Создание программы 'Логическая развилка'
Курсовая работа
по дисциплине "Программирование
и основы алгоритмизации"
Содержание
Введение
Раздел I. Теоретическая часть
Раздел II. Практическая часть
Создание программы "Простейший калькулятор"
Вычисление значения выражений
Вычисление сумм ряда чисел
Вычисление системы функций "Логическая развилка"
Заключение
Список использованной литературы
Введение
Программирование - в обычном понимании, это процесс создания
компьютерных программ. Программированием также называют настройку электронных устройств
и программно-аппаратных комплексов (например, программирование цифровых АТС,
программирование бытовых приборов конечным пользователем, запись информации в
ПЗУ). Разработку логической схемы для ПЛИС тоже называют программированием. В
общем понимании, программирование - это процесс описания функционирования
устройства, который может быть выражен либо в структуре самого устройства, либо
в виде набора инструкций. Программирование сочетает в себе элементы науки
(логика, математика, информатика, кибернетика), инженерной дисциплины, и
искусства (авторской творческой деятельности).
В узком смысле под программированием понимается написание
инструкций на конкретном языке программирования, часто по уже имеющемуся
алгоритму (плану, методу решения задачи). Соответственно, люди, которые этим
занимаются, называются программистами (на жаргоне - кодерами), а те, кто
разрабатывает алгоритмы - алгоритмистами, специалистами предметной области,
математиками.
В более широком смысле под программированием понимают весь
спектр активностей, связанных с созданием и поддержанием в рабочем состоянии
программ (программного обеспечения ЭВМ). Более точный и современный термин -
программная инженерия, или инженерия программного обеспечения. Сюда входят
анализ и постановка задачи, проектирование программы, построение алгоритмов,
разработка структур данных, написание текстов программ, отладка и тестирование
программ (испытания программ), документирование, настройка (конфигурирование),
доработка и сопровождение.
Программирование для ЭВМ основывается на использовании языков
программирования, на которых записывается программа. Для того, чтобы программа
могла быть понята и исполнена ЭВМ, требуется специальный инструмент -
транслятор. Основными разновидностями трансляторов являются компилятор и
интерпретатор. В настоящее время активно используются так называемые
интегрированные среды разработки программ, включающие в свой состав также
редактор для ввода и редактирования текстов программ, отладчик для поиска и
устранения ошибок в программах, компоновщик для сборки программы из нескольких
модулей, и другие служебные модули.
Текстовый редактор среды программирования может иметь
специфичную функциональность, такую как индексация имен, отображение
документации, средства визуального создания пользовательского интерфейса. С
помощью текстового редактора программист производит набор программы в виде
текста, который называют исходным кодом. Язык программирования определяет
синтаксис и изначальную семантику исходного кода, семантика языка
программирования может расширяться текстом программы, дополнительными
библиотеками и программно-аппаратным окружением, в котором исполняется
программа. Компилятор преобразует текст программы в машинный код,
непосредственно исполняемый электронными компонентами компьютера. Интерпретатор
либо явно не преобразует текст программы в машинный код, либо делает такое
преобразование в процессе выполнения программы.
Программирование в широком смысле можно разбить на несколько
стадий:
· Анализ;
· Проектирование -
разработка комплекса алгоритмов;
· Кодирование и компиляцию
- написание исходного текста программы и преобразование его в исполнимый код с
помощью компилятора;
· Тестирование и отладку -
выявление и устранение ошибок в программах;
· Испытания и сдачу
программ;
· Сопровождение.
В данном курсовом проекте рассматриваются способы создания в
среде Lazarus на языке программирования Pascal таких программ как
Калькулятор и Лабиринт. Показывается, как можно создать программы для расчета
значения выражений, сумм ряда чисел, системы функций "Логическая
развилка".
программа калькулятор логическая развилка
Раздел I.
Теоретическая часть
В 1970 году, после участия в работе комитета разработки
стандарта языка Ангол, Никлаусом Виртом был создан язык программирования
Pascal, как язык для обучения процедурному программированию. Первоначально,
язык компилировался в байт-код, подобно языку Java.
Особенностями языка являются строгая типизация и наличие
средств структурного программирования. Паскаль был одним из первых таких
языков. По мнению Н. Вирта, язык должен способствовать дисциплинированию
программирования, поэтому, наряду со строгой типизацией, в Паскале сведены к
минимуму возможные синтаксические неоднозначности, а сам синтаксис интуитивно
понятен даже при первом знакомстве с языком.
Тем не менее, первоначально язык обладал множеством
недостатков: это невозможность передачи функциям массивов переменной длины,
отсутствие нормальных средств работы с динамической памятью, ограниченная
библиотека ввода-вывода, отсутствие средств для подключения функций написанных
на других языках, отсутствие средств раздельной компиляции и т.д.
Необходимо заметить, что многие перечисленные недостатки
языка не проявляются или даже становятся достоинствами при обучении
программированию. Кроме того, основным языком программирования в академической
среде 70-х был Фортран, обладающий гораздо более существенными недостатками, и
Паскаль представлял собой значительный шаг вперед.
Автор языка понимал недостатки созданного им языка, перестал
его развивать и разработал языки программирования "Модуля-2" и
"Оберон".
Тем не менее, достоинства языка заставляли многие
коммерческие и некоммерческие организации разрабатывать системы
программирования на основе языка "Паскаль".
Из числа последних выделяется фирма Borland, Turbo Pascal (затем
Borland Pascal) которой был значительно расширен, были устранены многие
недостатки языка, добавлены новые возможности. Язык стал богаче, но
одновременно, потерял переносимость и общность.
Важным шагом в развитии языка, является появление свободного языка
Паскаль GNU Pascal, который не только вобрал в себя черты других Паскалей, не
только позволил наконец полностью отказаться от "грязных" приемов
программирования, присущих особенно, скажем Turbo Pascal, но и обеспечил
чрезвычайно широкую портабельность написанных на нем программ (более 20
различных платформ, под более чем 10 различными операционными системами).
В настоящий момент пользуются популярностью такие версии
языка как TMT Pascal, Free Pascal и GNU Pascal. Продолжает использоваться и
Borland Pascal. Развитием языка Borland Pascal является Object Pascal - версия
языка Паскаль расширенная средствами объектно-ориентированного
программирования. Последние версии Borland Pascal лежат в основе среды
программирования Delphi.
В России разработан язык программирования Глагол, который
имеет близкую к Паскалю идеологию, но в отличие от него изначально
спроектирован на использование только русских служебных слов.
Наибольшую популярность в странах СНГ получила среда
разработки под названием Delphi. Изначально язык был предназначен исключительно
для разработки приложений Microsoft Windows, затем был реализован также для
платформ Linux (как Kylix), однако после выпуска в 2002 году Kylix 3 его
разработка была прекращена, и, вскоре после этого, было объявлено о поддержке
Microsoft.net. При этом высказывались предположения, что эти два факта
взаимосвязаны. Аналогичная ситуация имела место и ранее - в Турбо Паскаль.
Реализация языка Delphi проектом Free Pascal (полное название
Free Pascal Compiler) позволяет использовать его для создания приложений не
только в Windows, но и для таких платформ, как Mac OS X, Windows CE и Linux.
Важной особенностью компилятора FreePascal, в отличие,
например, от GNU Pascal, является ориентация на распространённые коммерческие диалекты
языка: Object Pascal и Delphi. Компилятор распространяется на условиях GNU
General Public License, а значительная часть библиотек, в том числе ядро RTL -
на условиях более мягкой GNU Lesser General Public License.
В настоящее время в рамках проекта также разрабатывается
Lazarus - свободный аналог среды программирования Delphi и Lazarus Components
Library (LCL) - свободная библиотека виджетов, аналогичная Delphi VCL.как
проект возник ещё в 1999 году с целью создать бесплатную конкуренцию программному
продукту Borland Delphi. Распространяется бесплатно по лицензии GPL/LGPL.
Lazarus - это IDE для создания (графических и консольных) приложений при помощи
компилятора FreePascal. FreePascal - это компилятор языков Pascal и Object
Pascal, распространяемый под лицензией (L) GPL, и работающий под Windows,
Linux, Mac OS X, FreeBSD, и не только. Lazarus может работать на многих
платформах - Linux, Windows, OS/2 и др. На данный момент является единственным
инструментом, позволяющим достаточно несложно переносить Delphi-программы с
графическим интерфейсом в различные операционные системы: Linux, FreeBSD, Mac
OS X, Microsoft Windows.
FreePascal основан на библиотеке визуальных компонентов Lazarus
Component Library (LCL). В настоящее время практически полностью поддерживает
виджеты Win32 <#"786061.files/image001.gif">
Рис. 1 - Программа калькулятор до запуска. Изначальный вид.
Для начала я создаю примерную форму, как будет выглядеть в
дальнейшем мой калькулятор. Добавляю в форму 8 кнопки (Button1,2,3,4,56,7,8). Они
будут выполнять функции (сложения, вычитания, умножения, деления, нахождения
синуса, косинуса квадрата и корня квадратного). Так же в форме есть две кнопки
(Label1,2). Они предназначены
для вывода готовых данных на экран. Кнопки Edit1,2 отвечают за ввод
числовых данных, которые необходимо рассчитать.
Для того, чтобы заставить кнопку "+" складывать
данные, кнопку "sin" находить угол альфа, необходимо знать коды
программирования.
Для операции "сложение" программный код будет
выглядеть так:
Procedure TForm1. Button1. Click (Sender:
TObject);a, b, c: Single;: = StrToFloat (Edit1. Text);: = StrToFloat (Edit2.
Text);: = a + b;. Caption: = FloatToStr (c);;
Для операции "вычитание" программный код будет
выглядеть так:
Procedure TForm1. Button1. Click (Sender:
TObject);a, b, c: Single;: = StrToFloat (Edit1. Text);: = StrToFloat (Edit2.
Text);: = a-b;. Caption: = FloatToStr (c);;
Для операции "произведение" программный код будет
выглядеть так:
Procedure TForm1. Button1. Click (Sender:
TObject);a, b, c: Single;: = StrToFloat (Edit1. Text);: = StrToFloat (Edit2.
Text);: = a*b;. Caption: = FloatToStr (c);;
Для нахождения "sin" угла код будет
выглядеть так:
Procedure TForm1. Button1. Click (Sender:
TObject);a, c: Single;: = StrToFloat (Edit1. Text);: = sin (a);. Caption: =
FloatToStr (c);;
Для нахождения "cos" угла код будет
выглядеть так:
Procedure TForm1. Button1. Click (Sender:
TObject);a, c: Single;: = StrToFloat (Edit1. Text);: = cos (a);. Caption: =
FloatToStr (c);
end;
Для нахождения "квадрата" код будет выглядеть так:
Procedure TForm1. Button1. Click (Sender:
TObject);a, c: Single;: = StrToFloat (Edit1. Text);: =SQR (a);. Caption: =
FloatToStr (c);;
Для нахождения "квадратного корня" код будет
выглядеть так:
Procedure TForm1. Button1. Click (Sender:
TObject);a, c: Single;: = StrToFloat (Edit1. Text);: = SQRT (a);. Caption: =
FloatToStr (c);
end;
На деле в самом Lazarus-e исходный программы будет выглядеть следующим образом:
Рис. 2 - Исходный код программы "Калькулятор".
Необходимо обратить внимание на команду "Single". Она считает целые
числа. А команда "Real" помимо целых, считает еще и дробные числа.
Так же следует заметить, что после каждой команды не стоит забывать ставить
знак ";", иначе при компиляции будет выходить синтаксическая ошибка.
В Lazarus-e
также можно менять свойства объектов:
1) Name - (программное имя объекта);
2) Height - (ширина объекта);
) Left, Top - (положение объекта относительно границы; влево
и вверх);
4) Caption - (редактируемое имя объекта);
) Font - редактирование (размера, шрифта, курсива,
подчеркивания и т.д.) текста;
7) Image (вставка картинки по выбору пользователя).
После завершения редактирования и написания исходного кода
программы необходимо сделать компиляцию. Делается она при помощи нажатия кнопки
"F9".
Если все сделано правильно, компиляция завершится успешно и откроется созданная
пользователем программа.
Если же компиляция по какой-то причине завершается
некорректно, программа сама выделит в диалоговом окне предположительное место,
где скорее всего допущена ошибка. Поэтому следует быть внимательным при
составлении программы. Любая синтаксическая ошибка (отсутствие точки, точки с
запятой, лишний знак, либо цифра в исходном коде) ведет к неправильной
компиляции.
Рис. 3 - Программа "Калькулятор" после запуска.
Программа составлена правильно, компилирование объекта прошло
успешно. Сейчас, для того, чтобы вычислить сумму, разность, произведение или
деление чисел, необходимо задать свои значения, и, созданная программа
"Калькулятор" быстро и правильно рассчитает ответ.
Вычисление
значения выражений
В среде Lazarus можно также вычислять значения сложных
математических выражений. К примеру, таких как нижеследующее выражение:
Все, что нам необходимо сделать, это правильно составить формулу,
чтобы Lazarus смог скомпилировать ее, а затем и решить.
Рис. 4 - Программа "вычисление значения выражений" до
запуска
Для начала при составлении программы между "procedure" и "begin" вводим команду var alfa………y: real; она необходима для расчета десятичных
чисел. Также нужно ввести команду "math" в "uses",
иначе некоторые функции в программе работать не будут.
uses, SysUtils, FileUtil, LResources,
Forms, Controls, Graphics, Dialogs, ExtCtrls, StdCtrls, Math;
Вот так выглядит код программы "вычисление значения
выражений" в Lazarus-е:
procedure TForm1. SpeedButton1Click
(Sender: TObject);x,y: Single;: = StrToFloat (Edit1. Text);: = ( (sin (x)) /2)
+3;. Caption: =FloatToStr (y);;
Рис. 5 - Программа "Вычисление выражений" после запуска.
Программа составлена правильно, интерпретация прошла успешно.
Сейчас, для того, чтобы рассчитать функцию "y", необходимо задать в формулу свои значения.
Вычисление
сумм ряда чисел
С помощью суммы рядов чисел можно:
разложить функцию в степенной ряд;
выполнить приближенные вычисления значений функции;
выполнить вычисления пределов;
выполнить вычисление определенных интегралов;
выполнить вычисление логарифмов;
выполнить интегрирование дифференциальных уравнений;
решить уравнение первого порядка итерационным методом.
Итерация - это повторяемое выполнение некоторого действия до
тех пор, пока не будет удовлетворено некоторое условие. Ряд считается заданным,
если дан закон, по которому можно вычислить любой член ряда, и известен
порядковый номер этого числа. Среди рядов есть сходящиеся ряды и расходящиеся.
Если значение частичных сумм Sn при неограниченном возрастании n стремится к
некоторому числу А, ряд называется сходящимся, а число А при этом называют
суммой. Таким образом, при неограниченном возрастании n значение Sn сколь
угодно мало отличается от А, т.е. число А предел последовательности Sn.
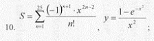
В данном задании необходимо рассчитать сумму чисел и вычислить
арифметическое выражение по формуле:
Рис. 6 - Программа "Вычисление сумм ряда чисел" до
запуска
Код программы "Вычисление сумм ряда чисел" будет
выглядеть следующим образом:
uses, SysUtils, FileUtil, LResources, Forms,
Controls, Graphics, Dialogs, ExtCtrls, StdCtrls, Math;
{ TForm1 }= class (TForm): TButton;: TEdit;:
TImage;: TLabel;: TLabel;: TLabel;: TLabel;: TLabel;Button1Click (Sender:
TObject);
{ private declarations }
{ public declarations };: TForm1;
{ TForm1 }TForm1. Button1Click (Sender: TObject);n,
factorial: integer; x, y, s: real;: =StrToFloat (Edit1. Text);: =0;: =1;n: =1
to 25 do: =s + power (x, (n-1)) /factorial;: =factorial* (n+1);;. Caption:
=FloatToStr (s);: = (power (2.76,x) - 1) /x;. Caption: =FloatToStr (y);;
{$I unit1. lrs}.
Рис. 7 - Программа "Вычисление сумм ряда чисел"
после запуска
Программа составлена правильно, компилирование объекта прошло
успешно. Сейчас, для того, чтобы вычислить сумму ряда чисел, необходимо задать
в формулу свои значения, и, созданная программа, аналогично калькулятору,
рассчитает ответ.
Вычисление
системы функций "Логическая развилка"
На практике решение большинства задач не удается описать с
помощью программ линейной структуры. При этом после проверки некоторого условия
выполняется та или иная последовательность операторов, однако происходит
нарушение естественного порядка выполнения операторов. Для этих целей
используют управляющие операторы. Условный оператор используется для реализации
разветвлений в программе, которые происходят при выполнении некоторого условия
и имеет следующую структуру:
<логическое выражение> THEN серия1 ELSE серия2;
Если логическое выражение, выступающее в качестве условия,
принимает значение False, то выполняются операторы, расположенные после else
(серия2), если True, - операторы, следующие за then. При записи логического
выражения следует избегать знака = (равно) для действительных переменных, так
как они представляются неточно, а поэтому может не произойти совпадений
значений выражений, стоящих слева и справа от знака равно. Для устранения
указанного недостатка следует требовать выполнения условия с заданной
точностью, т.е. вместо отношения X = Y рекомендуется, например: Abs (X - Y)
< 1E-8.
Поскольку развилка может быть неполной, то возможна и
неполная форма записи условного оператора:
<логическое выражение> THEN серия;
Условный оператор реализует разветвление вычислительного
процесса по двум направлениям, одно из которых осуществляется при выполнении
условия, другое - в противном случае. Для реализации разветвлений более чем по
двум направлениям необходимо использовать несколько условных операторов.
В данном задании нужно вычислить значение функции y (x), где:
Ser () = a2
Power (3,5) = 35 (степень)
Sqrt () = 
(квадратный корень)
Abs () = | | (модуль)
: = sin (a) = sin (синус)
: = cos (x) = cos (косинус)
Рис. 8 - Программа "Логическая развилка" до запуска
Аналогично предыдущим заданиям составляем программу. Код программы
"Логическая развилка" на языке Pascal будет выглядеть следующим образом:
unit Unit1;
{$mode objfpc}{$H+}, SysUtils, FileUtil,
LResources, Forms, Controls, Graphics, Dialogs, ExtCtrls, StdCtrls;
{ TForm1 }= class (TForm): TButton;:
TEdit;: TImage;: TLabel;: TLabel;: TLabel;Button1Click (Sender: TObject);
{ private declarations }
{ public declarations };: TForm1;
{ TForm1 }TForm1. Button1Click (Sender:
TObject);x, y: real;: =StrToFloat (Edit1. Text);x<-5 then: =ln (1+abs (cos
(x))) /sqr (x) elsex>=2 then: =cos (x) else: = (sin (x) - 2*x) /5;. Caption:
=FloatToStr (y);;
{$I unit1. lrs}
end.
Компилятор - (англ. - compiler
- составитель, собиратель) читает всю программу целиком, делает ее перевод и
создает законченный вариант программы на машинном языке, который затем и
выполняется.
После того, как программа откомпилирована, ни сама исходная
программа, ни компилятор более не нужны. В то же время, программа,
обрабатываемая интерпретатором, должна заново переводится на машинный язык при
каждом очередном запуске программы. Откомпилированные программы работают
быстрее, но интерпретируемые проще исправлять и изменять.
Рис. 9 - Программа ""Логическая развилка" после
запуска.
Заключение
Цель разработки программы и разрешение поставленной проблемы
всегда предопределяет результат деятельности, выступая в качестве
непосредственного мотива, цель направляет и регулирует деятельность заказчиков
и разработчиков программы. Определение цели предполагает использование
определенных методов и средств организационного и управленческого характера.
В процессе анализа выявляются взаимосвязи проблем,
группируются в содержательные блоки, и определяется ключевая проблема.
Одновременно с этим управленческие структуры определяют свое место и роль в
отношениях с носителями тех или иных социокультурных проблем и инноваций -
субъектами культурной деятельности своей территории.
В тех случаях, когда ключевых проблем окажется несколько, а
обеспеченность людскими и материальными ресурсами не позволяет их реализовать,
проблемы можно "отфильтровать" по остроте, значимости
"реализуемости". Точно выверенная и сформулированная проблема сама по
себе определяет контуры и границы разработки и реализации программы, но, для
того чтобы проблема перешла в динамичное состояние (в движение к разрешению),
необходимо найти правильный вектор этого движения к относительно завершенному,
качественно новому положению новой программируемой ситуации в социокультурной
сфере.
В теории и практике программирования выработана и
апробирована определенная последовательность реализации различных моделей
управления в виде продвижения замысла из стадии целеполагания в этапы
диагностики объекта, разработки собственно программы и ее внедрения.
Замысел программы представляет собой научно обоснованную идею
построения новой по структуре и содержанию или видоизменения существующей
социокультурной модели, программируемых процессов, объектов и субъектов.
Формирование замысла всегда обусловлено актуальностью и проблемностью ситуации;
выявлением внутренних противоречий социокультурной системы, ее
историко-культурной обусловленности; нормируемыми и реальными прогнозами;
проработкой исходных идей и последствий; переводом идеи в плоскость расчетов ресурсов
и средств реализации.
В процессуальной природе замысла социокультурного
программирования заложены идейно - побудительные мотивы необходимости,
целесообразности и полезности программирования (кому и зачем и какая нужна
программа); ситуационные прогнозы реализации (кто и как будет разрабатывать и
реализовывать программу).
И, наконец, на стадии замысла определяются содержательные и
организующие компоненты программного обеспечения: проблема, заставляющая
разрабатывать программу, идеи и пути расширения проблемы, цель и предполагаемый
результат, последовательность задач, ресурсное обеспечение.
Другими словами, программирование и сама наука информатика
необходима человеку и обществу для технического прогресса и совершенствования
во всех абсолютно во всех научных областях.
В последние годы наблюдается быстрое развитие компьютерных
технологий. Компьютер внедряется практически во все сферы нашей жизни, а во
многих из них становится просто незаменимым. Развитие достигло такого уровня,
что в недавнем матче с компьютером Deep-blue лучший шахматист мира Г. Каспаров
потерпел поражение, что ранее считалось практически невозможным.
В связи с этим возникает вопрос, насколько обдуманным,
необходимым является столь сильное развитие вычислительной техники. Таким
образом, тема представляется весьма актуальной, так как имеет принципиальное
значение для эволюции социальных отношений во всем мире (хотя, возможно, и не в
столь скором времени), ведь компьютер сможет заменить человека во многих
областях его деятельности.
Противоречие заключается в том, что, несмотря на то, что
компьютер - вещь, несомненно, полезная в деятельности человека, однако в то же
время он может оказывать пагубное воздействие на здоровье и психику людей, а
дальнейшее развитие компьютерных технологий может коренным образом изменить
социальные отношения в обществе.
1.
По
мнению 20% опрошенных россиян, компьютер заменит человека во многих областях
деятельности в очень скором времени;
2.
Компьютеризация
населения может привести к изменению социальных отношений в обществе (по мнению
70% россиян);
3.
Увеличение
времени работы с компьютером может негативно повлиять на здоровье и психику
человека (по мнению 40% россиян).
Человечество неотвратимо вступает в информационную эпоху. Вес
информационной экономики постоянно возрастает, и ее доля выраженная в суммарном
рабочем времени, для экономически развитых стран уже сегодня составляет 40-60%
и ожидается, что к концу века она возрастет еще на 10-15%.
Из всего вышесказанного можно сделать заключение, что на
данном этапе развития перед обществом как никогда остро стоит проблема
информатизации. Всеобщая компьютеризация и информатизация достигли столь
высокого уровня, влияние компьютера на человека настолько сильно, что может
привести к тяжёлым социальным последствиям. Уже сейчас наблюдаются первые
симптомы этой болезни. Однако, необходимо признать также и то огромное
положительное влияние компьютеризации и информатизации на общество. Наше
общество становится информационным, а отсюда следует, что оно становится более
цивилизованным, более развитым, любой индивид может получить доступ к
практически неограниченным объёмам информации. Наше общество становится всё
более и более образованным.
Какое влияние на общество оказывает всеобщее засилье
компьютеров? Похоже, что в ближайшее время этот вопрос останется без ответа.
Список
использованной литературы
1. Угринович
Н.Д. Информатика и информационные технологии. М.: БИНОМ, Лаборатория знаний,
2008г;
2. Акулов
О.А., Медведев Н.В. Информатика, М.: АСТ-ПРЕСС, Инфорком-Пресс, 2006 г;
. Информатика
и информационно-коммуникационные технологии Учебник / Под ред. проф. Н.В.
Макаровой. - М.: 2011 г;
. Л.З.
Щауцукова, Информатика, под ред. Т.А. Бурмистрова. М: Просвещение, 2003 г;
. Гейн
А.Г., Григорьев С.Г. Информатика и информационные технологии. / Урал., 2008 г;
. Информатика.
Вычислительная техника. Крылов С.С., Лешинер И.Р., Якушкин П.А., 2009 г;
. Алексеев
А.П. Информатика и ИКТ 2001. - М.: СОЛОН-Р, 2001. - 364 с. … В.А. Лебедев -
Уфа, 2007г;
. Информатика
и компьютерная техника, Базовый курс/С.В. Симонович и др. - СПБ.: Питер, 2009
640с;
. Информатика:
Учеб. пособие для студ. вузов/ А.В. Могилев, Н.И. Пак, Е.К. Хённер; Под ред.
Е.К. Хённера. - М., 2011 г. - 816 с;
. Острейковский
В.А., Информатика, М., "Высшая школа", 2000 г.В.Г. Олифер;
. Компьютерные
сети, СПб., "Питер", 2010 г. Н.А. Олифер, Н.В. Макарова.