Функционирование банковских учреждений как субъектов хозяйствования на примере ОАО 'Белгазпромбанк'

  • Вид работы:
    Отчет по практике
  • Предмет:
    Банковское дело
  • Язык:
    Русский
    ,
    Формат файла:
    MS Word
    2,82 Мб
  • Опубликовано:
    2015-06-17
Вы можете узнать стоимость помощи в написании студенческой работы.
Помощь в написании работы, которую точно примут!

Функционирование банковских учреждений как субъектов хозяйствования на примере ОАО 'Белгазпромбанк'

СОДЕРЖАНИЕ

Введение

. Общая характеристика деятельности банка

.1 История банка

.2 Юридическая база формирования и функционирования банка

.3 Процедура государственного лицензирования деятельности банков

.4 Организационная структура управления

. Ознакомление с формами бухгалтерской и статистической отчётности банка. Анализ основных экономических показателей деятельности банка

.1 Формы бухгалтерской и статистической отчетности ОАО «Белгазпромбанк»

.2 Анализ основных экономических показателей деятельности банка

. Общая характеристика активных и пассивных операций деятельности банка

.1 Активные операции коммерческого банка

.2 Обзор кредитов, предоставляемых ОАО «Белгазпромбанк»

.3 Пассивные операции коммерческого банка

.4 Обзор вкладов, предлагаемых ОАО «Белгазпромбанк»

. Финансовое планирование. Управление финансами в банках

Заключение

Список использованных источников

Приложение А

Приложение Б

Приложение В

Приложение Г

Приложение Д

Введение


Переход Республики Беларусь к рыночным отношениям предъявляет новые требования к руководителям предприятий и специалистам в различных областях деятельности. Они должны обладать новым типом экономического мышления и поведения, умением принимать самостоятельные экономические решения на основе анализа и оценки текущей и перспективной экономической ситуации, четко формулировать цель развития и вырабатывать механизм достижения поставленных целей.

В условиях развития рыночных отношений, каждое предприятие, каждый предприниматель должны иметь хозяйственную стратегию, находить главное звено для победы в конкурентной борьбе. Без “стратегического видения” будущего, без поиска долговременных конкурентных преимуществ невозможно достичь эффективного функционирования бизнеса.

Банки - необходимый институт для общества на данном этапе развития. Они составляют неотъемлемую черту современного денежного хoзяйства, их деятельность тесно связана с потребностями воспроизводства. Находясь в центре экономической жизни, обслуживая интересы производителей, банки опосредуют связи между промышленностью и торговлей, сельским хозяйством и населением. Банки - это атрибут не отдельно взятого экономического региона или какой-либо одной страны, сфера их деятельности не имеет не географических, ни национальных границ, это планетарное явление, обладающее колоссальной финансовой мощью, значительным денежным капиталом.

Деятельность банковских учреждений так многообразна, что их действительная сущность оказывается неопределенной. В современном обществе банки занимаются самыми разнообразными видами операций. Они не только организуют денежный оборот и кредитные отношения; через них осуществляется финансирование народного хозяйства, страховые операции, купля-продажа ценных бумаг, а в некоторых случаях посреднические сделки и управление имуществом. Кредитные учреждения выступают в качестве консультантов, участвуют в обсуждении народнохозяйственных программ, ведут статистику, имеют свои подсобные предприятия.

Они помогают делать процесс производства непрерывным, концентрирую у себя для этого временно свободные денежные средств и направляя их туда, где они в данный момент необходимы. Специфика деятельности банков заключается в том, что они, в отличие от обычных предприятий, оперируют в основном чужими (привлеченными) средствами, и поэтому на них ложится огромная ответственность за сохранность доверенных им денег.

Государство, в первую очередь заинтересованное в поддержании безупречной репутации банков, устанавливает им определенные ограничения, нормативы - как обязательные для исполнения, так и рекомендательные, которые регулируют деятельность банков с целью обеспечения их надежности, ликвидности и достаточности капитала.

Целью практики стало изучение общих вопросов функционирования банковских учреждений как субъектов хозяйствования и приобретение базовых практических навыков работы по специальности.

Объектом прохождения практики является ОАО «Белгазпромбанк». Для достижения поставленной цели был решен ряд взаимосвязанных задач:

-        изучена история банка;

-        рассмотрена юридическая база формирования и функционирования банка, а также принадлежность к той или иной форме собственности;

         произведено ознакомление с формами бухгалтерской и статистической отчётности банка, проанализированы основные экономические показатели деятельности;

         изучена общая характеристика активных и пассивных операций деятельности банка;

         рассмотрено финансовое планирование и управление финансами в банках.

В качестве источников информации в отчете использовалась специальная литература по банковскому делу, данные периодической печати, бухгалтерская и статистическая отчетность банка и данные интернет-источников.

1. Общая характеристика деятельности банка


1.1 История банка


Банк - это автономное, независимое, коммерческое предприятие. В этом главное в понимании его сущности. Продуктом банка является, прежде всего, формирование платежных средств (денежной массы), а также разнообразные услуги в виде предоставления кредитов, гарантий, поручительств, консультаций, управления имуществом. Деятельность банка носит производительный характер.

Рассмотрим историю ОАО «Белгазпромбанк». Год образования банка - 1990. Предыдущие названия банка: Коммерческий банк «Экоразвитие» (с 27 сентября 1990 года по 31 июля 1991 года), 27 сентября 1990 года зарегистрирован в Госбанке СССР, Минский коммерческий банк «Экоразвитие» (с 31 июля 1991 года по 19 ноября 1992 года), Акционерный коммерческий банк «Экоразвитие» (с 19 ноября 1992 года по 20 октября 1993 года), Открытое акционерное общество «Олимп» (с 20 октября 1993 по 28 ноября 1997 года), Открытое акционерное общество «Белгазпромбанк» (с 28 ноября 1997 года по настоящее время).

Период, прошедший с той памятной даты 1990 года, когда решением собрания пайщиков был создан коммерческий банк «Экоразвитие» и утвержден его Устав, стал для финансовой и политической системы Беларуси, как и всех стран бывшего Советского Союза, целой эпохой.

Послуживший своего рода отправной точкой для последующих структурных трансформаций, завершившихся 27 ноября 1997 года регистрацией совместного белорусско-российского ОАО «Белгазпромбанк», банк «Экоразвитие» был зарегистрирован Государственным Банком СССР в 1990 году. По сути, с этого момента и начинается отсчет его деятельности. Первыми пайщиками выступили совместное предприятие «Интерприбор», фирма «Заптехноэкос» и ИПК «Эффект» (в дальнейшем состав пайщиков менялся - в первый год среди них побывали «Белбытпром», «Жилкомбанк», малое предприятие «Оптус», ТПИК центр «Полифакт», «Заптехноэкос», «Белбытсоюз»). И хотя в целом акционерами (в ноябре банк был преобразован из паевого в акционерный) «Экоразвития» являлись 49 юридических и физических лиц, к концу 1991-началу 1992 года стабилизировался состав наиболее крупных из них. Это акционерное общество «ВИТТ», производственная фирма «Сизбор»,научно-производственный центр «Ребус», футбольный клуб «Динамо», информационно-культурный центр «Родник», малое внедренческое предприятие «Реформа», малое предприятие «Сервисавто», союз предпринимателей и арендаторов Республики Беларусь.

В соответствии с новой редакцией Устава банка несколько сместились акценты его основной деятельности. Руководство банка в середине 1991 года провозгласило основной курс на поддержку малого бизнеса, содействие в реализации новой экономической политики республики в области денежного обращения, кредитования, финансирования, расчетов, оздоровление самой денежно-кредитной системы, повышение устойчивости и покупательной способности рубля. Среди этих устремлений особо выделялся фактор поддержки малого бизнеса. Активно нарождавшийся в те годы класс предпринимателей остро нуждался в новых банковских услугах, предлагаемых достаточно мобильными финансовыми учреждениями, возникающими по всей стране как конкуренты неповоротливым и громоздким банкам советской системы. Забегая вперед, необходимо отметить, что данная экономическая стратегия и ориентация на малый, а затем и средний бизнес, хотя и несколько видоизменяясь с течением времени, осталась в банке превалирующей. А некоторые нынешние программы «Белгазпромбанка», разворачиваемые, например, при помощи Европейского банка реконструкции и развития, предполагают дальнейшее укрепление позиций именно на этом сегменте негосударственного сектора экономики.

К сожалению, «Экоразвитию», несмотря на некоторые амбиции, все же так и не суждено было сыграть сколь-нибудь значимую роль в финансовом мире Беларуси. К концу третьего года существования банка решением собрания его акционеров было изменено название «Экоразвитие» на «Олимп», а также внесены соответствующие изменения в Устав, согласно которому банк «Олимп» создавался в форме открытого акционерного общества.

Практически полностью изменился состав акционеров - теперь трое из семи членов Совета банка работали высшими менеджерами ЗАО «Пуше», остальные возглавляли предприятия «Бужена», «Интермарк», «Проинтекс» и «Танак». Кадровые перемены затронули не только акционеров «Олимпа», но и весь его персонал. Около пятидесяти высококвалифицированных специалистов перешли сюда в 1994 году из одного по тем временам самых крупных частных банков страны - банка «Беларусь». Так сформировалась своего рода команда единомышленников, имевшая немалый опыт финансовой деятельности в современном, универсальном белорусском кредитном учреждении. Председателем Правления зарегистрированного под новым названием банка стал Валерий Владимирович Селявко - в прошлом заместитель Председателя Правления «Беларусбанка» по внешнеэкономической деятельности.

Банк «Олимп» декларирует свой статус в экономике страны как «универсальная финансовая организация», оказывающая клиентам практически все виды банковских услуг и получает в Национальном банке Республики Беларусь 28 июня 1994 года Лицензию на совершение банковских операций, а затем еще ряд лицензий, укрепляющий его позиции - 1 ноября 1994 года Генеральную лицензию на проведение полного объема банковских операций в валюте, а 20 июля 1994 года Лицензию на деятельность депозитария. 25 августа 1994 года «Олимп» становится полноправным участником рынка ценных бумаг.

В 1994-1996 годах претерпевает значительные изменения структура «Олимпа». Помимо увеличения количества специализированных подразделений внутри самого банка, в марте 1994 года Правление решает открыть четыре филиала «Олимпа» в Минске и один в Сморгони. На протяжении 1994 года и в начале 1995-го банк «Олимп» наращивает обороты и доходы, расширяет сферу деятельности - открывает филиал в Витебске, становится членом международной системы обмена финансовой информации SWIFT. Кроме того, в период с июля 1994 года по апрель 1995 года Правление банка последовательно создает Кредитный и Финансовый комитеты, призванные разрабатывать и претворять в жизнь общую политику «Олимпа» в области кредитования, процентных ставок, ликвидности и достаточности капитала. Здесь необходимо вспомнить, что кредитный портфель банка «Олимп» на протяжении всего периода его функционирования под данным названием, оставался одним из наиболее «качественных» в финансовой системе Беларуси. К концу 1995 года окончательно формируется структура банка «Олимп» и его филиальная сеть. Теперь филиалов пять - три в Минске, по одному - в Витебске и Сморгони.

Закончив растить банк «вширь», руководство «Олимпа», начинает процесс его концептуальной перестройки, ведет мероприятия, направленные на переход банка на более высокий уровень в финансовом рейтинге страны. Подобного рода шаги к этому времени вынуждены были предпринимать многие кредитные учреждения Беларуси, собиравшиеся выстоять в непростой экономической и политической обстановке, сложившейся в стране к середине 90-х годов. Общее снижение доходности банковского бизнеса, вызванное спадом деловой активности, жесткая регламентация, а порой и прямой контроль государства за осуществлением банковской деятельности, значительное повышение норматива уставного фонда подталкивали финансистов к поиску путей выхода из назревавшего кризиса банковской системы. Начинается работа в режиме жесткой экономии, с одной стороны максимально минимизируя расходы, с другой - активизируя деятельность в направлениях, способных принести признание и прибыль пусть даже в несколько отдаленном будущем. «Олимп» стремится к отходу от характерной для большинства банков страны универсальности, к выработке определенной специализации. Выбор делается в пользу современных, высокотехнологичных видов банковских услуг, будь то пластиковые карты или услуги в области ценных бумаг. Этого требует и ситуация, складывающаяся на финансовом рынке, и перспективы дальнейшего развития.

«Олимп» стал первым белорусским банком, выпустившим «рублевую» пластиковую карту системы «Универсал», а в 1996 году продолжил участие в развитии межбанковской платежной системы «Белкарт».

В марте 1996 года «Олимп» становится членом Белорусского Союза инвесторов, а затем заключает партнерское соглашение с Европейским банком реконструкции и развития об участии в программах инвестирования малого и среднего бизнеса страны. Европейский Банк, применяющий в странах СНГ практику ведения различных программ, содействующих развитию рыночной экономики, в партнеры выбирает, как правило, лучшие местные банки, хорошо зарекомендовавшие себя на внутреннем и внешнем рынке, имеющие показатели, свидетельствующие об их безусловной устойчивости и надежности.

Аудиторскую проверку банка теперь осуществляет крупнейшая международная компания «Прайс Уотерхаус». Она подтверждает надлежащий уровень ведения бизнеса высшим менеджментом «Олимпа».

На протяжении двух лет «Олимп» оставался наиболее активным партнером Европейского Банка Реконструкции и Развития. Во второй транше, выделенной ЕБРР республике в 1996-ом году, доля участия «Олимпа» составила 65%. С помощью западных инвестиций банк способствовал организации в Беларуси новых современных производств. Общий же объем привлеченных с его участием в экономику республики иностранных инвестиций превысил шесть с половиной миллионов долларов. Выбранная новая перспективная ориентация на газовый комплекс Беларуси и начавшиеся активные контакты с представителями Газпрома и Газпромбанка - ставшими в будущем основными акционерами «Олимпа», сменившего после перерегистрации название на «Белгазпромбанк» - наталкиваются на определенные, во многом субъективные проблемы внутри страны. Фактически три белорусских банка ведут борьбу за право стать представителем финансовых интересов Газпрома в Республике Беларусь. Однако, в середине 1997 года почти годовое противостояние заинтересованных сторон завершилось в пользу «Олимпа».

К осени этого же года был зарегистрирован доведенный до норматива, установленного Национальным Банком, уставный фонд «Олимпа», а также его новое название, отражающее принадлежность к мощной промышленно-финансовой империи - «Белгазпромбанк».

В ноябре 1997 года решением Национального банка Республики Беларусь он был окончательно преобразован в совместное белорусско-российское открытое акционерное общество «Белгазпромбанк». Его основными акционерами с российской стороны являются ОАО «Газпром» и КБ «Газпромбанк», с белорусской - ГП «Белтрансгаз» и Министерство по управлению государственным имуществом и приватизации. Средства, внесенные учредителями, позволили занять прочные позиции в банковском рейтинге республики по таким основным показателям, как надежность, ликвидность, платежеспособность.

Сегодня Белгазпромбанк стал системообразующим банком для предприятий негосударственного сектора экономики. Рост капитала позволил осуществлять крупнейшие проекты в масштабе страны. Накопленный опыт работы, квалифицированный персонал, влиятельные акционеры, доверие клиентов - все это создает хорошие предпосылки для дальнейшего движения вперед.

Белгазпромбанк не останавливается в своем развитии, постоянно совершенствуя качество обслуживания клиентов, ведь основная цель нашей деятельности - содействие в формировании в Республике Беларусь эффективного среднего класса в условиях рыночной экономики.

1.2 Юридическая база формирования и функционирования банка


Банк является совместной белорусско-российской коммерческой организацией, созданной в форме открытого акционерного общества, и в своей деятельности руководствуется законодательством Республики Беларусь и настоящим Уставом.

Банк является юридическим лицом с момента его регистрации в Национальном банке Республики Беларусь, имеет в собственности обособленное имущество на самостоятельном балансе, от своего имени приобретает имущественные и личные неимущественные права и несет обязанности, выступает истцом и ответчиком в хозяйственном, арбитражном и других судах.

Банк имеет печать со своим наименованием и изображением зарегистрированного товарного знака, дpугие печати, в том числе печати филиалов и иных подразделений, штампы, фиpменные бланки и иные атрибуты.

Банк создан на неопределенный срок.

Банк отвечает по своим обязательствам всем своим имуществом.

Банк не отвечает по обязательствам своих акционеров, а акционеры не отвечают по обязательствам Банка. Если экономическая несостоятельность (банкротство) Банка вызвана его акционерами или другими лицами, в том числе лицом, возглавляющим коллегиальный исполнительный орган Банка, имеющими право давать обязательные для Банка указания либо возможность иным образом определять его действия, на таких лиц при недостаточности имущества Банка возлагается субсидиарная ответственность по его обязательствам в соответствии с законодательными актами.

Банк не отвечает по обязательствам Республики Беларусь, ее административно-территориальных единиц, если иное не установлено законодательными актами.

Банк может в установленном порядке создавать, участвовать в создании и деятельности, а также приобретать доли в уставных фондах коммерческих юридических лиц с целью получения прибыли, участвовать в банковских группах и холдингах, являться членом союзов, ассоциаций и других некоммерческих организаций.

Банк вправе создавать филиалы и наделять их правами в пределах своей компетенции. Банк наделяет филиалы имуществом.

Филиал является территориально обособленным подразделением банка, не имеющим самостоятельного баланса, и не является юридическим лицом.

Филиалы Банка на территории Республики Беларусь и за ее пределами открываются в порядке, предусмотренном законодательством Республики Беларусь.

Руководители филиалов действуют на основании Типового положения о филиале и доверенностей, выдаваемых председателем правления Банка. Руководители филиалов вправе выдавать работникам соответствующего филиала доверенности в пределах предоставленных им полномочий.

Типовое положение о филиале утверждается правлением Банка.

Банк вправе осуществлять банковские операции и (или) иную деятельность вне места нахождения Банка, его филиала путем создания структурных подразделений, в том числе передвижных, расположенных вне места нахождения Банка, его филиала и не имеющих самостоятельного баланса (отделений, центров банковских услуг, расчетно-кассовых центров, обменных пунктов и других структурных подразделений), либо путем создания удаленных рабочих мест.

Сведения об операциях филиалов включаются в единый баланс Банка; их бухгалтерская отчетность утверждается в составе общей отчетности по Банку.

Банк вправе открывать представительства и наделять их правами в пределах своей компетенции. Банк наделяет представительства имуществом.

Представительства Банка на территории Республики Беларусь и за ее пределами открываются в порядке, установленном законодательством Республики Беларусь.

Руководители представительств действуют на основании положений о представительствах и доверенностей, выдаваемых председателем правления Банка.

Положения о представительствах утверждаются правлением Банка.

Сведения об операциях представительств включаются в единый баланс Банка; их бухгалтерская отчетность утверждается в составе общей отчетности по Банку

Таблица 1.1 - Акционеры ОАО «Белгапромбанк»

Наименование предприятия

Доля в уставном фонде

ОАО «Газпром» (Москва)

49,66%

«Газпромбанк» (Открытое акционерное общество)

49,66%

Открытое акционерное общество «Газпром трансгаз Беларусь»

0,49%

Республика Беларусь (уполномоченный держатель - Министерство энергетики Республики Беларусь)

0,18%

Другие

0,01%


1.3 Процедура государственного лицензирования деятельности банков

государственный лицензирование банк отчетность

По существу, лицензирование является одной из необходимых мер вмешательства государства в экономику. Конституция Республики Беларусь (ст. 13 Конституции) допускает такое вмешательство, но только в интересах человека и общества; государство также обеспечивает направление и координацию государственной и частной экономической деятельности в социальных целях.

В соответствии со статьей 26 Банковского кодекса Республики Беларусь Правление Национального банка Республики Беларусь постановило утвердить порядок государственной регистрации и лицензирования деятельности банков и небанковских кредитно-финансовых организаций. В связи с этим было утверждено Постановление Правления Национального банка Республики Беларусь от 28.06.2011г. № 175 «Об утверждении инструкции о порядке государственной регистрации и лицензирования деятельности банков и небанковских кредитно-финансовых организаций».

В инструкции отражены все те моменты, которые необходимы для лицензирования деятельности банков и небанковских кредитно-финансовых организаций.

Так, пунктом 61 Инструкции определено, что решение о выдаче лицензии, внесении изменений и (или) дополнений в перечень банковских операций, указанный в выданной банку лицензии, принимается Правлением Национального банка. Лицензия с указанием в ней перечня банковских операций, которые банк вправе осуществлять, выдается банку одновременно со свидетельством о государственной регистрации. Банк также вправе обратиться в Национальный банк с заявлением о внесении изменений и (или) дополнений в перечень банковских операций, указанный в выданной банку лицензии, только при наличии у него установленных отдельными нормативными правовыми актами Национального банка технических возможностей для осуществления соответствующих банковских операций. Таким образом, для внесения изменений и (или) дополнений в перечень банковских операций, указанный в выданной банку лицензии, банк представляет в Национальный банк:

заявление о внесении изменений и (или) дополнений в лицензию за подписью уполномоченного лица банка;

документы, подтверждающие наличие технических возможностей для осуществления соответствующих банковских операций в соответствии с требованиями, установленными нормативными правовыми актами Национального банка;

документы, необходимые для государственной регистрации соответствующих изменений и (или) дополнений, вносимых в учредительные документы банка.

Срок документов, представленные на рассмотрение для получения лицензии, рассматриваются в срок, не превышающий два месяца с момента их представления. Многие могут не согласиться с таким сроком, но я считаю что это вполне оправдано. Предоставление лицензии банку требует тщательных проверок, поскольку в случае несостоятельности банка выполнить определенные условия поспособствует как подрыву доверия граждан как к самому банку, так и к государству в целом.

Необходимо помнить и о том, прежде чем выдать лицензию, структурное подразделение Национального банка, осуществляющее банковский надзор, проводит проверку наличия технических возможностей банка для осуществления соответствующих банковских операций.

В случае создания банка в г. Минске, проверка наличии технических возможностей банка для осуществления банковских операций проводит соответствующее главное управление по месту нахождения банка.

Говоря об устойчивости финансового положения банка, следует выделить следующие критерии: прозрачность структуры собственности, включая такие, как:

достаточность объема раскрываемой информации о структуре собственности банка;

доступность информации о лицах (группах лиц), оказывающих прямо или косвенно (через третьи лица) существенное влияние на решения, принимаемые органами управления банка;

наличие и размер доли в нормативном капитале банка на момент подачи заявления о внесении изменений и дополнений в перечень банковских операций, указанный в выданной банку лицензии: юридических лиц (организаций), зарегистрированных на территории государств (территорий), в которых действует льготный налоговый режим и (или) не предусматривается раскрытие и предоставление информации о финансовых операциях (оффшорных зон);

достаточность и структура капитала банка (на мой взгляд, этот показатель является одним из основных);

качество активов банка, включая оценку проблемных активов, полноту создания резервов на покрытие возможных убытков по активам и операциям, не отраженным на балансовых счетах, выполнение нормативов ограничения кредитных рисков;

финансовая эффективность, включая наличие прибыли с учетом создания резервов, оценку рентабельности активов и капитала;

состояние ликвидности, включая оценку выполнения норматива краткосрочной ликвидности, наличия фактов неоднократного в течение последних шести месяцев неудовлетворения требований отдельных кредиторов по денежным обязательствам и (или) неисполнения обязанности по уплате обязательных платежей в течение трех и более дней со дня наступления даты их исполнения в связи с отсутствием или недостаточностью денежных средств на корреспондентских счетах банка.

В соответствии с пунктом 69 Инструкции, для получения права на осуществление банковских операций по привлечению денежных средств физических лиц, не являющихся индивидуальными предпринимателями, во вклады (депозиты), открытию и ведению банковских счетов таких физических лиц, открытию и ведению счетов в драгоценных металлах, купле-продаже драгоценных металлов и (или) драгоценных камней, размещению драгоценных металлов и (или) драгоценных камней во вклады (депозиты) банк представляет в Национальный банк справку налогового органа по месту нахождения банка об отсутствии задолженности перед бюджетом и (или) государственными внебюджетными фондами.

Национальный банк вправе запросить иные документы, необходимые для подготовки заключения об устойчивом финансовом положении банка. В этом случае срок рассмотрения документов, представленных для внесения изменений и (или) дополнений в перечень банковских операций, указанный в выданной банку лицензии, продлевается на срок, который необходим для представления документов, запрашиваемых Национальным банком.

Гарантий эффективности и соответствия требуемым нормативам в деятельности банка является надзор.

Структурное подразделение Национального банка, осуществляющее банковский надзор, в срок, не превышающий 30 дней со дня представления документов, составляет заключение о финансовой устойчивости (неустойчивости) банка и наличии (отсутствии) у него нормативного капитала в размере, эквивалентном не менее 10 миллионам евро. Для целей составления заключения о финансовой устойчивости банка специалистами Национального банка может в установленном порядке проводиться тематическая проверка.

После получения лицензии, ее вносят в реестр, в котором указывают наименование банка, дата выдачи и номер выданной лицензии, перечень банковских операций, которые банк вправе осуществлять.

Основываясь на статье 82 Банковского кодекса, основанием в отказе в выдаче лицензии служит:

·        на момент проведения государственной регистрации уставный фонд банка не сформирован полностью;

·        в отношении одного из учредителей банка не исполнено судебное решение об обращении взыскания на имущество;

·        физическое лицо - учредитель банка имеет непогашенную или неснятую судимость за преступления против собственности и (или) порядка осуществления экономической деятельности;

·        учредитель банка имеет задолженность по заработной плате, платежам в бюджет и (или) государственные целевые бюджетные и (или) внебюджетные фонды либо является учредителем (участником, собственником имущества, руководителем) юридического лица (простого товарищества (договора о совместной деятельности), хозяйственной группы), имеющего такую задолженность;

·        учредитель банка является учредителем (участником, собственником имущества, руководителем) юридического лица, в отношении которого принято решение о ликвидации, но процесс ликвидации не завершен;

·        учредитель банка является общественным объединением, преследующим политические цели;

·        для государственной регистрации банка представлены не все документы;

·        в документах, представленных для государственной регистрации банка, выявлены недостоверная информация, несоответствие бизнес-плана критериям, установленным Национальным банком;

·        установлены факты использования привлеченных денежных средств и (или) направления доходов, полученных незаконным путем, на формирование уставного фонда банка;

·        устав банка или иные документы, представленные для его государственной регистрации, не соответствуют законодательству Республики Беларусь или нарушен порядок создания банка. (приложение Е)

Государственная регистрация банка и лицензирование, соответственно, не производится также в случае несоответствия кандидатов на должности руководителя, главного бухгалтера банка квалификационным требованиям и требованиям к деловой репутации, предъявляемым к ним, или установления специальной квалификационной комиссией Национального банка недостаточной квалификации указанных лиц.

В случае утраты лицензии банку выдается ее дубликат.

Образец свидетельства о государственной регистрации «Белгазпромбанка» приведен в приложении А.

Образцы лицензий ОАО «Белгазпромбанк» приведены в приложени Б.

По моему мнению, лицензирование деятельности банков выполняет защитную функцию не только для общества и государства, но и для национальной экономики в целом.

1.4 Организационная структура управления


В соответствии с утвержденными Правлением банка Положениями по каждому самостоятельному структурному подразделению ОАО «Белгазпромбанк» предусмотрен перечень осуществляемых банковских операций.

Подразделения банка подразделяются на:

· доходные;

·        неприносящие доход.

К первым относятся:

· управление кредитования;

·        управление инвестиций;

·        управление ресурсов;

·        управление рынка капиталов;

·        управление банковских карт и работы с населением.

Не приносящие доход подразделения:

· юридическое управление;

·        управление бухгалтерского учета;

·        управление автоматизациий.

Филиальная сеть банка состоит из 8 действующих филиалов, из них 3 расположены в г. Минске, по одному в Гродно, Витебске, Бресте, Гомеле и Бобруйске. Полномочия директоров и иных должностных лиц филиалов определены положениями по филиалам, доверенностями и должностными инструкциями. Основным документом, определяющим полномочия по принятию решений на филиале, является индивидуальная доверенность.

В банке осуществляют работу 4 комитета:

· кредитный комитет;

·        финансовый комитет;

·        комитет по ценным бумагам;

·        технический комитет.

Целью кредитного комитета является принятие обоснованных решений о предоставлении кредитов, а также обсуждение и принятие решений по другим вопросам, связанным с рациональным и безопасным размещением кредитных ресурсов. Основными задачами кредитного комитета является разработка и реализация кредитной политики банка; определение конкретных условий выдачи кредита, гарантий и поручительств ссудозаемщикам; снижение кредитного и процентного риска при формировании активов банка.

Финансовый комитет ОАО «Белгазпромбанк» создан в целях определения политики банка в области привлечения и размещения ресурсов, оценки связанных с этим рисков, решения функциональных задач, направленных на повышение эффективности деятельности банка. Финансовый комитет рассматривает политику банка в области структуры кредитных ресурсов и процентных ставок по ним; принимает решение о выдаче платных гарантий и устанавливает размер вознаграждения за их выдачу; рассматривает предложения структурных подразделений по новым банковским услугам.

Комитет по ценным бумагам ОАО «Белгазпромбанк» оценивает состояние портфеля ценных бумаг на основании материалов, представленного работниками подразделения по работе с ценными бумагами, рассматривает и утверждает стратегию и тактику работы банка на рынке ценных бумаг. Основными функциями финансового комитета являются:

· разработка инвестиционной политики банка в области ценных бумаг;

·        тактики поведения банка в условиях конкретного рынка;

·        устанавливает ограничения на объем инвестиций по используемым инструментам;

·        производит оценку риска всего портфеля ценных бумаг и отдельно по каждому направлению инвестирования.

Целью технического комитета ОАО «Белгазпромбанк» является изучение проблем развития современной технологической базы банка и выработка рекомендаций по их решению, а также выработка стратегии и тактики развития технологической базы банка.

2. Ознакомление с формами бухгалтерской и статистической отчётности банка. Анализ основных экономических показателей деятельности банка


2.1 Формы бухгалтерской и статистической отчетности ОАО «Белгазпромбанк»


В соответствии с действующим законодательством в отчетности, представляемой ОАО «Белгазпромбанк», обеспечивается:

• полнота отражения хозяйственных операций, осуществленных за отчетный период;

• правильность отнесения доходов и расходов к отчетным периодам;

• разграничение текущих затрат на производство (издержки обращения) и капитальные вложения;

• соответствие данных аналитического учета данным синтетического учета;

• соблюдение принятой учетной политики отражения хозяйственных операций и оценки объектов учета;

• подтверждение всех статей годового баланса и других форм годовой отчетности данными инвентаризации.

Представляемая банком отчетность делится на бухгалтерскую, статистическую и оперативную.

Бухгалтерская отчетность составляется на основании данных синтетического и аналитического учета, подтверждается первичными документами и содержит показатели финансовой деятельности банка.

Статистическая отчетность составляется для статистического изучения деятельности банка через систему количественных и качественных показателей, измерение и обобщение которых не характерны для бухгалтерского учета.

Оперативная отчетность составляется для текущего контроля и управления банком.

ОАО «Белгазпромбанк» представляет Национальному банку Республики Беларусь отчеты и другие материалы в сроки и по форме, установленные Национальным банком. ОАО «Белгазпромбанк» публикует годовой баланс и отчет о прибылях и убытках по форме и в сроки, установленные Национальным банком Республики Беларусь, после подтверждений достоверности представленных в них сведений аудиторской организацией.

При составлении годового бухгалтерского отчета банк руководствуется Постановлением Совета директоров Национального банка Республики Беларусь от 9 ноября 2011г. №507 «Об утверждении Инструкции по составлению годовой отчетности банками и небанковскими кредитно-финансовыми организациями Республики Беларусь», иными нормативными правовыми актами Национального банка Республики Беларусь.

Функциональная валюта и валюта отчетности - белорусский рубль. Данная финансовая отчетность представлена в миллионах белорусских рублей, если не указано иное.

Отчетным периодом является календарный год.

2.2 Анализ основных экономических показателей деятельности банка


На протяжении всей деятельности ОАО «Белгазпромбанк» динамично развивается на фоне благоприятной экономической конъюнктуры. Положительные тенденции в экономике региона, рост реальных доходов населения способствуют увеличению спроса на банковские услуги, о чем свидетельствуют итоги деятельности банка.

Основными экономическими показателями деятельности банка считаются: активы кредитной организации, отражающие размещение собственных и привлеченных средств; пассивы, указывающие на источники ресурсов. Кроме того, исследуется балансовая прибыль или убыток - положительный или отрицательный финансовый результат деятельности кредитной организации за определенный период времени.

Как свидетельствуют данные бухгалтерского баланса (приложение Д) структура активов ОАО «Белгазпромбанк» на 1 января 2014 года сложилась следующим образом:

денежные средства увеличилась на 42 500,9 млн. бел. руб;

количество кредитов увеличилось на 3264999,5 млн. бел. руб:

активы увеличились на 4736384,7 млн. бел. руб.

Анализ активов ОАО «Белгазпромбанк» приводит к следующим выводам: в целом по банку наблюдается рост активов. Большую часть активов составляют кредиты юридическим и физическим лицам, объем которых по состоянию на 1 января 2010 года составил 8 564 508,1 млн. бел. рублей.

ОАО «Белгазпромбанк» в течение 2013 года уделял большое внимание формированию и развитию ресурсной базы (пассивов).
Основными источниками формирования ресурсов банка являются собственные средства банка и привлеченные денежные средства. Пассивы банка по сравнению с прошлым годом увеличились на 4326769,3 млн. бел. рублей, и составили 13 064 830,4 млн. бел. рублей.

В 2012 году общая сумма прибыли ОАО «Белгазпромбанк» составила 341 352,8 млн. бел. руб., в 2013 году - более 496 663.3 млн. бел. руб.

Наибольшая доля в общей сумме доходов ОАО «Белгазпромбанк» принадлежит процентным доходам, полученных по предоставленным кредитам, также значителен вес комиссионных доходов (приложение В).

3. Общая характеристика активных и пассивных операций деятельности банка


3.1 Активные операции коммерческого банка


Активные операции коммерческого банка - это операции по размещению привлеченных и собственных средств коммерческого банка в целях получения дохода и создания условий для проведения банковских операций.

Активные операции коммерческого банка - это, прежде всего, кредитные операции, инвестиционные операции, операции по формированию имущества банка, расчетно-кассовые операции, комисссионно-посреднические (факторинг, лизинг, форфейтинг и пр.).

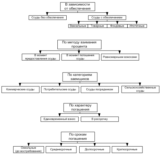
Все кредитные операции можно сгруппировать следующим образом (рисунок 3.1).

Активные операции - операции по размещению средств. В результате активных операций банки получают дебетовые проценты, которые должны быть выше кредитовых процентов, выплачиваемых банком по пассивным операциям. Разница между дебетовыми и кредитовыми процентами (маржа) - одна из важнейших традиционных статей дохода банка (банковская прибыль формируется и за счет комиссионных сборов за банковские услуги).

Активные операции банков - это операции по выдаче (размещению) различного рода кредитов. Наиболее часто встречающимся видом кредита, выдаваемого банками, является краткосрочная ссуда экономическим агентам, обычно для финансирования покупки товарно-материальных ценностей. Эта ссуда может выдаваться под реальное обеспечение или без него, но в любом случае для ее получения необходимо наличие отчетных финансовых документов, характеризующих финансовое положение заемщика с тем, чтобы банк мог в любой момент оценить вероятность своевременного погашения ссуды.

Рисунок 3.1 - Классификация кредитных операций

3.2 Обзор кредитов, предоставляемых ОАО «Белгазпромбанк»


В настоящее время ОАО «Белгазпромбанк» осуществляет кредитные операции как для физических, так и для юридических лиц. Рассмотрим кредиты для физических лиц. ОАО «Белгазпромбанк» предоставляет физическим лицам следующие виды кредитов:

. Кредит на приобретение и строительство недвижимости:

·        программа «Новоселы»;

·        программа «Новостройка»;

. Кредит на приобретение автотранспорта:

·        программа «Новый автомобиль»;

·        программа «Из рук в руки»;

·        программа «Автомобиль от дилера»;

. Кредит на потребительские нужды:

·        кредит «Под потребности»;

·        кредит «Карманные деньги»;

·        экспресс-кредит.

. кредитная карта:

·        кредитная карта «Быстрые деньги»;

·        кредитная карта «Суперкредитка»;

·        кредитная карта «Индивидуальная»;

·        кредитная карта «Удобный кредит»;

·        кредитная карта «Вояж».

Рассмотрим кредитные операции для юридических лиц. ОАО «Белгазпромбанк» предоставляет для юридических лиц следующие кредитные операции:

·        Кредиты на приобретение основных фондов и пополнение оборотных средств;

·        Кредит на покрытие овердрафта;

·        кредит «Свое авто» на приобретение автотранспорта у официальных дилеров;

·        кредит «Свой старт» вновь созданному юридическому лицу;

·        экспресс - быстрое кредитование «Свой бизнес» для развития бизнеса без залога имущества;

·        кредит «Своя недвижимость» на цели приобретения/строительства объектов недвижимости нежилого фонда;

·        «Комбинированный залог» - кредит с частичным обеспечением в виде залога имущества и поручительства третьих лиц;

·        «Служебная квартира» - кредит на приобретение недвижимости как служебное жилое помещение;

·        «Быстрее быстрого» - специальная программа для индивидуальных предпринимателей.

 

.3 Пассивные операции коммерческого банка


Пассивные операции коммерческого банка - это деятельность банка по аккумулированию собственных и привлеченных средств в целях их размещения.

Назначение операций коммерческого банка состоит в следующем:

§   обеспечение ресурсами деятельности банка;

§   формирование дополнительных источников средств для производительного использования в экономике;

§   увеличение доходов физических и юридических лиц, получающих банковские проценты по вкладам;

§   рост собственного капитала банка;

§   создание резервных фондов страхования банковских операций.

Пассивные операции - операции по мобилизации средств, а именно: привлечение кредитов, вкладов (депозитных, сберегательных), получение кредитов от других банков, эмиссия собственных ценных бумаг. Средства, получаемые в результате пассивных операций, являются основой непосредственной банковской деятельности.

Основные пассивные операции коммерческого банка - депозитные.

Депозитные операции - это срочные и бессрочные вложения клиентов банка. Средства, хранящиеся на счетах до востребования (бессрочные вклады), предназначаются для осуществления текущих платежей - наличными или через банк при помощи чеков, кредитных карточек или аккредитивов.

Другой вид депозитных вкладов - срочные вклады (с определенными сроками погашения). По этим вкладам обычно выплачиваются более высокие проценты, зависящие от срока вклада, поскольку банки могут более длительное время распоряжаться средствами вкладчика и имеют возможность реинвестировать их.

Чаще всего на срочные счета помещаются средства целевого назначения, например суммы, предназначенные предпринимателем для покупки оборудования через 6 месяцев.

К пассивным операциям относятся и различные сберегательные операции. Сберегательные депозиты служат для накопления средств клиента, о чем клиенту выдается свидетельство (сберегательная книжка).

К пассивным операциям коммерческого банка можно отнести:

§   создание и увеличение собственного капитала за счет отчислений от прибыли;

§   эмиссию ценных бумаг и их размещение на открытом рынке;

§   депозитные операции;

§   межбанковские займы на внутреннем и внешнем рынке (рисунок 3.2).

Среди депозитных операций выделяют следующие группы:

§   депозиты до востребования;

§   срочные и сберегательные депозиты.

Рисунок 3.2 - Привлеченные средства коммерческого банка

 

.4 Обзор вкладов, предлагаемых ОАО «Белгазпромбанк»


В настоящее время ОАО «Белгазпромбанк» принимает вклады как для физических, так и для юридических лиц.

Рассмотрим вклады для физических лиц. ОАО «Белгазпромбанк» принимает от физических лиц следующие виды вкладов: вклады в национальной валюте (таблица 3.1), в долларах США и евро, в российских рублях и интернет-вклады.

Таблица 3.1 - Вклады физических лиц в национальной валюте

Вклады

Условия вклада


Срок

Ставка, %

Капитализация

Вклад «2х2»

2

34

Ежемесячно

Вклад «Годовой»

12

35

Ежемесячно

Вклад «Рациональный»

24

34

Ежемесячно


Преимущества вклада «2х2»:

·        возможность пополнения суммы вклада в течение всего срока вклада;

·        возможность автоматического продления договора срочного банковского вклада на аналогичный срок при истечении срока возврата вклада два раза на условиях привлечения вкладов для данного вида вклада, действующих на момент автоматического продления договора срочного банковского вклада;

·        со дня, следующего за днем истечения срока возврата вклада, проценты по вкладу начисляются по процентной ставке, действующей в Банке для банковских вкладов «до востребования» в валюте вклада (за исключением случая автоматического продления договора срочного банковского вклада на новый срок при истечении срока возврата вклада, предусмотренного настоящими условиями);

·        банк не вправе в одностороннем порядке уменьшать размер процентной ставки по вкладу в течение срока действия вклада (за исключением изменения процентной ставки по вкладу при автоматическом продлении договора срочного банковского вклада на новый срок при истечении срока возврата вклада).

Преимущества вклада «Годовой»:

·        в период до 30 дней включительно с момента заключения договора срочного банковского вклада - процентная ставка, действующая в Банке в момент досрочного возврата вклада для банковских вкладов «до востребования» в валюте вклада, за все время нахождения во вкладе досрочно отзываемой суммы денежных средств;

·        в период от 31 дня до 90 дней включительно с момента заключения договора срочного банковского вклада - действовавшие процентные ставки, уменьшенные на 2 процентных пункта, за все время нахождения во вкладе досрочно отзываемой суммы денежных средств;

·        в период свыше 90 дней с момента заключения договора срочного банковского вклада - проценты не пересчитываются.

Преимущества вклада «Рациональный»:

·        Процентная ставка по вкладу плавающая, в том числе изменяется с изменением ставки рефинансирования

·        Снятие процентов, пополнение вклада.

Дифференцированная ставка при досрочном расторжении договора:

·        срок до 90 дней включительно - пересчитывается по ставке «до востребования»;

·        от 91 дня до 180 дней включительно - ставка вклада минус 4 процентных пункта;

·        от 181 дня до 360 дней включительно - ставка вклада минус 2 процентных пункта;

·        свыше 360 дней - проценты не пересчитываются.

Рассмотрим вклады физических лиц в иностранной валюте (таблица 3.2).

Вклад «на шесть месяцев»

Банк не вправе в одностороннем порядке изменять процентную ставку по вкладу в течение срока действия договора (за исключением изменения процентной ставки по вкладу при автоматическом продлении договора вклада на новый срок).

Таблица 3.2 - Вклады физических лиц в долларах США и евро

Вклады

Условия вклада


Срок, мес.

Ставка,%

Капитализация

Вклад «на шесть месяцев»

6

5,0

Ежемесячно

Вклад «на год»

12

5,2

Ежемесячно

Вклад «на 3 года»

36

5,5

Ежемесячно

Вклад «на 10 лет»

120

6

Ежемесячно

Вклад «деньги на вырост»

120

6

Ежемесячно


Дифференцированная процентная ставка при досрочном расторжении:

·        до 90 дней включительно - проценты пересчытываются по действующей ставке «до востребования» в валюте вклада;

·        свыше 90 дней - ставка вклада минус 1 процентный пункт.

Дополнительные условия:

·        ежемесячная капитализация либо снятие процентов;

·        пополнение вклада;

·        автоматическое продление договора вклада на аналогичный срок при истечении срока возврата вклада два раза на условиях, действующих на момент автоматического продления договора вклада;

·        по окончании срока вклада проценты начисляются по действующей процентной ставке для банковских вкладов «до востребования» в валюте вклада

Вклад «на год»

Банк не вправе в одностороннем порядке снизить процентную ставку по вкладу в течение первых 90 дней.

Дифференцированная процентная ставка при досрочном расторжении:

·        до 90 дней включительно - проценты пересчитываются по действующей ставке "до востребования" в валюте вклада;

·        свыше 90 дней - ставка вклада минус 0,5 процентных пункта.

Дополнительные условия:

·        ежемесячная капитализация либо снятие процентов;

·        пополнение вклада;

·        по окончании срока вклада проценты начисляются по действующей процентной ставке для банковских вкладов «до востребования» в валюте вклада.

Вклад «На 3 года»

Банк не вправе в одностороннем порядке снизить процентную ставку по вкладу в течение первых 180 дней.

Дифференцированная процентная ставка при досрочном расторжении:

·        до 180 дней включительно - проценты пересчитываются по действующей ставке "до востребования" в валюте вклада;

·        от 181 до 540 дней включительно - ставка вклада минус 0,5 процентных пункта;

·        свыше 540 дней - проценты не пересчитываются.

Дополнительные условия:

·        ежемесячная капитализация либо снятие процентов;

·        пополнение вклада;

·        по окончании срока вклада проценты начисляются по действующей процентной ставке для банковских вкладов «до востребования» в валюте вклада.

Вклад «На 10 лет»

Банк не вправе в одностороннем порядке уменьшать размер процентов, начисляемых по вкладу, в течение первых 360 дней.

Дифференцированная процентная ставка при досрочном расторжении:

·        до 180 дней включительно - проценты пересчитываются по действующей ставке "до востребования" в валюте вклада;

·        от 181 до 360 дней включительно - ставка вклада минус 1 процентный пункт;

·        от 361 до 720 дней включительно - ставка вклада минус 0,8 процентных пункта;

·        от 721 до 1 440 дней включительно - ставка вклада минус 0,5 процентных пункта;

·        свыше 1 440 дней - проценты не пересчитываются.

Дополнительные условия:

·        ежемесячная капитализация либо снятие процентов;

·        возможность пополнения суммы вклада в течение всего срока вклада;

·        по окончании срока вклада проценты начисляются по действующей процентной ставке для банковских вкладов «до востребования» в валюте вклада.

Вклад «Деньги на вырост»

·        вклад оформляется от имени (на имя) несовершеннолетнего лица;

·        заключение договора вклада от имени несовершеннолетнего в возрасте до 14 лет (малолетнего) его законными представителями (родителями, усыновителями, опекуном) осуществляется при предъявлении документов, удостоверяющих личность законных представителей, документа, удостоверяющего личность малолетнего (паспорт либо свидетельство о рождении), а также, при необходимости, документов, подтверждающих законное представительство;

·        заключение договора вклада на имя другого лица - несовершеннолетнего, осуществляется при предъявлении вносителем своего документа, удостоверяющего личность, а также документа, удостоверяющего личность несовершеннолетнего (паспорт либо свидетельство о рождении), либо его копии.

Банк не вправе в одностороннем порядке уменьшать размер процентов, начисляемых по вкладу, в течение первых 360 дней.

Дифференцированная процентная ставка при досрочном расторжении:

·        от 361 до 720 дней включительно - ставка вклада минус 1 процентный пункт;

·        свыше 720 дней - проценты не пересчитываются.

Дополнительные условия:

·        ежемесячная капитализация либо снятие процентов;

·        возможность пополнения суммы вклада в течение всего срока вклада;

·        по окончании срока вклада проценты начисляются по действующей процентной ставке для банковских вкладов «до востребования» в валюте вклада.

Рассмотрим вклад в российских рублях «На 36 месяцев» (таблица 3.3).

Таблица 3.3 - Условия вклада «На 36 месяцев»

Срок вклада

36 месяцев

Ставка по вкладу, %

9

Капитализация

Ежемесячно


Банк не вправе в одностороннем порядке снизить процентную ставку по вкладу в течение первых 90 дней.

Дифференцированная процентная ставка при досрочном расторжении:

·        до 90 дней включительно - проценты пересчитываются по действующей ставке "до востребования" в валюте вклада;

·        от 90 до 360 дней включительно - ставка вклада минус 1 процентный пункт;

·        свыше 360 дней - проценты не пересчитываются.

Дополнительные условия:

·        ежемесячная капитализация либо снятие процентов;

·        пополнение вклада;

·        по окончании срока вклада проценты начисляются по действующей процентной ставке для банковских вкладов «до востребования» в валюте вклада.

Рассмотрим интернет-вклады физических лиц (таблица 3.4).

Таблица 3.4 - Интернет-вклады физических лиц

Вклад

Валюта вклада

Условия вклада



Срок, мес.

Ставка,%

Выплата процентов

Минимальная сумма первоначального взноса (в валюте вклада)

ON-вклад v.1.0

BYR

30

34,5

По истечению срока вклада

500000

ON-вклад v.2.0

USD

3

5

По истечению срока вклада

50

ON-вклад v.3.0

EUR

3

5

По истечению срока вклада

50

ON-вклад v.4.0

RUR

3

8,5

По истечению срока вклада

1500


Преимущества интернет-вклада в белорусских рублях:

·        возможность пополнения вклада с помощью инфокиосков и «Интернет-банк» - не позднее 2 дней до истечения срока вклада, в отделениях ОАО «Белгазпромбанк» (за исключением касс и обменных пунктов) - в течение всего срока действия договора вклада;

·        вклад пополняется на след рабочий день после проведения операции пополнения в интернет банке;

·        банк не вправе в одностороннем порядке изменять процентную ставку в течение срока действия договора вклада;

·        при досрочном расторжении договора вклада проценты по вкладу начисляются и выплачиваются по ставке «до востребования». Досрочное расторжение производится только в офисе банка.

Преимущества вклада в долларах США:

·        ежемесячная капитализация процентов;

·        возможность пополнения вклада с помощью инфокиосков и «Интернет-банк» - не позднее 2 дней до истечения срока вклада, в отделениях ОАО «Белгазпромбанк» (за исключением касс и обменных пунктов) - в течение всего срока действия договора вклада;

·        вклад пополняется на следующий рабочий день после проведения операции пополнения в интернет банке;

·        банк не вправе в одностороннем порядке изменять процентную ставку в течение срока действия договора вклада;

·        при досрочном расторжении договора вклада проценты по вкладу начисляются и выплачиваются по ставке «до востребования». Досрочное расторжение производится только в офисе банка.

Преимущества интернет-вклада в евро:

·        ежемесячная капитализация процентов;

·        возможность пополнения вклада с помощью инфокиосков и «Интернет-банк» - не позднее 2 дней до истечения срока вклада, в отделениях ОАО «Белгазпромбанк» (за исключением касс и обменных пунктов) - в течение всего срока действия договора вклада;

·        вклад пополняется на след рабочий день после проведения операции пополнения в интернет банке;

·        банк не вправе в одностороннем порядке изменять процентную ставку в течение срока действия договора вклада;

·        при досрочном расторжении договора вклада проценты по вкладу начисляются и выплачиваются по ставке «до востребования». Досрочное расторжение производится только в офисе банка.

Преимущества интернет-вклада в российских рублях:

·        ежемесячная капитализация процентов;

·        возможность пополнения вклада с помощью инфокиосков и «Интернет-банк» - не позднее 2 дней до истечения срока вклада, в отделениях ОАО «Белгазпромбанк» (за исключением касс и обменных пунктов) - в течение всего срока действия договора вклада;

·        вклад пополняется на след рабочий день после проведения операции пополнения в интернет банке;

·        банк не вправе в одностороннем порядке изменять процентную ставку в течение срока действия договора вклада;

·        при досрочном расторжении договора вклада проценты по вкладу начисляются и выплачиваются по ставке «до востребования». Досрочное расторжение производится только в офисе банка.

ОАО «Белгазпромбанк» предлагает юридическим лицам (резидентам и нерезидентам Республики Беларусь) размещать свои временно свободные денежные средства в белорусских рублях и иностранной валюте в срочные депозиты и депозиты до востребования.

ОАО «Белгазпромбанк» также выпускает собственные депозитные сертификаты. Сертификат является безусловным обязательством банка вернуть сумму, внесенную во вклад (депозит), и выплатить причитающиеся проценты.

Банковский депозит - денежные средства в белорусских рублях или иностранной валюте, размещаемые юридическими лицами в целях хранения и получения дохода на срок или до востребования. Доход по банковскому депозиту выплачивается в виде процентов. Привлечение денежных средств в депозиты оформляется договором банковского депозита.

Предлагаемые виды типовых депозитных договоров в белорусских рублях и иностранной валюте для юридических лиц и индивидуальных предпринимателей:

. договор банковского вклада до востребования;

. договор срочного банковского вклада “Классический:

·        фиксированная сумма и срок;

·        фиксированный процент;

·        ежемесячная выплата процентов;

·        отзыв (частичный или полный) и пополнение возможны только по дополнительному соглашению (с согласия банка).

. договор срочного банковского вклада “Универсальный:

фиксированная первоначальная сумма и срок;

фиксированный процент на сумму, не востребованную до окончания срока;

с правом досрочного отзыва с пересмотром процентной ставки;

возможность частичного или полного отзыва депозита с выплатой процентов за фактическое нахождение средств на счете согласно шкале.

. договор срочного банковского вклада “Премиальный (от 2 месяцев):

фиксированная первоначальная сумма и срок;

фиксированный процент на фактическую среднемесячную сумму остатка на счете;

возможность пополнения суммы без ограничений в течение первой половины срока действия депозита;

отсутствие возможности пополнения суммы депозита во второй половине срока действия депозита;

возможность досрочного (только полного) отзыва депозита с выплатой процентов за фактическое нахождение средств на счете согласно шкале.

4. Финансовое планирование. Управление финансами в банках


Сейчас планируют почти все. Планирование является самой основной из всех управленческих функций. Оно наводит мост между нашим нынешним положением и тем, которого мы хотим достичь. Планирование - это, по сути дела, выбор. Необходимость в нем возникает только тогда, когда обнаруживается альтернативный образ действий. Планирование - это система заранее принятых решений.

Планирование представляет собой деятельность, с помощью которой руководство организации (кредитной организации, банка) обеспечивает оптимальность ее функционирования, определяет вектор развития (курс движения), предвосхищает ее будущее, обеспечивает концентрацию усилий всех членов организации в едином направлении к достижению общих, задуманных и обозначенных (озвученных либо зафиксированных документально) целей. Конечным результатом планирования является «план», позволяющей наиболее рационально использовать имеющиеся экономические ресурсы.

Под планированием деятельности банка следует понимать формулирование (уточнение, пересмотр) политик банка на предстоящий период развития и определение системы практических мер, необходимых для их реализации, в форме составления обобщающего концептуального документа (документов), трактующего деятельность банка по отдельным ее направлениям. Планирование должно распространяться на все объекты банковского управления, т.е. на все сферы деятельности банка, на все осуществляющиеся в нем процессы или отношения либо на те из них, в отношении которых необходимость в планировании признана более настоятельной. При этом продолжительность планового периода не имеет жестких ограничений и может определяться каждым банком самостоятельно.

Руководителям банков постоянно приходится решать целый ряд сложнейших задач, среди которых:

-      определение приоритетов деятельности и выбор секторов финансового рынка, позволяющих банку оптимально использовать свой кадровый и клиентский потенциал, а также портфель банковских продуктов;

-        определение процентных ставок, обеспечивающих достаточную маржу; размещение свободных ресурсов, которое бы учитывало специфику пассивов, их стоимость, срочность, позволяло бы соблюдать определенные требования по части ликвидности, ограничения по рискам;

         определение тактики поведения на рынках, использование свободных ресурсов для проведения спекулятивных операций с ценными бумагами, валютными ценностями и т.д.;

         управление рисками, управление персоналом и филиалами, определение лимитов проводимых ими операций и т.д.

Эти и многие другие задачи сложно или даже невозможно решать, если руководители банка опираются только на интуицию. Для качественного их решения необходимо рационально организованное планирование.

Планирование - это многоуровневый процесс, охватывающий все подразделения банка и определяющий локальные и общие перспективы его развития. Результатом планирования является разработка:

-      перспективных планов, делающих акцент на формировании и размещении ресурсов в долгосрочной перспективе в целях достижения целей и задач, стоящих перед банком;

-        текущих планов (бизнес-планов), определяющих конкретные параметры деятельности банка в краткосрочной перспективе и реализующих долгосрочные цели и задачи банка.

В планах должны найти отражение:

·        содержание стратегических целей и задач банка;

·        анализ банковской и общеэкономической ситуации;

·        постановка текущих задач;

·        формулирование стратегии банка, т.е. общих подходов к достижению соответствующих задач;

·        механизмы распределения ресурсов;

·        формы контроля за выполнением плановых показателей.

Одним из инструментов, при помощи которых выполняются утвержденные планы, осуществляется контроль за деятельностью сотрудников банка, являются специальные документы, утверждаемые высшим органом, определяющим политику банка в целом и по отдельным направлениям деятельности.

В документах, фиксирующих политику банка, должно содержаться описание организационных структур, участвующих в реализации соответствующего направления; распределение обязанностей и ответственности руководителей и сотрудников банка; процедуры принятия решений; методика определения лимитов риска; методы документирования и исполнения решений; описание используемых инструментов (с приложением инструкций по их применению); процедуры учета и отчетности.

Основная цель системы планирования банка в современных условиях - формирование и адаптация стратегии банка, а также организация процесса оперативного планирования деятельности кредитной организации, обеспечивающие долгосрочный рост его стоимости и поддержание конкурентоспособности.

Для достижения данной цели в процессе планирования необходимо решить следующие задачи:

·        обеспечить формирование стратегических целей организации и тактики их реализации, соответствующих приоритетам, определенным акционерами и Советом директоров банка;

·        обеспечить единое видение целей и приоритетов развития банка для менеджмента и сотрудников кредитной организации, а также определить сферу ответственности каждого субъекта планирования в решении поставленных задач;

·        сформировать стратегические альтернативы развития кредитной организации и выбрать оптимальные с точки зрения их влияния на справедливую стоимость кредитной организации варианты ее развития;

·        структурировать бизнес банка и обеспечить согласованную деятельность высшего менеджмента и стратегических бизнес-единиц (СБЕ) кредитной организации в процессе реализации стратегии;

·        найти и выбрать программы и проекты развития банка, обеспечивающие реализацию его целей, определить их приоритетность с точки зрения влияния на достижение стратегических целей;

·        согласовать цели и программы развития с имеющимися ресурсными и прочими ограничениями деятельности банка;

·        обеспечить устойчивое финансовое состояние банка в процессе реализации и развития стратегии, в том числе его безубыточную деятельность и ограничение принимаемых рисков величиной чистых активов (капитала) кредитной организации;

·        определить принципы и методы согласования оперативных решений и планов с утвержденной стратегией, сформировать технологический процесс текущего управления, обеспечивающий такое согласование;

·        своевременно определить моменты «изменения курса», внедрения новых инновационных возможностей, согласовать их с ресурсным потенциалом банка и его ключевыми приоритетами.

В системе управления деятельностью банка планирование занимает особое место, поскольку, по сути, определяет цели и содержание деятельности каждого отдельного подразделения банка и банка в целом. Более того, как верно отмечается в банковской теории, - «все элементы банковского менеджмента можно связать между собой именно единым плановым процессом»

Финансовое планирование - это планирование всех доходов и направлений расходования денежных средств банка для обеспечения его развития. Финансовое планирование осуществляется посредством составления финансовых планов разного содержания и назначения в зависимости от задач и объектов планирования.

Исходя из этого финансовые планы можно разделить на перспективные, текущие и оперативные.

Примером сочетания перспективного и текущего планирования является бизнес-план, который принято разрабатывать в экономически развитых странах при создании нового направления деятельности либо создания нового структурного подразделения банка. Он составляется на период от трех до пяти лет, поскольку как показывает практика, плановые разработки на более длительные периоды не могут быть достоверными.

Бизнес-план имеет сугубо индивидуальный характер. Его приспосабливают к конкретным особенностям, к потребностям данного банка в зависимости от складывающейся на момент разработки плана политической и экономической обстановки в стране, состояния законодательства и особенностей межбанковской конкуренции. В плане также учитывают результаты деятельности банка за истекший год.

Бизнес-план определяет политику банка по основным направлениям в области кредитной, депозитной, инвестиционной деятельности, по работе с клиентами, развитию сети банков-корреспондентов и филиальной сети.

Заключение


В процессе прохождения практики, я пришла к заключению, что ОАО «Белгазпромбанк» рассматривается в современной банковской системе Республики Беларусь не только как банк, традиционно специализирующийся на работе с населением, но и как банк, стремительно увеличивающий количество корпоративных клиентов. Белгазпромбанк на современном этапе завоевывает новые сегменты на рынке банковских услуг, расширяет диапазон перечня представляемых услуг.

В результате прохождения ознакомительной практики в ОАО «Белгазпромбанк» можно прийти к следующим выводам:

·стабильность положения на рынке финансовых услуг и высокое качество обслуживания - основные факторы привлечения новых клиентов и развития делового партнерства;

·ОАО «Белгазпромбанк» предлагает широкий спектр услуг, что позволяет выдерживать напор со стороны конкурентов и оставаться на рынке;

·по мнению международного рейтингового агентства Fitch Ratings ОАО «Белгазпромбанк» на сегодняшний день - стабильный развивающийся банк, способный выдерживать экономическую нестабильность.

За время прохождения практики я ознакомилась с историей банка, рассмотрела юридическую базу формирования и функционирования банка, а также его принадлежность к той или иной форме собственности, ознакомилась с формами бухгалтерской и статистической отчётности банка, проанализировала основные экономические показатели деятельности банка. Также ознакомилась с общей характеристикой активных и пассивных операций деятельности банка и ознакомилась с финансовым планированием и управлением финансами в банках.

Несмотря на трудности, которые складываются в результате политической и экономической обстановки в стране с которыми сталкивается ОАО «Белгазпромбанк» в своей деятельности, он продолжает успешно функционировать и развивать свою деятельность.

Так сегодня можно сказать, что Белгазпромбанк с уверенностью смотрит в будущее, занимая ведущие позиции в белорусской банковской системе и обеспечивая защиту финансовых интересов своих клиентов.

Список использованных источников


1.    Банковский кодекс Республики Беларусь от 25 октября 2000 года (Национальный реестр правовых актов Республики Беларусь, 2000 г., N 106, 2/219; 2002 г., N 128, 2/897).

2.      Годовой бухгалтерский отчет ОАО «Белгазпромбанк» 2013 год

.        Деньги, кредит, банки: Учебник. / Под общ .ред. Г.И. Кравцовой - Мн.: Мисанта, 1997-434с.

.        Закон Республики Беларусь “О банках и банковской деятельности в Республике Беларусь” (с последующими изменениями и дополнениями)//Банковский вестник-1995.-№ 9.

.        Закон Республики Беларусь “Об аудиторской деятельности” от 08. 10.94. - Мн., 1995.

6. Зимовский А.Л., Козловский В.В. Справочник банковского служащего. - Мн.: Веды. 1998- 112с.

7.      Основы банковского дела: Учебное пособие / Под ред. Ю.М. Ясинского. Мн.: Тесей. 1999-446с.

8.    Официальный сайт агентства FitchRatings // [Электронный ресурс]

9.      Официальный сайт ОАО «Белгазпромбанк» // [Электронный ресурс]

10.    Постановление Правления Национального банка Республики Беларусь от 28.06.2011г. № 175 «О порядке государственной регистрации и лицензирования деятельности банков и небанковских кредитно-финансовых организаций». Зарегистрировано в Национальном реестре правовых актов Республики Беларусь 23.07.2011г. № 8/6419.

11.    Правила ведения бухгалтерского учета в банках, расположенных на территории РБ. Утверждены постановлением Совета Директоров НБ РБ 22.11.2011 г. №29.4г, согласованы с Министерством финансов 24.11.2011 г. №15-2/1055//Национальный реестр правовых актов, регистрационный № 8/4503 от 6.12.2011г.

12.    Правовые основы бухгалтерского учета и аудиторской деятельности. - М.: Юристъ, 1999-416с.

.        Справочник банков Республики Беларусь. - Мн.: БМРЦ, 1997 - 128с.

.        Тарасов В.И. Деньги, кредит, банки: (Курс лекций). - Мн.: Мисанта, 1997 - 342с.

15.  Устав совместного белорусско-российского открытого акционерного общества «Белгазпромбанк»

Приложение А


Свидетельство о государственной регистрации ОАО «Белгазпромбанк»


 

Приложение Б


Образец лицензии ОАО «Белгазпромбанк»



Приложение В


Отчет о прибыли и убытках за 2013 год

(в миллионах белорусских рублей)

№ п/п

Наименование статьи

Символ

2013 год

2012 год

1

2

3

4

5

1

Процентные доходы

2011

1 421 158.5

1 164 130,3

2

Процентные расходы

2012

725 988.0

657 201,0

3

Чистые процентные доходы

201

695 170.5

506 929,3

4

Комиссионные доходы

2021

334 582.5

239 700,7

5

Комиссионные расходы

2022

120 070.7

82 060,8

6

Чистые комиссионные доходы

202

214 511.8

157 639,9

7

Чистый доход по операциям с драгоценными металлами и драгоценными камнями

203

775.0

30 605,8

8

Чистый доход по операциям с ценными бумагами

204

4 478.3

59 800,7

9

Чистый доход по операциям с иностранной валютой

205

19 901.3

64 347,6

10

Чистый доход по операциям с производными финансовыми инструментами

206

163 016.1

108 637,3

11

Чистые отчисления в резервы

207

55 461.1

230 191,9

12

Прочие доходы

208

60 599.9

52 120,5

13

Операционные расходы

209

409 082.5

295 863 ,0

14

Прочие расходы

210

102 965.8

64 497,1

15

Прибыль (убыток) до налогообложения

211

590 943.5

389 529,1

16

Налог на прибыль

212

94 280.2

48 176,3

17

ПРИБЫЛЬ (УБЫТОК)

2

496 663.3

341 352,8

18

Сведения о прибыли на одну акцию в белорусских рублях

19

Базовая прибыль на простую акцию

22

0,4

0,4

20

Разводненная прибыль на простую акцию

23

-

-



 

Приложение Г


Отчет о движении денежных средств за 2013 год

№ п/п

Наименование статьи

Символ

2013 год

2012 год

1

2

3

4

5

1

ПОТОКИ ДЕНЕЖНЫХ СРЕДСТВ ОТ ОПЕРАЦИОННОЙ ДЕЯТЕЛЬНОСТИ

2

Полученные процентные доходы

70100

1 370 820,7

1 169 110,9

3

Уплаченные процентные расходы

70101

(710 198,1)

( 652 203,9)

4

Полученные комиссионные доходы

70102

333 263,7

239 969,0

5

Уплаченные комиссионные расходы

70103

(119 604,1)

(79 578,1)

6

Чистый доход по операциям с драгоценными металлами и драгоценными камнями

70104

775,0

30 605,8

7

Чистый доход по операциям с ценными бумагами

70105

8 620,8

5 298,2

8

Чистый доход по операциям с иностранной валютой

70106

(2 030,6)

54 086,0

9

Чистый доход по операциям с производными финансовыми инструментами

70107

(1 907,2)

51 354,1

10

Прочие полученные доходы

70108

30 756,0

32 377,8

11

Прочие уплаченные расходы

70109

(455 075,4)

(324 830,8)

12

Уплаченный налог на прибыль

70110

(64 031,5)

(37 305,0)

13

Денежная прибыль (убыток) до изменения в операционных активах и операционных обязательствах - итого

701

391 389.3

488 884,0

14

Чистое снижение (прирост) денежных средств в Национальном банке

(25 075,0)

(35 837,3)

15

Чистое снижение (прирост) денежных средств в банках

70201

241 344,6

(218 397,4)

16

Чистое снижение (прирост) денежных средств в ценных бумагах (кроме ценных бумаг, удерживаемых до погашения)

70202

(784 900,3)

(182 711,6)

17

Чистое снижение (прирост) денежных средств в форме кредитов, выданных клиентам

70203

(2 541 669,3)

(1 766 065,3)

18

Чистое снижение (прирост) денежных средств от производных финансовых активов

70204

-

-

19

Чистое снижение (прирост) денежных средств в прочих операционных активах

70205

(440 642,3)

(79 961,0)

20

Потоки денежных средств от изменения операционных активов - итого

702

(3 550 942,3)

(2 282 972,6)

21

Чистый прирост (снижение) денежных средств Национального банка

70300

-

(1 881,3)

22

Чистый прирост (снижение) денежных средств банков

70301

1 617 741,3

(276 908,7)

23

Чистый прирост (снижение) денежных средств клиентов

70302

1 290 516,0

1 637 815,4

24

Чистый прирост (снижение) денежных средств от ценных бумаг, выпущенных банком

70303

205 042,8

69 528,2

25

Чистый прирост (снижение) денежных средств от производных финансовых обязательств

70304

-

-

26

Чистый прирост (снижение) денежных средств в прочих операционных обязательствах

70305

236 840,7

69 882,9

27

Потоки денежных средств от изменения операционных обязательств - итого

703

3 350 140,8

1 498 436,5

28

Чистый поток денежных средств, полученных (использованных) от операционной деятельности

70

190 587,8

(295 652,1)

29

ПОТОКИ ДЕНЕЖНЫХ СРЕДСТВ ОТ ИНВЕСТИЦИОННОЙ ДЕЯТЕЛЬНОСТИ

30

Приобретение основных средств, нематериальных активов и других долгосрочных активов

71100

(110 656,5)

(56 742,3)

31

Продажа основных средств, нематериальных активов и других долгосрочных активов

71101

26 811,2

19 306,2

32

Приобретение долгосрочных финансовых вложений в уставные фонды других юридических лиц

71102

-

-

33

Продажа долгосрочных финансовых вложений в уставные фонды других юридических лиц

71103

-

-

34

Приобретение ценных бумаг, удерживаемых до погашения

71104

-

-

35

Погашение (реализация) ценных бумаг, удерживаемых до погашения

71105

-

-

36

Чистый поток денежных средств, полученных (использованных) от инвестиционной деятельности

71

(83 845,3)

(37 436,1)

37

ПОТОКИ ДЕНЕЖНЫХ СРЕДСТВ ОТ ФИНАНСОВОЙ ДЕЯТЕЛЬНОСТИ

38

Эмиссия акций

72100

-

826 000,0

39

Выкуп собственных акций

72101

-

-

40

Продажа ранее выкупленных собственных акций

72102

-

-

41

Выплата дивидендов

72103

(102 405,5)

(50 062,3)

42

Чистый поток денежных средств, полученных (использованных) от финансовой деятельности

72

(102 405,5)

775 937,7

43

Влияние изменений валютного курса на денежные средства и их эквиваленты

73

49 704,1

45 463,0

44

Чистый прирост (снижение) денежных средств и их эквивалентов

74

54 041,1

488 312,5

45

Денежные средства и их эквиваленты на начало отчетного периода

740

Х

1 758 423,3

46

Денежные средства и их эквиваленты на конец отчетного периода

741

1 812 464,4

X



Приложение Д


Бухгалтерский баланс на 1 января 2014 года

(в миллионах белорусских рублей)

№ п/п

Наименование статьи

Символ

2013 год

2012 год

1

2

3

4

5

1

АКТИВЫ




2

Денежные средства

1101

380 067,9

337 567,0

3

Драгоценные металлы и драгоценные камни

1102

11 263,1

14 967,0

4

Средства в Национальном банке

1103

2 311 690,5

1 886 206,6

5

Средства в банках

1104

854 689,5

1 124 101,6

6

Ценные бумаги

1105

1 882 404,9

958 439,8

7

Кредиты клиентам

1106

8 564 508,1

5 299 508,6

8

Производные финансовые активы

1107

824 829,5

659 824,5

9

Долгосрочные финансовые вложения

1108

147,6

147,6

10

Основные средства и нематериальные активы

1109

479 188,3

336 122,8

11

Имущество, предназначенное для продажи

1110

-

229,4

12

Прочие активы

1111

170 884,5

126 174,3

13

ИТОГО активы

11

15 479 673,9

10 743 289,2

14

ОБЯЗАТЕЛЬСТВА




15

Средства Национального банка

1201

324 053,6

318 794,2

16

Средства банков

1202

3 834 444,3

1 866 022,9

17

Средства клиентов

1203

8 111 385,2

6 063 133,0

18

Ценные бумаги, выпущенные банком

1204

620 083,4

355 713,4

19

Производные финансовые обязательства

1205

29,8

564,0

20

Прочие обязательства

1206

174 834,1

133 833 , 6

21

ВСЕГО обязательства

120

13 064 830,4

8 738 061,1

22

КАПИТАЛ




23

Уставный фонд

1211

1 252 268,8

1 252 268,8

24

Эмиссионный доход

1212

-

-

25

Резервный фонд

1213

231 235,6

77 626,8

26

Фонд переоценки статей баланса

1214

222 004,2

176 490,4

27

Накопленная прибыль

1215

709 334,9

498 842,1

28

ВСЕГО капитал

121

2 414 843,5

2 005 228,1

29

ИТОГО обязательства и капитал

12

15 479 673,9

10 743 289,2


Похожие работы на - Функционирование банковских учреждений как субъектов хозяйствования на примере ОАО 'Белгазпромбанк'

 

Не нашли материал для своей работы?
Поможем написать уникальную работу
Без плагиата!
Без нейросетей!