Решение задач линейного программирования графическим методом

  • Вид работы:
    Курсовая работа (т)
  • Предмет:
    Информационное обеспечение, программирование
  • Язык:
    Русский
    ,
    Формат файла:
    MS Word
    446,27 Кб
  • Опубликовано:
    2015-07-09
Вы можете узнать стоимость помощи в написании студенческой работы.
Помощь в написании работы, которую точно примут!

Решение задач линейного программирования графическим методом

Введение

Исследование операций - это математическая дисциплина, занимающаяся разработкой и применением методов нахождения наилучших решений в различных областях человеческой деятельности.

Термин "Исследование операций" ("Operation Research") заимствован из западной литературы. Сейчас, пожалуй, нельзя точно назвать, ни дату его возникновения, ни автора, да и вряд ли найдется исчерпывающее определение этого понятия.

Под операциями обычно понимают целенаправленные управляемые процессы. Природа их может быть различной - это могут быть военные действия, производственные процессы, коммерческие мероприятия, административные решения, и т.д. Что интересно - операции эти (совершенно несхожие по своей природе) могут быть описаны одними и теми же математическими моделями, более того, анализ этих моделей позволяет лучше понять суть того или иного явления и даже предсказать его дальнейшее развитие. Мир, как оказалось, устроен необычайно компактно (в информационном смысле), поскольку одна и та же информационная схема реализуется в самых разных физических (и не только физических) проявлениях. В кибернетике это называется термином "изоморфизм моделей".

Если бы не изоморфизм моделей, для каждой конкретной ситуации пришлось бы отыскивать собственный, уникальный метод решения, и исследование операций как научное направление не сформировалось бы. К счастью, дело обстоит иначе. Благодаря наличию общих закономерностей в развитии самых разных систем возможно исследование их математическими методами. Исследование операций как математический инструментарий, поддерживающий процесс принятия решений в самых разных областях человеческой деятельности, как совокупность средств, позволяющих обеспечить лицо, принимающее решение, необходимой количественной информацией, полученной научными методами, сформировалось на стыке математики и разнообразных социально-экономических дисциплин. Свой вклад в его становление внесли представители самых различных областей науки.

Одной из основных функций исследования операции является линейное программирование. В линейном программировании имеется раздел графический метод решения.

Тема «Решение задач линейного программирования графическим методом» актуальна в современном мире, потому что графический метод довольно прост и нагляден для решения задач линейного программирования. Графический метод применяется при решении задач линейного программирования возникшего во многих областях, например экономике.

Цель курсового проекта - решение задачи линейного программирования графическим методом.

Для реализации поставленной цели были поставлены следующие задачи:

·        Изучить теоретический материал по теме курсового проекта.

·        Построить математическую модель данной задачи.

·        Решить задачу графическим методом.

·        Решить задачу с помощью электронных таблиц Excel.

Линейное программирование - это наука о методах исследования и отыскания наибольших и наименьших значений линейной функции, на неизвестные которой наложены линейные ограничения. Таким образом, задачи линейного программирования относятся к задачам на условный экстремум функции. Казалось бы, что для исследования линейной функции многих переменных на условный экстремум достаточно применить хорошо разработанные методы математического анализа, однако невозможность их использования можно довольно просто проиллюстрировать.

Глава 1. Решение задач линейного программирования графическим методом

. Линейное программирование

Линейное программирование является разделом, с которого начала развиваться дисциплина «математическое программирование». Термин «программирование» в названии дисциплины ничего общего с термином «программирование (т.е. составление программ) для ЭВМ» не имеет, так как дисциплина «линейное программирование» возникла еще до того времени, когда ЭВМ стали широко применяться при решении математических, инженерных, экономических и других задач. Термин «линейное программирование» возник в результате неточного перевода английского «linear programming». Одно из значений слова «programming» - составление планов, планирование. Следовательно, правильным переводом «linear programming» было бы не «линейное программирование», а «линейное планирование», что более точно отражает содержание дисциплины. Однако, термин линейное программирование, нелинейное программирование и т.д. в нашей литературе стали общепринятыми.

Итак, линейное программирование возникло после Второй мировой войны, и стал быстро развиваться, привлекая внимание математиков, экономистов и инженеров благодаря возможности широкого практического применения, а так же математической «стройности». Можно сказать, что линейное программирование применимо для построения математических моделей тех процессов, в основу которых может быть положена гипотеза линейного представления реального мира: экономических задач, задач управления и планирования, оптимального размещения оборудования и пр.

Задачами линейного программирования называются задачи, в которых линейны как целевая функция, так и ограничения в виде равенств и неравенств. Кратко задачу линейного программирования можно сформулировать следующим образом: найти вектор значений переменных, доставляющих экстремум линейной целевой функции при m ограничениях в виде линейных равенств или неравенств.

Линейное программирование представляет собой наиболее часто используемый метод оптимизации. К числу задач линейного программирования можно отнести задачи:

·        рационального использования сырья и материалов; задачи оптимизации раскроя;

·        оптимизации производственной программы предприятий;

·        оптимального размещения и концентрации производства;

·        составления оптимального плана перевозок, работы транспорта;

·        управления производственными запасами;

·        и многие другие, принадлежащие сфере оптимального планирования.

Так, по оценкам американских экспертов, около 75% от общего числа применяемых оптимизационных методов приходится на линейное программирование. Около четверти машинного времени, затраченного в последние годы на проведение научных исследований, было отведено решению задач линейного программирования и их многочисленных модификаций.

Первые постановки задач линейного программирования были сформулированы известным советским математиком Л.В. Канторовичем, которому за эти работы была присуждена Нобелевская премия по экономике.

В настоящее время линейное программирование является одним из наиболее употребительных аппаратов математической теории оптимального принятия решения.

Итак, линейное программирование - это наука о методах исследования и отыскания наибольших и наименьших значений линейной функции, на неизвестные которой наложены линейные ограничения. Таким образом, задачи линейного программирования относятся к задачам на условный экстремум функции.

. Основная задача линейного программирования

Основная задача линейного программирования (ОЗЛП) ставится следующим образом: Имеется ряд переменных . Требуется найти такие их неотрицательные значения, которые удовлетворяли бы системе линейных уравнений:

 {1.1}

и, кроме того, обращали бы в минимум линейную целевую функцию (ЦФ)


Очевидно, случай, когда ЦФ нужно обратить не в минимум, а в максимум, легко сводится к предыдущему, если изменить знак функции и рассмотреть вместо нее функцию


Допустимым решением ОЗЛП называют любую совокупность переменных , удовлетворяющую уравнениям (1.1).

Оптимальным решением называют то из допустимых решений, при котором ЦФ обращается в минимум.

На практике ограничения в задаче линейного программирования часто заданы не уравнениями, а неравенствами. В этом случае можно перейти к основной задаче линейного программирования.

Рассмотрим задачу линейного программирования с ограничениями-неравенствами, которые имеют вид

 {1.2}

и являются линейно-независимыми. Последнее означает, никакое из них нельзя представить в виде линейной комбинации других. Требуется найти , которые удовлетворяют неравенствам и обращают в минимум


Введём уравнения:

 {1.3}

где - добавочные переменные, которые также как и  являются неотрицательными.

Таким образом, имеем общую задачу линейного программирования - найти неотрицательные , чтобы они удовлетворяли системе уравнений (1.3) и обращали в минимум .

Коэффициенты в формуле (1.3) перед  равны нулю.

. Графический метод решения задачи линейного программирования

Графический метод довольно прост и нагляден для решения задач линейного программирования с двумя переменными. Он основан на геометрическом представлении допустимых решений и ЦФ задачи.

Каждое из неравенств задачи линейного программирования (1.2) определяет на координатной плоскости  некоторую полуплоскость, а система неравенств в целом - пересечение соответствующих плоскостей. Множество точек пересечения данных полуплоскостей называется областью допустимых решений (ОДР). ОДР всегда представляет собой выпуклую фигуру, т.е. обладающую следующим свойством: если две точки А и В принадлежат этой фигуре, то и весь отрезок АВ принадлежит ей. ОДР графически может быть представлена выпуклым многоугольником, неограниченной выпуклой многоугольной областью, отрезком, лучом, одной точкой. В случае несовместности системы ограничений задачи (1.2) ОДР является пустым множеством.

Все вышесказанное относится и к случаю, когда система ограничений (1.2) включает равенства, поскольку любое равенство

 


можно представить в виде системы двух неравенств

 


ЦФ  при фиксированном значении  определяет на плоскости прямую линию . Изменяя значения L, мы получим семейство параллельных прямых, называемых линиями уровня.

Это связано с тем, что изменение значения L повлечет изменение лишь длины отрезка, отсекаемого линией уровня на оси  (начальная ордината), а угловой коэффициент прямой  останется постоянным. Поэтому для решения будет достаточно построить одну из линий уровня, произвольно выбрав значение L.

Вектор  с координатами из коэффициентов ЦФ при  и  перпендикулярен к каждой из линий уровня (см. рис. 2.1). Направление вектора  совпадает с направлением возрастания ЦФ, что является важным моментом для решения задач. Направление убывания ЦФ противоположно направлению вектора .

Суть графического метода заключается в следующем. По направлению (против направления) вектора  в ОДР производится поиск оптимальной точки . Оптимальной считается точка, через которую проходит линия уровня , соответствующая наибольшему (наименьшему) значению функции . Оптимальное решение всегда находится на границе ОДР, например, в последней вершине многоугольника ОДР, через которую пройдет целевая прямая, или на всей его стороне.

При поиске оптимального решения задач линейного программирования возможны следующие ситуации: существует единственное решение задачи; существует бесконечное множество решений (альтернативный оптиум); ЦФ не ограничена; область допустимых решений - единственная точка; задача не имеет решений.

4. Методика решения задач линейного программирования графическим методом

В ограничениях задачи (1.2) заменить знаки неравенств знаками точных равенств и построить соответствующие прямые.

Найти и заштриховать полуплоскости, разрешенные каждым из ограничений-неравенств задачи (1.2). Для этого нужно подставить в конкретное неравенство координаты какой-либо точки [например, (0;0)], и проверить истинность полученного неравенства.

Если неравенство истинное,

то надо заштриховать полуплоскость, содержащую данную точку;

иначе (неравенство ложное) надо заштриховать полуплоскость, не содержащую данную точку.

Поскольку  и  должны быть неотрицательными, то их допустимые значения всегда будут находиться выше оси  и правее оси , т.е. в I-м квадранте.

Определить ОДР как часть плоскости, принадлежащую одновременно всем разрешенным областям, и выделить ее. При отсутствии ОДР задача не имеет решений.

Если ОДР - не пустое множество, то нужно построить целевую прямую, т.е. любую из линий уровня  (где L - произвольное число, например, кратное  и , т.е. удобное для проведения расчетов). Способ построения аналогичен построению прямых ограничений.

Построить вектор , который начинается в точке (0;0) и заканчивается в точке . Если целевая прямая и вектор  построены, верно, то они будут перпендикулярны.

При поиске максимума ЦФ необходимо передвигать целевую прямую в направлении вектора , при поиске минимума ЦФ - против направления вектора . Последняя по ходу движения вершина ОДР будет точкой максимума или минимума ЦФ. Если такой точки (точек) не существует, то можно сделать вывод о неограниченности ЦФ на множестве планов сверху (при поиске максимума) или снизу (при поиске минимум).

Определить координаты точки max (min) ЦФ  и вычислить значение ЦФ . Для вычисления координат оптимальной точки  необходимо решить систему уравнений прямых, на пересечении которых находится .

5. Линейное программирование в электронной таблице Excel

Поиск решения.

В электронных таблицах Excel с помощью функции поиска решения можно вести поиск значения в целевой ячейке, изменения значения переменных. При этом для каждой переменной можно задать ограничения, например верхнюю границу. Перед тем как запустить поиск решения, необходимо четко сформулировать в модели решаемую проблему, т.е. определить условия, выполняемые при оптимизации.

Отправленной точкой при поиске оптимального решения является модель вычисления, созданная в рабочем листе. Программе поиска решения при этом необходимы следующие данные.

.        Целевая ячейка - это ячейка в модели вычисления, значения в которой должно быть максимизировано, минимизировано или же равняться определенному указанному значению. Она должна содержать формулу, которая прямо или косвенно ссылается на изменяемые ячейки, или же самой быть изменяемой.

.        Значения в изменяемых ячейках будут последовательно (методом итераций) изменяться до тех пор, пока не будет получено нужное значение в целевой ячейке. Эти ячейки, следовательно, прямо или косвенно должны влиять на значение целевой ячейки.

.        Вы можете задать как для целевой, так и для изменяемых ячеек, ограничения и граничные условия. Можно задать также ограничения для других ячеек. Прямо или косвенно присутствующих в модели.

Программа предоставляет возможность задать специальные параметры, определяющие процесс поиска решения. После задания всех необходимых параметров можно запустить поиск решения. Функция поиска решения создаст по итогам своей работы три отчета, которые можно пометить в рабочую книгу.

Ограничения - это условия, которые должны быть выполнены аппаратом поиска решения при оптимизации модели.

Изучение литературы показало, что:

. Линейное программирование - это один из первых и наиболее подробно изученных разделов математического программирования. Именно линейное программирование явилось тем разделом, с которого начала развиваться сама дисциплина «математическое программирование».

Линейное программирование представляет собой наиболее часто используемый метод оптимизации. К числу задач линейного программирования можно отнести задачи:

·        рационального использования сырья и материалов; задачи оптимизации раскроя;

·        оптимизации производственной программы предприятий;

·        оптимального размещения и концентрации производства;

·        составления оптимального плана перевозок, работы транспорта;

·        управления производственными запасами;

·        и многие другие, принадлежащие сфере оптимального планирования.

. Графический метод довольно прост и нагляден для решения задач линейного программирования с двумя переменными. Он основан на геометрическом представлении допустимых решений и ЦФ задачи.

Суть графического метода заключается в следующем. По направлению (против направления) вектора  в ОДР производится поиск оптимальной точки . Оптимальной считается точка, через которую проходит линия уровня , соответствующая наибольшему (наименьшему) значению функции . Оптимальное решение всегда находится на границе ОДР, например, в последней вершине многоугольника ОДР, через которую пройдет целевая прямая, или на всей его стороне.

6. Построение математической модели

задача линейный программирование таблица

Обозначим оптимальное количество издаваемых журналов «Автомеханик» и «Инструмент» х1 и х2 тысяч экземпляров, соответственно:

На печать х1 тысяч экземпляров журнала «Автомеханик» в типографии «Алмаз-Пресс» должно расходоваться 2х1 ч, т. к на печать одной тысячи экземпляров расходуется 2ч. Аналогично на печать х2 тысяч экземпляров журнала «Инструмент» в типографии «Алмаз-Пресс» должно расходоваться 14х2 ч, т. к на печать одной тысячи экземпляров расходуется 14 ч. Следовательно, на печать всех журналов в типографии «Алмаз-Пресс» расходуется (2х1+14х2)ч, ресурс времени которого равен 112 ч. Поэтому должно выполняться следующее действие: 2х1+14х2≤112

На печать Х1 тысяч экземпляров журнала «Автомеханик» в типографии «Принт» должно расходоваться 4х1 ч, т. к на печать одной тысячи экземпляров расходуется 4 ч. Аналогично на печать х2 тысяч экземпляров журналов «Инструмент» в типографии «Принт» должно расходоваться 6х2 ч, т. к на печать одной тысячи экземпляров расходуется 6 ч. Следовательно, на печать всех журналов в типографии «Принт» расходуется (4х1=6х2)ч, ресурс времени которого равен 70 ч. Поэтому должно выполняться следующее неравенство: 4х1+6х2≤70/

На печать х1 тысяч экземпляров журнала «Автомеханик» в типографии «Hansaprint» должно расходоваться 6х1ч, т. к на печать одной тысячи экземпляров расходуется 6 ч. На печать х2 тысяч экземпляров журнала «Инструмент» в типографии «Hansaprint» должно расходоваться 4х2, т. к на печать одной тысячи экземпляров расходуется 4 ч. Следовательно, на печать всех журналов в типографии «Hansaprint» расходуется (6х1+4х2) ч, ресурс времени которого равен 80 ч. Поэтому должно выполняться неравенство: 6х1+4х2≤80

Спрос на журнал «Автомеханик» составляет не более 12 тысяч экземпляров, а спрос на журнал «Инструмент» составляет не более 7,5 тысяч экземпляров. Поэтому можно записать неравенство: х1≤12, х2≤7,5/

Объем печати и соответственно продажа журналов не может принимать отрицательных значений. В связи с этим необходимо записать условие неотрицательности переменных: х1≥0, х2≥0/

Критерием, по которому определяется степень достижения поставленной цели, является выручка от продажи журналов. Поэтому целевую функцию можно записать таким образом: Z(х) =16х1+12х2→max/

Таким образом, математическую модель задачи можно представить в следующем виде:

Обеспечиваем максимальную выручку от продажи журналов в соответствии с целевой функцией: Z(х) =16х1+12х2→max

7. Решение задачи линейного программирования графическим методом

Построим множество возможных решений.

Рис 1. Множество возможных решений.

Каждое неравенство на плоскости задает прямую и полуплоскость относительно этой прямой. Изобразим в системе координат первое неравенство 2х1+14х2≤112. Сначала построим границу искомой плоскости, то есть прямую 2х1+142=112/

 Х1

 0

 8

 Х1

 8

 7


Изобразим в системе координат второе неравенство 6х1+4х2≤70. Построим прямую 4х1+2=70

 Х1

 4

 8,5

 Х2

 9

6


Изобразим в системе координат третье неравенство 6х1+4х2≤80. Построим прямую 6х1+4х2=80

 Х1

 10

 8

 Х1

 5

8


Изобразим в системе координат четвертое неравенство х1≤12. Построим прямую х1=12

Изобразим в системе координат пятое неравенство х2≤7,5. Построим прямую х2=7,5

Таким образом, многоугольник ABCD является множеством возможных решений (см. рис.1)

В системе координат построим нормальный вектор целевой функции n{16;12}

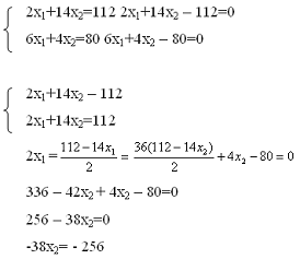
Вычислим координаты точки максимума


Вычисляем значение целевой функции в точке максимума 16*8,8+12*6,7=140,8+80,4=221,2


7. Решение задачи с помощью электронной таблицы Excel

Пусть имеем математическую модель ЗЛП в виде:


1.      Ввод условий (создание модели) задачи состоит из следующих шагов: Создание формы для ввода условий задачи заключается в распределение ячеек таблицы под константы, переменные и формулы.

Ввод исходных данных:

·      в ячейки А2:B2 следует ввести начальные числовые значения изменяемых переменных. В линейных моделях они не влияют на результаты и алгоритм поиска последовательных итераций;

·        диапазон ячеек А5:B7 следует заполнить коэффициентами левых частей ограничений;

·        диапазон ячеек D9:D12 надо заполнить граничными значениями, составляющими правые части неравенств;

·        в диапазон ячеек А14:B14 следует записать коэффициенты целевой функции.

Ввод зависимостей (формул) математической модели задачи:

·      Для целевой функции в ячейку В16 записываем формулу, начиная со знака равенства = 16*А2 + 12*В2.

·        Для левых частей ограничений в ячейки В9:В11 вводим формулы, начиная со знака равенства:

=СУММПРОИЗВ($A$2:$B$2;A5:B5),

=СУММПРОИЗВ($A$2:$B$2;A6:B6),

=СУММПРОИЗВ($A$2:$B$2;A7:B7),

2.      В созданной модели выделите ячейку В16 с целевой функцией.

3.      Выберете команду Сервис/Поиск решения (Рис. 1)

 

Рис. 1.

4.    
В группе Равной установите направление целевой функции: Максимальному значению.

5.      Поместив курсор в поле Изменяемые ячейки, наберите с клавиатуры А2:С2 или выделите эти ячейки, протащив указатель мыши по диагонали диапазона.

.        Установите курсор поля Ограничения и нажмите кнопку Добавить. На экране увидите диалоговое окно Добавление ограничений (Рис. № 2)

Для ввода условий неотрицательности переменных (А2≥0, В2≥0, С2≥0) выполните действия:

·            Установив текстовый курсор в поле Ссылка на ячейку, укажите диапазон А2:B2;

·        Щелкните курсором по стрелке вниз и выберете из открывшегося списка знак отношения >=;

·        В правое окно Ограничение введите число 0, кнопка Добавить служит для ввода следующих ограничений;

·        Аналогично введите В9 ≥ D9, B10 ≥ D10, B11 ≥ D11, B12 ≥ D12.

Рис. 2.

Кнопка ОК возвращает в диалоговое окно Поиск решений. Оно уже содержит введенный граничные условия.

Если при вводе условий задачи возникает необходимость изменения или удаления внесенных ограничений или граничных условий, то используется кнопки Изменить…, Удалить.

Команда Выполнить (см. Рис. 1) при снятом флажке Показывать результаты итерации (Рис. 3) приведет к успешному завершению поиска решения.

Рис. 3.

В результате выполнения команды в диапазоне А2:B2 будут находиться значения переменных, а в ячейках В16-значения целевой функции (Рис. 4)

Рис. 4.

Измененная таблица командой Поиск решения (Рис. 5)

Рис. 5.

В ходе решения задачи оптимизации:

) была получена математическая модель вида:


) Максимальную выручку от продажи журналов «Автомеханик» на одну тысячу экземпляров составит 8,8 тысяч экземпляров, «Инструмент» на одну тысячу экземпляров составит 6,7 тысяч экземпляров, что обеспечивает максимальную выручку от продажи 221,2 у.е.

Заключение

В ходе работы над курсовым проектом была рассмотрена задача линейного программирования о производстве журналов. Для решения задачи использовался графический метод.

Решение данной задачи помогло более глубоко и основательно изучить и укрепить на практике все тонкости и моменты графического метода решения задач линейного программирования. При построении математической модели получается следующий результат:


При решении задачи линейного программирования графическим методом получается результат:

В ходе работы над курсовым проектом была рассмотрена задача линейного программирования о производстве журналов. Для решения задачи использовался графический метод.

Решение данной задачи помогло более глубоко и основательно изучить и укрепить на практике все тонкости и моменты графического метода решения задач линейного программирования.

Список литературы

1. Абрамов Л.М., Капустин В.Ф. Математическое программирование. Л., Изд-Ленингр. ун-та, 2010.

. Акулич И.Л. Математическое программирование в примерах и задачах: Учеб. пособие - 2-е изд., испр. и доп. - М.: Высш. шк.,1993.

. Ашманов С.А.Линейное программирование. - М.: Наука, 2011.

. Баканов М.И., Шеремет А.Д. Теория экономического анализа: Учебник. -4-е изд., доп. и перераб. - М.: Финансы и статистика, 2000.

. Баканов М.И., Шеремет А.Д.Экономический анализ: ситуации, тесты, примеры, задачи, выбор оптимальных решений, финансовое прогнозирование: Учеб. пособие. - М.: Финансы и статистика, 2009.

. Банди Б. Основы линейного программирования: Пер. с англ. - М.: Радио и связь, 2009..

. Габасов Р., Кириллова Ф.М. Методы линейного программирования. Ч.1. Общие задачи, Минск, Изд-во БГУ им. В.И. Ленина, 2007..

. Габасов Р., Кириллова Ф.М. Методы линейного программирования. Ч.2. Транспортные задачи, Минск, Изд-во БГУ им. В.И. Ленина, 2007..

. Глухов В.В., Медников М.Д., Коробко С.Б. Математические методы и модели для менеджмента - СПб.: Издательство “Лань”, 2000..

. Гольштейн Е.Г., Юдин Д.Б. Линейное программирование,теория, методы и приложения. - М.: Наука, 2009.

. Гасс С.Линейное программирование. - М.: Физматгиз, 2001.

. Заварыкин В. М. и др. Численные методы: Учеб. пособие для студентов физ.-мат. спец. пед. ин-тов / В.М. Заварыкин, В.Г. Житомирский, М.П. Лапчик. - М.: Просвещение, 2000

13..Кузнецов А.В., Сакович В.А., Холод Н.И. Высшая математика. Математическое программирование. /Под общ. ред. проф. Кузнецова А.В., М., “ВЫШЭЙШАЯ ШКОЛА”, 2004..

14. Кузнецов Ю.Н., Кузубов В.И., Волощенко А.Б. Математическое программирование: Учеб. пособие. - 2-е изд., перераб и доп. - М.: Высш. школа, 2010.

. Ляшенко И.Н, Карагодова Е.А, Черникова Н.В., Шор Н.З. Линейное и нелинейное программирование. Издательское объединение “Вища школа”, 2005.

. Пер. с яп. /М. Кубонива, М. Табата, С. Табата, Ю. Хасэбэ, под ред. М. Кубонива. Математическая экономика на персональном компьютере: - М.: Высш. Школа2008.

. Под ред и с предисл. Е.З. Демиденко - М.: Финансы и статистика, 2010.

. Солодовников А.С. Введение в линейную алгебру и линейное программирование. М., Изд. “Просвещение”, 2006.

. Тынкевич М.А. Экономико-математические методы (исследование операций). Изд. 2, испр. и доп. - Кемерово, 2000.

Приложение

Математическая формулировка задачи линейного программирования.

Похожие работы на - Решение задач линейного программирования графическим методом

 

Не нашли материал для своей работы?
Поможем написать уникальную работу
Без плагиата!
Без нейросетей!