Алкоголизм и молодежь (распространение, отношение, профилактика)
Содержание
Введение
. Обзор литературы
. Материалы и методы
исследования
. Результаты исследования и
их анализ
Выводы и предложения
Используемая литература
Введение
Сегодня Республика Беларусь находится на пути
становления гражданского, социально развитого общества. Государство берет на
себя обязанности социальной защиты всех граждан. Особое внимание социальной
политики государства направлено на лиц, попавших в трудную жизненную ситуацию,
нуждающихся в социальной помощи, менее защищенных и уязвимых.
Однако, несмотря на это, сегодня в РБ существует
множество неразрешенных проблем. Наряду с такими проблемами как бедность,
низкий уровень жизни населения, высокий уровень преступности, возросший процент
инвалидизации, отмечается проблема алкоголизации нации, и, прежде всего,
молодого поколения.
Проблема молодежного алкоголизма в Беларуси, как
и большинство социальных проблем, носит системный характер, затрагивающий все
стороны жизни молодого человека.
Сегодня вопросы посвященные
проблематике алкоголизма и путям ее решения изучаются и освещаются
специалистами разного профиля и направления - от медицинских работников до
правоохранительных органов и президента. Исходя из того, что алкоголизм -
проблема системная и многоуровневая решают ее медицинские, социальные работники,
психологи, социальные педагоги и т.д.
Кроме того, в современных
условиях экономического кризиса положение молодежи становится еще более
неустойчивым. Социальное неблагополучие отражается на состоянии здоровья этой
социальной группы населения, у молодых людей наблюдается рост заболеваний.
Велик процент молодых людей, не имеющих работу, половина работающей молодежи
трудится не по той специальности, которую приобрела в процессе обучения, либо
вовсе не имеет профессии. Плюс ко всему пристрастие к алкоголю, которое в еще
большей степени усугубляет положение молодежи.
Отсюда у молодежи проявляются
тревога, отчаяние, возмущение, вандализм, что говорит о наличии социальной
напряженности среди молодых людей, ведущей, в свою очередь, к дальнейшему
отчуждению от общества. Неудачи в социальной адаптации молодежи к новым
социально-экономическим условиям проявляются в молодежной преступности,
бездомности, проституции, масштабы которых приобрели беспрецедентный характер.
В целом социальное положение
молодежи в Беларуси, в значительной степени обусловленное алкогольной
зависимостью, отражает общее состояние общества.
1. Обзор литературы
Когда именно
появился алкоголь, сказать сложно. Однако вполне можно предположить, что он не
намного моложе самого человечества. Папуасы Новой Гвинеи, еще не знавшие огня,
уже имели свои способы получения алкоголя. Многие древние племена использовали
его в своих многочисленных обрядах: с его помощью общались с богами и умершими.
В более позднее время появился обряд побратимства. В чашу с вином капали кровь
участников обряда и пускали чашу по кругу. Возможно, именно отсюда пошла
традиция собирать гостей и непременно ставить на стол бутылку вина.
С изобретением
керамической (посуды примерно VIII тысяч лет до н. э.) появилась возможность
приготовления разнообразных алкогольных напитков из меда, винограда и других
плодов. Один из самых древних напитков - пиво. Известно, что его варили еще в
Вавилоне за VII тысяч лет до н. э. Клинопись, обнаруженная археологом Е.
Хубером содержит рецепты 15 сортов этого напитка.
В Древней Греции и
Египте пиво было очень популярно и употреблялось каждый день наряду с хлебом и
луком - основными продуктами питания большей части населения. Кроме того, оно
очень естественно вплетается в культуру и религию этих народов. На многих
рисунках изображаются люди пьющие или изготовляющие пиво, боги и правители с
кубками в руках. В Греции даже верили в специального бога виноделия - Диониса.
В его честь регулярно проводились празднества (дионисии) с огромным количеством
спиртного, разумеется. Может быть, поэтому Дионис был одним из самых почитаемых
богов среди греков.
Чистый спирт
впервые получили арабы в начале VII века. Само слово алкоголь арабского
происхождения, в переводе означает «одурманивающий». В западной Европе изготовлять
крепкий алкоголь научились в средние века путем возгонки вина.
В 1386 году в
Россию завезли виноградный спирт (аква-вита). Однако он не прижился, а затем
даже был признан вредным для здоровья. Водку - свой собственный, оригинальный
напиток русские изобрели в 1448-1474 гг. Тогда водка представляла собой
разбавленный хлебный спирт, поэтому имела другое название - хлебное вино или
хлебная водка.
Настоящее время.
Молодежь как особая социальная
группа. Социальные проблемы современной молодежи.
Сегодня учёные определяют
молодёжь как социально-демографическую группу общества, выделяемую на основе
совокупности характеристик, особенностей социального положения и обусловленных
теми или другими социально-психологическими свойствами, которые определяются уровнем
социально-экономического, культурного развития, особенностями социализации в
белорусском обществе.
Именно по данным ученых приблизительно с 14
годов молодое лицо начинает осознавать собственные социальные права, место в
обществе, свое назначение. До 18 лет практически завершается формирование
основных психофизических особенностей человека, а до 24 прекращаются процессы
роста человеческого организма, и формируется социальный статус лица, которое
предусматривает, например, получения к этому возрасту образования и
определенной профессии, прохождения обязательной военной службы и приобретения
определенного трудового и жизненного опыта.
Стоит отметить, что в научной литературе
молодежь принято делить на четыре возрастные группы:
1. 14-16
лет - подростки. Это возраст продолжения полового созревания, параллельно
которому происходит становление других биологических систем организма. Для
этого возраста характерны максимальные диспропорции в уровне и темпах
физиологического и психологического развития. Это в основном учащиеся средних
школ и профессиональных учебных заведений, находящиеся, как правило, на
иждивении родителей или государства.
2. 17-19
лет - юношество. Биологически это период завершения физического созревания,
возраст самоопределения - начала самостоятельной профессиональной деятельности
или выбора и осуществления качественно новой профессиональной учебы. Начинается
разделение жизненных путей юношей и девушек, что в последующем приводит к более
глубокой экономической, политической и культурной дифференциации среди них. В
этом возрасте начинается процесс социализации - происходит приобретение почти
всей полноты гражданских прав, а вместе с тем расширяется диапазон
общественно-политических ролей и связанных с ними интересов и ответственности.
3. 20-24
года - собственно молодежь. Человек в этом возрасте, являясь взрослым в
физиологическом отношении, продолжает процесс социализации. Эту возрастную
группу, прежде всего, составляют студенты и молодые люди, завершающие основную
профессиональную подготовку, вступающие в производственную деятельность и
создающие собственные семьи.
4. 25-30
лет - старшая молодежь. В этом возрасте на основе личного опыта
производственной и семейной жизни, а также участия молодежи в политических
отношениях завершается процесс формирования зрелой личности. Молодые люди этого
возраста играют роль родителей в собственных семьях. Они уже нашли свой путь в
жизни.
Следует отметить, что молодежь объективно
восприимчива к новациям. И причиной этому есть не только юношеский энтузиазм,
отсутствие определенного общественного опыта и знаний о принципиальной
«невозможности» чего-то.
Сознание молодого человека обладает особой
восприимчивостью, способностью перерабатывать и усваивать огромный поток
информации. В этот период развиваются критичность мышления, стремление дать
собственную оценку разным явлениям, поиск аргументации, оригинального мышления.
Вместе с тем в этом возрасте ещё сохраняются некоторые установки и стереотипы,
свойственные предшествующему поколению. Отсюда в поведении молодёжи парадоксальное
сочетание противоречивых качеств и черт: стремление к идентификации и
обособление, конформизм и негативизм, подражание и отрицание общепринятых норм,
стремление к общению и уход, отрешённость от внешнего мира. Неустойчивость и
противоречивость молодёжного сознания оказывают влияние на многие формы
поведения и деятельность личности.
Усвоение молодым человеком системы социальных
ролей взрослых оказывается противоречивым. Он может быть ответственным и
серьёзным в одной сфере и чувствовать себя как подросток в другой.
Социология молодежи, в свою очередь, изучает
молодежь как социальную общность, особенности ее социализации, воспитания,
процесс социальной преемственности и унаследования молодежью знаний и опыта
старших поколений, особенности образа жизни, формирование жизненных планов,
ценностных ориентаций, выполнение социальных ролей.
Молодость - период, когда каждый должен сам
определить свой жизненный путь, который позволит максимально реализовать свои
способности и дарования. Это период, сопряжённый с трудным процессом
самопознания, обретения собственного “Я”. Человеку нужно определить границы
своих реальных возможностей, понять, на что он способен, утвердить себя в
обществе. С другой стороны, в это же время ему необходимо сформировать максимально
достоверное представление об окружающем мире, систематизировать ценностные
ориентации, политические, нравственные, эстетические воззрения. Жизнь ставит
молодого человека перед необходимостью принятия ряда важнейших решений в
условиях дефицита жизненного опыта.
Необходимо подчеркнуть, что значительное
снижение уровня и качества жизни большинства молодых белорусов, нарастание
социальной напряженности, обусловливающей возникновение стрессов, обострение
экологических проблем, особенно в городах, и другие подобные причины ведут к
росту числа заболеваний, в том числе возникновению эпидемий и социально
обусловленных заболеваний.
Молодому поколению белорусов начинает всерьез
угрожать СПИД. Первый случай заболевания СПИДом выявлен в Республике Беларусь в
1987 году и с каждым годом число больных растет с огромной скоростью. По состоянию на 1 октября 2013 г. в Республике Беларусь
проживает 11 952 ВИЧ-позитивных.
Более быстрое половое созревание и раннее начало
половой жизни привели к появлению феномена «подростковое материнство», что
негативно отражается на здоровье, как новорожденных, так и их матерей. Особенно
актуальной является проблема абортов у молодежи.
Кроме того, высокими остаются показатели
самоубийств молодых людей. Стремление уйти от реальных проблем в иллюзорный мир
способствует массовому распространению алкоголизма и наркомании среди
подростков.
В связи с изменениями, происходящими в экономике
нашей страны, растет доля молодежи в непроизводственной сфере. Вместе с тем
отчуждение части молодежи от труда, которое характеризуется нежеланием молодых
людей работать хорошо и качественно, отсутствием стремления к
профессионально-квалифицированному и должностному росту.
В последнее время молодые предпочитают сферу
торговли. В связи с этим существует опасность появления «потерянного поколения»
в период перехода к рынку и дальнейшее расширение социальной базы для
пополнения групп риска, криминализации и возрастания уровня насилия в
молодежной среде.
Внедрение рыночных отношений в нынешних формах
обострило проблему социальной защищенности молодежи в сфере труда. Молодые
рабочие первыми попадают под сокращение и пополняют ряды безработных.
К числу особо тревожных тенденций современной
ситуации в молодежной сфере относится: падение престижа общего и
профессионально-технического образования; увеличение числа молодежи, начинающей
трудовую деятельность с низким уровнем образования и неориентированной на
продолжение обучения; снижение интеллектуального уровня, отток одаренных юношей
и девушек из многих вузов и из страны.
Заработок молодых рабочих и служащих часто ниже,
чем в целом у работников госсектора экономики. Создание семей и рождение детей
еще более ухудшают материальное положение молодежи. В особенно сложном
социальном и материальном положении оказались неполные молодые семьи и семьи с
детьми.
Фактором, во многом определяющим образ и стиль
жизни молодых людей, становится криминализация и коммерциализация их досуга.
Более того, приобретает все более актуальный
характер проблема личной безопасности молодых людей. Насилие как стиль жизни
все чаще приобретает организованные формы в молодежной сфере.
В кризисных условиях больше всего подвержена
крушению идеалов, обострению нигилизма, апатии именно молодежь, т.к. система
ценностей данной категории населения подвижна, мировоззрение не устоявшееся,
что приводит, в свою очередь, к потере нравственного и духовного здоровья
нации.
Одной из самых острых проблем современной
молодежи является приверженность к злоупотреблению спиртными напитками.
Особенно тревожит тот факт, что средний возраст приверженцев алкоголя постоянно
снижается. Даже, несмотря на высокий уровень информированности и образованности
большей части молодого поколения, распитие спиртных напитков все же является в
молодежных кругах популярным времяпрепровождением.
Кроме того, как уже говорилось, алкоголь
усугубляет положение молодежи и становится катализатором для распространения
таких явлений в молодежной среде, как наркомания, проституция, преступность и
др.
В следующем параграфе мы рассмотрим проблему
алкоголизма, причины и особенности данной проблемы.
Употребление алкоголя молодежью - массовое
явление, связанное с такими социальными категориями, как традиции и обычаи, с
одной стороны, и общественное мнение и мода, с другой. Также потребление
алкоголя связано с психологической особенностью личности, отношению к алкоголю
как к «лекарству», согревающему напитку и т.п.
К алкоголю часто прибегают, надеясь ощутить
приятное настроение, снизить психическую напряженность, заглушить чувство
усталости, моральной неудовлетворенности, уйти от реальности с ее нескончаемыми
заботами и переживаниями. Одним кажется, что алкоголь помогает преодолеть
психологический барьер, установить эмоциональные контакты, для других, особенно
несовершеннолетних, он представляется средством самоутверждения, показателем
«мужества», «взрослости».
Алкоголизм - тяжелая хроническая болезнь, в
большинстве случаев трудноизлечимая. Она развивается на основе регулярного и
длительного употребления алкоголя и характеризуется особым патологическим
состоянием организма: неудержимым влечением к спиртному, изменением степени его
переносимости и деградацией личности. Для алкоголика опьянение представляется
наилучшим психическим состоянием.
Нужно отметить, что алкоголизм является одной из
разновидностей наркомании. В основе его развития лежит психическая и физическая
зависимость от алкоголя. Алкоголизм может развиться как под воздействием
внешних, так и внутренних факторов.
К внешним факторам относятся особенности
воспитания и проживания молодого человека, традиции региона, стрессовые
ситуации. Внутренние факторы представлены генетической предрасположенностью
молодого человека к развитию алкоголизма. На данный момент существование такой
предрасположенности не составляет сомнения. У членов семьи больных алкоголизмом
риск развития этой патологии примерно в 7 раз выше, чем у людей, в чьих семьях
не было алкоголиков.
Первое знакомство молодежи с алкоголем в
последнее время относится к подростковому возрасту, и всё чаще подростки
оценивают его как «новый стиль жизни», отсюда и «культивирование» состояния
опьянения.
При регулярном употреблении алкоголя (до 2-3 раз
в месяц) устойчивость подростка к действию алкоголя начинает возрастать. Это
воспринимается в компании сверстников как признак особой «силы и крепости»,
отличающий лидера. Стиль жизни, принятый в «алкогольной» компании, ошибочно
воспринимается как естественный и нормальный. Нормой поведения считается
употребление спиртных напитков в выходные дни, при встрече с друзьями и т.д.
Употребление спиртного становится патологически
необходимым атрибутом времяпрепровождения, расширяется спектр поводов и мотивов
пьянства: «пью для повышения настроения», чтобы «развеселиться», «приятно пить»
и т.д. Употребление алкоголя становится практически основным смыслом жизни.
Складывается такой стереотип поведения, когда все жизненные проблемы решаются и
порождаются употреблением спиртного. Пьют для того, «чтобы отключиться»,
«забыть неприятности» и т.д.
Самостоятельно или по совету старших подростки
открывают для себя возможность приемом небольших доз спиртного снять на время
неприятные явления алкогольной интоксикации (состояния похмелья). Некоторые из
юношей, опять-таки усваивая алкогольные обычаи, принятые в компании, рано
знакомятся с различными суррогатами алкоголя.
Для несовершеннолетних пьющих характерны
наигранность, бесцеремонность, развязность, которые легко сменяются
подавленностью, беспомощностью и пассивной подчиняемостью. Они затрудняются
прогнозировать события, теряют способность реагировать на стимулы прошлого и
будущего, не могут вырваться из плена сиюминутных переживаний и побуждений,
живут одним днем. У них наблюдаются легковесность и поверхностность суждений,
излишняя словоохотливость, повышенная самооценка.
В целом алкоголизм не привычка, а болезнь.
Привычка контролируется сознанием, от нее можно избавиться. Пристрастие к
алкоголю преодолеть сложнее из-за отравления организма. Около 10% молодых
людей, употребляющих алкоголь, становятся алкоголиками. Алкоголизм развивается
по такой схеме:
Начальная фаза: опьянение с выпадением памяти,
«затмение». Молодой человек постоянно думает о спиртном, ему кажется, что выпил
недостаточно, он пьет «впрок», у него развивается жадность к алкоголю. Однако
он сохраняет сознание своей вины, избегает разговоров о своей тяге к спиртному.
Критическая фаза: утрата контроля над собой
после первого же глотка алкоголя. Стремление найти оправдание своему пьянству,
сопротивление всем попыткам предотвратить его желание выпить. У молодого
человека развивается высокомерие, агрессивность. Он обвиняет окружающих в своих
бедах. У него начинается запой, его друзьями становятся случайные собутыльники,
он вынужден бросить учёбу или уйти с постоянной работы, утрачивает интерес ко
всему, что не имеет отношения к спиртному.
Хроническая фаза: ежедневное похмелье, распад
личности, помутнение памяти, сбивчивость мысли. Человек пьет суррогаты
алкоголя, технические жидкости, одеколон. У него развиваются безосновательные
страхи, белая горячка, другие алкогольные психозы.
У молодого человека с алкогольной зависимостью
ослаблена воля - и не только к ограничению приема алкоголя, но и по отношению к
другим, деловым сторонам повседневной жизни.
Нередко во время праздничных застолий можно
наблюдать, как молодые люди после выпитых спиртных напитков ведут себя
развязано, их движения становятся более неуклюжими. Сразу заметно воздействие
на них алкоголя. И если спросить его участников как часто они выпивают,
большинство ответит, что нерегулярно.
Однако даже после однократного приема алкоголя у
людей ночь проходит беспокойно, а на утро они встают разбитыми, с опухшим лицом
и больной головой. У работников умственного труда после приема алкоголя
основательно ухудшаются мыслительные процессы, падает быстрота и точность
вычислений.
Итак, даже после нерегулярного, случайного
употребления алкоголя наступают серьезные неполадки в организме,
свидетельствующие о тяжелом его отравлении. Если же употребление алкоголя
принимает систематический характер, человек пьет по любому случаю, выискивая
любой повод, чтобы напиться, то это уже называется бытовым пьянством. Для
пьяницы не имеет значение смысл праздничного события, ему безразлично одобряют
ли его поведение другие.
В этой стадии приобщения к спиртному в
значительной мере изменяется отношение пьющего к окружающим, к общепринятым и
допустимым нормам поведения. Для пьяницы самыми близкими людьми становятся
собутыльники, пусть даже они впервые оказались за одним столом. Время, место и
обстановка, в которой люди пьют, теряют значение.
Таким образом, разница между эпизодическим
приемом спиртного и пьянством заключается не только в количестве выпитого за
один раз, но и в психологической установке пьющего.
В первом случае человек отмечает какое-либо
торжественное или значительное событие, а во втором - пьет только чтобы
привести себя в состояние опьянения. Если вовремя удержать человека от
пьянства, это предупреждает его падение и развитие алкоголизма.
В настоящий момент многие специалисты
рассматривают в качестве одной из самых важных проблем современного общества
пивной алкоголизм среди молодёжи. Наркологи отмечают, что, борясь с
наркотиками, государство совсем забыло об алкоголизме. От алкогольной
зависимости, прежде всего, это касается пива, страдает всё больше и больше
молодых людей.
Наркологам приходится прикладывать немалые
усилия, чтобы оградить молодёжь от разрушительного влияния алкоголя. Однако
получается это у них плохо, что можно объяснить их ограниченными возможностями
и отсутствием поддержки со стороны государства.
Молодёжный алкоголизм - явление не менее
страшное, чем наркомания. Несмотря на это, государство не прикладывает никаких
усилий, чтобы бороться с данной проблемой. Как следствие, в выигрыше остаются
только компании, которые занимаются изготовлением пива, потому что именно оно
пользуется наибольшей популярностью среди современной молодёжи.
Между тем, фармакологическое воздействие пива на
организм таково, что оно действительно в немалой степени способствует появлению
чувствам расслабленности и покоя. Благодаря этим особенностям в 1920-е годы
пиво даже рекомендовалось как эффективное седативное средство. Следовательно,
выпивая пиво, молодой человек или девушка приучает себя не только к алкоголю,
но и к седативному средству.
По прошествии некоторого времени пиво становится
необходимой составляющей отдыха и покоя. В итоге возрастают дозы потребляемого
пива, а затем появляются алкогольные эксцессы. Впоследствии у пивного
алкоголика начинают возникать и провалы в памяти, выражаемые в переносе первой
за день выпитой бутылки пива на более позднее время.
Таким образом, пиво рано или поздно становится
неотъемлемой частью жизни и вовлекается во все жизненно важные процессы
молодого организма. Когда же организм полностью поражён пивом, у молодого
человека или девушки формируется алкоголизм. Если учесть, что пивных
алкоголиков среди молодёжи с каждым годом становится всё больше, нетрудно
догадаться, какое будущее нас ожидает.
Большое значение имеет то, что потребность в
алкоголе не входит в число естественных жизненных потребностей человека, как,
например, потребность в кислороде или пище, и потому сам по себе алкоголь не
имеет побудительной силы для человека. Однако, эта потребность, как и некоторые
другие «потребности» человека (например, курение), появляется потому, что
общество, во-первых, производит данный продукт и, во-вторых, «воспроизводит»
обычаи, формы, привычки и предрассудки, связанные с его потреблением.
Разумеется, что эти привычки не присущи всем в одинаковой степени.
Социальная значимость алкоголизма определяется
материальным ущербом, который он наносят обществу, а также медико-биологическими
последствиями для здоровья нынешних и последующих поколений.
К сожалению, Республика Беларусь относится к
группе стран с высоким уровнем потребления алкоголя. Проблемы пьянства и
алкоголизма, а также наносимого этим пагубным явлением вреда являются для нас
весьма актуальными.
Так, по данным Национального статистического
комитета Республики Беларусь, объем продажи всех видов алкогольных напитков
увеличился за 1995-2009 гг. с 6,7 до 12 л в расчете на душу населения.
Количество спиртного, приходящееся на каждого жителя страны, реально еще
большее с учетом нелегального оборота части спиртосодержащей продукции.
Всемирная организация здравоохранения определяет
критический уровень употребления алкоголя - 8 л в пересчете на абсолютный
алкоголь на каждого жителя страны в возрасте 15 лет и старше. В случае
превышения данной черты происходит постепенная деградация нации в
демографическом, социальном, экономическом и культурном отношении, значительно
ухудшается состояние ее здоровья и генофонд.
Проведенный белорусскими учеными анализ реальных
статистических данных за 1970-2006 гг. показал, что увеличение объема продажи
алкоголя на 1 л сопровождается ростом уровня общей смертности на 2,6%,
сердечно-сосудистой смертности - на 3,1%, смертности от цирроза печени - на
6,1%, панкреатита - на 6,2%, острых алкогольных отравлений - на 11%,
алкоголизма и алкогольных психозов - на 18%, смертности в результате травм и
несчастных случаев - на 6,2%, уровня убийств - на 4,8%.
По данным Национального статистического комитета
Республики Беларусь, рост объема продажи алкоголя в 2008 г. на 5,5%
сопровождался ростом числа смертей от случайных отравлений алкоголем на 6,8%. А
при снижении продажи спиртных напитков в 2009 г. на 3,3% сократилось число
смертей от случайных отравлений алкоголем на 7,2%.
Можно встретить различные данные относительно
масштабов употребления спиртных напитков в нашей республике. Все они говорят о
том, что в той или иной степени употребляет алкоголь большинство взрослого
населения страны, и весьма значительная часть людей имеет пагубное пристрастие
к нему.
Так, проведенные Институтом социологии
Национальной академии наук Беларуси в 2005 и в 2007 гг. республиканские
социологические исследования показали, что хотя бы иногда пьют те или иные
спиртные напитки 74-77% взрослого населения и, соответственно, абсолютно
трезвый образ жизни ведут лишь 23-26%.
По данным опросов, различные виды бытового
пьянства распространены среди 19-20 % граждан трудоспособного и части младшего
трудоспособного возраста. Из них: «эпизодическое пьянство» (редко или часто и
много - свыше одной бутылки вина или 0,5 бутылки водки) отмечалось у 7-9%
опрошенных, «привычное пьянство» (очень часто - 3-4 раза в неделю - или
практически ежедневно, но немного) - у 8-11%, «систематическое пьянство» (очень
часто или практически ежедневно и много) - 2%.
Крайне негативным симптомом в нашей стране
является значительный рост числа зарегистрированных больных алкоголизмом. С
1996 г. их количество ежегодно прирастало на 3-5% и в 2009 г. превысило 180
тыс. человек. И крайне прискорбным является факт, что 17,3 тыс. человек из
181,5 тыс. состоящих на наркологическом - это несовершеннолетние.
. Материалы и методы исследования
Цель исследования: выявление и
изучение проблемы молодежного алкоголизма среди студентов 6 курса медико-профилактического
факультета БГМУ.
Задачи исследования:
. Изучить
распространенность употребления алкоголя студентов 6 курса
медико-профилактического факультета БГМУ;
. Выяснить отношение к
алкоголю, осведомленность о его вреде для здоровья среди студентов 6 курса
медико-профилактического факультета БГМУ;
. Выявить основные
причины, интенсивность употребления алкоголя среди студентов 6 курса
медико-профилактического факультета БГМУ;
. Изучить среднюю
продолжительность употребления алкоголя среди студентов 6 курса
медико-профилактического факультета БГМУ;
. Изучить влияние
примера семьи на распространенность употребления алкоголя среди студентов 6
курса медико-профилактического факультета БГМУ.
Методы исследования: в процессе
исследования применялся социологический метод с использованием специально
разработанных анкет, статистический метод.
Объем исследований: не
сплошное, приняли участие 36 студентов 6 курса медико-профилактического
факультета.
Объект исследования: студенты 6
курса медико-профилактического факультета.
. Результаты исследования и их
анализ
. Организационный план и
план исследования:
Место проведения: БГМУ.
Время проведения: сентябрь 2013
г.
Объект исследования: выборочная
совокупность - студенты 6 курса медико-профилактического факультета.
Объем исследования: не
сплошное.
Вид исследования:
единовременное.
Способ сбора статистической
информации: социологический метод (анкетирование: заочный опрос - анонимный).
В исследовании приняли участие
36 студентов 6 курса медико-профилактического факультета.
. Программа
исследования. Учетные признаки. Учетный бланк
Единица наблюдения: студент 6
курса медико-профилактического факультета.
Учетные признаки:
количественные: длительность
употребления алкоголя, возраст начала употребления, количество употребляемого
алкоголя в месяц;
качественные: пол, факт пробы
алкоголя, отношение к употреблению алкогольных напитков;
факторные: причина начала
употребления алкоголя, наличие пьющих членов семьи;
результативные: наличие
привычки выпить, желание бросить вредную привычку, тяжесть употребляемых
алкогольных напитков.
На основании представленных
планов и программы исследования, учетных признаков был разработан следующий
учетный бланк:
Анкета
1. Пол:
• мужской
• женский
2. Пробовали ли Вы алкогольные напитки?
• да
• нет
3. Пьете ли вы?
• да, часто
• да, редко
• нет, не пью
4. Есть ли употреблявшие алкоголь среди
членов вашей семьи?
• да
• употребляли ранее, в настоящее время не пьют
• нет
5. Есть ли на ваш взгляд положительные
стороны употребления алкогольных напитков (если есть, то указать какие)?
• есть
• их нет
6. Считаете ли вы, что алкоголь опасен для
вашего здоровья?
• да
• нет
• не знаю
Если вы употребляете алкогольные напитки, то
ответьте на следующие вопросы:
7. Сколько лет вы уже употребляете алкоголь?
______
8. Когда вы попробовали первый раз
алкоголь?
• до 12 лет
• 12 - 18 лет
• старше 18 лет
9. По какой причине Вы попробовали
алкогольные напитки?
• потому что друзья употребляли
• потому что родители употребляли
• для того чтобы изменить свой имидж
• из-за проблем на учебе, работе, в семье
• чтобы выглядеть старше
•другое_____________________________
10. Как часто Вы употребляете алкогольные
напитки?
• 1-2 раза в месяц
• 3-4 раз в месяц
• 1-2 раза в несколько месяцев
• несколько раз в год
11. Основная цель употребления алкогольных
напитков?
• чтобы снять напряжение
• чтобы повысить настроение
• чтобы поддержать компанию
• другое ___________________
12. Что Вы обычно пьете?
• пиво
• вино
• водка
• коктейли, джин-тоник
3. Вариационная и
типологическая группировка. Сводка учетных признаков
Группировка - расчленение совокупности изучаемых
данных на однородные, типичные группы по наиболее существенным признакам.
Вариационная группировка проводиться по
количественным (вариационным) признакам на основании числовых размеров
признака.
Типологическая группировка проводиться по
качественным (описательным, атрибутивным) признакам.
Сводка - обобщение единичных случаев, полученных
в результате статистического исследования, в определенные группы, их подсчет и
внесение в макеты таблиц.
Пробовало когда-либо
алкогольные напитки 36 студентов.
Употребляет алкоголь 36
студентов, из них: часто - 25, редко - 11.
Положительные стороны в
алкоголе находят 30 студентов,6 считает, что их нет.
Считают, что алкоголь опасен
для их здоровья 36 студентов.
Наличие членов семьи,
употребляющих алкоголь - 80,5%, членов семьи, которые употребляли ранее -
13,9%, которые не пьют вообще - 5,6%.
Продолжительность употребления
спиртных напитков: до 3 лет - 2 человек, 3-5 лет - 3 человека, 6-8 лет - 29
человек, более 9 лет - 2 человека.
Первый раз попробовали
алкоголь: до 12 лет - 9 студентов, 12-15 лет - 26 человек, старше 18 лет - 1.
Среди причин начала
употребления алкогольных напитков 7 человек считает наличие употребляющих
спиртное друзей, 12 человек - наличие употребляющих алкоголь членов семьи,
желание изменить имидж - 6 человек, из-за проблем на учебе/в семье - 5 человек,
желание выглядеть старше - 2, другой ответ - 4 человека.
Частота употребления спиртных
напитков: 1-2 раза в месяц - 8 человек, 3-6 раз в месяц - 22, 1-2 раза
несколько месяцев - 4, несколько раз в год - 2 студента.
Основная причина употребления
алкогольных напитков: снять напряжение - 9 человек, повысить настроение - 11,
поддержать компанию - 13, другое - 3 человека.
Крепость употребляемых
алкогольных напитков: пиво - 21 студент, вино - 5, водка - 6,
коктейли/джин-тоник - 4 студента.
4. Статистические таблицы
Таблица 1. Факт пробы
алкогольных напитков студентами 6 курса медико-профилактического факультета
БГМУ
|
опыт
употребления алкоголя
|
число
студентов
|
удельный
вес, %
|
|
пробовали
алкоголь
|
36
|
100,0
|
|
н
пробовали алкоголь
|
-
|
-
|
Таблица 2. Наличие вредной
привычки - употребление алкоголя у студентов 6 курса медико-профилактического
факультета
|
наличие
вредной привычки
|
число
студентов
|
удельный
вес, %
|
|
употребляют
|
часто
|
25
|
69,4
|
|
редко
|
11
|
30,6
|
|
не
употребляют
|
-
|
-
|
Таблица 3. Наличие у студентов
членов семьи, употребляющих алкогольные напитки
|
Наличие
членов семьи, употребляющих алкоголь
|
Количество
студентов
|
Удельный
вес, %
|
|
Имеют
|
29
|
80,5
|
|
Имеют
членов семьи, употреблявших ранее
|
5
|
13,9
|
|
Не
имеют
|
2
|
5,6
|
Таблица 4. Отношение к алкоголю
студентов 6 курса медико-профилактического факультета БГМУ
|
Отношение
к алкоголю
|
Число
студентов
|
Удельный
вес, %
|
|
Находят
положительные стороны в алкоголе
|
30
|
83,3
|
|
Не
находят положительных сторон в алкоголе
|
6
|
16,7
|
Таблица 5. Осознание опасности
употребления алкоголя для собственного здоровья среди студентов 6 курса
медико-профилактического факультета БГМУ
|
Опасен
ли алкоголь для здоровья
|
Число
студентов
|
Удельный
вес, %
|
|
Да
|
36
|
100
|
|
Нет
|
-
|
-
|
|
Не
знаю
|
-
|
-
|
Таблица 6. Продолжительность употребления
алкоголя среди студентов 6 курса медико-профилактического факультета БГМУ
|
Продолжительность
употребления алкоголя
|
Число
студентов
|
Удельный
вес, %
|
|
До
3 лет
|
2
|
5,5
|
|
3
- 5
|
3
|
8,3
|
|
6-
8
|
29
|
80,6
|
|
9
и более
|
2
|
5,6
|
Таблица 7. Возраст начала употребления алкоголя
среди студентов 6 курса медико-профилактического факультета БГМУ
|
Возраст,
лет
|
Количество
студентов
|
Удельный
вес, %
|
|
До
12
|
9
|
25,0
|
|
12
- 18
|
26
|
72,2
|
|
Старше
18
|
1
|
2,8
|
Таблица 8. Причины начала употребления алкоголя
среди студентов 6 курса медико-профилактического факультета БГМУ
|
Причины
|
Количество
студентов
|
Удельный
вес, %
|
|
Употребляют
друзья
|
7
|
19,4
|
|
Употребляют
родственники
|
12
|
33,4
|
|
Желание
изменить имидж
|
6
|
16,7
|
|
Проблемы
на учебе/ в семье
|
5
|
13,8
|
|
Желание
выглядеть старше
|
2
|
5,6
|
Таблица 9. Частота употребления алкогольных
напитков среди студентов 6 курса медико-профилактического факультета БГМУ
|
Частота
употребления
|
Количество
студентов
|
Удельный
вес, %
|
|
1-2
раза в месяц
|
8
|
22,2
|
|
3-6
раза в месяц
|
22
|
61,1
|
|
1-2
раза в несколько месяцев
|
4
|
11,1
|
|
Несколько
раз в год
|
2
|
5,6
|
Таблица 10. Основная цель употребления алкоголя
среди студентов 6 курса медико-профилактического факультета БГМУ
|
Цель
|
Количество
студентов
|
Удельный
вес, %
|
|
Снять
напряжение
|
9
|
25,0
|
|
Повысить
настроение
|
11
|
30,6
|
|
Поддержать
компанию
|
13
|
36,1
|
|
Другое
|
3
|
8,3
|
Таблица 11. Тяжесть употребляемых алкогольных
напитков среди студентов 6 курса медико-профилактического факультета БГМУ
|
Алкогольные
напитки
|
Количество
студентов
|
Удельный
вес, %
|
|
Пиво
|
21
|
58,4
|
|
Вино
|
5
|
13,8
|
|
Водка
|
6
|
16,7
|
|
Коктейли/джин-тоник
|
4
|
11,1
|
5. Расчет и оценка относительных величин:
Относительные величины (показатели,
коэффициенты) получаются в результате отношения одной абсолютной величины к
другой. Наиболее часто используются следующие показатели: интенсивные,
экстенсивные, соотношения, наглядности.
• Экстенсивные показатели -
показатели удельного веса, структуры, характеризуют распределение явления на
составные части, его внутреннюю структуру. Вычисляются экстенсивные показатели
отношением части явления к целому и выражаются в процентах или долях единицы.
Экстенсивный показатель = Абсолютный
размер части явления x 100 ∕ Абсолютный размер явления в целом.
■ Структура студентов по
наличию опыта употребления алкогольных напитков:
Удельный вес студентов, имевших
когда-либо опыт употребления алкоголя = Количество студентов, пробовавших
алкоголь х 100 / Количество опрошенных студентов = 36 х 100/ 36=100%
■ Структура студентов по
наличию вредной привычки употребления алкогольных напитков:
Удельный вес употребляющих алкоголь
студентов = Количество студентов, употребляющих алкоголь х 100 / Количество
опрошенных студентов = 36 х 100/ 36=100%
Удельный вес студентов,
употребляющих алкоголь часто = Количество студентов, употребляющих алкоголь
часто х 100 / Количество опрошенных студентов = 25 х 100/ 36=69,4%
Удельный вес студентов,
употребляющих алкоголь редко = Количество студентов, употребляющих алкоголь
редко х 100 / Количество опрошенных студентов = 11 х 100/ 36=30,6%
■ Структура студентов по
наличию у студентов членов семьи, употребляющих спиртное:
Доля студентов, не имеющих членов
семьи, употребляющих спиртное = Количество студентов, не имеющих членов семьи,
употребляющих спиртное x 100 ∕ Количество опрошенных студентов = 2 x 100 ∕ 36 = 5,6 %.
Доля студентов, имеющих членов
семьи, употребляющих спиртное ранее = Количество студентов, имеющих членов
семьи, употребляющих спиртное ранее x 100 ∕ Количество опрошенных студентов = 5 x 100 ∕ 36 = 13,9 %.
■ Структура студентов по
отношению к алкоголю:
Доля студентов, которые видят положительные
стороны в употреблении алкоголя = Количество студентов, находящих положительные
стороны в употреблении алкоголя x 100 ∕ Количество опрошенных студентов = 30 x 100 ∕ 36 = 83,3 %.
Доля студентов, которые не находят
положительных сторон в употреблении алкоголя = 100 - Доля студентов, которые
видят положительные стороны в употреблении алкоголя = 100 - 83,3 = 16,7 %.
■ Структура студентов по
осознанию опасности алкоголя для собственного здоровья:
Удельный вес студентов, считающих
употребление алкоголя опасным для собственного здоровья = Количество студентов,
считающих употребление алкоголя опасным для собственного здоровья x 100 ∕ Количество опрошенных
студентов = 36 x 100 ∕ 36 = 100%.
■ Структура употребляющих
алкогольные напитки студентов по продолжительности употребления:
Удельный вес студентов,
продолжительность употребления спиртного которых до 3 лет = Количество
студентов, которые употребляют до 3 лет x 100 ∕ Количество пьющих
студентов = 2 x 100 ∕ 36 = 5,5 %.
Удельный вес студентов, которые употребляют
спиртное 3 - 5 лет = Количество студентов, употребляют спиртное 3 - 5 лет x 100 ∕ Количество пьющих
студентов = 3 x 100 ∕ 36 = 8,3 %.
Удельный вес студентов, которые
употребляют спиртное до 6 - 8 лет = Количество студентов, употребляют спиртное
6 - 8 лет x 100 ∕ Количество пьющих студентов = 29 x 100 ∕ 36 = 80,6 %.
Удельный вес студентов, которые
употребляют спиртное 9 и более лет = Количество студентов, употребляют спиртное
9 и более лет x 100 ∕ Количество пьющих студентов = 2 x 100 ∕ 36 = 5, 6 %.
■ Структура употребляющих
алкогольные напитки студентов по возрасту начала употребления:
Доля студентов, начавших употреблять
алкоголь до 12 лет = Количество студентов, начавших употреблять алкоголь до 12
лет x 100 ∕ Количество пьющих студентов = 9 x 100 ∕ 36 = 25,0 %.
Доля студентов, начавших употреблять
алкоголь в 12 - 18 лет = Количество студентов, начавших употреблять алкоголь в
12 - 18 лет x 100 ∕ Количество пьющих студентов = 26 x 100 ∕ 36 = 72,2 %.
Доля студентов, начавших употреблять
алкоголь старше 18 лет = Количество студентов, начавших употреблять алкоголь
старше 18 лет x 100 ∕ Количество пьющих студентов = 1 x 100 ∕ 36 = 2,8 %.
■ Структура по причинам начала
употребления алкоголя:
Удельный вес студентов, начавших
употреблять алкоголь по причине наличия выпивающих друзей = Количество
студентов, начавших употреблять алкоголь по причине наличия выпивающих друзей x 100 ∕ Количество пьющих
студентов = 7 x 100 ∕ 36 = 19,4 %.
Удельный вес студентов, начавших
употреблять алкоголь по причине наличия употребляющих спиртное членов семьи =
Количество студентов, начавших употреблять алкоголь по причине наличия
употребляющих спиртное членов семьи x 100 ∕ Количество пьющих студентов = 12 x 100 ∕ 36 = 33,4 %.
Удельный вес студентов, начавших
употреблять алкоголь, чтобы изменить имидж = Количество студентов, начавших
употреблять алкоголь, чтобы изменить имидж x 100 ∕ Количество пьющих
студентов = 6 x 100 ∕ 36 = 16,7 %.
Удельный вес студентов, начавших
употреблять алкоголь по причине наличия проблем на учебе/ в семье = Количество
студентов, начавших употреблять алкоголь по причине наличия проблем на учебе/ в
семье x 100 ∕ Количество пьющих студентов = 6 x 100 ∕ 36 = 16,7 %.
Удельный вес студентов, начавших
употреблять алкоголь, чтобы выглядеть старше = Количество студентов, начавших
употреблять алкоголь, чтобы выглядеть старше x 100 ∕ Количество пьющих
студентов = 2 x 100 ∕ 36 = 5,6 %.
Удельный вес студентов, начавших
употреблять алкоголь, чтобы выглядеть старше = Количество студентов, начавших
употреблять алкоголь, чтобы выглядеть старше x 100 ∕ Количество пьющих
студентов = 2 x 100 ∕ 36 = 5,6 %.
Удельный вес студентов, начавших
употреблять алкоголь по другим причинам = Количество студентов, начавших
употреблять алкоголь по другим причинам x 100 ∕ Количество пьющих студентов
= 4 x 100 ∕ 36 = 11,1 %.
■ Структура употребляющих
спиртное студентов по частоте распития алкогольных напитков:
Доля студентов, употребляющих
спиртное 1-2 раза в месяц = Количество студентов, употребляющих спиртное 1-2
раза в месяц x 100 ∕ Количество пьющих студентов = 8 x 100 ∕ 36 = 22,2 %.
Доля студентов, употребляющих
спиртное 3-6 раз в месяц = Количество студентов, употребляющих спиртное 3-6 раз
в месяц x 100 ∕ Количество пьющих студентов = 22 x 100 ∕ 36 = 61,1 %.
Доля студентов, употребляющих спиртное
1-2 раза в несколько месяцев = Количество студентов, употребляющих спиртное 1-2
раза в несколько месяцев x 100 ∕ Количество пьющих студентов = 4 x 100 ∕ 36 = 11,1%.
Доля студентов, употребляющих
спиртное несколько раз в год = Количество студентов, употребляющих спиртное
несколько раз в год x 100 ∕ Количество пьющих студентов = 2 x 100 ∕ 36 = 5,6 %.
■ Структура по основной цели
употребления алкоголя:
Удельный вес студентов,
употребляющих алкоголь, чтобы снять напряжение = Количество студентов, употребляющих
алкоголь, чтобы снять напряжение x 100 ∕ Количество пьющих студентов = 9 x 100 ∕ 36 = 25 %.
Удельный вес студентов,
употребляющих алкоголь, чтобы повысить настроение = Количество студентов,
употребляющих алкоголь, чтобы повысить настроение x 100 ∕ Количество пьющих
студентов = 11 x 100 ∕ 36 = 30,6 %.
Удельный вес студентов,
употребляющих алкоголь, чтобы поддержать компанию = Количество студентов,
употребляющих алкоголь, чтобы поддержать компанию x 100 ∕ Количество пьющих
студентов = 13 x 100 ∕ 36 = 36,1 %.
Удельный вес студентов, начавших
употреблять алкоголь по другим причинам = Количество студентов, начавших
употреблять алкоголь по другим причинам x 100 ∕ Количество пьющих
студентов = 3 x 100 ∕ 36 = 8,3 %.
■ Структура студентов по
крепости употребляемого алкоголя:
Удельный вес студентов,
употребляющих пиво = Количество студентов, употребляющих пиво x 100 ∕ Количество пьющих
студентов = 21 x 100 ∕ 36 = 58,4 %.
Удельный вес студентов,
употребляющих вино = Количество студентов, употребляющих вино x 100 ∕ Количество пьющих
студентов = 5 x 100 ∕ 36 = 13,8 %.
Удельный вес студентов,
употребляющих водку = Количество студентов, употребляющих водку x 100 ∕ Количество курящих
студентов = 6 x 100 ∕ 36 = 16,7 %.
Удельный вес студентов,
употребляющих коктейли/джин-тоник = Количество студентов, употребляющих
коктейли/джин-тоник x 100 ∕ Количество пьющих студентов = 4 x 100 ∕ 36 = 11,1 %.
Показатели соотношения -
представляют собой соотношение двух самостоятельных, независимых друг от друга,
качественно разнородных величин.
Показатель соотношения = Абсолютный
размер явления x 100 (1000, 10000, 100000) ∕ Абсолютный размер среды, не
продуцирующей данное явление.
■ Показатель соотношения =
Количество студентов, употребляющих алкоголь, чтобы поддержать компанию х 100/
Количество студентов, употребляющих пиво = 13 х 100/ 21 =61,9 на 100 студентов.
. Расчет и оценка средних
величин:
Средние величины дают обобщающую
характеристику статистической совокупности по определенному изменяющемуся
количественному признаку.
Таблица 12. Продолжительность
употребления алкогольных напитков среди студентов
|
V,
продолжительность спиртного, лет
|
P,
число студентов
|
V*P
|
d
|
|
 *P
|
|
1
|
1
|
1
|
-5,36
|
28,73
|
28,73
|
|
2
|
1
|
2
|
-4,36
|
19,01
|
19,01
|
|
3
|
2
|
6
|
-3,36
|
11,29
|
22,58
|
|
5
|
1
|
5
|
-1,36
|
1,85
|
1,85
|
|
6
|
11
|
66
|
-0,36
|
0,13
|
1,43
|
|
7
|
13
|
91
|
0,64
|
0,41
|
5,33
|
|
8
|
5
|
40
|
1,64
|
2,69
|
13,45
|
|
9
|
2
|
18
|
2,64
|
6,97
|
13,94
|
|
|
|
|
|
|
|
Мода (Mo) - величина признака, чаще
других встречающаяся в совокупности. За моду принимают варианту, которой
соответствует наибольшее количество частот вариационного ряда.
Мо = 7 лет
Медиана (Me) - величина признака,
занимающая срединное значение в вариационном ряду. Она делит вариационный ряд
на две равные, части.
Ме = n ∕ 2 = 36 ∕ 2 = 18
Место медианы приходится на 18-ю
варианту, числовое значение которой равно 7 лет.
Средняя арифметическая (М) - рассчитывается
на основе всех числовых значений изучаемого признака.
M
=
=
229 ∕ 36 = 6,36 лет.
Приближенный метод
оценки колебаемости вариационного ряда - это определение лимита, т.е. минимального
и максимального значения количественного признака, и амплитуды - т.е. разности
между наибольшим и наименьшим значением вариант (Vmax - Vmin).
LIM
max = 9 летmin = 1 год
А = 9 - 1 = 8 лет
Основной общепринятой
мерой колебаемости количественного признака в пределах вариационного ряда
является среднее квадратическое отклонение (σ - сигма).
σ = 
= 
= 1,72 года.
Распределение признака
является нормальным, так как:
М +- 1 σ
= 6,36 +- 1,72 = 4,64 ÷ 8,08 лет
В предел М +- 1 σ
входит 30 значений вариант, что составляет 83,3 %, что больше 68,3
%.
Для определения степени
точности выборочного исследования оценивается величина ошибки, которая могла
произойти в процессе выборки. Оценка достоверности результатов исследования
предусматривает определение:
1) ошибки репрезентативности
(mм) средней арифметической величины (М):
mм =
+- σ ∕ 
= +- 1,72 ∕ 
= +- 0,29 лет
M ∕ mм = 6,36 ∕ 0,29 = 21,93, что больше 3, что
свидетельствует о достоверности исследования.
2) доверительных границ средних
величин в генеральной совокупности:
Мген = Мвыб +- t* mм = 6,36 +- 2*0,29 = 6,36 +- 0,58
=5,78 ÷ 6,94 лет.
Если бы исследование проводилось на
генеральной совокупности, то средняя продолжительность курения среди курящих
студентов составила бы от 5,78 до 6,94 лет с вероятностью безошибочного
прогноза 95,5 %.
. Графическое изображение
результатов исследования:
Рисунок 1. Структура студентов 6
курса медико-профилактического факультета по факту пробы алкогольных напитков
на 2013 год.
Рисунок 2. Структура студентов 6
курса медико-профилактического факультета по наличию привычки употребления
алкоголя на 2013 год.
Рисунок 3. Структура студентов 6
курса медико-профилактического факультета по наличию членов семьи,
употребляющих алкоголь, на 2013 год.
Рисунок 4. Структура студентов 6
курса медико-профилактического факультета по отношению к алкогольным напиткам
на 2013 год.
Рисунок 5. Структура студентов 6
курса медико-профилактического факультета по осознанию опасности употребления
алкоголя для собственного здоровья на 2013 год.
Рисунок 6. Структура студентов 6
курса медико-профилактического факультета по продолжительности употребления
алкогольных напитков на 2013 год.
Рисунок 7. Структура студентов 6
курса медико-профилактического факультета по возрасту начала употребления
алкоголя на 2013 год.
Рисунок 8. Структура студентов 6
курса медико-профилактического факультета БГМУ по причинам начала употребления
алкоголя на 2013 год.
Рисунок 9. Структура курящих
студентов 6 курса медико-профилактического факультета БГМУ по частоте
употребления алкогольных напитков на 2013 год.
Рисунок 10. Структура студентов 6
курса медико-профилактического факультета БГМУ по цели употребления алкогольных
напитков на 2013 год.
Рисунок 11. Структура студентов 6
курса медико-профилактического факультета БГМУ по тяжести употребления спиртных
напитков
.
Анализ результатов с использованием статистических методов
С использованием метода Хи-квадрат,
охарактеризовали наличие связи между явлениями (наличием привычки употребления
алкогольных напитков среди членов семьи и распитием спиртного самих студентов)
и оценили значимость различий между ними. Использовалась упрощенная формула, пригодная
для «четырехпольной таблицы», клетки которой условно обозначаются буквами.
Таблица 13
|
Употребление алкоголя студентами
|
Наличие употребляющих (-вших) алкоголь членов семьи
|
|
Есть
|
Нет
|
Всего
|
|
Есть (опытная группа)
|
a 34
|
b 0
|
a+b 34
|
|
Нет (контрольная группа)
|
c 0
|
d 2
|
c+d 2
|
|
Итого
|
a+c 34
|
b+d 2
|
a+b+c+d 36
|
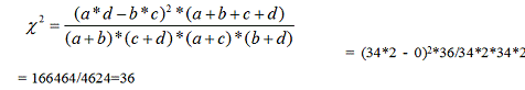
Рассчитанный χ2
=
36 больше табличного, который при числе степеней свободы n'
= (2-1)*(2-1) =1, равен 3,8 (p<0,05)
и вероятности безошибочного прогноза 95 %.
Следовательно, наличие употребляющих (-вших)
алкоголь членов семьи влияет на приверженность к алкоголю у студентов с
вероятностью безошибочного прогноза 95 %.
Выводы и предложения
В результате проведенной работы, была выявлена и
изучена распространенность, интенсивность употребления алкоголя и его причины
среди студентов 6 курса медико-профилактического факультета БГМУ.
С применением несплошного единовременного
исследования выборочной совокупности с использованием социологического метода
сбора статистической информации (анкетирование: заочный опрос - анонимный) и
последующего анализа полученной информации было выявлено:
. Все опрошенные студенты имели
когда-либо опыт употребления спиртных напитков - 100%, из них употребляют часто
- 69,4%, редко - 30,6% опрошенных.
. При анализе отношения к алкоголю,
осведомленности о его вреде собственному здоровью для студентов 6 курса
медико-профилактического факультета было установлено:
находят положительные стороны - 83,3%
опрошенных, находят отрицательные стороны в алкоголе - 16,7%, но все опрошенные
осознают опасность алкоголя для собственного здоровья - 100%.
. При более детальном изучении пьющих
студентов, выяснилось, что основными причинами начала употребления алкоголя
явились наличие выпивающих родственников - 33,4%, наличие пьющих друзей -
19,4%, желание изменить имидж - 16,7%, наличие проблем на учебе/в семье -
13,8%. Менее распространенными причинами явились желание выглядеть старше -
5,6%, другие причины - 4%, среди которых отмечают: алкоголь успокаивает,
нравиться вкус пива.
Было установлено, что основными причинами
употребления алкоголя являются: поддержать компанию - 36,1%, повысить
настроение - 30,6%, снять напряжение - 25%; из других причин - 8,3% опрошенные
отмечают: употребление алкоголя только «по праздникам».
Было выявлено, что употребляют пиво большинство
студентов - 58,4%, вино предпочитают 13,8%, водку - 16,7%, коктейли/джин-тоник
- 11,1%.
. При расчете средней продолжительности
употребления алкогольных напитков среди опрошенных студентов 6 курса
медико-профилактического факультета БГМУ, выявлено:
Средняя арифметическая (М) = 6,36 лет. При
оценке колебаемости вариационного ряда приближенным методом - определение
лимита амплитуды получились следующие результаты: максимальное значение
признака (LIM
max) составило 9 лет,
минимальное (LIM
min) 1 год, разность
между наибольшим и наименьшим значением вариант (А) 8 лет.
При оценке колебаемости
количественного признака помощи среднего квадратического отклонения и характера
распределения признака: σ = 1,72 лет, распределение признака является нормальным, так как в предел
М +- 1 σ входит 30 значений
вариант, что составляет 83,3 % (>68,3%).
При определении достоверности
исследования:
Ошибка репрезентативности (mм)
средней арифметической величины (М) = +- 0,29 лет, M ∕ mм = 21,93, что больше 3, что свидетельствует о
достоверности исследования.
Если бы исследование проводилось на генеральной
совокупности, то средняя продолжительность курения среди курящих студентов
составила бы от 5,78 до 6,94 лет с вероятностью безошибочного прогноза 95,5 %.
. При изучении влияния примера семьи на
распространенность употребления алкогольных напитков среди студентов 6 курса
медико-профилактического факультета БГМУ методом Хи-квадрат, была установлена
связь между наличием членов семьи, употребляющих алкоголь, и приверженность к
алкоголю у студентов с вероятностью безошибочного прогноза 95 % (рассчитанный χ2
=
36 больше табличного, который при числе степеней свободы n'
= (2-1)*(2-1) =1, равен 3,8 (p<0,05)).
С целью решения проблемы употребления алкоголя
среди студентов и улучшения ситуации разработаны следующие предложения:
. Повышение информированности:
предупреждение всех и каждого об опасностях, связанных с употребление спиртных
напитков.
. Предложение помощи тем, кто хочет
бросить или снизить употребление алкоголя:
по возможности направление к специалисту;
необходимо совместно составить план действий,
назначить дату прекращения употребления;
дать общие советы, которые должны быть донесены
до каждого, независимо от назначения фармакотерапии, которые включают:
увеличение потребления минеральной воды, соков и щелочных отваров, замена
сахара медом, увеличение потребления продуктов, богатых витаминами А, В1,
В12, С, Е, РР, прогулки на свежем воздухе.
поддержка и понимание со стороны членов семьи, друзей;
. Ограничение торговли алкогольными
напитками, повышение налогов и цен на спиртные изделия, запрет на рекламу,
стимулирование продажи и спонсорство.
. Гигиеническое обучение и воспитание в
семье, учреждениях образования, лечебной сети, приобщение к ЗОЖ.
социальный молодежь алкоголизм
спиртной
Используемая литература
1. Гурова Р.Г. Современная
молодежь: социальные ценности и нравственные ориентации // Педагогика. - 2000.
- № 10. - С. 32-38.
. Зубок Ю. Проблемы
социального развития молодежи в условиях риска: Социальная политика //
Социальные исследования. - 2003. -№ 4. - С. 27-35.
. Халтурина Д.А. Алкоголь и
наркомания как фактор демографического кризиса // СОЦИС. - 2006. - № 4. -С.
104-111.