Локальные вычислительные сети с асинхронным пропорциональным доступом
Министерство
Образования Российской федерации
Государственный
университет аэрокосмического приборостроения
Отчет
защищен:
Преподаватель:
Соловьев Н.В.
ОТЧЕТ
о
лабораторной работе №1
по курсу:
Сети ЭВМ и телекоммуникации.
Локальные
вычислительные сети с асинхронным пропорциональным доступом
СТУДЕНТ ГР. 4842
Митрофанов Д.А.
Санкт-Петербург
2011
Для многометочного, однометочного и однопакетного кольца
W - среднее
нормализованное время задержки передачи пакетов [(время задержки в с)/(B-длина
пакета в с)];
a = τfd/b - доля
пакета, находящегося в пассивной части канала;
fd - скорость передачи [бит/с];
b -длина
пакета [бит];
τ - максимальная задержка в пассивной (кабельной) части канала [с];
L=Vτ - длина сети [м];
V=0.2*109 - скорость распространения сигнала
по кабелю [м/c];
α = Nω/b - доля пакета, находящегося в активной части
канала;
N -
число станций в кольце;
S = λB -
нормализованная интенсивность поступления пакетов;
λ - интенсивность потока пакетов от источников [1/c];
B = b/fd - время записи пакета в канал связи [c];
H - время прохождения маркера между узлами [c];
h = H/B - нормализованное время
прохождения маркера между узлами:
-для однопакетного кольца hоп
= a + a.
|
N вар Тип кольца
Исходные данные Найти зависимость
|
|
3
|
Однопакетное маркерное
кольцо
|
W=2-4; fd= 105-106
бит/с; N=100; b=500 бит; L=1 км; ω=7
|
λдоп=
f(W,fd)
|
Nдоп предельно-допустимое
число станций (штук);
fdн минимально-необходимая скорость
передачи (бит/с);
λдоп предельно допустимая интенсивность
потока пакетов(1/с);
W нормализованная задержка передачи пакетов;
λ суммарная интенсивность потока
пакетов (1/с);
fd скорость передачи (бит/c);
f обозначение искомой зависимости
Для ввода формул и некоторых расчетов воспользуемся пакетом Maple 15 пакет кольцо передача
однометочный

>
>
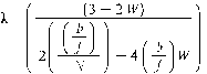
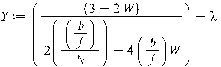
Перенесем λ и присвоим переменной Y выражение для удобства дальнейшей
работы:
>
Подставляем значения переменных:
>
>
>
>
>
>
Находим λ:
>
>
>
>
>
>
Для W=2 25,0626;
250,6265.
Для W=3 50,0834;
500,8347.
Результаты расчетов представлены в таблице:
|
Fd W
|
105
|
106
|
|
2
|
25,06265
|
250,6265
|
|
3
|
50,0834
|
500,8347
|
|
4
|
62,57822
|
625,7822
|
График, отображающий зависимость:
Выводы
I. С увеличением скорости передачи пакетов (Fd) допустимая интенсивность поступления пакетов (λдоп) в кольцо от источника
увеличивается, причем зависимость линейная;. Допустимая интенсивность
поступления пакетов (λдоп) в кольцо от источника увеличивается
с увеличением среднего времени задержки пакетов (W).