Организация психологических структур, лежащих в основе поведения и деятельности

  • Вид работы:
    Дипломная (ВКР)
  • Предмет:
    Психология
  • Язык:
    Русский
    ,
    Формат файла:
    MS Word
    260,37 Кб
  • Опубликовано:
    2015-01-02
Вы можете узнать стоимость помощи в написании студенческой работы.
Помощь в написании работы, которую точно примут!

Организация психологических структур, лежащих в основе поведения и деятельности

Содержание

Введение

Глава 1. Обзор литературы

.        Представление о психологических структурах

. Проблема целостности психологических структур

. Представление о дифференциации психологических структур в психологии

. Измененные состояния сознания как методический прием исследования

. Феномен диссоциированных состояний

. Операционализация представлений о психологических структурах

Глава 2. Методика

.        Участники исследования

.        Процедура исследования

.        Методики и переменные

.        Статистические гипотезы

.        Статистическая обработка

Глава 3. Результаты

. Анализ Анкеты для оценки глубины состояния релаксации

. Анализ индивидуально-психологических характеристик

. Связь между характеристиками СИЗ и состоянием релаксации процессе взаимодействия с предметной областью

Глава 4. Обсуждение результатов

. Характеристики состояния релаксации

. Характеристики структуры индивидуального знания, формирующейся в состоянии релаксации

Выводы

Список литературы

Приложение

Введение

Актуальность темы исследования.

Фундаментальная психологическая проблема, в контексте которой выполнено настоящее исследование - организация и актуалгенез психологических структур, лежащих в основе поведения и деятельности [Александров 2006, Александров Максимова 2003]. Изучение организации психологических структур открывает перспективы новых разработок и представлений об организации процессов познания, рассуждений при решении задач, отношения человека к миру и к себе, организации памяти, научения [Александров 2007].

Для изучения организации психологических структур и для более глубокого понимания процессов познания была использована методика Эриксоновского гипноза (ЭГ). Была проведена операционализация характеристик состояния релаксации, которая позволила применить эту методику для изучения формирования психологических структур. В исследовании показано, что введение в гипноз сопровождается изменением процессов дифференциации психологических структур.

Теоретическая гипотеза.

Психологическая структура, как целостное образование, устойчива относительно широкого спектра целей и результатов, а так же ситуаций формирования. Введение различающихся условий формирования структуры знания (СИЗ), (взаимодействие с предметной областью) может вести либо к формированию различных структур, либо структура окажется не чувствительной к вариациям ситуации.

Цель работы.

.        Сопоставить характеристики организации СИЗ, формирующейся при взаимодействии с предметной областью в несколько этапов, различающихся по формам взаимодействия с экспериментатором (по состоянию сознания).

.        Оценить сопряженность индивидуально-психологических характеристик и проявлений состояния релаксации в двигательной активности испытуемых.

Исследовательские гипотезы.

. О специфике состояния релаксации.

.1. Введение в состояние релаксации проявляется в ретроспективных отчетах испытуемых о ходе игры.

.2. Состояние релаксации проявляется в изменениях двигательной активности испытуемых в процессе выбора хода.

. О структуре знания.

.1. На последовательных этапах взаимодействия с экспериментатором (при различных состояниях сознания) формируется одна, единая, неизменная по основным характеристикам СИЗ.

.2. При изменении формы взаимодействия с экспериментатором (при переходе к измененному состоянию сознания) формируется СИЗ, отличная по своим характеристикам от сформированной на предыдущем этапе.

.3. При возвращение в исходное (ординарное) состояние сознания продолжается формирование СИЗ, сформированной в ординарном состоянии сознания.

.4. При возвращении в исходное (ординарное) состояние сознания продолжается формирование СИЗ, сформированной в измененном состоянии сознания.

.5. При возвращении в исходное (ординарное) состояние сознания продолжается формирование единой структуры, объединяющей СИЗ, образованные на 1 и 2 этапах взаимодействия с экспериментатором.

.6. Формирование СИЗ в измененном состоянии сознания может обеспечиваться изменением процессов дифференциации (процессов порождения протокомпонентов, их дифференциации в компоненты СИЗ, образования суборганизации компонентов).

. Об индивидуально-психологических характеристиках.

Существует специфический набор индивидуально-психологических характеристик для лиц, показавших наиболее выраженные эффекты изменения состояния сознания на процессы формирования СИЗ.

Предмет исследования:

Структура знания, лежащая в основе опыта взаимодействия индивида с конкретной предметной областью, фиксирующая знания о строении предметной области, формирующаяся в ситуации ординарного и измененного состояния сознания.

Объект исследования:

Лица, формирующие компетенцию в стратегической игре со стандартным партнером (компьютерная программа) в ординарном и измененном состоянии сознания.

Задачи исследования:

. Дать формальное описание СИЗ на трех последовательных этапах приобретения компетенции:

(1) в ординарном состоянии сознания,

(2) в измененном состоянии сознания,

(3) при возвращении в ординарное состояние сознания.

. Разработать критерии оценки глубины состояния релаксации по субъективным отчетам и двигательной активности испытуемых.

.Сопоставить характеристики процесса формирования и организации СИЗ на трех последовательных этапах приобретения компетенции.

.Сопоставить характеристики процесса формирования и организации структуры знания в трех последовательных ситуациях с нормативными данными.

.Оценить индивидуально-психологические характеристики испытуемых.

.Сопоставить оценки глубины релаксации с характеристиками процесса организации и формирования СИЗ, а также с индивидуально-психологическими характеристиками испытуемых.

Обоснование основных применяемых методик.

. Методика контролируемого формирования СИЗ в стратегической игре двух партнеров с полной информацией и нулевой суммой (крестики-нолики на игровом поле 15х15). Эта методика позволяет на основании регистрируемых показателей хода игры построить количественное описание организации СИЗ в терминах протокомпонентов, компонентов, их отношений различных типов, групп компонентов, таких, как стратегии и домены, а также описать процессы формирования перечисленных составляющих СИЗ. Показано высокое правдоподобие гипотезы о том, что количественные оценки СИЗ, релевантные данной предметной области, полученные при помощи этой методики, характеризуют актуальные возможности индивида формировать психологические структуры, обеспечивающие взаимодействия с другими предметными областями [Александров, 2006; Максимова, Александров и др., 1998, 2001, 2004].

. Методика ЭГ для введения в состояние релаксации. В исследовании была применена стандартизированная форма наведения, с тождественным для всех испытуемых набором воздействий. Для оценки внутреннего состояния использовалось внешнее поведение.

3. Для выявления различий в индивидуально-психологических характеристиках участников исследования были использованы методики:

Опросник «Локус контроля» (ЛКв) [Ксенофонтова, 1999] который позволяет выявить локализацию контроля личности, т.е. убеждения человека относительно того, где находятся или локализуются силы , подвергающие влиянию, управлению и контролю то, что происходит в его судьбе. Чем выше показатели интернальности исследуемого, тем более вероятно, что он чувствует себя "хозяином собственной судьбы", отличается уверенностью в себе и обладает более высоким уровнем развития саморегуляции жизнедеятельности. Шкала общей интернальности охватывает все пункты опросника. Метод диагностики межличностных отношений Т. Лири. [Собчик, 1990]

Метод диагностики межличностных отношений ДМО , разработанный Л.Н.Собчик. Модифицированный вариант диагностики представляется оптимально удобным для изучения структуры межличностных и внутриличностных отношений. Метод диагностики Т.Лири базируется на распространенном в психологии представлении о том, что личность формируется под влиянием окружающих людей. При этом индивид должен быть личностно ориентирован на этих людей. Основываясь на том, что личность проявляется в поведении, во взаимодействии с окружающими. Он дает представление об особенностях межличностного поведения человека, позволяя прогнозировать особенности его поведения. Кроме того, ДМО представляет достаточно большую информацию об индивидуальных особенностях человека

Опросник Б.Басса.

Для определения личностной направленности в настоящее время используется ориентационная анкета, впервые опубликованная Б. Бассом в 1967 г. Анкета состоит из 27 пунктов - суждений позволяет выявить направленность личности по трем важным шкалам:

Направленность на себя;

Направленность на общение;

Направленность на дело;

Опросник «оценка поленезависимости. « Методика включенные фигуры Уиткина». [ Холодная, 2004].

Методика позволяет оценить степень поленезависимости личности. Люди с поленезависимым стилем легко преодолевают сложный контекст, быстро вычленяют деталь из сложного целого, с легкостью преобразуют заданную ситуацию, без особых затруднений выделяют основное противоречие в проблеме. Люди с полезависимым стилем, напротив, с трудом преодолевают сложный контекст, им нужно время, чтобы увидеть деталь в сложном целом, их отличает склонность принимать ситуацию в ее готовом, заданном виде, они не всегда могут обнаружить релевантное противоречие в задаче. «Шкала диссоциации» [Dissociation Experience Scale, DES, Bernstein, 1986].

Адаптированная русскоязычная версия DES (авторы адаптации - В.А.Агарков и Н.В. Тарабрина), [Тарабрина, 2001, С. 197 - 208].

В основе шкалы DES лежит идея континуума состояний, который простирается от нормальных переживаний (например, дневных грез) до симптомов множественной личности [Патнем, 2004]. Гипнотическая восприимчивость тесно связана с диссоциативным потенциалом. Шкала DES как инструмент исследования обладает высокими значениями параметра тест-ретестовой надежности, хорошими значениями надежности, определенной при помощи метода расщепления теста пополам, а также хорошей критериальной валидностью [Патнем, 2004, с. 30; Bernstein, Putnam, 1986].

Специально для проведения исследования были разработаны инструкции и анкеты:

инструкция общая для приглашения в исследование,

инструкция для стратегической игры -1 серия,

инструкция для состояния глубокой релаксации,

инструкция для выхода из состояния глубокой релаксации,

анкета после 1-ой серии (см. Приложение).

Новизна исследования. Разработана оригинальная анкета для оценки состояния релаксации на основании субъективных отчетов испытуемых.

Впервые даны характеристики организации психологических структур у лиц, находящихся в состоянии релаксации.

Теоретическая значимость.

Установлено, что в число факторов, определяющих формирование компетенции в определенной предметной области, входят те характеристики ситуации, которые не относятся к предметной области как таковой, то есть определение предметной области должно быть дополнено правилами взаимодействия [Максимова, Александров и др. 2004]. Предметная область включает в себя не только предметы и их отношения, но и роли взаимодействующих индивидов и их межличностные отношения (в данном исследовании - роли испытуемого и гипнотерапевта и их отношения).

Структура индивидуального знания (СИЗ) в определенной предметной области представляет собой операционализацию конструкта «психологические структуры» и открывает возможность эмпирического исследования [Александров, 2006; Александров, Максимова и др. 1999; Александров, Максимова 2003; 2004].

Практическая значимость.

Возможность использования критериев глубины релаксации, апробированных в дипломной работе, в последующих исследованиях и психотерапевтической практике.

Глава 1. Обзор литературы

. Представление о психологических структурах

Структура - один из важнейших конструктов ряда психологических парадигм. Важнейшие результаты исследований структур - описание их строения в терминах элементов (компонентов) и отношений между ними; представление об их уровневой организации, иерархии уровней; об отношениях морфизма между скрытыми структурами и внешним выражением этих структур (поведением) [Сегал; Сенокосов1970]. Структуралистскими психологическими теориями являются - психоанализ З. Фрейда, достижения различных гештальтпсихологических парадигм, генетической психологии Ж. Пиаже, психолингвистической концепции Н. Хомского. Понятие структура применимо к множеству предметов психологического исследования. Это множество содержит, например, структуру субъективного опыта [Артемьева, 1980;1999], компоненты которой фиксируют отношение субъекта к миру; структуру индивидуального опыта [Александров, Греченко 1997; Швырков 1995], компоненты которого представлены группами нейронов, специализированными относительно определенных поведенческих актов; структуру ментального опыта [Холодная, 2002]; различные варианты структуры интеллекта, например, Ч. Спирмена, К Терстоуна, Дж. Гилфорда, Р. Кэттелла [Дружинин, 1995; Солсо, 1996; Холодная, 2002], компоненты которых - факторы, выделенные специализированными вычислительными приемами.

Наиболее общее, формальное определение структуры: «произвольное множество с определенными на нем отношениями» [Бурбаки,1965]. При описании организации структур сформулирован принцип иерархического строения, в основе которого лежит вертикальная соподчиненность элементов и приоритет целей более высоких уровней работы [Месарович, 1973]. Рассмотрение психологических структур в развитии позволяет ввести понятие компонентов. Например, в когнитивной психологии свойствами компонентов обладает базовое понятие «схема». Схема обеспечивает фиксацию и воспроизведение материала [Величковский], у Ж. Пиаже - компонентом является стадия развития.

Я.А.Пономарев [1983] пишет, что компоненты психологических структур представляют фиксированные модели взаимодействий. Наиболее важными характеристиками компонентов структур, и структур как целостных образований являются:

компоненты формируются как фиксированные модели взаимодействия индивида с предметными областями

компоненты, как модели взаимодействия, обладают свойствами предметной отнесенности и субъективного отношения к миру (всем множеством предметных областей, во взаимодействие с которыми вступал индивид)

целостная структура фиксирует уникальную историю взаимодействия индивида с миром

компоненты структуры обладают общностью происхождения, что является одним из оснований ее целостности

ранее совершенные взаимодействия могут воспроизводиться в результате актуализации компонентов, представляющих модели этих взаимодействий [Александров, 2006]

Свойствами психологических структур являются:

Активность. Переход компонента из состояния « покоя» в активное, обозначается термином актуализация [Александров, Греченко, Гаврилов, 1997]. Понятие актуализации используется для описания динамики схем в процессе формирования и использования прошлого опыта. Для обозначения всего разнообразия активности в психологию было введено понятие «опыт». Понятие «структура опыта» в применении к психологическим структурам подчеркивает аспект фиксации многообразий взаимодействия индивида с окружением, которые были совершены в индивидуальной истории к настоящему моменту. П.К. Анохин был одним из первых, кто связал понятие опыта памяти и активности мозга [Анохин, 1975].

Обобщенность, является важнейшим свойством психологической структуры, которое фиксирует способ взаимодействия индивида с предметной областью. У. Найссер замечает: « Схемы, обеспечивающие прием информации и направляющие дальнейший ее поиск, не являются зрительными, слуховыми или тактильными - они носят обобщенный перцептивный характер» [Найссер, 1981].

Основа СЭП, теория функциональных систем П.К. Анохина. Системой он называет «комплекс избирательно вовлеченных компонентов, у которых взаимодействие и взаимоотношения принимают характер взаимосодействия компонентов, на получение фокусированного полезного результата [П.К. Анохин, 1975].

С позиции СЭП, который тесно связан с концепцией взаимодействия/ развития, сформулированной Я.А. Пономаревым [Пономарев, 1983], психологическая структура формируется в результате фиксации моделей реализованных взаимодействий, где процессы взаимодействия и развития неразрывно связаны [Александров, 2006]. Предметом научного анализа в концепции Я.А. Пономарева является взаимодействующая целостная система, которая состоит не из частей, а из компонентов и отношений между ними, которые их связывают, при этом сама система может рассматриваться как компонент, выделенный для анализа из более сложноорганизованной системы [Я. А. Пономарев, 1983]. Принцип взаимодействия/ развития так сформулирован Пономаревым: «развитие - способ существования системы взаимодействующих систем, связанный с образованием качественно… структур… за счет развивающегося эффекта взаимодействия» [Пономарев, 1983 с.14].

Структура - новообразование, с одной стороны фиксирует модель взаимодействия, а, с другой - является основанием для последующих взаимодействий [И.О. Александров, Н.Е. Максимова, А.Г. Горкин, 2008]. Теория функциональных систем была создана П.К.Анохиным на основе физиологических факторов, вскрывших качественную специфичность процессов интеграции различных физиологических процессов в одно целое - функциональную систему целостного поведения [Швырков, 1995]. В рамках СЭП поведение рассматривается как процесс взаимодействия с предметной областью; оно реализуется как последовательность поведенческих актов, т.е. целостных циклов взаимодействия, необходимыми характеристиками которых являются результаты и способы их достижения, а так же обстановка, в которой эти взаимодействия осуществимы. Носителями моделей взаимодействия являются группы нейронов со сходной поведенческой специализацией. Компоненты психологической структуры знания (СИЗ) фиксируют информационные модели циклов взаимодействий с предметной областью. Н. Е Максимовой и И.О. Александровым были получены результаты, которые показывают, что в организации структуры знания, фиксируются все стороны взаимодействия индивида с миром - свойства собственно предметной области, важные стороны межиндивидуальных отношений, индивидуальные характеристики. Специфика СЭП, по сравнению с классической теорией функциональных систем состоит в разработке представлений о специализации нейронов относительно этапов взаимоотношений индивида с миром. Были проведены эксперименты, в которых нейрональная активность регистрировалась в реальном поведении, зарегистрированы 4 характеристики нейрональной активности, а именно:

специализация нейронов;

распределенность нейронов одинаковой специализации по разным структурам и наличие в одной структуре нейронов различной специализации;

формирование определенных специализаций нейронов в обучении [Швырков, 1995].

С позиций СЭП, требуется, чтобы любое явление выделялось для анализа в соответствии с объективным, эволюционным критерием, которым является - этап изменения организации материи, реализацией генетической программы. Анализ эволюционного процесса с системных позиций позволяет выделить некоторые общие системно-эволюционные принципы:

системы высшего порядка сложности образуются путем иерархического объединения систем предыдущего уровня,

функциональные системы образуют не иерархию, а историю, отодвигая вглубь прасистемы,

устойчивость систем определяется их функциональным разнообразием, и естественному отбору подвергается не признаки, структуры или функции, а разнообразные соотношения систем со средой, так как именно они оказываются адаптивными или разрушительными для системы в целом [Швырков и др., 1995].

Психологические структуры формируются в процессе межиндивидуального взаимодействия, следовательно, с позиции СЭП, необходимыми компонентами психологического взаимодействия являются, с одной стороны, индивиды, входящие в определенную социальную общность, а, с другой, предметная область. Структура предметной области включает множество объектов, их соотношения, набор артефактов и правил, которые определяют ролевую структуру социальной общности, последовательности и особенности циклов взаимодействия. Предполагается, что между психологическими структурами взаимодействующих индивидов и структурой предметной области существуют отношения гомоморфизма [Н.Е. Максимова, И.О. Александров].

. Проблема целостности психологических структур.

Принцип целостности соответствует статусу общенаучного принципа. В истории науки были сформулированы различные версии отношения к целостности. Например, от обоснования отрицания самого свойства целостности. Элементаризм как составленность целого из элементов и возможность разложить целое в набор несвязанных множеств исходных элементов. Эта версия принципа целостности доминировала на протяжении длительного времени, например в ассоцианистской, в бихевиоральной психологии. До холистского понимания (составило основу «твердого ядра» исследовательской программы гештальтизма; или в общебиологическом контексте - закон Г. Дриша 1867-1941, согласно которому, судьба части есть функция ее положения в целом).

Представление о системности.

Изменение представлений о целостности связано с формированием множества концепций системности. Я.А. Пономарев выделил в системных исследования две ветви.

Первая - конкретно-синкретическая, она характеризуется тем, что любые объекты могут рассматривать как системные, их системные свойства могут быть охарактеризованы даже без выделения систем как таковых. Она «непосредственно нацелена на решение практических задач,… отталкивается от описания элементов конкретных систем, объединяет описание этих элементов искусственными связями» [Пономарев, 2006].

Вторая - абстрактно-аналитическая, которая опирается на принцип взаимодействия и выявляет генезис событий, где система рассматривается как особый класс объектов, соответствует концепции функциональной системы. Точный критерий системы введен П.К. Анохиным [1935; 1974]. «Системой можно назвать только такой комплекс избирательно вовлеченных компонентов, у которых взаимодействие и взаимоотношения принимают характер взаимосодействия компонентов на получение фокусированного полезного результата».

Версия принципа целостности реализованного в СЭП представляет собой один из вариантов принципа системности. В соответствии с системно-эволюционной теорией формирование новой системы рассматривается как фиксация этапа индивидуального развития, формирование нового элемента индивидуального опыта в процессе научения. Формирование нейронной сети происходит из нейронов резерва и установлением их специализации. Нейроны системоспецифичны, то есть их специализация постоянна. К более старым системам прибавляется новая система, при этом осуществление поведения происходит за счет не только новых систем, но и одновременно за счет более древних систем [Швырков, 2006].

Описание системных специализаций нейрона является описанием субъективного мира индивида, а активность нейрона - субъективным отражением. В рамках такого описания субъективный мир предстает как структура, представленная накопленными в эволюции и в процессе индивидуального развития системами, закономерности отношений между которыми - межсистемные отношения - могут быть описаны качественно и количественно, а субъект поведения - как весь набор функциональных систем, из которых состоит видовая и индивидуальная память.

Состояние субъекта поведения при этом определяется через его системную структуру как совокупность систем разного фило- и онтогенетического возраста, одновременно активированных во время осуществления конкретного акта [Барабанщиков, 2005].

Таким образом, реализация поведения есть реализация истории формирования множества систем, каждая из которых фиксирует этап становления данного поведения. Системно-эволюционный подход позволяет избежать варианта описания целостности в терминах перечисления аспектов, т.е. произвольно выделенных сторон явления, и установления между ними отношений порождения.

Целостность структуры рассматривается как развивающаяся, фиксирующая взаимодействия индивида с миром, общая по происхождению всех ее компонентов, где компоненты структуры не могут быть рассмотрены как изолированные (непересекающиеся) множества.

3. Представление о дифференциации психологических структур в психологии

Понятие дифференциации зародилось в эмбриологии и означало «процесс, в результате которого клетка становится специализированной» [Карлсон, 1983], что означает утрату клеткой проспективных потенций к образованию новых структур в процессе развития [Туманишвили, 1982]. Происходит уточнение диапазона компетенции клеток, что означает, увеличение дифференцированности клетки ведет к сужению диапазона ее компетенции.

Принцип дифференциации положен Н.Н. Ланге в основу сформулированного им закона перцепции: «процесс всякого восприятия состоит в чрезвычайно быстрой смене целого ряда моментов или ступеней, причем каждая предыдущая ступень представляет психическое состояние менее конкретного, более общего характера, а каждая следующая - более частного и дифференцированного» [Н.Н. Ланге, 1896]. Представление о дифференциации лежит в основе микрогенетических исследований восприятия [Барабанщиков ,1990; Величковский, 1982; Зинченко; Вучетич, 1980).

Дифференциация (от лат. Разность - различие), один из важнейших аспектов рассмотрения процесса развития систем. Дифференциация протекает как процесс формирования в целостной системе новых компонентов, имеющих общие предковые формы. В процессе дифференциации нарастает разнообразие и количество компонентов системы. Поскольку компоненты, образовавшиеся в результате дифференциации общего предка, обладают генетическим родством и между собой, и с другими компонентами системы, целостность системы не нарушается, она поддерживается так же процессами реорганизации целого при формировании нового. Эволюционное понимание дифференциации тесно связано с принципом системности. Принцип системной дифференциации предполагает, что развитие всегда идет внутри некоторого исходного целого, которое усложняясь, развивает внутри себя свои элементы и уровни, становится более расчлененным и дифференцированным [Чуприкова, 1997]. Дифференциация рассматривается как процесс дополнительный к интеграции и неотделимый от нее. Сопоставляя эти процессы, следует отметить, что продукты этих процессов - новые формы. Это означает, что дифференциация - не расщепление исходного (целого) на части, а интеграция - не объединение двух или нескольких объектов в один. И в том, и в другом случае происходит порождение новых форм [И.О. Александров, 2006].

Формальное описание процесса дифференциации содержит теория катастроф [Арнольд ,1990, 2002] и неравновесная динамика, термодинамика неравновесных систем [Пригожин; Стенгерс, 1986; 1994]. И та и другая концепции основываются на общей теории устойчивости, сформулированной А. М. Ляпуновым и А. Пуанкаре. Катастрофа - скачкообразное изменение системы, в виде внезапного ответа на изменение внешних условий. Момент катастрофы может соответствовать бифуркации траектории [Арнольд, 1990], что и следует рассматривать как дифференциацию. Бифуркация - «проявление внутренней дифференциации между частями самой системы и системы с окружающей средой» [Пригожин, 2001]. Результат бифуркации, с этой точки зрения, представляется как переход от состояния неустойчивости к новым, устойчивым состояниям. Таким образом, разрешение неустойчивости - процесс порождения альтернативных устойчивых систем [Пригожин, Стенгерс 1986]. Из этого следует, что развитие - представляет собой, спонтанную эволюцию неравновесной системы к состоянию более высокой сложности, которое достигается в процессе дифференциации [Пригожин, 2001].

Рассматривая дифференциацию, как важнейший принцип развития, как систем, так и индивидуального развития, ее изучение возможно в рамках эволюционных закономерностей как эпигенез и системогенез.

Согласно этому принципу новое формируется из форм предшественников, а не является результатом развертывания скрытой в зародыше формы. В различных версиях описания развития, основанных на эпигенетической концепции Уоддингтона можно выделить три составляющих:

Первая направлена на описание развития как «ветвящегося» процесса.

Вторая составляющая эпигенеза описывает условия ветвления, закономерности смены этапов развития. Выделяют генетический и средовой факторы, которые по разному проявляются в характеристиках ветвления.

Третья составляющая - относительно новое содержание эпигенеза, это группа факторов, которые координируют процессы развития, соответствующие различным, но одновременно реализующимся траекториям формирования целого.

Исходя из этого, можно представить эпигенетическую ситуацию, как ситуацию активно создающихся объектов и событий, выступающих как необходимые условия дифференциаций и образования новых форм.

Концепция системогенеза была сформулирована П.К. Анохиным [1975].Системогенез - избирательное и ускоренное по темпам развитие в эмбриогенезе в разнообразных по качеству и локализации структурных образований, которые консолидируясь в целом, интегрируют полноценную функциональную систему, обеспечивающих выживание. Объединение разнородных структур в функциональную систему возможно только на основе гетерохронии в закладках и темпах развития в момент консолидации этих структур [Анохин, 1968]. С точки зрения Анохина, «гетерохронное созревание структур в процессе эмбриогенеза есть могучее средство, с помощью которого неодинаковые по сложности компоненты системы эволюции подгоняются к одновременному вступлению в функцию в масштабах гармонически консолидированной функциональной системы» [Анохин, 1968]. Эпигенез и Системогенез разные варианты эволюционных представлений об онтогенетическом развитии. Александров рассматривает онтогенез, как последовательность системогенезов [Александров И.О.,2006.; Александров Ю.И., 2003; Швырков, 2006; Анохин, 1958]. Возможность осуществления нескольких одновременных системогенезов приводит к ситуации их взаимоотношений, их взаимодействию и взаимосогласованию. Согласно принципу « минимального обеспечения функциональной системы» функциональная система становится продуктивной задолго до структурного оформления. Из этого можно заключить, что некоторые стадии формирования системы неотделимы от актуализации. Предмет изучения СЭП структуры, которые фиксируют этапы развития индивида и являются основой для дальнейшего развития. Множество систем, сформированных на протяжении онтогенеза, представляют структуру индивидуального опыта. Компоненты индивидуального опыта представлены группами нейронов, специализированных относительно систем определенных поведенческих актов и процесс специализации группы нейронов лежит в основе формирования нового компонента структуры индивидуального опыта.

Показано, что в основе процессов формирования СИЗ, в определенной предметной области лежат три типа дифференциации ее составляющих [Александров, 2006; Александров, Максимова, 2008] - см. рис. 1.

Первый тип дифференциации проявляется в образовании протокомпонентов, т.е. в дифференциации групп преспециализированных нейронов на группы, представляющие протокомпоненты.

Второй тип - проявляется в дифференциации протокомпонентов, на компоненты СИЗ;

Третий - в дифференциации компонентов СИЗ, ведущей к образованию их суборганизации.

Рис. 1. Три типа дифференциации составляющих СИЗ.

Справа - количественные характеристики результатов дифференциации для разных возрастных групп [Александров, 2006; Максимова, Александров, 2001].

В центре - описание содержания процессов дифференциации.

При этом предполагается, что большое количество образующихся протокомпонентов необходимо для одновременного формирования множества СИЗ, релевантных многим предметным областям. Следует отметить, что доминирование дифференциации 1-го типа требует большого количества преспециализированных нейронов. Второй и третий типы дифференциации СИЗ, напротив, обеспечивают именно интенсивное овладение небольшим количеством предметных областей, возрастающую специализацию.

4. Измененные состояния сознания как методический прием исследования. Эриксоновский гипноз

Гипноз - есть модель для описания того, как порождается внутренний опыт. Это последовательность взаимодействий, приводящая к поглощенности внутренними ощущениями и вызывающая измененное состояние сознания, без участия сознания[ Ritterman, 1983].

Взаимоотношения в гипнозе строятся между двумя людьми, разыгрывающими роли, один из которых гипнотерапевт, другой субъект. Это взаимодействие имеет целью вызвать у субъекта особое состояние «транса» [С. Гиллиген,1987]. Существует много способов погружения в «транс».

Авторитарный - заставляющий другую личность впадать в относительно пассивное состояние, в котором та восприимчива к «внушению». Этот вариант используется в эстрадных сеансах гипноза.

Стандартизированный - где задача гипнотерапевта - найти наведение, наиболее подходящее для данного субъекта, использую стандартный набор воздействий, выявить и создать условия для возникновения гипноза. Для оценки внутреннего состояния используется внешнее поведение, без учета, что «транс», прежде всего переживание, которое различно у разных людей. Стандартизированный подход полезен в контексте эксперимента, когда первостепенное значение имеет строгий контроль.

Эриксоновский гипноз - кооперативный подход, основанный на сотрудничестве. Это взаимопроникающая триада единиц, вовлеченных в гипнотический взаимообмен. Гипнотерапевт, субъект и их взаимоотношения признаются автономными системами, действующими в единстве [Rossi, 1980; p. 166-167]. Роль субъекта более активна и зависит от способностей, знаний и внутреннего опыта. Роль гипнотерапевта - направлять, предоставлять субъекту возможность выполнять продуктивную работу, использовать возникающее поведение, уметь создать возможности для адекватного функционирования субъекта. Стереотипы самопроявления субъекта рассматриваются как основа терапевтического транса (принцип утилизации). Это требует не стандартизированных, а адаптивных команд. Терапевт сначала следует за текущим поведением субъекта, а затем начинает им руководить. «Транс» всегда уникален, и возникает из межличностного взаимодействия, через подстройку к субъекту, позволяя обеим сторонам, становиться более восприимчивыми друг к другу. В основе ЭГ принцип гибкости, утилизации, сотрудничества [Erickson, 1952;Rossi, 1980, p. 167].

. Ощущение транса характеризуется принципом идеодинамики и логикой «оба/и». Ощущения возникают сами без контроля и активного участия самосознания. Человек идентифицируется с обеими сторонами взаимодополняющего деления на «это» и «то», «внутри» и «вне», ощущать себя «здесь» и «там», ребенком и взрослым. Другими словами процессы транса объединяют соотносимые понятия, тогда как сознательные процессы дифференцируют их. К числу особенностей транса относятся поглощенность переживанием, непрерывность, искажение времени, изменчивость времени и пространства, а так же изменение восприятия. Из этого следует что транс, это состояние глубокой поглощенности переживанием, когда человек может функционировать без ограничений, накладываемых регуляторными сознательными процессами.

. Транс возникает во многих ситуациях, контекстах.

. Транс можно вызвать различными способами, ритмичными, повторяющимися движениями, монотонным пением, сосредоточением внимания, уравновешиванием мышечного тонуса (через расслабление - напряжение). Все эти способы снижают роль сознательной рассудочной природы, увеличивается возможность синхронизироваться с биологическими ритмами, подстраиваться к целостным психологическим процессам.

. Транс биологическая необходимость, которая выполняет многообразные функции. Антропологи отмечают [Richeport, 1982], ритуалы транса обнаруживаются в каждой культуре. Он облегчает психологическую интеграцию, что составляет важную цель психотерапии.

. Транс может повышать чувство собственной ценности.

. Феномены транса - это фундаментальные процессы, порождающие психологический опыт. В их числе: регрессия в прошлое, прогрессия в будущее, наплыв воспоминаний (гипермнезия), искажение и диссоциация восприятия (позитивные и негативные галлюцинации).

Организация хода транса в виде четырех главных фаз:

Фаза создание контекста: подготовка к трансу. Прежде чем начинать наведение добиться раппорта и доверительных отношений. Гипнотерапевт создает у клиента ощущение, что может и должно произойти нечто важное, устанавливает взаимопонимание по поводу участия субъекта в процессе. Во время этой фазы гипнотерапевт косвенным образом начинает получать доступ к реакциям субъекта.

Фаза наведения. Наведение гипноза - это последовательность взаимодействий, в результате которой достигается сосредоточенность субъекта на своем внутреннем опыте, вершиной которого является измененное состояние сознания, когда происходит самопроявление, не подвергающееся сознательному анализу и не требующее усилий. Существует множество техник достижения такого состояния. Эриксоновский терапевт использует уникальные потребности и стереотипы данного субъекта, приспосабливая свои воздействия к его текущим переживаниям. При этом руководствуясь тремя общими принципами наведения:

привлечь и сфокусировать внимание

подстроиться к сознанию и депотенциализировать его

получить доступ к бессознательному и утилизировать его

Фаза осуществления желаемого изменения (утилизация транса). Осуществляется множество гипнотических процедур, особенно использующих диссоциативные методы, гипнотические сновидения, метафорические истории, возрастную регрессию, возрастную прогрессию. Каждая из этих процедур обычно включает в себя: получение доступа к лимитирующим факторам с последующей их трансформацией. Получение доступа к мощным, но ранее диссоциированным ресурсам (возможностям) и превращение их в постоянно доступные. Эти стратегии помогают клиенту реорганизовать и осознать те ресурсы, которыми он уже располагает.

Фаза завершения и продления транса, консолидация усвоенного. Заключительная фаза состоит из двух основных этапов:

- завершение транса

- обобщение усвоенного во время транса

Первый этап предусматривает выведение клиента из транса. Этот переход обычно включает в себя общие внушения, постгипнотические внушения, указания по поводу амнезии и воздействия, прекращающие транс.

После этого, усвоенное во время транса, может быть распространено на другие контексты жизни клиента.

Второй этап включает послетрансовую беседу, посвящённую самоисследованию клиента во время транса, дополнительные процедуры, такие как задание на дом, указания касающееся самогипноза. А так же негипнотические стратегии.

Феноменологические характеристики [С. Геллиген, 1987, стр.61 - 76].

Длительная концентрация внимания и поглощенность внутренними переживаниями.

Самопроявление не требующее усилий (принцип идеодинамики - превращение идеи в динамику), согласно которому идеи могут трансформироваться в динамические проявления, непроизвольные движения [ Эриксон, Росси, 1979].

Переживаемое, неконцептуальное участие (человек полностью погружен в мир ощущений, а не понятий).

Готовность экспериментировать, быть открытым для новых возможностей.

Гибкость пространственно-временных соотношений. В «трансе» возможно по разному соотносить себя с пространством - возрастная регрессия, прогрессия, искажение времени (растянутость, сокращение времени), позитивная, негативная галлюцинация. 6 Изменение сенсорных ощущений. Обострение всех чувств в любой из сенсорных модальностей. Например, кинестетические изменения. От полной расслабленности и сонливости (тело становится тяжелым и теплым), или моторной неподвижности (каталепсия), до ощущения легкости, освобождения от собственного тела. Искажение восприятия отдельных частей тела. Различные сдвиги в вестибулярной системе, приятное чувство вращения или верчения.

Изменения зрения. При открытых глазах - туннельное зрение, когда периферия поля зрения темнеет или затуманивается, усиливается цветовое восприятие. При закрытых глазах - субъект видит яркие зрительные образы, геометрические узоры, фигуры. 8 Изменение в области слуха - нет реакций на посторонние звуки, голос гипнотерапевта звучит совершенно иначе - приближается, удаляется, меняется его высота, тон, интонация.

Изменение степени вовлеченности (метафора глубины транса).

Важно уметь определять глубину транса, эмоциональное состояние, сознательные процессы, мешающие переживанию транса. В своей работе Эриксоновский гипнотерапевт опирается на текущие процессы и ощущения клиента, а так же на «минимальные сигналы». «Минимальные сигналы» - это слабые, обычно остающиеся незамеченными изменение в текущем поведении человека. Они представляют собой продукт идеодинамических процессов, которые автоматически переводят идеи в динамические проявления.

Поведенческие индикаторы. Список потенциально важных минимальных сигналов.

Двигательные сигналы

Глаза

(напр., зрительный контакт или взгляд в сторону, частота моргания, дрожание век, расширения зрачков, сигналы доступа, фиксация или блуждание взгляда, слезы, «сверкание» глаз, широко открытые или полузакрытые глаза, «жесткий» или «мягкий» взгляд)

Щеки

(напр., втягивание щек, подергивание, стиснутые зубы, порозовения или появление бледности, симметричность или асимметричность обеих половин лица)

Губы

(напр., изменение окраски, изменения размера, надутые губы, легкая улыбка)

Лоб

(напр., напряженный или расслабленный, насупленные брови, нахмуривание, поднятие бровей)

Шея

( напр., напряженность, видимая частота пульса, сглатывание слюны)

Движения головы

(напр., «настороженные уши», малозаметные идеомоторные кивки, покачивание головой, очевидные намеренные кивки и покачивание головой, голова, свесившаяся на грудь во время транса, откидывание головы назад или наклонение вперед)

Плечи

( напр., напряженные или расслабленные, ссутулившиеся, пожатие плечами)

Кисти рук

(напр., сложенные, стиснутые или расслабленные, дрожащие - особенно во время процедуры левитации руки, спокойные или подвижные, нервно барабанящие пальцы)

Общий мышечный тонус

(напр., напряженный или расслабленный)

Поза

(напр., наклонение тела вперед или назад, устремленность к Гипнотерапевт или от него, скрещенные руки или ноги, откидывание на спинку стула или прямая посадка, потягивание)

Дыхание

(напр., ровное или неровное, брюшное или грудное, частое или редкое, прерывистое, стесненное, вздохи)

Нижние конечности

(напр., постукивание ногой, скрещенные ноги)


Параязыковые сигналы.

Тон голоса

(напр., жесткий или мягкий, носовой или грудной, бесстрастный или возбужденный, повышенный или пониженный, сдавленный)

Темп речи

(напр.. колебания, паузы, ускорение или замедление, быстрая или медленная речь)

Интонации

(напр.. монотонность, ритмичность, аритмичность, ровность, повышение или понижение)

Громкость голоса

(напр., громкий или тихий, усиливающийся или ослабевающий)


Языковые сигналы.

Предикаты

(напр., визуальные, слуховые, кинестетические, общие, неопределенные)

Упоминание частей тела

(напр., «не берите меня за горло»)

Концептуальные метафоры

( напр.. «жизнь - это война», «время - деньги»)


Возникновение особых феноменов в «трансе» частично связано со специализацией мозговых полушарий. В «гипнотическом трансе» преобладает функционирование правого полушария. Человек иным образом получает информацию: это повышает его психическую готовность и позволяет осуществить работу на БСИЗ уровне. При нахождении в гипнотическом трансе преобладание правого полушария снижает привычную рефлексию, присущую всякому произвольному поведению. Транс «депотенциализирует» левое полушарие [Ш. Жюслен, 2008].

Специализация мозговых полушарий

Левое полушарие (бодрствование) преобладает сознательное

Правое полушарие (гипнотический транс) преобладает бессознательное

Вербальное Логико-грамматическое Рациональное Конкретное Аналитическое Управляемое Концентрированное Напряжение

Невербальное Визуально-простое Интуитивно Абстрактное Синтетическое Спонтанное Диффузное Комфорт


Микродинамика транса.

Э. Л. Росси и М. Эриксон используют термин «микродинамика транса» для описания последовательных стадий гипнотического транса.

Фиксация сознательного внимания. Имеются многочисленные техники фиксации внимания, например, фиксация взгляда, прислушиваться к окружающим звукам, почувствовать что-либо, вспомнить вкус.

Депотенциализация сознательных процессов. Оно характеризуется преобладанием правого полушария над левым, например, используются техники: замешательства, пресыщения, удивления, психологического шока.

Запуск бессознательного поиска. Самая важная часть работы. Она требует использования особых средств, которые благоприятствовали бы возникновению новых ассоциаций. Чаще здесь применяются следующие способы: открытые внушения, воспоминания и использования диссоциативного языка. В этой же фазе происходит одновременное обращение к сознательным процессам и к его БСИЗ. 4 Бессознательный процесс. Согласно М. Эриксону БСИЗ представляет собой резервуар ресурсов. В гипнотическом процессе их мобилизация влечет за собой реорганизацию.

Гипнотический ответ является результатом терапевтического взаимодействия.

. Феномен диссоциированных состояний

Термин диссоциация происходит (от латинского - dissociation), что означает «разъединение». В психологии слово «диссоциация» находит несколько употреблений. Это слово часто используют как метафору для описания сепарированности и независимости частей целостной структуры некоего объекта психологической науки, резкого противопоставления, несогласованности, отсутствие связей. Эта метафора служит для усиления того факта, что рядоположные элементы некоего объекта, определенные в рамках одной концепции по некоторым общим признакам, обнаруживают в своем проявлении независимость друг от друга, а порой и противонаправленность. В самом общем виде термин диссоциация описывает некоторые особенности процессов обработки информации, относится к нарушениям интегрированности протекания психических процессов. В зависимости от контекста, о диссоциации говорят как о процессе, механизме психологической защиты, психическом состоянии, психопатологическом и психиатрическом симптоме и синдроме (Международная классификация болезней 10-ый пересмотр).

Мортон Принц охарактеризовал диссоциацию как основной регулирующий принцип нервно-психического аппарата, который согласно данным современных исследований, имеет доминирующее значение на ранних фазах онтогенеза. Райгородский пишет: «как процесс, диссоциация приводит к тому, что комплекс поведенческих паттернов, мыслей, отношений или эмоций становится, отделен от остальной части личности и функционирует независимо.

Диссоциация, как механизм психологической защиты является элементом психической регуляции в условиях обыденных, экстремальных, потенциально психотравмирующих.

А.М. Людвиг [1966] выделяет семь основных адаптивных функций диссоциации:

Автоматизация поведения. Диссоциативный процесс сводит к минимуму влияние сознательного контроля индивида при актуализации врожденных и наученных паттернов поведения. Благодаря этому предоставляется возможность концентрации на более важных аспектах ситуации.

Экономичность деятельности. Диссоциация позволяет экономично расходовать усилия, повышая, таким образом, их эффективность. Обеспечивая раздельное протекание психических процессов, сводит к минимуму влияние противоречивой и избыточной информации, что снижает напряжение, и дает возможность индивиду мобилизовать усилия для решения задачи.

Разрешение непереносимых конфликтов. Если отсутствуют средства для немедленного разрешения конфликтной ситуации, установки, желания, оценки как бы разводятся в различные состояния или потоки сознания.

Уход от повседневной реальности. Диссоциация лежит в основе множества религиозных практик и феноменов.

Изоляция катастрофических переживаний. Диссоциативный процесс изолирует процесс психотравмирующих переживаний, которые сопровождаются интенсивными, негативными эмоциями. При этом восприятие дробится на фрагменты. Амнестические эпизоды, реактивные, преходящие диссоциативные эпизоды - состояния, которые служат цели изоляции травматических переживаний. Катарсическая разрядка некоторых эмоций и аффектов. Некоторые аффекты, на переживания которых в культуре наложено табу, могут быть выражены только в контексте санкционированных ритуалов, обрядов. Участники выражают табуированные эмоции в диссоциативном состоянии, которое можно было бы уподобить своего рода «контейнеру», в содержимое которого входит либидинозное напряжение, агрессивные импульсы, чувства, связанные с фрустрациями или неисполнимыми желаниями. Индивид получает возможность выражать эти чувства в символической форме, не испытывая при этом страх или вину в связи с нарушением социальных рамок или цензуры Суперэго.

Усиление стадных чувств. Диссоциация имеет большое значение при сплочении больших групп перед лицом общей опасности или в феномене влияния на массы «харизматических вождей».

Согласно взглядам клянианской школы, примитивные защиты возникают в ответ на тревоги, связанные с действием влечения к смерти, они обладают следующими основными характеристиками, обусловленными ранним этапом онтогенеза: слабой связью с принципом реальности, отсутствием представления о константности и границах внешних объектов [Мак-Вильямс, 1998], необходимость в «другом», как опоре, для отщепленных частей психики. По- видимому, основной задачей диссоциации как защитного механизма, является сохранение связи, как это не парадоксально, с реальностью, контакта, который является источником невыносимых страданий, за счет нарушения целостности, единства внутренней структуры. Диссоциация является врожденным, филогенетически обусловленным архаичным механизмом, а не формируется в онтогенезе. По мере прохождения определенных этапов развития, формируются более сложные механизмы защиты, но диссоциация остается в резерве на случай ситуаций, чреватых психической травмой [Мак-Вильямс ,1998].

6. Операционализация представления о психологических структурах

На основе концепции Пономарева о том, что внутренняя структура формируется в ходе внешнего взаимодействия можно сказать, что способ связи оказывает обратное действие на формирование свойств компонентов, что в итоге приводит к развитию системы. В работах И. О. Александрова [2006] и Н.Е. Максимовой с соавторами [2004] было предложено представление о психологических структурах как совокупности информационных моделей взаимодействия индивида с предметной областью, которые фиксируются в группах поведенчески специализированных нейронов индивида.

Структура знания в стратегической игре.

СИЗ в определенной предметной области представляет собой операционализацию концепции «психологических структур», и открывает возможность эмпирического изучения их организации и формирования [Александров, 2006; Александров, Максимова и др., 1999].

СИЗ состоит из компонентов, отношений между ними и групп компонентов, стратегий и доменов [Александров ,Максимова и др., 1999]. Компоненты СИЗ и их группы фиксируются как группы поведенчески специализированных нейронов, соответствующих актам взаимодействия индивидов с предметной областью. Протокомпоненты, образованные группой преспециализированных нейронов, дифференцируются в компоненты. Дифференциация протокомпонента возникает в проблемной ситуации в предметной области. Начало дифференциации характеризуется ситуацией неопределенности. Формирование компонента происходит в несколько стадий. Происходят процессы специализации множества протокомпонентов - групп специализированных нейронов в новый компонент. При этом происходит общая специализация этой группы и субспециализация части этой группы. Разрешение этой неопределенной ситуации происходит, когда компонент достигает возможности реализоваться в новом акте взаимодействия со средой. Этот момент доступен для регистрации и в зависимости от взаимодействия может произойти разрешения проблемной ситуации [Александров, 2006].

Для того, чтобы установить СИЗ, закономерности актуалгенеза этой структуры, используя принцип реконструкции [Александров, Максимова, 2006], необходимо определить предметную область, относительно которой индивид приобретает компетенцию. Во взаимодействии с предметной областью происходит формирование и модификация СИЗ.

Описание процесса игры. В качестве предметной области была применена игра «крестики-нолики» на поле 15х15. Эта игра относится к позиционным, стратегическим играм с полной информацией и нулевой суммой [Гарднер, 1988], что означает: последовательные шаги открыты и фиксируются в доступной для игроков форме. Стратегическая игра требует содержательного решения о будущих действиях (ходах). Полная информация предполагает доступность игроку всего «дерева игры», учитывая оценки эффективности ходов. Полнота информации - потенциальное свойство игры, раскрывающееся по мере формирования компетенции игрока. Игра с нулевой суммой предполагает, что выигрыш одного игрока равен проигрышу другого. Способ достижения выигрыша, как и избегание проигрыша, должен быть сформирован игроком в процессе разрешения ситуации конфликта с противником, в ситуации активного взаимодействия. Сложность игры позволяет неограниченно совершенствовать компетенцию.

Проведенный анализ литературы позволяет сделать следующие выводы: Процесс формирования психологических структур может быть рассмотрен как процесс дифференциации.

.        В процессе приобретения компетенции в стратегической игре в формировании СИЗ выделяется три типа дифференциации.

.        Формирование психологических структур может быть операционализировано и формально описано для стратегической игры двух партнеров как формирование структуры индивидуального знания.

.        Целостная система представляет собой множество компонентов и отношений между ними, которые их связывают.

.        Техника ЭГ предоставляет возможность введения испытуемого в состояние релаксации, совместимое с совершением сложной деятельности по формированию компетенции в стратегической игре.

Глава 2. Методика

. Участники исследования

В исследовании принимали участие 12 человек (8 женщин и 4 мужчин в возрасте от 23-38 лет, медиана возраста = 30,5 лет). Участники исследования подбирались по доступности из учащихся 4 курса факультета психологии Высшей Школы Психологии, студентов вузов, а так же пациентов института Саморегуляции поведения, которые уже были знакомы с техникой ЭГ, и имели опыт работы именно с этим гипнотерапевтом.

Группа сопоставления.

В качестве группы сопоставления была использована выборка участников исследования организации и формирования СИЗ, проведенного Т. Б. Балуевой (15 человек - 13 женщин и 2 мужчин в возрасте от 26-49 лет, медиана возраста = 30 лет). Группа сопоставления не отличается от выборки исследования по половому составу (точный критерий Фишера: χ2 = 1.548, p = 0.357), и по возрасту (точный тест Манна-Уитни: Z = 0.416, p = 0.692).

психологический релаксация сознание гипноз

2. Процедура исследования

Полный сценарий исследования смотри в Приложении.

У всех испытуемых применялась следующая последовательность процедур:

формирование компетенции в ординарном состоянии сознания на протяжении реализации 100 ходов игры (6-11 партий);

введение состояния релаксации (измененного состояния сознания) с помощью техники Эриксоновского гипноза, и формирование компетенции в этом состоянии на протяжении 100 ходов игры (6-11 партий); -выведение из измененного состояния сознания в ординарное и формирование компетенции в этом состоянии на протяжении реализации 100 ходов игры (6-11 партий).

Сценарий.

Приглашение в исследование. Мы проводим исследование процессов научения у человека в различных состояниях и нам особенно интересно, как научение происходит в состоянии релаксации. Участники исследования овладевают навыками компьютерной игры, мы проводим с ними несколько тестов, которые позволяют нам определить соответствие психологических характеристик и особенностей построения навыка в игре. При этом часть исследования мы проводим в обычном состоянии участников, а часть - в состоянии релаксации. Кроме того, что сами тесты довольно интересные, Вы получите некоторые навыки расслабления, релаксации, которые полезны и которые можно будет применять в будущем.

День первый.

. 1 день. Общая инструкция

Первый день

Итак, мы начинаем наше исследование с заполнения бланков. После этого Вы поиграете в игру. Перед каждым новым действием мы будем Вас инструктировать. Все наши занятия продлятся сегодня полтора-два часа, как мы и договаривались. Если Вам понадобится что-нибудь - то обращайтесь к нам.

Заполнение первой части протокола игры (см. Приложение)

Опросник Локус контроля.

Опросник диагностики направленности личности Б. Басса.

ПНЗ опросник поле(не)зависимости.

Опросник Лири.

Игра - 1-ая серия.

Инструкция -1ая серия. Инструкции в первой серии. Вам предлагается игра в крестики-нолики на поле 15х15. Ваш партнер - компьютер. Вы с ним ходите по очереди. Выигрывает тот, кто первым построит непрерывную цепочку из 5 знаков - в любом направлении - по горизонтали, вертикали или диагонали. Каждую новую игру вы начинаете по очереди, независимо от того, кто выиграл в предыдущей партии. Ваша цель - добиться максимально большого количества выигрышей. После каждой игры появляется вопрос - "Следующая игра?" - отвечайте "Да", пока кто-нибудь из нас не остановит Вас.

Игра.

Ходы 1-100.

Глубокая релаксация. Инструкция. Сейчас Мы поможем Вам прийти в состояние релаксации, в котором Вы будете продолжать игру. Ваш партнер - компьютер. Вы с ним ходите по очереди. Выигрывает тот, кто первым построит непрерывную цепочку из 5 знаков - в любом направлении - по горизонтали, вертикали или диагонали. Каждую новую игру вы начинаете по очереди, независимо от того, кто выиграл в предыдущей партии. Ваша цель - добиться максимально большого количества выигрышей.

Ходы 100-200.

Выход из состояния релаксации, инструкция. Сейчас Вы - в обычном бодрственном состоянии. Нужно ли напомнить правила игры? После каждой игры появляется вопрос - "Следующая игра?" - отвечайте "Да", пока кто-нибудь из нас не остановит Вас.

Ходы 201-300.

Анкета после 1 серии (см. Приложение).

Интервал 7 - 14 дней. Продолжение исследования.

. Методики и переменные

Контролируемое формирование компетенции в стратегической игре.

Участникам исследования предлагали освоить стратегическую игру с полной информацией и нулевой суммой - крестики нолики на поле 15х15.

Испытуемые играли на дисплее компьютера, ставя знаки на поле при помощи мышки. Для выигрыша было необходимо раньше противника построить непрерывную цепочку знаков любой ориентации. Регистрировали координаты последовательных ходов игроков и время выбора хода для каждого из них.

Описание протоколов игр в координатах ходов на игровом поле преобразовывали в индивидуальные протоколы последовательных актов игры для каждого игрока, которые служили основой для формального количественного описания СИЗ через перечисление компонентов и отношений между ними. СИЗ была описана как множество базовых компонентов и их групп (стратегий и доменов). На множестве базовых компонентов описаны отношения следования, генерации, координации, AND, IOR, XOR. Подробное описание процедуры исследования, правил и процедуры реконструкции СИЗ см. [Александров, 2006].

В качестве единицы анализа поведения игрока брали акт игры - интервал между двумя последовательными ходами оппонента и оценивали три ситуации на игровом поле:

) после хода компьютера,

) после собственного хода игрока,

) после ответного хода компьютера.

Для формального описания ситуаций на игровом поле для каждой игровой ситуации определяли количество цепочек из 2, 3, 4 и 5 знаков у игрока и компьютера, которые можно было бы построить на следующем шаге игры. Актам игры были поставлены в соответствие компоненты СИЗ, которые выделялись с помощью специально разработанных алгоритмов и описывались формально. Между компонентами СИЗ были определены отношения нескольких типов, которые связывают компоненты СИЗ в группы.

Были выделены логические отношения И (AND) исключительное и неисключительное ИЛИ (IOR и XOR) между компонентами СИЗ. Определяли, сравнивая составы полустепеней исходов всех вершин графа для данного игрока. Отношение И (AND) для пары компонентов СИЗ определяли по их обязательному совмещению в полустепенях исходов. Для пар компонентов СИЗ, которые никогда не встречались в одном и том же составе полустепени исхода, определяли отношение исключительное ИЛИ (XOR). Для тех пар компонентов СИЗ, которые могли встречаться в составе различных полустепеней исхода и вместе, и порознь, определяли отношение неисключительное ИЛИ (IOR). Количество логических отношений каждого типа были оценены, как число пар компонентов СИЗ, связанных соответствующими отношениями.

СИЗ может быть представлена как неоднородная семантическая сеть [Александров, 2006; Максимова, Александров и др,. 1998, 2001], в которой выделяются ассоциативные и пропозициональные семантические сети. В семантической ассоциативной сети компоненты связаны ассоциативными отношениями. Такие отношения проявляются в комитативной (Х сопровождается У), модально-комитативно (Х может сопровождаться У), коррелятивной (Х может наблюдаться при У) и негативной (Х отрицает У) связи. Отношения рефлексивны или симметричны, поэтому синхроничны [Александров, 2006]. Семантические ассоциативные сети описывают свойство связности компонентов структуры, которое может быть сопоставлено с такими особенностями интуитивного способа взаимодействия человека с миром, как возможность семантических обобщений, относящихся к данной сфере деятельности, и одновременный учет разнородной информации [Н.Е. Максимова, И.О. Александров, И.В. Тихомирова, Е.В. Филиппова, Ю.Б. Никитин, 1998].

В качестве характеристик процессов дифференциации 1-го типа использовали оценку количества сформированных протокомпонентов;

дифференциации 2-го типа - соотношение количества протокомпонентов и компонентов;

дифференциации 3-го типа - оценку возможностей компонентов СИЗ вступать во взаимодействия [Александров, 2006].

Эти возможности проявляются в разных типах синхронических (или ассоциативных) отношений, в которые могут вступать компоненты СИЗ, это отношения AND, XOR, IOR, которые описываются в терминах количества таких отношений, через свойства групп компонентов, в которые эти типы отношений связывают компоненты СИЗ -и доменов - их количество, сложность организации. Синхронические (пропозициональные) отношения между компонентами оценивали через характеристики положения компонента на дереве игры (линейные участки, петли, циклы), количество линейных и циклических стратегий и их длину.

Движения мыши в процессе выбора хода.

Анализировали движения руки игрока в интервале выбора хода. Такие события были выявлены у всех игроков. Ни у одного из игроков в анкетах, данных после игры не упоминались движения руки в процессе игры.

Поисковые движения рук можно сопоставить с некоторыми видами движения глаз в процессе анализа позиций в шахматах, описанные О.К.

Тихомировым. Эти движения глаз - «исследовательские действия», носящие характер конкретного действия с фигурой [Тихомиров, 1969].

Оценивали частоту движения мышью в процессе выбора хода. Рассчитывали отношение количества движения мышью в игре к количеству совершенных ходов для каждой игры.

Полученные массивы значений сравнивали при помощи статистических критериев Манна-Уитни и Крускалла-Уоллиса, для трех последовательных серий: до введения в релаксацию, в ЭГ, и после выведения из релаксации.

Состояние релаксации.

Для введения в состояние релаксации использовали технику эриксоновского гипноза (ЭГ). Процедуры выполнял психотерапевт (гипнотерапевт) А.В. Воропаев. Процедура введения в состояние релаксации и выведения из него занимала 15 - 30 минут.

Анкета для оценки глубины состояния релаксации.

Для оценки глубины состояния релаксации была разработана специальная анкета. Испытуемые оценивали количество проведенных игр, количество выигранных ими игр, выделяли и описывали события, произошедшие на протяжении процедур исследования, характеризовали последовательные серии. Предполагали, что у лиц с более глубоким состоянием релаксации в самоотчетах могут не проявляться события, произошедшие в состоянии релаксации, описание второй серии может быть существенно беднее, чем описание первой и третьей серий, вплоть до исчезновения этих сведений из отчета.

Индивидуально-психологические характеристики.

Опросник «Локус контроля» (ЛКв).

“Локус контроля, версия для взрослых испытуемых” [Ксенофонтова Е.Г., «Исследование локализации контроля личности» - новая версия методики “Уровень Субъективного Контроля”/ Психологический журнал 1999 №2.].

Оценивалась шкала Общей интернальности (Ио). Уровень субъективного контроля - обобщенная характеристика личности, оказывающая регулирующее воздействие на формирование межличностных отношений. В соответствии с концепцией локуса контроля (лат. Locus - месторасположение), те лица, которые принимают ответственность за события своей жизни на себя, объясняя их поведением, способностями, чертами личности, обладают внутренним (интернальным) контролем. Любой человек по локусу контроля занимает определенное место на континууме интернальность - экстернальность. В экспериментальных исследованиях установлена связь между различными формами поведения, особенностями личности и уровнем интернальности - экстернальности. Интерналы, в отличии от экстерналов, менее склонны подчиняться давлению других людей, сильнее реагируют на утрату личной свободы, активнее ищут информацию, более уверенны в себе.

Обработка результатов. Ключи

Ио - интернальность общая:

+ 2, 3, 4, 10, 11, 13, 14, 16, 18, 21, 23, 25, 27, 28, 30, 32, 33, 35, 38, 40.

1, 5, 6, 7, 8, 9, 12, 15, 17, 19, 20, 22, 24, 26, 29, 31, 34, 36, 37, 39.

Ориентационная анкета Басса.

Для определения личностной направленности используется ориентационная анкета, впервые опубликованная Б. Бассом в 1967 г. Анкета состоит из 27 пунктов-суждений, по каждому из которых возможны три варианта ответов, соответствующие трем видам направленности личности. Респондент должен выбрать один ответ, который в наибольшей степени выражает его мнение или соответствует реальности, и еще один, который наоборот, наиболее далек от его мнения или же наименее соответствует реальности. Определение направленности личности происходит по трем важным шкалам: направленность на себя, направленность на дело, направленность на общение.

Ответ «наиболее» получал - 2 балла, «наименее» - 0, оставшийся невыбранным - 1 балл. Баллы, набранные по всем 27 пунктам, суммировались для каждого вида направленности отдельно. Были выявлены следующие параметры:

Направленность на себя - ориентация на вознаграждение агрессивность, властность, тревожность, склонность к соперничеству.

Направленность на общение - ориентация на социальное одобрение, потребность в привязанности, эмоциональных отношениях с людьми.

Направленность на дело - способность отстаивать свое мнение в интересах дела, ориентация на деловое сотрудничество.

Методика диагностики межличностных отношений (ДМО).

Метод диагностики межличностных отношений (ДМО), разработанный Л.Н.Собчик. ( Методы психологической психодиагностики. М., 1990, выпуск 3.) Позволяет оценить широкий спектр психологических характеристик по 8 шкалам.

шкала - качества лидера, руководителя, организатора.

шкала - качества независимости, уверенности в себе, способность к соперничеству.

шкала - способность в достижении целей, агрессия, упорство, вспыльчивость.

шкала - подозрительность, недовольство окружающими, некомформность.

шкала - оценивает скромность, покорность, высокое чувство вины.

шкала - оценивает потребность в помощи, доверии со стороны окружающих, зависимость.

шкала - оценивает желание сотрудничать с группой, способность идти на компромисс.

шкала - оценивает выраженную готовность помогать окружающим, гиперсоциальные установки, альтруизм.

После того, как клиент себя оценит и заполнит регистрационный лист, подсчитываются баллы по 8-ми вариантам межличностного взаимодействия. Для этого используется "ключ", с помощью которого выделяют 16 номеров, формирующих каждый из 8-ми октантов психог-раммы методики. Количество перечеркнутых номеров в каждой ячейке выносится на таблицу количественных результатов соответственно каждому октанту, отражающему тот или иной вариант межличностных отношений.

Методика «Включенные фигуры Уиткина».

Методика оценивает степень выраженности поле(не)зависимости [Холодная М. А., « Когнитивные стили». О природе индивидуального ума. М., 2004]. В работах Г. Уиткина понятие когнитивного стиля формировалось в рамках гештальт-психологических представлений о поле и поведении в поле. По отношению к разным людям фактор влияния поля (предметного и социального окружения) обнаруживает себя в разной мере. В частности, поведение одних в большей мере оказывается подчиненным полю (полезависимый тип поведения), тогда как поведение других в большей мере оказывается ориентированным на внутреннюю активность (поленезависимый тип поведения) [Witkin, Dyk, Faterson, Goodenough, Karp, 1974; Witkin, Goodenough, Oltman, 1979; Witkin, Goodenough, 1982]. Задача испытуемого - найти простую фигуру внутри сложной геометрической фигуры. Быстрое и правильное обнаружение простой фигуры (детали) характеризует поленезависимость, медленное и ошибочное - полезависимость. Таким образом, оценивается степень, в которой индивидуальная перцепция находится под влиянием видимого поля. Наконец, в более поздних работах Уиткин сделал акцент на характере направленности субъекта: либо на внешние факторы (тенденция быть полезависимым), либо на внутренние факторы (тенденция быть поленезависимым). Именно в рамках этой дихотомии - склонности ориентироваться на поле, либо на самого себя - стало использоваться понятие «когнитивный стиль». Таким образом, ПЗ/ПНЗ в узком значении слова - это способность вычленять простую деталь в сложной фигуре, тогда как в широком значении слова - это показатель уровня психологической дифференциации.

Задача - за 5 минут отыскать как можно больше эталонных фигур, обведя их контур и выделяя, таким образом, из «лишних», мешающих линий.

Подсчитывается количество правильно выделенных фигур. За каждую правильную фигуру насчитывается 1 балл (N), Балл не засчитывается, если искажены пропорции и размеры.

Критерий оценки: при N меньше 10, результат свидетельствует о выраженной полезависимости, при N больше 10, результат свидетельствует о выраженной поленезависимости.

Шкала диссоциации Склонность к диссоциативным состояниям оценивали по адаптированной русскоязычной версии «Шкалы диссоциации DES» (Dissociation Experience Scale). Авторы адаптации - В.А.Агарков и Н.В. Тарабрина. Источник русской версии [Bernstein-Carlson, Putnam, 1993].

Оценивание испытуемых по шкале DES были проведено А.В.Воропаевым в рамках другой части исследования. Эти результаты использованы также и нами для описания индивидуально-психологических свойств испытуемых.

4. Статистические гипотезы

Все проверяемые конкретные статистические гипотезы сводились к проверке предположения (гипотеза H0) о том, что сравниваемые независимые выборки извлечены из одной совокупности (см. [Мюллер, Нойман, Шторм, 1982]).

. Статистическая обработка

Для сравнения величин использовали непараметрические точные тесты (предназначенные для работы с малыми по объему выборками):

тест Манна-Уитни (для сравнения двух независимых выборок) и тест Крускалла-Уоллиса (непараметрический аналог процедуры ANOVA).

Два близких по смыслу теста применяли для повышения надежности статистического вывода: решение о достоверности различий принимали в том случае, если нулевую гипотезу отвергали по результатам двух тестов.

Нулевую гипотезу отвергали при p ≤ 0.05/

Глава 3. Результаты

. Анализ Анкеты для оценки глубины состояния релаксации (см. Приложение, «Анкета после 1-ой серии»)

Семь испытуемых описывали в отчетах смену серий, пять из них описывали эти события без подробностей, пять испытуемых вообще не упоминали о смене серий. Используя критерий «упоминания смены серий» не удается разделить данную выборку дихотомически.

В числе важных событий испытуемые упоминали только усталость, расслабленность, удовольствие от выигрышей, раздражение от проигранных игр, изменение интереса к игре. Только 3 испытуемых упомянули смену серий и инструкцию по расслаблению. Оснований для дихотомического разделения выборки не удалось выделить.

В ответах на прямые вопросы о специфике средних серий 11 из 12 испытуемых отмечали либо особенное состояние (заторможенность, расслабленность, спокойствие, «чувство оптимизма») либо измененное отношение к процессу игры («не было злости от проигрыша», «факт выигрыша перестал быть значимым», «пассивное отношение к процессу», появление азарта, вторая серия - «интересней, более-менее осознанные ходы»). Следует отметить, что в оценках состояния в средней серии некоторые испытуемые (3 из 12 человек) констатируют одновременно состояние азарта и расслабления, осознанность ходов и «удивительность выигрышей и проигрышей. Три человека, прямо или косвенно указали на то, что следы эффектов релаксации не исчезают после выведения из этого состояния.

Только один из 12 испытуемых не дал оценки количеству проведенных игр. Остальные воспроизвели это количество с разными степенями ошибочности - снижая его от нескольких игр до 30% от правильного количества, или давая удвоенную оценку (1 чел). На основании этих оценок не представляется возможным построение дихотомического критерия оценки глубины состояния релаксации.

Из 12 испытуемых четыре человека отрицали, что они достигали выигрышей, причем эти утверждения были ошибочными - трое из них выиграли по 10 игр, а один - 9. Оценки четырех других испытуемых совпадали с количеством выигрышей в последней, третьей серии, что составляло от четверти до половины общего числа выигрышей, достигнутых в первой, второй и третьей сериях. Четыре испытуемых оценили количество выигрышей достаточно правдоподобно (один из них завысил оценку количества выигрышей в два раза, но пропорционально завышенной оценке общего количества игр). Следует отметить однако, что неуверенность и «двойственность» оценок количества выигрышей продемонстрировали и те испытуемые, которые дали правдоподобные оценки. Так исп. № 04 на прямой вопрос об общем количестве выигрышей дала ответ «15» (в действительности - 17), а описывая игру в состоянии релаксации, отметила: «В расслабленном состоянии я выиграла только одну игру», в то время как в действительности в этой серии она достигла 7 выигрышей.

На основании точности оценки количества достигнутых выигрышей можно разделить выборку на две части. К первой части можно отнести испытуемых, которые либо отрицали выигрыши, либо указывали только те выигрыши, которые были достигнуты в последней третьей серии. В вторую группу включены те испытуемые, которые указывали количества выигрышей в значительной степени совпадающие с действительным их количеством. Можно предположить, что испытуемые, отнесенные к группе 1, выделенной по этому критерию, находились в состоянии более глубокой релаксации, чем испытуемые группы 2. Именно поэтому они не могут воспроизвести такие важные для данной игры результаты, как количество выигрышей.

2. Анализ индивидуально-психологических характеристик

Предполагали, что некоторые из индивидуально-психологических характеристик могут служить маркерами склонности к достижению состояния релаксации в которое вводили испытуемых на 2-ом этапе формирования компетенции в стратегической игре. Поскольку состояние релаксации может проявиться в двигательной активности [С.Гиллиген,1999; Беккио Ж., Жюслен Ш.,1997; Эриксон М., Росси Э., 2010; Эриксон Э., 2011.], то для проверки приведенной гипотезы оценивали степень соответствия выраженности индивидуально-психологических характеристик и частоты движений мышью в процессе выбора хода - в 1-ой серии (в ординарном состоянии сознания), во 2-ой серии (в состоянии релаксации), и в 3-ей серии (при возвращение в ординарное состояние сознания).

Оценивали частоту движения мышью в процессе выбора хода. Рассчитывали отношение количества движения мышью в игре к количеству совершенных ходов для каждой игры.

Полученные массивы значений сравнивали при помощи статистических критериев Манна-Уитни и Крускалла-Уоллиса, для трех последовательных серий: до введения в релаксацию, в ЭГ, и после выведения из релаксации.

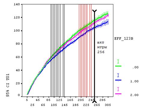
Полагали, что если разбиение выборки испытуемых на группы, проявляющих различную выраженность какой-либо психологической характеристики, будет по-разному выражено изменение двигательной активности в связи с переходом из ординарного состояния в состояние релаксации, то разделение выборки на группы по значениям этой психологической характеристики может служить мерой эффективности процедуры введения в состояние релаксации, причем выраженность соответствующей индивидуально-психологической характеристики может представлять существенную черту психологического портрета человека, склонного к склонности к достижению состояния релаксации, достигаемого при помощи техники ЭГ. Оценки по шкале DES. У лиц с низкой выраженностью склонности к диссоциативным состояниям достоверных различий в частоте движений мышью в процессе выбора хода в 1-ой, 2-ой и 3-ей серии не отмечено (см. рис. 1, красная линия, EFF_123 = 1). Оценки достоверности по точному тесту Манна-Уитни: p>0.437; по тесту Крускалла-Уоллиса: p>0.548. Для лиц с высокой выраженностью склонности к диссоциации (Рис. 1, зеленая линия, EFF_123b =2) показано достоверное снижение частоты движений мышью в процессе выбора хода в серии с применением процедуры релаксации (точный тест Манна-Уитни, Z= -2.50, P =0.012; тест Крускалла-Уоллиса, df = 1, X2 = 6.26, p = 0.012).

Рис. 1. Изменение частоты движений мышью при выборе хода в трех последовательных сериях по оси абсцисс

- ординарное состояние, 2 - состояние релаксации, 3 - возвращение в ординарное состояние, цифрами указано количество измерений) для групп лиц с низкой склонностью к диссоциативным состояниям (1, красная линия) и высокой склонностью (2, зеленая линия). По оси ординат - частота движений мышью - количество движений, отнесенное к количеству ходов в игре.

При выходе из состояния релаксации (при переходе от 2-ой серии к 3-ей) частота движений мышью не изменяется и к исходному уровню не возвращается (точный тест Манна-Уитни, Z = -0.664, P= 0.510; тест Крускалла-Уоллиса, df =1, X2 =0.44, p = 0.507

Оценки по тесту Б. Басса. Выборка разбивалась на две группы по каждой из трех шкал теста. Шкалы « направленность на себя», «направленность на общение» и «направленность на дело» не показали связи с изменением двигательной активности при погружении в состояние релаксации. Достоверных изменений частоты движений мыши при введении в состояние релаксации (2 серия) или при выведении из него не выявлено (точный тест Манна-Уитни, p > 0.209; тест Крускалла - Уоллиса, p > 0,207).

Оценки по тесту «Локус контроля» (ЛКв). Проводили разбиение выборки на группы по медианному значению оценок по опроснику. Ни одна из групп (с высокими и низкими значениями оценок по шкале локуса контроля не показала достоверных различий в частоте движений мышью в процессе выбора хода в 1, 2 и 3 сериях (точный тест Манна-Уитни, p > 0.186; тест Крускалла - Уоллиса, p > 0,184).

Опросник ДМО. При использовании для разбиения выборки на группы значений шкал опросника для шкал 1, 3, 4, 5, 6, 8 не было выявлено достоверных различий по частоте движений мышью в процессе выбора хода в 1, 2 и 3 сериях (точный тест Манна-Уитни, p > 0.123; тест Крускалла - Уоллиса, p > 0,193).

При разбиении выборки по значениям шкалы 2 ДМО лица с высокими значениями шкалы продемонстрировали достоверное снижение частоты движений мышью при введении в состояние релаксации (точный тест Манна-Уитни, Z= -2.677, p = 0.007; тест Крускалла-Уоллиса, df=1, X2 = 7.168, p = 0.014). Шкала 2 ДМО соответствует «независимо - доминирующему» типу межличностных отношений и сочетается с такими свойствами личности как дистантность, эгоцентричность, высокий уровень притязаний, выраженное чувство соперничества, проявляющееся в стремлении занять обособленную позицию. Поведение таких лиц, как правило, не конформное, они с трудом способны подчиняться другим. Мышление, как правило, нестандартное, творческое, но при этом возводится в ранг догмы, игнорируя мнение других.

Рис. 2. Изменение частоты движений мышью при выборе хода в трех последовательных сериях по оси абсцисс

- ординарное состояние, 2 - состояние релаксации, 3 - возвращение в ординарное состояние, цифрами указано количество измерений) для групп лиц с низкими значениями по шкале 2 ДМО (1, красная линия) и высокой значениями (2, зеленая линия). По оси ординат - частота движений мышью - количество движений, отнесенное к количеству ходов в игре. Частота движений мышью снижается, и остается такой в 3-ей серии.

У лиц с низкими значениями по шкале 7 ДМО частота движений мышью достоверно снижалась при введении в состояние релаксации (точный тест Манна-Уитни, Z= -1.976, p = 0.048; тест Крускалла-Уоллиса, df=1, X2 = 3.906, p = 0.048).

Рис. 3. Изменение частоты движений мышью при выборе хода в трех последовательных сериях по оси абсцисс

- ординарное состояние, 2 - состояние релаксации, 3 - возвращение в ординарное состояние, цифрами указано количество измерений) для групп лиц с низкими значениями по шкале 7 ДМО (1, красная линия) и высокой значениями (2, зеленая линия). По оси ординат - частота движений мышью - количество движений, отнесенное к количеству ходов в игре. Частота движений мышью снижается, и остается такой в 3-ей серии.

Шкала 7 соответствует «сотрудничающему - конвенциональному» типу межличностных отношений. Низкие баллы по этой шкале могут служить показателем скрытности и не откровенности в оценивании себя, а так же не желанием сотрудничать, агрессивностью, сдержанностью в межличностных контактах.

Тест «Включенные фигуры Уиткина».

По медианным значениям оценок, полученных по тесту, выборка разделена на две части - «полезависимых» (со значениями меньше медианы) и «поленезависимых» (со значениями большими или равными медиане).

Рис. 4. Изменение частоты движений мышью при выборе хода в трех последовательных сериях по оси абсцисс

- ординарное состояние, 2 - состояние релаксации, 3 - возвращение в ординарное состояние, цифрами указано количество измерений) для групп лиц с низкими оценками по тесту «Включенные фигуры Уиткина» (полезависимые, 1, красная линия) и высокими оценками (поленезависимые, 2, зеленая линия). Частота движений мышью снижается, и остается такой в 3-ей серии.

У «полезависимых» испытуемых при введении в состояние релаксации частота движений мышью достоверно снижается - см. рис. 4 (точный тест Манна-Уитни, Z= -2.509, p = 0.012; тест Крускалла-Уоллиса, df=1, X2 = 6.294, p = 0.012), в то время как у «поленезависимых» изменения частоты движений мышью не отмечено (точный тест Манна-Уитни, Z= -0.199, p = 0.844; тест Крускалла-Уоллиса, df=1, X2 = 0.040, p = 0.842). При высоких показателях полезависимости испытуемые полагаются на внешнее видимое поле, с трудом преодолевают его влияние, им требуется много времени, чтобы «увидеть» нужную деталь в сложном изображении. Оценка запоминания количества выигрышей (см. раздел 1. Анкета для оценки глубины состояния релаксации.) Разделение выборки на группы на основании субъективных ретроспективных оценок количества выигранных игр, данными испытуемыми в ответах на опросник, предъявленный после окончания формирования компетенции (см. раздел 1. Анкета для оценки глубины состояния релаксации). По этим оценкам 8 испытуемых вообще отрицали собственные выигрыши, либо называли количество выигранных игр только в последней третьей серии (1 группа). Только 4 человека дали ответы, учитывающие все выигрыши - во всех трех сериях. Можно предположить, что незапоминание выигрышей, достигнутых в 1-ой и 2-ой сериях (а у части - во всех трех сериях) указывает на эффект диссоциации, сопутствующий состоянию релаксации, что предусмотрено примененной техникой.

Рис. 5. Изменение частоты движений мышью при выборе хода в трех последовательных сериях по оси абсцисс

- ординарное состояние, 2 - состояние релаксации, 3 - возвращение в ординарное состояние, цифрами указано количество измерений) для групп лиц, не давших точную оценку выигрышей в проведенных играх (1, красная линия) и давших достаточно точную оценку (2, зеленая линия). По оси ординат - частота движений мышью.

У лиц 1-ой группы показано снижение частоты движений мышью в процессе выбора хода в серии с применением процедуры релаксации - см. рис. 5 (точный тест Манна-Уитни, Z= -2.585, p = 0.009; тест Крускалла-Уоллиса, df=1, X2 = 6.68, p = 0.010). При выходе из состояния релаксации (переход от 2-ой серии к 3-ей) частота движений мышью не изменяется (точный тест Манна-Уитни, Z = - 0.017, p= 0.988; тест Крускалла-Уоллиса, df = 1, X2 = 0.63, p= 0.553). У лиц 2-ой группы таких соотношений не выявлено для всех сравнений: оценки достоверности по точному тесту Манна-Уитни: p> 0. 761, по тесту Крускалла-Уоллиса: p> 0,912. Заметим, что эти данные совпадают с полученными при использовании теста на склонность к диссоциации (см. рис. 1), что соответствует содержательной стороне сравниваемых показателей. Эти результаты показывают, что применение процедуры ЭГ создавало эффект релаксации, который можно отнести к классу диссоциированных состояний. Это состояние было у части испытуемых достаточно выраженным, чтобы проявиться в характеристиках двигательной активности и в субъективных отчетах о ходе игры.

. Связь между характеристиками СИЗ и состоянием релаксации в процессе взаимодействия с предметной областью

На основании результатов, представленных в разделе 2, для разделения выборки на группы, в которых достигнут различный эффект релаксации, можно использовать такие характеристики, как «точность воспроизведения количества совершенных выигрышей», оценку по шкалам 2 и 7 опросника ДМО, полезависимость или поленезависимость, оценку по шкале DES.

Из перечисленных характеристик только шкала DES обладает установленной валидностью и надежностью [Патнем, 2004, с. 30]. Поэтому для разделения выборки на сопоставляемые группы использована именно оценка по шкале DES. Для оценки достоверности связи характеристик СИЗ и введением в состояние релаксации проводили сравнение численных значений каждой из характеристик для групп испытуемых, разделенных по медианному значению оценок по тесту DES на лиц менее и более склонных к состоянию диссоциации (на всех рисунках - синяя и красная кривая соответственно), а также для группы сравнения, эквивалентной основным группам по половому и возрастному составу (зеленая линия).

Для каждого сравнения использовали точные тесты Манна-Уитни и Крускалла-Уоллиса. Расхождение кривых, отображающих динамику формирования тех или иных составляющих СИЗ в сопоставляемых группах испытуемых, можно определить по перекрытию/неперекрытию 95% доверительных интервалов, показанных на графиках. Связь расхождений кривых с событиями «введение в релаксацию» и «выведение из релаксации» можно установить по соотношению этих событий во времени.

На рис. 6 показан процесс формирования протокомпонентов СИЗ в группах лиц с разной выраженностью склонности к диссоциированным состояниям в соотнесении с группой сравнения.

Хотя по визуальной оценке (и критерию неперекрытия доверительных интервалов) представляется, что у лиц с низкой склонностью к диссоциированным состояниям количество протокомпонентов снижается относительно как лиц с высокой склонностью к диссоциации, так и группы сравнения, применение статистических критериев не дает оснований отвергнуть нулевую гипотезу о сходстве этих кривых: Для всех статистических тестов p ≥ 0.10.

Рис. 6. Динамика формирования протокомпонентов СИЗ в группах испытуемых с низкими (синяя линия, 1.00) и высокими значениями по шкале DES (красная линия, 2.00).

Зеленая линия (00) - группа сопоставления (см. главу Методика). Вертикальные черточки на кривых обозначают 95% доверительный интервал для каждой из кривых. По оси ординат - количество сформированных протокомпонентов СИЗ. По оси абсцисс - ходы, совершенные в последовательных играх («сквозная» нумерация). Тонкие вертикальные линии: черные - начало введения в релаксацию; красные - окончание серии с релаксацией. Толстая вертикальная линия - «срез» на акте № 256, для которого даны статистические оценки различия количества протокомпонентов СИЗ, сформировавшихся в сравниваемых группах.

.

Рис. 7. Динамика формирования компонентов СИЗ в группах испытуемых с низкими (синяя линия, 1.00) и высокими значениями по шкале DES (красная линия, 2.00).

Зеленая линия (00) - группа сопоставления. Остальные обозначения - как на рис. 6.

Количество сформированных компонентов СИЗ (см. рис. 7) одинаково в обоих группах (с высокой и низкой выраженностью склонности к диссоциациии), точный тест Манна-Уитни, Z = -0.801; p = 0.485; точный тест Крускалла-Уоллиса, df = 1, χ2 = 0.64, p = 0.485,но количество сформированных компонентов у лиц с низким значениями теста DES достоверно меньше чем в группе сравнения: точный тест Манна-Уитни, Z = -2.10; p = 0.036; точный тест Крускалла-Уоллиса, df = 1, χ2 = 4.42, p =0.036

Для оценок темпа дифференциации протокомпоненгтов в компоненты СИЗ не обнаружено достоверных различий межу всеми сравниваемыми группами. Между группами 1 и 2 различий нет: точный тест Манна-Уитни, Z = -1.44; p = 0.18; точный тест Крускалла-Уоллиса, df = 1, χ2 = 2.077, p = 0.18.

Между группами 0 и 1 различий нет: точный тест Манна-Уитни, Z = -0.078; p = 0.97 ; точный тест Крускалла-Уоллиса, df = 1, χ2 = 0.006, p = 0.97.

Между группами 0 и 2 различий нет: точный тест Манна-Уитни, Z = -1.557; p = 0.132; точный тест Крускалла-Уоллиса, df = 1, χ2 = 2.42, p = 0.132.

Рис. 8. Динамика формирования синхронических отношений AND между компонентами в группах испытуемых с низкими (синяя линия, 1.00) и высокими значениями по шкале DES (красная линия, 2.00).

Зеленая линия (00) - группа сопоставления. Остальные обозначения - как на рис. 6.

На рис 8 показан процесс формирования синхронических отношений AND в сравниваемых группах 1, 2 и 3. На графике можно видеть, что отклонение кривой, соответствующей группе с высокой склонностью к состоянию диссоциации отклоняется от кривой группы сравнения раньше, чем кривая, соответствующая группе с низкой выраженностью склонности к диссоциации. Именно для группы с высокими оценками по DES различия в количестве сформированных отношениях AND показано достоверное отличие от группы сравнения: точный тест Манна-Уитни, Z = -2.259; p = 0.022; точный тест Крускалла-Уоллиса, df = 1, χ2 = 5.104, p = 0.022.

Рис. 9. Динамика формирования синхронических отношений XOR между компонентами в группах испытуемых с низкими (синяя линия, 1.00) и высокими значениями по шкале DES (красная линия, 2.00).

Зеленая линия (00) - группа сопоставления. Остальные обозначения - как на рис. 6.

На рис. 9 показан процесс формирования синхронических отношений XOR в сравниваемых группах. Синхронно с введением в состояние релаксации продукция отношений XOR увеличивается у лиц с высокой склонностью к состоянию диссоциации и достигает уровня достоверного отличия от значений для группы с низкой выраженностью склонности к диссоциации, причем кривая для этой группы на всем протяжении эпохи регистрации не отклоняется от кривой для группы сравнения. Результаты сравнения значений для групп с высокой склонностью к диссоциативным состояниям и группы сравнения: точный тест Манна-Уитни, Z = -3.425; p = 0.000074; точный тест Крускалла-Уоллиса, df = 1, χ2 = 11.026, p = 0. 000073.

Глава 4. Обсуждение результатов

. Характеристики состояния релаксации

Анализ отчетов испытуемых о состоянии релаксации в сравнении с состояниями до введения в релаксацию после выхода из нее показало, что большинство из них отмечало либо особенное состояние (заторможенность, расслабленность, спокойствие, «чувство оптимизма») либо измененное отношение к процессу игры («не было злости от проигрыша», «факт выигрыша перестал быть значимым», «пассивное отношение к процессу», появление азарта, вторая серия - «интересней, более-менее осознанные ходы»). У восьми из 12 человек отмечены ошибки в воспоминании о важных деталях происшедших событий (ошибки в оценке количества выигранных игр), причем эти ошибки могли относиться как к серии игр, проведенных в состоянии релаксации, так и к серии, игр, проведенных после выхода из состояния релаксации. Эффект незапоминания количества выигрышей в части случаев имел и ретроактивный характер - испытуемые утверждали, что они вообще не достигали выигрышей, при том, что выигрыши присутствовали во всех трех сериях. Эти наблюдения позволяют предполагать, что у некоторых испытуемых введение в состояние релаксации имело и ретроактивный эффект («забывание» деталей 1-ой серии), так и проактивный эффект (невоспроизведение важных событий в 3-ей серии).

Для описаний состояния в релаксации, данные некоторыми испытуемыми, характерны неуверенность и двойственность оценок (см. главу Результаты, п. 1).

Установлено, что лица с эффектом «нарушения точности оценки достигнутых выигрышей» проявляют в состоянии релаксации снижение уровня двигательной активности - не общей и диффузной активности, а предметно-ориентированной, - движений мыши в процессе выбора хода в игре. Важно, что такое снижение активности характерно для лиц с повышенной склонностью к диссоциативным состояниям, с выраженной полезависимостью, с высокими значениями по шкале 2 опросника ДМО (указание на эгоцентричность и стремление к обособленной позиции) и низким - по шкале 7 (указание на сдержанность в межличностных контактах).

Установлено, что снижение двигательной активности, выраженное в уменьшении частоты поисковых движений мыши также связано с оценками склонности к диссоциативным состояниям.

Можно предположить, что незапоминание выигрышей, достигнутых в 1-ой и 2-ой сериях (а у части - во всех трех сериях) указывает на эффект диссоциации, сопутствующий состоянию релаксации. Приведенные самооценки вполне соответствуют описанным в литературе характеристикам состояния, достигаемого при применении процедуры ЭГ [С.Гиллиген,1999; Беккио Ж., Жюслен Ш.,1997; Эриксон М., Росси Э., 2010; Эриксон Э., 2011]. Показатель высокой склонности к диссоциативным состояниям соответствует таким состояниям индивида, как изменения чувства идентичности, нарушения памяти (West, 1967; Nemian, 1980). Отмеченная некоторыми испытуемыми противоречивость состояния соответствует также диссоциативному состоянию [Патнем, 2004].

Учитывая совокупность перечисленных свойств, можно утверждать, что состояние релаксации, в которое вводили испытуемых, используя технику ЭГ, относится к классу диссоциативных состояний. Важно, что это введение в диссоциативное состояние установлено не только на основе экспертной оценки, данной гипнотерапевтом и по высказываниям испытуемых при анкетировании, но и по характеристикам двигательной активности и точности воспроизведения важных для данной деятельности характеристик поведения. К ряду доказательств того, что испытуемые (по крайней мере, те, для которых отмеченные характеристики были достоверно выражены) находились в особенном состоянии, относятся и результаты исследования, указывающие на связь снижения активности в состоянии диссоциации с индивидуально-психологическими характеристиками. Заметим, что перечисленные индивидуальные характеристики можно обозначить как черты, характерные для лиц, склонных к диссоциированным состояниям.

Специально следует отметить, что введение в диссоциированное состояние имеет проактивный эффект, т.е. изменения поведения могут сохраняться и после выведения из диссоциированного состояния.

. Характеристики СИЗ, формирующейся в состоянии релаксации

Основной вопрос исследования: может ли изменение состояния, в котором индивид совершает взаимодействия с предметной областью, привести к изменениям в организации психологической структуры, которая фиксирует формирующуюся в этом взаимодействии компетенцию, или ведущая роль именно предметных взаимодействий такова, что характеристики структуры соответствуют именно строению предметной области.

Результаты сопоставления характеристик СИЗ, формирующихся у индивидов, находящихся в (1) ординарном состоянии (не относящемся к классу диссоциативных состояний),(2) в состоянии диссоциации, причем часть из них обладает большей склонностью к вхождению в это состояние (2а), а другая часть - меньшей склонностью к этому (2б), показали, что СИЗ, формирующаяся в диссоциированном состоянии, обладает существенными особенностями организации.

Для наиболее фундаментальных процессов в формировании СИЗ - образовании протокомпонентов (из которых образуются компоненты СИЗ) никаких признаков специфичности выявлено не было. Характеристики дифференциации первого типа [Александров, 2006] в сравниваемых случаях не различаются. Различия обнаружены в процессах дифференциации 2-го типа - в процессах дифференциации протокомпонентов в компоненты СИЗ. Показано, что в диссоциированном состоянии количество формирующихся компонентов СИЗ снижается - у лиц с низкими значениями оценок по тесту DES. Важно отметить, что различное статистическое решение для групп с низкими и высокими оценками по DES может быть следствием небольшого объема выборки (см. рис. 7) и при ее увеличении снижение генерации компонентов СИЗ окажется характерным для 1 и 2 групп сравнения.

Для процессов дифференциации третьего типа, в которых формируется суборганизация компонентов, обеспечивающая взаимодействия между ним - отношения между компонентами [Александров, Максимова, Горкин, 2008], обнаружены весьма важные различия для ситуаций формирования в ординарном и диссоциированном состоянии. В состоянии диссоциации формируется сниженное количество отношений AND (см. рис. 8). Это ведет к более дробной организации СИЗ, к снижению объема центров доменных структур [Александров, 2006, гл. 11].

В формировании отношений XOR, которые запрещают одновременную актуализацию компонентов СИЗ и обеспечивают сфокусированность в актуализации групп компонентов [Александров, 2006, гл. 11] выявлено существенное различие для групп испытуемых с низкой склонностью к диссоциированным состояниям (этот процесс у них не протекает без отличий от ординарных условий) и с высокой склонностью к диссоциированным состояниям - у них формируется достоверно большее количество таких отношений (см. рис. 9). Для такой структуры характерны весьма дифференцированные домены, представляющие важные стороны деятельности более детально [Александров, 2006, гл. 11].

Представляется важным, что особенности СИЗ, которые начинают оформляться после введения испытуемых в диссоциированное состояние, не нивелируются, не исчезают после выхода испытуемых из диссоциированного состояния - см. рис. 7 - 9. Этот эффект точно соответствует оценкам изменения частоты движений мышью на трех последовательных этапах. Ни в одном случае не показано «возвращение» частоты движений мышью после выведения испытуемых из состояния диссоциации к исходным значениям (первого этапа) - см. рис. 1 - 5.

Точный аналог этих эффектов - трудности воспроизведения количества выигрышей, достигнутых не только в диссоциированном состоянии, но и после выхода из него.

Таким образом, результаты показывают, что в состоянии диссоциации при сохранении всех предметных обстоятельств взаимодействия с предметной областью, формируется структура знания, обладающая специфической организацией - со сниженным количеством компонентов СИЗ, со сниженным количеством отношений одних типов и повышенным - других типов, так, что актуализация такой измененной структуры у некоторых лиц является более избирательной, а у других - менее сфокусированной. Возможно, что именно эта специфика проявляется в различных характеристиках движений мышью при выборе хода у лиц с различными индивидуально-психологическими характеристиками.

Наиболее распространенное определение предметной области - «множество объектов и отношений между ними» [Аверкин, Гаазе-Рапопорт, Поспелов, 1992.]. Полученные результаты дают основание для расширения этого определения - через введение в него указаний на не «объектные» составляющие предметной области и взаимодействия с ними; оно должно включать описание ролей взаимодействующих индивидов и характеристики их межличностных отношений. В проведенном исследовании, как можно полагать, такой «необъектной» составляющей является психотерапевт, который не изменил ни правила игры, ни операциональную ее сторону, ни исходную компетенцию в данной стратегической игре, сформированную на первом этапе, но во взаимодействии с которым достигнуто состояние, в котором траектория формирования структуры знания изменилась, и после отмены этого состояния не возвратилась к исходному варианту развития.

Выводы

. Состояние релаксации, в которое вводили испытуемых, используя технику Эриксоновского гипноза, относится к классу диссоциативных состояний. После выведения испытуемых из диссоциативного состояния его эффекты не прекращаются, что проявляется в характеристиках двигательной активности и в субъективных отчетах испытуемых.

. Структура индивидуального знания, которая прошла начальные этапы формирования в ординарном состоянии сознания, при введении испытуемых в диссоциированное состояние продолжает формирование по измененной траектории, и после выхода из диссоциированного состояния не возвращается к первоначальной траектории развития, а сохраняет особенности, присущие диссоцированному состоянию.

. Изменения характеристик структуры знания, специфические для диссоциированного состояния, затрагивают процессы дифференциации

-го типа (процессы порождения компонентов структуры знания из протокомпонентов) и 3-го типа (формирование суборганизации компонентов структуры знания, обеспечивающей отношения между компонентами).

. У лиц с различными индивидуально-психологическими свойствами формирование структуры знания в диссоциированном состоянии может происходить по разным траекториям.

. Показано, что в диссоциированном состоянии у индивидов, приобретающих компетенцию в той же самой предметной области, что и в ординарном состоянии сознания, формируется структура знания с радикально иными свойствами. Это означает, что определение предметной области, описывающее лишь объекты их отношения, должно быть расширено и включать роли взаимодействующих индивидов и их межличностные отношения.

Литература

1.      Аверкин А.Н., Гаазе-Рапопорт М.Г., Поспелов Д.А. Толковый словарь по искусственному интеллекту. М.: Радио и связь, 1992.

.        Александров И.О., Формирование структуры индивидуального знания. М.: Изд-во «Институт психологии РАН». 2006.

.        Александров И.О. и Максимова Н.Е. "Экспериментальная методология Я.А.Пономарева и принцип реконструкции"// Сборник статей, посвященных 80-летию Я.А.Пономарева. Под ред. Д.В.Ушакова. М.: изд-во «Институт психологии РАН», 2006, с. 329-351.

.        Александров И.О., Максимова Н.Е. Ресурсная модель формирования индивидуальных психологических структур // Труды IX Международных чтений памяти Л.С.Выготского "Методология и методы психологического исследования (культурно-исторический аспект)" 17 - 19 ноября 2008 г. 2008. Электронное издание материалов.

.        Александров И.О., Максимова Н.Е., Горкин А.Г., Компоненты структуры знания: их взаимодействие и суборганизация // Одиннадцатая национальная конференция по искусственному интеллекту с международным участием КИИ- 2008: Труды конференции. 2008. Т.1. М.: ЛЕНАНД. С. 344-352.

.        Анохин П.К. Очерки по физиологии функциональных систем М.: 1975.

.        Балуева Т.В. Дипломная работа.// Соотношение различных типов дифференциации структуры индивидуального знания и психологических оценок мотивационной сферы/. М.: 2010.

.        Беккио Ж., Жюслен Ш. Новый гипноз. Практическое руководство. М.: 2008.

.        Бурлачук Л. Ф. //Словарь - справочник по психодиагностике. Питер 2008.

.        Гиллиген С. Терапевтические трансы. Руководство по эриксоновской гипнотерапии. М.: 2005.

.        Живова Н.А. Дескрипторы социально-предметной компетентности и структура индивидуального знания // Сборник трудов Второй научно-практической конференции молодых ученых Высшей школы психологии и Института (факультета) психологии ГУГН, 19-20 мая 2005 г. / Ред. И.В.Блинникова. М.: изд-во «Институт психологии РАН», 2005.

.        Ксенофонтова Е.Г. Исследование локализации контроля личности - новая версия методики “Уровень Субъективного Контроля”/ Психологический журнал 1999, №2.

.        Лэнг Р. Д. Расколотое Я. 1995.

.        Максимова Н.Е., Александров И.О, Тихомирова И.В., Филиппова Е.В. Типология интуитивного-рационального и формирование структуры индивидуального знания // Психол. журн. 2001. Т. 22. № 1. С. 43 - 60.

.        Максимова Н.Е., Александров И.О. Феномен коллективного знания: согласование индивидуальных когнитивных структур или формирование надиндивидуальной психологической структуры // Психология человека в современном мире. Т.З. Отв. Ред. А.Л.Журавлев, Е.А.Сергиенко, В.В.Знаков, И.О.Александров. Материалы Всероссийской юбилейной научной конференции, посвященной 120-летию со дня рождения Сергея Леонидовича Рубинштейна (15-16 октября 2009г., Москва). М.: Институт психологии РАН. 2009. С. 368-376.

.        Максимова Н.Е., Александров И.О. Сходство организации структуры знания у взаимодействующих индивидов // Третья международная конференция по когнитивной науке. Тезисы докладов. Т. 2. М.: Художественно-издательский центр. 2008. С. 359 - 360.

.        Максимова Н.Е., Александров И.О., Тихомирова И.В., Филиппова Е.В., Фомичева Л.Ф. «Структура и актуалгенез субъекта с позиций системно-эволюционного подхода», «Психологический журнал», 2004, Т. 25, № 1. С. 17-40.

.        Мюллер П., Нойман П., Шторм Р. Таблицы по математической статистике. М.: Финансы и статистика, 1982.

.        Пономарев Я. А. Психология творчества. Изд. «Наука», М.: 1976.

.        Пономарев Я.А. Методологическое введение в психологию. М.: Наука. 1983.

.        Серлз Д. Открывая сознание заново. М.: 2002.

.        Л.Н.Собчик. Методы психологической психодиагностики. М., 1990, выпуск 3.

.        Тарабрина Н.В. (Ред.) Практикум по психологии посттравматического стресса. СПб.: Питер, 2001.

.        Холодная М. А. Когнитивные стили: О природе индивидуального ума. М.: ПЭР СЭ, 2002.

.        Швырков. В.Б., Введение в объективную психологию. Нейрональные основы психики. М.: Изд-во «ИП РАН» 1995.

.        Эриксон М., Росси Э., Гипнотические реальности. Наведение клинического гипноза и формы косвенного внушения. М.: 2010.

.        Эриксон. Б.Э., Новые уроки гипноза. М.: 2011.

.        Япко М. Д. Ведение в гипноз. М: 2002.

29.    Bernstein E., Putnam F.W. Development, reliability and validity of a dissociation scale. Journal of Nervous and Mental Disease. 1986. 174; p. 727 - 735.

Приложение

Сценарий исследования

. Приглашение в исследование.

ДЕНЬ ПЕРВЫЙ

. Общая инструкция - 1 день.

. Протокол игры.

. Локус контроля.

. Басс.

. ПНЗ (оценка поле(не)зависимости).

. Опросник Лири.

Игра - 1-ая серия

. Инструкция - 1 серия.

. Игра.

Ходы 1 - 100.

Глубокая релаксация (инструкция).

Ходы 100 - 200.

Выход из состояния релаксации (инструкция).

Ходы 201- 300.

. Анкета после 1-ой серии.

Интервал 3 - 6 дней.

ДЕНЬ ВТОРОЙ

. Общая инструкция - 2 день.

. Опросник эмпатии.

. Определение доминантной стороны.

. Опросник диссоциации.

Игра - 2-я серия

. Глубокая релаксация.

. Инструкция - 2 серия.

. Игра.

. Анкета после 2-й серии.

. Выход из состояния релаксации.

. Дебрифинг.

ПРОТОКОЛ ИГРЫ ДАТА ИГРЫ «_____» _____________2011г.

1. Фамилия, имя, отчество участника Код игрока _______

Дата рождения

«______» ____19___ г. Образование______ Род занятий ____

Вопросы:

. Умеете ли Вы играть в шашки?

. Умеете ли Вы играть в шахматы?

. Умеет ли Вы играть в «крестики-нолики»?

На каком поле: 3х3, 4х4, на бесконечном (нужное подчеркнуть)?

. Когда Вы в последний раз играли в «крестики-нолики»?

Время начала сессии__________________

Первая серия

Предъявление инструкции_____________

начало 1-ой части_____________________

окончание первой части________________

Введение релаксации__________________

начало 2-ой части_____________________

окончание второй части________________

Выведение из релаксации______________

начало 3-ей части_____________________

окончание третьей части________________

Заполнение анкеты_____________________

Вторая серия

Введение релаксации___________________

Предъявление инструкции______________

Время начала игры_____________________

Время окончания игры__________________

Заполнение анкеты_____________________

Выведение из релаксации_______________

Инструкция для первой серии

Вам предлагается игра в "крестики-нолики" на поле 15х15.

Ваш партнер - компьютер.

Вы с ним ходите по очереди. Выигрывает тот, кто первым построит непрерывную цепочку из 5 знаков - в любом направлении - по горизонтали, вертикали или диагонали.

Каждую новую игру вы начинаете по очереди, независимо от того, кто выиграл в предыдущей партии.

Ваша цель - добиться максимально большого количества выигрышей.

После каждой игры появляется вопрос - "Следующая игра?" - отвечайте "Да", пока кто-нибудь из нас не остановит Вас.

Сейчас Мы поможем Вам прийти в состояние релаксации в котором Вы будете продолжать игру.

Сейчас Вы будете играть в игру, "красные-зеленые шарики". Вы будете играть с компьютером, против друг друга.

Вы играете красными шариками, а компьютер играет зелеными шариками.

Вы играете при помощи компьютерной мышки. Поле игры размещается на экране монитора.

Правила игры.

При помощи компьютерной мышки Вы размещаете на поле для игры свой значок. Затем компьютер размещает на поле для игры свой значок. Затем вы делаете свой ход…. И так до тех пор, пока кто-нибудь не выиграет сет.

Сет выигрывает тот, кто первым построит непрерывную цепочку из 5 знаков - в любом направлении - по горизонтали, по вертикали, или по диагонали.

Вы должны стараться выиграть у компьютера.

Ваша цель - Победить.

Когда победитель определится - на экране будет ярко высвечена выигрышная цепочка.

Вы щелкнете левой кнопкой мыши и на мониторе появится надпись «Следующая игра?»

Вы выбираете - «Да», и, не зависимо от того кто выиграл, продолжает игру, соблюдая установленную очерёдность.

Побеждает тот, кто выигрывает большее количество сетов.

Игра продолжается до тех пор, пока я её не остановлю.

Анкета после 1-ой серии

ФИО________КОД________Дата___

. Сколько игр Вы сыграли?

. Сколько из них Вы выиграли?

. Можете ли Вы выделить какие-нибудь особенные события, произошедшие с Вами во время игры?

. Отличались ли первые игры от последних? Если да, то чем?

. Отличались ли "средние" игры от последних? Если да, то чем?

. Отличались ли "средние" игры от первых? Если да, то чем?

. Какие указания Вы получали от экспериментатора? Если да, то какие именно и в какие моменты?

. Что-нибудь мешало Вам выигрывать?

. Какой новый опыт Вы получили в этих играх?

Таблица

subj

Клиент


Отмеченные события

Отличие первой серии от последней

Отличие средней серии от последней

Отличие средней серии от первой

Оценка количества сыгранных игр

Выделяет ли смену серий (указания экспериментатора)

REM








всех

wins










оценка

реал

оценка

реал



00

0/1


No

В 1-ой серии комп думал дольше, чем в последней Во 2-й серии комп думал быстрее, чем в 1-й, но медленнее, чем в последней. Во 2-й серии у меня была легкая заторможенность

<20

24

~30%

15 5-7-3

yes Инструкция перед началом, начало игры, вход и выход из транса, возвращение к игре, окончание игр


02

0?


No Удивилась выигрышу

В средних не было злости от проигрыша

20

19

5

8 2-1-5

No


04

1


Yes в расслабленном выиграла только 1 игру(!!!)

В расслабленном состоянии я выиграла только 1-ю игру (!!!!) В последних играх я была менее сосредоточена, но получалось лучше(!!!!)

35

27

15

17 7-7-3

yes

В серии 2 я выиграла только 1-ю игру

06

0


No Только «начала учиться копировать ходы»

Отмечено «удлинение игр»; 3 > 1; 3 > 2.

30

19

0

9 3-2-4

yes?? «Прерывал игру»


08

0


Yes Про 2-ю С

В середине- факт выигрыша перестал быть значимым В середине - спокойствие и расслабление в конце ОНО еще было

15

20

0

10 3-3-4

yes

Заметное ощущение от релаксации

10

1


No усталость

В последних играх - отстраненное отношение к процессу В первых эмоциональное отношение к проигрышу. в средних - нет Пассивное отношение к процессу, в средних, также - в последних.

15

23

7

11 2-3-6

yes Помощь для вхождения в покой


12

1


No игра сбивалась, запутывалась

1-е: непонятно как пойти; Посл: увеличесние вариантов выигрыша

В последних увеличилось время игры

<появилось> спокойствие

12-16

22

0

10 3-4-3

No Кивок головой, поднятие пальца…

Время сократилось (?)

14

0


Yes Про 2-ю С

в первых я была собрана, в средних расслаблена, невнимательна, азарт в средних был больше

18-25

22

9

12 2-3-7

yes


16

0


no

no

no

no

no

no

3-4

13 4-6-3

No (только 1)


18

1


no устают глаза, утомительно

В средних игралось легче и быстрее, меньше устала 1-я серия - более сложная, чем средняя

18

19

3

11 2-4-5

No Инструкция

Меньше устаешь

20

0


Yes инструкции перед каждым новым сетом,

Средние от первых отличаются степенью оптимизма

27

21

0

10 3-3-4

Yes инструкции перед каждым новым сетом

Расслабление очень понравилось

22

0


no в определенный момент стало более интересно

В 1-ых искал комбинации Средние удивляли выигрышами и проигрышами Средние - интересней - более менее осознанные ходы В последних играл на внимательность, более длинные комбинации не продумывались.

50

26

25

14 0-7-7

No

размытое и недифференцированное описание

Похожие работы на - Организация психологических структур, лежащих в основе поведения и деятельности

 

Не нашли материал для своей работы?
Поможем написать уникальную работу
Без плагиата!
Без нейросетей!