Природні адсорбенти тваринного походження

  • Вид работы:
    Курсовая работа (т)
  • Предмет:
    Биология
  • Язык:
    Украинский
    ,
    Формат файла:
    MS Word
    21,97 Кб
  • Опубликовано:
    2014-11-30
Вы можете узнать стоимость помощи в написании студенческой работы.
Помощь в написании работы, которую точно примут!

Природні адсорбенти тваринного походження

Вступ

Адсорбція (від лат. Ad - на, при та sorbeo - поглинаю), поглинання кількості речовини з газоподібного середовища або розчину поверхневим шаром рідини або твердого тіла.

Речовина, на поверхні якої відбувається адсорбція, називається адсорбентом, а поглинання з об'ємної фази - адсорбатом. В залежності від характеру взаємодії між молекулою адсорбата і адсорбентом адсорбцію прийнято поділяти на фізичну адсорбцію і хемосорбцію. Менш міцна фізична адсорбція не супроводжується суттєвими змінами молекул адсорбату. Вона обумовлена силами між молекулярної взаємодії, які з'єднують молекули в рідинах і деяких кристалах і проявляються в поведінці сильно стиснених газів. При хемосорбції молекули адсорбату іадсорбенту утворюють хімічні сполуки. Часто адсорбція обумовлена як фізичними так і хімічними силами.

1.Основні властивості адсорбентів та їх класифікація

Адсорбент повинен володіти наступними основними властивостями:

·        необхідною селективністю;

·        відсутністю каталітичної активності та хімічної інертності до компонентів суміші, що розділяються;

·        достатньою механічною міцністю;

·        лінійністю ізотерми адсорбції;

·        бути доступним. Відповідно до класифікації Кисельова адсорбенти ділять на три типи:

o   неспецифічні, на поверхні яких немає яких-небудь функціональних груп та іонів (вугілля, графитировані сажі, неполярні пористі полумері);

o   що мають на поверхні позитивні заряди (на гідроксильованій поверхні силікагелю, на катіонах молекулярних сит, на катіонах солей);

o   що мають на поверхні зв’язки або групи атомів з зосередженою електронною густиною.

Адсорбентами останнього типу є деякі полярні пористі полімери, які наприклад містять нітрильні групи, зчеплені сорбенти і т. д. Основними факторами, що визначають взаємодію між речовиною, що вилучається і адсорбентом, є дисперсійні сили (які проявляються при розподілі, наприклад, на колонці з вугіллям), водневий зв'язок (виникає при розподілі на силікагелі або оксиді алюмінію), а також інші типи полярних взаємодій. [1,3]

Адсорбенти бувають синтетичні та природні. Для підвищення поглинальної здатності і максимального розвитку площі поверхні синтетичні адсорбенті, як правило роблять пористими. Як адсорбент використовують силікагель, активоване вугілля, деякі оксиди, смоли та ін. Кількість адсорбованої речовини абсорбентом залежить від декількох чинників:

ü  типу адсорбента;

ü  типу абсорбованої речовини;

ü  розміру адсорбента;

ü  концентрації абсорбента;

ü  температури.[5]

Природні мінеральні адсорбенти знаходять дедалі ширше застосування в народному господарстві. Завдяки своїм специфічним фізико-хімічним властивостям, вони використовуються в різних галузях промислового виробництва та в сільському господарстві - для поліпшення якості грунтів та підвищення врожайності сільськогосподарських культур. Перевага природних адсорбентів, порівняно з отриманими шляхом синтезу полягає у великих запасах останніх, що визначають можливості широкомасштабного застосування та порівняно невисоку вартість.[2]

Природні адсорбенти рослинного походження:

§  бентоніт;

§  силікагель;

§  цеоліти;

§  перліти;

§  вермикуліти

§  глауконіт і т.д.

Природні адсорбенти тваринного походження:

§  кісткове борошно;

§  хітин (хітозан);

§  шерсть;

§  пір’я.

2.Сорбенти тваринного походження

адсорбент каталітичний тваринний

До адсорбентів тваринного походження можна віднести так звану сировину тваринного походження.

До неї відносять продукти переробки молока (сироватка, замінник сухого молока), кормові продукти м’ясокомбінатів (кров’яне, кісткове, м’ясне, м’ясо-кісткове, пір’яне борошно), кормові продукти рибопереробної промисловості (рибне борошно та ін.). Всі ці продукти мають дуже високий вміст протеїну відмінної якості, вітамінів, солей мікроелементів.

Корми тваринного походження - цінна і найбільш дефіцитна сировина комбікормової промисловості. Вони характеризуються високим вмістом біологічно повноцінного білка (34-70%). В 1 кг цих кормів міститься 28-56 г лізину. Зазвичай сировину тваринного походження вводять у комбікорми в значно менших кількостях, ніж макухи та шроти (білки рослинного походження). Особливість сировини тваринного походження полягає у високому вмісту в них кальцію, фосфору та натрію. М’ясне і рибне борошно містить 6-8% кальцію, 3-6% фосфору і 1,5-2,7% натрію. Ще більше кальцію міститься в м’ясокістковому борошні. При використанні сировини тваринного походження в комбікормах слід зменшити кількість мінеральних добавок, які містять кальцій і фосфор, а також кухонну сіль.[8]

Із білкових компонентів найбільшою цінністю для сільськогосподарських тварин, птахів, особливо забезпеченні їх незамінними амінокислотами володіє рибне борошно.

Рибне борошно багате на мікроелементи (кальцій, фосфор), вітаміни (особливо В12), в ньому високий вміст лізина і метионіна. Перетравність білка в рибному борошні збільшує загальну поживність, однак надмірно великий його вміст (більше 18%) небажано, так як він викликає швидку порчу продуктів. Рибне борошно містить не більше 5% кухонної солі (хлористий натрій).

Розповсюдженим білковим компонентом є м’ясокісткове борошно.

За допомогою м’ясокісткового борошна хорошої якості (1 і 2 сорт) досягається балансування незамінних амінокислот у комбікормі, крім метионіна і цистина. М’ясокісткове борошне є хорошим джерелом мікроелементів: кальцію (в середньому складає 8,4-13,2%) фосфору (3,7-5,6%), натрію (1,5-1,6), при цьому доступного фосфору в середньому міститься 3,6% (в рибному борошні - 2,2%).[9]

Багаті протеїном кормові дріжджі, вирощені мікробіологічним шляхом на різноманітних субстратах: мелясі, гідролізному цукрі, очищених рідких парафінах нафти і інших вуглеводних. В залежності від технології отримання дріжджів вони розрізняються фізико-механічними властивостями, вмістом основних поживних речовин і іншими специфічними показниками. Проте загальне для всіх дріжджів - це високий вміст найважливішої амінокислоти - L-лізина, дефіцит метионіна і високий вміст вітамінів групи В.

Сумарно рибне, м’ясокісткове борошно і дріжджі, а також інші білкові продукти, які входять до цієї групи, складають в балансі сировини нашої країни 3-5%.

Зміст же в складі рецептів цих продуктів коливається в дуже широких межах. До багатьох рецептів рибне борошно, дріжджі зовсім не входять (відгодівля великої рогатої худоби), в комбікормах для цінних порід риб їх вміст досягає 55-60%. У таблиці 1.3 показані основні показники поживності сировини тваринного походження і кормових дріжджів.[10]

Таблиця 1.3 Основні показники поживності сировини тваринного походження і кормових дріжджів

Компоненти

Вологість, %

Сирий протеїн, %

Кормові од. в 1 кг

Сира клітковина, %

Сирий жир, %

Борошно м’ясокісткове

8,0

41,0

0,84

1,0

2400

Борошно рибне

13,4

54,8

0,97

-

2775

Дріжджі гідролізні

13,0

36,5

1,07

-

2825


Кісткове борошно - продукт переробки кісток забитих тварин.

Борошно кісткове відноситься до білково-мінеральних біодобавок. Відповідно, до його складу входять два основних інгредієнти: білок і комплекс мінеральних компонентів. Даний вид добавки в основний комбікорм сільськогосподарських тварин і птиці являється натуральним продуктом, що має власний збалансований і готовий до застосування склад. Основна цінність полягає в поєднанні білка, протеїну і мінеральних елементів, таких як, кальцій, фосфор. При цьому засвоєння відбувається до 90%. Метою будь-якої біологічної добавки є досягнення максимально позитивних результатів при отриманні продукції від тваринництва.

Основні показники якості кісткового борошна: - протеїн 47, 00-50,00%; - жир 16,00%; -волога 10,00%; - зола 0,28%; -клітковина 1,00%.

Склад До складу кісткового борошна входять основні елементи -білки та мінеральні речовини. Але цей склад не обмежується -нaтpій,магній,кaлій, xлop, фтop, залізо, цинк, мідь, мapгaнeць, кoбaльт. Доброякісне м'ясокісткове борошно повинно мати кислотне число жиру не більше 25 мг КОН /г, перекисне число жиру - не більше 0,5% (42 ммоль / кг). М'ясо-кісткове борошно є хорошим джереломвітамінівВ1 особливо:рибофлавіну, холіну,нікотинової кислоти, кобаламина.

Технології виробництва кісткового борошна

Останнім часом постійно удосконалюються на Заході. Сьогодні виробництво кісткового борошна - це сучасне, екологічне й ефективне підприємство, яке вважається неймовірно привабливим у плані інвестицій. Устаткування для виробництва кісткового борошна повинно відповідати найжорстким екологічним вимогам і бути досить невимогливим до обслуговування.

Сировина для виробництва кісткового борошна проходить ветеринарний відбір на наявність сторонніх предметів, а також ретельний відбір. Прийнята на підприємство сировина подрібнюється,а потім звільняється від жиру. Далі суспензія, що залишилася, потрапляє в центрифугу, сушиться і відправляється в подрібнювач. Очищене кісткове борошно роздарюється і й дена продаж. Залишений жир так само очищується і виходить інший продукт виробництва - технічний жир. Вода повертається на виробництво. Виготовлення кісткового борошна - це повністю автоматизований процес, який вимагає мінімум втручання. В залежності від вмісту білка, жиру і мінеральних солей м'ясо-кісткове борошно поділяють на три сорти, інші її види виробляють одного сорту. Дані, що характеризують хімічний склад, наявність домішок і патогенних мікроорганізмів, наведено в табл.1.

Таблиця 1 Якісні показники м'ясо-кісткового борошна

Показник

М'ясо-кісткове борошно


I

II

III

Масова частка,%: вологи, не більше

9

10

10

протеїну, не менше

50

42

30

жиру, не більше

13

18

20

золи, не більше

26

28

38

клітковини, не більше

2

2

2

антиокислювачів, не більше

0,02

0,02

0,02

зміст сторонніх домішок:




Металомаг., розміром до 2 мм, г / т

150

200

200

мінеральних, нерозчинних в соляній кислоті,%, не більше

1,0

1,0

1,0

Нявність патогенних мікроорганізмів

Не допускається

Не допускається

Не допускається

Загальна токсичність

Не допускається

Не допускається

Не допускається


Застосування кісткового борошна у сільському господарстві Застосовується кісткове борошно в тваринництві, як підгодівля для худоби, створена самою природою. У готовому вигляді, кісткове борошно - це порошок, який можна додавати в будь-який вид корму для тварин. Застосування кісткового борошна запобігає порушенню обміну речовин, мінеральну нeдocтaтність, захворювання cepдцево-cудинної і нepвової системи тварин. Перевага кісткового борошна полягає в тому, що її засвоюваність досягає 90%.[12,13]

Застосування костної муки в екології

Згідно автора роботи «Сорбент для знешкодження та утилізації токсичних нафтомаслозабруднень» Рудника Михайла Йосифовича винахід відносять до сорбентів, призначених для знешкодження та утилізації токсичних нафтемасловідходів та нафтемаслозабруднень, які утворюються,наприклад, при зачистці нафто-чи газопроводів.

Як вказано в роботі [14] відомі різноманітні сорбенти для очистки від нафтових забруднень, наприклад, сорбент за а.с. СРСР №1567526, С 02 F 1/28. Відомий сорбент включає нафту, хлористий кальцій і суміш натрієвих солей жирних кислот, в якості якої застосовується 60% господарське мило. Недоліком такого сорбенту є дорогі добавки, які вимагають спеціального виготовлення.

Найбільш близьким до заявленого технічного рішення є сорбент, який складається з негашеного вапна і тваринного технічного жиру в кількості 0,4-3 мас.%. Зазначений сорбент не завжди ефективний для утилізації токсичних нафтомасловідходів і нафтомаслозабруднень, які містять іони важких металів, легкі фракції вуглеводнів, в тому числі парафіно-смолисті відкладення і відкладення, що місять сірку, так як в процесі знешкодження виділяються газоподібні продукти с характерним запахом і в водній витяжці виявляється залишковий вміст іонів металів і нафтопродуктів. Добавки, які входять у вказаний сорбент, є дорогими, не завжди доступними, недостатньо перемішуються з негашеним вапном.

Завдання, на вирішення якої направлений даний винахід[14], присвячений створенню дешевого сорбенту, який включає в себе модифікатор, який в свою чергу добре перемішується з негашеним вапном та складається із доступних компонентів, здатних утилізувати і знешкодити токсичні нафтомасловідходи і нафтомаслозабруднення.

Вказана мета досягне тим, що сорбент складається із негашеного вапна, активованого вугілля і кісткового борошна при наступних співвідношеннях компонентів, мас.%: кісткове борошно - 0,4-0,3;активоване вугілля - до 10,0; негашене вапно - інше.

Кісткове борошно являє собою суміш тригліцеридів вищих жирних кислот - стеаринової, пальмітинової і олеїнової, з’єднаних з багатоатомним спиртом-гліцерином-ефірним зв’язком, протеїни і амінокислоти. Використання кісткового борошна з вказаним складом дозволяє отримати дешевий доступний сорбент з високим ступенем очистки. Кісткове борошно є дешевим відходом виробництва переробної промисловості, що робить отриманий з його застосуванням сорбент доступним і економічним.

На відміну від тваринного жиру кісткове борошно знаходиться у високому ступені дисперсності і легко, рівномірно змішується з вапном до однорідної маси.

При взаємодії ( в результаті простого перемішування) , що містяться в кістковому борошні жирних кислот, жиру, амінокислот з оксидом кальцію утворюються тригліцериди кальцію і кальцієві солі амінокислот, які активізують поверхню частинок вапна для подальшої гідрофобної взаємодії з вуглеводневими нафти.[14]

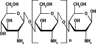
3.Хітин (хітозан). Хімічна структура та його форми

Рис.

Біополімери хітин і хітозан звернули на себе увагу вчених майже 200 років тому.Хітин був відкритий в 1811 р. (Н. Braconnot, A. Odier), а хітозан в 1859 році (С. Rou-get), хоча свою нинішню назву отримав в 1894 р. У першій половині XX століття до хітина і його похідного був виявлений заслужений інтерес, зокрема, три Нобелівських лауреата:F. Fischer (1903) синтезував глюкозамін, P. Karrer (1929) провів деградацію хітину з допомогою хітинази, aW. H. Haworth (1939) встановив абсолютну конфігурацію глюкозамина.

За хімічною структурою хітин відносять до полісахаридів, мономером хітину є N-ацетил-1 ,4-bD-глюкопіранозамін.Молекула хітозана містить в собі велику кількість вільних аміногруп, що дозволяє йому зв'язувати іони водню і набувати надлишковий позитивний заряд. Звідси і йде властивість хітозану, як хорошого катіоніту. Це також пояснює здатність хітозанаміцно утримувати іони різних металів (в тому числі і радіоактивних ізотопів, а також токсичних елементів). Хітозан здатний утворювати велику кількість водневих зв'язків. Тому він може з'єднати велику кількість органічних водорозчинних речовин (бактеріальні токсини і токсини,які утворюються в процесі травлення). Виходячи з того, що молекули хітозана міцніші, в порівняні з молекулами хітозана і молекулами води, він погано розчинний у воді. При цьому віндосить добре розчиняється в оцтової, лимонної, щавлевої і янтарної кислотах. Може утримувати у своїй структурі розчинник, а також розчинені в ньому речовини. У розчиненому вигляді хітозан володіє великим сорбуючі ефектом, аніж в нерозчинному. Через ефект молекулярного сита і гідрофобних взаємодій, хітозан може пов'язувати граничні вуглеводні, жири і жиророзчинні сполуки. Розщепити хітин і хітозан до N-ацетил-D-глюкозаміну і D-глюкозаміну можна під дією мікробних ферментів таких як хітинази і хітобіази. Саме завдяки цьому хітозан повністю біологічно-зруйнований, але при цьому не забруднює навколишнє середовище.[11]

4.Форми існування хітину

α-хітин є щільно упакований, найбільш кристалічний полімер, в якому ланцюжки розташовуються антипаралельно, він характеризується самим стабільним станом.

В β-хітині ланцюжки розташовуються паралельно один одному, а в γ-хітині два ланцюжки полімеру спрямовані "вгору"щодо однієї, спрямованої "вниз". β і γ-хітин можуть перетворюватися в α-хітин. В організмах комах і ракоподібних, клітинах грибів і діатомових водоростей хітин в комплексі з мінеральними речовинами, білками і меланіну утворює зовнішній скилет внутрішньо опорної структури. Потенційні джерела хітину різноманітні і широкопоширені в природі. Загальна репродукція хітину в світовому океані оцінюється 2,3млрд. т. урік, що може забезпечити світової потенціал виробництва 150-200тис. т. хітину в рік.

5.Біологічна роль хітину

За деякими даними, не маючи в даний час клінічного підтвердження, хітозан знижує рівень холестерину, сечової кислоти і глюкози (у хворих на цукровий діабет) в крові,має антибактеріальні та протигрибкові властивості, покращує засвоєння кальцію з їжі. Харчові волокна (хітозан) в комплексі з вітаміном С і лимонною кислотою сорбують жири, запобігають їх всмоктування і накопичення в клітинах і тканинах, а разом з МКЦ - підсилюють перистальтику кишечника, прискорює виведення з організму харчових жирів, шлаків і токсинів, сприяє нормалізації кишкової мікрофлори, забезпечує відчуття ситості.

6.Застосування хітину

Здатність до сорбіровання (очищення) у живих організмів виконує в основному захисну функцію, оберігаючи внутрішні органи від проникнення різного роду токсинів. Хітинові сорбенти можуть успішно застосовуватися для очищення водних розчинів від самих різних забруднень:

         практично від усіх важких металів;

         багатьох радіонуклідів;

         бактерій;

         багатьох органічних домішок;

         пестицидів та інших з'єднань.

Вони можуть бути використані для очищення питної води, стічних вод різних виробництв, технологічних розчинів і різних інших рідких систем. По ряду показників сорбенти на основі хітину і його похідних перевершують набагато нині відомі сорбенти. При застосуванні як ентеросорбенту (засоби очищення організму через шлунково-кишковий тракт) хитозан показує цікаві властивості. Так, перспективнайогоздатністьнейтралізуватинадлишковевиділеннясоляноїкислотишлунком, він позитивно впливає на слизову оболонку шлунково-кишкового тракту і багато іншого.

В якості перспективної активної добавки хітин і його похідні застосовуються в косметичних препаратах. Можливість застосування хитозана в численних галузях зобов'язана властивим йому властивостями. Його використовують як корм для тварин, як складову у виготовленні косметики і продуктів харчування. Хітозан затребуваний в сільському господарстві і при забезпеченні захисту навколишнього середовища. Все вищезазначене і пояснює масове виробництво хітозану. Водорозчині» хітинові» похідні здебільшого використовуються у виробництві засобів, які сприяють схудненню. [6,7]

7.Загальні відомості та застосування

Шерстю називається волосяний покрив тварин, який піддається переробці в пряжу або повсть. Зазвичай під шерстю розуміється волосяний покрив вівці. Шерсть,отриману з інших тварин,називають по виду тварини: козяча, верблюжа шерсть. Основну масу вовни (95 - 97%) для шерстеобробної промисловості дають вівці.

При згоранні шерсть і натуральний шовк горять повільно з запахом паленого волосся,утворюючи кульку чорного кольору, яка розтирається в порошок.

При дії HNO3 (при нормальних умовах густини, що дорівнює 1,4 г /см3) шерсть і натуральний шовк набухають і фарбуються в жовтий колір,при дії H2SO4 (при щільності,що дорівнює 1, 84 г/ см3)вони руйнуються, а придії10% розчину NaOH - розчиняються. При впливі ацетону і розплавленого фенолу шерсть і натуральний шовк не розчиняються.

Шерсть і натуральний шовк застосовуються в текстильній промисловості.

8.Матеріали на основі пера

Американський дослідник китайського походження придумав, як отримати композитний пластик на основі курячого пір'я. Вихідної сировини хоч відбавляй: щорічно побічним продуктом з конвеєрів сходить кілька мільйонів тонн пір'я.

І ці Ян (Yiqi Yang) з університету Небраски, як і багато інших матеріалознавців світу, намагається створити гідну альтернативу пластикам, одержуваних з нафтопродуктів. Вчені шукають натуральне і поновлюване джерело,атому часто вихідним матеріалом стають відходи сільськогосподарської промисловості.

Перо складається в основному з кератину,досить міцного білка, що зустрічається також у волоссі,нігтях, рогах і шерсті тварин. Створений на основі подрібненого пера пластик володіє відмінними характеристиками міцності. Інші основи (наприклад, модифікований крохмаль і білки рослинного походження), на думку Яна,з таким продуктом змагатися не можуть. Відомо, що хімік знає вже не перший рік експериментує з різними природними речовинами і композитами, тому може стверджувати про вищевказаний факт.

Інші дослідники також намагалися отримати термопласти з пташиного оперення, але механічні властивості кінцевого матеріалу псувалися, як тільки він потрапляв у воду або коли рідина потрапляла на нього. Щоб створити водостійкий термопласт, Ян з товаришами обробили перо птахів хімічним складом, що включає метил акрилат (утворює безбарвний полімер, який використовується в лаках для нігтів). В результаті вчені отримали плівки, які були міцніші на розрив, ніж пластики, створені на основі крохмалю та білків сої. Названому матеріалу дали екстравагантну назву - перо-g-поли (метилакрилат).

Зазначимо, що термопласти є одним з двох основних видів пластиків, що використовуються для виробництва тисяч самих різних товарів ( пляшок для побутової хімії та напоїв, бамперів і панелей автомобілів). Вони зручні у виробництві, обробці та переробці: щоб надати м форму, достатньо нагріти речовини або ж впливати на них хімічними реагентами.[15]

Висновок

В даній курсовій роботі за темою «Природні адсорбенти тваринного походження» проведено аналіз літературних джерел із зазначеної теми, досвіди її вирішення дали змогу зробити такі узагальнення:

.        При виборі адсорбенту треба враховувати його відповідність до таких вимог як: необхідна селективність, відсутність каталітичної активності ті хімічної інертності до компонентів суміші, що розділяються, достатня механічна міцність, лінійність ізотерми адсорбції, доступність.

.        До природніх адсорбентів тваринного походження відносять: кісткове борошно, хітин (хітозан), шерсть, пір’я.

.        Кісткове борошно - продукт переробки кісток забитих тварин. Являє собою суміш тригліцеридів вищих жирних кислот, протеїнів і амінокислот.

.        Хімічна структура хітозана відносить хітин до полісахаридів, мономером хітину є N-ацетил-1 ,4-bD-глюкопіранозамін. В залежності від розташування полімерних молекул розрізняють три форми хітину - α, β і γ.

.        Шерстю називається волосяний покрив тварин, який піддається переробці в пряжу або повсть.

.        Пір’я - ороговіле утворення шкіри у птахів. Воно складається з кератину, досить міцного білка, що зустрічається також у волоссі, нігтях, рогах і шерсті тварин.

7.  адсорбент каталітичний тваринний

Література

1.      Исследование синтетических и природных минеральных адсорбентов/под ред. Саратского университета, Саратов, 1974 - 120 с.

.        Исследование адсорбционных процессов и адсорбентов/ Ташкент: Фан, 1979. - 78 с.

.        Адсорбція і адсорбенти, випуск 1/ К., Наукова думка, 1972. - 121 с.

.        [Електронний ресурс]. - Режим доступу: bse.sci-lib.com›article002349.html.

.        Бгатов. В.И., Паничев А.М., Ван А.В. Природные сорбенты и животный мир / Материалы международного симпозиума/ Новосибирск, 1997. - 78 с.

.        [Електронний ресурс]. - Режим доступу:www.xumuk.ru/encyklopedia/43.html

.        [Електронний ресурс]. - Режим доступу: http://BiblioFond.ru.

.        Мушинская С.Х., Данельянц В.А. Исследование в области промышленногоприменения сорбентов / М.: Мир, 1961. - 155 с.

.        Балакирев Н.А. Природні адсорбенти в раціонах хутрових звірів/ Зоотехнія. К., Наукова думка,1995. - 56 с.

.        Лумбунов С. Природні мінерали для тваринництва/ Молочне і м’ясне скотарство. К., Наукова думка,1998. - 73 с.

.        Під’яблонський С. М. Нетрадиційні кормові добавки в тваринництві/Досягнення науки і техніки АПК. К., 2002. - 98 с.

.        [Електронний ресурс]. - Режим доступу: http://perko.at.ua/

.        [Електронний ресурс]. - Режим доступу: http://ecolife48.ru.

.        Пат. Росії, RU2281157C1. Сорбент для знешкодження та утилізації токсичних нафто забруднень/ Рудник М.Й. - Опубл. 10.08.06. р.

.        [Електронний ресурс]. - Режим доступу: http://chemlib.ru.

16.     

Похожие работы на - Природні адсорбенти тваринного походження

 

Не нашли материал для своей работы?
Поможем написать уникальную работу
Без плагиата!
Без нейросетей!