Язык программирования Си

  • Вид работы:
    Практическое задание
  • Предмет:
    Информационное обеспечение, программирование
  • Язык:
    Русский
    ,
    Формат файла:
    MS Word
    1,12 Мб
  • Опубликовано:
    2014-09-20
Вы можете узнать стоимость помощи в написании студенческой работы.
Помощь в написании работы, которую точно примут!

Язык программирования Си

МИНОБРНАУКИ РОССИИ

Федеральное государственное бюджетное образовательное учреждение высшего профессионального образования

«САНКТ-ПЕТЕРБУРГСКИЙ ГОСУДАРСТВЕННЫЙ ЭКОНОМИЧЕСКИЙ УНИВЕРСИТЕТ»

КАФЕДРА ВЫЧИСЛИТЕЛЬНЫХ СИСТЕМ И ПРОГРАММИРОВАНИЯ







ОТЧЕТ ПО ЛАБОРАТОРНОЙ РАБОТЕ №1

по дисциплине: «Информационные технологии»


Выполнил:

Воробьев В.С.





г.

1. Постановка задачи

Цель лабораторной работы: знакомство с возможностями языка программирования Си и средой разработки приложений в ОС Linux.

Работа выполняется под ОС Linux (Kali): <#"787061.files/image001.gif"> по степеням  сходится в некоторой окрестности точки  и притом к самой функции . Если это имеет место, то

,

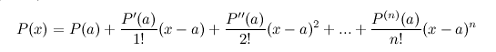
т.е. функция  есть сумма ее ряда Тейлора в некоторой окрестности точки , иначе говоря, для любого значения В этом случае говорят, что функция  разлагается в ряд Тейлора по степеням , сходящийся к ней.

Выражение формулы Тейлора для многочлена  в окрестности точки а, где а - это х0:

,

Для функции exp(x), где экспонента - показательная функция с основанием, равным иррациональному числу e, т. е. f(x)=ex, P(a)=ea.

Производная первого порядка:

Производная второго порядка:

Производная третьего порядка:

Тогда разложение функции exp(x) в ряд Тейлора в окрестности точки а следующее:

,

Исходными данными в программе задания 1 будут значение x (по заданию), принадлежащее интервалу ; сигма обозначим t; n - количество слагаемых ряда Тейлора. Найдем х0 как х=х±t/2.

С помощью функции strcmp сравниваем полученный результат разложения в ряд Тейлора с результатом, полученным встроенной функцией.

Функция strcmp():

#include strcmp(const char *strl, const char *str2);

Описание функции. Заголовочный файл: string.h

Описание

Эта функция сравнивает символы двух строк, string1 и string2. Начиная с первых символов функция strcmp сравнивает поочередно каждую пару символов, и продолжается это до тех пор, пока не будут найдены различные символы или не будет достигнут конец строки.

Параметры:Первая сравниваемая Си-строка.Вторая сравниваемая Си-строка.

Возвращаемое значение

Функция возвращает несколько значений, которые указывают на отношение строк: Нулевое значение говорит о том, что обе строки равны. Значение больше нуля указывает на то, что строка string1 больше строки string2, значение меньше нуля свидетельствует об обратном.

Функция strcmp начинает сравнивать по одному символу и как только будут найдены первые неодинаковые символы, функция проанализирует числовые коды этих символов. Чей код окажется больше, та строка и будет считаться большей.

. XOR - это функция булевой алгебры, носящей название «исключающее или», данная функция используется для работы с данными представленными в двоичной системе исчисления. Основным достоинством, позволяющим использовать эту функцию в шифровальных алгоритмах является ее обратимость, при отсутствии потери информации.шифрование является самым простым и одним из самых эффективных (при правильном использовании) алгоритмов.

Как известно из булевой алгебры, операция логического сложения «» по основанию 2 (или логического исключаещего ИЛИ - XOR, eXclusive OR) имеет следующую семантику [3, стр.186]:


То есть, операция z = x  y по сути поразрядная (побитовая - результат не зависит от соседних битов). Если только один из соответствующих битов равен 1, то результат 1. А если оба 0 или оба 1, то результат 0.


Задача сводится к обеспечению генерации ключа в соответствии с требованиями выбранного алгоритма. Отечественный ГОСТ 28147/89 - им официально разрешено шифрование на территории РФ.

Ключ, имеющий размер 256 двоичных ячеек (битов), представляется как массив из восьми 32-разрядных элементов. Элементы ключа в порядке, определяемом базовым циклом, используются основным шагом.

Ключ нужно вводить вручную.

Алгоритм ГОСТ 28147-89 имеет четыре режима работы.

-       Режим простой замены принимает на вход данные, размер которых кратен 64-м битам. Результатом шифрования является входной текст, преобразованный блоками по 64 бита в случае зашифрования циклом «32-З», а в случае расшифрования - циклом «32-Р».

-       Режим гаммирования принимает на вход данные любого размера, а также дополнительный 64-разрядный параметр - синхропосылку. В ходе работы синхропосылка преобразуется в цикле «32-З», результат делится на две части. Первая часть складывается по модулю 232 с постоянным значением 101010116. Если вторая часть равна 232-1, то её значение не меняется, иначе она складывается по модулю 232-1 с постоянным значением 101010416. Полученное объединением обеих преобразованных частей значение, называемое гаммой шифра, поступает в цикл «32-З», его результат порязрядно складывается по модулю 2 с 64-разрядным блоком входных данных. Если последний меньше 64-х разрядов, то лишние разряды полученного значения отбрасываются. Полученное значение подаётся на выход. Если ещё имеются входящие данные, то действие повторяется: составленный из 32-разрядных частей блок преобразуется по частям и так далее.

-       Режим гаммирования с обратной связью также принимает на вход данные любого размера и синхропосылку. Блок входных данных поразрядно складывается по модулю 2 с результатом преобразования в цикле «32-З» синхропосылки. Полученное значение подаётся на выход. Значение синхропосылки заменяется в случае зашифрования выходным блоком, а в случае расшифрования - входным, то есть зашифрованным. Если последний блок входящих данных меньше 64 разрядов, то лишние разряды гаммы (выхода цикла «32-З») отбрасываются. Если ещё имеются входящие данные, то действие повторяется: из результата зашифрования заменённого значения образуется гамма шифра и т.д.

-       Режим выработки имитовставки принимает на вход данные, размер которых составляет не меньше двух полных 64-разрядных блоков, а возвращает 64-разрядный блок данных, называемый имитовставкой. Временное 64-разрядное значение устанавливается в 0, далее, пока имеются входные данные, оно поразрядно складывается по модулю 2 с результатом выполнения цикла «16-З», на вход которого подаётся блок входных данных. После окончания входных данных временное значение возвращается как результат.

. Выполненная работа (Исходный текст программ с комментариями)

Задание 1

Программа на Си.

С комментариями

#include <stdio.h>// Стандартная библиотека ввода-вывода

#include <math.h> //Стандартная библиотека математических функций

#include <stdlib.h> //Стандартная биб-ка для функции rnd()

#include <string.h> //Стандартная биб-ка для функции strcmp()stepen (float x, int y); //возведение основания х в степень у

long int fact(int n);// вычисление факториала

int main(){

x0, i, n; //начальное значение значение х0, вспомогательная переменная //для цикла, количество слагаемых ряда Тейлора, Целочисленные переменные float t, s, x, s1; //сигма для интервала от x0-t lj x0+t, сумма ряда, из //интервала х, число е в степени х0, переменные двойной точностиmaxVal, minVal; //диапазон для определения значения х*str1, *str2; // для сравненияr,p; //дробная и целая часть числаdecpnt, sign, ndig; //для преобразования числа в строкуchar * filename = "d:\\number.txt";//файл, в который запишем //полученный результат суммы рядаchar * mode = "w";//режим записи в файл* file;//файловая переменная("Введите начальное значение x0, сигма t, количество слагаемых в ряду n:"); // пояснение для следующей строки("%d%e%d",&x0,&t,&n); //ввели

// найдем х принадлежащее интервалу от х0-t до х0+t

maxVal=x0+t;=x0-t;

x=rand()%((int)maxVal-(int)minVal+1)+(int)minVal;//вычисление х генератором случайных чисел

printf("maxVal= %f minVal = %f x= %f\n", maxVal, minVal,x); //

printf("x0= %d t = %f n= %d\n", x0, t,n); // Форматный вывод %d или %i - //вывод значения как целого со знаком в формате DEC;=0; // обнулили сумму ряда=stepen(exp(1),x0); // чтобы не вывызать функцию для //каждого слагаемого(i=0; i<=n; i++) // открываем цикл для вычисления суммы ряда+=s1/fact(i)*stepen(x-x0,i); // вычисление очередного слагаемого //ряда Тейлора по формуле (3) отчета("число е в степени 1 =%g\n",exp(1));// проверяем //полученные результаты("число е в степени х0 соответственно =%g\n", s1);

printf("сумма ряда s=%g\n",s);

printf("Введите точность вычисления");("%d",&ndig);//ввели

// преобразуем число в строку функцией ecvt=ecvt(s1, ndig, &decpnt, &sign);// s1 в строку из ndig цифр; в //параметре decpt хранится отрицательное значение;указывает адресный //указатель sign

str2=ecvt(s, ndig, &decpnt, &sign);("s1= %s\n, s= %s\n",str1, str2);(strcmp(str1,str2)==0)// сравниваем числа функцией strcmp

printf("Строки идентичны\n");printf ("Строки отличаются\n"); // возвращает отрицательное число, //нуль или положительное число для s < t, s == t или s > t, соответственно

fclose(file);0; // успешное завершение

}stepen (float x, int y) //возведение числа х в степень у

{ int i;p;=1;(i=1; i<=y; i++)=p*x;p;

}int fact(int n)

{if (n<0)// если n меньше 00;// возвращаем 0(n==0)// если n равен 0

return 1;// возращаем 1return n*fact(n-1); // делаем рекурсию

}

Результат выполнения:


Задание 2

#include <stdio.h>// Стандартная библиотека ввода-вывода

#define N 10stack[N];// для хранения двоичного представления целой части числаin_stack = 0; // сколько элементов в стеке dr_arr[N];// массив для хранения двоичного //представления части вещественного числа после запятой до шифрованияarr[N];// массив для хранения двоичного представления //мантиссы вещественного числа до шифрованияi_arr;// количество цифр целой части числа в двоичном //представленииkey[N]={1,0,1,0,1,0,1,0,1,0};//ключ шифрованияResult[N];//результат шифрования двоичного //представления мантиссы вещественного числаResult1[N];//результат шифрования двоичного представления //части вещественного числа после запятойDecToBin(int n);//перевод из десятичной в двоичную сс //мантиссы (целой части числа)Dr_DecToBin(float n);//перевод из десятичной в двоичную сс части //числа после мантиссыstepen (float x, int y); //возведение основания х в степень уBinToDec(int arr_arr[], int l);//перевод из двоичной в //десятичную сс мантиссы (целой части числа)Dr_BinToDec();//перевод из двоичной в десятичную сс части //числа после мантиссыCode_(int arr_arr[], int l);//объявление функции шифрования main(){x, x1,i; // Целочисленные переменныеy, y1; // вещественное число и его часть после мантиссы

int in_arr = 0;// Индекс массива arr[10]

int t;//работа НА СЕРВЕРЕ или на клиентеchar * filename = "d:\\number.txt";//Спецификация файла (т.е. имя //файла и путь к нему)char * mode = "r";//Способ использования файла r - открыть //существующий файл для чтения;* file;//Логическое имя - указатель на требуемый файлchar * filename1 = "d:\\code1.txt";//файл, в который запишем //полученный результат закодированной целой части суммы рядаchar * filename2 = "d:\\code2.txt";//файл, в который запишем //полученный результат закодированной дробной части суммы рядаchar * filename3 = "d:\\code3.txt";//файл, в который запишем //количество цифр целой части числа в двоичном представленииchar * mode1 = "w";//режим записи в файл("Обработка на клиенте - ввести 1, ввести 2 -на сервере: ");

scanf("%d",&t);//ввели (t)

{1:{=fopen (filename, mode); //открываю файл для считывания числа, //полученного по формуле ряда Тейлора(fscanf(file, "%10f", &y)!=EOF) // пока не конец файла считываю //число в переменную y(file);//закрыли файл= (int)y;//выделили целую часть числа, мантиссу

printf("Число %f получено при разложении в ряд Тейлора exp(x) имеет //целую часть =%d\n", y,x); // Форматный вывод

DecToBin(x);//вызов функции перевода целой части числа в //двоичную СС ("Двоичное представление целой части числа :");_arr=in_stack;// количество цифр целой части числа в //двоичном представлении(in_stack > 0){("%d", pop());// чтение из стека двоичного представления //целой части числа

}

printf("\n");=y-x;//выделение вещественной части числа("часть после мантиссы =%f\n",y1);_DecToBin(y1);("Двоичное представление дробной части числа после мантиссы :"); (in_arr <N){("%d", dr_arr[in_arr]);//вывод Двоичного представления //вещественной части числа_arr++;

}

printf("\n");

//шифрование мантиссы

//printf("Зашифрованая целая часть числа:\n");_(arr,1);//Зашифрованая целая часть числа

// запись результата шифрования в файл=fopen (filename1, mode1);//открытие файла(i=0;i<i_arr; i++)//цикл для записи целой части числа в файл

{(file, "%d\n", Result[i]);//запись целой части числа в файл

}

//fprintf(file, "\n");//перевод строки(file);//закрытие файла

//шифрование части следующей за мантиссой, т.е. дробной части числа=fopen (filename2, mode1);//открытие файла на запись_(dr_arr, 2);//Зашифрованая дробная часть числа

// запись результата шифрования в файл(i=0;i<10; i++)//цикл для записи дробной части числа в файл

{(file, "%d\n", Result1[i]);//запись дробной части числа в файл

}(file);//закрытие файла=fopen (filename3, mode1); //открываю файл для записи количество цифр //целой части числа в двоичном представлении(file, "%d\n", i_arr);//запись количество цифр целой части числа в //двоичном представлении(file);//закрытие файла("запись результата шифрования в файл\n");;

//завершение работы на клиенте

}2:{

//считывание информации на сервере("считывание из файла закодированного числа\n");

//считывание из файла целой части закодированного числа

i=0;=fopen (filename1, mode);(fscanf(file, "%d", &x)!=EOF)

{[i]=x;++;

}(file);

//считывание из файла дробной части закодированного числа

i=0;=fopen (filename2, mode);(fscanf(file, "%d", &x)!=EOF)

{[i]=x;++;

}(file);

//считывание из файла количества цифр целой части числа в двоичном //представлении=0;=fopen (filename3, mode); //открываю файл для считывания количества //цифр целой части числа в двоичном представлении

while (fscanf(file, "%d", &i_arr)!=EOF)

{++;

}(file);("проверка считывания закодированной целой части числа \n");(i=0;i<i_arr; i++)//вывод на экран раскодированной целой части числа

{("%d",Result[i]);

}("\n");

printf("проверка считывания закодированной дробной части числа\n");(i=0;i<10; i++)//вывод на экран раскодированной целой части числа

{("%d",Result1[i]);

}("\n");

//раскодирование дробной части числа("раскодирование дробной части числа:\n");_(Result1,2);(i=0;i<10; i++)//вывод на экран раскодированной дробной части числа

{("%d",Result1[i]);

}("\n");

//раскодирование целой части("раскодирование целой части числа:\n");_(Result,1);(i=0;i<i_arr; i++)//вывод на экран раскодированной целой части числа

{("%d",Result[i]);

}("\n");

//Перевод из двоичной СС в 10-ую СС

printf("Перевод целой части из 2-ого в 10-ое представление %d\n",BinToDec(Result,i_arr));

printf("Перевод части следующей за мантиссой из 2-ого в 10-ое представление %f\n",Dr_BinToDec(Result1));0; // успешное завершение

}DecToBin(int n)//перевод из десятичной в двоичную сс мантиссы (целой части числа)

{ (n >0)

{[in_stack] = n%2;_stack++;(n/2);

}0;

}BinToDec(int arr_arr[], int l)//перевод из двоичной в десятичную сс //мантиссы (целой части числа)

{ summ=0,i;(i=l;i>=0;i--)

{

summ+=arr_arr[i] * stepen(2,i);

}summ;

/* Снять значение со стека */

int pop(){(in_stack == 0){

printf("Стек пуст, ошибка.\n");

return (-1);

}_stack--;[in_stack]=stack[in_stack];

//printf("%d",arr[in_stack]);stack[in_stack];

} Dr_DecToBin(float n)//перевод вещественной части числа в //двоичную систему счисления

{

int i = 0;((i<10)||(n==0))

{*=2;(n <1)

{_arr[i] = 0;

}

{_arr[i] = 1;

n-=1;

}++;

}0;

}Dr_BinToDec(int arr_arr[])//перевод вещественной части числа в 10-//ую систему счисления

{ i;summ1=0;(i=0;i<10;i++)

{+=arr_arr[i]/stepen (2,i);

}summ1;

}stepen (float x, int y) //возведение числа х в степень у

{ int i;p;=1;(i=1; i<=y; i++)*=x;p;

}Code_(int arr_arr[], int l)

{i;

{(i=0;i<10; i++)

{(l)

{1: //целой части числа

{Result[i]=key[i]^arr_arr[i];

};2: //дробной части числа

{Result1[i]=key[i]^arr_arr[i];

};

//#"787061.files/image021.gif">

Выводы

)        Результаты, полученные выполнением программы, говорят о том, что вычисления встроенной функцией и по разложению в ряд Тейлора идентичны. Т.е. при соблюдении правил преобразования типов результаты остаются достоверны.

Таким образом, при преобразовании числа с большей точностью к числу с меньшей (c большей разрядностью к меньшей, длинного числа к короткому), возможна потеря точности.

При преобразовании от малого к большим, к числу просто дописываются нули и точность не теряется.

)        К достоинствам XOR-шифрования относятся его простота и «естественность» реализации на ЭВМ, однако этот метод обладает слабой стойкостью (в случае, если ключи не являются абсолютно случайными).

Интересно, что в свое время данный алгоритм использовался Microsoft для шифрования содержимого документов в Office 95.

)        Вычисления, производимые над вещественными числами, не точны, т.к. компилятор использует всю память, отведенную для числа, а не только те цифры, которые получены. Демонстрационный пример ниже.

В строке 5 число, которое надо перевести в двоичную СС. В строке 8 выводим его значение на экран. Оно отличается от предыдущего. Поэтому значение, полученное при переводе вещественной части числа из 2-ой СС в 10-ую отличается. Попытка перевести вещественную часть числа в строку также этот же результат.

Основная литература

1.      Дэвид Гриффитс, Дон Гриффитс - Head First C / Изучаем программирование на C.

.        Учебное пособие Высшая математика для экономистов Практикум Под редакцией Наума Шевелевича Кремера

.        Васильева И.Н. Информационные технологии и защита информации : учеб. пособие / И.Н. Васильева. Е.В. Стельмаиюнок - СПб -СПбГИЭУ. 2011.-271 с.

.        Шапошникова С. В. Особенности языка С./ Учебное пособие - Лаборатория юного линуксоида, май 2012

5.      http://dfe.petrsu.ru/koi/posob/c/c.htm#g1.2

6.      http://www.helloworld.ru/texts/comp/lang/c/c6/index2.htm

.        http://citforum.ru/programming/c/dir.shtml

Похожие работы на - Язык программирования Си

 

Не нашли материал для своей работы?
Поможем написать уникальную работу
Без плагиата!
Без нейросетей!