Регулятор для подачи газа в котел

  • Вид работы:
    Курсовая работа (т)
  • Предмет:
    Другое
  • Язык:
    Русский
    ,
    Формат файла:
    MS Word
    976,62 Кб
  • Опубликовано:
    2015-06-21
Вы можете узнать стоимость помощи в написании студенческой работы.
Помощь в написании работы, которую точно примут!

Регулятор для подачи газа в котел

Введение

котёл газ регулятор нагрузка

Автоматика управления включает:

1.      Автоматика пуска и остановка котла.

Автоматика пуска и остановки котла предусматривает процесс пуска при помощи определенной временной программы пуска т.е. невозможность подачи газа на горелку котла без выполнения процессов подготовки котла к пуску без наличия:

А) давления воды в котле;

Б) подачи воздуха на горелки;

В) наличие разряжения в топке котла;

Г) наличие давления газа в подводящем газопроводе ;

Д) наличие напряжения в сети управления.

Программа пуска определяется временную последовательностью выполнения данных подготовительных операций и её за блокирование при несоблюдении любых из этих условий.

2.      Автоматика регулирования технологического процесса.

Автоматика регулирования поддерживает заданные параметру работы котлоагрегата в пределах нагрузок от 40% в режиме "малого" горения и до 100% в режиме "большого" горения.

Регулирующим органом системы автоматики является затвор регулирующий дисковый 32КЧ915бк1 с электроприводом МЭО-4/10-025, установленный в газовом коллекторе котла.

3.      Автоматика безопасности работы котлового оборудования.

Автоматика безопасности работы котлового оборудования прекращает подачу газа к горелкам при возникновении следующих предъаварийных состояний работы котла:

-         повышение давления газа на горелках;

-        понижение давления газа на горелках;

         повышение давления воды на выходе;

         понижение давления воды на выходе;

         повышение температуры воды на выходе из котла;

         понижение разряжения в топке котла;

         погасание факела горелки;

         отключение электроэнергии;

         неисправность автоматики.

1. Описание технологического процесса

Котельная предназначена для выработки тепло энергии и подачи её потребителю. Различают потребителей пара и потребителей горячей воды, в зависимости от этого в котельной используются паровые или водогрейные котлы.

Рассмотрим работу котельной с водогрейными котлами типа КСВ-2,9 (Гкал/час) с горелками типа БИГ-2/12.

Котел - устройство обеспечивающие преобразование тепловой энергии сжигания топлива (газа) в тепловую энергию теплоносителя (вода).

Котел оборудован установкой хим. водопадкачки питания воды обеспечивающий необходимые параметры жесткости воды, подпиточными и сетевыми насосами обеспечивающие давление в котле и теплосети и дымоходов для отвода продукта сгорания из топочной котлов, а также системы автоматизации обеспечивающей процессы управления и безопасности эксплуатации работы котлов.

Основным параметром регулирования процесса горения в топке котла является Т воды на выходе из котла это обеспечивается регулированием подачи расхода газа на горение.

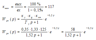
На подводе газопровода перед горелками устанавливается клапан 32КЧМ915бк1. Он обеспечивает задание Т на выходе из котла +25%-10% от установленного параметра. Для этого в схеме автоматизации предусматриваем режим "малого" и режим "большого" горения.

Процесс регулирования происходит при изменении расхода тепло энергии потребителями при этом изменение t воды в следствии чего изменяется Т воды на выходе из котлов, что являются управляющим импульсом для отработки сигнала управления на изменение расхода газа на горелки.

2. Математическая модель объекта САР

Исходными данными процесса горения в котельной является газ, который попадая в котел и сгорая там преобразуется в тепловую энергию теплоносителя и дымовые газы.

Для оптимизации работы котельной установки необходимо знать зависимость температуры воды на выходе из котла от изменения расхода газа на горелке. Рис. №2.

Рис. 2 - Зависимость температуры воды на выходе из котла от изменения расхода газа на горелке

Пусть расход воды на входе -

Qвх=const и P=const => Qвх=Qвых=const,

тогда температура в котле тоже не меняется, т. е. Т=const. Если F- это сечение трубы, то материальный баланс запишется так:

=DТв/dt=DQр

- сечение трубопровода

т. е. Изменение температуры на выходе приведет к изменению расхода газа на входе, а изменение температуры на выходе - это есть функция от расхода и проходного сечения клапана, т. е. DQвых=f(Т, проходное сечение клапана).

Тогда если линеаризовать эту зависимость, то

DQвых=к1Df+к2DQp,

где к1 и к2 - базовые коэффициенты.

К1 - зависит от конкретного применяемого оборудования: марка котла, его КПД, материал труб т.д.)

К2 - зависит от изменения температуры

Тогда


и уравнение перепишем в следующем виде:

Ту(dQр/dt)+DQг=Ку*Df

Или


где e-pty - звено запаздывания.

3. Структурная схема САР

Структурная схема одноконтурной САР приведена на рисунке 3.

Рис 3. - Структурная схема САР

Передаточная функция расширенного объекта приведена на рисунке 4.

Рис 4. - Передаточная функция расширенного объекта


. Расчет и выбор регулирующего органа (клапана)

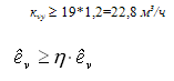
1.      Расчет пропускной способности - кv РО при протекании через него газа:

где F - максимальный расход жидкости (=315м3/ч)

DР - перепад давления на РО при Fmax (=0,02Мпа)

rж - плотность жидкости (=0,73г/см3)


2.      Условная пропускная способность:

Где h=1,2 - коэффициент запаса


По таблице выбираем кvy = 25

Из полученных данных для данного оборудования выбираем затвор регулирующий дисковый 32КЧ915бк1 с электроприводом Рис 5.

Затвор регулирующий дисковый с электроприводом предназначен для использования в качестве регулирующей арматуры на газообразных и жидких средах в системах автоматического регулирования.

Рис 5. - Затвор регулирующий дисковый 32КЧ915бк1

Параметры дискового затвора:

Обозначение: 32КЧ15бк1.

Условный проход (Ду)- 50, 80, 100, 150 мм.

Условное давление (Ру) - 0,6 МПа.

Рабочая температура от -10°С до +200°С.

Материал основных деталей, соприкасающихся со средой: КЧ30-6; 20×13.

Параметры электропривода

Обозначение: МЭОФ-40/25-0,25-96.

Номинальный крутящий момент, N·m - 40.

Номинальное время полного хода выходного вала, s -25.

Номинальный полный ход выходного вала, r - 0,25.

Потребляемая мощность - не более 110 W.

Климатическое исполнение - "Т2".

Степень защиты механизмов IP54 по ГОСТ 14254-6 обеспечивает работу механизма при наличии в окружающей среде пыли и брызг воды.

Рабочее положение механизмов - любое, определенное положением трубопроводной арматуры.

Электрическое питание механизмов МЭОФ-40/25-0,25-96К осуществляется трехфазным током напряжением: 220/380 или 230/400, или 240/415 V с частотой 50 Hz, или 220/380 V с частотой 60 Hz, механизмов МЭОФ-40/25-0,25-96 - однофазным током напряжением: 220, 230, 240 V с частотой 50 Hz или 220 V с частотой 60 Hz.

Механизмы изготавливаются с одним из следующих блоков сигнализации положения выходного вала: реостатным БСПР, индуктивным БСПИ, токовым БСПТ - с унифицированным сигналом 0-5, 0-20 mA по ГОСТ 26.011-80.

Нелинейность датчиков блоков сигнализации положения ± 2,5%. Возможно изготовление механизмов с блоками концевых микропереключателей БКВ без датчиков положения выходного вала.

Средний срок службы механизмов не менее 15 лет.

Механизмы могут быть изготовлены во взрывозащитном исполнении.

Механизмы имеют взрывобезопасный уровень взрывозащиты "Искробезопасная цепь" и "Взрывонепроницаемая оболочка" с маркировкой "I Exibd II BT4".

Габаритные и присоединительные размеры затвора регулирующего дискового 32КЧ915бк1 с электроприводом МЭОФ-40

Рис 6. - Габаритные и присоединительные размеры затвора регулирующего дискового 32КЧ915бк1

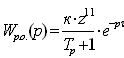
. Расчет параметров и выбор регулятора

Исходя из передаточной функции объекта



.        Исходя из технического процесса, известно, что минимальный расход газа в котле


составляет 10%, а максимальный - 25%.- сечение трубы.

.        Коэффициент усиления исполнительного механизма


(РО, клапана) - 5%:

Для удобства расчета воспользуемся специальной программой "АТР" на ЭВМ рис 7.

Рис 7. - Общий вид программы

Вводим эти данные и методом Никольса-Циглера находим параметры регуляторов Рис 8.

Рис 8. - Параметры регуляторов

Получили следующие настройки: Пкр=0,08947

П-регулятор П1=0,04474

ПИ-регулятор П1=0,04026 П2=0,02398

ПИД-регулятор П1=0,05368 П2=0,05994 П3=0,01250

Выберем П - регулятор с параметром П1, и подставим эти значения в программу расчета переходного процесса одноконтурной САР. В результате получаем показатели качества процесса:

Рис 9. - Переходный процесс при использовании П-регулятора

) Интегральная квадратичная ошибка - I2 = 14138,69;

) Динамическая погрешность - Yмах = 20,7174;

) Время регулирования - tрег. = 60.

Рис 10. - Переходный процесс при использовании ПИ-регулятора

) Интегральная квадратичная ошибка - I2 = 508,3;

) Динамическая погрешность - Yмах = 21,08;

) Время регулирования - tрег. = 11,6.

Аналогичным образом подставляем значения параметров настройки для ПИД - регулятор с параметрами П1 , П2 , и П3 подставим эти значения в программу расчета переходного процесса одноконтурной САР и в результате получаем показатели качества процесса:

Рис 11. - Переходный процесс при использовании ПИД-регулятора

1) Интегральная квадратичная ошибка - I2 = 197,54;

) Динамическая погрешность - Yмах = 16,61;

) Время регулирования - tрег. = 5,35.

По результатам вычислений, выбираем наилучшие показатели качества переходного процесса, т.е. ПИД - регулятор. У него наименьшие интегральная квадратичная ошибка и время регулирования. Наиболее оптимальным по цене является ПИД-регулятор МИК-12.

Универсальный одноканальный аналоговый или импульсный ПИД-регулятор МИК-12

Регуляторы позволяют обеспечить высокую точность поддержания значения измеряемого параметра

Измерение, контроль и автоматическое регулирование одного технологического параметра (температура, давление, расход, уровень и т.п.)

Контуры автоматического регулирования с управлением от ЭВМ

Рис 12. - ПИД-регулятор МИК-12

Область применения

Системы автоматического регулирования различных технологических параметров

Удаленные устройства связи с обьектом с индикацией

Территориально распределенные и локальные системы управления

Удаленный сбор данных, диспетчерский контроль, управление производством

Функциональные возможности

Работа с унифицированными сигналами, термопреобразователями сопротивления, термопарами

Каждый аналоговый вход может быть сконфигурирован на подключение любого типа датчика

Выбор и конфигурирование структуры регулятора: 2-х позиционный, 3-х позиционный или П, ПИ, ПД, ПИД регулирование с импульсным или аналоговым выходом

Выбор структуры ПИД регулятора: параллельная, смешанная

Стабилизирующее и следящее регулирование

Прибор ручного управления аналоговым, импульсным, дискретным исполнительным механизмом, с индикацией задающего воздействия и индикацией реального значения положения исполнительного механизма

Индикатор двух физических величин, задатчик функций

Цифровая индикация значений параметра, заданной точки, выходного сигнала, дискретных выходов

Прямое, обратное регулирование

Статическая и динамическая балансировка узла задатчика (4 режима балансировки)

Функция линейного изменения заданной точки

Цифровая калибровка (автоматическая и ручная) начала шкалы и диапазона измерения

Масштабирование шкал измеряемых параметров в технологических единицах

Линеаризация входных сигналов (по 20 точкам)

Задание и технологическая сигнализация отклонения от уставок минимум и максимум по каждому каналу

Входной цифровой фильтр аналоговых входов от воздействия шумов. Постоянная времени цифрового фильтра является программируемым параметром

Технология оптической изоляции обеспечивает трехуровневую (по входу, выходу и питанию) гальваническую развязку с напряжением изоляции до 1000В. Гальваническая изоляция обеспечивает высокую точность и стабильность операций ввода-вывода, обеспечивает высокое соотношение сигнал/шум и защиту от помех в промышленных условиях

Извлечение квадратного корня (измерение и регулирование расхода по перепаду давления)

Четыре свободно-программируемых дискретных выхода

Программируемая логика работы выходных устройств: больше MAX, меньше MIN, в зоне MIN-MAX, вне зоны MIN-MAX

Мониторинг исправности датчиков (их линий связи или измерительного канала) с программируемой системой безопасного управления исполнительными механизмами

Функция ограничения аналогового выхода

Ретрансмиссия аналоговых входов и аналоговых параметров на аналоговый выход устройства

Сохранение параметров при отключении питания

Защита от несанкционированного изменения параметров

Гальванически разделенный интерфейс RS-485, протокол ModBus RTU (сбор информации, конфигурация)

Конфигурирование прибора, коммуникационные функции и возможности

Конфигурирование прибора, изменение его настроек и параметров, осуществляется с помощью клавиш передней панели или по интерфейсу RS-485 с помощью программного пакета-конфигуратора "МИК-Интеллект"

Использование программного пакета "МИК-Регистратор" предоставляет возможность построения системы сбора и архивирования информации на ПЭВМ

Использование программного пакета ModBus OPC Server обеспечивает возможность автоматизации обмена информацией между приборами и приложениями-клиентами на ПЭВМ.

В качестве приложения-клиента, например, может использоваться SCADA-система, поддерживающая стандартный интерфейс доступа к данным ОРС Data Access 2.0

Технические характеристики

Количество каналов измерения: 1

Гальваническая изоляция: трехуровневая (по входу, выходу, питанию)

Период измерения: не более 0,1 сек

Период обновления информации на дисплее: не более 0,5 сек

Входные аналоговые сигналы: 0-5мА (Rвх=400 Ом), 0(4)-20 мА (Rвх=100 Ом), 0-10В (Rвх=25кОм)

Входные сигналы от термопреобразователей сопротивления: ТСП 50П, 100П, гр.21, ТСМ 50М, 100М, гр.23

Входные сигналы от термопар: ТХК(L), ТХА(K), ТПП(S), ТПР(B), ТВР (A), ТЖК(J), ТХКн(E)

Основная приведенная погрешность измерения: ± 0,2%

Разрешающая способность цифровой индикации: ±0,01%

Количество разрядов цифрового индикатора: 4

Высота цифр светодиодных индикаторов: 8 мм

Выходной аналоговый сигнал: 0-5 мА (Rн<=2кОм), 0-20 мА, 4-20 мА (Rн<=500 Ом)

Основная приведенная погрешность формирования выходного сигнала, не более 0,2%

2 дискретных выхода (в зависимости от заказа клеммно-блочного соединителя):

транзистор ОК, до 40В до 100мА,

реле, до 220В 8А,

оптосимистор с внутренней схемой перехода через ноль, до 600В-50мА,

твердотельное реле, до 60В-1АAC/1АDC.

Температура окружающей среды: от -40°С до +70°С

Напряжение питания: ~220(+22,-33)В, (50±1)Гц переменного тока или 24(±4)В постоянного тока

Потребляемая мощность: не более 8,5 Вт (~220В)

Корпус (ВхШхГ): щитовой 96х96х189 мм DIN43700, IP30. Монтажная глубина: 190 мм

Масса блока: не более 1,0 кг

Обозначение при заказе:

МИК-12-АА-C-DD-U

Где: АА - код входа:

- унифицированный 0-5 мА

- унифицированный 4-20 мА

- унифицированный 0-10 В

- Напряжение 0 … 75 мВ

- Напряжение 0 … 200 мВ

- Напряжение 0 … 2В

- ТСМ 50М, W100=1,426, -50 … +200°С

- ТСМ 100М, W100=1,426, -50 … +200°С

- ТСМ гр.23, -50 … +180°С

- ТСМ ТСП-1293, W100=1,391, -50 … +650°С

- ТСП 100П, W100=1,391, -50 … +650°С

- ТСП гр.21, -50 … +650°С

- ТХА (K), 0 ...+1300°С

- ТХК (L), 0...+800°C

- ТЖК (J), 0 ...+1100°С

- ТХКн (E), 0 ...+850°С

- ТПП10 (S), 0 ...+1600°С

- ТПР (B), 0 ...+1800°С

- ТВР-1 (А-1), 0 ... +2500°С- код выходного аналогового сигнала (опция):

- модуль аналогового выхода отсутствует

- 0-5 мА, 2 - 0-20 мА, 3 - 4-20 мА - модуль аналогового выхода установлен- наличие, тип и длина клеммно-блочного соединителя входных и выходных сигналов:

-- КБЗ отсутствует,

Т 0,75 - с транзисторным выходом КБЗ-16-13-0,75

Р 0,75 - с релейными выходами КБЗ-17Р-01-0,75

С 0,75 - с симисторными выходами КБЗ-17С-01-0,75

К 0,75 - с твердотельными реле КБЗ-17К-01-0,75

Буква соответствует типу выходного сигнала и типу соединителя:

Цифра 0,75 соответствует стандартной длине соединителя в метрах- напряжение питания:

- 24В постоянного тока

В качестве датчика температуры на выходе из котла используется термопреобразователь ТСМ ТСП-1293.

Рис 13. - Термопреобразователь ТСМ ТСП-1293

Измеряемые среды

Газообразные и жидкие неагрессивные и агрессивные среды, не-разрушающие материал защитной арматуры.

Конструктивные особенности

Конструкция разборная со сменной термометрической вставкой. Защитная арматура Ø 10 мм - без штуцера, материал головки -алюминиевый сплав

Устойчивость к внешним воздействиям

По устойчивости к механическим воздействиям:

вибропрочное группа N3 по ГОСТ 12997.

Степень защиты от воздействия пыли и воды:по ГОСТ 14254.

По устойчивости к температуре и относительной влажности окружающего воздуха:

С4 по ГОСТ 12997 (для обыкновенного и экспортного исполнения), ТЗ по ГОСТ 15150 (для тропического исполнения).


Предел допускаемых отклонений от НСХ (ТСП, ТСМ)

*Могут изготавливаться с применением медных выводов взамен серебряных для диапазона измеряемых температур от минус 50 до +200°С по спецзаказу

Заключение

В данном проекте предусматривается регулировка подачи газа в котел +25% и -80% от установленного значения, что характеризуется двумя режимами работы котла "малого" и "большого" горения. Установка ПИ или ПИД регулятора позволит плавно регулировать переходы из одного состояния в другое и избежать дополнительных нагрузок на котловую автоматику и ГРП.

Список использованной литературы

1.      И.А. Шур "Газорегуляторные пункты и установки" Недра 1985 г.

.        Н.Л. Стаскевич, Г.Н. Северинец, Д.Я. Вигдорчук "Справочник по газоснабжению и использованию газа" Л. Недра 1990г.

.        А.А. Иокин "Газоснабжение" М. Стройиздат 1981г.

.        http://www.tdizel.ru/product/kotel/ksv/ksv15

.        http://borisoglebskij-kotel.ruprom.net/p17552-kotel-ksv-063.html

.        http://www.tpchel.ru/rus/production/?action=add&item=89&itemid=89&cid=0&citem=0&num=1

.        http://www.ukr-prom.com/cart/id537/razd0/

Похожие работы на - Регулятор для подачи газа в котел

 

Не нашли материал для своей работы?
Поможем написать уникальную работу
Без плагиата!
Без нейросетей!