Метод координат в школьном курсе геометрии
Содержание
Введение
Глава 1. Теоретические основы
использования метода координат в основной школе
.1 Анализ школьных учебников
.2 История возникновения координат
на плоскости
.3 Суть метода координат
Глава 2. Методологические основы
применения метода координат для решения задач школьного курса геометрии
.1 Этапы решения задач методом
координат
.2 Два вида задач, решаемых методом
координат
.3 Умения, необходимые для решения
задач методом координат
.4 Контрольная работа по теме «Метод
координат». 9 класс
.5 Пробные конспекты уроков
Заключение
Введение
Большую роль в развитии геометрии сыграло
применение алгебры к изучению свойств геометрических фигур, разросшееся в
самостоятельную науку - аналитическую геометрию. Возникновение аналитической
геометрии связано с открытием метода координат, являющегося основным ее
методом.
Характерной особенностью метода координат
является определение геометрических фигур аналитическими условиями, что
позволяет производить геометрические исследования и решать геометрические задачи
средствами алгебры.
Метод координат переносит в геометрию важную
особенность алгебры - единообразие способов решения задач.
Главную ценность метода координат составляет
перенесение в геометрию свойственных алгебре и поэтому обладающих большой
общностью способов решения задач. Еще одно достоинство метода координат состоит
в том, что его применение избавляет от необходимости прибегать к наглядному
представлению сложных пространственных конфигураций.
Выделим следующие цели изучения метода координат
в школьном курсе геометрии:
) развить умение применять алгебраический
аппарат при решении геометрических задач, на основе этого показать тесную связь
алгебры и геометрии
) развивать вычислительную и графическую
культуру учащихся
) показать учащимся эффективный способ
решения задач и доказательства теорем.
Изучение метода координат и обучение его
применению в школе делится на несколько этапов.
В 5-6 классах вводится основной понятийный
аппарат. На первом этапе учащиеся знакомятся с координатным лучом ( при изучении
отрицательных чисел дополняется до координатной прямой, после введения
рациональных чисел - о координатной плоскости ).
На втором этапе учащимся даются уравнения прямой
и окружности. Эти понятия изучаются и в алгебре, и в геометрии, но с разной
содержательной целью, поэтому ученики еще не видят связи между ними.
В курсе алгебры 7 класса путем построения ряда
точек, координаты которых вычисляются по аналитическому заданию функции,
вводятся графики основных функций. В геометрии - уравнения прямой и окружности
вводятся на основе геометрических свойств.
В курсе геометрии 9 класса учащиеся начинают
применять сам метод координат для решения задач.
При решении задач координатным методом необходим
навык алгебраических вычислений и не нужна высокая степень сообразительности, а
это в свою очередь положительно сказывается на результате. Поэтому необходимо
изучать метод координат, позволяющий учащимся научиться решать разнообразные
задачи координатным методом. Этим и определяется актуальность выбранной темы
«Метод координат в школьном курсе геометрии».
Область исследования - школьный курс геометрии.
Объект исследования - методика изучения метода
координат.
Предмет исследования - процесс изучения метода
координат.
Проблема исследования - разработка методики
решения задач методом координат
Методы исследования - изучение литературы,
сравнение, обобщение, аналогия, анализ и классификация информации
Цель исследования - показать эффективность
метода координат при решении задач, разработать методику использования метода
координат.
Цель исследования определяют следующие задачи:
. Анализ вариантов изучения метода
координат в разных учебниках, а также содержание программы по математике по
данной теме.
. Описание метода координат и способов
его применения на примерах конкретных задач.
. Выделение умений, необходимых для
успешного овладения методом координат; подбор задач, формирующих данные умения.
. Разработка контрольной работы по теме
«Метод координат» для 9 класса.
. Составление пробных конспектов уроков
по темам: «Координаты вектора», «Уравнение прямой».
Глава 1. Теоретические основы использования
метода координат в основной школе
.1 Анализ школьных учебников
координата плоскость решение задача
В школьном курсе геометрии присутствуют
различные методы решения задач и доказательства теорем, такие как векторный
метод, метод геометрических преобразований, метод координат. Все эти методы
тесно связаны. В разных учебниках тот или иной метод может быть доминирующим.
Например, в учебнике Погорелова А.В. «Геометрия для 7-11 классов средней школы»
метод координат не является доминирующим.
В школьной программе по математике методу
координат уделяется мало внимания. Программа не подразумевает изучение метода
координат как метода решения задач и ставит целью умение использовать
координаты для решения несложных задач, а не умение применять метод координат
для доказательства теорем и решения нестандартных и довольно сложных задач.
По программе по математике для средней
общеобразовательной школы координаты появляются в 5 классе. Учащиеся знакомятся
с координатами точки и изображением числа на прямой. В разных учебниках эти
понятия вводятся по-разному. В учебнике по математике для 5 класса средней
школы Виленкина в первой главе рассматривается координатный луч, затем, с его
помощью, сравниваются натуральные и дробные числа. С понятием координатной
прямой Виленкин знакомит учащихся в 6 классе. А вот в учебнике Дорофеева для 5
класса определение «координатный луч» не используется. Автор в начале 5 класса
вводит понятие координатной прямой, еще до изучения отрицательных чисел, но
учащиеся работают только с правой частью координатной прямой, которая и
представляет собой координатный луч. В этом случае у учащихся могут возникнуть
вопросы о другой части этой координатной прямой, что не совсем удобно. Так, в
учебниках Виленкина содержится больше заданий, связанных с определением
координатного луча, координатной прямой. Так же автор чаще обращается к
координатному лучу для введения других понятий, чем Дорофеев.
В программе по математике для средней школы в геометрии
координаты изучаются в следующем объеме: координатная плоскость, формула
расстояния между двумя точками плоскости, уравнение прямой и окружности.
В учебнике Погорелова «Геометрия для 7-11
классов средней школы» координаты занимают одно из основных мест. Они вводятся
в 8 классе. Здесь, после рассмотрения основных понятий изучаются такие вопросы,
как пересечение двух окружностей, пересечение прямой и окружности, определение
синуса, косинуса и тангенса любого угла. Это первые приложения метода координат,
с которыми ученики знакомятся в школе. На изучение данной темы в этом учебнике
отводится 19 часов.
В учебнике Атанасяна «Геометрия для 7-9 классов
средней школы» метод координат выделен в отдельную главу. В ней изучаются
координаты вектора, уравнение прямой и окружности, решаются простейшие задачи в
координатах. В этом учебнике метод координат дается как метод изучения
геометрических фигур с помощью средств алгебры. Целью автора является не только
обучение школьников применять метод координат к задачам на построение фигур по
их уравнению, но и к задачам на доказательство и для вывода геометрических
формул. На изучение данной темы в этом учебнике отводится 18 часов.
В учебнике Шарыгина «Геометрия 7-9 кл» уделяется
больше внимания методам решения геометрических задач по сравнению с
традиционными учебниками. Метод координат - предпоследняя тема 9 класса. При
изучении этой темы ученики знакомятся с декартовыми координатами на плоскости,
рассматривают уравнения прямой и окружности. Отметим, что в этом учебнике
небольшой теоретический материал по данной теме. В отличие от учебников
Атанасяна и Погорелова, формула середины отрезка у Шарыгина не рассматривается.
Шарыгин не дает как такового понятия фигуры, но рассматривает уравнения
«плоских линий», которые нужны для решения задач. После изучения векторов
рассматривается параграф «Координатный метод». Учащимся предлагается ряд задач
на данную тему. Так же приведено два примера, в одном из которых
рассматривается окружность Аполлония, а в другом обращается внимание на выбор
системы координат. Это довольно сложные задачи, которые в основном связаны с
нахождением геометрического места точек.
.2 История возникновения координат на
плоскости
История возникновения координат и системы
координат начинается очень давно. Первоначально идея метода координат возникла
еще в древнем мире в связи с потребностями астрономии, географии, живописи.
Древнегреческого ученого Анаксимандра Милетского считают составителем первой
географической карты. Он четко описывал широту и долготу места, используя
прямоугольные проекции.
Более чем за 100 лет до н.э греческий ученый
Гиппарх предложил опаясать на карте земной шар параллелями и меридианами и
ввести теперь хорошо известные географические координаты: широту и долготу и
обозначить их числами.
Идея изображать числа в виде точек, а точкам
давать числовые обозначения зародилась в далекой древности. Первоначальное
применение координат связано с астрономией и географией, с потребностью
определять положение светил на небе и определенных пунктов на поверхности
Земли, при составлении календаря, звездных и географических карт. Следы
применения идеи прямоугольных координат в виде квадратной сетки (палетки)
изображены на стене одной из погребальных камер Древнего Египта.
Основная заслуга в создании современного метода
координат принадлежит французскому математику Рене Декарту. До наших времен
дошла такая история, которая подтолкнула его к открытию. Занимая в театре
места, согласно купленным билетам, мы даже не подозреваем, кто и когда
предложил ставший обычным в нашей жизни метод нумерации кресел по рядам и
местам. Оказывается, эта идея осенила знаменитого философа, математика и
естествоиспытателя Рене Декарта (1595-1650) - того самого, чьим именем названы
прямоугольные координаты. Посещая парижские театры, он не уставал удивляться
путанице, перебранкам, а подчас и вызовам на дуэль, вызываемыми отсутствием
элементарного порядка распределения публики в зрительном зале. Предложенная им
система нумерации, в которой каждое место получало номер ряда и порядковый номер
от края, сразу сняла все поводы для раздоров и произвела настоящий фурор в
парижском высшем обществе.
Научное описание прямоугольной системы координат
Рене Декарт впервые сделал в своей работе «Рассуждение о методе» в 1637 году.
Поэтому прямоугольную систему координат называют также - Декартова система
координат. Кроме того, в своей работе «Геометрия» (1637), открывшей
взаимопроникновение алгебры и геометрии, Декарт ввел впервые понятия переменной
величины и функции. «Геометрия» оказала огромное влияние на развитие
математики. В декартовой системе координат получили реальное истолкование
отрицательные числа.
Вклад в развитие координатного метода внес также
Пьер Ферма, однако его работы были впервые опубликованы уже после его смерти.
Декарт и Ферма применяли координатный метод только на плоскости. Координатный
метод для трехмерного пространства впервые применил Леонард Эйлер уже в 18
веке.
.3 Суть метода координат
Суть метода координат заключается в следующем:
задав на плоскости систему координат, мы каждую
точку плоскости можем охарактеризовать парой действительных чисел, ее
координатами, а геометрические фигуры задавать аналитическими условиями (
уравнением, неравенством, системой уравнений или неравенств). Это позволяет
переводить геометрические задачи на алгебраический язык.
Основным понятием в школьном курсе геометрии
является формирование понятия уравнения фигуры на плоскости.
Под уравнением фигуры на плоскости относительно
заданной системы координат понимают уравнение с двумя переменными x
и y, которые
удовлетворяют двум условиям:
) координаты любой точки, принадлежащей
данной фигуре, уравнению удовлетворяют
) координаты любой точки, не
принадлежащей фигуре, уравнению не удовлетворяют.
Для примера выведем уравнение
окружности радиуса 
с центром 
в заданной прямоугольной системе
координат.
Пусть точка 
имеет координаты 
. Расстояние от произвольной точки 
до точки 
вычисляется по формуле:

.
Если точка 
лежит на данной окружности, то 
или 
т.е. координаты точки 
удовлетворяют уравнению 
Если же точка 
не лежит на данной окружности, то 
и, значит, координаты точки 
не удовлетворяют данному уравнению.
Следовательно, в прямоугольной системе координат уравнение окружности радиуса 
с центром в точке 
имеет вид: 

) по геометрическим свойствам данной
фигуры найти ее уравнение
) обратная задача: по заданному
уравнению фигуры исследовать ее геометрические свойства.
Задачи на отыскание множества точек
плоскости реализуют обе цели изучения метода координат, которые предлагает
автор.
В школьном курсе метод координат
дает возможность строить доказательства и решать задачи более рационально, чем
исключительно геометрическими способами. При решении задач методом координат
может возникнуть одна геометрическая сложность. Одну и ту же задачу можно
аналитически по-разному представить в зависимости от выбора системы координат.
Выбрать более подходящую систему координат позволит лишь достаточный опыт.
Глава 2. Методологические основы
применения метода координат для решения задач школьного курса геометрии
.1 Этапы решения задач методом
координат
Чтобы решать задачи как и первого,
так и второго типа методом координат, необходимо выполнение определенного
алгоритма, состоящего из трех этапов.
Алгоритм решения задач 1 типа (задач
на составление уравнения данной фигуры)
. Выявление характеристического
свойства данной фигуры, т.е. такого ее геометрического свойства, которым
обладают те и только те точки плоскости, которые фигуре принадлежат.
. Выбор на плоскости прямоугольной
системы координат.
. Запись характеристического
свойства фигуры на языке координат.
Алгоритм решения задач 2 типа
(геометрические задачи, решаемые аналитическим методом)
. Перевод задачи на аналитический
язык.
. Преобразование аналитического
выражения.
. Определение по виду уравнения вид
фигуры.
.2 Два вида задач, решаемых методом
координат
В учебнике Атанасяна при изучении
метода координат выделяется 2 основных типа задач:
1) Задачи на отыскание множества точек
плоскости, удовлетворяющих заданному условию.
) Геометрические задачи, решаемые
аналитическим методом.
Для разработки методики формирования умения
применять координатный метод важно выявить требования, которые предъявляет
логическая структура решения задач мышлению решающего. Координатный метод
предусматривает наличие у обучающихся умений и навыков, способствующих
применению данного метода на практике. Проанализируем решения некоторых задач.
В процессе этого анализа выделим умения, являющиеся компонентами умения
использовать координатный метод при решении задач. Знание компонентов этого
умения позволит осуществить его поэлементное формирование.
Задачи, относящиеся к 1 типу.
Задача 1. Даны две точки A и B. Найдите
множество всех точек M, для каждой из которых 
.
Решение:
) Введем прямоугольную систему
координат с началом в точке О(0;0) так, чтобы она была серединой отрезка 
(умение оптимально выбирать систему
координат)
) Тогда точки A и B имеют
следующие координаты 
, 
(умение определять координаты
заданных точек)
) Для произвольной точки 
имеем:
(умение находить расстояние между
двумя точками)
) Если точка принадлежит искомому
множеству, то

.
Запишем это условие в координатах:
(умение переводить геометрическую
задачу на аналитический язык)
) Раскрыв скобки, получаем 
.
(умение выполнять алгебраические
преобразования)
) Таким образом, искомое множество -
прямая, параллельная оси 
. (эта прямая перпендикулярна к
прямой 
и пересекает продолжение луча 
в точке 
, причем 
(умение видеть за уравнением
конкретный геометрический образ).
Задача №2. Даны две точки 
Найдите множество всех точек, для
каждой из которых расстояние от точки 
в два раза больше расстояния от
точки B.
Решение: 1) Введем прямоугольную
систему координат с началом в точке A.
(умение оптимально выбирать систему
координат)
) Тогда точки A и B имеют
следующие
координаты:
(умение определять координаты
заданных точек).
) Найдем расстояние от произвольной
точки 
до точек 
(умение находить расстояние между
двумя точками, заданными координатами)
) Если точка M принадлежит
искомому множеству, то 
или 
Поэтому ее координаты удовлетворяют
уравнению:

(умение выполнять алгебраические
преобразования)
Если точка M не
принадлежит искомому множеству, то ее координаты не удовлетворяют этому
уравнению => уравнение 
и есть уравнение искомого множества
точек в выбранной системе координат.
Раскрываем скобки, группируем
слагаемые, получаем:
(умение выполнять алгебраические
преобразования)
Это уравнение является уравнением
окружности радиуса 
с центром в точке с центром в точке

(умение видеть за уравнением
конкретный геометрический образ).
) Аналогично можно доказать, что
множеством всех точек M, удовлетворяющих условию 
где k - данное
положительное число, не равное единице, является окружность радиуса 
с центром в точке 
Это окружности, соответствующие
различным значениям 
называют окружностями Аполлония
(т.к. они рассматривались древнегреческим математиком Аполлонием в его трактате
«О кругах» во 2 веке до н.э.)
Если 
то задача сводится к задаче о
нахождении множества всех точек, равноудаленных от точек 
Таким множеством является
серединный перпендикуляр к отрезку AB.
Задача №3. Даны две точки A и B. Найдите
множество всех точек M, для каждой из которых: 
где k - данное
число.
Решение:
) Пусть AB=2a, O - середина
отрезка AB.
(умение оптимально выбирать систему
координат)
) Тогда точки имеют следующие
координаты: A(-a;0), B(a;0). (умение
определять координаты заданных точек).
) Для произвольной точки M(x,y) имеем:

(умение находить расстояние между
двумя точками, заданными координатами).
) Запишем заданное условие 
в координатах.
(умение переводить геометрический
язык на аналитический).
) Раскрывая скобки, получаем:

(умение выполнять алгебраические
преобразования).
Так как k по условию
любое, то следует рассмотреть 3 случая (в зависимости от числителя):
. 
, следовательно, искомое множество -
окружность радиуса 
с центром в точке О (середина
отрезка AB)
. 
, следовательно, вся правая часть
уравнения равна 0, следовательно, уравнению удовлетворяют только координаты
точки О(0;0). Таким образом, искомое множество точек состоит из одной точки О -
середины отрезка AB)
. 
, следовательно, правая часть
уравнения отрицательная, следовательно, координаты любой точки не удовлетворяют
уравнению.
(умение выполнять алгебраические
преобразования; умение видеть за уравнением конкретный геометрический образ).
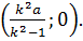
Задача №4. Даны две точки A и B. Найдите
множество всех точек M, для каждой из которых: а) 
; б) 
.
Решение:
а) 1. Введем прямоугольную систему
координат с началом в точке A(0;0).
(умение оптимально выбирать систему
координат)
. В выбранной системе координат:
B(a,0), a=AB.
(умение определять координаты
заданных
точек)
. Возьмем произвольную точку M(x,y).
(умение находить расстояние между
точками, заданными координатами)
. Запишем в координатах условие 
Это окружность радиуса 2a (2AB) с центром
в точке 
(умение выполнять преобразование
алгебраических выражений; умение видеть за уравнением конкретный геометрический
образ)
б) 1. Введем прямоугольную систему
координат с началом в точке A(0;0). (умение оптимально выбирать
систему координат)
. В выбранной системе координат:
B(a,0), a=AB.
(умение определять координаты
заданных точек)
. Возьмем произвольную точку M(x,y).
(умение находить расстояние между
точками, заданными координатами)
. Запишем в координатах условие 
.
Это окружность радиуса 
с центром в точке 
(умение выполнять преобразование
алгебраических выражений; умение видеть за уравнением конкретный геометрический
образ)
В данной задаче учащиеся должны уметь
преобразовывать алгебраические выражения, выделяя полный квадрат, чтобы
получить уравнение окружности. В учебнике Атанасяна для 7-9 классов автор
предлагает специальную задачу, чтобы отработать это умение. Рассмотрим ее.
Задача №5. Выясните, какие из данных уравнений
являются уравнениями окружности. Найдите координаты центра и радиус каждой
окружности:
а) 
б) 
в) 
г) 
д) 
Решение:
а) 
Это уравнение является уравнением
окружности, центр которой имеет координаты 
, а радиус равен 5.
б) 
Это уравнение является уравнением
окружности, центр которой имеет координаты 
, а радиус равен 1.
в) 
Уравнению не удовлетворяют
координаты никакой точки, так как сумма двух квадратов не может быть
отрицательным числом. Следовательно, это не уравнение окружности.
г) 
Это уравнение является уравнением
окружности, центр которой имеет координаты 
, а радиус равен 5.
д) 
Это уравнение является уравнением
окружности, центр которой имеет координаты 
, а радиус равен 2.
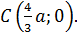
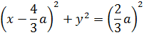
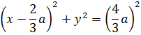
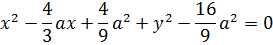
Задача №6. Дан ромб 
диагонали которого равны 
и 
Найдите множество всех точек 
для каждой из которых 
Решение: 1) Введем прямоугольную
систему координат 
так, чтобы диагонали ромба лежали
на осях координат.
(умение оптимально выбирать систему
координат)
) В данной систему координат вершины
ромба будут
иметь следующие координаты:

(умение определять координаты
заданных точек)
) Пусть 
произвольная точка.
Найдем расстояния от этой точки до
каждой вершины ромба.
(умение находить расстояние между
двумя точками, заданными координатами)
) Запишем условие 
в координатах:
( умение переводить задачу с
геометрического на аналитический язык)
Раскрывая скобки, получаем: 
( умение выполнять алгебраические
преобразования)
Это уравнение прямой, проходящей
через начало координат, т.е. через точку пересечения диагоналей ромба.
( умение видеть за уравнением
конкретный геометрический образ)
Задачи, относящиеся ко 2 типу.
Задача №1. Две стороны треугольника
равны 17 см и 28 см, а высота, проведенная к большей стороне, равна 15 см.
Найдите медианы треугольника.
Решение: Пусть в 
.
) Введем прямоугольную систему
координат (возможны 2 случая расположения):

( умение оптимально выбирать систему координат )
2) Тогда вершины 
имеют следующие координаты:
( умение определять координаты
заданных точек )
а) если точка 
б) 
лежит на продолжении 
) Используя формулу расстояния между
двумя точками, получаем:





Таким образом, точка 
имеет координаты:
а) (8;15); б) (-8;15)
(умение находить расстояние между
двумя точками; умение выполнять алгебраические преобразования)
) Пусть точки 
- середины сторон 
В случае а) получаем:
В случае б):
( умение находить координаты
середины отрезка)
) Найдем медианы 
по формуле расстояния между двумя
точками:
В случае а):
В случае б):
(умение находить расстояние между
двумя точками, заданными координатами; умение выполнять алгебраические
преобразования).
Задача №2. Медиана, проведенная к
основанию равнобедренного треугольника, равна 160 см, а основание треугольника
равно 80 см. Найдите две другие медианы.
Решение. Пусть в 
) Введем прямоугольную систему
координат с началом в точке 
(умение оптимально выбирать систему
координат)
) Тогда вершины 
имеют следующие координаты: 
(умение определять координаты
заданных точек).
) Обозначим середины сторон 
через 
Найдем их координаты.
(умение находить координаты середины
отрезка)
) Найдем медианы 
по формуле нахождения расстояния
между двумя точками:
(умение находить расстояние между
двумя точками, заданными координатами)
Решение: Пусть 
) Введем прямоугольную систему
координат так, чтобы основание 
лежало на оси абсцисс; точка 
середина 
Тогда 
делит 
пополам.
(умение оптимально выбирать систему
координат)
) Тогда вершины трапеции имеют
следующие
координаты:

(умение определять координаты
заданных точек).
) Найдем 
по формуле нахождения расстояния
между двумя точками:

=> 

что и требовалось доказать.
(умение находить расстояние между
двумя точками, заданными координатами).
) Докажем обратное утверждение: если
диагонали трапеции равны, то трапеция - равнобедреннная.
Пусть в трапеции 
с основаниями 
диагонали равны: 
и пусть 
Введем прямоугольную систему
координат так, чтобы основание 
лежало на оси абсцисс; точка 
середина 
(умение оптимально выбирать систему
координат).
Тогда вершины 
имеют координаты: 
а вершины


причем 
высота трапеции.
(умение определять координаты
заданных точек).
) По условию 
т.е

=> 
Разложим на множители: 
Так как 
первый сомножитель положительный
=> 
(умение переводить задачу с
геометрического на аналитический язык; умение находить расстояние между двумя
точками, заданными координатами; умение выполнять алгебраические
преобразования).
) Найдем 
по формуле нахождения расстояния
между двумя точками, заданными координатами, используя координаты 

; => 
=> трапеция 
равнобедренная

что и требовалось доказать.
Задача №4. Докажите, что если
диагонали параллелограмма равны, то параллелограмм является прямоугольником.
Решение: Пусть в параллелограмме ABCD диагонали
равны: 
и пусть 
) Введем прямоугольную систему
координат с началом в точке 
(умение оптимально выбирать систему
координат)
) Тогда вершины параллелограмма
имеют следующие координаты:

где b,c - некоторые
числа.
(умение определять координаты
заданных точек)
) Найдем AC и BD по формуле
нахождения расстояния между двумя точками:
(умение находить расстояние между
двумя точками, заданными координатами)
) Так как по условию 
=> 
Запишем данное условие в
координатах:
(умение переводить задачу с
геометрического на аналитический язык; умение находить расстояние между двумя точками,
заданными координатами)
) Раскрывая скобки, получаем 
а так как 
(умение выполнять алгебраические
преобразования)
Итак, вершина B имеет
координаты 
т.е. вершина B лежит на
оси ординат => 
параллелограмм ABCD -
прямоугольник.
.3 Умения, необходимые для решения
задач методом координат
Проанализировав решения нескольких
задач, мы можем выделить умения, которыми должны обладать учащиеся, чтобы
применять метод координат для решения задач.
Итак, компонентами умения применять
координатный метод в конкретных ситуациях являются следующие умения:
) умение оптимально выбирать систему
координат
) умение определять координаты заданных
точек
) умение строить точку по заданным
координатам
) умение переводить задачу с
геометрического на аналитический язык и наоборот
) умение вычислять расстояние между
двумя точками, заданными координатами
) умение определять координаты
середины отрезка
) умение выполнять преобразования
алгебраических выражений (раскрытие скобок, выделение полного квадрата)
) умение составлять уравнения
заданных фигур
) умение видеть за уравнением
конкретный геометрический образ.
Так же можно выделить некоторые
формулы, которые должны знать учащиеся, чтобы решать задачи с помощью метода
координат:
Длина вектора

- координаты
Координаты середины отрезка 



- начало отрезка
|
 - конец отрезка
|
|
|
Расстояние между двумя точками 
и 



-
Уравнение окружности
r - радиус
окружности; 
- координаты
Уравнение прямой

- координаты
.4 Контрольная работа по теме «Метод координат».
9 класс
вариант.
Задача №1. Окружность задана
уравнением 
. Найдите координаты центра этой
окружности и ее радиус
. Проходит ли эта окружность через
начало координат?
Задача №2. Точка 
лежит на положительной полуоси 
, а точка 
- на положительной полуоси 
. Найдите координаты вершин трапеции

если 
. Каковы координаты середин
диагоналей трапеции?
. Чему равно расстояние между этими
серединами?
Задача №3. Найдите множество точек,
удаленных от окружности

на расстояние, равное 3.
Задача №4. В треугольнике 
проведена высота 
Найдите длину медианы, проведенной
из вершины 
если 
Задача №5. Треугольник задан
координатами своих вершин: 
и 
Напишите уравнение прямой,
содержащей среднюю линию треугольника, которая параллельна стороне 
вариант.
Задача №1. Окружность задана
уравнением 
. Найдите координаты центра этой
окружности и ее радиус.
. Пересекает ли эта окружность ось 
в точке 
?
Задача №2. Точка 
лежит на положительной полуоси 
, а точка 
- на отрицательной полуоси 
. Найдите координаты вершин трапеции

если 

. Каковы координаты середин диагоналей
трапеции?
. Чему равно расстояние между этими
серединами?
Задача №3. Даны две точки 
и 
Найдите множество всех таких точек 
для которых 
Задача №4. В треугольнике 
с углом 
равным 
высота 
делит сторону 
на отрезки, длины которых 4 и 6,
считая от вершины 
Найдите длину медианы, проведенной
из вершины 
Задача №5. В треугольнике 
- средняя линия треугольника,
параллельная 
и 
Напишите уравнение прямой,
содержащей сторону 
вариант.
Задача №1. Окружность задана
уравнением 
Докажите, что отрезок 
где 
и 
является диаметром этой окружности.
Задача №2. На рисунке Луч составляет
с положительным направлением оси угол в Точка удалена от оси на расстояние,
равное 3.
. Найдите координаты точек 
и 
. Найдите длину отрезка 
. Найдите длину медианы треугольника

проведенной из вершины 
Задача №3. Даны точки 
и 
Найдите множество таких точек 
, что 
Задача №4. В треугольнике 
Найдите медиану, проведенную из
вершины 
Задача №5. Даны три последовательные
вершины параллелограмма 

и 
Напишите уравнение прямой 
вариант.
Задача №1. Окружность задана
уравнением 
Является ли отрезок 
где 
и 
диаметром этой окружности?
Задача №2. На рисунке 
Луч 
составляет с отрицательным
направлением оси 
угол в 
, а точка 
удалена от оси 
на расстояние, равное 8.
. Найдите координаты точек 
и 
. Найдите длину отрезка 
. Найдите длину медианы треугольника

проведенную из вершины 
Задача №3. Даны точки 
и 
Найдите множество точек 
таких, что 
Задача №4. В треугольнике 
Найдите медиану, проведенную из
вершины 
Задача №5. Даны три последовательных
вершины параллелограмма 

и 
Напишите уравнение прямой 
Ответы к контрольной работе по теме
«Метод координат»
вариант.
Задача №1. 1. 
. да, проходит
Задача №2. 1. 
. 
. 1
Задача №3. 
Задача №4. 
Задача №5. 
вариант.
Задача №1. 1. 
. да, пересекает
Задача №2. 1. 
. 
. 3
Задача №3. прямая 
Задача №4. 
Задача №5. 
вариант.
Задача №1. Доказательство
Задача №2. 1. 
. 
. 3,5
Задача №4. 
Задача №5. 
вариант.
Задача №1. Да, является
Задача №2. 1. 
. 
. 1
Задача №3. прямая 
Задача №4. 
Задача №5. 
Заключение
В ходе работы я использовала
учебники разных авторов, методические пособия, дополнительные материалы.
Результатами исследования по данной
теме дипломной работы являются:
) анализ школьных учебников по
геометрии.
) подробный разбор задач, решаемых
методом координат.
) выделение умений и навыков,
необходимых для решения задач методом координат
) составление алгоритма решения
задач методом координат
) составление конспектов уроков по
темам: «Уравнение прямой» и «Координаты вектора»
В результате проведенной работы был
изучен метод координат и разработана контрольная работа по теме: «Метод
координат».
Цель работы достигнута, задачи
выполнены.