|
№ На схеме по плану
|
Наименование производственного оборудования
|
Модель или тип
|
Мощность кВт
|
Кол-во единиц оборудования
|
|
1. Механическое отделение
|
|
1
|
Токарно-винторезный станок
|
165
|
28
|
1
|
|
2
|
Токарно-винторезный станок
|
1А616
|
4,6
|
5
|
|
3
|
Токарно-винторезный станок
|
ТВ-320Г
|
2,925
|
2
|
|
4
|
Токарно-винторезный станок
|
1К62Б
|
11,125
|
0
|
|
5
|
Настольно сверлильный станок
|
НС-12Б
|
0,6
|
4
|
|
6
|
Вертикально сверлильный станок
|
2А150
|
7,125
|
4
|
|
7
|
Долбёжный станок
|
7А420
|
3,8
|
1
|
|
8
|
Горизонтально-расточный станок
|
2620А
|
18,95
|
0
|
|
9
|
Поперечно-строгательный станок
|
7Б35
|
4,5
|
3
|
|
10
|
Универсально-фрезёрный станок
|
6М80
|
3,4
|
3
|
|
11
|
Координатно-расточной станок
|
2А-430
|
2,25
|
2
|
|
12
|
Копировально-фрезерный станок
|
6441Б
|
3,5
|
1
|
|
13
|
Плоскошлифовальный станок
|
С-541
|
2,8
|
3
|
|
14
|
Внутришлифовальный станок
|
3235БП
|
7,525
|
2
|
|
15
|
Круглошлифовальный станок
|
3Б151
|
9,585
|
1
|
|
16
|
Зубофрезерный станок
|
5312
|
10,55
|
0
|
|
17
|
Горизонтально-фрезерный станок
|
6М82Г
|
8,7
|
2
|
|
18
|
Настольно -резьборезный станок
|
ВС-11
|
0,6
|
1
|
|
19
|
Таль электрическая
|
ТЭ-0,5
|
0,85
|
4
|
|
20
|
Кран мостовой электрический
|
5т
|
24,2
|
1
|
|
21
|
вентилятор
|
-
|
1,7
|
1
|
|
22
|
вентилятор
|
-
|
4,5
|
3
|
|
2. Электроремонтное отделение
|
|
23
|
Сушильный электрический шкаф
|
-
|
6
|
1
|
|
24
|
Трансформатор сварочный для пайки медных
проводов
|
ОС-5/0,5
|
1,75
|
1
|
|
25
|
Балансировочный станок
|
ДБ-4
|
1,7
|
1
|
|
26
|
Полуавтомат для рядовой многослойной намотки
катушек (0,125/3мм)
|
ПР-160
|
1
|
2
|
|
27
|
Намоточный станок (0,5/6 мм)
|
ТТ-20
|
2,8
|
2
|
|
28
|
Точильный станок двухсторонний
|
333А
|
1,7
|
3
|
|
29
|
Ванна для пайки
|
-
|
2,8
|
1
|
|
30
|
Обдирочно-шлифовальный станок
|
3382
|
2,8
|
1
|
|
31
|
Токарно-винторезный станок
|
1К62
|
11,125
|
0
|
|
32
|
Вертикально сверлильный станок
|
2Б118
|
1,7
|
2
|
|
33
|
Таль электрическая
|
ТЭ-0,5
|
0,85
|
2
|
|
34
|
Вентилятор
|
-
|
2,8
|
2
|
|
3. Кузнечно-термическое отделение
|
|
35
|
Молот пневматический ковочный
|
МА-417
|
55
|
1
|
|
36
|
Молот пневматический ковочный
|
МБ-412
|
10
|
1
|
|
37
|
Электропечь сопротивления камерная со щитом
управления (1300 )
|
Г-30 ЩУ-12
|
30
|
3
|
|
38
|
Электропечь-ванна со щитом управления (850)
|
Б-50 ЩУ-12
|
20
|
0
|
|
39
|
Электропечь сопротивления шахматная со щитом
управления (650)
|
ПН-34
|
10
|
0
|
|
40
|
Вентилятор
|
-
|
2,8
|
4
|
|
41
|
Таль подвесная электрическая
|
0,5т
|
0,85
|
1
|
|
42
|
Кран балка
|
-
|
7,3
|
1
|
|
4. Гальваническое отделение
|
|
43
|
Преобразовательный агрегат
|
АНД-1500/750
|
14
|
1
|
|
44
|
Вентилятор
|
-
|
2,8
|
2
|
|
45
|
Обдирочно-шлифовальный станок с гибким валом
|
3382
|
2,8
|
2
|
|
5. Заготовительное отделение
|
|
46
|
Станок отрезной с дисковой пилой
|
8Б66
|
8,825
|
1
|
|
47
|
Ножницы гильотинные
|
Н-475
|
7
|
1
|
|
48
|
Пресс гидравлический
|
ПВ-474
|
4,5
|
2
|
|
49
|
Механическая ножовка
|
872А
|
1,7
|
1
|
|
50
|
Вальцы чистоплавильные
|
-
|
9
|
0
|
|
51
|
Пресс однокривошипный двойного действия
|
К460Б
|
10
|
3
|
|
52
|
Пресс фрикционный
|
ФА-122
|
4,5
|
1
|
|
53
|
Вертикально сверлильный станок
|
2А125
|
2,8
|
3
|
|
54
|
Обдирочно-точильный станок
|
3М634
|
2,8
|
2
|
|
55
|
вентилятор
|
-
|
4,5
|
3
|
|
56
|
Кран-балка электрическая подвесная
|
-
|
7,3
|
2
|
|
6. Сварочное отделение
|
|
57
|
Трансформатор сварочный
|
ТСД-1000
|
41,5
|
2
|
|
58
|
Преобразователь сварочный
|
ПСО-300
|
14
|
1
|
|
59
|
Машина электросварочная точечная
|
МТМ-50М
|
30
|
1
|
|
Продолжение таблицы 1.
|
|
№ На схеме по плану
|
Наименование производственного оборудования
|
Модель или тип
|
Мощность кВт
|
Кол-во единиц оборудования
|
|
60
|
Сварочный агрегат
|
САМ-400
|
32
|
1
|
|
61
|
Кран-балка
|
-
|
5,3
|
1
|
Характеристика среды цеха
Согласно правил устройства электроустановок ПУЭ (утвержденных приказом
Минэнерго России от 0.8.07.2002 №204):
.1.3. Электроустановка - совокупность машин, аппаратов, линий и
вспомогательного оборудования (вместе с сооружениями и помещениями, в которых
они установлены), предназначенных для производства, преобразования,
трансформации, передачи, распределения электрической энергии и преобразования
ее в другие виды энергии.
.1.6. Сухие помещения - помещения, в которых относительная влажность
воздуха не превышает 60 %.
При отсутствии в таких помещениях условий, указанных в 1.1.10-1.1.12, они
называются нормальными.
.1.7. Влажные помещения - помещения, в которых относительная влажность
воздуха более 60 %, но не превышает 75 %.
.1.8. Сырые помещения - помещения, в которых относительная влажность
воздуха превышает 75 %.
.1.9. Особо сырые помещения - помещения, в которых относительная
влажность воздуха близка к 100 % (потолок, стены, пол и предметы, находящиеся в
помещении, покрыты влагой).
.1.10. Жаркие помещения - помещения, в которых под воздействием различных
тепловых излучений температура постоянно или периодически (более 1 суток)
превышает +35 °С (например, помещения с сушилками, обжигательными печами,
котельные).
.1.11. Пыльные помещения - помещения, в которых по условиям производства
выделяется технологическая пыль, которая может оседать на токоведущих частях,
проникать внутрь машин, аппаратов и т.п.
Пыльные помещения разделяются на помещения с токопроводящей пылью и
помещения с нетокопроводящей пылью.
.1.12. Помещения с химически активной или органической средой -
помещения, в которых постоянно или в течение длительного времени содержатся
агрессивные пары, газы, жидкости, образуются отложения или плесень, разрушающие
изоляцию и токоведущие части электрооборудования.
.1.13. В отношении опасности поражения людей электрическим током
различаются:
) помещения без повышенной опасности, в которых отсутствуют условия,
создающие повышенную или особую опасность (см. пп. 2 и 3);
) помещения с повышенной опасностью, характеризующиеся наличием одного из
следующих условий, создающих повышенную опасность:
сырость или токопроводящая пыль (см. 1.1.8 и 1.1.11);
токопроводящие полы (металлические, земляные, железобетонные, кирпичные и
т.п.);
высокая температура (см. 1.1.10);
) особо опасные помещения, характеризующиеся наличием одного из следующих
условий, создающих особую опасность:
особая сырость (см. 1.1.9);
химически активная или органическая среда (см. 1.1.12);
одновременно два или более условий повышенной опасности (см. 1.1.13, п.
2);
) территория открытых электроустановок в отношении опасности поражения
людей электрическим током приравнивается к особо опасным помещениям.»
Среда цеха характеризуется как нормальная на основании следующих
параметров:
) относительная влажность воздуха не выше 60 % . ПУЭ 1.1.6.
) температура воздуха не выше 350С ПУЭ 1.1.10.
) технологическая пыль отсутствует ПУЭ 1.1.11.
) агрессивные пары ,жидкости и газы не применяются ПУЭ 1.1.11
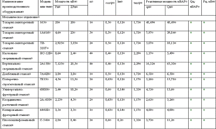
Определение расчётных электрических нагрузок
Расчёт электрических нагрузок выполняем в табличной форме Ф636-92. Каждый
однотипный, номинальной мощности и потребления электроэнергии электроприёмники,
записываем отдельной строкой, их количество n. По справочнику выбираем Ки и cosц [5]. Средние мощности для каждого типа приёмников
находим по формулам (1). Эффективное число приёмников вычисляем по формуле (2).
Коэффициент расчётной нагрузки находим по табл. 3 [1], а активную, реактивную и
полную мощности определяем по формулам (3), (4), (5). В строке «Суммарные
величины» находим итоговые показатели потребления силовых приёмников
располагающихся в отделении:
суммарное количество электроприёмников n;
суммарную установленную мощность электроприёмников
по
формуле (6) находим средневзвешенный коэффициент использования;
по
полученным значениям
и nэ в табл. 3 [1] находим значение коэффициента
расчётной нагрузки Кр;
суммарную
среднюю нагрузку за максимально загруженную смену Рсм , Qсм
по формулам (1);
суммарную
активную, реактивную и полную мощность по формулам (3),(4) и (5).
;
, (1)
где,
- коэффициент использования оборудования;
-
номинальная мощность оборудования;
, (2)
где
- суммарная мощность отделения;
-
количество единиц приёмников одинакового типа или марки;
-
номинальная мощность единичного приёмника.
, (3)
где
- коэффициент расчётной нагрузки;
-
расчётная активная мощность отделения.
(4)
где
- расчётная реактивная мощность отделения.
, (5)
где
- полная мощность отделения.
, (6)
-
средневзвешенный коэффициент использования оборудования всего отделения.
Определим
осветительную нагрузку
Осветительная
нагрузка по цеху определяется по формуле:

кВт (7)

-
установленная мощность приемников освещения.

= 0,85 -
коэффициент спроса, принимается по справочной литературе, для производственных
помещений.

кВт (8)

Вт/м2 -
удельная нагрузка площади пола цеха;

м2 -
площадь пола цеха.
Результаты
расчётов заносим в табл. 2.
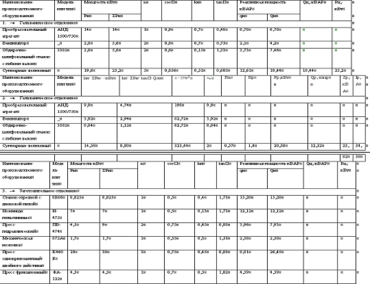
Расчет кузнечно-термического отделения
Определим общую установленную мощность по данному отделению как сумму
установленных мощностей всех электроприёмников этого отделения по формуле:
(9)
где

- число
электроприемников i-го оборудования;

-
мощность i-го оборудования.
По
данному отделению она составит:
Аналогично
определяем для остальных отделений.
Средняя
активная нагрузка приёмника за максимально загруженную смену определится по
формуле:

(10)
Определим
её для молота пневматического МА-417:
где

=0,4 -
коэффициент использования молота пневматического;

=55 кВт
- номинальная мощность молота пневматического.
Аналогично
для остальных электроприемников в отделении.
Реактивная
нагрузка приемника за максимально загруженную смену определяется по формуле:
(11)
Так
для молота пневматического:
где

кВт -
средняя активная нагрузка приёмника за максимально загруженную смену;
Аналогично
для остальных электроприемников в отделении.
Эффективное
число электроприемников:
(12)
где
- общая
установленная мощность кузнечно-термического отделения;

-
количество единиц приёмников одинакового типа или марки;

-
номинальная мощность единичного приёмника.
Определим
средневзвешенный коэффициент использования оборудования для
кузнечно-термического отделения.
(13)
По
полученным значениям
и nэ в таблице 3 [1] находим значение коэффициента
расчётной нагрузки
Расчетная
активная мощность отделения:

(14)
где

-
средневзвешенный коэффициент использования оборудования;

-
коэффициент расчётной нагрузки;

- общая
установленная мощность кузнечно-термического отделения.
Расчетная
реактивная мощность отделения:

(15)
где

-
коэффициент расчётной нагрузки;

-
средневзвешенная реактивная нагрузка отделения.
Расчетная
полная мощность:

(16)
где

-
расчётные реактивная и активная мощности соответственно.
Расчетный
ток в линии:
(17)
где

-
расчётная полная мощность;

-
номинальное напряжение в линии.
Расчётные
формулы для определения суммарных величин:
Суммарный
коэффициент мощности:
(18)
(19)
Результаты
расчета остальных участков производственного цеха занесем в таблицу 2.
Таблица
2. Расчёт электрических нагрузок по цехам
Выбор числа и мощности трансформаторов
В соответствии с ГОСТ 14209-85 и ГОСТ 11677-75 цеховые трансформаторы
имеют следующие номинальные мощности: 100, 160, 250, 400, 630, 1000, 1600, 2500
кВА.
Двухтрансформаторные подстанции применяются при преобладании
электроприемников I и II категорий. При этом мощность трансформаторов выбирается
такой, чтобы при выходе из работы одного, другой трансформатор с учетом
допустимой перегрузки принял бы на себя нагрузку всех потребителей (в этой
ситуации можно временно отключить электроприемники III категории). В данном
случае все потребители электрической энергии 2-й категории.
Для
выбора мощности трансформаторов необходимо определить удельную плотность
нагрузки
:
(20)
где

=733,078
кВА - расчетная полная нагрузка цеха;
F=6000 м2 -
площадь цеха.
При
плотности нагрузки до 0,2 кВА/м2 применяются трансформаторы мощностью до 1000
кВА включительно; при плотности 0,2 - 0,3 кВА/м2 - мощностью 1600кВА; при
плотности более 0,3 кВА/ м2 - применяются трансформаторы мощностью 1600 - 2500
кВА.
Выбираем
трансформатор до 1000 кВА.
Мощность
компенсирующих устройств определяется как:
(21)
Устанавливаем
2 установки для компенсации реактивной мощности
КРМ-0,4-275-5-25У3
мощностью 275 кВАР каждая.
Найдем
суммарную нагрузку цеха на шинах 0,4 кВ:
(22)
С
учетом (22) найдем номинальную мощность трансформатора:
(23)
где

- число
трансформаторов установленных в трансформаторной подстанции;
Кз
= 0,8 коэффициент загрузки трансформатора (потребители 2-й категории);
Проверка
минимального числа трансформаторов для цеха производится по формуле:
(24)
где

-
суммарная нагрузка всего цеха на шинах 0,4 кВ;

-
номинальная мощность трансформатора, кВА;
Кз=0,8
- коэффициент загрузки трансформатора (потребители 2-й категории);
Следовательно,
принимаем 
В
условиях аварийного режима должно выполняться условие:
(25)
Проверим:
,4
400 

Полученный
результат удовлетворяет условию.
Устанавливаем
2 трансформатора мощностью 400 кВА типа ТМЗ-400/10/0,4.
Выбор
сечений проводников
Выбираем
кабель по току нормального режима, найденному по формуле:
(26)
Значение
номинальной мощности для формулы (26) определяется по (27).
(27)
Для
молота пневматического:

-
номинальная мощность молота пневматического;

-
коэффициент мощности для молота пневматического.
Получаем:
Выбираем
кабель марки АВВГ(1х25)
А
- Алюминиевая токопроводящая жила
В
- Изоляция жил из поливинилхлоридного пластиката
В
- Оболочка из поливинилхлоридного пластиката
Г
- Голый
Силовые
кабели предназначены для передачи и распределения электрической энергии в
стационарных установках на номинальное переменное напряжение 1,0 кВ частоты
50Гц. Кабели изготавливаются для эксплуатации в районах с умеренным и холодным
климатом. Кабели предназначены для эксплуатации на суше, реках и озерах на высотах
до 4300 м. над уровнем моря. Кабели применяются для прокладки: - В земле
(траншеях) с низкой, средней или высокой коррозионной активностью, с наличием
или отсутствием блуждающих токов, и если в процессе эксплуатации кабели не
подвергаются значительным растягивающим усилиям; - В воздухе при наличии
опасности механических повреждений в ходе эксплуатации; - Для прокладки в сухих
или сырых помещениях (туннелях), каналах, кабельных полуэтажах, шахтах,
коллекторах, производственных помещениях, частично затапливаемых сооружениях
при наличии среды со слабой, средней и высокой коррозионной активностью; - Для
прокладки в пожароопасных помещениях; - Для прокладки во взрывоопасных зонах
класса B-Iб, B-Iг, В-II, В-IIа.
Результаты
расчётов и выбор марок кабелей для отделения приведены в таблице 3.
Таблица
3.Расчёт и выбор кабелей для Кузнечно-термического отделения
|
Наименование оборудования
|
Модель или тип
|
Кол-во
|
Sном
|
Iрасч
|
Марка
|
|
Молот пневматический ковочный
|
МА-417
|
1
|
84,61538
|
122,1354
|
АВВГ(1х25)
|
|
Молот пневматический ковочный
|
МБ-412
|
1
|
15,38462
|
22,20643
|
АВВГ(4х10)
|
|
Электропечь сопротивления камерная со щитом
управления (1300 )
|
Г-30 ЩУ-12
|
3
|
35,29412
|
50,94417
|
АВВГ(1х6)
|
|
Вентилятор
|
_
|
4
|
3,5
|
5,051963
|
ПВЗ(1х0,75)
|
|
Таль подвесная электрическая
|
0,5т
|
1
|
1,214286
|
1,752722
|
ПВЗ(1х0,75)
|
|
Кран балка
|
_
|
1
|
14,6
|
21,0739
|
АВВГ(4х10)
|
Выбор защитной аппаратуры
Для выбора защитной аппаратуры необходимо определить пиковый ток
кратковременной перегрузки в линии, питающей узел нагрузки:
(28)

-
расчетный ток в линии;


-
номинальный ток наибольшего из потребителей;

- его
коэффициент использования [5];

-
кратность пускового тока [1].
В
сетях напряжением 380/220 В наибольший ток КЗ возникает на выводах защитной
аппаратуры при трехфазном металлическом КЗ (
).
Определим
КЗ на выводе защитной аппаратуры на шинопроводе.
Для
расчета периодической составляющей наибольшего тока трехфазного КЗ от
энергосистемы в сетях до 1000 В следует пользоваться формулой:
(29)
где

кВ -
среднее значение напряжения;

,
-
активные и реактивные сопротивления прямой последовательности элементов сети до
точки КЗ, начиная с трансформатора цеховой ТП [1]
Для
трансформатора определяются по таблице 11 [1].
Для
рубильника определяются по таблице 10 [1].
Суммарное
сопротивление:
Найдём
сопротивления от приёмника до точки КЗ.
Для
кабеля активные и реактивные сопротивления должны учитывать длину кабеля:
(30)
где

-
активное сопротивление i-го кабеля [1];

- длина i-го
кабеля (не заданна по заданию, поэтому для расчёта примем самостоятельно).
(31)
где

-
реактивное сопротивление i-го кабеля [1];

- длина i-го
кабеля (не заданна по заданию, поэтому для расчёта примем самостоятельно).
Определим
активные и реактивные сопротивления кабеля ответвления для потребителя от
кабеля питающего отделение.
Для
кабеля ответвления активные и реактивные сопротивления должны учитывать длину
кабеля:
Активная
составляющая:
(32)
где

-
активное сопротивление n-го кабеля [1];

- длина n-го
кабеля (не заданна по заданию, поэтому для расчёта примем самостоятельно).
Реактивная
составляющая:
(33)
где

- реактивное
сопротивление n-го кабеля [1];

- длина n-го
кабеля (не заданна по заданию, поэтому для расчёта примем самостоятельно).
Если
непосредственно к месту КЗ примыкают электродвигатели, с суммарным номинальным
током более 1,0% начального значения периодической составляющей тока КЗ от
энергосистемы, следует учесть их влияние на ток КЗ. Продолжая по инерции
вращаться, эти двигатели по отношению к месту КЗ становятся генераторами и
подпитывают точку КЗ до тех пор, пока не остановятся.
Найдём
сопротивления асинхронного двигателя молота пневматического:
Реактивная
составляющая:
(34)
где

-
номинальное напряжение двигателя;

-
суммарная номинальная мощность приёмников одинаковой марки или типа;

-
коэффициент мощности приёмника.
Активная
составляющая:
(35)
ЭДС
асинхронных двигателей определяется по формуле:
где

- фазное
напряжение потребителя;

- фазный
ток определяется по формуле (35);

-
реактивная и активная составляющие сопротивления электрического двигателя,
формулы (33) и (32).
(37)
где

-
коэффициент мощности;

-
расчётная полная мощность отделения.
В
практических расчетах в качестве параметров 
,
,
можно
принимать соответствующие номинальные значения двигателя.
Начальное
значение тока периодической составляющей от асинхронного двигателя определяются
по формуле:
(38)
где

- ЭДС
асинхронного двигателя;

-
реактивная и активная составляющие сопротивления электрического двигателя,
формулы (33) и (32);

-
суммарные активная и реактивная составляющие сопротивления от электрического
двигателя до точки КЗ.
Определим
ток периодической составляющей от асинхронного двигателя:
Суммарное
значение тока КЗ в радиальных сетях находят в виде простой алгебраической
суммы:
(39)
По
значению пикового тока КЗ выбираем выключатель вакуумный автоматический типа
ВВА-1,14-20/1000У3 открытого исполнения с естественным воздушным охлаждением,
предназначены для проведения тока в номинальном режиме, для защиты при токах
короткого замыкания, токах перегрузки и недопустимых снижениях напряжения, а
также для нечастого оперативного включения и отключения приемников
электрической энергии.
Вакуумные
автоматические выключатели характеризуются небольшими габаритными размерами и
малой массой. Они рассчитаны на длительный срок службы при минимальных затратах
на обслуживание.
Номинальный
ток отключения 20 кА.
Выключатель поставляется с блоком и без блока микропроцессорной электронной
токовой защиты, обеспечивающей следующие виды защит:
• максимальная токовая защита каждой из фаз по перегрузу с выдержкой
времени, зависимой от тока;
• максимальная токовая защита каждой из фаз по перегрузу с выдержкой
времени, независимой от тока;
• токовая отсечка в зоне коротких замыканий с выдержкой времени,
зависимой от тока;
• токовая отсечка в зоне коротких замыканий с выдержкой времени,
независимой от тока;
• токовая отсечка в зоне коротких замыканий без выдержки времени;
• токовая защита по току утечки на землю с выдержкой времени, независимой
от тока;
• минимальная защита каждой из фаз по напряжению, с выдержкой времени;
• нулевая защита каждой из фаз по напряжению, с выдержкой времени.
Определим КЗ на выводе защитной аппаратуры на шинопроводе отделения.
Для расчета периодической составляющей наибольшего тока трехфазного КЗ от
энергосистемы в сетях до 1000 В следует пользоваться формулой:
(40)
где

кВ -
среднее значение напряжения;

,
-
активные и реактивные сопротивления прямой последовательности элементов сети до
точки КЗ, начиная с трансформатора цеховой ТП [1]
Для
трансформатора определяются по таблице 11 [1].
Для
рубильника определяются по таблице 10 [1].
Для
кабеля активные и реактивные сопротивления должны учитывать длину кабеля:
(41)
где

-
активное сопротивление i-го кабеля [1];

- длина i-го
кабеля (не заданна по заданию, поэтому для расчёта примем самостоятельно).
(42)
где

-
реактивное сопротивление i-го кабеля [1];

- длина i-го
кабеля (не заданна по заданию, поэтому для расчёта примем самостоятельно).
Определим
активные и реактивные сопротивления кабеля ответвления для потребителя от
кабеля питающего отделение.
Суммарное
сопротивление:
Найдём
сопротивления от приёмника до точки КЗ.
Для
кабеля ответвления активные и реактивные сопротивления должны учитывать длину
кабеля:
Активная
составляющая:
(43)
где

-
активное сопротивление n-го кабеля [1];

- длина n-го
кабеля (не заданна по заданию, поэтому для расчёта примем самостоятельно).
Реактивная
составляющая:
(44)
где

-
реактивное сопротивление n-го кабеля [1];

- длина n-го
кабеля (не заданна по заданию, поэтому для расчёта примем самостоятельно).
Если
непосредственно к месту КЗ примыкают электродвигатели, с суммарным номинальным
током более 1,0% начального значения периодической составляющей тока КЗ от
энергосистемы, следует учесть их влияние на ток КЗ. Продолжая по инерции
вращаться, эти двигатели по отношению к месту КЗ становятся генераторами и
подпитывают точку КЗ до тех пор, пока не остановятся.
Найдём
сопротивления асинхронного двигателя молота пневматического:
Реактивная
составляющая:
(45)
где

-
номинальное напряжение двигателя;

-
суммарная номинальная мощность приёмников одинаковой марки или типа;

-
коэффициент мощности приёмника.
Активная
составляющая:
(46)
ЭДС
асинхронных двигателей определяется по формуле:
где

- фазное
напряжение потребителя;

- фазный
ток определяется по формуле (35);

-
реактивная и активная составляющие сопротивления электрического двигателя,
формулы (33) и (32).
(48)
где

-
коэффициент мощности;

-
расчётная полная мощность отделения.
В
практических расчетах в качестве параметров 
,
,
можно
принимать соответствующие номинальные значения двигателя.
Начальное
значение тока периодической составляющей от асинхронного двигателя определяются
по формуле:
(49)
где

- ЭДС
асинхронного двигателя;

-
реактивная и активная составляющие сопротивления электрического двигателя,
формулы (33) и (32);

-
суммарные активная и реактивная составляющие сопротивления от электрического
двигателя до точки КЗ.
Определим
ток периодической составляющей от асинхронного двигателя:
Суммарное
значение тока КЗ в радиальных сетях находят в виде простой алгебраической
суммы:
Выбираем
автоматический выключатель ВА08-0633 исполнения С (не токоограничивающий) со
следующими параметрами:
-
номинальный ток выключателя 630 А;
номинальное
рабочее напряжение 380, 660 В;
номинальная
предельная отключающая способность 25 кА;
возможна
установка регулируемого электронного расцепителя тока.
Расчёт
и выбор остальных коммутационных аппаратов приведён в таблице 4.
В
таблице 5 приведенны значения тока КЗ для всех потребителей при КЗ на шинах 0,4
кВ.
Таблица
4. Коммутационные аппараты для кузнечно-термического цеха при КЗ на шинах
отделения
|
Наименование оборудования
|
марка или тип
|
ед. мощн.
|
кол-во
|
автоматический выключатель
|
|
|
|
|
марка
|
 ,кАIн,АUн,кВIкз,кА
|
|
|
|
|
Молот пневматический ковочный
|
МА-417
|
55
|
1
|
ВА08-0633С
|
25
|
630
|
0,4
|
7,83
|
|
Молот пневматический ковочный
|
МБ-412
|
10
|
1
|
ВА08-0633С
|
25
|
630
|
0,4
|
7,84
|
|
Электропечь сопротивления камерная со щитом
управления (1300 )
|
Г-30 ЩУ-12
|
30
|
3
|
ВА08-0633С
|
25
|
630
|
0,4
|
7,999
|
|
Вентилятор
|
_
|
2,8
|
4
|
ВА08-0633С
|
25
|
630
|
0,4
|
7,81
|
|
Таль подвесная электрическая
|
0,5т
|
0,85
|
1
|
ВА08-0633С
|
25
|
630
|
0,4
|
7,88
|
|
Кран балка
|
_
|
7,3
|
1
|
ВА08-0633С
|
25
|
630
|
0,4
|
7,91
|
Таблица 5. Коммутационные аппараты для кузнечно-термического
цеха при КЗ на шинах 0,4 кВ
|
Наименование оборудования
|
марка или тип
|
ед. мощн.
|
кол-во
|
автоматический выключатель
|
|
|
|
|
марка
|
 ,кАIн,АUн,кВIкз,кА
|
|
|
|
|
Молот пневматический ковочный
|
МА-417
|
55
|
1
|
ВВА-1,14-20/1000УЗ
|
20
|
1000
|
0,4
|
13,49
|
|
Молот пневматический ковочный
|
МБ-412
|
10
|
1
|
ВВА-1,14-20/1000УЗ
|
20
|
1000
|
0,4
|
13,5
|
|
Электропечь сопротивления камерная со щитом
управления (1300 )
|
Г-30 ЩУ-12
|
30
|
3
|
ВВА-1,14-20/1000УЗ
|
20
|
1000
|
0,4
|
13,65
|
|
Вентилятор
|
_
|
2,8
|
4
|
ВВА-1,14-20/1000УЗ
|
20
|
1000
|
0,4
|
13,47
|
|
Таль подвесная электрическая
|
0,5т
|
0,85
|
1
|
ВВА-1,14-20/1000УЗ
|
20
|
1000
|
0,4
|
13,54
|
|
Кран балка
|
_
|
7,3
|
1
|
ВВА-1,14-20/1000УЗ
|
20
|
1000
|
0,4
|
13,57
|
Таблица 6. Коммутационные аппараты устанавливаемые на вводах
отделений
|
Наименование отделения
|
количество приёмников
|
мощность приёмников кВт
|
автоматический выключатель
|
|
|
|
марка
|
 ,кАIн,АUн,кВIкз,кА
|
|
|
|
|
Механическое
|
44
|
217,085
|
ВВА-1,14-20/1000УЗ
|
20
|
1000
|
0,4
|
13,068
|
|
Электроремонтное
|
18
|
38,45
|
ВВА-1,14-20/1000УЗ
|
20
|
1000
|
0,4
|
10,88
|
|
Кузнечно-термическое
|
11
|
174,35
|
ВВА-1,14-20/1000УЗ
|
20
|
1000
|
0,4
|
13,32
|
|
Гальванический участок
|
5
|
25,2
|
ВВА-1,14-20/1000УЗ
|
20
|
1000
|
0,4
|
11,01
|
|
Заготовительное
|
18
|
100,325
|
ВВА-1,14-20/1000УЗ
|
20
|
1000
|
0,4
|
13,088
|
|
Сварочное
|
6
|
164,3
|
ВВА-1,14-20/1000УЗ
|
20
|
1000
|
0,4
|
13,25
|
Заключение
кузнечный термический цех электрооборудование
В данной курсовой работе был проведен расчет силовой нагрузки
электротехнологического цеха по отделениям, выбор конструктивного исполнения
распределительной сети, размещение электрооборудования, а также выбор сечений
проводников и основного защитного оборудования кузнечно-термического отделения.
Разработаны и приведены в пояснительной записке общий план и
однолинейная схема электроснабжения цеха.
В ходе работы были получены практические навыки расчета
электрических силовых нагрузок и выбора вспомогательного оборудования цеха, а
так же навыки расчёта КЗ в двух точках сети.
Расчёт выполнен в соответствии с методикой приведённой в [1].
Список использованных источников
1. Озерский В.М. Расчеты электроснабжения промышленных объектов
напряжением до 1000 В: учеб.пособие/ В.М. Озерский, И.М. Хусаинов, И.И.
Артюхов. Саратов: Сарат. гос. техн. ун-т, 2010. 76 с.
. Смирнов А.Г. Справочные данные по расчетным коэффициентам
электрических нагрузок. - М.: Тяжпромэлектропроект, 1990. -110с.
. Смирнов А.Д. Справочная книжка энергетика/ А.Д.Смирнов,
К.М. Антипов.- М.:Энергоатомиздат, 1984, 440с.
. Справочник по электроснабжению промышленных предприятий: в
2 кн./под общ.ред. А.А. Федорова и Г.В. Сербиновского. Кн. 2. Технические
сведения об оборудовании.- М.: Энергия, 1973, 528с.
. ТЯЖПРОМЭЛЕКТРОПРОЕКТ имени Ф.Б. Якубовского «Справочные
данные по расчётным коэффициентам электрических нагрузок».- М.: 1990г