|
Состав:
|
кг/ч
|
м3/ч
|
|
Сухой
коксовый газ
|
18200
|
40000
|
|
Водяные
пары
|
480
|
600
|
|
Углеводороды
|
620
|
167
|
|
Сероводород
|
608
|
400
|
|
Итого:
|
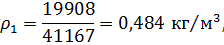
19908
|
41167
|
Температура поступающего газа 200С и давление
0,113 МПа, температура на выходе 300С и давление 0,11 МПа.
2.1 Материальный баланс
Принимаем потери углеводородов с выходящим газом
равными
=
2 г/м3 сухого газа, что составляет:
где Qг - расход сухого коксового газа, м3/ч,П -
потери углеводородов, г/м3.
Тогда степень улавливания:

где VП - потери углеводородов, кг/ч;УГ - расход
углеводородов в газе, кг/ч.
Количество поглощенных углеводородов:
Таким образом, из скруббера выходит:
Таблица 2.2 - Состав выходящего газа
|
Состав:
|
кг/ч
|
м3/ч
|
|
Сухой
коксовый газ
|
18200
|
40000
|
|
Водяные
пары
|
480
|
600
|
|
Углеводороды
|
80
|
22
|
|
Сероводород
|
608
|
400
|
|
Итого:
|
19368
|
41022
|
Фактическое содержание углеводородов в
поступающем газе:
где G - количество поглощенных углеводородов,
кг/ч;общ - общий расход поступающего газа,м3/ч;- стандартная температура, T0 =
273 0K;- стандартное давление, P0 = 0,1014 МПа;
Р - давление в аппарате;
Твх - температура поступающего газа.

и в выходящем газе:
где Pвых - давление газа после скруббера, 0,11
МПа;
Твых - температура газа после скруббера, 303 0К.
Максимальное содержание углеводородов в
поступающем масле определяем по уравнению, справедливому для небольших
концентраций:
где а2 -содержание углеводородов в выходящем
газе, г/м3;- давление газа на выходе из скрубберов, 0,113 Мпа.;
МП - молекулярная масса поглотителя, МП = 170;сф
- упругость паров углеводородов над поступающим маслом, мм рт. ст. при t = 30
0C.
Для определения упругости углеводородов над
поступающим маслом принимаем следующий состав сырого фенола: фенола 73%,
толуола 13%, хинолина 10%, воды 4%.
Для расчета принимает условно состав сырого
фенола в обезфеноленом масле равным составу получаемого сырого фенола.
Упругость компонентов сырого фенола при 30 0С
равна, мм рт. ст.:
Таблица 2.3 - Упругость компонентов сырого
фенола
|
Фенол
|
125,6
|
|
Толуол
|
39,5
|
|
Хинолин
|
34
|
|
Вода
|
4,25
|
Средняя молекулярная масса сырого фенола
определяется по формуле:
где
,
,
,
-
процентные доли компонентов;
- молекулярные
массы компонентов.
Молярные доли компонентов в сыром феноле:
Тогда упругость углеводородов при 30 0С будет
равна:

Таким образом, максимальное содержание фенольных
углеводородов в поступающем масле равно:
Действительное содержание С должно быть менее
равновесного для создания движущей силы абсорбции вверху скруббера и равное:
Где n - коэффициент сдвига равновесия, равный
1,1 - 1,2. Принимаем n = 1,2
Максимальное содержание углеводородов в
выходящем из скруббера масле при условии равновесия внизу скруббера
определяется по уравнению:
Для сдвига равновесия внизу абсорбции принимаем
коэффициент сдвига равновесия n=1,5:
Минимальное количество поглотителя определяется
по формуле:
Действительное количество поглотителя составит:
Таким образом в поступающем масле содержится
фенольных углеводородов:
и в выходящем:
Следовательно поглощается маслом:
Материальный баланс скрубберов, кг/ч:
Таблица 2.4 - Материальный баланс скрубберов
|
Приход,
кг/ч
|
Расход,
кг/ч
|
|
Коксовый
газ
|
19908
|
19368
|
|
Поглотительное
масло
|
41967
|
41967
|
|
Углеводороды
|
94
|
634
|
61969
|
61969
|
2.2 Определение поверхности
абсорбции и размеров скрубберов
Для скруббера принимаем ПВ насадку со следующими
характеристиками:= 72 м2/м3, ε= 0,87 м3/м3,
ρ
= 158,4 кг/м3,
dэ = 0,048 м.
Критическая скорость газа определяется
уравнением:
где
Z - вязкость коксового газа при температуре 30 0С, Z = 0,0127 спз;э -
эквивалентный диаметр насадки, dэ = 0,048м;
- плотность
газа на выходе.
Плотность
газа на выходе:
Таким
образом критическая скорость газа равна:
Требуемое
живое сечение насадки:
где V - фактический объем газа на выходе из
скруббера,
отсюда:
Общее сечение насадки скруббера
м2.
Диаметр скруббера определяем по данной формуле:
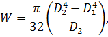
Поверхность абсорбции определяется по уравнению:
где G - количество поглощенных углеводородов,
кг/ч;
- средняя движущая
сила абсорбции, мм рт. ст;- коэффициент абсорбции, кг/(м2∙ч∙мм рт.
ст.).
Движущая сила абсорбции вверху скруббера:
где
-
парциальное давление углеводородов в выходящем газе,
- упругость
углеводородов над поступающим поглотителем,
Тогда
Движущая сила абсорбции внизу скруббера:
где
-
парциальное давление углеводородов в поступающем газе,
- упругость
углеводородов над выходящим поглотителем,
Тогда
Средняя движущая сила абсорбции:
Коэффициент абсорбции определяется по уравнению:
где
-
коэффициент массоотдачи при абсорбции через газовую пленку, определяется из
уравнения;
КЖ - коэффициент массоотдачи при абсорбции через
жидкостную пленку.
где Nu - число Нуссельта;Г - коэффициент
диффузии углеводородов в коксовом газе.
Число Нуссельта:
где Re - число Рейнольдса;- число Прандтля;
С - высота насадки.
Число Рейнольдса:
Число Прандтля определяем по формуле:
где
-
кинематическая вязкость газа при средних условиях, м2/сек,
Плотность газа на входе:
где
-
расход газа на входе, кг/ч;
- расход газа на
входе, м3/час.
на выходе:
где
-
расход газа на выходе, кг/ч;
- расход газа на
выходе, м3/час.
средняя плотность газа:
и при фактических условиях:
Тогда
Коэффициент диффузии углеводородов в коксовом
газе Dг, при нормальных условиях, определяем по формуле:
где Мг - молекулярная масса коксового газа,
тогда

Приводим коэффициент диффузии к фактическим
условиям по формуле:
так как Т = 300 0К, то
тогда
Таким образом:
и коэффициент массоотдачи через газовую пленку:
или
Коэффициент массоотдачи при абсорбции через
жидкостную пленку определяем по уравнению:
где Nu - число Нуссельта;ж - коэффициент
диффузии углеводородов в каменноугольном масле при 30 0 С.
где Re - число Рейнольдса;- число Прандтля;
С - высота насадки.
Число Рейнольдса для поглотителя:
где qж - плотность орошения, м3/(м∙ч)ж -
кинематическая вязкость поглотителя, м2/ч.
Величину qж определяем из уравнения:
где
-
количество поглотителя, кг/ч;
- плотность
поглотителя,
;- периметр
сбегания поглотителя в одном слое насадки, U = 1100 м,
Вязкость поглотительного масла при температуре
30 0С = 16,5 спз, что в пересчете на кинематическую вязкость составит:
Число Прандтля для поглотителя определяем по
уравнению:
Коэффициент диффузии углеводородов в
поглотительном каменноугольном масле, при 30 0С, Dж = 0,14∙10-6 м2/ч.
Тогда
Таким образом:
Отсюда коэффициент массоотдачи через жидкостную
пленку:
Для пересчета на движущую силу абсорбции в
миллиметрах ртутного столба необходима полученное значение разделить на
константу Равновесия Генри:
где Н - константа Генри (мм рт.ст. ∙
м3)/кг.
Так как упругость углеводородов над поступающим
маслом pж = Н∙х1, она равна 0,358 мм рт. ст., а величина х1- содержание
углеводородов в поступающем масле:
то константа Генри будет равна:

Аналогично получим из условий равновесия над
выходящим маслом:
Таким образом:
Коэффициент массопередачи тогда будет равен:
Необходимая поверхность абсорбции:
Что на 1 м3 сухого коксового газа:
Поверхность слоя насадки f = 750 м2. необходимое
количество слоев насадки:
Принимаем три скруббера по 36 слоев в каждом
скруббере.
3. РАСЧЕТ НА ПРОЧНОСТЬ И
УСТОЙЧИВОСТЬ
.1 Расчет толщины стенки обечайки и
днища
Расчет толщин стенок корпуса колонны, исходя из
внутреннего давления, производится по ГОСТ 14249-69.
Определение номинальной расчетной толщины стенки
S' обечаек. Эта величина зависит от конструкционного материала, величины
отношения определяющих параметров sдоп и Р с учетом
коэффициента ослабления обечайки в продольном направлении j
и от внутреннего диаметра обечайки:
,
где Р - расчетное давление на
обечайку, МПа;- внутренний диаметр обечайки, м;
j
- коэффициент сварного шва;
sдоп
- допускаемое напряжение, МПа.
Толщина стенки с прибавками:
=S' + C
где S - толщина стенки, м;
С - конструктивная прибавка:
С=С1+С2+Сз,
где C1 - прибавка на коррозию;
С2 - прибавка на минимальный допуск
проката, зависящая от толщины листа;
С3 - прибавка на округление
размеров. Определяется как разность между окончательно принятой стандартной
величиной и величиной, полученной при расчете.
Принимаем С = 0,0025.
;= S/ +C = 0,002 + 0,0025 = 0,0045
м.
Принимаем толщины стенок обечаек, S
= 0,01 м.
Проверяем принятые толщины стенок
обечаек и днищ на напряжение при гидравлическом испытании колонны в
горизонтальном положении:
;
МПа;
;
МПа, следовательно условие
выполняется, прочность при испытании обеспечена.
3.2 Расчет укрепления отверстий
Расчет отверстий в цилиндрических
обечайках работающих при статических нагрузках ограничивается следующими
условиями:
Отверстие наибольшего диаметра в обечайке d =
1,2 м.
Условия для данного расчета выполняются.
Наибольший допустимый диаметр в обечайке не
требующий дополнительного укрепления ( без учета привариваемого штуцера):
;
.
Так как единственный диаметр который
больше 1,062 это 1,2м, то расчет укреплять следует только его.
Укрепление выбираем одностороннее,
внешнее см. рис. 3.3
Рис. 3.1 - Расчетная схема для
конструкции укрепленных отверстий под штуцера в обечайке корпуса скруббера лист
усиления, 2 - обечайка, 3 - штуцер
Площадь сечения штуцера участвующего
в одностороннем укреплении:
где SШ = 0,02 м - толщина стенки
штуцера
- номинальная расчетная толщина
стенoк штуцера без прибавок при
- длина части штуцера участвующая в
укреплении
Площадь сечения укрепляющей накладки
где
- толщина укрепляющей накладки
(принимаем
=0,01м)
- ширина укрепляющей накладки
Условия применения данного расчета
Условие выполняется.
3.3 Расчет плоского днища
Конструктивно задаем толщину днища, δ
= 14 мм.
Определяем давление жидкости и газа на днище:
Суммарное усилие на днище:
где S - площадь днища, S = 15,89 м2;
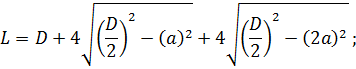
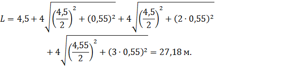
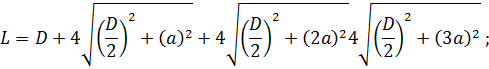
Выбираем расстояние между опорными балкамиa =
0,55 м.
Количество опорных балок:
Определим суммарную длину опорных балок:
Рис. 3.2 - Расчетная схема нагруженной балки
Принимаем допущение, что вся нагрузка
воспринимаеться только опорными балками:
Составим расчетную схему наиболее нагруженной
балки, центральной.
Строим эпюру изгибающих моментов:
Рис. 3.3 - Эпюра изгибающих моментов
при
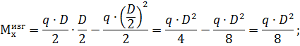
Условия прочности наиболее нагруженной балки:
Выбираем двутавр 30а, из стали Ст 35 с
термообработкой В35.
Неукрепленную часть днища, которая находится
между ребрами, будем считать как плоский элемент, напряжения в плоском элементе
определим по формуле:
где К - коэффициент
Условия выполняются.
3.4 Расчет опоры с решеткой под
насадку
Определяем давление насадки и жидкости на
тарелку:
;
Принимаем что жидкость равномерно распределении
по всей поверхности насадки, слоем в 1мм: следовательно, давление жидкости:
Выбираем расстояние между опорными балками a =
0,75 м.
Количество опорных балок:
Определим суммарную длину опорных балок:
Принимаем допущение, что вся нагрузка
воспринимается только опорными балками:
Составим расчетную схему наиболее нагруженной
балки, центральной
при
Условия прочности наиболее нагруженной балки:
Выбираем швеллер 14П, из стали 12Х18Н10Т.
Принимаем что пластины неукрепленной части
поверхности тарелки, ведут себя как балки, расчет ведем аналогично расчету
балок. Длина неукрепленной части l=0,75 м. ширина пластин S = 0,006 м. Общая
длина пластин L= 330м.Так как известно суммарное усилие на поверхность тарелки,
то определим нагрузку воспринимаемую пластинами:
изгибающий момент при х = l/2:
условие прочности наиболее нагруженной балки:
значение осевого момента сопротивления очень
мало, гораздо меньше, чем минимальные значения для швеллеров и двутавров, таких
же размеров, как и пластины, что означает что условие прочности выполняется.
3.5 Проверка прочности и
устойчивости колонны при монтаже
Т.к. при монтаже колонна может находиться на
открытой, подверженной действию ветра площадке, необходимо произвести расчет на
устойчивость с учетом ветровой нагрузки. Скоростной напор ветра q = 0,045 ∙
102Мн/м2
Момент инерции поперечного сечения колонны:
Определим период собственных колебаний. Для
этого разобьем аппарат на 7 частей по 6 м. высотой (Рис. 3.1).
Угол поворота опорного сечения:
где Сф = 50 ∙ 106 Н/м3 - коэффициент
неравномерного сжатия грунта;ф = момент инерции подошвы фундамента относительно
центральной оси.
где I - момент инерции опорного кольца
относительно центральной оси,
Для принятия расчетной формулы собственных
колебаний, необходимо знать отношение высоты аппарата к его диаметру:
Так как 9,3 < 15, то
Рис. 3.4 - Расчетная схема аппарата
где G -сила тяжести всего аппарата;
Н - высота аппарата;- момент инерции верхнего
поперечного сечения корпуса аппарата, относительно центральной оси;- модуль
нормальной упругости материала корпуса, при рабочей температуре;E = 1,98∙105МПа-
ускорение силы тяжести;
φ0- уголповорота
опорного сечения.
По графику из [1, ст. 687]находим что коэффициент
динамичности ε = 2,5. Поправочный
коэффициент к нормативному скоростному напору для участков аппарата высотой
больше 10 м. определяем по графику из [1, ст. 686]
Таблица 3.1 - Расчетный скоростной напор по
участкам
|
Высота
участка:
|
Скоростной
напор, МН ∙ м2
|
|
3
м
|
0,00045
|
|
9
м
|
0,00045
|
|
15
м
|
0,000495
|
|
21
м
|
0,00063
|
|
27
м
|
0,00065
|
|
33
м
|
0,00072
|
|
39
м
|
0,000765
|
Коэффициент пульсации скоростного напора
определяется по графику [1, ст. 687].
Таблица 3.2 - Соотношение коэффициента пульсации
к высоте сегментов
|
Высота
центра масс сегмента
|
Коэффициент
пульсации, mi
|
|
3
м
|
0,35
|
|
9
м
|
0,35
|
|
15
м
|
0,35
|
|
21
м
|
0,34
|
0,33
|
|
33
м
|
0,32
|
|
39
м
|
0,31
|
Коэффициент увеличения скоростного напора
определяем по формуле:
Таблица 3.3 - Значения коэффициента увеличения
скоростного напора
|
Высота
центра масс участка
|
Коэффициент
увеличения скоростного напора
|
|
3
м
|
1,875
|
|
9
м
|
1,875
|
|
15
м
|
1,875
|
|
21
м
|
1,85
|
|
27
м
|
1,825
|
|
33
м
|
1,8
|
|
39
м
|
1,775
|
Силу ответровой нагрузки, действующую на каждый
из участков аппарата, определяем по формуле:
Таблица 3.4 - Значение силы от ветровой
нагрузки, на каждом участке
|
Высота
участка
|
Pi,
Мн
|
|
3
м
|
0,0068
|
|
9
м
|
0,0136
|
|
15
м
|
0,015
|
|
21
м
|
0,0188
|
|
27
м
|
0,0192
|
|
33
м
|
0,021
|
|
39
м
|
0,022
|
Изгибающий момент от ветровой нагрузки на
аппарат относительно основания определяем по формуле:
Изгибающий момент равен сумме изгибающих
моментов на всех участках, т.е.
Таблица 3.5 - Значения изгибающего момента
|
Высота
участка
|
Mi
, МН ∙ м
|
|
3
м
|
0,02
|
|
9
м
|
0,12
|
|
15
м
|
0,22
|
|
21
м
|
0,4
|
|
27
м
|
0,52
|
|
33
м
|
0,69
|
|
39
м
|
0,84
|
|
|
2,81
|
Общий изгибающий момент равен М = 2,81 МН ∙
м.
.6 Расчет опорного кольца
Расчетная схема для расчета опорного кольца
представлена на рис. 3.2.
Принятые диаметры опорного кольца проверяем
расчетом:
Опорная площадь

Момент сопротивления площади опорного кольца:
Максимальное напряжение сжатия на опорной
поверхности кольца в период монтажа:
Материал постамента - армированный бетон марки
200 с величиной допускаемого напряжения σдоп=
10 МПа, условие прочности
0,66
10
Условие выполняется.
Рис. 3.5 - Расчетная схема опорного кольца
Максимальное напряжение на пороной поверхности в
период гидроиспытаний:
Расчетная толщина опорного кольца:

Принимаем толщину опорного кольца равной S =
0,02 м.
скруббер газ очистка абсорбция
3.7 Расчет фундаментных болтов
Расчетное напряжение на опорной поверхности
кольца
,
Отрицательный знак расчетного
напряжения указывает на то, что имеет место явление опрокидывания колонны.
Необходима установка фундаментных болтов для восприятия растягивающих напряжений.
Количество болтов принимаем равным Z
= 10штук.
Нагрузка, испытываемая одним болтом:
,
Расчетный внутренний диаметр резьбы
болта:
Окончательно принимаем болты М48 с dвн = 0,0425
м, в количестве 10 шт.
ЗАКЛЮЧЕНИЕ
В курсовом проекте разработан насадочный
обесфеноливающий скруббер, на производительность 40000 м3 газа в час, при
давлении 0,113 МПа.
Были произведены технологические расчеты,
рассчитан материальный баланс. Также были произведены прочностные расчеты, были
рассчитаны: толщина стенок обечаек и днища, расчет опорного кольца,
фундаментных болтов. Колонна проверена на устойчивость, условие устойчивости
выполняется, рассчитан период собственных колебаний, изгибающий момент в
основании колонны от ветровой нагрузки.
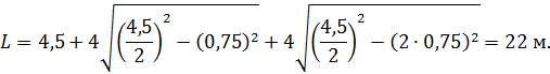
Параметры скруббера: высота H = 42 м, диаметр D
= 4,5 м, насадка протяжно-вытяжная 36 слоев, общей площадью 27000 м2.
СПИСОК ЛИТЕРАТУРЫ
1. Лащинский
А.А., Толчинский А.Р. Основы конструирования и расчета химической аппаратуры -
Справочник. Л.: Машиностроение. 1970 г
2. Лащинский
А.А. Конструирование сварных химических аппаратов - Справочник. Л.:
Машиностроение. 1981 г
. Дытнерский
Ю.И. Основные процессы и аппараты химической технологии - Пособие по
проектированию. М.: Химия, 1991. - 496 с.
. Коробчанский
И.Е., Кузнецов М. Д. Расчеты аппаратуры для улавливания химических продуктов
коксования. М.: Металлургия. 1972, 2-е изд., 296 с.
. Анурьев
В.И. Справочник конструктора-машиностроителя: в 3-х т.: Т. 2. - М.:
Машиностроение, 2001. - 912с.
. Иоффе
И.Л. Проектирование процессов и аппаратов химической технологии: учебник для
техникумов. - Л.: Химия, 1991. - 352 с.
. Никалаева
Г.И. Массообменные процессы: Учебное пособие. - Улан-Удэ: изд-во ВСГТУ, 2005. -
238 с.