Аудит процедур банкротства
1. Анализ финансового состояния ОАО «Тюменские
Телефонные Сети»
1.1 Краткая характеристика предприятия ОАО
«Тюменские Телефонные Сети»
Открытое акционерное общество «Тюменские телефонные сети»
имеет сокращенное наименование ОАО «ТТС» и действует с 26 сентября 2003 г.
Основным видом экономической деятельности предприятия
является деятельность в области телефонной связи. ОАО «ТТС» предоставляет
услуги связи физическим и юридическим лицам на территории пос. Метелево,
Бабарынка, микрорайона Тюменский, а так же центра г. Тюмени.
Рис. 1.1 - Доля рынка местной связи г. Тюмени принадлежащей
ОАО «ТТС»
На рынке России действуют традиционные операторы связи,
большая часть которых внесена в реестр субъектов естественных монополий. Рынок
телекоммуникационных услуг г. Тюмени также характеризуется присутствием
традиционного оператора - Тюменский филиал электросвязи ОАО «Уралсвязьинформ»,
занимающий долю рынка, равную 93%. К новым операторам связи можно отнести около
45 компаний, из которых ОАО «ТТС» занимает 5 место и имеет долю рынка, равную
1,2% из оставшихся 7% ОАО «Уралсвязьинформ». Наглядно продемонстрированное
распределение доли рынка местной связи г. Тюмени на рис. 1.1.
Основные операторы с которыми сотрудничает ОАО «Тюменские телефонные
сети»: ОАО «Уралсвязьинформ», ООО «СЦС «Совинтел», ОАО «Ростелеком», ОАО «МТТ»
и др.
На начало 2010 г. работает 19 сотрудников, в том числе 15
человек осуществляют деятельность в организации на постоянной основе, 4
человека - по совместительству. Организационная структура предприятия
представлена на рис. 1.2.
Рис. 1.2 - Организационная структура ОАО «Тюменские
телефонные сети»
Ведение бухгалтерского и налогового учета передано с апреля
2008 г. в ООО «Управляющую компанию «ПАРТИКОМ».
Всего используется: 3028 абонентских номеров - юридические
лица (1287 номеров) и физические лица (1741 номер).
Общество осуществляет отдельные виды деятельности на основе
лицензий, получаемых в установленном порядке:
. Лицензия на предоставление услуг местной телефонной
связи (в г. Тюмени по коду 3452) до 30.12.2013 г.
. Лицензия на предоставление в аренду каналов связи до
30.12.2013 г.
. Лицензия на предоставление услуг передачи данных, за
исключением услуг связи по передаче данных для целей передачи голосовой
информации до 30.12.2013 г.
. Лицензия на предоставление телематических услуги
связи (факс, голосовая почта) до 30.12.2011 г.
. Лицензия на осуществление деятельности в области
оказания услуг внутризоновой телефонной связи (зона по коду 345) до 05.03.2012
г.
Главная проблема деятельности ОАО «Тюменские телефонные сети»
состоит в небольшой доле охваты рынка телефонных услуг в городе, что
способствует получению небольшой выручки. Необходим захват большей ниши рынка,
устойчивость развития для поддержания конкурентоспособности. Но это невозможно
из-за снижения темпов роста рынка в связи с его перенасыщением.
1.2 Анализ динамики и структуры бухгалтерского
баланса
Важнейшим документом финансовой отчетности
является баланс предприятия - форма №1. Бухгалтерский баланс характеризует в
денежной оценке финансовое положение организации по состоянию на отчетную дату.
По балансу характеризуется состояние материальных запасов, расчетов, наличие
денежных средств, инвестиций. Анализ активов, обязательств и капитала организации
проводится по бухгалтерскому балансу с помощью составления сравнительного
аналитического баланса. [31].
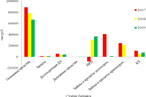
Динамика статей баланса за 2007-2009 гг. представлена на рис.
1.3.
Рис. 1.3 - Динамика статей баланса за 2007-2009 гг.
Для более полной картины рассмотрим структуру активов и
пассивов отдельно и представим на рис. 1.4 - 1.6.
Рис. 1.4 - Структура активов и пассивов
баланса за 2007 г.
Рис. 1.5 - Структура активов и пассивов
баланса за 2008 г.
Рис. 1.6 - Структура активов и пассивов
баланса за 2009 г.
1.3 Анализ ликвидности и платежеспособности
Задача анализа ликвидности баланса ОАО «Тюменские Телефонные
Сети» возникает в связи с необходимостью давать оценку платежеспособности
организации, т.е. ее способности своевременно и полностью рассчитываться по
всем своим обязательствам.
Ликвидность баланса определяется как степень
покрытия обязательств организации ее активами, срок превращения которых в
деньги соответствует сроку погашения обязательств.
Анализ ликвидности баланса заключается в
сравнении средств по активу, сгруппированных по степени их ликвидности и
расположенных в порядке убывания ликвидности, с обязательствами по пассиву,
сгруппированными по срокам их погашения и расположенными в порядке возрастания
сроков.
Активы подразделяются на наиболее
ликвидные активы, быстро реализуемые, медленно реализуемые и трудно реализуемы
активы, в то же время пассивы подразделяются на наиболее срочные обязательства,
краткосрочные, долгосрочные и постоянные или устойчивые пассивы (табл. 1.1).
Таблица 1.1 - Показатели ликвидности
|
Наименование
показателя
|
Способ расчета
|
|
Наиболее ликвидные
активы (А1)
|
А1 = стр. 250 +
стр. 260
|
|
Быстро
реализуемые активы (А2)
|
А2 = стр. 240
|
|
Медленно
реализуемые активы (А3)
|
А3 = стр. 210 +
стр. 220 + стр. 230 + стр. 270
|
|
Трудно
реализуемые активы (А4)
|
А4 = стр. 190
|
|
Наиболее
срочные обязательства (П1)
|
П1 = стр. 620
|
|
Краткосрочные
пассивы (П2)
|
П2 = стр. 610 +
стр. 630 + стр. 660
|
|
Долгосрочные
пассивы (П3)
|
П3 = стр. 590 +
стр. 640 + стр. 650
|
|
Постоянные
(устойчивые) пассивы (П4)
|
П4 = стр. 490
|
Для определения ликвидности бухгалтерского
баланса ОАО «Тюменские Телефонные Сети» следует соответственно сопоставить
итоги приведенных групп (наиболее ликвидные активы, быстро реализуемые,
медленно реализуемые и трудно реализуемы активы и наиболее срочные
обязательства, краткосрочные, долгосрочные и постоянные или устойчивые пассивы)
по активу и пассиву в 2007 г., 2008 г. и 2009 г. И таким образом проведенные
расчеты представим ниже в табл. 1.2.
Таблица 1.2 - Анализ ликвидности баланса в
тыс. руб.
|
Виды активов
|
Значения
показателей
|
Виды пассивов
|
Значения
показателей
|
|
2007
|
2008
|
2009
|
|
2007
|
2008
|
2009
|
|
|
|
|
|
|
|
|
|
1
|
2
|
3
|
4
|
5
|
6
|
7
|
8
|
|
А1
|
345
|
226
|
136
|
П1
|
10941
|
5319
|
7727
|
|
А2
|
5631
|
3666
|
4188
|
П2
|
24931
|
21845
|
-
|
|
А3
|
1663
|
1370
|
1611
|
П3
|
40978
|
-
|
1553
|
|
А4
|
91773
|
83074
|
72983
|
П4
|
22562
|
3244
|
69639
|
|
Баланс
|
99412
|
88336
|
78918
|
Баланс
|
99412
|
61119
|
7628
|
И так по произведенным расчетам табл. 1.2
«Анализ ликвидности баланса» представим более наглядно динамику ликвидности
активов и пассивов на рис. 1.8 «Динамика ликвидности активов» и 1.9. «Динамика
ликвидности пассивов».
Рис. 1.8 - Динамика ликвидности активов
Табл. 1.2 и рис. 1.8 наглядно
демонстрируют изменение ликвидности активов по группам. Группы активов А1,
наиболее ликвидных, практически нет и с каждым годом происходит уменьшение. Та
же негативная картина наблюдается в группе активов А2 и А3 в 2008 г. снижение,
подъем в 2009 г., но результат 2007 г. не был достигнут. Труднореализуемые
активы преобладают и с каждым годом незначительно уменьшаются.
Рис. 1.9 - Динамика ликвидности пассивов
Таблица 1.2 и рис. 1.9 наглядно
демонстрируют изменение ликвидности пассивов по группам. В группе пассивов П1,
наиболее срочных обязательств, в 2009 г. произошло снижение по сравнению с 2007
годом почти на 3000 тыс. руб. Краткосрочные обязательства совсем исчезли в 2009
г. по сравнению с 2007 г. Произошло так же значительное снижение долгосрочных
пассивов. Также группа постоянных пассивов увеличилась за анализируемые годы
больше, чем на 47000 тыс. руб.
Далее, на основании данных табл. 1.2 и
рис. 1.8 - 1.9 можно сделать вывод о том, что наиболее ликвидные активы за
анализируемый период меньше кредиторской задолженности, платежный недостаток
составил в 2007 г. - 2293 тыс. руб., в 2008 г. - 1424 тыс. руб., в 2009 г. -
2574 тыс. руб., что свидетельствует о неспособности предприятия рассчитаться по
наиболее срочным обязательствам за счет имеющихся денежных средств. Быстро
реализуемые и медленно реализуемые активы больше краткосрочных и долгосрочных
пассивов, наблюдается платежный излишек, т.е. текущие активы превышают внешние
обязательства. Труднореализуемые активы меньше постоянных пассивов, платежный
излишек составил в 2007 г. - 767 тыс. руб., в 2008 г. - 986 тыс. руб., в 2009
г. - 2014 тыс. руб., что свидетельствует о наличии у предприятия собственных
оборотных средств.
Баланс можно считать абсолютно ликвидным,
если имеют место следующие соотношения:
А1 ≥ П1
А2 ≥ П2
АЗ ≥ ПЗ
А4 ≤ П4
Если выполняются первые три неравенства в
данной системе, то это влечет выполнение и четвертого неравенства, поэтому
важно сопоставить итоги первых трех групп по активу и пассиву. Выполнение
четвертого неравенства свидетельствует о соблюдении одного из самых важных
условий финансовой устойчивости - наличия у предприятия оборотных средств.
В случае, когда одно или несколько
неравенств системы имеют знак, противоположный зафиксированному в оптимальном
варианте, то ликвидность бухгалтерского баланса в большей или меньшей степени
отличается от абсолютной. При этом недостаток средств по одной группе активов
компенсируется их избытком по другой группе в стоимостной оценке, в реальной же
ситуации менее ликвидные активы не могут заместить более ликвидные. [28]
Оценка ликвидности бухгалтерского баланса
ОАО «Тюменские Телефонные Сети» за анализируемый период представлена в табл.
1.3 «Оценка ликвидности баланса предприятия за 2007-2009 гг.».
Таблица 1.3 - Оценка ликвидности баланса
предприятия за 2007-2009 гг.
|
Неравенство
|
Соблюдение
соотношений
|
|
2007
|
2008
|
2009
|
|
А1 ≥
П1
|
-
|
-
|
-
|
|
А2 ≥
П2
|
-
|
-
|
+
|
|
АЗ ≥
ПЗ
|
-
|
+
|
+
|
|
А4 ≤
П4
|
-
|
-
|
-
|
По результатам табл. 1.3 бухгалтерский
баланс не является абсолютно ликвидным.
Можно охарактеризовать ликвидность баланса
ОАО «Тюменские Телефонные Сети» как недостаточную, так как значительное
количество условий не выполняются, что свидетельствует о неспособности
предприятия рассчитаться по наиболее срочным обязательствам за счет имеющихся
денежных средств.
Сопоставление ликвидных средств и
обязательств позволяет вычислить показатели:
. текущую ликвидность (ТЛ), которая
свидетельствует о платежеспособности (+) или неплатежеспособности (-)
организации на ближайший к рассматриваемому моменту промежуток времени:
ТЛ = (А1 +А2) - (П1
+ П2) (1.1)
. перспективную ликвидность (ПЛ) - это
прогноз платежеспособности на основе сравнения будущих поступлений и платежей:
ПЛ = АЗ - ПЗ, (1.2)
Анализ, проводимый по данной схеме,
достаточно полно представляет финансовое состояние с точки зрения возможностей
своевременного осуществления расчетов.
Расчет данных показателей представлен в
табл. 1.4.
Таблица 1.4 - Показатели текущей и перспективной ликвидности
|
Показатели
ликвидности
|
Значения
показателей, тыс. руб.
|
|
2007
|
2008
|
2009
|
|
Текущая
ликвидность
|
-29896
|
-23272
|
-5412
|
|
Перспективная
ликвидность
|
-39315
|
1370
|
58
|
На основании данных табл. 1.4 можно сделать
вывод о том, что в анализируемые годы предприятие было неплатежеспособно на
ближайший к рассматриваемому моменту промежуток времени, о чем свидетельствует
отрицательное значение показателя текущей ликвидности.
Показатель перспективной ликвидности говорит
о приближении соотношения поступлений и платежей в отдаленном будущем.
Необходимо отметить, что проводимый по изложенной схеме
анализ ликвидности баланса ОАО «Тюменские Телефонные Сети» является
приближенным, более детальным является анализ платежеспособности при помощи
финансовых коэффициентов.
Для комплексной оценки платежеспособности
предприятия в целом следует использовать общий показатель платежеспособности (L1), вычисляемый по
формуле:
(1.3)
С помощью данного показателя осуществляется оценка изменения
финансовой ситуации в организации с точки зрения ликвидности.
Показатели платежеспособности дают характеристику
устойчивости финансового состояния предприятия, а так же отвечают интересам
различных внешних пользователей аналитической информации.
Исходя из данных баланса рассчитываются следующие
коэффициенты:
1. коэффициент абсолютной ликвидности:
(1.4)
2. коэффициент «критической оценки»:
(1.5)
3. коэффициент текущей ликвидности:
(1.6)
4. коэффициент маневренности функционирующего капитала:
(1.7)
5. доля оборотных средств в активах:
(1.8)
6. коэффициент обеспеченности собственными средствами:
(1.9)
Расчетные значения коэффициентов платежеспособности за
анализируемый период представлены в табл. 1.5 [29].
Таблица 1.5 - Анализ финансовых коэффициентов
платежеспособности
|
Коэффициенты
|
Нормативное
значение
|
Значения
показателей
|
Абсолютное
отклонение
|
|
|
2007
|
2008
|
2009
|
2008 г. к базе
2007 г.
|
2009 г. к базе
2008 г.
|
|
1
|
2
|
3
|
4
|
5
|
6
|
7
|
|
L1
|
≥1
|
0,103
|
0,152
|
0,331
|
0,050
|
0,179
|
|
L2
|
≥0,3-0,4
|
0,010
|
0,008
|
0,018
|
-0,001
|
0,009
|
|
L3
|
0,7-0,8; оптимальное
1
|
0,010
|
0,008
|
0,350
|
-0,001
|
0,342
|
|
L4
|
1,5;
оптимальное 2-3,5
|
0,145
|
0,194
|
0,768
|
0,049
|
0,574
|
|
L5
|
уменьшение в
динамике
|
-0,054
|
-0,063
|
-0,899
|
-0,008
|
-0,836
|
|
L6
|
≥0,5
|
0,077
|
0,060
|
0,075
|
-0,017
|
0,016
|
|
L7
|
≥0,1
|
-9,060
|
-4,172
|
-0,563
|
4,888
|
3,609
|
Динамика коэффициентов платежеспособности представлена на
рис. 1.10.
Рис. 1.10 - Динамика коэффициентов платежеспособности
Табл. 1.5 и рис. 1.10 наглядно демонстрируют изменение
коэффициентов платежеспособности по предприятию. В частности можно отметить
следующее:
. Показатель L1 показывает крайне низкий уровень
платежеспособности организации и незначительное увеличение к 2009 г. так же
демонстрирует общую неплатежеспособность.
. Полученный результат коэффициента абсолютной ликвидности не
соответствует установленным нормам, и следует считать, что данное предприятие
не в состоянии погасить свои текущие обязательства в ближайшее время за счет
имеющихся денежных средств.
. Значения коэффициента «критической оценки» также не
удовлетворяет установленным нормам. Следовательно, сумма наиболее ликвидных и
быстрореализуемых активов у предприятия недостаточна для покрытия его
краткосрочных обязательств.
. Рассчитанное значение коэффициента текущей ликвидности не
удовлетворяет требованиям, свидетельствует о крайней неустойчивости финансового
состояния предприятия.
. Коэффициент маневренности функционирующего капитала,
который показывает, какая часть этого капитала обездвижена в производственных
запасах и долгосрочной дебиторской задолженности, имеет тенденцию к увеличению.
Увеличение показателя в динамике - это отрицательный факт.
. Доля оборотных средств в активах в 2007 г., 2008 г. и 2009
г. занимает, соответственно, 7,7%, 6% и 7,5% от имущества организации, что не
удовлетворяет требованиям установленным нормативам.
. Так как коэффициент обеспеченности собственными средствами
на протяжении всего исследуемого периода не удовлетворяет ограничению,
предприятие следует считать необеспеченным собственными средствами.
Таким образом, приходим к выводу о крайней
недостаточности платежеспособности ОАО «Тюменские Телефонные Сети» в
анализируемом периоде, предприятие показывает себя неспособным оплатить текущие
обязательства и, как следствие, находится в тяжелом финансовом состоянии.
1.4 Анализ финансовой устойчивости
Задачей анализа финансовой устойчивости
ОАО «Тюменские Телефонные Сети» является оценка степени независимости от
заемных источников финансирования. Показатели, которые характеризуют
независимость по каждому элементу активов и по имуществу в целом, дают
возможность измерить, достаточно ли устойчива анализируемая организация в
финансовом отношении.
Долгосрочные пассивы (долгосрочные кредиты
и займы) и собственный капитал предприятия направляются, как правило,
преимущественно на приобретение основных средств, на капитальные вложения и
другие внеоборотные активы. Для того чтобы выполнялось условие
платежеспособности, необходимо, чтобы денежные средства и средства в расчетах,
а также материальные оборотные активы покрывали краткосрочные пассивы.
На практике следует соблюдать следующее
соотношение:
Оборотные активы < Собственный капитал × 2 - Внеоборотные активы. (1.10)
Однако для деятельности ОАО «Тюменские
телефонные сети» это соотношение не соблюдается из-за высокой доли внеоборотных
активов.
Коэффициенты оценки финансовой
устойчивости предприятия - система показателей, характеризующих структуру
используемого капитала предприятия по степени финансовой стабильности его
развития в предстоящем периоде.
Таблица 1.6 - Анализ показателей
финансовой устойчивости
|
Наименование
показателя
|
Методика
расчета
|
Нормативное
значение
|
Значения
показателей
|
Абсолютное
отклонение
|
|
|
|
2007
|
2008
|
2009
|
2008 к 2007
|
2009 к 2008
|
|
1
|
2
|
3
|
4
|
5
|
7
|
6
|
8
|
|
Коэффициент
капитализации (U1)
|
 3,406
|
0,445
|
0,133
|
-2,961
|
-0,312
|
|
|
|
Коэффициент
обеспеченности собственными источниками финансирования (U2)
|
 -9,060
|
-4,172
|
-0,563
|
4,888
|
3,609
|
|
|
|
Коэффициент
финансовой независимости (U3)
|
 0,227
|
0,692
|
0,882
|
0,465
|
0,191
|
|
|
|
Коэффициент
финансирования (U4)
|
 0,294
|
2,246
|
7,504
|
1,952
|
5,259
|
|
|
|
Коэффициент
финансовой устойчивости (U5)
|
 0,639
|
0,692
|
0,902
|
0,053
|
0,210
|
|
|
Динамика коэффициентов финансовой устойчивости представлена
на рисунке 1.11.
Рис. 1.11 - Динамика коэффициентов финансовой устойчивости
Табл. 1.6 и рис. 1.11 наглядно демонстрируют изменение
коэффициентов финансовой устойчивости по предприятию. В частности можно
отметить следующее:
. Коэффициент капитализации, который показывает,
сколько заемных средств привлекало предприятие на 1 руб. вложенных в активы
собственных средств, имеет тенденцию к снижению (в 2008 году на 2,961, а в 2009
году еще на 0,312), что говорит о повышении устойчивости финансового положения
предприятия.
2. Значения коэффициента
обеспеченности собственными источниками финансирования не удовлетворяет
установленным нормам. Следовательно, организация не в состоянии обеспечить
финансирование оборотных средств за счет собственных источников.
3. Значения коэффициента финансовой независимости
превышает допустимые значения, что в будущем может создать неблагоприятную
тенденцию.
. Полученный результат коэффициента финансирования в
2007 г. (0,294) меньше 1, следовательно, большая часть имущества предприятия
сформирована за счет заемных средств, это может свидетельствовать об опасности
неплатежеспособности и нередко затрудняет возможность получения кредита. В 2008
и 2009 гг. значения коэффициента финансирования больше 1, следовательно,
большая часть имущества предприятия сформирована за счет собственных средств.
5. Рассчитанное значение коэффициента
финансовой устойчивости удовлетворяет установленным нормативам. Это позволяет
сделать вывод о том, что большая часть актива финансируется за счет устойчивых
источников, то есть тех источников финансирования, которые организация может
использовать в своей деятельности длительное время. Значения данного
коэффициента показывают, что финансовое положение организации является
устойчивым.
Таким образом, можно сказать, что
предприятие за период с 2007 г. по 2009 г. растет в уровне независимости, но
всё равно находится в шатком финансовом положении.
Обобщающим показателем финансовой
независимости является излишек или недостаток источников средств для
формирования запасов, который определяется в виде разницы величины источников средств
и величины запасов.
Для характеристики источников формирования
запасов и затрат используются следующие показатели, которые отражают различные
виды источников:
1. наличие собственных оборотных средств:
СОС = Капитал и резервы - Внеоборотные
активы (1.11)
2. наличие собственных и долгосрочных
заемных источников формирования запасов или функционирующий капитал:
КФ = (Капитал и резервы + Долгосрочные
пассивы) - Внеоборотные активы (1.12)
3. общая величина основных источников
формирования запасов:
ВИ = (Капитал и резервы + Долгосрочные
пассивы +
+ Краткосрочные кредиты и займы) -
Внеоборотные активы (1.13)
1. излишек (+) или недостаток (-)
собственных оборотных средств:
± ФС = СОС - Зп,
(1.14)
где: ± ФС - излишек
(недостаток) собственных оборотных средств;
СОС - собственные оборотные средства;
Зп - запасы;
2. излишек (+) или недостаток (-)
собственных и долгосрочных заемных источников формирования запасов:
± ФТ = КФ - Зп, (1.15)
где: ± ФТ - излишек (недостаток)
собственных и долгосрочных заемных источников формирования запасов;
КФ - функционирующий капитал;
Зп - запасы;
3. излишек (+) или недостаток (-) общей
величины основных источников для формирования запасов:
± ФО = ВИ - Зп, (1.16)
где: ± ФО - излишек
(недостаток) общей величины основных источников для формирования запасов;
ВИ - величина основных источников
формирования запасов;
Зп - запасы.
С помощью этих показателей мы можем
определить трехкомпонентный показатель типа финансовой ситуации:
(1.17)
Таблица 1.7 - Типы финансовых ситуаций
|
Показатели
|
Типы финансовых
ситуаций
|
|
абсолютная
независимость
|
нормальная
независимость
|
неустойчивое
состояние
|
кризисное
состояние
|
|
ФС
|
ФС 0ФС<0ФС<0ФС<0
|
|
|
|
|
ФТ
|
ФТ 0ФТ<0ФТ<0ФТ<0
|
|
|
|
|
ФО
|
ФО 0ФО<0ФО 0ФО<0
|
|
|
|
Расчетные значения показателей сведены в
табл. 1.8 «Анализ достаточности источников финансирования для формирования
запасов» и определен тип финансовой ситуации на предприятии ОАО «Тюменские
Телефонные Сети» в 2007-2009 гг.
Таблица 1.8 - Анализ достаточности
источников финансирования для формирования запасов в тыс. руб.
|
Показатели
|
Значения
показателей, тыс. руб.
|
|
2007
|
2008
|
2009
|
|
Общая величина
запасов - (Зп)
|
1438
|
1271
|
1538
|
|
Наличие
собственных оборотных средств - (СОС)
|
-69211
|
-21955
|
-3344
|
|
Функционирующий
капитал - КФ
|
-28233
|
-21902
|
-1791
|
|
Общая величина
источников - ВИ
|
-3302
|
-57
|
-1791
|
|
± ФС
= СОС - Зп
|
-70649
|
-23226
|
-4882
|
|
± ФТ
= КФ - Зп
|
-29671
|
-23173
|
-3329
|
|
± ФО
= ВИ - Зп
|
-4740
|
-1328
|
-3329
|
|
Трехкомпонентный
показатель типа финансовой ситуации S(Ф) =
{S(±ФС); S(± ФТ); S(± ФО)}
|
{0; 0; 0}
|
{0; 0; 0}
|
{0; 0; 0}
|
Таким образом, предприятие находится в кризисном финансовом
состоянии, оно полностью зависит от заемных источников финансирования.
Собственного капитала, долгосрочных и краткосрочных заемных средств не хватает
для финансирования материальных оборотных средств, то есть пополнение запасов
идет за счет средств, образующихся в результате замедления погашения
кредиторской задолженности.
1.5 Оценка несостоятельности (банкротства)
предприятия
Определение несостоятельности (банкротства) регламентируется
в Федеральном Законе «О несостоятельности (банкротстве)» №127-ФЗ.
В соответствии с законом,
несостоятельность (банкротство) - это признанная арбитражным судом
неспособность должника в полном объеме удовлетворить требования кредиторов по
денежным обязательствам и (или) исполнить обязанность по уплате обязательных
платежей.
Под денежным обязательством подразумевается обязанность
должника уплатить кредитору определенную денежную сумму по гражданско-правовому
договору и по иным основаниям, предусмотренным Гражданским Кодексом Российской
Федерации.
Проблема анализа риска возможного банкротства предприятий
сегодня чрезвычайно актуальна в Российской Федерации. Неблагоприятная
экономическая обстановка в стране в последние годы, связанная с кризисом,
способствует тому, что многие коммерческие организации всевозможных форм
собственности оказались на грани банкротства. Поэтому вопрос выбора методов и
методик, позволяющих прогнозировать наступление банкротства предприятия в
близком будущем, особенно актуален. Их существует огромное множество, как
зарубежных, так и отечественных.
В данной работе рассмотрим прогнозирование возможности
банкротства фирмы на основе системы показателей, для оценки
удовлетворительности структуры баланса.
Источниками информации являются форма №1 «Баланс» и форма №2
«Отчет о прибылях и убытках».
Показатели для оценки удовлетворительной структуры баланса
следующие:
1. коэффициент текущей ликвидности;
. коэффициент обеспеченности
собственными оборотными средствами;
3. коэффициент восстановления (утраты)
платежеспособности.
И так, расчет данных показателей в ОАО
«Тюменские Телефонные Сети» приведен в табл. 1.8.
Таблица 1.8 - Прогнозирование вероятности
банкротства фирмы на основе системы показателей для оценки удовлетворительности
структуры бухгалтерского баланса.
|
№ п/п
|
Показатель
|
2007 г.
|
2008 г.
|
2009 г.
|
|
|
на нач. года
|
на кон. года
|
на нач. года
|
на кон. года
|
на нач. года
|
на кон. года
|
|
1
|
Коэффициент
текущей ликвидности (L4)
|
0,23
|
0,21
|
0,21
|
0,19
|
0,19
|
0,77
|
|
2
|
Коэффициент
обеспеченности собственными оборотными средствами(L7)
|
-6,82
|
-9,06
|
-9,06
|
-4,17
|
-4,17
|
-0,56
|
|
3
|
Коэффициент
восстановления платёжеспособности 0,10
|
0,09
|
0,53
|
|
Таким образом, из рассчитанных значений в табл. 1.8
коэффициенты текущей ликвидности и коэффициенты обеспеченности собственными
оборотными средствами в течение 2007-2009 гг. не соответствуют нормативным значениям
(более 2 и 0,1 соответственно), поэтому рассчитывается коэффициент
восстановления платежеспособности. Как видим, полученные результаты (меньше 1)
дают основание признать предприятие несостоятельным.
1.6 Анализ финансовых результатов
Финансовый результат деятельности предприятия выражается в
изменении величины его собственного капитала за отчетный период. Прибыль - это
конечный финансовый результат экономической деятельности предприятия. В общем
виде прибыль представляет собой разницу между выручкой от реализации и
себестоимостью реализованной продукции.
Прибыль на предприятии формируется
отдельно в бухгалтерском учёте и для целей налогообложения. Значение прибыли
для предприятия определяется функциями, которые она выполняет:
. прибыль характеризует
экономический эффект, который получен в результате деятельности предприятия.
Используется для расчета различных показателей эффективности;
. прибыль является главным и
основным источником развития любого предприятия;
. прибыль является источником
доходов собственников предприятия (дивиденды), а следовательно, влияет на
инвестиционную привлекательность и стоимость предприятия (курс акций);
. прибыль является одним из
источников формирования бюджетов различных уровней [29].
Способность предприятия обеспечить
неуклонный рост собственного капитала может быть оценена системой показателей
финансовых результатов. Обобщенно наиболее важные показатели финансовых
результатов деятельности ОАО «Тюменские Телефонные Сети» представлены в отчете
о прибылях и убытках - форма №2 годовой бухгалтерской отчетности.
Рост прибыли создает финансовую базу для
самофинансирования, расширенного воспроизводства, решения проблем социального и
материального поощрения персонала. Прибыль является также важнейшим источником
формирования доходов бюджета (федерального, республиканского, местного) и
погашения долговых обязательств организации перед банками, другими кредиторами
и инвесторами. Таким образом, показатели прибыли являются важнейшими в системе
оценки результативности и деловых качеств предприятия, степени его надежности и
финансового благополучия как партнера.
Анализ финансовых результатов включает
оценку по следующим показателей прибыли:
валовой прибыли;
прибыли от продаж;
прибыли до налогообложения;
чистой прибыли.
Динамика валовой прибыли, прибыли от продаж, прибыли до
налогообложения и чистой прибыли ОАО «Тюменские Телефонные Сети» представлена
на рис. 1.13 «Динамика прибыли».
Рис. 1.13 - Динамика прибыли
Анализ формирования финансовых результатов
ОАО «Тюменские Телефонные Сети» дополняется оценкой показателей рентабельности,
рассчитываемых по данным отчета о прибылях и убытках.
Показатели рентабельности (доходности)
оценивают величину прибыли, полученной с каждого рубля средств, вложенных в
активы организации. При анализе производства показатели рентабельности
используются как инструмент инвестиционной политики и ценообразования.
Рентабельность продаж (RП) - это отношение
суммы прибыли от продаж к объему реализованной продукции:
Из этой факторной модели следует, что на
рентабельность продаж влияют те же факторы, которые влияют на прибыль от
продажи. Чтобы определить, как каждый фактор повлиял на рентабельность продаж,
необходимо осуществить расчеты [30].
Однако для ОАО «Тюменские Телефонные Сети»
расчет факторной модели невозможен, поскольку прибыль от основной деятельности
(прибыль от продаж) имеет в течение трех лет отрицательные значения. Основной
доход фирмы осуществляется за счет прочей деятельности.
Расчетные значения основных показателей
рентабельности представлены в табл. 1.9.
Таблица 1.9 - Анализ коэффициентов
рентабельности (доходности) в тыс. руб.
|
Наименование
показателя
|
Расчетная
формула
|
Значение
показателей
|
|
|
2007
|
2008
|
2009
|
|
Рентабельность
продаж (R1)
|
---
|
|
|
|
|
Бухгалтерская
рентабельность от обычной деятельности (R2)
|
15,46179,1632,26
|
|
|
|
|
Чистая
рентабельность (R3)
|
11,53190,080,43
|
|
|
|
|
Экономическая
рентабельность (R4)
|
1,874,0417,25
|
|
|
|
|
Рентабельность
собственного капитала (R5)
|
9,2492,1514,24
|
|
|
|
|
Валовая
рентабельность
|
---
|
|
|
|
Рис. 1.14 - Динамика показателей рентабельности (доходности)
Таблица 1.8 и рис. 1.14 наглядно демонстрируют изменение
различных показателей рентабельности. В частности можно отметить следующее:
. Расчет показателя рентабельности, валовой
рентабельности, затратоотдачи, коэффициента устойчивого экономического роста не
имеет смысла в силу отрицательного значения прибыли от продаж;
. Бухгалтерская рентабельность от обычной
деятельности, которая показывает уровень прибыли после выплаты налога, резко
возросла в 2008 году с 15,46% до 179,16% и резко снизилась в 2009 г. до 32,26%;
. Показатель чистой рентабельности, который
показывает, сколько чистой прибыли приходится на единицу выручки, за
анализируемый период уменьшился с 11,53% до 0,43%, что является отрицательной
тенденцией для организации;
. Экономическая рентабельность значительно возросла с
1,87% до 17,25%, что свидетельствует о значительном повышении эффективности
использования всего имущества организации;
. Также произошло увеличение рентабельности
собственного капитала с 9,24% до 14,24%, что свидетельствует о значительном
повышении эффективности использования собственного капитала;
. Рентабельность перманентного капитала значительно
возросла с 3,19 до 24,06%, что свидетельствует о значительном повышении
эффективности использования капитала, вложенного в деятельность организации на
длительный срок.
2. Методические аспекты проведения аудита на
несостоятельных предприятиях
2.1 Нормативно-правовое регулирование аудита деятельности
предприятия-банкрота
При организации и планировании аудиторской проверки аудитору
необходимо знать законодательную базу, учитывающую специфику деятельности
предприятия в предвидении банкротства.
Нормативно-правовое регулирование аудита банкротства
представляет собой многоуровневую систему:
. К основным нормативно-правовым документам высшего
уровня необходимо отнести:
а. «Конституция Российской Федерации» (принята
всенародным голосованием 12.12.1993) (с учетом поправок, внесенных Законами РФ
о поправках к Конституции РФ от 30.12.2008 №6-ФКЗ, от 30.12.2008 №7-ФКЗ);
б. «Гражданский кодекс Российской Федерации (часть
первая)» от 30.11.1994 №51-ФЗ (принят ГД ФС РФ 21.10.1994) (ред. от
06.04.2011); (часть вторая) от 26.01.1996 №14-ФЗ (принят ГД ФС РФ 22.12.1995)
(ред. от 07.02.2011);
в. «Налоговый кодекс Российской Федерации (часть
первая)» от 31.07.1998 №146-ФЗ (принят ГД ФС РФ 16.07.1998) (ред. от
28.12.2010); (часть вторая) от 05.08.2000 №117-ФЗ (принят ГД ФС РФ 19.07.2000)
(ред. от 21.04.2011);
г. «Кодекс Российской Федерации об административных
правонарушениях» от 30.12.2001 №195-ФЗ (принят ГД ФС РФ 20.12.2001) (ред. от
07.02.2011) (с изм. и доп., вступающими в силу с 28.03.2011);
д. Федеральный закон от 30.12.2008 №307-ФЗ (ред. от
28.12.2010) «Об аудиторской деятельности» (принят ГД ФС РФ 24.12.2008);
е. Федеральный закон от 26.10.2002 №127-ФЗ (ред. от
03.05.2011) «О несостоятельности (банкротстве)» (принят ГД ФС РФ 27.09.2002);
ж. Федеральный закон от 21.11.1996 №129-ФЗ (ред. от
28.09.2010) «О бухгалтерском учете» (принят ГД ФС РФ 23.02.1996) (с изм. и
доп., вступающими в силу с 01.01.2011);
з. Федеральный закон от 26.12.1995 №208-ФЗ (ред. от
28.12.2010) «Об акционерных обществах» (принят ГД ФС РФ 24.11.1995) (с изм. и
доп., вступающими в силу с 01.01.2011);
. Ко второму уровню системы нормативного регулирования
можно отнести:
а. Постановление Правительства РФ от 23.09.2002 №696
(ред. от 27.01.2011) «Об утверждении федеральных правил (стандартов)
аудиторской деятельности»;
б. Приказ Минфина РФ от 06.07.1999 №43н (ред. от
08.11.2010) «Об утверждении Положения по бухгалтерскому учету «Бухгалтерская
отчетность организации» (ПБУ 4/99)»;
в. Приказ Минфина РФ от 06.05.1999 №32н (ред. от
08.11.2010) «Об утверждении Положения по бухгалтерскому учету «Доходы организации»
ПБУ 9/99» (Зарегистрировано в Минюсте РФ 31.05.1999 №1791) (с изм. и доп.,
вступающими в силу с 01.01.2011);
г. Приказ Минфина РФ от 06.05.1999 №33н (ред. от
08.11.2010) «Об утверждении Положения по бухгалтерскому учету «Расходы
организации» ПБУ 10/99» (Зарегистрировано в Минюсте РФ 31.05.1999 №1790) (с
изм. и доп., вступающими в силу с 01.01.2011);
д. Приказ Минфина РФ от 08.11.2010 №143н «Об утверждении
Положения по бухгалтерскому учету «Информация по сегментам» (ПБУ 12/2010)»
(Зарегистрировано в Минюсте РФ 14.12.2010 №19171);
е. Приказ Минфина РФ от 19.11.2002 №114н (ред. от
24.12.2010) «Об утверждении Положения по бухгалтерскому учету «Учет расчетов по
налогу на прибыль организаций» ПБУ 18/02» (Зарегистрировано в Минюсте РФ
31.12.2002 №4090);
ж. Приказ Минфина РФ от 28.06.2010 №63н (ред. от
08.11.2010) «Об утверждении Положения по бухгалтерскому учету «Исправление
ошибок в бухгалтерском учете и отчетности» (ПБУ 22/2010)» (Зарегистрировано в
Минюсте РФ 30.07.2010 №18008) (с изм. и доп., вступающими в силу с 01.01.2011);
з. Приказ Минфина РФ от 02.02.2011 №11н «Об утверждении
Положения по бухгалтерскому учету «Отчет о движении денежных средств» (ПБУ
23/2011)» (Зарегистрировано в Минюсте РФ 29.03.2011 №20336);
и. Приказ Минфина РФ от 31.10.2000 №94н (ред. от
08.11.2010) «Об утверждении Плана счетов бухгалтерского учета
финансово-хозяйственной деятельности организаций и Инструкции по его
применению».
. К третьему уровню относятся документы,
разрабатываемые аудиторскими организациями и индивидуальными аудиторами:
а. Внутренние аудиторские регламенты (стандарты) и
методики;
б. Положения по проведению инвентаризации и т.д. [26, с.
30-38]
Гражданский кодекс дает общее представление об
ответственности и об обязанностях юридических лиц, проходящие процедуры банкротства.
Так же в первой части гражданского кодекса указывается очередность
удовлетворения требований кредиторов и говорится об управлении в акционерном
обществе.
В статье 15.11 кодекса Российской Федерации об
административных правонарушениях описывается понятие грубого нарушения правил
ведения бухгалтерского учета и представления бухгалтерской отчетности:
искажение сумм начисленных налогов и сборов не менее
чем на 10 процентов;
искажение любой статьи (строки) формы бухгалтерской
отчетности не менее чем на 10 процентов
Основным нормативным актом, регулирующим
аудиторскую деятельность является Федеральный закон «Об аудиторской
деятельности» №307-ФЗ. Аудиторская деятельность, или аудит, в соответствии с
Законом - деятельность по проведению аудита и оказанию сопутствующих аудиту
услуг, осуществляемая аудиторскими организациями, индивидуальными аудиторами.
Федеральные правила (стандарты)
аудиторской деятельности определяют общие вопросы регулирования аудиторской
деятельности, обязательные для всех объектов, устанавливают нормы аудита,
обязательные для всех субъектов рынка аудиторских услуг.
Документы, отнесенные к третьему уровню
необходимы при проведении обязательного аудита и прочих сопутствующих аудиту
услуг. Кодекс профессиональной этики и внутренние стандарты и методики
детализируют, расшифровывают и уточняют положения, сформулированные в законных
и подзаконных актах, и содержат подробное изложение вопросов, которые для
вышестоящих уровней регулирования являются незначительными. Кроме того,
посредством внутренних стандартов и методик в аудиторской организации должна
быть внедрена система контроля качества аудита. Процесс ее разработки
представляет собой научно-исследовательские изыскания, дающие теоретическую и
практическую основу для проведения аудита и оказания аудиторских услуг на
высоком профессиональном уровне [27, с. 25-29].
2.2 Цели и задачи аудита при применении различных
процедур банкротства
Существует большое разнообразие мнений, что понимать под
аудитом и аудиторской деятельностью. В редакции Международных стандартов аудита
переведенных на русский язык, в «Глоссарии терминов» не приводится определение
аудита, а формулируется лишь его цель: «Целью аудита финансовой отчетности
является предоставление возможности аудитору выразить мнение об отношении того,
подготовлена ли финансовая отчетность по всем существенным аспектам, в
соответствии с установленными основными принципами финансовой отчетности».
Аудит не ограничивается рамками аудиторской проверки финансовой отчетности, но
включает в себя выполнение таких сопутствующих услуг, как обзор и подготовка
информации.
В Федеральном законе «Об аудиторской деятельности» №307-ФЗ
цель аудиторской проверки определена как выражение мнения о достоверности
бухгалтерской (финансовой) отчетности аудируемого лица.
Организация аудиторской проверки на несостоятельном
предприятии напрямую зависит от применяемой к ней процедуры несостоятельности.
Соответственно, учитывая экономическую и юридическую сущность каждой процедуры
банкротства, необходимо понимать, что различными будут и цели аудита при
применении каждой стадии арбитражного процесса по делу о банкротстве. Таким
образом, необходимо определить, что является конечной целью каждой из процедур
банкротства, определенные Законом о несостоятельности, и за счет чего они
достигаются.
Статьей 2 Федерального закона «О несостоятельности
(банкротстве) №127-ФЗ определены понятия стадий банкротства, используемые в
арбитражной практике:
наблюдение - процедура, применяемая в деле о банкротстве к
должнику в целях обеспечения сохранности его имущества, проведения анализа
финансового состояния должника, составления реестра требований кредиторов и
проведения первого собрания кредиторов;
финансовое оздоровление - процедура, применяемая в деле о
банкротстве к должнику в целях восстановления его платежеспособности и
погашения задолженности в соответствии с графиком погашения задолженности;
внешнее управление - процедура, применяемая в деле о
банкротстве к должнику в целях восстановления его платежеспособности;
конкурсное производство - процедура, применяемая в деле о
банкротстве к должнику, признанному банкротом, в целях соразмерного
удовлетворения требований кредиторов;
мировое соглашение - процедура, применяемая в деле о
банкротстве на любой стадии его рассмотрения в целях прекращения производства
по делу о банкротстве путем достижения соглашения между должником и
кредиторами.
Из приведенных выше определений стадий банкротства, видно,
что все они достигаются путем решения различных задач действующими органами
управления и контроля несостоятельного предприятия.
Поскольку, арбитражные управляющие не на всех стадиях
банкротства являются управляющим звеном несостоятельного предприятия (на
стадиях наблюдения и финансового оздоровления выполняют контрольную функцию),
возникают два направления аудиторской проверки несостоятельного предприятия,
представленные на рис. 2.1 «Основные направления аудиторской проверки
несостоятельного предприятия».
Рис. 2.1 - Основные направления аудиторской проверки
несостоятельного предприятия
Необходимо учитывать, что оптимальная информативность
отчетности несостоятельного предприятия на определенных стадиях банкротства
может быть достигнута только при его использовании в совокупности с отчетом
арбитражного управляющего.
Следовательно, аудитору необходимо определить достоверность
не только бухгалтерской финансовой отчетности, но и отчета арбитражного
управляющего.
Отчет арбитражного управляющего при проведении обязательного
аудита подлежит аудиторской проверке. В условиях инициативного аудита, отчет
арбитражного управляющего подлежит проверке только в случаях, когда арбитражный
управляющий выполняет функции управления контроля за деятельностью организации.
Необходимо отметить, что каких либо нормативных документов,
регламентирующих проведение аудиторских проверок, учитывающих специфику
банкротства, не существует. Поэтому, организация аудиторской проверки на
несостоятельных предприятиях проводят в общеустановленном порядке на основании
закона об аудиторской деятельности и стандартов аудиторской деятельности. Проведение
аудиторской проверки на несостоятельном предприятии может осуществляться на
любой стадии банкротства, исходя из этого меняются цели и задачи аудита, так
представим в табл. 2.1 «Цели и задачи аудиторской проверки несостоятельного
предприятия».
Таблица 2.1 - Цели и задачи аудиторской проверки
несостоятельного предприятия
|
Процедуры
банкротства
|
Цель аудита
|
Задачи
|
|
Наблюдение
|
Выражение
мнения о том, насколько достоверна отчетность* отражает финансовое положение
несостоятельного предприятия в соответствии с законодательством РФ, а также
проведение анализа финансового состояния должника
|
1.
Подтверждение решения арбитражного суда о признании организации
несостоятельной. 2. Подтверждение законности ведения применяемой процедуры
банкротства. 3. Подтверждение соблюдения последствий введения соответствующей
процедуры банкротства 4. Проверка соблюдения органами управления требований
действующего законодательства о банкротстве 5. Проверка отчета арбитражного
управляющего
|
|
Финансовое
оздоровление
|
Выражение
мнения о достоверности отчетности* и соответствии порядка ведения
бухгалтерского учета законодательству РФ по операциям, связанным с
восстановлением платежеспособности и погашением задолженности в соответствии
с установленным графиком.
|
|
|
Внешнее
управление
|
Выражение
мнения о том, насколько достоверно отчетность* отражает результаты
деятельности внешнего управляющего, направленной на восстановление
платежеспособности несостоятельного предприятия в соответствии с планом
внешнего управления.
|
|
|
Конкурсное
производство
|
Выражение
мнения о достоверности ликвидационной отчетности* и соответствии порядка
ведения бухгалтерского учета законодательству РФ по операциям, связанным с
удовлетворением требований кредиторов.
|
|
|
Мировое
соглашение
|
Выражение
мнения о достоверности отчетности*, соответствии порядка ведения
бухгалтерского учета законодательству РФ по операциям, связанным с
прекращением производства по делу о банкротстве.
|
|
В правилах (стандартах) аудиторской деятельности
затрагиваются основные принципы осуществления аудиторской деятельности на
предприятиях, в отношении которых арбитражным судом возбуждено дело о
банкротстве. Выделение в отдельную категорию, например, такую сопутствующую
услугу, как компиляция финансовой информации, позволяет определить основные
требования к аудиторским услугам, оказываемым организациям и арбитражным
управляющим.
Принцип компиляции финансовой информации присутствует на
каждой стадии арбитражного процесса по делу о банкротстве. Несомненно,
отчетность составляемая арбитражным управляющим и представляемая в арбитражный
суд, является основой составления бухгалтерской (финансовой) отчетности,
поскольку именно в ней отражаются основные факты хозяйственной деятельности
несостоятельного предприятия, влияющего на формирование показателей отчетности.
Сбор, классификация и обобщение такой информации, а также возможная ее
трансформация вполне может быть предметом договоров между несостоятельной
организации, арбитражным управляющим и аудиторской деятельностью.
Таким образом, можно сделать вывод, что аудит несостоятельного
предприятия, в отношении которого арбитражным судом возбуждено производство по
делу о банкротстве - сложная и многогранная процедура возможным выделением
различных направлений проверки, когда цель аудита зависит не только от
применяемой правовой процедуры, но и от органа управления деятельностью
организации [21].
2.3 Оценка уровня
существенности
Принцип существенности является одним из
основополагающих принципов аудита, определяющим концепцию достоверности
информации в аудиторской деятельности.
Существуют два основных метода оценки
уровня существенности: оценочный и расчетный.
Оценочный метод заключается в том, что
аудитор, исходя из собственного опыта и знания клиента, определяет, что
является существенным, и устанавливает его уровень.
Расчетный метод предполагает
количественный расчет величины уровня существенности. Согласно этому методу
общая абсолютная величина существенности рассчитывается как процент от базового
показателя бухгалтерской отчетности, определенного во внутрифирменных стандартах.
Обычно существенной признается общая
погрешность в бухгалтерской отчетности, превышающая 4-8% валюты баланса в
зависимости от объема хозяйственной деятельности в отчетном периоде.
Стандарт (правило) №4 «Существенность в
аудите» не устанавливает четкой процедуры определения уровня существенности.
Такая методика должна быть разработана с учетом требований этого правила и
утверждена в качестве внутрифирменного стандарта.
При выборе базовых показателей для расчета
уровня существенности на практике используются следующие методы:
. Выбор показателей с наибольшей
суммой - метод основного массива, который заключается в выборе статей, имеющих
наибольший удельный вес (например, в валюте баланса).
. Выбор показателей,
характеризующихся наибольшей вероятностью появления в них ошибок - метод
ключевых по риску показателей, который основан на данных о том, что некоторые
статьи (обороты по счетам) значительно чаще содержат ошибки, то есть находятся
в зоне риска.
. Выбор показателей, ошибки или
нарушения в которых (даже несущественные) могут вызвать существенные
последствия, - метод ключевых по последствиям показателей. Он заключается в
выборе таких статей (оборотов по счетам), которые могут повлечь за собой
ухудшение финансового состояния организации.
Чаще всего используют комбинации этих
методов. Выбирая базовые показатели, исходят из их удельного веса в валюте
баланса, возможных рисков и последствий.
При этом, основываясь на действующем
законодательстве, можно определить минимально и максимально допустимые величины
уровня существенности. Минимальный уровень связан с тем, что бухгалтерская
отчетность составляется в тысячах (млн) рублей без десятичных знаков.
Производимое в связи с этим округление приводит к разнице между данными учета и
отчетности. Отклонение может составлять не более 0,5 тыс. (млн) рублей.
Максимальное значение уровня существенности можно определить как 10% величины
показателя, основываясь на Кодексе об административных правонарушениях и ПБУ
12/2010 «Информация по сегментам». В ст. 15.11 Кодексе об административных
правонарушениях под грубым нарушением правил ведения бухгалтерского учета и
преставления бухгалтерской отчетности понимается искажение любой статьи
(строки) формы бухгалтерской отчетности не менее чем на 10%. ПБУ 12/2010
«Информация по сегментам» требует раскрывать информацию по сегменту в
отчетности, если выручка (прибыль или активы) сегмента составляют более 10%
этого показателя по всем сегментам.
Применение единой методики оценки
существенности во всех процедурах банкротства невозможно, поскольку различаются
состав отчетной информации. Следовательно, определение уровня существенности
формируемой финансовой информации должно быть основано на различных показателях
в зависимости от процедуры банкротства. При этом следует выделить два подхода: для
действующей организации (реабилитационные процедуры) и для ликвидируемой
организации (конкурсное производство).
При проведении процедур, носящих
реабилитационный характер (наблюдение, внешнее управление, финансовое
оздоровление), финансовая отчетность организации-банкрота состоит из типового
набора форм. Тем не менее необходимым особый подход к определению уровня
существенности по следующим причинам. В большинстве действующих методик
устанавливается единый уровень существенности для всех форм бухгалтерской
отчетности. При его определении происходит усреднение показателей
бухгалтерского баланса и отчета о прибылях и убытках. В случае банкротства
баланс может быть «раздут» за счет долгов, а отчет о прибылях и убытках -
«нулевой» в связи с прекращением деятельности организации. Часто встречается и
обратная ситуация: «пустой» баланс (так как активы распроданы) и значительные
показатели отчета о прибылях и убытках (по причине продажи имущества). В отчете
о прибылях и убытках нарушается соотношение величин выручки, себестоимости,
прочих доходов (расходов), характерное для действующих организаций в связи с
реализацией активов и приостановлением хозяйственной деятельности. Для того
чтобы нивелировать возможную несопоставимость показателей баланса и отчета о
прибылях и убытках, следует ввести в расчет уровня существенности показатели
реестра требований кредиторов. К тому же размер требований кредиторов в
ситуации банкротства является весьма подверженным искажению показателем (табл.
2.2).
Таблица 2.2 - Расчет уровня существенности
при прохождении организацией реабилитационной процедуры банкротства
|
Форма
отчетности
|
Базовые
показатели
|
Диапазон уровня
существенности
|
|
|
|
|
Бухгалтерский
баланс
|
Валюта баланса
|
2 - 7%
|
|
Отчет о
прибылях и убытках
|
Выручка от
продаж
|
5 - 10%
|
|
Прочие доходы
|
5 - 10%
|
|
Форма
отчетности
|
Базовые
показатели
|
Диапазон уровня
существенности
|
|
|
|
|
Реестр
требований кредиторов
|
Сумма
требований кредиторов первой очереди
|
2-7%
|
|
Сумма
требований кредиторов второй очереди
|
5-10%
|
|
Сумма
требований кредиторов третьей очереди, обеспеченных залогом
|
2-7%
|
|
Сумма
требований кредиторов третьей очереди в части основного долга
|
2-7%
|
|
Сумма
требований в части процентов, начисленных в ходе моратория на удовлетворение
требований кредиторов в процедурах банкротства
|
2-7%
|
|
Сумма
требований кредиторов третьей очереди в части финансовых санкций
|
5-10%
|
Алгоритм расчета состоит в следующем;
. Рассчитать долю каждого базового
показателя в соответствии с выбранным уровнем существенности из диапазона
значений для данного показателя.
. Рассчитать среднее арифметическое
значение долей.
. Найти наименьшее значение доли и
процент отклонения от среднего показателя.
. Найти максимальное значение доли
и процент отклонения от среднего показателя.
. Исключить из расчета среднего
показателя максимально отклоняющееся значение доли.
. Рассчитать новое среднее
арифметическое долей базовых показателей после исключения максимального
отклоняющегося значения.
. Округлить среднее арифметическое
значение. При округлении значение величины существенности может измениться не
более чем на 10% в ту или иную сторону от среднего значения.
. Общая величина существенности
может быть распределена между статьями отчетной информации на основании
удельных весов проверяемых показателей.
Для расчета уровня существенности могут
использоваться как показатели текущего периода, так и усредненные показатели
текущего и предшествующих периодов. В случае банкротства показатели текущего и
предшествующего периодов, как правило, несопоставимы в связи с существенными
изменениями в деятельности организации. Поэтому для бухгалтерского баланса и
отчета о прибылях и убытках следует использовать только показатели текущего
периода. От усредненных показателей можно отказаться также в условиях инфляции
и нестабильной экономики, когда возникает необходимость пересчитывать данные
предыдущего периода в зависимости от ценовых индексов для приведения их в
сопоставимый вид.
Определив уровень существенности, при
проверке не следует исключать те статьи отчетности, значения которых находятся
ниже. Необходимо отобрать счета, которые подлежат проверке по данным
оборотно-сальдовой ведомости или главной книги, учитывая не только величину
сальдо, но и оборотов по счету. При проверке конкретного счета суммируются
выявленные ошибки. Затем определяется общее искажение сальдо (оборота) счета и
сопоставляется с уровнем существенности той формы отчетности, где оно
отражается.
Для определения уровня существенности в
ходе ликвидационной процедуры конкурсного производства предлагаем иную методику
расчета. В конкурсном производстве проверке подлежат промежуточный
ликвидационный и ликвидационный балансы, а также отчет конкурсного
управляющего. В отчете представлена информация о формировании конкурсной массы,
о расходах на проведение процедуры и об удовлетворении требований кредиторов за
весь период конкурсного производства. Особенность ликвидационного баланса
состоит в том, что статьи актива не содержат остатков каких-либо денежных
средств или иного имущества, а общий итог актива и пассива равен нулю.
Следовательно, показатели баланса не могут быть использованы при расчете уровня
существенности.
В качестве базовых показателей предлагаем
использовать ключевые показатели, характеризующие проведение конкурсного
производства: размер сформированной конкурсной массы, величина внеочередных
расходов, а также реестр требований кредиторов (графа 2 табл. 2.3). Из реестра
используется величина признанных требований кредиторов в разрезе очередей.
Таблица 2.3 - Определение уровня
существенности
|
Базовый
показатель
|
Значение
базового показателя, руб.
|
Диапазон уровня
существенности, %
|
Уровень
существенности
|
Значение,
применяемое для нахождения уровня существенности, руб.
|
|
1
|
2
|
3
|
4
|
5
|
|
|
|
|
|
Из сложившейся практики были определены
нижняя и верхняя границы диапазона критериев для расчета существенности (графа
3 табл. 2.3). В каждой конкретной проверке аудитор субъективно выбирает то
или иное значение из этого интервала (графа 4 табл. 2.3). Установление
диапазонных границ позволяет подойти к расчету уровня существенности более
рационально и учесть условия хозяйственной деятельности конкретного предприятия
и профессиональное мнение аудитора.
Процедура нахождения уровня
существенности, все арифметические расчеты, усреднения, округления и причины,
на основании которых аудитор исключил какие-либо значения из расчетов,
отражаются в рабочей документации проверки. Конкретное значение уровня
существенности одобряется руководителем аудиторской проверки.
По результатам аудиторских процедур
величина искажений определяется по сумме искажений как завышающих, так и
занижающих статьи и показатели проверяемой отчетности. При этом аудитор
сравнивает сумму всех обнаруженных ошибок с величиной существенности.
В ряде случаев количественная оценка
ошибок не производится, они считаются существенными независимо от суммы:
при намеренном искажении
показателей, так как это вызывает сомнения в честности и надежности менеджмента
и персонала аудируемой организации;
при наличии ошибок, искажающих
экономические показатели (аналитические коэффициенты платежеспособности,
рентабельности);
в случае отклонений порядка
ведения учета и подготовки отчетности от требований соответствующих нормативных
документов, если это носит важный характер по мнению аудитора;
при неправильном или неточном
описании и использовании учетной политики, когда становится очевидным, что это
может привести к появлению существенных ошибок, а также существует вероятность
того, что пользователь финансовой (бухгалтерской) отчетности будет введен в
заблуждение таким описанием;
при обнаружении противозаконных
операций или операций, в которых присутствует конфликт интересов.
В ходе аудита предварительно установленный
уровень существенности на промежуточных этапах аудиторской проверки может
изменяться (корректироваться) в большую или меньшую сторону. Значение уровня существенности,
полученное по завершении этапа планирования аудита, а также любые корректировки
значения уровня существенности в ходе проверки, утверждаются руководителем
аудиторской проверки и отражаются в рабочих документах [20].
2.4 Определение аудиторского риска
При проведении аудита в организации,
проходящей процедуры банкротства, аудитор должен стремиться к максимальному
снижению аудиторского риска. Его величина определяется путем комбинированной
оценки неотъемлемого риска, риска средств контроля и риска необнаружения на
стадии планирования аудиторской проверки.
При банкротстве организации, как правило,
имеют место высокие значения неотъемлемого риска и риска средств контроля. Это
обусловлено следующими причинами:
особый правовой статус
организации (наличие ограничений по некоторым хозяйственным операциям,
претензионный порядок расчетов с кредиторами);
Отсутствие специальных
нормативных актов, регулирующих порядок бухгалтерского учета при банкротстве
юридического лица;
сложность финансово-хозяйственных
операций при банкротстве, вызванных продажей имущества, участием в судебных
процессах;
множество нетипичных операций, по
которым нет однозначного толкования в бухгалтерском и налоговом
законодательстве;
смена руководства (внешнее
управление, конкурсное производство) или ограничение его полномочий
(наблюдение, финансовое оздоровление);
противоречие интересов
собственников и кредиторов, порождающее мошенничества;
конфликты между руководством
должника и арбитражным управляющим;
заинтересованность и давление со
стороны кредиторов с целью влияния на сумму долга;
сокращение численности
бухгалтерского персонала, потеря квалифицированных сотрудников в связи с
задержкой заработной платы;
смена главного бухгалтера в связи
со сменой руководства;
излишняя заинтересованность в
формировании бухгалтерских записей работниками, сфера деятельности которых не
связана с финансовыми вопросами в связи с неплатежеспособностью.
Риск аудитора возрастает в связи с
возможностью искажения отчетности вследствие недобросовестных действий
руководства должника, арбитражного управляющего или отдельных кредиторов.
Ситуация ухудшается при наличии сговора этих лиц, фиктивном или преднамеренном
банкротстве.
И рискам, связанным с деятельностью
арбитражного управляющего, можно отнести следующее:
зависимость вознаграждения
арбитражного управляющего от размера конкурсной массы, что может вызвать
искажение этого показателя;
установление вознаграждения
арбитражного управляющего на повременной основе, что может привести к
затягиванию процедуры банкротства;
заинтересованность арбитражного
управляющего в приобретении активов организации-банкрота для осуществления
собственного бизнеса;
ведение арбитражным управляющим
нескольких процедур банкротства, объединенных одним крупным кредитором;
несоответствие опыта работы
управляющего и числа успешно завершенных процедур банкротства масштабам
деятельности ликвидируемого должника;
наличие тенденции замены
сотрудников должника (особенно занятых в сфере экономики и финансов) и найма
сотрудников с недостаточным опытом и знаниями;
ограничение доступа аудитора к
общению с работниками должника или кредиторами (направление запросов).
К обстоятельствам, повышающим риски,
связанные с кредиторами, можно отнести следующее:
в составе кредиторов один или
группа взаимосвязанных кредиторов занимают доминирующее положение;
величина задолженности пред
кредитором существенно возросла в течение незначительного периода времени,
предшествующего банкротству;
конфликты или разногласия по
поводу лица, ведущего реестр требований кредиторов (независимый
реестродержатель или арбитражный управляющий).
Значительный риск связан с незаконным
присвоением активов или наращиванием сумм кредиторской задолженности с целью
контроля за процедурой банкротства, а именно:
затягивание передачи дел
руководством должника (обязанность передать документацию и материальные
ценности в течение трех дней с момента назначения конкурсного управляющего
установлена Законом о банкротстве);
утрата бухгалтерской
документации, «пробелы» в учете, неведение учета;
затягивание проведения
инвентаризации арбитражным управляющим после вступления в должность;
отсутствие организации охраны
после принятия дел управляющим;
отсутствие надлежащего
документирования операций;
значительный оборот наличных
денежных средств в связи с проволочками при открытии / закрытии расчетных
счетов, обусловленными банкротством (использование только одного счета, отзыв
картотеки, отмена приостановления операций по счету, оформление полномочий
управляющего распоряжаться счетом).
Следует организовать проверку учета и
отчетности фирмы при банкротстве так, чтобы снизить насколько возможно величину
риска необнаружения и тем самым свести общий аудиторский риск до приемлемого
значения. Для этого необходимо получить большее число аудиторских доказательств
в ходе процедур проверки по существу.
Приведенные в Федеральном правиле
(стандарте) аудита №8 «Понимание деятельности аудируемого лица, среды, в
которой она осуществляется, и оценка рисков существенного искажения аудируемой
финансовой (бухгалтерской) отчетности» общие положения об оценке рисков на
качественном уровне - высокий, средний, низкий - весьма субъективны, так как
приведенные термины каждый аудитор и пользователь может понимать по-своему. В
то же время оценка аудиторского риска с привлечением статистического аппарата
слишком трудоемка [25].
Традиционная методика основана на
использовании тест-вопросников для оценки риска. Чем подробнее сформирован тест
оценки, тем объективнее результат опроса, Применяется балльная система оценки
аудиторского риска в тосте: низкий - 0, средний - 1, высокий - 2. Максимальная
сумма баллов по тесту принимается за 100%. На основании профессионального
суждения выработана шкала оценки аудиторского риска (табл. 2.4).
Таблица 2.4 - Шкала оценки аудиторского риска
|
Оценка уровня
аудиторского риска
|
|
Низкий
|
менее 60
|
|
Средний
|
от 60 до 70
|
|
Высокий
|
свыше 70
|
Он может быть расширен за счет включения
большего числа вопросов о состоянии дел в бухгалтерии и наличии стандартных
средств контроля.
Оценка неотъемлемого риска и риска средств
контроля в значительной степени зависит от профессионализма и опыта аудитора. В
ходе проведения проверки оценка неотъемлемого риска может меняться в
зависимости от обстоятельств, происходящих у клиента. Это связано с получением
аудитором дополнительной информации, в том числе неизвестных ранее
дополнительных сведений, которые также должны отражаться в рабочих документах
Для оценки риска необнаружения можно
использовать следующую табл. 2.5.
Таблица 2.5 - Допустимые значения риска
необнаружения ошибки
|
Аудиторская
оценка неотъемлемого риска
|
Аудиторская
оценка риска средств контроля
|
|
Низкий
|
Средний
|
Высокий
|
|
Низкая
|
Самая низкая
|
Более низкая
|
Средняя
|
|
Средняя
|
Более низкая
|
Средняя
|
Более высокая
|
|
Высокая
|
Средняя
|
Более высокая
|
Самая высокая
|
Таким образом, по выше изложенной методике
определяем величину аудиторского риска. Максимальная сумма баллов по тестам
«Оценка неотъемлемого риска» и «Оценка риска средств контроля» составляет,
соответственно, 40 и 16. Определяем фактическую сумму баллов теста по
результатам опроса сотрудников и ознакомления с предприятием и выражаем в
процентном соотношении. Далее, определяем неотъемлемый риск и риск средств
контроля по табл. 2.4. В заключении определяем риск необнаружения по табл. 2.5.
2.5 Подготовка плана и аудиторской проверки
предприятий, находящихся в стадии банкротства
Планирование аудита является одним из важнейших процессов в
осуществлении аудиторской проверки. Нормы, применяемые при этом, описаны в
федеральном правиле аудиторской деятельности №3 «Планирование аудита». Следует
отметить, что каждая аудиторская фирма или аудитор, работающий самостоятельно в
качестве индивидуального предпринимателя, в соответствии с Правилом аудиторской
деятельности «Планирование аудита» составляет собственный план и программу
аудиторской проверки предприятия.
Разработка общего плана и программы аудита основывается на
предварительных данных об экономическом субъекте, а также на результатах проведенных
аналитических процедур.
В процессе подготовки общего плана и программы аудита
аудиторская организация оценивает эффективность системы внутреннего контроля,
действующей у экономического субъекта, и производит оценку самой системы
внутреннего контроля.
При подготовке общего плана и программы аудита аудиторской
организации следует установить приемлемые для нее уровень существенности и
аудиторский риск, позволяющие считать бухгалтерскую отчетность достоверной.
В общем плане определяются объем, методы и сроки проведения
аудита, включая подготовку информации (отчета) руководству аудируемого лица и
аудиторского заключения. Подготовка общего плана документируется в соответствии
с внутрифирменными стандартами.
Подготовка программы аудита осуществляется
на основании общего плана. В программе аудита детализируются указанные в плане
направления проверки и приводятся конкретные процедуры, которые должен
выполнить аудитор. Программы аудиторских процедур по существу составляются
ведущими аудиторами или старшими аудиторами для каждой области аудита и
документируются в соответствии с внутрифирменными стандартами.
3. Аудит ОАО «Тюменские Телефонные Сети»
3.1 Цели и задачи аудита процедуры наблюдения на
ОАО «Тюменские Телефонные Сети»
Целью аудита процедуры наблюдения на ОАО «Тюменские
Телефонные Сети» является выражение мнения о том, насколько достоверна
отчетность отражает финансовое положение несостоятельного предприятия в
соответствии с законодательством РФ, а также проведение анализа финансового
состояния должника.
Отчетность, подлежащая проверке в общем порядке можно
разделить на два вида: формируемая руководством предприятия - бухгалтерский
баланс, отчет о прибылях и убытках, отчет о движении денежных средств, отчет об
изменениях капитала, пояснительная записка к бухгалтерскому балансу;
формируемая арбитражным управляющим - сведения о финансовом состоянии должника,
предложения о возможности или невозможности восстановления платежеспособности
предприятия, протокол первого собрания кредиторов, и т.п.
Для достижения цели аудита процедуры наблюдения на ОАО
«Тюменские Телефонные Сети» необходимо решить следующие задачи:
- Подтверждение решения арбитражного суда о
признании организации несостоятельной.
- Подтверждение законности ведения
применяемой процедуры банкротства.
- Проверка соблюдения органами управления
требований действующего законодательства о банкротстве.
3.2 Оценка уровня существенности на ОАО
«Тюменские Телефонные Сети»
Для оценки уровня существенности необходимо рассчитать долю
каждого базового показателя в соответствии с выбранным уровнем существенности
из диапазона значений для данного показателя. Базовые показатели определили
следующие:
Валюта баланса = 88 336 тыс. руб.
Выручка от продаж = 17278 тыс. руб.
Прочие доходы = 25184 тыс. руб.
Сумма требований кредиторов первой очереди = 0 тыс.
руб.
Сумма требований кредиторов третьей очереди = 21571
тыс. руб.
Сумма требований кредиторов третьей очереди в части
основного долга = 20500 тыс. руб.
Сумма требований в части процентов, начисленных в
ходе моратория на удовлетворение требований кредиторов в процедурах банкротства
= 85 тыс. руб.
Далее находим долю каждого базового показателя в соответствии
с уровнем существенности для валюты баланса 2%, выручки от продажи 5%, прочих
доходов 5%, суммы требований кредиторов первой очереди 5%, второй 8%, третьей
5%, требований кредиторов третьей очереди в части основного долга 5%,
требований в части процентов, начисленных в ходе моратория на удовлетворение
требований кредиторов в процедурах банкротства 7%, требований кредиторов
третьей очереди в части финансовых санкций 5% и получили:
Валюта баланса = 88 336 * 0,02 = 1767 тыс. руб.
Выручка от продаж = 17278 *0,05 = 864 тыс. руб.
Прочие доходы = 25184 * 0,05 = 1260 тыс. руб.
Сумма требований кредиторов первой очереди = 0 *
0,05 = 0 тыс. руб.
Сумма требований кредиторов второй очереди = 327 *
0,08 = 26 тыс. руб.
Сумма требований кредиторов третьей очереди = 21571
* 0,05 = 1078 тыс. руб.
Сумма требований кредиторов третьей очереди в части
основного долга = 20500 тыс. руб. * 0,05 = 1025 тыс. руб.
Сумма требований в части процентов, начисленных в
ходе моратория на удовлетворение требований кредиторов в процедурах банкротства
= 85 тыс. руб.* 0,07 = 6 тыс. руб.
Затем рассчитываем среднее арифметическое значение долей и получаем
671 тыс. руб. ((1767 + 864 + + 1260 + 0 + 26 + 1078 + 1025 + 6 + 12) / 9 =
671).
Далее находим наименьшее значение доли и процент отклонения
от среднего показателя и аналогично максимальное, и исключаем их (0 и 1767).
Рассчитываем новое среднее арифметическое долей базовых
показателей после исключения максимального отклоняющегося значения, находим и
округляем 610 тыс. руб.
Таким образом, получили общую величину существенности 610
тыс. руб. Общая величина существенности может быть распределена между статьями
отчетной информации на основании удельных весов проверяемых показателей.
Библиографический
список
1. Гражданский
кодекс Российской Федерации (часть первая от 30.11.94 г. №51-ФЗ и часть вторая
от 26.01.96 г. №14-ФЗ);
2. Налоговый
кодекс Российской Федерации (часть первая от 31.07.1998 г. №146-ФЗ и часть
вторая от 05.08.2000 г. №117-ФЗ);
. Кодекс
Российской Федерации об административных правонарушениях (от 30.12.2001
№195-ФЗ);
. Российская
Федерация. Федеральный закон от 30.12.2008 №307-ФЗ «Об аудиторской
деятельности»;
. Российская
Федерация. Федеральный закон от 26.10.2002 №127-ФЗ «О несостоятельности
(банкротстве)»;
. Российская
Федерация. Федеральный закон «О бухгалтерском учете» от 21.11.96 г. №129-ФЗ;
. Российская
Федерация. Федеральный закон «Об акционерных обществах» от 26.12.95 г. №208-ФЗ;
. Правительство
РФ. Постановление от 23.09.2002 №696 «Об утверждении федеральных правил
(стандартов) аудиторской деятельности»;
. Минфин
РФ. Приказ Минфина РФ от 29.07.98 г. №34н «Об утверждении Положения по ведению
бухгалтерского учета и бухгалтерской отчетности в Российской Федерации»;
. Минфин
РФ. Приказ Минфина РФ от 02.07.10 г. №66н «О формах бухгалтерской отчетности
организаций»;
. Минфин
РФ. Приказ Минфина РФ от 06.10.08 г. №106н «Об утверждении Положения по
бухгалтерскому учету «Учетная политика организации» ПБУ 1/2008;
. Минфин
РФ. Приказ от 06.07.1999 №43н «Об утверждении Положения по бухгалтерскому учету
«Бухгалтерская отчетность организации» ПБУ 4/99;
. Минфин
РФ. Приказ от 06.05.1999 №32н «Об утверждении Положения по бухгалтерскому учету
«Доходы организации» ПБУ 9/99;
. Минфин
РФ. Приказ от 06.05.1999 №33н «Об утверждении Положения по бухгалтерскому учету
«Расходы организации» ПБУ 10/99;
. Минфин
РФ. Приказ от 08.11.2010 №143н «Об утверждении Положения по бухгалтерскому
учету «Информация по сегментам» ПБУ 12/2010;
. Минфин
РФ. Приказ от 19.11.2002 №114н «Об утверждении Положения по бухгалтерскому
учету «Учет расчетов по налогу на прибыль организаций» ПБУ 18/02;
. Минфин
РФ. Приказ от 28.06.2010 №63н «Об утверждении Положения по бухгалтерскому учету
«Исправление ошибок в бухгалтерском учете и отчетности» ПБУ 22/2010;
. Минфин
РФ. Приказ от 02.02.2011 №11н «Об утверждении Положения по бухгалтерскому учету
«Отчет о движении денежных средств» ПБУ 23/2011;
. Минфин
РФ. Приказ от 31.10.2000 №94н «Об утверждении Плана счетов бухгалтерского учета
финансово-хозяйственной деятельности организаций и Инструкции по его
применению»;
. Байкина
С.Г. Учет и анализ банкротств. / С.Г. Байкина. - М.: Издательско-торговая
корпорация «Дашков и К*», 2008. - 220 с.;
. Банк
В.Р. Бухгалтерский учет и аудит в условиях банкротства: Учеб. пособие / В.Р.
Банк, С.В. Банк, А.А. Солоненко - М.: ТК Велби, Изд-во Проспект, 2005. - 296
с.;
. Бархатов
А.П. Процедура банкротства / А.П. Бархатов, Е.Н., Назарян, А.Н. Малыгина, - М.:
Информационно-внедренческий центр «Маркетинг», 2007. - 432 с.;
. Бочаров
В.В. Финансовый анализ. Краткий курс. 2-е изд. - СПб.: Питер, 2008. - 240 с.;
. Жарылгасова
Б.Г. Анализ финансовой отчетности: учебник / Б.Г. Жарылгасова, А.Е. Суглобов. -
2-е изд., перераб. и доп. - М.: КНОРУС, 2008. - 304 с.;
. Кукина
И.Г. Учет и анализ банкротств: Учеб. пособие. - 2-е изд., испр. и доп. / И.Г.
Кукина, И.А. Асаханцева; под ред. И.Г. Кукиной. - М.: Финансы и статистика, 2006,
- 304 с.;
. Парушина
Н.В., Кыпитомова Е.А. Аудит: основы аудита, технология и методика проведения
аудиторских проверок: учебное пособие. - М.: ИД «ФОРУМ», 2009. - 560 с.;
. Подольский
В.И. Аудит: учебник / под общ. Ред. В.И. Подольского. - М.: Волтерс Клувер,
2010. - 672 с.;
. Полковский
Л.М. Анализ бухгалтерской отчетности: учебно-методический комплекс / под ред.
проф. Л.М. Полковского. - М.: Финансы и статистика, 2008. - 384 с.;
. Турманидзе
Т.У. Финансовый анализ хозяйственной деятельности предприятия: учебное пособие
/ Т.У. Турманидзе. - М.: Финансы и статистика, 2008. - 224 с.;
. Федорова
Г.В. Учет и анализ банкротств: учеб. пособие / В.Г. Федорова. - 2-е изд. Стер.
- М.: Омега-Л, 2008. - 248 с.;
31. Черненко
А.Ф. Анализ финансовой отчетности: учебное пособие / А.Ф. Черненко, А.В.
Башарина. - Ростов: Феникс, 2010. - 285 с.;
32. Чернова
М.В. Банкротство. Учет, анализ и аудит / Чернова М.В. - М.: Дело и Сервис,
2008. - 256 с.;
. Чиркова
М.Б. Учет и анализ банкротств: учеб. Пособие / М.Б. Чиркова, В.Б. Малицкая,
Е.М. Коновалова. - М.: Эксмо, 2008. - 240 с.
банкротство
ликвидность платежеспособность аудиторский