Сжатие фотографий с потерей информации

  • Вид работы:
    Реферат
  • Предмет:
    Информационное обеспечение, программирование
  • Язык:
    Русский
    ,
    Формат файла:
    MS Word
    103,69 Кб
  • Опубликовано:
    2015-06-27
Вы можете узнать стоимость помощи в написании студенческой работы.
Помощь в написании работы, которую точно примут!

Сжатие фотографий с потерей информации

МИНИСТЕРСТВО ОБРАЗОВАНИЯ И НАУКИ РОССИЙСКОЙ ФЕДЕРАЦИИ

СИБАЙСКИЙ ИНСТИТУТ (ФИЛИАЛ)

ФЕДЕРАЛЬНОГО ГОСУДАРСТВЕННОГО БЮДЖЕТНОГО

ОБРАЗОВАТЕЛЬНОГО УЧРЕЖДЕНИЯ ВЫСШЕГО ПРОФЕССИОНАЛЬНОГО ОБРАЗОВАНИЯ "БАШКИРСКИЙ ГОСУДАРСТВЕННЫЙ УНИВЕРСИТЕТ"

Сибайский институт (филиал) СИБГУ



Реферат

по теме: "Сжатие фотографий с потерей информации"


Выполнила:

студентка 1курса Гаиткулова Л.Р.

Проверил: доцент Гумеров И.С.







Сибай 2015

Содержание

Введение

. Общие положения алгоритмов сжатия изображений

.1 Классы изображений

.2 Классы приложений

.3 Критерии сравнения алгоритмов

. Алгоритмы архивации с потерями

.1 Проблемы алгоритмов архивации с потерями

.2 Алгоритм JPEG

.3 Фрактальный алгоритм

.4 Рекурсивный (волновой) алгоритм

Заключение

Список использованной литературы

Введение


В течение последних 10 лет в рамках компьютерной графики бурно развивается совершенно новая область - алгоритмы архивации изображений. Появление этой области обусловлено тем, что изображения - это своеобразный тип данных, характеризуемый тремя особенностями:

.        Изображения (как и видео) занимают намного больше места в памяти, чем текст. Так, скромная, не очень качественная иллюстрация на обложке книги размером 500x800 точек, занимает 1.2 Мб - столько же, сколько художественная книга из 400 страниц (60 знаков в строке, 42 строки на странице). В качестве примера можно рассмотреть также, сколько тысяч страниц текста мы сможем поместить на CD-ROM, и как мало там поместится качественных несжатых фотографий. Эта особенность изображений определяет актуальность алгоритмов архивации графики.

.        Второй особенностью изображений является то, что человеческое зрение при анализе изображения оперирует контурами, общим переходом цветов и сравнительно нечувствительно к малым изменениям в изображении. Таким образом, мы можем создать эффективные алгоритмы архивации изображений, в которых декомпрессированное изображение не будет совпадать с оригиналом, однако человек этого не заметит. Данная особенность человеческого зрения позволила создать специальные алгоритмы сжатия, ориентированные только на изображения. Эти алгоритмы обладают очень высокими характеристиками.

.        Мы можем легко заметить, что изображение, в отличие, например, от текста, обладает избыточностью в 2-х измерениях. Т.е. как правило, соседние точки, как по горизонтали, так и по вертикали, в изображении близки по цвету. Кроме того, мы можем дает возможность создать еще более эффективные алгоритмы. Таким образом, при создании алгоритма компрессии графики мы используем особенности структуры изображения.

Всего на данный момент известно минимум три семейства алгоритмов, которые разработаны исключительно для сжатия изображений, и применяемые в них методы практически невозможно применить к архивации еще каких-либо видов данных.

1. Общие положения алгоритмов сжатия изображений


.1 Классы изображений

Статические растровые изображения представляют собой двумерный массив чисел. Элементы этого массива называют пикселами (от английского pixel - picture element). Все изображения можно подразделить на две группы - с палитрой и без нее. У изображений с палитрой в пикселе хранится число - индекс в некотором одномерном векторе цветов, называемом палитрой. Чаще всего встречаются палитры из 16 и 256 цветов.

Изображения без палитры бывают в какой-либо системе цветопредставления и в градациях серого (grayscale). Для последних значение каждого пиксела интерпретируется как яркость соответствующей точки. Встречаются изображения с 2, 16 и 256 уровнями серого. Одна из интересных практических задач заключается в приведении цветного или черно-белого изображения к двум градациям яркости, например, для печати на лазерном принтере. При использовании некой системы цветопредставления каждый пиксел представляет собой запись (структуру), полями которой являются компоненты цвета. Самой распространенной является система RGB, в которой цвет представлен значениями интенсивности красной (R), зеленой (G) и синей (B) компонент. Существуют и другие системы цветопредставления, такие, как CMYK, CIE XYZccir60-1 и т.п. Ниже мы увидим, как используются цветовые модели при сжатии изображений с потерями.

Для того, чтобы корректнее оценивать степень сжатия, нужно ввести понятие класса изображений. Под классом будет пониматься некая совокупность изображений, применение к которым алгоритма архивации дает качественно одинаковые результаты. Например, для одного класса алгоритм дает очень высокую степень сжатия, для другого - почти не сжимает, для третьего - увеличивает файл в размере. (Известно, что многие алгоритмы в худшем случае увеличивают файл.)

Рассмотрим следующие примеры неформального определения классов изображений:

1.      Класс 1. Изображения с небольшим количеством цветов (4-16) и большими областями, заполненными одним цветом. Плавные переходы цветов отсутствуют. Примеры: деловая графика - гистограммы, диаграммы, графики и т.п.

2.      Класс 2. Изображения, с плавными переходами цветов, построенные на компьютере. Примеры: графика презентаций, эскизные модели в САПР, изображения, построенные по методу Гуро.

.        Класс 3. Фотореалистичные изображения. Пример: отсканированные фотографии.

.        Класс 4. Фотореалистичные изображения с наложением деловой графики. Пример: реклама.

Развивая данную классификацию, в качестве отдельных классов могут быть предложены некачественно отсканированные в 256 градаций серого цвета страницы книг или растровые изображения топографических карт. (Заметим, что этот класс не тождественен классу 4). Формально являясь 8- или 24-битными, они несут даже не растровую, а чисто векторную информацию. Отдельные классы могут образовывать и совсем специфичные изображения: рентгеновские снимки или фотографии в профиль и фас из электронного досье.

Достаточно сложной и интересной задачей является поиск наилучшего алгоритма для конкретного класса изображений. Нет смысла говорить о том, что какой-то алгоритм сжатия лучше другого, если мы не обозначили классы изображений, на которых сравниваются наши алгоритмы.

1.2 Классы приложений

Примеры приложений, использующих алгоритмы компрессии графики

Рассмотрим следующую простую классификацию приложений, использующих алгоритмы компрессии:

1.      Класс 1. Характеризуются высокими требованиями ко времени архивации и разархивации. Нередко требуется просмотр уменьшенной копии изображения и поиск в базе данных изображений. Примеры: Издательские системы в широком смысле этого слова. Причем как готовящие качественные публикации (журналы) с заведомо высоким качеством изображений и использованием алгоритмов архивации без потерь, так и готовящие газеты, и информационные узлы в WWW, где есть возможность оперировать изображениями меньшего качества и использовать алгоритмы сжатия с потерями. В подобных системах приходится иметь дело с полноцветными изображениями самого разного размера (от 640х480 - формат цифрового фотоаппарата, до 3000х2000) и с большими двуцветными изображениями. Поскольку иллюстрации занимают львиную долю от общего объема материала в документе, проблема хранения стоит очень остро. Проблемы также создает большая разнородность иллюстраций (приходится использовать универсальные алгоритмы). Единственное, что можно сказать заранее, это то, что будут преобладать фотореалистичные изображения и деловая графика.

2.      Класс 2. Характеризуется высокими требованиями к степени архивации и времени разархивации. Время архивации роли не играет. Иногда подобные приложения также требуют от алгоритма компрессии легкости масштабирования изображения под конкретное разрешение монитора у пользователя. Пример :Справочники и энциклопедии на CD-ROM. С появлением большого количества компьютеров, оснащенных этим приводом (в США - у 50% машин), достаточно быстро сформировался рынок программ, выпускаемых на лазерных дисках. Несмотря на то, что емкость одного диска довольно велика (примерно 650 Мб), ее, как правило, не хватает. При создании энциклопедий и игр большую часть диска занимают статические изображения и видео. Таким образом, для этого класса приложений актуальность приобретают существенно асимметричные по времени алгоритмы (симметричность по времени - отношение времени компрессии ко времени декомпрессии).

.        Класс 3. Характеризуется очень высокими требованиями к степени архивации. Приложение клиента получает от сервера информацию по сети. Пример: Новая быстро развивающаяся система "Всемирная информационная паутина" - WWW. В этой гипертекстовой системе достаточно активно используются иллюстрации. При оформлении информационных или рекламных страниц хочется сделать их более яркими и красочными, что естественно сказывается на размере изображений. Больше всего при этом страдают пользователи, подключенные к сети с помощью медленных каналов связи. Если страница WWW перенасыщена графикой, то ожидание ее полного появления на экране может затянуться. Поскольку при этом нагрузка на процессор мала, то здесь могут найти применение эффективно сжимающие сложные алгоритмы со сравнительно большим временем разархивации. Кроме того, мы можем видоизменить алгоритм и формат данных так, чтобы просматривать огрубленное изображение файла до его полного получения.

Можно привести множество более узких классов приложений. Так, свое применение машинная графика находит и в различных информационных системах. Например, уже становится привычным исследовать ультразвуковые и рентгеновские снимки не на бумаге, а на экране монитора. Постепенно в электронный вид переводят и истории болезней. Понятно, что хранить эти материалы логичнее в единой картотеке. При этом без использования специальных алгоритмов большую часть архивов займут фотографии. Поэтому при создании эффективных алгоритмов решения этой задачи нужно учесть специфику рентгеновских снимков - преобладание размытых участков.

В геоинформационных системах - при хранении аэрофотоснимков местности - специфическими проблемами являются большой размер изображения и необходимость выборки лишь части изображения по требованию. Кроме того, может потребоваться масштабирование. Это неизбежно накладывает свои ограничения на алгоритм компрессии.

В электронных картотеках и досье различных служб для изображений характерно подобие между фотографиями в профиль, и подобие между фотографиями в фас, которое также необходимо учитывать при создании алгоритма архивации. Подобие между фотографиями наблюдается и в любых других специализированных справочниках. В качестве примера можно привести энциклопедии птиц или цветов.

1.3 Критерии сравнения алгоритмов

Заметим, что характеристики алгоритма относительно некоторых требований приложений, сформулированные выше, зависят от конкретных условий, в которые будет поставлен алгоритм. Так, степень компрессии зависит от того, на каком классе изображений алгоритм тестируется. Аналогично, скорость компрессии нередко зависит от того, на какой платформе реализован алгоритм. Преимущество одному алгоритму перед другим может дать, например, возможность использования в вычислениях алгоритма технологий нижнего уровня, типа MMX, а это возможно далеко не для всех алгоритмов. Так, JPEG существенно выигрывает от применения технологии MMX, а LZW нет. Кроме того, нам придется учитывать, что некоторые алгоритмы распараллеливаются легко, а некоторые нет.

Таким образом, невозможно составить универсальное сравнительное описание известных алгоритмов. Это можно сделать только для типовых классов приложений при условии использования типовых алгоритмов на типовых платформах. Однако такие данные необычайно быстро устаревают.

Так, например, еще три года назад, в 1994, интерес к показу огрубленного изображения, используя только начало файла (требование 6), был чисто абстрактным. Реально эта возможность практически нигде не требовалась и класс приложений, использующих данную технологию, был крайне невелик. С взрывным распространением Internet, который характеризуется передачей изображений по сравнительно медленным каналам связи, использование Interlaced GIF (алгоритм LZW) и Progressive JPEG (вариант алгоритма JPEG), реализующих эту возможность, резко возросло. То, что новый алгоритм (например, wavelet) поддерживает такую возможность, существеннейший плюс для него сегодня.

В то же время мы можем рассмотреть такое редкое на сегодня требование, как устойчивость к ошибкам. Можно предположить, что в скором времени (через 5-10 лет) с распространением широковещания в сети Internet для его обеспечения будут использоваться именно алгоритмы, устойчивые к ошибкам, даже не рассматриваемые в сегодняшних статьях и обзорах.

Со всеми сделанными выше оговорками, выделим несколько наиболее важных для нас критериев сравнения алгоритмов компрессии, которые и будем использовать в дальнейшем. Как легко заметить, мы будем обсуждать меньше критериев, чем было сформулировано выше. Это позволит избежать лишних деталей при кратком изложении данного курса.

. Худший, средний и лучший коэффициенты сжатия. То есть доля, на которую возрастет изображение, если исходные данные будут наихудшими; некий среднестатистический коэффициент для того класса изображений, на который ориентирован алгоритм; и, наконец, лучший коэффициент. Последний необходим лишь теоретически, поскольку показывает степень сжатия наилучшего (как правило, абсолютно черного) изображения, иногда фиксированного размера.

. Класс изображений, на который ориентирован алгоритм. Иногда указано также, почему на других классах изображений получаются худшие результаты.

. Симметричность. Отношение характеристики алгоритма кодирования к аналогичной характеристике при декодировании. Характеризует ресурсоемкость процессов кодирования и декодирования. Для нас наиболее важной является симметричность по времени: отношение времени кодирования ко времени декодирования. Иногда нам потребуется симметричность по памяти.

. Есть ли потери качества? И если есть, то за счет чего изменяется коэффициент архивации? Дело в том, что у большинства алгоритмов сжатия с потерей информации существует возможность изменения коэффициента сжатия.

. Характерные особенности алгоритма и изображений, к которым его применяют. Здесь могут указываться наиболее важные для алгоритма свойства, которые могут стать определяющими при его выборе.

Используя данные критерии, приступим к рассмотрению алгоритмов архивации изображений.

Прежде, чем непосредственно начать разговор об алгоритмах, хотелось бы сделать оговорку. Один и тот же алгоритм часто можно реализовать разными способами. Многие известные алгоритмы, такие как RLE, LZW или JPEG, имеют десятки различающихся реализаций. Кроме того, у алгоритмов бывает несколько явных параметров, варьируя которые, можно изменять характеристики процессов архивации и разархивации. (См. примеры в разделе о форматах). При конкретной реализации эти параметры фиксируются, исходя из наиболее вероятных характеристик входных изображений, требований на экономию памяти, требований на время архивации и т.д. Поэтому у алгоритмов одного семейства лучший и худший коэффициенты могут отличаться, но качественно картина не изменится.

2. Алгоритмы архивации с потерями


.1 Проблемы алгоритмов архивации с потерями

Первыми для архивации изображений стали применяться привычные алгоритмы. Те, что использовались и используются в системах резервного копирования, при создании дистрибутивов и т.п. Эти алгоритмы архивировали информацию без изменений. Однако основной тенденцией в последнее время стало использование новых классов изображений. Старые алгоритмы перестали удовлетворять требованиям, предъявляемым к архивации. Многие изображения практически не сжимались, хотя "на взгляд" обладали явной избыточностью. Это привело к созданию нового типа алгоритмов - сжимающих с потерей информации. Как правило, коэффициент архивации и, следовательно, степень потерь качества в них можно задавать. При этом достигается компромисс между размером и качеством изображений.

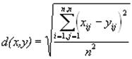
Одна из серьезных проблем машинной графики заключается в том, что до сих пор не найден адекватный критерий оценки потерь качества изображения. А теряется оно постоянно - при оцифровке, при переводе в ограниченную палитру цветов, при переводе в другую систему цветопредставления для печати, и, что для нас особенно важно, при архивации с потерями. Можно привести пример простого критерия: среднеквадратичное отклонение значений пикселов (L2 мера, или root mean square - RMS):


По нему изображение будет сильно испорчено при понижении яркости всего на 5% (глаз этого не заметит - у разных мониторов настройка яркости варьируется гораздо сильнее). В то же время изображения со "снегом" - резким изменением цвета отдельных точек, слабыми полосами или "муаром" будут признаны "почти не изменившимися" (Объясните, почему?). Свои неприятные стороны есть и у других критериев.

Рассмотрим, например, максимальное отклонение:


Эта мера, как можно догадаться, крайне чувствительна к биению отдельных пикселов. Т.е. во всем изображении может существенно измениться только значение одного пиксела (что практически незаметно для глаза), однако согласно этой мере изображение будет сильно испорчено.



Данная мера, по сути, аналогична среднеквадратичному отклонению, однако пользоваться ей несколько удобнее за счет логарифмического масштаба шкалы. Ей присущи те же недостатки, что и среднеквадратичному отклонению.

Лучше всего потери качества изображений оценивают наши глаза. Отличной считается архивация, при которой невозможно на глаз различить первоначальное и разархивированное изображения. Хорошей - когда сказать, какое из изображений подвергалось архивации, можно только сравнивая две находящихся рядом картинки. При дальнейшем увеличении степени сжатия, как правило, становятся заметны побочные эффекты, характерные для данного алгоритма. На практике, даже при отличном сохранении качества, в изображение могут быть внесены регулярные специфические изменения. Поэтому алгоритмы архивации с потерями не рекомендуется использовать при сжатии изображений, которые в дальнейшем собираются либо печатать с высоким качеством, либо обрабатывать программами распознавания образов. Неприятные эффекты с такими изображениями, как мы уже говорили, могут возникнуть даже при простом масштабировании изображения.

2.2 Алгоритм JPEG

Алгоритм JPEG

JPEG - один из самых новых и достаточно мощных алгоритмов. Практически он является стандартом де-факто для полноцветных изображений [1]. Оперирует алгоритм областями 8х8, на которых яркость и цвет меняются сравнительно плавно. Вследствие этого, при разложении матрицы такой области в двойной ряд по косинусам (см. формулы ниже) значимыми оказываются только первые коэффициенты. Таким образом, сжатие в JPEG осуществляется за счет плавности изменения цветов в изображении.

Алгоритм разработан группой экспертов в области фотографии специально для сжатия 24-битных изображений. JPEG - Joint Photographic Expert Group - подразделение в рамках ISO - Международной организации по стандартизации. Название алгоритма читается ['jei'peg]. В целом алгоритм основан на дискретном косинусоидальном преобразовании (в дальнейшем ДКП), применяемом к матрице изображения для получения некоторой новой матрицы коэффициентов. Для получения исходного изображения применяется обратное преобразование.

ДКП раскладывает изображение по амплитудам некоторых частот. Таким образом, при преобразовании мы получаем матрицу, в которой многие коэффициенты либо близки, либо равны нулю. Кроме того, благодаря несовершенству человеческого зрения, можно аппроксимировать коэффициенты более грубо без заметной потери качества изображения.

Для этого используется квантование коэффициентов (quantization). В самом простом случае - это арифметический побитовый сдвиг вправо. При этом преобразовании теряется часть информации, но могут достигаться большие коэффициенты сжатия.

Как работает алгоритм

Итак, рассмотрим алгоритм подробнее. Пусть мы сжимаем 24-битное изображение.

Шаг 1.

Переводим изображение из цветового пространства RGB, с компонентами, отвечающими за красную (Red), зеленую (Green) и синюю (Blue) составляющие цвета точки, в цветовое пространство YCrCb (иногда называют YUV).

В нем Y - яркостная составляющая, а Cr, Cb - компоненты, отвечающие за цвет (хроматический красный и хроматический синий). За счет того, что человеческий глаз менее чувствителен к цвету, чем к яркости, появляется возможность архивировать массивы для Cr и Cb компонент с большими потерями и, соответственно, большими коэффициентами сжатия. Подобное преобразование уже давно используется в телевидении. На сигналы, отвечающие за цвет, там выделяется более узкая полоса частот.

Упрощенно перевод из цветового пространства RGB в цветовое пространство YCrCb можно представить с помощью матрицы перехода:


Обратное преобразование осуществляется умножением вектора YUV на обратную матрицу.

алгоритм сжатие архивация фрактальный

Шаг 2.

Разбиваем исходное изображение на матрицы 8х8. Формируем из каждой три рабочие матрицы ДКП - по 8 бит отдельно для каждой компоненты. При больших коэффициентах сжатия этот шаг может выполняться чуть сложнее. Изображение делится по компоненте Y - как и в первом случае, а для компонент Cr и Cb матрицы набираются через строчку и через столбец. Т.е. из исходной матрицы размером 16x16 получается только одна рабочая матрица ДКП. При этом, как нетрудно заметить, мы теряем 3/4 полезной информации о цветовых составляющих изображения и получаем сразу сжатие в два раза. Мы можем поступать так благодаря работе в пространстве YCrCb. На результирующем RGB изображении, как показала практика, это сказывается несильно.

Шаг 3.

Применяем ДКП к каждой рабочей матрице. При этом мы получаем матрицу, в которой коэффициенты в левом верхнем углу соответствуют низкочастотной составляющей изображения, а в правом нижнем - высокочастотной.

В упрощенном виде это преобразование можно представить так:

где


Шаг 4.

Производим квантование. В принципе, это просто деление рабочей матрицы на матрицу квантования поэлементно. Для каждой компоненты (Y, U и V), в общем случае, задается своя матрица квантования q[u,v] (далее МК).


На этом шаге осуществляется управление степенью сжатия, и происходят самые большие потери. Понятно, что, задавая МК с большими коэффициентами, мы получим больше нулей и, следовательно, большую степень сжатия.

В стандарт JPEG включены рекомендованные МК, построенные опытным путем. Матрицы для большего или меньшего коэффициентов сжатия получают путем умножения исходной матрицы на некоторое число gamma.

С квантованием связаны и специфические эффекты алгоритма. При больших значениях коэффициента gamma потери в низких частотах могут быть настолько велики, что изображение распадется на квадраты 8х8. Потери в высоких частотах могут проявиться в так называемом "эффекте Гиббса", когда вокруг контуров с резким переходом цвета образуется своеобразный "нимб".

Шаг 5.

Переводим матрицу 8x8 в 64-элементный вектор при помощи "зигзаг"-сканирования, т.е. берем элементы с индексами (0,0), (0,1), (1,0), (2,0)...


Таким образом, в начале вектора мы получаем коэффициенты матрицы, соответствующие низким частотам, а в конце - высоким.

Шаг 6.

Свертываем вектор с помощью алгоритма группового кодирования. При этом получаем пары типа (пропустить, число), где "пропустить" является счетчиком пропускаемых нулей, а "число" - значение, которое необходимо поставить в следующую ячейку. Так, вектор 42 3 0 0 0 -2 0 0 0 0 1 ... будет свернут в пары (0,42) (0,3) (3,-2) (4,1) ... .

Шаг 7.

Свертываем получившиеся пары кодированием по Хаффману с фиксированной таблицей.

Процесс восстановления изображения в этом алгоритме полностью симметричен. Метод позволяет сжимать некоторые изображения в 10-15 раз без серьезных потерь.

 

Конвейер операций, используемый в алгоритме JPEG.

Существенными положительными сторонами алгоритма является то, что:

1.      Задается степень сжатия.

2.      Выходное цветное изображение может иметь 24 бита на точку.

Отрицательными сторонами алгоритма является то, что:

1.      При повышении степени сжатия изображение распадается на отдельные квадраты (8x8). Это связано с тем, что происходят большие потери в низких частотах при квантовании, и восстановить исходные данные становится невозможно.

2.      Проявляется эффект Гиббса - ореолы по границам резких переходов цветов.

Как уже говорилось, стандартизован JPEG относительно недавно - в 1991 году. Но уже тогда существовали алгоритмы, сжимающие сильнее при меньших потерях качества. Дело в том, что действия разработчиков стандарта были ограничены мощностью существовавшей на тот момент техники. То есть даже на персональном компьютере алгоритм должен был работать меньше минуты на среднем изображении, а его аппаратная реализация должна быть относительно простой и дешевой. Алгоритм должен был быть симметричным (время разархивации примерно равно времени архивации).

Последнее требование сделало возможным появление таких игрушек, как цифровые фотоаппараты - устройства, размером с небольшую видеокамеру, снимающие 24-битовые фотографии на 10-20 Мб флэш карту с интерфейсом PCMCIA. Потом эта карта вставляется в разъем на вашем лэптопе и соответствующая программа позволяет считать изображения. Не правда ли, если бы алгоритм был несимметричен, было бы неприятно долго ждать, пока аппарат "перезарядится" - сожмет изображение.

Не очень приятным свойством JPEG является также то, что нередко горизонтальные и вертикальные полосы на дисплее абсолютно не видны и могут проявиться только при печати в виде муарового узора. Он возникает при наложении наклонного растра печати на горизонтальные и вертикальные полосы изображения. Из-за этих сюрпризов JPEG не рекомендуется активно использовать в полиграфии, задавая высокие коэффициенты. Однако при архивации изображений, предназначенных для просмотра человеком, он на данный момент незаменим.

Широкое применение JPEG долгое время сдерживалось, пожалуй, лишь тем, что он оперирует 24-битными изображениями. Поэтому для того, чтобы с приемлемым качеством посмотреть картинку на обычном мониторе в 256-цветной палитре, требовалось применение соответствующих алгоритмов и, следовательно, определенное время. В приложениях, ориентированных на придирчивого пользователя, таких, например, как игры, подобные задержки неприемлемы. Кроме того, если имеющиеся у вас изображения, допустим, в 8-битном формате GIF перевести в 24-битный JPEG, а потом обратно в GIF для просмотра, то потеря качества произойдет дважды при обоих преобразованиях. Тем не менее, выигрыш в размерах архивов зачастую настолько велик (в 3-20 раз!), а потери качества настолько малы, что хранение изображений в JPEG оказывается очень эффективным.

Несколько слов необходимо сказать о модификациях этого алгоритма. Хотя JPEG и является стандартом ISO, формат его файлов не был зафиксирован. Пользуясь этим, производители создают свои, несовместимые между собой форматы, и, следовательно, могут изменить алгоритм. Так, внутренние таблицы алгоритма, рекомендованные ISO, заменяются ими на свои собственные. Кроме того, легкая неразбериха присутствует при задании степени потерь. Например, при тестировании выясняется, что 'отличное' качество, '100%' и '10 баллов' дают существенно различающиеся картинки. При этом, кстати, '100%' качества не означают сжатие без потерь. Встречаются также варианты JPEG для специфических приложений.

Как стандарт ISO JPEG начинает все шире использоваться при обмене изображениями в компьютерных сетях. Поддерживается алгоритм JPEG в форматах Quick Time, PostScript Level 2, Tiff 6.0 и, на данный момент, занимает видное место в системах мультимедиа.

Характеристики алгоритма JPEG:

Коэффициенты компрессии: 2-200 (Задается пользователем).

Класс изображений: Полноцветные 24 битные изображения или изображения в градациях серого без резких переходов цветов (фотографии).

Симметричность: 1

Характерные особенности: В некоторых случаях, алгоритм создает "ореол" вокруг резких горизонтальных и вертикальных границ в изображении (эффект Гиббса). Кроме того, при высокой степени сжатия изображение распадается на блоки 8х8 пикселов.

.3 Фрактальный алгоритм

Идея метода

Фрактальная архивация основана на том, что мы представляем изображение в более компактной форме - с помощью коэффициентов системы итерируемых функций (Iterated Function System - далее по тексту как IFS). Прежде, чем рассматривать сам процесс архивации, разберем, как IFS строит изображение, т.е. процесс декомпрессии.

Строго говоря, IFS представляет собой набор трехмерных аффинных преобразований, в нашем случае переводящих одно изображение в другое. Преобразованию подвергаются точки в трехмерном пространстве (х_координата, у_координата, яркость).

Наиболее наглядно этот процесс продемонстрировал Барнсли в своей книге "Fractal Image Compression". Там введено понятие Фотокопировальной Машины, состоящей из экрана, на котором изображена исходная картинка, и системы линз, проецирующих изображение на другой экран:

Линзы могут проецировать часть изображения произвольной формы в любое другое место нового изображения. Области, в которые проецируются изображения, не пересекаются. Линза может менять яркость и уменьшать контрастность. Линза может зеркально отражать и поворачивать свой фрагмент изображения. Линза должна масштабировать (уменьшать)свой фрагмент изображения.


Расставляя линзы и меняя их характеристики, мы можем управлять получаемым изображением. Одна итерация работы Машины заключается в том, что по исходному изображению с помощью проектирования строится новое, после чего новое берется в качестве исходного. Утверждается, что в процессе итераций мы получим изображение, которое перестанет изменяться. Оно будет зависеть только от расположения и характеристик линз, и не будет зависеть от исходной картинки. Это изображение называется "неподвижной точкой" или аттрактором данной IFS. Соответствующая теория гарантирует наличие ровно одной неподвижной точки для каждой IFS.

Поскольку отображение линз является сжимающим, каждая линза в явном виде задает самоподобные области в нашем изображении. Благодаря самоподобию мы получаем сложную структуру изображения при любом увеличении. Таким образом, интуитивно понятно, что система итерируемых функций задает фрактал (нестрого - самоподобный математический объект).



Из вышесказанного становится понятно, как работает архиватор, и почему ему требуется так много времени. Фактически, фрактальная компрессия - это поиск самоподобных областей в изображении и определение для них параметров.


2.4 Рекурсивный (волновой) алгоритм

 

Английское название рекурсивного сжатия - wavelet. На русский язык оно переводится как волновое сжатие, и как сжатие с использованием всплесков. Этот вид архивации известен довольно давно и напрямую исходит из идеи использования когерентности областей. Ориентирован алгоритм на цветные и черно-белые изображения с плавными переходами. Идеален для картинок типа рентгеновских снимков. Коэффициент сжатия задается и варьируется в пределах 5-100. При попытке задать больший коэффициент на резких границах, особенно проходящих по диагонали, проявляется "лестничный эффект" - ступеньки разной яркости размером в несколько пикселов. файл разницу - число между средними значениями соседних блоков в изображении, которая обычно принимает значения, близкие к 0.

Идея алгоритма заключается в том, что мы сохраняем файл в разницу - число между средними значениями соседних блоков в изображении, которая обычно принимает значения, близкие к 0.

Так два числа a2i и a2i+1 всегда можно представить виде b1i=(a2i+a2i+1)/2 и b2i=(a2i-a2i+1)/2. Аналогично последовательность ai может быть попарно переведена в последовательность b1,2i. Разберем конкретный пример: пусть мы сжимаем строку из 8 значений яркости пикселов (ai): (220, 211, 212, 218, 217, 214, 210, 202). Мы получим следующие: последовательностиb1i, и b2i: (215.5, 215, 215.5, 206) и (4.5, -3, 1.5, 4). Заметим, что значения b2i достаточно близки к 0. Повторим операцию, рассматривая b1i как ai. Данное действие выполняется как бы рекурсивно, откуда и название алгоритма. Мы получим из (215.5, 215, 215.5, 206): (215.25, 210.75) (0.25, 4.75). Полученные коэффициенты, округлив до целых и сжав, например, с помощью алгоритма Хаффмана с фиксированными таблицами, мы можем поместить в файл.

Заметим, что мы применяли наше преобразование к цепочке только два раза. Реально мы можем позволить себе применение wavelet- преобразования 4-6 раз.

Более того, дополнительное сжатие можно получить, используя таблицы алгоритма Хаффмана с неравномерным шагом (т.е. нам придется сохранять код Хаффмана для ближайшего в таблице значения). Эти приемы позволяют достичь заметных коэффициентов сжатия. К достоинствам этого алгоритма можно отнести то, что он очень легко позволяет реализовать возможность постепенного "проявления" изображения при передаче изображения по сети. Кроме того, поскольку в начале изображения мы фактически храним его уменьшенную копию, упрощается показ "огрубленного" изображения по заголовку. В отличие от JPEG и фрактального алгоритма данный метод не оперирует блоками, например, 8х8 пикселов. Точнее, мы оперируем блоками 2х2, 4х4, 8х8 и т.д. Однако за счет того, что коэффициенты для этих блоков мы сохраняем независимо, мы можем достаточно легко избежать дробления изображения на "мозаичные" квадраты.

Характеристики волнового алгоритма:

Коэффициенты компрессии: 2-200 (Задается пользователем).

Класс изображений: Как у фрактального и JPEG.

Симметричность: ~1.5

Характерные особенности: Кроме того, при высокой степени сжатия изображение распадается на отдельные блоки

Заключение


Изображения - это хитрый тип контента, который может улучшить качество и восприятие пользователями вашего сайта, но также может подорвать ваши усилия по его быстрой загрузке и отзывчивости. Перед тем, как вы выложите ваш сайт в сеть, убедитесь, что он соответствует контрольному списку по сжатию изображений:

·        Сжимайте изображения в подходящем формате в наименьшем приемлемом качестве;

·        Настройте уровень сжатия всех изображений вручную, где это возможно;

·        Автоматизируйте сжатие остальных, чтобы достичь наивысшей производительности;

·        Рассмотрите возможность использования формата WebP для ваших изображений;

·        Сохраняйте ваши изображения с прогрессивными настройками;

·        Исследуйте другие интересные способы достичь лучшего сжатия или прозрачности. Мыслите нестандартно.

Список использованной литературы


Описание книги

)Том Сван. Форматы файлов Windows / Том Сван. Форматы файлов Windows: М. "Бином", 1995.

) Яблонский С.В. Введение в дискретную математику / Яблонский С.В. Введение в дискретную математику: М. "Наука", 1986.- Раздел "Теория кодирования".

Описание статьи из журнала

) Ватолин Д.С. Сжатие статических изображений / Д.С. Ватолин // Открытые системы сегодня. - 1995.- № 8 (29).

) Ватолин Д.С. Фрактальное сжатие изображений /Д.С.Ватолин// ComputerWorld-Россия. - 1996. - № 6 (23).

Ресурсы удаленного доступа (интернет)

)Сетевые заметки системного администратора. Содержит информацию о сжатии информации с потерями. Режим доступа: http://msbro.ru/index.php/archives/1629

) Википедия. Свободная энциклопедия содержит сведения о сжатии данных с потерями. Режим доступа: https://ru.wikipedia.org/wiki/%D0%A1%D0%B6%D0%B0%D1%82%D0%B8%D0%B5_%D0%B4%D0%B0%D0%BD%D0%BD%D1%8B%D1%85_%D1%81_%D0%BF%D0%BE%D1%82%D0%B5%D1%80%D1%8F%D0%BC%D0%B8

Похожие работы на - Сжатие фотографий с потерей информации

 

Не нашли материал для своей работы?
Поможем написать уникальную работу
Без плагиата!
Без нейросетей!