Виды местной вентиляции на производственных участках

  • Вид работы:
    Контрольная работа
  • Предмет:
    Безопасность жизнедеятельности
  • Язык:
    Русский
    ,
    Формат файла:
    MS Word
    55,9 Кб
  • Опубликовано:
    2015-02-27
Вы можете узнать стоимость помощи в написании студенческой работы.
Помощь в написании работы, которую точно примут!

Виды местной вентиляции на производственных участках

1. Виды местной вентиляции на производственных участках

Какие существуют виды местной вентиляции на производственных участках и какова методика расчета воздухообмена при ее работе?

Вентиляция - главный элемент в создании благоприятного климата, призванный для подачи свежего воздуха с улицы и удаления загрязненного воздуха из помещений.

Вентиляция является одной из важнейших систем обеспечения нормальных условий жизнедеятельности человека. Если она действует совместно с другими климатическими системами, то в помещениях поддерживается комфортный микроклимат. Вентиляцией называется совокупность мероприятий и устройств, используемых при организации воздухообмена для обеспечения заданного состояния воздушной среды в помещении и на рабочих местах в соответствии со строительными нормами. Речь идет о свежем воздухе, который должен поступать в помещение. Именно с этой целью в помещениях устанавливают системы вентиляции.

При местной вентиляции воздух подается на определенные места (местная приточная система), а удаляется только от мест образования вредных выделений (местная вытяжная система).

Местной вентиляцией называется такая, при которой воздух подают на определенные места (местная приточная) и загрязненный воздух удаляют только от мест образования вредных выделений (местная вытяжная).

Местная приточная вентиляция.

Системы местного притока делятся на воздушные души и воздушные оазисы. Задача воздушного душа - подавать чистый воздух к рабочим местам, а также снижать температуру воздуха в зоне притока. Воздушные оазисы - это участки помещений, изолированные перегородками, куда подается воздух с пониженной температурой.

В качестве местной приточной вентиляции также используются воздушные завесы, которые создают как бы воздушные перегородки или изменяют направление потоков воздуха.

Местная вентиляция требует меньших затрат, чем общеобменная. В производственных помещениях при выделении вредностей (газов, влаги, теплоты и т. п.) обычно применяют смешанную систему воздухообмена - общую для устранения вредностей во всем объеме помещения и местную (местные отсосы и приток) для обслуживания рабочих мест.

Местная вытяжная вентиляция.

Вентиляционные системы данного типа применяются для удаления вредных выделений из локальных зон помещения, когда их распространения по всей площади можно избежать. В производственных помещениях местная вытяжная вентиляция обеспечивает улавливание и отвод вредных веществ (газов, пыли, дыма и т.д.) с помощью отсосов (укрытий в виде шкафов, зонтов, бортовых отсосов, завес).

Местную вытяжную вентиляцию применяют, когда места выделений вредностей в помещении локализованы и можно не допустить их распространение по всему помещению.

Местная вытяжная система в производственных помещениях обеспечивает улавливание и отвод вредных выделений: газов, дыма, пыли и частично выделяющегося от оборудования тепла. Для удаления вредностей применяют местные отсосы (укрытия в виде шкафов, зонты, бортовые отсосы, завесы, укрытия в виде кожухов у станков и др.).

Местные вытяжные системы вентиляции весьма эффективны, так как позволяют удалять вредные вещества непосредственно с места образования, не допуская их распространения по всему помещению.

Однако и они не могут решить всех задач - например, удаления выделений, рассредоточенных на значительной площади или в объеме. В таком случае используют общеобменные типы вентиляционных систем.

При расчете вентиляции в цехах, воздухообмен, как правило, определяют расчетным путем по конкретным данным о количестве вредных выделений (тепла, влаги, паров, газов)

Для цехов, где выделяются вредные вещества, воздухообмен определяют по количеству вредных газов, паров, пыли, которые поступают в рабочую зону, с целью разбавления их приточным воздухом до предельно допустимых концентраций:


где U - количество вредных выделений в цехе, мг/ч;

к1, - предельно допустимая концентрация вредных выделений в воздухе цеха, мг/м3,- концентрация вредных выделений в приточном воздухе, мг/м3.

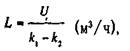
Для помещений, где вредные выделения отсутствуют (или количество их незначительно) приток (вытяжку) воздуха можно определить по кратности воздухообмена (k) - отношения объема вентиляционного воздуха L (м3/час) к объему помещения Vп (м3):

вентиляция баланс помещение пожаротушение


Кратность воздухообмена показывает сколько раз в течение часа необходимо поменять весь объем воздуха в данном помещении для создания нормальных условий воздушной среды. Определив по справочнику кратность воздухообмена при известном объеме помещения можно рассчитать объем приточного воздуха или вытяжки.

Для помещений, в которых отсутствуют вредные выделения и избыточное тепло и нет необходимости в создании метеорологического комфорта можно использовать формулу:


где l - минимальная подача воздуха на одного работающего в соответствии с санитарными нормами (при объеме помещения на одного работающего, до 20 м3 - 30м3/ч, a при объеме больше 20м3 - 20 м3/ч);- количество работающих в помещении.

При расчете местной вытяжной вентиляции количество воздуха, удаляемое местным отсосом (зонт, панель, шкаф) можно определить по формуле:


где F - площадь сечения отверстия местного отсоса, м2;- скорость движения удаляемого воздуха в этом отверстии (принимается от 0,5 до 1,7 м/с в зависимости от токсичности и летучести газов и паров).

Расчет воздухообмена при проектировании местной вентиляции и кондиционирования воздуха.

Действие местной вентиляции основано на разбавлении выделяющихся вредных веществ свежим воздухом до предельно допустимых концентраций или температур. Одна из задач проектирования местной вентиляции и кондиционирования состоит в том, чтобы рассчитать требуемый тепловой режим помещения. При составлении теплового и влажностного балансов помещения учитывают:

тепловыделение работающих машин;

тепловыделение от источников освещения;

тепловыделение, поступающее в помещение от солнечной радиации;

тепловыделение от людей.

Воздухообмен по теплу определяем по формуле, м3/ч


где Qизб - избыточное тепло в помещении, ккал/ ч;

С - удельная теплоемкость воздуха при постоянном давлении, равная одному кДж/кгК;

γ - плотность приточного воздуха, кг/м3;у - температура воздуха, удаляемого из цеха, °С;-температура приточного воздуха, °С.

Для помещений с влаговыделениями воздухообмен определяют по избыткам влаги


где G - масса водяных паров, выделяемых различными источниками в помещение, г/ч;влагосодержание удаляемого из помещения воздуха, г/кг;- влагосодержание наружного (приточного) воздуха, г/кг;

γ - плотность приточного воздуха, кг/м3.

Кратность воздухообмена показывает сколько раз в течение часа необходимо поменять весь объем воздуха в данном помещении для создания нормальных условий воздушной среды. Определив по справочнику кратность воздухообмена при известном объеме помещения, можно рассчитать объем приточного воздуха или вытяжки.

Тепловыделения работающих машин, механизмов, электродвигателей, ккал/ч

Q1 = N(l - η)860/ η,

где Nсут - установочная или номинальная мощность электродвигателя, Вт;

η - КПД электродвигателя.

Тепловыделение от источников освещения, ккал/ч

= qЕнS,

где Q2 - тепло от источников света, ккал/ч

Ен - нормированная освещенность, принятая по нормам СНиП ІІ-4-79. Естественное и искусственное освещение. Нормы проектирования.=0,05 ккал - тепло, выделяемое на 1 м2 освещаемой поверхности

= Тепловыделение, поступающее от солнечной радиации в помещение для остекленных поверхностей, ккал/ч

= FостqостAост,

- тепловыделение от солнечной радиации, ккал/ч ;ост - площадь поверхности остекления, м2;ост - величина радиации через 1 м2 остекления, ккал/(м2ч); солнечная радиация через остекление для широты

° = 20 ккал/(м2 ч); для 45° = 18 ккал/(м2 ч);

для 55° = 15 ккал/(м2 ч); и для 65° = 12 ккал/(м2 ч);

Аост - коэффициент, зависящий от характеристики остекления;

Ниже приведены значения коэффициента Аост:

Характеристика остекления:

Двойное в одной раме 1,15,

Одинарное 1,45,

Обычное загрязнение стекла 0,8,

Сильное загрязнение 0,7,

Забелка окон 0,6.

Тепловыделение от работающих

=q1n

После расчета количества воздуха, которое должно поступать в помещение необходимо выбрать кондиционер.

2. Изложите основы нормирования шума и меры защиты от его вредного воздействия

Нормируемые параметры шума на рабочих местах определены ГОСТ 12.1.003-88. ССБТ «Шум. Общие требования безопасности». В них установлены предельно допустимые уровни звукового давления в октавных полосах частот, уровни звука и эквивалентные уровни звука (в дБА).

Нормирование шума осуществляется по предельному спектру шума и по уровню звукового давления. При первом методе предельно допустимые уровни звукового давления нормируются в октавных полосах частот со среднегеометрическими частотами 63, 125, 250, 500, 1000, 4000, 8000 Гц.

Для ориентировочной оценки в качестве характеристики постоянного широкополосного шума на рабочих местах допускается принимать уровень звука в дБА, измеряемый по временной характеристике «медленно» шумомера.

Нормируемой характеристикой непостоянного шума на рабочих местах является интегральный критерий - эквивалентный (по энергии) уровень звука в дБА. Эквивалентный уровень звука Lэкв в дБА данного непостоянного шума - уровень звука постоянного широкополосного шума, который имеет то же самое квадратичное звуковое давление, что и данный непостоянный шум в течение определенного интервала времени.

Допустимые уровни звукового давления в октавных полосах частот и эквивалентные уровни звука на рабочих местах следует выбирать в соответствии с табл. 1 согласно ГОСТ 12.1.003-83 ССБТ. „Шум. Общие требования безопасности”.

Таблица 1 - Допустимые уровни звукового давления

Рабочие места

Уровни звукового давления дБ в октавных полосах с среднегеометрическими частотами, Гц

Уровень звука и эквивалентные уровни звука, дБА

 


63

125

250

500

1000

2000

4000

8000


1. Помещения конструкторских бюро, программистов вычислительных машин, лабораторий для теоретических работ и обработки экспериментальных данных.

71

61

54

49

45

42

40

38

50

2.Помещения управлениия, рабочие комнаты

79

70

68

58

55

52

50

49

60

3.Кабины наблюдений и дистанционного управления: а) без речевой связи по телефону б)с речевой связью по телефону

94 83

87 74

82 68

78 73

75 60

73 57

71 55

70 54

80 65

4.Помещения и участки точной сборки, машинописные бюро.

94

87

82

78

75

73

71

70

80

5.Помещения лабораторий для проведения экспериментальных работ, для размещения громких агрегатов машин

94

87

82

78

75

73

71

70

80

6. Постоянные рабочие места и рабочие зоны в производственных помещениях и на территории предприятий

87

82

78

75

73

71

69

80


Методы борьбы с производственным шумом:

Первый способ наиболее эффективный. Воздействие на источник шумообразования требует строгого индивидуального подхода с целью учета особенностей звукообразования в процессе эксплуатации машины - источника шума.

Второй способ отличается большей универсальностью. Для его осуществления не требуется детального исследования механизмов звукообразования. Достаточно знать шумовые характеристики машин и акустические характеристики помещений, материалов, для того чтобы разработать конструкцию и рассчитать эффективность средства поглощения ослабления интенсивности шума на пути его распространения от зоны звукообразования до рабочего места. Такие средства имеют вид звукоизолирующих конструкций (кожухов, перегородок и экранов), звукопоглощающих облицовок (каналов, щелей, стенок, стен ограждающих конструкций), реактивных гасителей, звуковой энергии (резонаторов, настроенных в противофазу к приходящей звуковой волне) и комбинированных устройств. В большинстве случаев, особенно в части средств звукопоглощения, реализация второго способа связана со значительными материальными затратами и дает относительно небольшой эффект снижения шума.

Третий способ связан с применением средств индивидуальной защиты органов слуха с помощью ушных пробок, противошумных наушников, шлемов. Основное назначение этого способа - защита органов слуха человека от шумовых травм, предотвращение развития профессиональной глухоты и тугоухости. Этот способ ни в коей мере не заменяет снижения шума, указанные выше, так как не обеспечивает защиту человека от воздействия шума и не создает нормальных условий для работы. Тем не менее, в случаях чрезмерного шума на рабочих местах применение средств индивидуальной защиты слуха работникам обязательно.

Таким образом, снижение шума может быть достигнуто одним из указанных способов или их комбинаций.

3. Практическая часть

Задача

Для компьютерного класса охарактеризовать зрительные условия труда и выбрать норму освещенности на рабочем месте в зависимости от точности выполняемых работ:

определить источник искусственного света и выбрать тип лампы;

определить общую мощность ламп и их количество, необходимое для создания общего равномерного освещения помещения.

Коэффициент отражения от потолка и стен соответственно 50 % и 30%, коэффициент запаса к = 1,5, коэффициент неравномерности z = 1,2, напряжение в сети U = 220 В, высота рабочей поверхности hp = 0,8 м.

При решении задачи пользоваться методом светового потока.

Необходимые данные для расчёта приведены в таблице 2.

Таблица 2

Наименование

Вариант


7

Размер объекта различений, мм

0,9

Фон

средний

Контраст объекта различения с фоном

средний

Длина помещения, А, м

20

Ширина помещения, В, м

7

Тип светильника

ПСХ

Высота помещения

3

Высота свисания светильников Нс,м

0,1


Решение:

Приняв расстояние от светильников до стен L= 2 м, на основании

данных таблицы 2.5.2*[2; c.131], можно по углам прямоугольной комнаты со сторонами 20 м и 7 м разместить Nc = 12 светильников. Схема размещения светильников представлена на рисунке 1.

м      

,1 м

,5 м 2,5 м

м


Рисунок 1 - Схема размещения светильников в помещении

Определим световой поток одной лампы, необходимый для создания нормированной освещённости Ен = 200лк:

Световой поток лампы Фл определяют по формуле:


где Ен - нормированная освещенность, лк; (табл. 2.5.1*[2; c.124])- площадь освещаемого помещения, м2;з - коэффициент запаса, учитывающий снижение освещенности в результате загрязнения и старения ламп (kз= 1,3-1,8);- коэффициент неравномерности освещения (Z=1,1-1,15);- количество светильников;- количество ламп в светильнике;

 - коэффициент использования светового потока (табл. 2.5.2 и 2.5.3)*[2; c.131; 135].

Коэффициент  определяется по светотехническим таблицам в зависимости от показателя помещения і, типа светильника, коэффициентов отражения стен и потолка. Показатель помещения і определяют по формуле:


где a и b - длина и ширина помещения, м;

Нс - высота подвеса светильника над рабочей поверхностью, м.

Нс = Н - hcв - Нр,

где hсв - высота свисания светильников Нс,м;

Нр - размер объекта различений, мм.

Нс = 3 - 0,1 - 0,9 = 2 м

=  = 2,59 м.

Таким образом, по данным таблицы определяем, что = 0,47.

Значит, можно найти световой поток лампы (Фл):

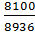
Фл =  =  = 8936 лм.

Необходимую мощность лампы для заданного напряжения сети (220 В) установим по таблице 2.5.5*[2; c.140]. Наиболее близка к расчётной величине светового потока лампа накаливания типа НГ, мощностью - 500 Вт, Ф = 8100 лм. Выбранная лампа создаёт фактическую освещённость:

Е = Ен = 200 = 181 лк.

Мощность осветительной установки (Роу) составит:

Роу = n*p = 12*500 = 6000 Вт.

Задача

Определить количество воды на внутреннее и внешнее тушение пожара производственного здания, которое принадлежит к категории В с взрывопожарной безопасности и имеет II степень огнестойкости. Расчетная про

Таблица 3

Показатели для расчета

Вариант


7

Объем помещения тыс. м³

4

Категория помещения

Б

Степень огнестойкости

I

Количество струй

3

Минимальное количество воды на 1 струю, л/с

2,5


Решение:

Расход воды на внешнее тушение пожара определяем по формуле:


Где q1- расход воды на один пожар (выбирается с учетом объема помещения, степени огнестойкости и категории помещения, согласно таблице 8.9, тогда для наших условий q1=10 л/с).


Т1 - расчетная продолжительность внешнего тушения пожара (для категории Б и степени огнестойкости І - 3 ч).

Определяем расход воды на внутреннее тушение пожара:


Где n - количество струй;- минимальный расход воды на один струя;

Т2 - расчетное время работы пожарных кранов (для категории Б - 3 ч).

Общий расчетный расхода воды на внутреннее и внешнее тушения пожара указанного здания представляет:


Ответ: необходимое количество воды на внутреннее и внешнее тушение пожара производственного здания составил 189000 л.

Использованные источники

1. В.Ц. Жидецкий, В.С. Джигерей, А.В. Мельников. Основы охраны труда. Учебное пособие. Львов «Афиша», 2000 - 343 с.

. Курс лекций по дисциплине «Основы охраны труда» для студентов специальностей 7.050101, 7.050104, 7.050106, 7.050107, 7.050109, 7.050201 дневной и заочной форм обучения. Составители: Н.С. Белая, Г.Н. Бутузов - Донецк, ДонНТУ, 2006г. - 189с.

. Справочник по охране труда на промышленном предприятии. К.Н. Ткачук, Д.Ф. Иванчук, Р.В. Сабарно и др. - К.: Техника, 1991. - 286 с.

Похожие работы на - Виды местной вентиляции на производственных участках

 

Не нашли материал для своей работы?
Поможем написать уникальную работу
Без плагиата!
Без нейросетей!