Безопасность жизнедеятельности

  • Вид работы:
    Контрольная работа
  • Предмет:
    Безопасность жизнедеятельности
  • Язык:
    Русский
    ,
    Формат файла:
    MS Word
    60,43 Кб
  • Опубликовано:
    2014-09-29
Вы можете узнать стоимость помощи в написании студенческой работы.
Помощь в написании работы, которую точно примут!

Безопасность жизнедеятельности

Федеральное агентство по образованию Российской Федерации

Волгоградский Государственный Технический Университет

Факультет подготовки инженерных кадров

Кафедра "Промышленная экология и безопасность жизнедеятельности"







Контрольная работа

по дисциплине: "Безопасность жизнедеятельности"


Выполнил: студент 3 курса ФПИК

группы АУЗ - 361с Тюляева И.А.

номер зачетной книжки 20161639

Проверила: доц. Дородникова И.М.






Волгоград 2013

Содержание

1. Теоретическая часть

.1 Рациональная организация рабочего места. Требования безопасности к производственным помещениям отрасли

.2 Нормирование негативных факторов. Вредные вещества

.3 Защита от поражения электрическим током

.4 Техногенные аварии. Технические средства предотвращения техногенных аварий

.5 Анализ опасных и вредных факторов при эксплуатации вычислительной сети

. Практическая часть

Список используемой литературы

безопасность ток техногенный авария

1. Теоретическая часть

 

1.1 Рациональная организация рабочего места. Требования безопасности к производственным помещениям отрасли


Рабочее место состоит из следующих элементов:

-       производственной площади;

-       основного оборудования;

-       устройств для хранения материалов, заготовок, готовой продукции,

-       отходов и брака;

-       устройства для хранения инструментов, оснастки и приспособлений;

-       подъемно-транспортных устройств;

-       приспособлений для безопасности и удобства работы.

Мастера цеха расфасовки

Рабочее место представляет собой закрепленную, за отдельным рабочим или группой рабочих, часть производственной площади, оснащенную необходимыми технологическим, вспомогательным, подъемно-транспортным оборудованием, технологической и организационной оснасткой, предназначенными для выполнения определенной части производственного процесса.

С технической стороны рабочее место должно быть оснащено прогрессивным оборудованием, необходимой технологической и организационной оснасткой, инструментом, контрольно-измерительными приборами, предусмотренными технологией, подъемно-транспортными средствами.

С организационной стороны имеющееся на рабочем месте оборудование должно быть рационально расположено в пределах рабочей зоны; найден вариант оптимального обслуживания рабочего места сырьем, материалами, заготовками, деталями, инструментом, ремонтом оборудования и оснастки, уборкой отходов; обеспечены безопасные и безвредные для здоровья рабочих условия труда.

С экономической стороны организация рабочего места должно обеспечить оптимальную занятость работников, максимально высокий уровень производительности труда и качество работы.

Эргономические требования имеют место при проектировании оборудования, технологической и организационной оснастки, планировке рабочего места.

Производственные помещения должны быть оборудованы противопожарными средствами в соответствии с Правилами пожарной безопасности в Российской Федерации и ГОСТ 12.4.009. К противопожарному инвентарю и оборудованию должен быть обеспечен свободный доступ. Для указания местонахождения, вида пожарной техники и средств пожаротушения должны применяться указательные знаки по ГОСТ 12.4.026. Использовать противопожарные средства не по назначению запрещается.

За состоянием и эксплуатацией зданий и сооружений должно быть организовано систематическое наблюдение. Общие технические осмотры производственных зданий и сооружений, как правило, должны проводиться два раза в год - весной и осенью. Результаты осмотров должны оформляться актами. На каждое здание и сооружение должен быть оформлен технический паспорт.

При эксплуатации производственных зданий и сооружений запрещается:

-       превышение предельных нагрузок на полы, перекрытия, площадки;

-       установка, навеска, крепеж оборудования, транспортных устройств, трубопроводов, не предусмотренных проектом, в том числе и временных (например, при ремонте);

-       выполнение отверстий в перекрытиях, балках, колоннах, стенах без письменного разрешения лиц, ответственных за эксплуатацию здания.

Естественное и искусственное освещение производственных, служебных и вспомогательных помещений и искусственное освещение мест производства работ вне здания должно соответствовать требованиям СНиП II-4, Правил устройства электроустановок, Правил эксплуатации электроустановок потребителей, Правил техники безопасности при эксплуатации электроустановок потребителей. При этом:

-       производственные помещения, в которых постоянно пребывают работающие без естественного освещения или с недостаточным по биологическому действию естественным освещением (коэффициент естественной освещенности менее 0,1%), должны быть оборудованы установками искусственного ультрафиолетового излучения или необходимо предусматривать устройство фотариев, располагаемых на территории организации;

-       у окон, обращенных на солнечную сторону, должны быть приспособления для защиты от прямых солнечных лучей (жалюзи, экраны, козырьки, шторы или побелка остекления на летнее время);

-       стекла окон и фонарей должны очищаться от пыли, копоти и грязи не реже двух раз в год, а в помещениях со значительными производственными выделениями дыма, пыли, копоти, грязи и т.п.

-       не реже четырех раз в год. Процесс очистки стекол рекомендуется механизировать.

Искусственное освещение производственных помещений должно быть двух систем: общее (равномерное или локализованное) и комбинированное (к общему освещению добавляется местное). Применение одного местного освещения не допускается.

Для освещения помещений различного назначения и мест производства работ вне здания следует предусматривать газоразрядные лампы низкого и высокого давления (как правило - люминесцентные). В случае невозможности или технико-экономической нецелесообразности применения газоразрядных источников света допускается использование ламп накаливания. Выбор источников света следует производить с учетом рекомендаций строительных норм и Правил устройства электроустановок.

Лампы накаливания и люминесцентные лампы, применяемые для общего и местного освещения, должны быть снабжены отражателями. Применение открытых ламп без отражателей запрещается.

Для безопасного продолжения работы при невозможности ее прекращения и для выхода людей из помещения при внезапном отключении освещения должно действовать аварийное и эвакуационное освещение;

Аварийное освещение должно предусматриваться, если отключение рабочего освещения и связанное с этим нарушение нормального обслуживания оборудования и механизмов может вызвать:

-       взрыв, пожар, отравление людей;

-       длительное нарушение технологического процесса;

-       нарушение работы таких объектов, как диспетчерские пункты, насосные установки водоснабжения, канализации и теплофикации;

-       остановку вентиляции или кондиционирования воздуха для производственных помещений, в которых недопустимо прекращение работ и т.п.

Аварийное освещение должно быть включено на все время действия рабочего освещения или должно автоматически включаться при внезапном выключении рабочего освещения.

Эвакуационное освещение должно быть установлено:

-       в местах, опасных для прохода людей;

-       в проходах и на лестницах, служащих для эвакуации более 50 чел.;

-       в производственных помещениях с постоянно работающими в них людьми, где выход людей из помещения при аварийном отключении рабочего освещения связан с опасностью травмирования из-за продолжения работы производственного оборудования;

-       в помещениях общественных зданий и вспомогательных зданий промышленных предприятий, если в помещении могут одновременно находиться более 100 человек.

1.2 Нормирование негативных факторов. Вредные вещества


Основной физической характеристикой примесей в воздухе является концентрация - масса (мг) вещества в единице объема (м3) воздуха при нормальных метрологических условиях.

Нормирование содержания вредных веществ в воздухе производится по предельно допустимым концентрациям (ПДК).

Нормирование содержания вредных веществ в воздухе производят для атмосферного воздуха населенных мест по списку Минздрава №3086-84, а для воздуха рабочей зоны производственных помещений по ГОСТ 12.1.005-88.

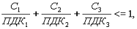
Наша задача состоит в сравнении фактической концентрации с предельно-допустимой, в оценке эффекта суммации по набору веществ согласно варианту и перечню веществ, обладающих суммацией действия с последующим расчетом по формуле (1).

Исходные данные приведены в таблице 1.

Таблица 1. - Исходные данные и нормирующие значения


Выявление веществ обладающих суммацией действия.


 (1)

где С12...Сn- фактические концентрации веществ в воздухе, мг/м3

ПДК1,ПДК2...ПДКn - предельно-допустимые концентрации тех же веществ в воздухе

В данном случае формула (1) принимает вид:


где С1 - фактическая концентрация аммиака в воздухе,

С2 - фактическая концентрация азота двуокиси в воздухе,

С3 - фактическая концентрация гексана в воздухе,

ПДК1 - предельно-допустимая концентрация аммиака,

ПДК2 - предельно-допустимая концентрация азота двуокиси,

ПДК3 - предельно-допустимая концентрация гексана.

1.3 Защита от поражения электрическим током


Изолирующие защитные средства от поражения электрическим током в зависимости от рабочего напряжения электроустановок делятся на:

-       основные защитные средства в электроустановках напряжением до 1 кВ;

-       дополнительные защитные средства в электроустановках напряжением до 1 кВ;

-       основные защитные средства в электроустановках напряжением выше 1 кВ;

-       дополнительные защитные средства в электроустановках напряжением выше 1 кВ.

Основными называются такие защитные средства, изоляция которых надежно выдерживает рабочее напряжение в электроустановках и позволяет прикасаться к токоведущим частям, находящимся под напряжением. Дополнительные защитные средства представляют собой средства, которые сами по себе не могут при данном напряжении обеспечить безопасность от поражения электрическим током. Они являются дополнительной к основным средствам мерой защиты, а также служат для защиты от напряжения прикосновения, шагового напряжения и дополнительным защитным средством для защиты от воздействия электрической дуги и продуктов ее горения.

Применяемые изолирующие защитные средства от поражения электрическим током должны соответствовать государственным и отраслевым стандартам (ГОСТ, ОСТ), техническим условиям (ТУ), техническим описаниям (ТО). При проведении работ с использованием изолирующих защитных средств от поражения электрическим током должны строго соблюдаться правила Техники безопасности.

Галоши и боты диэлектрические (ГОСТ 13385-78).

Галоши и боты диэлектрические являются дополнительным средством защиты от поражения электрическим током при работе в закрытых электроустановках, а также в открытых - при отсутствии дождя и мокрого снега. Галоши разрешается применять при напряжении до 1 кВ и температурах от -30° до +50°С, боты применяют при напряжении более 1 кВ и в том же интервале температур.

Перчатки резиновые диэлектрические (ТУ 38305-05-257-89).

Перчатки являются дополнительным изолирующим средством при работах на установках напряжением, превышающим 250 В, и основным изолирующим средством на установках напряжением, не превышающим 250 В. Изготавливаются методом штанцевания (вырубания) одного размера раздельно на правую и левую руку.

Перчатки резиновые диэлектрические бесшовные (ГОСТ 12.4.183-91, ТУ 38.306-5-63-97).

Перчатки являются основным средством от поражения постоянным или переменным электрическим током напряжением, не превышающим 1 кВ, и дополнительным средством при напряжении выше 1 кВ в интервале температур от -40° до +30°С. Изготавливаются формовым методом раздельно на правую и левую руку с ровно срезанными краями манжет.

Ковры резиновые диэлектрические (ГОСТ 4997-75)

Ковры предназначены для защиты работающих от поражения электрическим током. Они являются дополнительным защитным средством при работе на электроустановках напряжением до 1 кВ. Применяются при температуре от -15° до +40° С. Ковры представляют собой резиновую пластину с рифленой лицевой поверхностью. На каждом изделии среди других данных проставляются даты изготовления и испытания, которые указывают на эксплуатационную пригодность средств индивидуальной защиты. Диэлектрические свойства перчаток, бот и галош ухудшаются по мере их хранения и эксплуатации. Необходимо периодически через 6 месяцев проводить их испытания на диэлектрические свойства независимо от того, были они в эксплуатации или нет.

При использовании средства индивидуальной защиты от поражения электрическим током они должны быть сухими и оберегаться от механических повреждений. Каждый раз перед применением они должны подвергаться тщательному внешнему осмотру и в случае обнаружения каких-либо повреждений должны быть изъяты.

Диэлектрические боты, галоши, перчатки и ковры должны храниться в закрытых помещениях на расстоянии не менее 0,5 м. от отопительных приборов. При хранении необходимо защищать их от прямого воздействия солнечных лучей и не допускать соприкосновения их с маслами, бензином, керосином, кислотами, щелочами и другими веществами, разрушающими резину.

1.4 Техногенные аварии. Технические средства предотвращения техногенных аварий


В большинстве случаев техногенные аварии связанны с неконтролируемым, самопроизвольным выходом в окружающее пространство вещества и/или энергии. Самопроизвольное высвобождение энергии приводит к промышленным взрывам, а вещества - к взрывам, пожарам и химическому загрязнению окружающей среды.

Промышленные взрывы.

Взрыв - процесс быстрого неуправляемого физического или химического превращения системы, сопровождающийся переходом её потенциальной энергии в механическую работу. Механическая работа, совершаемая при взрыве, обусловлена быстрым расширением газов или паров. В основании взрывного процесса могут лежать как физические так и химические превращения.

При химических взрывах вещества могут быть твёрдыми, жидкими, газообразными, а также аэровзвесями горючих веществ (жидких и твёрдых) в окислительной среде (чаще в воздухе).

Физический взрыв чаще всего связан с неконтролируемым высвобождением потенциальной энергии сжатых газов из замкнутых объёмов машин и аппаратов, сила взрыва сжатого или сжиженного газа зависит от внутреннего давления этого резервуара.

Параметрами, по которым определяют мощность взрыва, является энергия взрыва и скорость её выделения. Энергия взрыва определяется физико-химическими превращениями, протекающими при различных типах взрывов.

В производственных условиях возможны следующие основные виды взрывов: свободный воздушный, наземный, взрыв в непосредственной близости от объекта, а также взрыв внутри объекта (производственного сооружения).

Пожары на промышленных объектах.

Под пожаром понимают неконтролируемый процесс горения, сопровождающийся уничтожением материальных ценностей и создающий опасность для жизни людей. Причиной возникновения пожаров на промышленных объектах можно разделить на две группы. Первая - это нарушение противопожарного режима или неосторожное обращение с огнём, вторая - нарушение пожарной безопасности при проектировании и строительстве зданий. Пожары могут возникнуть при взрыве в помещениях или производственных аппаратах при утечках и аварийных выбросах пожаровзрывоопасных сред в объёмы производственных помещений.

Пожар является химической реакцией между горючими веществами и кислородом воздуха (или иным видом окислительной среды). Для того чтобы возник пожар необходимо три компонента: горючее вещество, кислород и первоначальный источник теплоты с энергией, достаточной для начала реакции горения.

Образование пламени связанно с газообразным состоянием вещества, поэтому горение жидких и твёрдых веществ, сопровождающееся возникновением пламени, предполагает их предварительный переход в газообразную фазу.

При пожарах существует несколько различных опасных факторов. Первый из них - это повышенные температуры в зоне горения. Они могут привести к тепловым ожогам поверхности кожи и внутренних органов людей, а также вызвать потерю несущей способности строительных конструкций зданий и сооружений. Вторым фактором является поступление в воздух рабочей зоны значительного количества вредных продуктов сгорания, в большинстве случаев приводящее к острым отравлениям людей.

Аварии с выбросом вредных веществ.

На многих предприятия для технологических целей применяют вредные, в том числе сильнодействующие ядовитые вещества (СДЯВ). Так, например, хлор и аммиак используют на многих предприятиях текстильной, химической, пищевой промышленности. В различных производствах широко применяются щелочи, кислоты и другие агрессивные и сильнодействующие вещества. При аварийных разгерметизациях ёмкостей, оборудования, с содержанием токсичных веществ или их перевозкой, связанны с повышенным риском опасностей, так как при выходе наружу этих веществ приводит к превышению предельно допустимой концентрации, которая может повлечь за собой человеческие жертвы.

В зависимости от термодинамического состояния жидкости, находящейся при хранении в ёмкости, возможно три варианта протекания процесса при разгерметизации ёмкости:

-       при больших перегревах жидкость может полностью переходить во взвешенное мелкодисперсное и парообразное состояние с образованием токсичных, вредных и пожаровзрывоопасных смесей;

-       при низких энергетических параметрах жидкости происходит спокойный её пролив на твёрдую поверхность, а испарение осуществляется путём теплоотдачи от твёрдой поверхности;

-       промежуточный режим, когда в начальный момент происходит резкое вскипание жидкости с образованием мелкодисперсной фракции, а затем наступает режим свободного испарения с относительно низким скоростями.

Ряд веществ в промышленных условиях хранится и используется при низких температурах (криогенных температурах) в жидком состоянии. Наиболее часто встречаются: жидкий кислород и азот, жидкий водород, гелий и т.д. Эти вещества в общепринятом понимании нельзя назвать ядовитыми или токсичными, но поступление их в атмосферу в большом количестве может вызвать вытеснение из неё кислорода, что также создаст определённых размеров опасную зону. Кроме того некоторые из этих веществ являются окислителями или пожаровзрывоопасными веществами, низкие температуры этих веществ могут привести к дополнительным опасным факторам, таким как потенциальная опасность ожогов поверхности тела и внутренних органов у людей, а также к потере несущей способности силовых элементов зданий, машин и механизмов за счёт хладоломкости.

Используемые в настоящее время в промышленности криопродукты можно подразделить на три типа: нейтральные криопродукты (азот, гелий), криопродукты-окислители (кислород), горючие криопродукты (водород, метан). При сбросе в атмосферу каждого из трёх типов криопродуктов в зоне выброса создаются свои специфические опасности.

Средства взрывозащиты герметичных систем.

Любое оборудование повышенного давления должно быть укомплектовано системами взрывозащиты, которые предполагают:

-       применение оборудования, рассчитанного на давление взрыва;

-       применение гидрозатворов, огнепреградителей, инертных или паровых завес;

-       защиту аппаратов от разрушения при взрыве с помощью устройств аварийного сброса давления (предохранительные мембраны и клапаны, быстродействующие задвижки, обратные клапаны и т.д.).

Взрывозащита систем повышенного давления достигается также организационно-техническими мероприятиями; разработкой инструктивных материалов, регламентов, норм и правил ведения технологических процессов; организацией обучения и инструктажа обслуживающего персонала; контролем и надзором за соблюдением норм технологического режима, правил и норм техники безопасности, промышленной санитарии и пожарной безопасности и т.п.

Трубопроводы. Для того чтобы внешний вид трубопровода указывал на свойства транспортируемой среды, введена их опознавательная (сигнальная) окраска (ГОСТ 1402-69). Например: вода - зелёный, воздух - синий, щёлочи - фиолетовые и т.д.

Для обозначения вида опасности транспортируемого по трубопроводу вещества на его поверхность дополнительно наносят сигнальные кольца. Их число определяется степенью опасности. Кольца предусмотрены: красного цвета - для взрывоопасных; зелёного цвета - для безопасных и нейтральных веществ; жёлтого цвета - для токсичных веществ, а также глубокого вакуума, высокого давления.

Все трубопроводы после монтажа и периодически в процессе эксплуатации подвергаются гидравлическим испытаниям на прочность при пробном давлении на 25% превышающем рабочее, но не менее 0,2 МПа.

Предохранительные устройства. Каждый сосуд или ёмкость должен дополнительно быть снабжён устройством от повышения давления выше допустимого. В качестве предохранительных устройств применяются:

) предохранительные мембраны - предельная простота их конструкции характеризует их как самые надёжные из всех существующих средств взрывозащиты, кроме того они практически не имеют ограничений по пропускной способности. Хотя у них есть свои существенные недостатки, что после срабатывания защищаемое оборудование остаётся открытым, что приводит к остановке оборудования и выбросу в атмосферу содержимого аппарата;

) взрывные клапаны - использование их на технологическом оборудовании даёт возможность устранения негативных последствий, так как после срабатывания и сброса необходимого количества газа через взрывной клапан его сбросное отверстие вновь закрывается, обеспечивая тем самым продолжительность работы оборудования. К их недостатку следует отнести большую инерционность по сравнению с мембранами, значительную сложность конструкции, а также недостаточную герметичность;

) пружинные предохранительные клапаны являются самыми распространёнными в настоящее время средством защиты технологического оборудования от взрыва. Однако и они имеют ряд существенных недостатков, в основном определяющихся большой инерционностью как грузовых, так и пружинных конструкций клапанов.

С системами находящимися под давлением, человек сталкивается не только в промышленности, но и в быту. Мы используем ёмкости и трубопроводы, содержащие пожаровзрывоопасные среды или среды находящиеся под повышенным давлением, такие как бытовые газовые баллоны, различные косметические распылители, трубопроводы с горячей и холодной водой и т.д. При эксплуатации данного вида оборудования необходимо соблюдать меры безопасности аналогичные тем, которые соблюдаются и на производственных условиях.

Пожарная защита производственных объектов.

Автоматическая пожарная сигнализация является важной мерой предотвращения крупных пожаров, так как времени между возникновением пожара и приездом пожарной бригады проходит значительно много, что в большинстве случаев приводит к полному охвату пламенем помещения. Основная задача автоматической пожарной сигнализации - обнаружение начальной стадии пожара, передача извещения о месте и времени его возникновения и при необходимости включения автоматических систем пожаротушения и дымоудаления.

Функционально автоматическая пожарная сигнализация состоит из приёмно-контрольной станции, которая через сигнальные линии соединена с пожарными извещателями. Задача сигнальных извещателей является преобразование различных проявлений пожара в электрические сигналы.

Скорость срабатывания автоматической пожарной сигнализации в основном определяется скоростью срабатывания первичных извещателей. В настоящее время наиболее часто используются тепловые, дымовые, световые и звуковые пожарные извещатели.

Предотвращение развития пожара зависит не только от скорости его обнаружения, но и от выбора средств и способов пожаротушения.

Выбор средств и способов пожаротушения. Для подавления процесса горения можно снижать содержание горючего компонента, окислителя (кислорода воздуха), снижать температуру процесса или увеличить энергию активации реакции горения. В соответствии с этим в настоящее время при тушении пожаров используют один из следующих основных способов:

изоляцию очага горения от воздуха или снижение путём разбавления воздуха негорючими газами, концентрации кислорода в воздухе до значения, при котором не может происходить процесс горения;

-       охлаждение очага горения ниже определённых температур (температур самовоспламенения, воспламенения и вспышки горючих веществ и материалов);

-       механический срыв пламени в результате воздействия на него сильной струи газа или жидкости;

-       создание условий огнепреграждения, при которых пламя вынуждено распространяться через узкие каналы.

Для реализации перечисленных способов тушения пожаров используют различные огнетушащие вещества. К ним относятся в первую очередь вода самый дешёвый и доступный материал, песок, пожарные щиты с оборудованием, огнетушители являются одним из наиболее эффективных первичных средств пожаротушения, инертные разбавители применяются для объёмного тушения, последнее время для тушения пожаров всё более широко применяют огнетушащие порошки.

Многие огнетушащие вещества, применяемые в автоматических системах пожаротушения, повреждают технологические установки. Поэтому выбор типа огнетушащего вещества должен определяться не только скоростью и качеством тушения пожара, но и необходимостью обеспечить минимальное суммарное повреждение, которое может быть причинено зданию и оборудованию.

1.5 Анализ опасных и вредных факторов при эксплуатации вычислительной сети


Работы, производящиеся при мониторинге локально-вычислительной сети, а также при последующей ее эксплуатации и обслуживании, можно квалифицировать как творческую работу с персональными электронными вычислительными машинами (ПЭВМ) и периферийными устройствами.

Работа сотрудников, непосредственно связанных с компьютером, а соответственно с дополнительным вредным воздействием целой группы факторов, существенно снижает производительность их труда. К таким факторам необходимо отнести:

-       повышенный уровень шума при работе ПЭВМ и периферийных устройств;

-       электромагнитное излучение;

-       ионизирующее излучение от экрана дисплея ПЭВМ;

-       возможность повышенной запыленности рабочей зоны;

-       изменение микроклимата и тепловыделение;

-       наличие опасного значения напряжения в электрической цепи, из-за контакта с которой может произойти поражение человека;

-       перенапряжение зрительных анализаторов.

Характеристика электробезопасности. При эксплуатации ЭВМ возникает следующий опасный фактор: опасный уровень напряжения в электрической цепи, замыкание которой может произойти через человека. Поражение электрическим током может возникнуть в результате прикосновения к оголенным проводам, находящимся под напряжением или к корпусам приборов, на которых вследствие пробоя возникло напряжение.

Обслуживающий персонал должен быть технически грамотен, а правила техники безопасности эксплуатации электроустановок должны соблюдаться неукоснительно.

При работе аппаратуры запрещается:

-       проверять на ощупь наличие напряжения токоведущих частей аппаратуры;

-       применять для соединения блоков и приборов провода с поврежденной изоляцией;

-       производить работу и монтаж в аппаратуре, находящейся под напряжением;

-       подключать блоки и приборы к работающей аппаратуре.

Согласно классификации правил эксплуатации электроустановок, помещение должно соответствовать первому классу: сухое, беспыльное помещение с нормальной температурой воздуха и изолированными полами.

Пожарная опасность. Анализируемое оборудование может стать источником пожара при неисправностях токоведущих частей.

Наиболее частые причины пожаров:

-       перегрев проводов;

-       короткое замыкание;

-       большие переходные сопротивления в электрических сетях;

-       электрическая дуга или искрение.

Для обеспечения современных мер по обнаружению и локализации пожара, эвакуации рабочего персонала, а также для уменьшения материальных потерь необходимо выполнять следующие условия:

-       наличие системы автоматической пожарной сигнализации;

-       наличие эвакуационных путей и выходов;

-       наличие первичных средств тушения пожаров: пожарные стволы, внутренние пожарные водопроводы, сухой песок, огнетушители.

Характеристика психофизиологических и эргономических факторов при работе на ПЭВМ. Особенности характера и условий труда работников, работающих с видеотерминалом и клавиатурой - значительное умственное напряжение, постоянная статическая нагрузка, обусловленная относительно неподвижной рабочей позой и другие физические и нервно - психические нагрузки - приводят к изменению у работников функционального состояния центральной нервной системы, нервно-мышечного аппарата рук, шеи, плеч, спины, напряжению зрительного аппарата. У работников появляются боли, зрительная усталость, раздражительность, общее утомление.

Снижения влияния этих факторов и сохранения высокой работоспособности можно достичь рациональной организацией режима труда и отдыха, который предусматривает периодические перерывы и производственную гимнастику. Гимнастика должна включать специальные упражнения для глаз и для снятия утомления от статического напряжения.

Большое значение при работе имеет правильная планировка рабочего места.

Предпочтительнее сидение, имеющее выемку, соответствующую форме бедер, и наклон назад. Спинка стула должна быть изогнутой формы, обнимающей поясницу.

Все необходимое для работы должно быть легко доступным. Уровень глаз при вертикально расположенном экране должен приходится на цент или 2/3 высоты экрана. Расстояние между монитором и лицом оператора должно быть не менее, чем 40 см. клавиатура располагается в 10 см от края стола, что позволяет запястьям рук опираться на стол.

Характеристика запыленности. Анализируемое оборудование не является источником пыли и газов.

Но при работе на анализируемом оборудовании пыль, постоянно находящаяся в воздухе, оседает на мониторе, системном блоке из - за электростатического поля компьютера. В помещении, где предусматривается эксплуатация комплекса программных средств, находится бытовая пыль. Электризованная пыль вызывает раздражение кожи и слизистой оболочки глаз и носа. При длительной работе в обстановке повышенной запыленности повышается опасность возникновения воспалительных процессов у человека. Требуемое состояние рабочей зоны достигается выполнением следующих мероприятий:

-       применение вентиляции;

-       кондиционирование воздуха;

-       проведение влажной уборки во всех помещениях, и особенно в тех, где эксплуатируется вычислительная техника.

Для защиты воздуха рабочей зоны и атмосферы от повышенной запыленности применяется система вентиляции. В данном случае необходимо использовать приточную вентиляцию.

Характеристика шума. Повышенный уровень шума, возникающий при работе ПЭВМ и периферийных устройств, вредно воздействует на нервную систему человека, снижая производительность труда, способствуя возникновению травм.

При длительном воздействии шума на организм человека происходят нежелательные явления: снижается острота слуха, повышается кровяное давление. Кроме того, шум влияет на общее состояние человека - возникает чувство неуверенности, стесненности, плохого самочувствия.

Для снижения уровня шума в помещении, где эксплуатируется вычислительная техника, проводят:

-       Акустическая обработку помещения (звукоизоляция стен, окон, дверей, потолка, установка штучных звукопоглощателей);

-       Ослаблении шума самих источников, полностью выполнив требования по звукоизоляции оборудования, изложенные в технической документации на данное оборудование;

-      

Похожие работы на - Безопасность жизнедеятельности

 

Не нашли материал для своей работы?
Поможем написать уникальную работу
Без плагиата!
Без нейросетей!