Охрана труда в процессе строительства
1. Расчет крутизны профиля откоса
котлованов и траншей без крепления
Крутизна откосов выемок в однородных грунтах
нарушенной и ненарушенной структуры глубиной не более 5 метров принимают по
СНиП 111-4-80* в зависимости от вида грунта. Крутизна откосов выемок
глубиной более 5 м во всех грунтах (однородных, неоднородных, естественной
влажности, переувлажнённых) и глубиной менее 5 м при расположении подошвы
выемки ниже уровня грунтовых вод должна устанавливаться по расчёту. Для откосов
высотой более 6 м в однородных грунтах допускается определять их крутизну по
СНиП 3.02.01-87.
Наблюдения за откосами выемок показывают, что
естественные откосы береговой линии рек и других водоёмов имеют криволинейный
профиль, который надолго сохраняет свою устойчивость. Таким образом, устойчивый
откос должен иметь профиль переменной крутизны, понижающейся с глубиной выемки.
Определение профиля равноустойчивого откоса
обеспечивается, в частности, методикой, предложенной проф. Н.Н. Масловым,
которая учитывает изменение характеристик грунта в его отдельных слоях и
наличие дополнительной пригрузки бермы откоса распределённой нагрузкой.
Рассчитаем координаты и построим профиль откоса
по методике Н.Н. Маслова.
Исходные данные:
Вид грунта - песок средней крупности;
Плотность грунта - γ
= 1890 кг/м3
= 18900 Н/м3;
Удельное сцепление: С = 2 кПа = 2000 Па;
Угол внутреннего трения: φ
= 30°.
Первый расчётный случай - берма не
нагружена: Р0 = 0.
Xi =
*
(A + C * ln
), м.
В
= С.
В таблице №1 приводится расчёт профиля
равноустойчивого откоса при Р0 = 0.
Второй расчётный случай - берма
нагружена: Р0 = 5000 Па.
Xi =
*
(A + C * ln
), м.
А = γ
* Z1 * tg φ.
B = P0
* tg φ + C.
В таблице №2 приводится расчёт профиля
равноустойчивого откоса при Р0 = 5000 Па.
Таблица 1
|
Номер слоя
|
Zi
|
γ * Zi, Н/м2
|
tg φ
|
, м3/Н
|
А = γ * Z1 * tgφ, Па
|
А + В, Па
|
|
ln ( )
|
A + C * ln ( )
|
Xi = (5) * (10)
|
|
1
|
1
|
18900
|
0,577
|
0,0001589
|
10905,3
|
12905,3
|
0,15498
|
-1,8645
|
7176,3
|
1,14
|
|
2
|
2
|
37800
|
0,577
|
0,0001589
|
21810,6
|
23810,6
|
0,08400
|
-2,4770
|
16856,6
|
2,68
|
|
3
|
3
|
56700
|
0,577
|
0,0001589
|
32715,9
|
34715,9
|
0,05761
|
-2,8541
|
27007,8
|
4,29
|
|
4
|
4
|
75600
|
0,577
|
0,0001589
|
43621,2
|
45621,2
|
-3,1272
|
37366,7
|
5,94
|
|
5
|
5
|
94500
|
0,577
|
0,0001589
|
54526,5
|
56526,5
|
0,03538
|
-3,3416
|
47843,4
|
7,60
|
|
6
|
6
|
113400
|
0,577
|
0,0001589
|
65431,8
|
67431,8
|
0,02966
|
-3,5180
|
58395,9
|
9,28
|
|
7
|
7
|
132300
|
0,577
|
0,0001589
|
76337,1
|
78337,1
|
0,02553
|
-3,6679
|
69001,4
|
10,96
|
|
8
|
8
|
151200
|
0,577
|
0,0001589
|
87242,4
|
89242,4
|
0,02241
|
-3,7982
|
79646,0
|
12,66
|
|
9
|
9
|
170100
|
0,577
|
0,0001589
|
98147,7
|
100147,7
|
0,01997
|
-3,9135
|
90320,7
|
14,35
|
|
10
|
10
|
189000
|
0,577
|
0,0001589
|
109053
|
111053
|
0,01801
|
-4,0169
|
101019,3
|
16,05
|
Таблица 2
Zi
|
γ * Zi, Н/м2
|
tg φ
|
, м3/Н
|
А = γ * Z1 * tgφ, Па
|
А + В, Па
|
|
ln ( )
|
A + C * ln ( )
|
Xi = (5) * (10)
|
|
1
|
1
|
18900
|
0,577
|
0,0001589
|
10905,3
|
15790,3
|
0,3094
|
-1,1732
|
8558,8
|
1,36
|
|
2
|
2
|
37800
|
0,577
|
0,0001589
|
21810,6
|
26695,6
|
0,1830
|
-1,6983
|
18413,9
|
2,93
|
|
3
|
3
|
56700
|
0,577
|
0,0001589
|
32715,9
|
37600,9
|
0,1299
|
-2,0409
|
28634,2
|
4,55
|
|
4
|
4
|
75600
|
0,577
|
0,0001589
|
43621,2
|
48506,2
|
0,1007
|
-2,2955
|
39030,2
|
6,20
|
|
5
|
5
|
94500
|
0,577
|
0,0001589
|
54526,5
|
59411,5
|
0,0822
|
-2,4983
|
49529,9
|
7,87
|
|
6
|
6
|
113400
|
0,577
|
0,0001589
|
70316,8
|
0,0695
|
-2,6668
|
60098,1
|
9,55
|
|
7
|
7
|
132300
|
0,577
|
0,0001589
|
76337,1
|
81222,1
|
0,0601
|
-2,8110
|
70715,1
|
11,24
|
|
8
|
8
|
151200
|
0,577
|
0,0001589
|
87242,4
|
92127,4
|
0,0530
|
-2,9370
|
81368,4
|
12,93
|
|
9
|
9
|
170100
|
0,577
|
0,0001589
|
98147,7
|
103032,7
|
0,0474
|
-3,0489
|
92049,9
|
14,63
|
|
10
|
10
|
189000
|
0,577
|
0,0001589
|
109053
|
113938
|
0,0429
|
-3,1495
|
102754,0
|
16,33
|
2. Объясните формулы подсчёта
показателей частоты несчастных случаев и тяжести травматизма
Анализ производственного травматизма является
одним из инструментов управления охраной труда. Критериями состояния охраны
труда являются такие показатели, как показатель частоты травматизма Кч,
показатель тяжести травматизма Кт, показатель нетрудоспособности Кн,
показатель частоты несчастных случаев с летальным исходом Кл.
Показатель Кч характеризует число
несчастных случаев, приходящихся на 1000 рабочих за определённый период времени
(обычно за год):
Кч =
.
Показатель Кт характеризует среднюю
длительность нетрудоспособности, приходящуюся на один несчастный случай:
Кт =
.
В приведённой формуле коэффициент тяжести не
отражает фактической тяжести несчастных случаев, т.к. при расчёте не берутся
случаи, нетрудоспособность которых не закончилась в отчётный период, и этот
показатель не учитывает потерь, связанных с полным выбытием погибших их
трудового процесса. Поэтому кроме приведённых показателей при анализе
производственного травматизма подсчитывают показатель нетрудоспособности Кн.
Показатель Кн комплексно учитывает
частоту и тяжесть травм:
Кн = Кч
Кт
=
.
Показатель Кл характеризует уровень
принудительной смертности на производстве, приходящейся на 1000 работающих:
Кл =
.
В указанных формулах Т - численность
травмированных людей, С - среднесписочное число работающих, Д - суммарное число
дней нетрудоспособности по всем несчастным случаям, Nл - число
летальных исходов в результате несчастных случаев на производстве.
Сведения о среднесписочной численности
работающих за интересующий период можно получить в плановом или
производственном отделе, отделе кадров, туда и зарплаты, а также в цехах как в
целом, так и по видам работ.
Динамика показателей травматизма и
нетрудоспособности определяет тенденцию изменения условий и охраны труда на
предприятии и является основанием для выработки управляющих решений для
работодателя и вышестоящих организаций управления в области охраны труда.
3. Какие предусматриваются меры
безопасности при обеззараживании воды хлорной известью?
Хлорная известь
образуется в результате взаимодействия газообразного хлора с сухой гашеной
известью.
Хлорная известь -
ядовитое вещество, её пары могут вызывать тяжёлое удушье, сильную головную
боль, рвоту.
Раствор гашеной
извести разрушает любую ткань (даже брезент), кожу, металл. К материалам, не
подвергающимся разъеданию хлорной известью, относятся резина и свинец. В
настоящее время для транспортировки хлорной извести используется винипласт,
тоже являющийся стойким к хлорной извести материалом.
Хлорную известь
хранят и перевозят в деревянных бочках вместимостью 50-100 м3,
массой 275 кг. Для хранения хлорной извести выделяют отдельный склад с сухими,
затемнёнными помещениями, имеющими вентиляцию и естесственное освещение. Стёкла
окон кладовых закрашивают белой краской. Это делается по причине быстрого
разлагания хлорной извести под действием влаги, света, высокой температуры.
В хлорной извести
различают связанный и активный хлор. Связанный хлор, входящий в состав хлорного
кальция, не вступает в реакцию. Процент активного хлора непостоянен, он
уменьшается во время хранения хлорной извести на складе. Применяемая для
обеззараживания питьевой воды хлорная известь должна содержать не менее 32-35%
активного хлора.
При хлорировании
питьевой воды хлорной известью применяют раствор 1-2%-ной концентрации (на
каждые 100 л раствора 3-6 кг хлорной извести). Его приготавливают в баках,
выполненных из дерева с обручами из кислотостойких материалов или из
железобетона. Внутри баки оштукатуривают кислотоупорным цементом и выкладывают
плитками на том же растворе. Для лучшего перемешивания раствора по дну
затворных баков в крупных установках прокладывают дырчатые трубы, по которым
подаётся сжатый воздух.
Помещения для
заготовки раствора оборудуют приточно-вытяжной вентиляцией. Помещение для
затворения извести и хранения готового раствора во избежание распространения
запаха хлора по всему сооружению должно находиться в отдельно стоящем здании.
При расположении такого помещения в основном здании оно отделяется от остальных
помещений сплошной газонепроницаемой стенкой. Помещение должно иметь отдельные
входы.
Согласно
межотраслевым правилам по охране труда при эксплуатации
водопроводно-канализационного хозяйства, взвешивать хлорную известь т
приготавливать известковый раствор необходимо в противогазах, специальной одежде
и специальной обуви. После окончания работы должно быть обеспечено обмывание
под душем.
После опорожнения баки очищают, для чего сначала
открывают краны спускной трубы и спускают осадок, состоящий из не
растворившихся частиц извести. Затем открывают кран на трубопроводе для подачи
воды и промывают растворные баки и спускные грязевые трубы.
4. Какие применяются меры при
эксплуатации водозаборных сооружений?
Водозаборные сооружения в зависимости от
категории источников водоснабжения подразделяют на две основные группы: для
приёма воды из поверхностных и подземных источников.
Более подробно обычно рассматривают вопросы
безопасности при эксплуатации приёмных сооружений поверхностных вод, поскольку
они имеют специфику в обслуживании. Требования безопасности к сооружениям для
приёма поверхностных вод в основном аналогичны требованиям безопасности при
эксплуатации других сооружений систем водоснабжения (насосных станций, колодцев
сетей).
Управление сетками, съёмными решётками и другими
устройствами водозаборного сооружения осуществляют с перекрытия, располагаемого
на уровне поверхности земли. Маховики задвижек на трубопроводах выводят на
поверхность перекрытий на высоту менее 0,6 м. Для очистки и ремонта входных
окон и решёток обычно устанавливают балкон. Для спуска в колодец обычно
применяют железные лестницы.
В процессе эксплуатации водоприёмных сооружений
необходимо очищать решётки оголовка или берегового водоприёмника от засорений
плавающими предметами, водорослями, льдом, самотечные трубопроводы и
водоприёмный колодец - от осадка, сетки колодца - от загрязнений, проверять
состояние оголовков, трубопроводов, сооружений, оборудования и арматуры. Зимой
для борьбы с наледью и шугой решётки обогревают.
Очистку решётки обычно производят после
извлечения её из воды. В береговых водоприёмниках очистку решёток, как правило,
механизируют. При достаточно слабом течении воды (скорость до 0,6 м/с) и
небольшом заглублении оголовка (до 2 м) решётки оголовка допускается очищать
ручными граблями с лодок или с поверхности льда. При больших скоростях и
глубинах потока решётки очищают водолазы.
При работах, связанных с очисткой ото льда
решёток и других частей водоприёмных сооружений, движение по льду водоёма
разрешается только после проверки его толщины (например, бурением) и при условии
систематического наблюдения за его состоянием. Работы проводит бригада,
состоящая не менее, чем из трёх человек. Рабочие должны надеть
предохранительные пояса с лямками и верёвками.
Для предотвращения ожогов при работах по
обогреву решёток необходимо пользоваться масками и рукавицами. До начала работ
шланги для подачи пара или воды испытывают давлением и проверяют надёжность их
соединения. Испытательное давление должно быть на 50% больше рабочего.
При работах, связанных со спуском рабочих в
водоприёмные колодцы, камеры переключений (например, при очистке загрязнений и
ремонте), должны соблюдаться требования техники безопасности при работе в
колодцах водоснабжения и канализации. При работах в водоприёмных колодцах
насосы станции I подъёма
должны быть остановлены, оборудование обесточено, а на щите управления вывешен
знак с предупредительной надписью: «Не включать! Работают люди!».
При производстве подводных работ (очистке
решёток, оголовка, ремонте сооружений и т.д.) должны выполняться правила
техники безопасности при проведении водолазных работ. На водолазной станции
должно быть не менее трёх водолазов, включая старшину. У места выполнения
водолазных работ поднимают сигнал: днём - 2 зелёных флага, ночью - 2 зелёных с
расстоянием между ними 1-2 м. При работе с поверхности льда у места спуска в
воду устраивают отапливаемую будку для переодевания водолаза.
Электросварку под водой допускается выполнять
только при наличии наблюдающего - проинструктированного подсобного сварщика,
находящегося над водой и имеющего прямую двустороннюю телефонную связь со
сварщиком-водолазом. В непосредственной близости от наблюдающего должны
находиться контактор и рубильник для отключения сварочной установки от питающей
сети. До начала работ необходимо тщательно проверить водолазное снаряжение,
детально обследовать объект сварки, находящийся под водой, проверить
исправность, правильность подключения и полярность сварочной цепи.
Подводную резку металлов разрешается выполнять
лишь после того, как разрезаемая конструкция будет надёжно закреплена и падение
разрезанной части исключено. Запрещается сваривать и резать конструкции,
находящиеся под нагрузкой и давлением. Электроды заменяют только при
обесточенной сварочной цепи по команде «Выключить» с поверхности по телефону.
Во время подъёма узлов конструкций после их строповки водолаз, как правило,
должен выходить на поверхность. При быстром течении потока место работы
водолаза ограждают специальными щитами. На месте водолазных работ, а так же при
обслуживании и ремонте оголовка, производстве берегоукрепительных работ должны
находиться спасательные средства - дежурная лодка, спасательные круги, багры,
аптечка и верёвки. На видном месте (на берегу, на столбах) размещают
спасательные круги и багры.
Зимой при проходе людей по льду спасательные
принадлежности размещают на специально укладываемые дощатые настилы. Персонал,
обслуживающий водоприёмные сооружения, должен уметь плавать.
К эксплуатации подземных сооружений водозаборов
(шахтных колодцев, камер переключения, сборных резервуаров и т.д.)
предъявляются те же требования безопасности, что и при работе в колодцах систем
водоснабжения.
5. Какие предъявляются требования
безопасности при эксплуатации подъёмно-транспортных машин?
Устройство, установка, регистрация,
освидетельствование и безопасная эксплуатация грузоподъёмных машин, механизмов,
сменных грузозахватных органов и приспособлений должны осуществляться в
соответствии с требованиями «Правил устройств и безопасной эксплуатации
грузоподъёмных кранов», «Правил устройства электроустановок», «Правил
технической эксплуатации электроустановок потребителей», строительных норм и
правил, государственных стандартов или технических условий.
Руководство предприятия обязано обеспечить
содержание принадлежащих ему грузоподъёмных машин, съёмных грузоподъёмных
приспособлений и тары в исправном состоянии и безопасные условия их работы
путём организации надлежащего освидетельствования, ремонта и обслуживания.
Грузоподъёмные машины могут быть допущены к
подъёму и перемещению только тех грузов, масса которых не превышает
грузоподъёмность машины. Грузоподъёмные машины, находящиеся в работе, должны
иметь чётко обозначенные регистрационный номер, грузоподъёмность и дату
следующего испытания. Грузоподъёмные машины, съёмные грузозахватные
приспособления и тара, не прошедшие технического освидетельствования, а также
грузоподъёмные машины с выведенными из действия или неисправными приборами
безопасности и тормозами к работе не допускаются.
Подъём, опускание и перемещение груза не должны
производиться при нахождении людей под грузом. Опускать груз разрешается лишь
на предназначенное для него место, где исключена возможность падения,
опрокидывания или сползания установленного груза. Места производства работ по
подъёму и перемещению грузов должны быть хорошо освещены; в этих местах не
должны присутствовать лица, не имеющие прямого отношения к производимой работе.
Необходимыми условиями безопасной эксплуатации
грузоподъёмных машин является оснащение их приборами и устройствами
безопасности, ограничивающими возможность возникновения опасных ситуаций:
концевыми выключателями; ограничителями грузоподъёмности; устройствами,
предотвращающими соскальзывание канатов с крюка; буферными устройствами;
звуковой и световой сигнализацией; блокировочными приспособлениями; ловителями.
При работе автокранов должны соблюдаться
следующие меры безопасности:
. Особое внимание должно быть обращено на
установку крана. Не разрешается устанавливать краны на свеженасыпанном не
утрамбованном грунте, а также на площадке с уклоном, превышающим указанный в
паспорте крана. Кран следует устанавливать на дополнительные исправные опоры,
под которые должны быть положены прочные и устойчивые подкладки.
. Расстояние между поворотной частью крана при
любом его положении и габаритами строений или штабелями грузов и другими
предметами должно быть не менее 1 м.
. Установка и работа автокрана при необходимости
выполнения работ в охранной зоне воздушных линий электропередач не разрешается
без согласия организации, эксплуатирующей линию.
При перемещении крана с грузом и без груза
стрела должна быть установлена вдоль пути. Одновременное перемещение крана и
поворот стрелы не разрешаются. Крюк подъёмного механизма следует устанавливать
точно над грузом, при подъёме груза, масса которого близка к предельной
грузоподъёмности крана, груз следует поднять на высоту 200-300 мм и подержать 5
минут, убедившись в исправности крана, опустить его на землю и лишь после этого
производить подъём.
При опускании груза ниже площадки, на которой
установлен кран, необходимо предварительно опустить незагруженный крюк и
убедиться, что на барабане осталось не менее полутора витков каната, не считая
витков, находящихся под зажимным устройством. Только после этого можно опускать
груз.
При горизонтальном перемещении груз необходимо
предварительно поднять на 500 мм выше встречающихся на пути предметов.
котлован травматизм профиль
6. Как осуществляется защита зданий
и сооружений, в том числе строящихся? Объясните порядок расчёта одиночного
стержневого молниеотвода
Строительные
конструкции зданий и сооружений в процессе эксплуатации подвержены вредным
воздействиям окружающей среды, ухудшающим санитарно-гигиенические условия в
помещениях, снижающим расчетную прочность, устойчивость, водонепроницаемость,
сроки надежной эксплуатации конструкций. Поэтому строительные конструкции,
технологическое оборудование и трубопроводы подлежат специальной защите. Чем
агрессивнее среда, уем сложнее и дороже защита.
Для защиты
применяют покрытия из гидрофобных (водоотталкивающих, не впитывающих влагу)
материалов - битумных, полимерных и т.п. При наличии блуждающих токов, кроме
защитных покрытий, применяют электрические способы защиты подземных стальных
конструкций и трубопроводов.
Повышению
надежности защиты способствуют:
ü герметизация
технологического оборудования, трубопроводов и арматуры;
ü устройство
естественной и искусственной вентиляции помещений для отсоса загрязненного
воздуха и регулирования температурно-влажностного режима;
ü понижение
уровня грунтовых вод, устройство глиняных замков и защитных диафрагм из глинистой
суспензии;
ü пропитка
конструкций при их изготовлении гидрофобными составами;
ü повышение
стойкости бетонов введением специальных добавок и подбором
ü состава
бетона, а также другие мероприятия, повышающие качество и сопротивляемость их
воздействию агрессивных сред;
ü повышение
огнестойкости стальных и деревянных конструкций, а также биологической
стойкости конструкций из дерева.
Зона защиты одиночного стержневого молниеотвода
(рис. 1 и 2) представляет собой в вертикальном сечении конус с образующей в виде
ломаной линии.
Построение зоны защиты для молниеотвода высотой
h < 60 м (рис. 2) производится следующим образом. От основания молниеотвода
в противоположные стороны откладываются два отрезка СА' и СВ', равные 0,75h,
концы полученных точек А' и В' соединяют с вершиной О молниеотвода. Далее на
молниеотводе на высоте 0,8h находится точка О', которая соединяется прямой
линией с концами отрезков СВ и СА, равных l, 5h.
Ломаная BDO и является образующей зоны защиты
для определения величины радиуса защиты гх, м, на любой высоте hx зоны защиты
используют формулы:
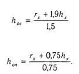
Решая приведенные выше формулы относительно h,
можно при известных (заданных) значениях гх и hx получить величину оптимальной
высоты молниеотвода:
Для молниеотводов высотой более 60 м и до 100 м
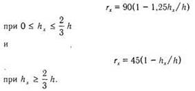
включительно зона защиты определяется исходя из лимитированной величины
основания конуса на уровне земли г = 90 м (рис. 125). При этом радиус защиты на
высоте hx определяется из соотношений:

Список использованной литературы
1.
Безопасность жизнедеятельности. Безопасность технологических процессов и
производств (Охрана труда): Учеб. пособие для вузов / П.П. Кукин, В.Л. Лапин,
Н.Л. Пономарёв и др. - 4-е изд., перераб. М.: Высш. шк., 2007. - 335 с.: ил.
.
Брежнев В.И., Трескунов В.М. Охрана труда при эксплуатации систем водоснабжения
и канализации. - М.: Стройиздат, 1983. - 279 с., ил.
.
Инженерные решения по охране труда в строительстве / Г.Г. Орлов, В.И. Булыгин,
Д.В. Виноградов и др.; Под ред. Г.Г. Орлова. - М.: Строиздат, 1985. - 278 с.,
ил. - (Справочник строителя).
.
Каганов Ш.И. Охрана труда при производстве санитарно-технических работ: Учебник
для техникумов. - М.: Стройиздат, 1980. - 223 с., ил.
.
Межотраслевые правила по охране труда при эксплуатации
водопроводно-канализационного хозяйства. - СПб.: Издательство ДЕАН, 2003. - 80
с.
.
Ф.И. Седельников. Безопасность жизнедеятельности (охрана труда). Учебное
пособие. Вологда, 2001. - Электронная версия.