Штуцера
|
шт
|
6
|
Підрядна
організація
|
-
|
|
12
|
Збирання апарату
|
чол.год
|
45
|
-
|
-
|
-
|
Підрядна
організація
|
-
|
|
13
|
Перевірка апарату
на пробний тиск
|
чол.год
|
15
|
-
|
-
|
-
|
Підрядна
організація
|
-
|
|
14
|
Монтаж апарата
|
чол.год
|
30
|
-
|
-
|
-
|
Підрядна
організація
|
-
|
|
15
|
Підключення апарату
до трубопровідного обв’язування
|
чол.год
|
20
|
-
|
-
|
-
|
Підрядна організація
|
-
|
|
Всього
|
чол.год
|
320
|
|
|
|
|
|
|
|
|
|
|
|
|
|
|
|
|
|
|
|
|
|
|
.4 Сітьовий графік капітального ремонту
Ремонтні документи розробляються на основі конструкторських;
експлуатаційної та технологічної документації, також досвіду експлуатації, в
процесі якої визначають інтенсивності зносу і інші показники. У цих документах
повинні бути відображені способи ремонту; пристосування, інструмент та прилади,
необхідні для проведення ремонту; технічні вимоги до відремонтованою
обладнання; норми витрати згпасних частин і матеріалів.
Графіки ремонтів. Основними вихідними документами при
складанні загального плану ремонту є річні плани і графіки ремонтів виробництв,
цехів, технологічних установок або окремого устаткування. Плани та графіки
складають, ісходячи з виробничого плану і діючих нормативів на ремонт. При
цьому враховують також реальні можливості, сили та засоби ремонтної служби, а в
деяких випадках і сезонність.
Структура міжремонтного циклу, міжремонтний період і
тривалість простою обладнання в ремонті повинні відповідати ремонтним
нормативам.
У річних графіках встановлюють місяці, протягом яких дана
технологічна установка (або обладнання) повинна бути відремонтована. На
підставі річних графіків складають місячні графіки ремонтів; в них вказують
календарні дні простою кожного об'єкта в ремонті того виду, який передбачений
річним планом. Згідно місячному графіку об'єкт в строго визначений час
зупиняють на ремонт. Відступлення від графіка повинні носити винятковий
характер. Вони припустимі тільки після ретельної перевірки стану об'єкта
спеціальною комісією з керівних працівників підприємства.
Проект графіка капітального ремонту попередньо узгоджується з
усіма організаціями, які на договірних початках повинні приймати участь в
ремонтних роботах.
Таблиця 6.1 - Сітьовий графік ремонту
реактора
|
Найменування робіт
|
Години ремонту
|
|
3
|
3
|
4
|
4
|
3
|
3
|
3
|
3
|
3
|
3
|
|
1
|
2
|
3
|
4
|
5
|
6
|
7
|
8
|
9
|
10
|
11
|
|
Промивка та
пропарювання апарату.
|
___
|
|
|
|
|
|
|
|
|
|
|
Відключення апарату
від трубопровідного обв’язування та установка заглушок.
|
__
|
__
|
|
|
|
|
|
|
|
|
|
Демонтаж та
розбирання апарату.
|
|
___
|
_
|
|
|
|
|
|
|
|
|
Очищення
внутришньої поверхні корпусу та пристроїв
|
|
|
___
|
__
|
|
|
|
|
|
|
|
Часткова заміна
шпильок
|
|
|
|
___
|
_
|
|
|
|
|
|
|
Заміна прокладок,
приєднувальних трубопроводів
|
|
|
|
|
____
|
|
|
|
|
|
|
Ремонт корпусу
реактора
|
|
|
|
|
|
____
|
|
|
|
|
|
Заміна штуцерів
|
|
|
|
|
|
_
|
___
|
|
|
|
|
Заміна захисного
кожуха, футеровки
|
|
|
|
|
|
|
|
|
|
|
|
Збирання апарату
|
|
|
|
|
|
|
__
|
__
|
|
|
|
Перевірка апарату
на пробний тиск
|
|
|
|
|
|
|
|
___
|
_
|
|
|
Монтаж апарату
|
|
|
|
|
|
|
|
|
____
|
|
|
Підключення апарату
до трубопровідного обв’язування
|
|
|
|
|
|
|
|
|
|
____
|
.5 Технологія ремонту окремих збірних одиниць, деталей
обладнання
При ремонті внутрішні пристрої реактора очищають від бруду,
коксу та інших відкладень. Тверду и тістоподібну масу вигрібають лопатками або
шкребками, кокс видаляють за допомога пневматичних відбійних молотків.
Видалення відкладень завжди супроводжується підвищенням концентрації шкоду них
газів, в цей період всередині реактора рекомендується працювати в шлангових
протигазах.
Ремонт внутрішніх пристроїв пов'язаний з багаторазовим
підійманням нових та спуском зношених деталей; такі операції бажано
механізувати. До верхньої частин корпусу реактора кріплять поворотний або
нерухомого кран-укосину (рис. 6.1). Кран можна прикріпити до стійок центральних
пілонів сходова клітей. Електролебідки з електродвигунами у вибуховобезпечному
виконанні або пневмолебідку до крана-укосини встановлюються біля основи
реактора або на майданчик, яку обслуговує кран-укосина.
Визначення знос и відбраковування внутрішніх пристроїв
проводиться згідно з діючими методиками і нормам. Зношені деталі, а іноді й
цілі вузлі замінюють новими.
Досить трудомісткими є операції, пов'язані з розборкою
закоксованих тарілок.
1 - кронштейн; 2 - стійка; 3 - блок; 4 - ролик: Малюнок 6.1 -
Кран-укосина на корпусі апарату
Спочатку їх звільняють від коксу механічним чищенням, потім
за допомогою ланцюгових талів, підвішений всередині реактора за надійні
конструкції (наприклад, опорні балки), віддирають кожен елемент від місця
посадки. Для цієї операції не можна застосовувати трос з лебідкою: під дією
сили пружності троса вирваний елемент сильно відскакує і може пошкодити колону
або заподіяти травму знаходяться в колоні робочим.
6.6 Порядок приймання реактора з
ремонту
Після завершення всіх
будівельно-монтажних робіт виконавці робіт готують об'єкт до здачі замовнику.
Обладнання повинно вводитися в експлуатацію випробуваним і в стані повної
готовності до нормальної роботи. Перед здачею обладнання випробовують вхолосту
- ємності і апарати обпресовують, машини і механізми перевіряють спочатку на
холостому ходу, потім під навантаженням. Режим випробування (тиск, тривалість,
навантаження), а також способи виявлення дефектів і їх усунення для кожного
виду обладнання вказані в паспортах або в робочих кресленнях і технологічних
картах.
Опресовування з метою перевірки
міцності і щільності апарату проводиться на пробний тиск, величина якого
встановлюється залежно від робочого тиску і указується в паспорті або
технологічній карті. Найбільш поширене гідравлічне опресовування, яке полягає в
наступному. У реактор нагнітають воду при відкритому на самій верхній точці
апарату душнику. Поява води у душнику свідчить про заповнення реактора.
Закривши душник, в реакторі поволі підвищують тиск, поки воно не досягне
величини тиску, опресовування. При такому тиску апарат витримують протягом 5
хв, після чого тиск поволі знижують до робочого і приступають до огляду
корпусу, одночасно обстукуючи зварні шви молотком вагою 0,5-1,5 кгс.
При гідравлічного опресовування
високих колонних апаратів слід враховувати величину гідростатичного стовпа
води, опресовування, тому перед опресовуванням по паспорту або розрахунком
перевіряють допустимість гідравлічного випробування в робочому положенні. Воно
може проводитися, якщо навантаження на стінку нижнього поясу апарату від суми
пробного тиску і тиску стовпа рідини не перевищує 0,8 величини межі текучості
металу корпусу при температурі опресовування.
У тих випадках, коли ця умова не
виконується або виникає небезпека перевантаження фундаменту апарату, по дозволу
і у присутності інспектора Держгірпромнагляду можна проводити опресовування
реакторів повітрям або інертним газом. До пневматичного опресовування вдаються
також тоді, коли за умовами технологічного процесу присутність води в реакторі
може викликати аварію при виході її на робочий режим.
Пневматичне опресовування вимагає
дотримання особливих запобіжних засобів. Зокрема, перед опресовуванням повітрям
необхідно переконатися в повній відсутності в апараті вибухо- і
пожежонебезпечних рідин, парів і газів. Для цього реактор заздалегідь
продувають інертним газом або водяною парою. Апарат, що знаходиться під тиском
повітря, обстукувати молотком не можна; зварні шви обстукують до початка
опресовування. У момент підвищення тиску стояти поблизу апарату не дозволяється.
При перевірці зварних швів
змазуванням гасом протягом 20-40 хв. (залежно від товщини кожного шва) стежать
за появою плям на змащеній крейдою протилежній (звичайно зовнішньої) його
стороні.
Після виправлення помічених дефектів
у присутності замовника здійснюється контрольне випробування і складається акт
про здачу за затвердженою формою, що свідчить про готовність обладнання до
комплексного випробування. Комплексне випробування об'єкта виробляє замовник.
Підрядники усувають окремі недоліки, помічені як при цьому випробуванні, так і
в період виведення об'єкта на нормальний експлуатаційний режим.
6.7 Техніка безпеки, протипожежні заходи та промислова
санітарія при ремонті реактора
Порушення правил техніки безпеки на виробництві іноді
призводить до аварій, пожеж, нещасних випадків, отруєнь та професійних
захворювань.
На виробництві можливі випадки отруєння. Вони бувають
гострими - мають раптовий характер, або хронічними - мають поступовий вплив на
людину шкідливих речовин. Випадки гострого отруєння відносяться до числа травм;
випадки хронічного отруєння враховуються окремо тому, що важко визначити момент
його виникнення.
7. Організація служби охорони праці
.1 Організація і проведення процесу гідроочищення дизельного
палива, повинні передбачати
) усунення безпосереднього контакту працюючих із сировиною,
реагентами, матеріалами, готовою продукцією та відходами виробництва, що
роблять шкідливий вплив;
) герметизацію обладнання;
) автоматизацію і дистанційне керування параметрами процесу;
) застосування засобів колективного захисту працюючих;
) раціональну організацію праці і відпочинку, а також
обмеження важкості праці;
) своєчасне отримання інформації про виникнення небезпечних і
шкідливих виробничих факторів;
) систему контролю та управління процесом, що забезпечує
захист працюючих і аварійне відключення виробничого обладнання.
Безпечна робота установки залежить від кваліфікації та
уважності обслуговуючого персоналу, а також від строгого дотримання ними технологічного
режиму у відповідності до норм технологічного регламенту, вимогами і правилами
охорони праці, пожежної і газової безпеки, Держнаглядохоронпраці.
До роботи допускаються тільки ті особи, які пройшли необхідну
підготовку, здали іспит на допуск на робоче місце і пройшли інструктаж з
охорони праці, пожежної і газовой безпеки.
Всі діючі інструкції повинні бути в наявності, знання їх і
дотримання обслуговуючого персоналом повинні постійно контролюватися.
Весь персонал установки повинен бути забезпечений
індивідуальними фільтруючими протигазами з коробкою марки «БКФ». Протигази
належить зберігати в особливих шафах, де для кожного протигаза відводиться
окрема осередок з написом прізвища робітника. До сумці протигаза повинна бути
прикріплена бирка з написом прізвища його власника.
Справність протигазів необхідно перевіряти за графіком,
затвердженим головним інженером.
На території установки заборонено застосування відкритого
вогню, за винятком місць, на які виписуються спеціальні дозволи.
Розташовані на території установки лотки, траншеї та інші
поглиблення повинні бути надійно укриті.
Не допускати захаращення і забруднення дороги під'їздів до
установки, території установки, проходів і виходів з будівель, підступів до
протипожежного обладнання, засобів пожежогасіння, сигналізації та зв'язку. Пуск
установки до закінчення очищення території від сміття та металобрухту
забороняється.
Біля входів у виробничі приміщення повинні бути написи із
зазначенням класу вибухонебезпеки.
Не дозволяється залишати на території та у виробничих
приміщеннях розлиті нафтопродукти, бруд і т.д.
Стежити за справністю теплоізоляції обладнання і
трубопроводів.
Зберігання у виробничих приміщеннях предметів і матеріалів,
не потрібних для установки, не допускається.
Обладнання, апарати, механізми і трубопроводи повинні
міститися в чистоті і справності.
Під час роботи робочі зобов'язані користуватися встановленої
для них спецодягом та спецвзуттям. Працювати у відкритій літнього взуття, а
також взуття підбитим залізними цвяхами або з металевими набійками -
забороняється.
В операторної установки повинна знаходитися аптечка з
медикаментами і необхідними засобами для надання першої допомоги.
Експлуатація каналізації з несправними гідрозатворами, а
також без них забороняється.
Масова концентрація нафтопродукту в стічних водах не повинна
перевищувати 300 мг/дм3.
Колодязі мережі промислової каналізації повинні постійно
утримуватися закривають тими, а кришки засипані шаром піску не менше 10 см в
сталевому або бетонному кільці.
Не допускається експлуатація установки з несправними сходами,
площадками, драбинами, перехідними містками.
Забороняється установка і користування
контрольно-вимірювальними приладами:
) не мають клейма або з простроченим терміном перевірки;
) без свідоцтв та атестатів;
) пошкодженими і потребують ремонту та перевірці.
Витіснення повітря з апаратів, ємностей і трубопроводів перед
пуском установки в факельний колектор підприємства забороняється.
Не допускається перебування на установці осіб, які не мають
безпосереднього відношення до її обслуговування.
Всі апарати й окремі вузли установки, які зазнали ремонту,
перед пуском повинні бути опресовані на герметичність. Факельна лінія від
установки при випробуванні повинна бути відглушені.
Перед прийомом пара на установку необхідно відкрити всі
дренажі на паропроводі і для прогріву системи поступово відкривати засувку на
лінії подачі пари. Прийом пара в паропровід, який має розгалуження, виробляти
спочатку в центральну магістраль, а потім в кожне відгалуження окремо.
Забороняється експлуатація трубопроводів, обладнання і
апаратури при наявності нещільностей у з'єднаннях. Всі нещільності в з'єднаннях
і пропуски нафтопродуктів повинні негайно усуватися. Все помічені несправності
старший оператор зобов'язаний приписувати в вахтовий журнал.
При виявленні пропусків в корпусі реактора, для запобігання
займання випливає нафтопродукту, необхідно негайно подати пар до місця пропуску
і вимкнути апарат з роботи.
Відбір проб гарячого нафтопродукту проводити після
попереднього його охолодження в чисту і суху металевий посуд з кришкою. При
відборі проб необхідно користуватися захисними окулярами і рукавицями.
Скидання газу з технологічної апаратури в атмосферу не
дозволяється. Аварійний скид з запобіжних клапанів має здійснюватися в факельну
лінію.
Робота установки з несправною системою пожежогасіння не
допускається.
Не допускати експлуатації обладнання та трубопроводів при
наявності пропусків газу, пари або рідких нафтопродуктів. Всі пропуски повинні
бути усунені. Усунення перепусток на діючих трубопроводах та обладнанні
забороняється.
Працювати на установці тільки інструментом, що не дає іскри.
При використанні сталевого ріжучого інструменту, останній рясно змащувати
консистентними мастилами.
Усі технологічні апарати, агрегати і трубопроводи повинні
мати відмінну маркування.
Систематично контролювати роботу запобіжних клапанів.
Ретельно спостерігати за ходом технологічного процесу,
своєчасне проведення профілактичних заходів та підтримку надійності роботи
обладнання, контрольно-вимірювальних приладів та систем автоматики, як правило,
дає можливість своєчасного тимчасово усунути відхилення в технологічному
процесі і забезпечити безпеку ведення робіт.
8. Техніка безпеки при ремонті обладнання
8.1 Підготовка і організація роботи
На нафтопереробних заводах використовують систему
планово-попереджувального ремонту (ППР), яка представляє собою комплекс заходів
по нагляду, догляду і ремонту обладнання, спрямованих на підтримку обладнання в
стані постійної експлуатаційної готовності та на попередження аварій.
Встановлений системою ППР час міжремонтного пробігу повинен
суворо дотримуватись
Всі ремонтні операції поділяють на підготовчі, ремонтні та
завершальні. Для проведення підготовчих робіт наказом по заводу виділяється
спеціальна людина, яка відповідає за підготовку обладнання і здачу його в
ремонт. Складає докладний план ведення підготовчих і ремонтних робіт з
урахуванням вимог безпеки.
Планом ведення підготовчих і ремонтних робіт не допускається
одночасне проведення несумісних ремонтних операцій. Важливим фактором безпеки
при ремонтних роботах є розміщення працюючих на висоті. Монтажні і ремонтні
роботи не можна проводити одночасно на різних відмітках по одній вертикалі.
.2 Основні вимоги техніки безпеки при виконанні ремонту
Роботи виконують в певній послідовності і при суворому
дотриманні часу і швидкості проведення окремих операцій. Дуже важливе правильне
встановлення заглушок. Їх встановлюють на трубопроводах, які входять в склад
апарату або виходять з нього, щоб уникнути попадання в нього продукту. По закінченню
ремонту усі заглушки знімають; залишена заглушка може викликати порушення в
технологічному процесі, підвищення тиску і в кінцевому випадку, аварію.
Роботи на висоті можуть виконуватися з лісів. Роботи з
неогороджених поверхонь повинні проводитися з обов’язковим застосуванням
випробуваних і перевірених запобіжних поясів.
Роботи всередині апарату відносяться до числа особливо
небезпечних. На цих ділянках можуть знаходитися або раптово з’явитися гази і
пари вибухонебезпечних або токсичних концентрацій. Тому в таких умовах рухи
працюючого стиснені, освітлення недостатнє, чутливість низька, евакуація
робітника при небезпечній ситуації ускладнена.
При очищенні апарату застосовують дерев’яні лопатки та інші
предмети з неіскристих матеріалів. Також використовують такі способи очищення
апарату: гідравлічні (з використанням струменя води) і хімічні (засновані на
спроможності деяких речовин розщіпляти забруднення).
До вогневих робіт всередині апарату допускаються лише
зварювальники, які мають посвідчення на право зварювання сосудів, працюючих під
тиском.
В процесі ремонту доводиться розбирати реактор. При таких
роботах повинна дотримуватися послідовність розбирання, що забезпечує стійкість
вузлів, що залишаються, і деталей і що виключає їх падіння. Тому розбирати устаткування
потрібно у визначеному, наперед передбаченому порядку; за цими операціями
ведуть постійний нагляд. Те ж відноситься і до монтажу устаткування.
При очищенні реактора використовують такі способи очищення
апарату: гідравлічні (з використанням струменя води) і хімічні (засновані на
спроможності деяких речовин розщіпляти забруднення).
Під час ремонту використовують слюсарний інструмент. Молотки
повинні бути міцно насаджені на рукоятки; ріжучі інструменти (зубила) - - добре
обточені, мати рівні потилиці; напилки і шабери - вставлені в справні ручки з
насадженими на них металевими кільцями; гайкові ключі повинні точно відповідати
розмірам гайки або головки болта. Потрібно враховувати, що зрив бойка з
рукоятки молотка або зрив гайкового ключа з гайки може не тільки заподіяти
удар, але і викликати іскру. Іноді, не маючи потрібного справного інструменту,
намагаються замінити його іншим, що знаходиться під рукою, це неприпустимо,
тому що непристосований для даної роботи інструмент може зірватися і поранити робітника.
В процесі ремонту і особливо після його закінчення ретельно
перевіряють, не залишилося чи, усередині апаратів, трубопроводів, машин
якого-небудь інструменту, дрібних деталей, стружок або інших сторонніх
предметів, які згодом могли б послужити причиною аварії або нещасного випадку.
збірний днище деталь реактор
Перелік посилань
1. Фарамазов С. А. Ремонт и монтаж оборудования химических и
нефтеперерабатывающих заводов: Учебник для техникумов. 3-е изд., перераб. и
доп. М.: Химия, 1988. - 304 с.
2. РТМ
42-62. Сосуды и аппараты. Нормы и методы расчета на прочность узлов и деталей.
Выпуск 1. М.: «Издательство стандартов», 1964. - 72 с.
.
Кузнецов А.А., Кагерман С.М. Расчеты процессов и аппаратов в
нефтеперабатывающей промышленности. Изд 2-е пер. и доп. Л., «Химия», 1974. -
344с.
.
Варгафтик Н.Б. Справочник по теплофизическим свойствам газов и жидкостей. М.:
«Физматгиз», 1963. - 708 с.
.
Курсовое проектирование по технологии машиностроения / под ред.
А.Ф.Горбацевича. - Минск: Вышэйш. шк., 1975. - 287 с.
.
Бабицкий И.Ф., Вихман Г.Л. Расчет и конструирование аппаратуры
нефтеперерабатывающих заводов. Изд. 2-е пер. и доп. М.: «Недра», 1965. - 904с
.
Единая система допусков и посадок СЭВ в машиностроении и приборостроении:
Справочник, 2 т. Изд. 2-е, переработанное и дополненное. М.: «Издательство
стандартов», 1989. - 263 с.
.
Основи охорони праці: Навчальний посібник / За ред. проф. В.В. Березуцького.
Х.: Факт, 2005. - 480 с.
.
Методичні вказівки до виконання економічної частини дипломного проекту для
студентів, які навчаються за спеціальністю «Обслуговування та ремонт обладнання
нафтопереробних та хімічних виробництв / Укл. Труніна М.В. Кременчук: КК КДПУ,
2008. - 24 с.