Автоматизация инженерных задач
КУРСОВАЯ РАБОТА
Автоматизация инженерных
задач
Введение
редактор алгебраический
программный прикладной
Многие инженерные задачи требуют решения системы
линейных алгебраических уравнений (СЛАУ). С появлением ВТ в математике активно
развивается направление, связанное с реализацией методов решения таких задач с
помощью ЭВМ, которое называют вычислительной математикой. Для решения
инженерных задач на ЭВМ с использованием численных методов чаще всего
применяются готовые программы обеспечения, например, MathCAD, MS Excel и другие.
Линейные системы имеют в вычислениях очень большое значение,
так как к ним сводится приближенное решение широкого круга вычислительных задач
вообще и инженерных задач в частности. Теория решения линейных систем
достаточно хорошо разработана и во многих частях доведена до совершенства.
Имеется большое число разнообразных программных средств для решения самых
различных систем уравнений, в том числе плохо обусловленных, блочных, с
разреженными матрицами и т.д.
Целью курсовой работы являются приобретение навыков
автоматизации инженерных расчетов в табличном процессоре MS Excel.
Задачами курсовой работы являются:
. Решить систему алгебраических уравнения методом
Крамера традиционным способом.
. Использовать MS Excel в решении системы
алгебраических уравнений.
1.
Описание численного метода решения СЛАУ
1.1
Общая характеристика методов
Методы решения линейных систем уравнений обычно разделяют на
две большие группы. К первой группе относят методы, которые принято называть
точными. Они позволяют для любых систем в принципе найти точные значения
неизвестных после конечного числа арифметических операций, каждая из которых
выполняется точно.
Ко второй группе относят все методы, не являющиеся точными.
Их обычно называют приближенными итерационными, решения в них получают в
результате бесконечного процесса приближений. Особое место среди них (нередко
их даже выделяют в отдельную группу) занимают вероятностные методы, в основу
которых положены соображения, взятые из теории вероятностей. Такие методы
полезны лишь в случаях очень высокой размерности систем и более упоминаться, не
будут.
В общем виде линейная система уравнений записывается
следующим образом:
или чаще - в матричном виде: ах-В, где а - квадратная матрица
размером n x n, B и x - векторы размером n (n - размерность системы).
Точные методы
Точные методы обычно рассматриваются в курсах линейной
алгебры, поэтому здесь упомянем коротко основные особенности самых
распространенных методов для сопоставления с итерационными, которые обычно
изучаются в курсах прикладной математики.
Метод Гаусса сводится к двум этапам. На первом осуществляется
приведение исходной системы уравнений с помощью преобразований к эквивалентной
системе с верхней треугольной матрицей (т.е. приведение системы к треугольному
виду). Преобразования сводятся к умножению всех членов уравнения на постоянное
число, сложению уравнений, выражению отдельных переменных через другие и т.п.
Это прямой ход. На втором этапе, т.е. в обратном ходе (снизу вверх), находятся
последовательно все переменные системы. В отдельных случаях, в частности при
умножении всех членов уравнения на очень большое число (или при делении на
очень маленькое), появляются большие вычислительные ошибки, которые обусловливают
значительные погрешности результатов решения.
Более практичным является метод оптимального исключения,
представляющий собой видоизменение метода Гаусса и требующий меньше памяти для
решения. Здесь обратный ход соединен с прямым ходом за счет исключения всех уже
выраженных переменных из вышестоящих уравнений.
Упомянем также метод Крамера (с использованием
определителей), который требует очень больших вычислений уже при прямом решении
систем из пяти-десяти уравнений, приведения матрицы А к форме произведения двух
треугольных матриц, что позволяет свести решение заданной системы к
последовательному решению двух систем с треугольными матрицами, что является
задачей более простой. Поэтому вычисления определителей для матриц высокого
порядка осуществляются обычно приближенными методами, и метод Крамера перестает
быть в полном смысле точным.
Во всех методах этой группы может появляться накапливающаяся
вычислительная ошибка (не алгоритмическая!). Для ее контроля (а не для
управления ею!) применяют специальные приемы. Например, в методе Гаусса к
каждой строке добавляют еще один член, который равен сумме всех коэффициентов
строки. С этим членом делают те же операции, что и с коэффициентами уравнения.
На каждом шаге проверяют равенство суммы коэффициентов и «контрольного»
добавленного члена: разница говорит о появлении накопившейся вычислительной
погрешности. Можно оценивать не только абсолютную, но и относительную ошибку в
равенстве суммы коэффициентов и «контрольного» добавленного члена. Таким
образом, точные методы могут давать результат с погрешностью, которой трудно
управлять и которая в ряде случаев может оказаться значительной, например, при
высоких порядках системы.
В заключение отметим, что системы с плохо обусловленными
матрицами коэффициентов нецелесообразно решать указанными методами вследствие
возможности появления очень больших ошибок.
Приближенные методы
Эти методы дают возможность найти решение системы как предел
бесконечного вычислительного процесса, позволяющего по уже найденным
приближениям к решению построить следующее, более точное приближение. Важной
чертой таких методов является их самоисправляемость и простота реализации. Если
в точных методах ошибка в вычислениях, когда она не компенсируется случайно
другими ошибками, неизбежно ведет к ошибкам в результате, то в случае
сходящегося итерационного процесса ошибка в каком-то приближении исправляется в
последующих вычислениях, и такое исправление требует только нескольких лишних
шагов единообразных вычислений.
Условия и скорость сходимости каждого итерационного процесса
существенно зависят от свойств уравнении, т.е. от свойств матрицы системы и от
выбора начальных приближений.
1.2
Метод Крамера в решении СЛАУ
Метод Крамера - Способ решения квадратных систем линейных
алгебраических уравнений с ненулевым определителем основной матрицы.
Определитель - это квадратная таблица чисел или
математических символов (Dd).
Для матрицы второго порядка
определитель
вычисляется по формуле:
D=
= a11a22 - a21a22
Например, 
= 1. 4 - 2. 3 = - 2
Теперь рассмотрим матрицу третьего порядка 
Её определителем называют число

= a11
- a12
+ a13
Эта формула даёт разложение определителя третьего порядка по
элементам первой строки. Обратите внимание, a11 - это
элемент, стоящий в первой строке и первом столбце. Он умножается на
определитель второго порядка, который получиться, если мы из нашего
определителя третьего порядка вычеркнем первую строку и первый столбец. Такой
определитель второго порядка, соответствующий данному элементу a11, называется минором (М11). Так, минор,
соответствующий элементу a12 есть определитель
М12 = 
Он получается, если вычеркнуть строку 1 и столбец 2. Аналогично М13
получиться вычёркиванием первой строки и третьего столбца.
Видим, что формулу можно записать так:
D= 

-a12*M12+a13*M13
То есть определитель равен сумме опарных произведений
элементов первой строки на соответствующие миноры, причём минор,
соответствующий а12 берётся со знаком «-».
Если определитель матрицы равен нулю, т.е. D=0, то система имеет бесконечно много
решений, т.е. система несовместима и этот метод не поможет.
Если определитель матрицы отличен от нуля, т.е. D≠0, то система имеет единственное
решение, которое находится по формуле:
xj =
(j= 1, 2, …, n)
2.
Прикладное ПО, применяемое для решения СЛАУ
Для решения инженерных задач на ЭВМ чаще всего применяют
готовое программное обеспечение, например MathCAD, MS Excel и другие.
MathCAD - программное средство,
среда для выполнения на компьютере разнообразных математических и технических
расчетов, снабженная простым в освоении и в работе графическим интерфейсом,
которая предоставляет пользователю инструменты для работы с формулами, числами,
графиками и текстами. В среде Mathcad доступны более сотни операторов и
логических функций, предназначенных для численного и символьного решения
математических задач различной сложности.
Для автоматизации математических,
инженерно-технических и научных расчётов используются разнообразные
вычислительные средства - от программируемых микрокалькуляторов до сверхмощных
суперЭВМ. И, тем не менее, такие расчёты для многих остаются сложным делом.
Более того, применение компьютеров для расчётов внесло новые трудности: прежде
чем начать расчёты, пользователь должен освоить азы алгоритмизации, изучить
один или несколько языков программирования, а также численные методы расчётов.
Положение существенно изменилось после выпуска специализированных программных
комплексов для автоматизации математических и инженерно-технических расчётов.
К таким комплексам относятся пакеты
программ Mathcad, MatLab, Mathematica, Maple, MuPAD, Derive и др. Mathcad
занимает в этом ряду особое положение.является интегрированной системой решения
математических, инженерно-технических и научных задач. Он содержит текстовый и
формульный редактор, вычислитель, средства научной и деловой графики, а также
огромную базу справочной информации, как математической, так и инженерной,
оформленной в виде встроенного в Mathcad справочника, комплекта электронных
книг и обычных «бумажных» книг, в том числе и на русском языке
Текстовый редактор служит для ввода и
редактирования текстов. Тексты являются комментариями, и входящие в них
математические выражения не выполняются. Текст может состоять из слов,
математических символов, выражений и формул.
Формульный процессор обеспечивает
естественный «многоэтажный» набор формул в привычной математической нотации
(деление, умножение, квадратный корень, интеграл, сумма и т.д.). Последняя
версия Mathcad полностью поддерживает буквы кириллицы в комментариях, формулах
и на графиках.
Вычислитель обеспечивает вычисление по
сложным математическим формулам, имеет большой набор встроенных математических
функций, позволяет вычислять ряды, суммы, произведения, интегралы, производные,
работать с комплексными числами, решать линейные и нелинейные уравнения, а
также дифференциальные уравнения и системы, проводить минимизацию и
максимизацию функций, выполнять векторные и матричные операции, статистический
анализ и т.д. Можно легко менять разрядность и базу чисел (двоичная,
восьмеричная, десятеричная и шестнадцатеричная), а также погрешность
итерационных методов. Автоматически ведётся контроль размерностей и пересчёт в
разных системах измерения (СИ, СГС, англо-американская, а также
пользовательская).
В Mathcad встроены средства символьной
математики, позволяющие решать задачи через компьютерные аналитические
преобразования.
Графический процессор служит для создания
графиков и диаграмм. Он сочетает простоту общения с пользователем с большими
возможностями средств деловой и научной графики. Графика ориентирована на
решение типичных математических задач. Возможно быстрое изменение вида и
размера графиков, наложение на них текстовых надписей и перемещение их в любое
место документа.является универсальной системой, т.е. может использоваться в
любой области науки и техники - везде, где применяются математические методы.
Запись команд в системе Mathcad на языке, очень близком к стандартному языку
математических расчётов, упрощает постановку и решение задач. Mathcad
интегрирован со всеми другими компьютерными системами счёта.позволяет легко
решать такие задачи как:
§ ввод на компьютере
разнообразных математических выражений (для дальнейших расчётов или создания
документов, презентаций, Web-страниц или электронных и обычных «бумажных»
книг);
§ проведение математических
расчётов (как аналитических, так и при помощи численных методов);
§ подготовка графиков (как
двумерных, так и трёхмерных) с результатами расчётов;
§ подготовка ввод исходных
данных и вывод результатов в текстовые файлы или файлы с базами данных в других
форматах;
§ отчетов работы в виде
печатных документов;
§ подготовка Web-страниц и
публикация результатов в Интернете;
§ получение различной справочной
информации;
Назначение Microsoft Office Excel 2007Office Excel нужен
прежде всего тем людям, которые в своей работе имеют дело с цифрами, например
бухгалтерам и научным работникам. Но этим не исчерпывается потенциал
электронных таблиц. Практически во всех случаях, когда информация может быть
представлена в табличном виде, Excel является незаменимым помощником. Любой
пользователь, знающий возможности Ехсеl’я, всегда может найти ему применение в
своей работе.
С помощью Ехсеl можно создавать, редактировать и печатать
красиво оформленные таблицы. Благодаря встроенным в него математическим и
логическим функциям, можно очень быстро выполнять разнообразные операции как
над цифрами, так и над текстами, производить простые и сложные вычисления.
Можно создавать всевозможные диаграммы, строить графики и т.п.
Причем таблицы Excel могут быть встроены во многие документы,
в том числе и в документы текстового редактора Word.имеет огромные возможности
и, несомненно, является одной из лучших программ своего класса. Однако его
изучение и применение является полезным не только поэтому. Большую роль играет
его распространенность. Эта программа установлена сегодня практически на любом
компьютере. Получая откуда-либо файлы электронных таблиц, можно быть почти
уверенным, что эти документы создавались в Ехсеl’е или, по крайней мере, могут
быть прочитаны в нем. Именно поэтому умение использовать Excel является очень
важным.
Первые версии Excel были созданы еще до появления
операционных систем семейства Windows. Но и после этого Excel не остановился в
своем развитии: были созданы версии 7. 0,97,2000,2002,2003,2007, в каждой из
которых появлялись новые возможности и совершенствовались имеющиеся,
устранялись ошибки предыдущих версий. Microsoft Office Excel 2007 входит в
состав пакета офисных программ Microsoft Office 2007 и, как правило,
устанавливается вместе со всеми остальными программами пакета.
В настоящее время имеется большое количество книг по изучению
работы с электронными таблицами. В них дается полное описание
работы в таблицах, что создает трудности для начинающих, а если учесть и
стоимость этих книг, то актуальность настоящего учебного пособия не вызывает
сомнения.
Microsoft Excel является мощной и,
одновременно, достаточно простой в использовании программой. Кроме больших
возможностей работы в электронных таблицах, эта программа позволяет оперировать
с несколькими листами, хранящимися в одном файле.
Excel может работать не только
с текстами, числами, датами и другими данными, но и с графиками и диаграммами.
Запуск программы Excel
Запустить программу для создания, просмотра и работы в
электронной таблице можно несколькими способами. Стандартным запуском можно
считать следующие действия:
. Щелкните на кнопке Пуск в левом нижнем углу панели задач.
. Раскройте меню Программы.
Если пользователь часто обращается к Microsoft Excel,
то он, обычно, выносит его в виде ярлыка на Рабочий стол. Тогда запуск,
электронной таблицы на выполнение, сводится только к установке курсора на этот
ярлык, щелкнув на нем левой клавишей мышки.
Работа
с формулами
Общие положения
Числовая обработка внесенных данных в электронную таблицу (ЭТ)¾ одна из главных задач Excel. ЭТ позволяет
находить сумму рада чисел, производить вычитание, нахождение процента от общей
суммы, строить различного вида графики и т.д. Однако Excel позволяет производить
вычисления по 320-ти функциям. Так, например, по названию товара, из
прейскуранта, автоматически возвращается его стоимость и пересылается в
указанную ячейку.
При создании, прежде всего, своих формул необходимо помнить
ряд правил:
·
Формулы
начинаются со знака равенства (=).
·
В
формулу может входить до 1024-х символов (вряд ли Вам, когда либо, придется
руководствоваться этим правилом, но надо помнить о нем!).
·
Результат
вычисления отображается в указанной ячейке, а формула, по которой производилось
вычисление, в строке формул.
Как Вы уже успели заметить, необходимо при составлении формул
знать фактически не три, а два правила. При необходимости внесения в формулу ссылки
на некоторую ячейку легче и, главное, надежнее вводить ее имя не с клавиатуры
(возможны ошибки!), а установить курсор мышки на необходимую ячейку и нажать
левую клавишу мышки - имя ячейки автоматически введется в формулу.
Копирование формул
Вы, наверное, при составлении формул уже убедились в том, что
их составление достаточно трудоемкий процесс, даже при использовании мышки, при
добавлении в нее ссылок на ячейки. А если таких формул, в процессе вычислений,
потребуется несколько? Затраты времени, на их создание, будут возрастать
пропорционально их числу. Где же выход? Копирование - вот эффективный
выход из создавшегося положения.
Для копирования формулы методом Автозаполнения можно
использовать маркер заполнения (этот метод был описан в первой главе). При этом
автоматически осуществляется последовательность создания, под вычисляемые
строки (столбцы), формул. При копировании формул необходимо учитывать понятия относительных
и абсолютных адресов ячеек. При необходимости копирования формулы в
другую ячейку или группу ячеек (в этом случае Автозаполнение не годится), можно
воспользоваться буфером обмена.
Относительные адреса ячеек появляются при
копировании формул с автоматическим преобразованием ссылок на вычисление
столбцов или строк таблицы. Так, например, в ячейке F7 записывается сумма
строки «Покупка» (ячейки - В7 и С7), а при копировании
этой формулы в ячейку F9, строка «Продажа», автоматически
вычисляется сумма ячеек В9 и С9 с последующей записью результата
в ячейку F9. То есть, имена ячеек В7 и С7, в написанной ранее
формуле, автоматически заменились на В9 и С9
Но, иногда, необходимо зафиксировать один из адресов ячейки,
тогда запись исходной формулы принимает вид, например:
=СУММ (А1:А4)*$А$5
Здесь, $А$5 - фиксированное имя ячейки, так, при
переходе на колонку с именем В, формула автоматически преобразуется в:
=СУММ (В1:В4)*$А$5
При такой записи имени ячейки, с использованием знака
«доллар» ($), называется - абсолютным адресом ячейки.
Функция - это уже готовая сложная формула, по которой
проводятся операции вычисления над группой данных определенного типа. Функции
задаются с помощью формул, которые выполняют вычисления по заданным величинам,
называемым аргументами, и в указанном порядке, называемом синтаксисом.
Например, функция СУММ складывает значения или группы ячеек, а функция ППЛАТ
вычисляет величину выплаты за один период годовой ренты на основе постоянных
выплат и постоянной процентной ставки. Функцию можно вводить в ячейку
самостоятельно или при помощи Мастера функций.
• Мастер функций позволяет использовать весь набор
функций Excel, даже если вы точно не знаете их названия. Все функции
организованы в группы (или категории), такие как Financial (Финансовые),
Statistical (Статистические) и др. Мастер функций выводит краткое описание
каждой функции, благодаря которому вы сможете выбрать нужную функцию. Кроме
того, мастер функций помогает вводить аргументы функции и поясняет, для чего
они нужны. При использовании мастера функций практически исключаются ошибки при
записи формул в ячейки, кроме того, так удобнее вводить сложные функции с
несколькими аргументами.
Для того, чтобы воспользоваться мастером функций
необходимо:
1. Выделите ячейку, в которую нужно поместить функцию, и
нажмите кнопку Вставка функции на стандартной панели инструментов.
. В списке Категории функций открывшегося окна диалога
укажите нужную категорию функции.
. Выберите нужную вам функцию в списке Имя функции. В
нижней части окна диалога появится описание выбранной функции. Прочитайте его и
убедитесь, что функция выбрана правильно. Щелкните на кнопке ОК.
. Под строкой формул появится окно - так называемая палитра
формул. Введите аргументы в соответствующие поля. Вы можете вводить
значения или адреса ячеек вручную, а можете щелкать на нужных ячейках или
выделять нужные диапазоны.
. Щелкните на кнопке ОК, чтобы завершить ввод функции.
Результат вычисления функции появится в ячейке.
Категории функций, используемых в Exel
Арифметические и тригонометрические функции
Арифметические и тригонометрические функции позволяют
производить простые и сложные математические вычисления, например вычисление
суммы диапазона ячеек, вычисление суммы ячеек диапазона, удовлетворяющих
указанному условию, округление чисел и прочее.
Например:
ФАКТР - возвращает факториал числа. Факториал числа - это
значение, которое равно 1*2*3*…* число.
ФАКТР(число)
Число - это неотрицательное число, факториал которого
вычисляется. Если число не целое, то производится отбрасывание дробной части.
МОПРЕД - возвращает определитель матрицы (матрица
хранится в массиве).
МОПРЕД(массив)
Массив - это числовой массив с равным количеством строк
и столбцов.
Массив может быть задан как интервал ячеек, например, A1:C3
или как массив констант, например {1; 2; 3:4; 5; 6:7; 8; 9}.
КОРЕНЬ - возвращает положительное значение квадратного
корня.
КОРЕНЬ(число)
Число - это число, для которого вычисляется квадратный
корень. Если число отрицательно, то функция КОРЕНЬ возвращает значение ошибки
#ЧИСЛО!.
ABS - возвращает модуль (абсолютную величину) числа.
Абсолютная величина числа - это число без знака.
ABS(число)
Число - это действительное число, абсолютную величину
которого требуется найти.
ПИ - возвращает число 3,14159265358979,
математическую константу p с точностью до 15 цифр.
3.
Практическое применение MS Excel
3.1
Постановка задачи
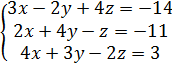
Задача. Решить систему уравнений традиционным способом и
с помощью MS Excel.
1. Запишите исходную матрицу системы:

Слева от разделительной линии стоят коэффициенты при
неизвестных, а справа стоят свободные члены.
. Найдите определитель основной матрицы:
∆=
=3
- (-2)
+4
=-55
Так как ∆ не равно 0, то система имеет единственное решение.
3. Найдём определитель дополнительных матриц, которые
получаются из основной путём замены элементов одного из трёх столбцов основной
матрицы элементами матрицы свободных членов bi.
∆1=
=9
- (-2)
+4
=55
∆2=
=3
-9
+4
=-110
∆3=
=3
- (-2)
+9
=-220
4. Найдём решения системы алгебраических уравнений:
x1 =
=
=-1
x2 =
=
=2
x2 =
=
=4
Решение
СЛАУ с помощью MS Excel
|
|
|
|
|
|
|
|
|
|
|
|
|
|
|
|
|
|
|
|
|
|
|
|
|
|
|
|
|
|
|
|
|
|
|
|
|
|
|
|
|
|
Коэффиценты
свободные члены
|
а1
|
а2
|
а3
|
bi
|
|
|
|
|
3
|
-2
|
4
|
9
|
|
|
|
|
2
|
-1
|
2
|
|
|
|
|
4
|
3
|
-2
|
-6
|
|
|
|
|
|
|
|
|
|
|
|
|
|
|
|
|
|
|
|
Определитель
основной матрицы
|
D=
|
-55
|
|
|
|
|
|
|
|
|
|
|
|
|
|
|
|
|
|
|
|
|
|
дополнительные
матрицы
|
|
bi
|
а2
|
а3
|
|
определители
дополнительных матриц
|
|
|
|
9
|
-2
|
4
|
|
|
55
|
|
|
2
|
4
|
-1
|
|
|
|
|
|
-6
|
3
|
-2
|
|
|
|
|
|
|
|
|
|
|
|
|
|
а1
|
bi
|
а3
|
|
|
|
|
|
3
|
9
|
4
|
|
|
-110
|
|
|
2
|
2
|
-1
|
|
|
|
|
|
4
|
-6
|
-2
|
|
|
|
|
|
|
|
|
|
|
|
|
|
а1
|
а2
|
bi
|
|
|
|
|
|
3
|
-2
|
9
|
|
|
-220
|
|
|
2
|
4
|
2
|
|
|
|
|
|
4
|
3
|
-6
|
|
|
|
|
|
|
|
|
|
|
|
|
|
|
|
|
|
|
|
|
Решения систем.
|
|
|
|
|
|
|
|
|
|
x1=
|
-1
|
|
|
|
|
|
|
x2=
|
2
|
|
|
|
|
|
|
x3=
|
4
|
|
|
|
|
Заключение
Ещё совсем недавно основными инструментами инженера были калькулятор
и чертёжная доска. Расчёты занимали немало рабочего времени. Например,
большинство инженерных расчётов проводятся в нескольких приближениях, т.е. один
и тот же алгоритм вычислений повторяется несколько раз, но каждый раз с новыми,
уточнёнными данными. Инженер вынужден был повторять на калькуляторе
вычислительные операции каждого приближения снова и снова. Выполнение чертежей
также было нелегким занятием. За кульманом (большая чертёжная доска с
закреплённой на ней рейсшиной) как правило, работали стоя, что приводило к
возникновению профессиональных болезней. Так как чертежи выполнялись при помощи
карандашей различной твёрдости или туши, то неосторожное движение рукой
приводило к появлению на чертежах грязных разводов и смазанных линий. В современных
условиях рыночной экономики, такой подход, несомненно, не позволит предприятию
быть конкурентоспособным и получать прибыль. При размещении заказа на
выполнение проектных работ одним из основных критериев является минимальное
время выполнения проекта. Автоматизация инженерной работы (расчётов, выполнения
чертежей и текстовых документов) позволяет сократить время выполнения проекта в
несколько раз. Для этого требуется оборудовать место работы инженера
персональным компьютером и установить на него соответствующее программное
обеспечение.
В данной работе был рассмотрен метод Крамера решения систем
линейных алгебраических уравнений.
Метод Крамера - способ решения квадратных систем линейных
алгебраических уравнений с ненулевым определителем основной матрицы (причём для
таких уравнений решение существует и единственно). Назван по имени Габриэля
Крамера (1704-1752), придумавшего метод.
В работе была рассмотрена теоретическая часть, из которой
выводятся различные формулы для реализации данного метода.
Автоматизация решения СЛАУ методом Крамера
была выполнена с помощью табличного процессора MS Excel.
Список литературы
1. А.В. Голышева, В.Н. Корнеев. Excel
2007 без воды. 2008 г.
2. Ю.В. Васильков, Н.М. Василькова.
Компьютерные технологии вычислений. 2012 г.
3. В.В. Трофимова. Информатика. 2011
г.
4. Н.А. Лизунова, С.П. Шкроба. Матрицы
и системы линейных уравнений. 2007 г.
6. А.Г. Днепров. Excel 2007
видеосамоучитель. 2009 г.
. И. Киреев, А.В. Пантелеев. Численные
методы в примерах и задачах.