Международные страховые операции

  • Вид работы:
    Курсовая работа (т)
  • Предмет:
    Банковское дело
  • Язык:
    Русский
    ,
    Формат файла:
    MS Word
    347,03 Кб
  • Опубликовано:
    2014-10-04
Вы можете узнать стоимость помощи в написании студенческой работы.
Помощь в написании работы, которую точно примут!

Международные страховые операции














КУРСОВАЯ РАБОТА

Международные страховые операции


Введение

договор страхование медицинский внешнеэкономический

Изучению вопросов международного страхования уделяется больше внимание во всем мире. Динамичное развитие отечественного рынка страхования невозможно без интеграции его в мировую систему страхования. Расширение границ проводимых видов международного страхования, изучение его основных особенностей организации страхового дела в европейских странах и богатого опыта коммерческого страхования являются одной из наиболее важных предпосылок достижения российскими страховщиками мировых уровней и стандартов развития страхования.

Современный этап мирового развития характеризуется, в первую очередь, тенденцией усиления связей и взаимодействием между странами, в основе которых лежит решения глобальных проблем человечества, таких как: экологии, космоса, истощение земли и др. С другой же стороны, это обусловлено также и нарастающей взаимозависимостью государств в экономической сфере. В настоящее время международные экономические отношения утвердились и реализуются в следующих основных формах: международная торговля товарами и услугами, между государствами, обмен в области науки и техники, движение капиталов и зарубежных инвестиций, валютно-кредитные отношения и т.д.

Международное страхование способно обеспечивать защиту национальных интересов при выходе на внешние экономические рынки, проведением страховых операций в области внешнеэкономических отношений.

Целью международного страхования является создания и реализация решений, которые связаны с проблемой защиты валютных интересов нашей страны, с экспортно-импортными операциями, туризмом, деятельностью совместных предприятий.

В курсовой работе поставлена цель, узнать, что же представляют собой международные страховых операции, рассмотреть ее основные виды и взаимосвязи.

На сегодняшний день данная тема широко освещена в учебниках, научных монографиях, статьях таких авторов как Абалкин Л.И., Аболихина Г.Л., Адибеков, Авдокушин Е.Ф, Буглай В.Б., Ливенцев Н.Н, Бунько В.А, Гольберц М.А., Воронова А.В., Головин А., Ивлев В., Попова Т. и др.

Эмпирическую базу работы составили учебные пособия и научные статьи.

Структура работы состоит из введения, двух глав, заключения и списка использованной литературы.

1. Сущность, виды и классификация международного страхования

.1       Виды страхования внешнеэкономических связей

Страхование внешнеэкономических связей - это международные экономические отношения по защите имущественных интересов государств, хозяйствующих субъектов и граждан при наступлении определенных событий (страховых случаев) за счет денежных фондов, формируемых из уплачиваемых ими страховых премий (т.е. взносов). Используемый за рубежом, а также в деятельности САО «Ингосстрах» термин «страховая премия» равнозначен термину «страховой взнос», применяемому в российском законодательстве.

Страховая премия (или взнос) - это плата за страхование, которую страхователь обязан внести страховщику в соответствии со страховым полисом.

Страховой полис (франц. police от итал. polizza - расписка, квитанция) - письменный договор о страховании (или перестраховании), выдаваемый страховщиком в качестве свидетельства о страховании. В Российской Федерации страховой полис часто носит название «страховое свидетельство». В процессе страхования внешнеэкономических связей участвуют два субъекта: полисодержатель и страховщик. В российском законодательстве термин «полисодержатель» заменен понятием «страхователь». Полисодержатель (страхователь) - это хозяйствующий субъект или гражданин, выражающий страховой интерес, уплачивающий страховую премию и вступающий в конкретные страховые отношения со страховщиком в силу закона или двусторонней сделки (договора страхования). Полисодержателем признается лицо, заключившее со страховщиком договоры страхования или являющееся страхователем в силу закона. При заключении договора страхования полисодержатель должен сообщить страховщику о всех известных ему обстоятельствах, имеющих значение для оценки страхового внешнеэкономического риска, а также о всех заключенных или заключаемых договорах страхования в отношении данного объекта страхования. При наступлении страхового случая полисодержатель обязан принимать необходимые меры для предотвращения и уменьшения ущерба застрахованному имуществу.

Страховщиком является хозяйствующий субъект, созданный для осуществления страховой деятельности, проводящий страхование и ведающий созданием и расходованием страхового фонда. На платежном балансе страны страховые операции отражаются тогда, когда полисодержатель (т.е. страхователь) или страховщик являются нерезидентами.

Страхование внешнеэкономических связей означает страхование внешнеэкономических рисков и представляет собой комплекс видов страхования, обеспечивающих защиту интересов отечественных и зарубежных участников тех или иных форм международного сотрудничества. Страхование внешнеэкономических связей, как и страхование вообще, включает личное страхование, имущественное страхование, страхование ответственности. Личное страхование означает осуществление страховой защиты граждан. Объектом страховых отношений в имущественном страховании выступают имущество в различных видах и имущественные интересы. Экономическим назначением имущественного страхования является возмещение ущерба, возникшего вследствие страхового случая. Объектом страховых отношений в страховании ответственности является ответственность перед третьими физическими или юридическими лицами вследствие какого-либо действия или бездействия полисодержателя (т.е. страхователя). В отличие от имущественного страхования, в котором полисодержателю (страхователю) принадлежит личная собственность граждан, хозяйствующих субъектов и их имущественные интересы, и в отличие от личного страхования, которое проводится на случай наступления определенных событий, связанных с жизнью и здоровьем застрахованных, целью страхования ответственности является страховая защита интересов возможных причинителей вреда, которые в каждом страховом случае находят свое конкретное денежное выражение. Страхование ответственности не предусматривает установление страховой суммы и застрахованного, т.е. гражданина или хозяйствующего субъекта, которому должно быть выплачен ущерб. Величина страховой суммы выявляется только при наступлении страхового случая, т.е. при причинении вреда третьим лицам.

Наиболее распространенными видами страхования внешнеэкономических связей являются страхование туристов, страхование перевозок внешнеторговых грузов (груза и / или транспорта), страхование от валютных рисков, страхование иностранных инвестиций, страхование ответственности владельца автотранспорта, страхование ответственности заемщика за непогашение кредита

Для большинства видов страхования заключение их юридически является добровольным. Однако сам характер соглашений о товарных поставках, о туристских услугах, подрядах на строительство и перевозку, об аренде того или иного имущества и др., как правило, учитывает страхование в качестве непременной предпосылки действия договора. В зависимости от содержания соответствующих контрактов расходы по страхованию может нести любая из сторон, она выбирает страховую компанию и условия страхования, ориентируясь на собственные интересы и интересы отечественных страховых компаний. Сейчас иностранные страховые компании не могут иметь более 49% в уставном капитале российских страховых компаний. С вступлением России во всемирную торговую организацию это ограничение для иностранных страховых компаний будет снято. Это, безусловно, вытеснит многие мелкие компании со страхового рынка. На рынке останутся только крупные страховые российские компании, например РОСНО, «Ингосстрах», Промышленно-страховая компания и др.

Сегодня большинство крупных российских страховых компаний были созданы финансово-промышленными группами (Автобанк - «Ингосстрах»; «Группа Мост» - Спасские ворота и др.). Такие связи ставят страховщиков в прямую зависимость от политической конъюнктуры, которая ощутимо отражается на положении этих компаний. Объем собираемых взносов у них намного меньше, чем в других странах (Англии, Германии). Сегодня в основном формой страхования является обязательное страхование. Появление иностранных страховых компаний на российском страховом рынке приводит к экспорту российского капитала за рубеж и к потере государственного контроля за значительными инвестициями. С целью захвата страхового рынка сегодня некоторые страховые компании («Ингосстрах», «Ренессанс-Страхование» и др.) снижают тарифы и выплачивают большие агентские вознаграждения (до 25% страховой суммы), что способствует поглощению мелких страховых компаний.

 

1.2 Международное страхование и его институты

 

Страховые операции - совокупность всех видов деятельности страховых организации, непосредственно связанных с проведением страхования:

·        учет и оценка имущества, подлежащего обязательному страхованию;

·        исчисление страховых платежей и обеспечение их взимания;

·        заключение и расторжение договоров страхования;

·        организация инкассации и безналичных расчетов;

·        ведение лицевых счетов страхователей;

·        составление страховых актов;

·        определение и выплата страхового возмещения, страхового пособия, дополнительной пенсии;

·        организация перестрахования крупных рисков, создание запасных и резервных фондов и т.д.

Страхование внешнеэкономических связей осуществляется посредством проведения различных международных страховых операций. Международные страховые операции - это система хозяйственных связей между национальными экономиками различных стран по реализации страхового фонда.

Не относится к страховым операциям работа, не имеющая непосредственного отношения к страхователям: инвестиционная деятельность, взаимоотношения с госбюджетом и банками, расчеты по оплате труда сотрудников. На международном страховом рынке действует множество международных страховых институтов: ассоциации, бюро, группы, объединения, общества, комитеты, союзы, федерации (табл. 1.1).

 

Таблица 1.1 «Краткая характеристика международных страховых институтов»

Название института

Год основания

Местонахождение штаб-квартиры

Выполняемые функции, цели, задачи и другая характеристика

Международная организация актуариев

1895

Брюссель

Осуществление международного сотрудничества и координация деятельности национальных ассоциаций актуариев ряда стран.

Международная ассоциация обществ взаимного страхования (МАОВС)

1963

Амстердам

Координация деятельности, обмен опытом и информацией между обществами взаимного страхования из разных стран (более 200 обществ из 26 стран); представление интересов своих членов в международных организациях.

Международная ассоциация по страхованию

1946

Цюрих

Изучение вопросов страхования кредитов, защита интересов членов ассоциации, обмен опытом и информацией, осуществление связей между компаниями, занимающимися страхованием краткосрочных экспортных кредитов (от 3 до 12 мес.). В официальных документах называется Второй международной ассоциацией по страхованию кредитов (Первая функционировала с 1928 по 1939 г. в Париже).

Международная федерация по ограничению ответственности владельцев танкеров в случае загрязнения (т.е. международная ассоциация по страхованию танкеров) (ТОВАЛОП)

1969

Лондон

Побуждение владельцев танкеров к ликвидации загрязнений от разлитой нефти, давая возможность им покрыть расходы на очистку страховым возмещением. Защита от загрязнения побережья.

Международное общество анализа риска

1981

США

Применение методологии анализа риска для целей оптимизации решений в различных областях научно-практической деятельности. Идентифицирует различные виды опасностей, разрабатывает методы снижения рисков.

Международная ассоциация страховых и перестраховочных посредников

1937

Париж

Содействие международным контактам и обмену информацией среди посредников страхового рынка. Исследование по вопросам активизации, маркетинга в страховании и др.

Международная ассоциация страховых исследований

1973

Женева

Содействие прогнозу в научных исследованиях по страхованию, распространение научных знаний о страховании. Содействие росту общественного престижа профессии страховщика. Организация и курирование специальных научных программ.

Международная нидерландская группа (ИНГ)

1963

Гаага

Крупнейший страховой холдинг Нидерландов. Имеет дочерние страховые компании в 24 странах мира на 5 континентах. Осуществление всех видов страхования.

Международное страховое общество (МСО)

1965

США

Содействие в осуществлении образовательных и научных программ по вопросам страхования. Обмен страховой информации. Издательское дело.

Международное бюро «зеленой карты»

1949

Лондон

Координация деятельности национальных бюро «зеленой карты». Организация контроля за наличием страхования при пересечении границы и др.

Международные конгрессы актуариев.

1895, 1988

Первый конгресс состоялся в 1895 г. (Бельгия), последний - в 1988 г. в Хельсинках.

Представляет собой международные формулы специалистов-актуариев ряда стран

Международный союз авиационного страхования (МСАС)

1934

Лондон

Объединяет страховые компании, занимающиеся авиационным страхованием. Содействие по обмену информацией и т.п.

Международный союз страховщиков кредитов и инвестиций

Берн, секретариат находится в Париже

Применение согласованных условий кредитования международной торговли, гарантирование экспортных кредитов, обмен опытом и информацией по страхованию экспортных кредитов, предоставляемых на срок от 1 до 5 лет.

Международный союз страховщиков технических рисков

1968

Мюнхен

Обмен информацией и опытом между страховыми компаниями, проводящими страхование технических рисков (строительно-монтажных; машин от поломок; послепусковых гарантийных обязательств).



Участником международного страхового рынка является также российское страховое акционерное общество «Ингосстрах». Страховое открытое акционерное общество «Ингосстрах» было создано в 1947 г. путем выделения его на правах самостоятельного юридического лица из системы Госстраха СССР, в которой оно существовало как Управление иностранного страхования СССР при Минфине СССР. «Ингосстрах» занимается страховым обслуживанием внешнеторгового оборота научно-технических и культурных связей России с зарубежными странами. Главная деятельность «Ингосстраха» направлена на страхование экспортно-импортных, каботажных и транзитных грузов, судов, фрахта и других имущественных интересов, гражданской ответственности, связанной с эксплуатацией автотранспорта, индивидуальное или групповое комбинированное страхование от несчастных случаев и медицинских расходов при выезде за рубеж. Кроме того, «Ингосстрах» занимается страхованием всех других рисков: технических, экологических и др.

«Ингосстрах» включает несколько десятков дочерних компаний и представительств в Российской Федерации и за границей. Он владеет контрольным пакетом акций в трех иностранных страховых компаниях, действующих в Великобритании («Блэкбалси»), Германии («СОФАГ») и Австрии («ГАРАНТ») в соответствии с законодательством этих стран. Правила и условия страхования «Ингосстраха» соответствуют общепринятым в международной страховой практике. Страхование грузов «Ингосстрах» производит на основе стандартных условий, выработанных Институтом лондонских страховщиков. Через «Ингосстрах» проходит большой денежный поток. «Ингосстрах» представляет Россию в крупнейшей международной сети JGP (International Group Program), объединяющей более 40 ведущих национальных страховых компаний и более 500 крупнейших транснациональных корпораций. Направление работы сети - страхование жизни персонала компании. Целью JGP является обеспечение для членов сети единого уровня страховых услуг во всех странах, где ее участники ведут бизнес. Полис «Ингосстраха» признается более чем в 100 странах мира и зачастую способствует положительному решению визовой проблемы. «Ингосстрах» - это первая страховая компания в России и пятая в мире, которая предлагает свои услуги через международную компьютерную систему бронирования «Старт-Амадеус», позволяющую осуществить продажу страховых полисов «Ингосстраха» непосредственно в туристских агентствах, гостиницах и представительствах международных авиакомпаний.

2. Международное страхование

.1 Международные страховые операции      

Международные страховые операции - система хозяйственных связей между национальными экономиками различных стран, форма реализации страхового фонда. Различают:

·        прямые международные договорные операции;

·        прямые страхования;

·        операции международного перестрахования.

Прямые международные договорные операции - страховые операции, при которых страхователь одной страны заключает договор страхования со страховщиком другой страны. Договор страхования заключается либо непосредственно главной конторой иностранного страховщика, либо через страховых посредников.

Прямые страхования - страховые операции, при которых договор страхования заключаются через агентские организации страховщика за границей.

В международном страховании резко выделяется английская страховая корпорация «Ллойд», которая сегодня является международным страховым рынком и крупнейшим издательским центром информации по морскому судоходству и коммерции. Страховая корпорация «Ллойд» возникла из Кофейного дома Ллойда, владельцем которого был Эдвард Ллойд (умер в 1713 г.). Первое упоминание о Кофейном доме Ллойда относится к 1688 г. В этой кофейне происходили регулярные встречи страховщиков, судовладельцев и купцов. С 1696 г. Эдвард Ллойд стал издавать страховую газету «Ллойда Ньюс», а с 1734 г. - «Ллойдз Лист». В 1760 г. в системе Ллойда образовалось первое в мире классификационное общество - регистр судов (Регистр английского Ллойда). В 1871 г. актом британского парламента объединение страховщиков «Ллойд» получило официальный статус корпорации страховщиков.

2.2 Договор и функции страхования

Как экономическая категория страхование представляет систему экономических отношений, включающую совокупность форм и методов формирования целевых фондов денежных средств и их использование на возмещение ущерба при различных рисках, а также на оказание помощи гражданам при наступлении определенных событий в их жизни. Оно выступает, с одной стороны, средством защиты бизнеса и благосостояния людей, а с другой - видом деятельности, приносящим доход. Источниками прибыли страховой организации служат доходы от страховой деятельности, от инвестиций временно свободных средств в объекты производственной и непроизводственной сфер деятельности, акции предприятий, банковские депозиты и т.д.

В последнее время ведущие экономисты страны стали оспаривать тот факт, что страхование включается в экономическую категорию финансов. Они заявляют, что такое ограничение сферы действия страхования в теоретическом плане создает условия для недооценки страхования на практике. В этой теории основными идеями являются:

·        принципиальные отличия по своему содержанию и происхождению от категорий финансов и кредита - если для финансов всегда необходимы денежные отношения и характерно формирование денежных средств, то страхование может быть и натуральным;

·        страхование всегда привязано к возможности наступления страхового случая, т.е. страхованию присущ обязательный признак - вероятностный характер отношений, использование средств страхового фонда связано с наступлением и последствиями страховых случаев;

·        если доходы государственного бюджета формируются за счет взносов (платежей) физических и юридических лиц, то использование этих средств выходит далеко за рамки плательщиков этих взносов. Здесь происходит перераспределение ущерба как между территориальными единицами, так и во времени. Страхование же предусматривает замкнутое перераспределение ущерба с помощью специализированного денежного страхового фонда, образуемого за счет страховых взносов.

Однако здесь же отмечается определенная схожесть страхования с финансами: при страховании возникают перераспределительные отношения по формированию и использованию специализированного страхового фонда, но движение денежной формы стоимости в страховании подчинено степени вероятности нанесения ущерба в результате наступления страхового случая.

И с кредитом: средства страхового фонда подлежат возврату, однако, отмечая такую возвратность страховых платежей как характерную черту страхования, следует иметь в виду, что она относится прежде всего к страхованию жизни - это действительно возврат взносов (большая часть взносов возвращается при наступлении страхового случая: дожития застрахованного до определенного срока или в случае его смерти) и он имеет обязательный характер. Но при имущественном страховании, при страховании от несчастных случаев и других видах страхования выплаты страхового возмещения происходят только при наступлении страхового случая и в размерах, обусловленных соответствующими документами. Экономическое содержание этих выплат отлично от возврата страховых платежей.

Подводя итоги этой концепции, можно сказать, что страхование имеет черты, соединяющие его с категориями «финансы» и «кредит», и в то же время как экономическая категория имеет характерные только для нее функции, выполняет присущую только ей роль. Причем в качестве функций можно выделить:

·        Формирование специализированного страхового фонда денежных средств. Этот фонд может формироваться как в обязательном, так и в добровольном порядке. Через эту функцию решается проблема инвестиций временно свободных средств в банковские и другие коммерческие структуры, вложения денежных средств в недвижимость, приобретения ценных бумаг и т.д.

·        Возмещение ущерба и личное материальное обеспечение граждан. Право на возмещение ущерба имеют только юридические и физические лица, которые являются участниками формирования страхового фонда. Посредством этой функции получает реализацию объективного характера экономической необходимости страховой защиты.

·        Предупреждение страхового случая и минимизация ущерба. Предполагается широкий комплекс мер, в том числе финансирование мероприятий по недопущению или уменьшению негативных последствий стихийных бедствий, несчастных случаев. В целях реализации этой функции страховщик образует особый денежный фонд предупредительных мероприятий. Источником формирования фонда служат отчисления от страховых платежей.

Вторая теория, поддерживающая идею о том, что страхование является частью категории «финансы» представляет свои доводы и аргументы:

·        наличие вероятности наступления внезапных, непредвиденных и непреодолимых событий (страховых случаев), замкнутая раскладка ущерба и т.п. являются лишь специфическими признаками страхования;

·        выполняются все специфические признаки финансов: страхование всегда имеет денежную форму выражения, распределительную функцию и связаны с формированием страхового фонда и использованием его на цели общественного характера.

Известно, что категория финансов выражает свою сущность прежде всего через распределительную функцию. Эта функция находит свое конкретное, специфическое проявление в функциях, присущих страхованию - рисковой, предупредительной и сберегательной, а также - контрольной.

.         Страхование имеет предупредительную функцию, связанную с использованием части средств страхового фонда на уменьшение степени и последствий страхового риска.

.         В страховании жизни категория страхования в наибольшей мере сближается с категорией кредита при накоплении по договорам страхования на дожитие обусловленных страховых сумм. Сбережение денежных сумм с помощью страхования на дожитие связано с потребностью в страховой защите достигнутого семейного достатка. Тем самым страхование может иметь и сберегательную функцию.

.         Контрольная функция страхования выражает свойство этой категории к строго целевому формированию и использованию средств страхового фонда. Данная функция вытекает из указанных выше специфических функций страхования и проявляется одновременно с ними в конкретных страховых отношениях, в условиях страхования. В соответствии с требованием контрольной функции осуществляется финансовый страховой контроль за правильным проведением страховых операций.

В договоре страхования внешнеэкономической деятельности устанавливаются:

·        страховая сумма (лимит ответственности), представляющая собой денежную сумму, в пределах которой страховщик обязан произвести страховую выплату при наступлении страхового случая;

·        страховая стоимость, представляющая собой действительную стоимость имущества или предпринимательского риска. Страховой стоимостью считается:

для имущества - его действительная стоимость в месте нахождения в день заключения договора страхования;

для предпринимательского риска - убытки от предпринимательской деятельности, которые страхователь понес бы при наступлении страхового случая;

·        страховой взнос (страховая премия) - сумма денежных средств, подлежащая уплате страхователем страховщику за страхование;

·        страховой риск - предполагаемое событие, обладающее признаками вероятности и случайности, на случай наступления которого проводится страхование;

·        страховой случай - предусмотренное в договоре страхования или законодательстве событие, при наступлении которого у страховщика возникает обязанность произвести страховую выплату страхователю (застрахованному лицу, выгодо приобретателю);

·        страховой тариф - ставка страхового взноса с единицы страховой суммы.

2.3 Создание и внедрение новых страховых продуктов

Современное состояние страхового рынка требует постоянных изменений в работе с клиентами и поисков новых способов их привлечения. В проекте «Стратегии развития страхования в Российской Федерации на 2008-2012 гг.» отмечено, что одной из важнейших задач, стоящих перед российским страховым бизнесом, является «активизация внедрения новых страховых продуктов, улучшение качества страховых услуг и расширение их перечня». Для решения этой задачи одной из первоочередных мер является создание модели разработки нового страхового продукта и методов реализации удобных и доступных клиентам страховых организаций. Исходя из этого основной тенденцией развития страхового маркетинга в России в ближайшие годы станет повышение внимания к соответствию свойств страховых продуктов потребностям потребителей.

Страховой продукт можно рассматривать и анализировать с нескольких точек зрения: например, с точки зрения страхового права «страховой продукт» - это договор страхования, включающий в себя страховой сертификат и правила страхования, а с точки зрения маркетинга «страховой продукт» - это все, что может быть предложено рынку для удовлетворения нужд или потребностей.

Страховой продукт в общем понимании - это комплексное решение страхов-щика, целью которого является наиболее полное удовлетворение потребностей конкретного страхователя за счет предоставления ему страховой защиты мирового уровня, обеспеченное юридическим сопровождением, сервисным обслуживанием и объединенные брендом страховщика (рисунок).

Схема страхового продукта

«Новый» страховой продукт также можно рассматривать в нескольких аспектах, а именно:

. Новый продукт для отрасли - создание принципиально нового продукта, которого нет ни у страховщика, ни у его конкурентов.

. Новый продукт для страховщика - разработка продукта, которого нет у страховщика, но который есть у его конкурента.

. Заимствование продукта с другого рынка - разработка аналога продукта, предлагаемого дочерней компанией страховщика в другой стране.

. Новая версия продукта - изменение продукта, включая составляющие компоненты.

. «Подретушированный» продукт - изменение внешней оболочки продукта без изменения составляющих компонентов. Важным является тот факт, что необходимость в новом страховом продукте может возникнуть как у страховщика, так и у страхователя. Причинами потребности страховой компании в новом продукте являются следующие: если страховщик еще не работал на данном рынке и опыт других страховых компаний его не устраивает; если страховая компания намерена вырваться в рыночные лидеры наопределенном сегменте; когда требуется осуществить прорыв на определенном сегменте, используя в качестве инструмента привлечения внимания совершенно новый, незнакомый публике продукт.

Страхователь же нуждается в новом страховом продукте по другим причинам. Основными из них, безусловно, являются неудовлетворенность в уже существующих продуктах и желание получить принципиально новый страховой продукт, отличный от всех существующих. Отмечу, что наибольшие трудности для страховщиков представляет непосредственно разработка и позиционирование совершенно новых страховых продуктов. Поэтому клиентоориетированные страховые компании, которые хотят привлечь новых и сохранить уже имеющихся клиентов должны применять современный комплексный подход к созданию страхового продукта, максимально отвечающего потребностям обеих сторон.

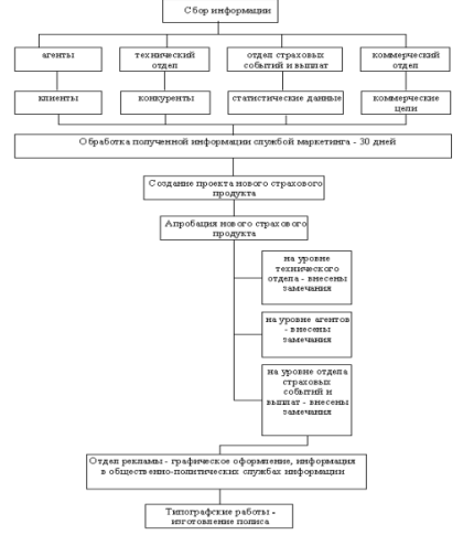
Весь процесс разработки и внедрения нового страхового продукта можно условно разделить на шесть этапов.

Первый этап - разработка основной идеи, задач и критериев, опирающихся на маркетинговые исследования страхового рынка. Для этого изучаются различные сегменты рынка, а именно: ситуация на страховом рынке (рынок стабилен, статичен, расширяется); конкуренты (количество и качество страховых организаций на страховом рынке); потребители (состав рынка потребителей); продавцы (профессионализм и каналы сбыта, чем сложнее полис, тем выше уровень подготовки продавца).

Также на первом этапе необходимо учитывать критерии мотивации потенциальных клиентов на приобретение нового страхового продукта. По данным некоторых социологических исследований приоритеты населения по выбору страховщика распределяются следующим образом:

·        надежность и узнаваемость страховщика - 80%;

·        цена страховых услуг - 31%;

·        понятность условий страхования - 18%;

·        рекомендации знакомых - 17%;

·        ассортимент страховых услуг - 16%;

·        профессионализм и внешний вид страховых агентов - 12%.

На втором этапе все структурные подразделения страховой организации занимаются сбором информации. Объединив собранную информацию в единое целое, аналитики получают полное представление о страховом рынке и выясняют потребности клиентов. Проводя анализ, страховая организация стремится выйти на рынок с новым, отличным от конкурентов, страховым продуктом.

Третий этап предполагает использование собранных материалов. Финансовые аналитики принимают решение либо о дальнейшем развертывании бизнес-процесса, либо о его сворачивании. Если принято решение о развитии проекта, то страховая организация переходит к следующему (четвертому) этапу по детальным проработкам оценки имеющихся возможностей, времени и сил, необходимых для технической реализации с последующей коммерциализацией нового страхового продукта. Данный этап включает в себя деятельность по формированию страхового фонда, его сохранению и, по возможности, увеличению, выделению из данного фонда определенного объема денежных средств для материализации конкретного страхового продукта, расходованию выделенного объема денежных средств для материализации. На этом этапе страховщик также рассматривает вопрос о подготовке специалистов в области маркетинга, актуарных расчетов и агентских кадрах.

Пятый этап характеризуется разработкой нового страхового продукта с определением: гарантий, страховых сумм, франшизы, тарифов, особых условий договоров, бонусов, страховых премий, условий их перечисления и т.д. Проводится юридический анализ условий страхования и дается прогноз прибылей от продажи нового продукта и расходов на его внедрение.


Варианты способов продвижения продукта

Организация продаж включает следующие составляющие: целевая реклама страхового продукта - информирование потенциальных клиентов о появлении на рынке нового страхового продукта с положительными качествами, убеждение в необходимости приобретения этого продукта; имиджевая реклама страховщика - стимулирование продаж страхового продукта за счет повышения привлекательности образа страховой организации в целом; создание системы сбыта страхового продукта, обеспечивающего предполагаемую эффективность продаж; стимулирование сбыта через систему скидок страхователям, бонусов для продавцов, а также конкурсы и лотереи.

Также, существует несколько «теорий запуска» нового страхового продукта:

. Первый подход - активный способ запуска. Он заключается в массовой атаке на потребителя с использованием всех имеющихся средств воздействия: широкой рекламы, агентских усилий, стимулирования сбыта.

. Второй способ - постепенный и осторожный. Он предусматривает введение продукта на рынок без особой рекламы и специальных маркетинговых усилий. Первоначально такое внедрение следует осуществлять на небольшой территории какого-то одного сегмента, затем продукт будет распространяться уже шире. Если потребительская реакция и технические результаты продаж оказываются благоприятными, то стоит начинать активные меры по дальнейшему продвижению продукта.

Таким образом, в целом процесс создания нового страхового продукта можно представить следующим образом (рисунок):


Схема разработки нового страхового продукта

Итак, для организации продажи нового или модифицированного страхового продукта разрабатывается маркетинговая стратегия, в которой особое внимание уделяется организации рекламной кампании, в едином фирменном стиле должны быть выполнены бланки страховых полисов, рекламные буклетыи т.д. Конечно же, процесс разработки нового страхового продукта бывает весьма проблемным и часто первоначальная концепция претерпевает существенную трансформацию и выглядит следующим образом (рисунок).



Трансформация концепции страхового продукта

Кроме того, не следует забывать, что успех нового страхового продукта зависит от того, является ли продукт конкурентным, привлекательным для клиента и реализуемым технически. В настоящее время актуальным является вопрос качества новых страховых продуктов. Страхование, как неотъемлемая часть экономики любой страны и сегмент финансового рынка, представляет свои продукты - страховые. Если посмотреть на продукты других сфер, так называемые материальные продукты, они должны иметь соответственное качество. Ярким примером могут служить продукты питания: эта потребительская группа должна, как никто более, иметь соответствующее качество. На упаковках продуктов питания, бытовой химии и прочих групп, представлены сертификаты качества и прочее стандарты, которые доказывают качество этого продукта. Капиталистический путь развития,

одним словом, не представляется без наличия качества предлагаемым рынку продукта и документа, который это качество подтверждает. На постсоветской территории, документом, который подтверждает качество, принято считать декларацию соответствия.

Что касается страхования, то эта сфера предлагает такой же продукт, правда до определенного момента нематериальный, как и все остальные. Понятие качества по отношению к страховому продукту субъективно, т.е. страховщик и страхователь склонны определять его по-разному. Страховщик, как специалист, обычно подходит к этому аналитически: для него это набор определенных технических характеристик и их показателей. Клиент же, условно говоря, синтетически: понравилось - не понравилось, удовлетворило или нет. Соответственно, если политика качества страховой компании клиентоориентирована, то она подходит к определению качества с позиции клиента. В этом случае страховая компания определяет страховой продукт как качественный, если клиент доволен обслуживанием и урегулированием произошедшего страхового случая. Существует более точный и универсальный показатель - это лояльность действий клиента или его приверженность компании. То есть помимо того, что он говорит, он подтверждает это своими действиями: например, продлевает текущий договор по окончании его срока действия, приобретает другие страховые продукты, порекомендует компанию друзьям и знакомым. В этом случае можно однозначно утверждать, что продукт качественный и клиент действительно удовлетворен им. С точки зрения страховщика, то есть специалиста в области страхования, качество определяется более четкими техническими параметрами страхового полиса: это страховое покрытие, тариф, страховая сумма, процедура оценки ущерба, осуществления выплат, наличие и качество дополнительного сервиса и т.д.

Сегодня страховые компании получают награды за качество обслуживания, охват рынка, но количество негативных отзывов, в сторону страховщиков, не меньше. Конечно же, отзывы о страховых компаниях это субъективный фактор, который в большинстве случаев нельзя воспринимать, но уровень доверия к страхованию не растет. По этому, необходимым является такое нововведение, как оформление соответствующего документа качества, например декларации соответствия (декларация соответствия - это официальный документ, зарегистрированный аккредитованным органом по сертификации, удостоверяющий качество поставляемой продукции установленным стандартам. Оформляется сроком от 1 года до 5 лет.) Это бы смогло существенно увеличить уровень доверия к страховым компаниям.

Следует отметить, что страховщики, как в России, так и в экономически развитых странах, достаточно редко прибегают к разработке новых страховых продуктов, предпочитая модернизировать имеющиеся у них пакеты услуг или копировать удачные разработки рыночных лидеров. Такие подходы к обновлению собственного ассортимента связаны с тем, что разработка нового страхового продукта дорогой и рискованный процесс, требующий привлечения, как сторонних специалистов, так и сотрудников различных подразделений страховой компании. Это говорит о том, что самостоятельно разрабатывать новые, инновационные продукты могут только крупные компании, располагающие достаточным кадровым и финансовым потенциалом. Мелкие же страховщики не могут позволить себе разработку принципиально новых для рынка страховых продуктов, поэтому в основном копируют или «ретушируют» уже существующие на рынке продукты.

В качестве примера разработанных и внедренных на российском страховом рынке новых продуктов за последние несколько лет можно привести страховые продукты для физических лиц двух крупнейших страховых компаний: «РЕСО-Гарантия» предложила программу «Московский хит» для столичных автовладельцев, компания «Ингосстрах» - новые возможности для страхования имущества и гражданской ответственности физических лиц во всех регионах Российской Федерации. «Московский хит», адресованный жителям московского региона, действовал в течение одного месяца (с 1 по 31 октября 2011) и обеспечивал возможность приобрести полис Каско со скидкой до 50%. Акция распространялась на модели, которые являются наиболее популярными в столичном регионе (это 26 моделей автомобилей марок AUDI, CHEVROLET, CITROEN, INFINITY, KIA, MAZDA, SKODA, VOLVO, NISSAN, часть из которых и ранее страховались в «РЕСО Гарантии» на особых условиях). Программа содержит защиту от стандартных для полиса Каско рисков и рассчитана на привлечение клиентов, которые обращаются в компанию для продления полиса либо прежде вообще не страховали свой автомобиль от ущерба.

Предложение «Ингосстраха» - это два новых продукта страхования имущества («FreeДом Строение» и «FreeДом Квартира») и программа «Экспресс ГО» по страхованию гражданской ответственности физических лиц. Коробочные продукты «FreeДом Строение» и «FreeДом Квартира» содержат фиксированные условия страхования с возможностью выбора страховой суммы в пределах установленного диапазона, которые обеспечивают страховую защиту имущества без осмотра. Оформление страховки осуществляется без дополнительных письменных заявлений, и цена полиса рассчитывается, исходя из выбранной страховой суммы. Полис «Экспресс ГО» обеспечивает исключительно страхование гражданской ответственности перед третьими лицами, при котором владелец объекта недвижимости самостоятельно выбирает варианты страхового покрытия в рамках фиксированных сумм (например, только страховые случаи, связанные с переоборудованием или перепланировкой квартиры).

Также страховая компания «ГУТА-Страхование» разработала экспресс-полис «Территория «ГУТ», обеспечивающий возможность без письменного заявления страхователя оформить страхование основных загородных строений, вспомогательных построек, объектов ландшафтного дизайна, не относящихся к категории растительных насаждений (малые архитектурные формы, садовые дорожки, бассейны, водопады, фонтаны и пр.), а также гражданскую ответственность перед лицами, проживающими по соседству, возникающую при эксплуатации всего застрахованного имущества.

Страховая группа «УРАЛСИБ» тоже не осталась в стороне, и в конце 2010 года представила два новых продукта по автострахованию - «КАСКО Light» и «КАСКО Super Light». Это упрощенные варианты стандартного полиса КАСКО. С помощью этих продуктов страхователь может оптимизировать расходы по страхованию от 20 до 35%. При этом обе программы позволяют обеспечить достойный уровень страхового покрытия. Программа «КАСКО Light» включает все условия стандартного полиса КАСКО с одной поправкой: по программе необходимо предоставление документов из компетентных органов при наступлении любого страхового случая. Данный продукт не предусматривает выплат по точечным повреждениям лакокрасочного покрытия без повреждения детали, восстановительный ремонт осуществляется на технической станции по направлению страховщика. За счет этого полис «КАСКО Light» в части риска «Ущерб» обойдется страхователю на 20% дешевле обычного полиса КАСКО. В продукте «КАСКО Super Light» также необходимо предоставление документов из компетентных органов при наступлении любого страхового случая. Помимо этого по программе «КАСКО Super Light» введена обязательная франшиза по бамперам и лобовому стеклу (страхованием не покрываются повреждение или уничтожение лобового стекла, облицовки переднего и / или заднего бамперов, включая расположенные на них элементы: молдинги, спойлеры, накладки, эмблемы, решетки, уплотнители, расширители и т.п.). За счет этих условий полис «КАСКО Super Light» в части риска «Ущерб» на 35% дешевле стандартного полиса КАСКО.

Новые страховые продукты не утратили преимуществ обычного полиса КАСКО Страховой группы «УРАЛСИБ»:

. Страховая сумма не уменьшается на сумму произведенных выплат.

. На стоимость страхования не влияет количество лиц, допущенных к управлению.

. Отсутствие ограничений по месту хранения автомобиля.

. Расчет амортизации осуществляется оптимальным для клиента способом исходя из количества дней эксплуатации автомобиля. Приведенные примеры новых страховых продуктов от различных страховых компаний позволяют сделать вывод о том, что данные продукты не являются принципиально новыми на отечественном рынке, а представляют собой уже известный и лишь модифицированный в части составляющих компонентов продукт. Более того, все рассмотренные примеры исходят из того, что бы сократить время на оформление полиса, так называемый экспресс-полис без дополнительных письменных заявлений и осмотра объекта. Таким образом, страховые компании учитывают потребности и желания потребителей получить страховую защиту максимально быстро и на удобных условиях. В то же время, страховщики не затрачивают большого количества денежных средств на продвижение нового продукта, предлагая либо коробочную версию, либо новые составляющие известного и разрекламированного продукта. На мой взгляд, в современных условиях достаточно успешным на отечественном страховом рынке может стать такой страховой продукт как Friendsurance - страхование мини групп (сообществ) за счет взаимопомощи, т.е. продукт взаимного страхования. Данный страховой продукт базируется на принципе создания онлайн - групп страхования и общения людей в социальных сетях в Интернете, а также технологии многоуровневого маркетинга. Новизна продукта заключается в том, что люди самостоятельно создают сообщества, объединяющие близких людей из числа родственников, друзей, коллег и т.д., доверяющих друг другу. Число участников такого мини-сообщества может достигать до 15 человек. Далее такая мини - группа заключает договор со страховой компанией и оплачивает страховые взносы на ежегодной основе. При наступлении страхового случая с одним из членов сообщества, остальные выдают пострадавшему определенную сумму, не превышающем 10-20 евро от каждого участника, для выплаты обговоренной совместно страховой суммы по страховой выплате. В случае не покрытия страховой выплатой суммы ущерба, недостающую часть покрывает страховая компания. Основное преимущество такого страхового продукта - это доверие ко всем членам онлайн сообщества, желание помочь близкому человеку - и уверенность в поддержке близких людей. Также продукт позволяет сэкономить на страховании более 70% от суммы, затрачиваемой по обычным видам страхования (чем больше участников в страховом сообществе, тем экономия больше) и оказать финансовую помощь в более короткие сроки. Кроме того, не менее важно бесплатное членством в страховой социальной сети и доступность (открытость) всей информации, т.к. сообщество находится в постоянной связи друг с другом в страховой социальной сети и в случае возникновения вопросов к страховой компании могут обратиться с коллективным иском.

Сегодня Friendsurance применятся в Германии, где с помощью этого продукта можно застраховать гражданскую ответственность, домашнее имущество и получить судебную страховую защиту. Планируется запустить страхование от несчастных случаев, медицинское и автострахование. Оценивая все преимущества и актуальность Friendsurance, а также потребности страхователей на сегодняшний день, дальнейшее существование и развитие данного проекта видится более чем перспективным. Сегодня не страховые компании определяют продукт и его стоимость, а потребитель выбирает или создает продукт в виде оформления своей потребности и информирует рынок о том, что для него ценно и сколько он готов платить за удовлетворение его потребности.

Таким образом, можно сделать вывод, что создание и внедрение нового страхового продукта технически достаточно сложный процесс, требующих высокого уровня квалификации специалистов страховых компаний и больших материальных затрат. В России в настоящее время страховщики не стремятся к созданию принципиально новых страховых продуктов, поэтому выпущенные за последние несколько лет продукты различных страховых компаний представ - ляют собой модифицированную версию уже имеющихся. Актуальным остается вопрос качества вновь созданных страховых продуктов и необходимости его сертифицирования в соответствии с определенными требованиями.

2.4 Сравнительный анализ систем обязательного медицинского страхования Российской федерации и Федеративной Республики Германии

Организация обязательного медицинского страхования (ОМС) в каждой стране имеет значительную национальную специфику, которая проявляется, в частности, в особенностях финансовых взаимоотношений между субъектами системы ОМС. Такие взаимоотношения оказывают непосредственное влияние на организацию и качество обслуживания застрахованных лиц.

Одни из основных участников системы ОМС и в России, и в Германии - страховые медицинские организации. Именно они непосредственно осуществляют деятельность по созданию страховых продуктов, предоставляемых в рамках обязательного медицинского страхования.

В Российской Федерации страховые медицинские организации представлены акционерными обществами (открытыми или закрытыми) или обществами с ограниченной ответственностью. Подобные организационно-правовые формы традиционно используются для ведения коммерческой деятельности. Однако в РФ в соответствии с п. 6 Положения о страховых медицинских организациях, осуществляющих обязательное медицинское страхование (утв. постановлением СМ РФ от 11 октября 1993 г. №1018, с изменениями от 19 июня 1998 г., 14 ок-тября 2005 г., 1 апреля 2009 г.), страховая медицинская организация обязана осуществлять свою деятельность на некоммерческой основе. Здесь заложено, основное противоречие между организационно-правовой формой хозяйствующего субъекта и принципами, на которых строится его работа. Страховая медицинская организация, имеющая организационно-правовую форму акционерного общества (открытого или закрытого) или общества с ограниченной ответственностью, для получения лицензии на ведение страховой деятельности обязана иметь уставный фонд в размере не менее 30 млн рублей. Эти средства вносятся ее собственниками (акционерами, владельцами долей). Естественным экономическим интересом собственников в данном случае является возврат вложенных средств в виде дивидендов. Если же такая организация должна осуществлять деятельность на некоммерческой основе, она не имеет права распределять полученную прибыль (если таковая образуется по итогам ее деятельности) между своими владельцами. То есть здесь невозможна выплата дивидендов. В связи с этим возникает вопрос: какие мотивы преследуют акционеры (собственники долей) страховых организаций, осуществляя деятельность в сфере обязательного медицинского страхования? Ведь некоммерческая страховая деятельность предполагает, что собственниками страховой организации выступают страхователи, объединившиеся не для получения прибыли, а для обеспечения страховой защиты своих имущественных интересов.

В системе обязательного медицинского страхования Федеративной Республики Германии данное противоречие между основной целью деятельности страховых медицинских организаций системы ОМС и интересами собственников таких организаций, на наш взгляд, отсутствует. Такое мнение складывается на основании следующих фактов. В системе ОМС Германии роль страховых медицинских организаций с момента ее создания в 1883 г. выполняют больничные кассы. Такие страховые организации в ХIХ в. проводили добровольное страхование на случай болезней. Страхователи были членами этих организаций и сообща несли ответственность по страховым обязательствам кассы. Нередко финансовое участие в деятельности таких касс принимали работодатели. Они также могли, наряду с членами касс, участвовать в управлении. При создании системы ОМС кассы, которые хотели приобрести право проведения обязательного страхования, должны были пройти регистрацию, которая подтверждала, что конкретная касса обеспечивает страховую защиту в объеме не меньшем, чем это установлено законом (размер пособия, выплачиваемого в случае болезни, объем предоставляемой медицинской помощи).

Особенности формирования системы ОМС в Германии объясняют тот факт, что в настоящее время здесь существует семь типов касс. Их количество в 1990-е гг. было больше 1000. В результате проведенных реформ число касс сокращалось и в 2009 г. составило 1862. За прошедшие почти 130 лет система ОМС Германии неоднократно реформировалась, но больничные кассы по-прежнему являются ее основным звеном. Что представляют собой эти организации сегодня? Некоторые российские авторы называют их фондами или государственными компаниями медицинского страхования. Другие авторы - как современные, так и проводившие свои исследования в ХХ в. (например, известный российским исследователь В.К. Райхер) - уточняют, что правильнее было бы называть их публично-правовыми организациями. Как публично-правовые эти организации определяются и в учебнике «Страховое дело», переведенном с немецкого языка. В современной российской науке публичное право понимается как совокупность отраслей права, которые регулируют отношения, обеспечивающие общий, совокупный (публичный) интерес, в отличие от отраслей права, направленных на защиту частного интереса (частного права). Для страховщиков, действующих в публично-правовой сфере, государство устанавливает требование обязательного заключения договора с любым лицом, которое обязано в соответствии с законодательством застраховаться в системе ОМС. Закрепление таких требований в нормативно-правовом порядке, а главное их реальное выполнение, обусловлены тем, что государство обеспечивает финансовые гарантии деятельности страховщика. Гаранты в лице государственных организаций несут ответственность за выполнение такими страховщиками страховых обязательств и предоставляют им средства в случае нехватки тех средств, которые поступают в виде страховых взносов.

Таким образом, в Германии в сфере обязательного медицинского страхования государство берет на себя не только законодательные и контролирующие функции - оно также выступает гарантом финансового обеспечения обязательств по ОМС, исполнителями которых являются больничные кассы. То, что эти организации негосударственные, то есть государство не является их собственником и, соответственно, не единолично осуществляет функции по управлению ими, доказывает тот факт, что больничные кассы представляют собой самоуправляемые независимые организации. Еще одно отличие современных систем обязательного медицинского страхования в Германии и России-то, что в ФРГ страховые взносы в данной системе уплачивают не только работодатели (как это имеет место в РФ), но и сами работники. Взнос делится между работником и работодателем пополам. Каждая больничная касса управляется собранием представителей тех, кто является плательщиками взносов. Поэтому 50% участников такого собрания - представители работодателей и 50% - представители наемных работников - членов конкретной кассы. Собрание представителей избирает правление кассы и президента, который, в свою очередь, назначает управляющего кассой. Структура больничных касс определяется централизованно.

В отличие от России, в Германии обязанность заключить договор по ОМС лежит на самом работнике, а не на работодателе. Этот порядок представляется логичным, так как работник может выбрать кассу, с которой он заключает договор, с учетом качества предоставляемых ею услуг. Следует отметить, что от обязанности страховаться в системе ОМС Германии освобождены граждане, чей годовой доход превышает 48600 евро в год. Это еще одно отличие от системы ОМС в РФ. Финансовое состояние кассы зависит от числа застрахованных в ней лиц. Поэтому кассы конкурируют в борьбе за клиентов, и они влияют на результаты этой борьбы, делая выбор той или иной кассы. Размер страхового взноса по ОМС в ФРГ с 1 января 2009 г. устанавливается централизованно. В настоящее время он составляет около 13% от заработной платы. В Германии государство четко устанавливает перечень услуг, который оплачивается за счет средств системы обязательного медицинского страхования. Например, в 2007 г. из списка обязательных услуг были исключены процедуры, необходимость в которых возникала в результате неудавшихся пластических операций или пирсинга. При этом были включены некоторые другие мероприятия. Больничные кассы системы ОМС Германии могут создавать конкурентные преимущества и за счет пакета и качества предоставляемых ими медицинских услуг.

Если застрахованный в больничной кассе хочет получать расширенный по сравнению с программой ОМС объем медицинских и сервисных услуг, он может заключить с ней договор дополнительного медицинского страхования. Медицинские услуги, предоставляемые согласно подобному договору, не дублируют услуги, оказываемые в соответствии с программой ОМС, а лишь дополняют и расширяют их. Речь идет, например, о пребывании в одно- или двухместной палате стационара, о физиотерапевтическом лечении, зубопротезировании, коррекции зрения, страховой защите при выезде за рубеж.

До 2009 г. страховые взносы в системе ОМС Германии поступали непосредственно в больничную кассу, в которой был застрахован работник. С 2009 г. результате реформы изменился порядок финансовых взаимоотношений внутри системы. Взносы теперь перечисляются в централизованный фонд (порядок схож с порядком сбора взносов в РФ). Из этого фонда средства распределяются по больничным кассам на основании централизованно установленных нормативов и числа застрахованных, а также их индивидуальных характеристик (инвалидности, хронических заболеваний). Это позволило сократить расходы больничных касс на ведение дела и достичь экономии таких затрат в системе в целом. Больничные кассы в системе ОМС Германии также могут получать платежи непосредственно от застрахованного лица - в отличие от системы ОМС в РФ. Если расходы на одного больного превысят выделяемую фондом стандартную сумму, больничная касса может потребовать от него уплаты дополнительного взноса, который поступает непосредственно в кассу. Размер такого взноса не должен превышать 1% годового дохода пациента. Правда, дополнительный взнос величиной до 8 евро страховщики вправе взимать вне зависимости от величины дохода гражданина. Кроме того, с 2009 г. на застрахованного возложено больше личной ответственности за собственное здоровье. Регулярные профилактические осмотры с целью предотвращения диабета, гипертонии и рака теперь из права превратились в обязанность. Если выясняется, что пациент, заболевший хроническим недугом, не проходил регулярной профилактики, то максимальный размер дополнительного взноса для него повышается с 1 до 2%. В некоторых публикациях указывается, что в соответствии с реформой в ФРГ больничные кассы могут применять не только финансовые санкции, но и финансовые поощрения. Однако не разъясняется, в каких конкретно Действиях это может выражаться. Представляется, что подобные права касс важны не только для поддержания их финансовой устойчивости, но и для материального стимулирования у застрахованных лиц ответственного отношения к своему здоровью.

В Российской Федерации подобной системы стимулирования не существует. Из описанных выше особенностей взаимоотношений застрахованных и больничных касс последние можно определить, по нашему мнению, как организации взаимного страхования. Они являются самоуправляемыми организациями; их руководящие органы формируются на основе выборов, проходящих на собрании представителей плательщиков страховых взносов (т.е. застрахованных работников и работодателей). Финансовые средства касс формируются в значительной степени за счет страховых взносов их членов. Кассы могут взимать дополнительные средства с тех, кто допускает увеличение числа страховых случаев, и предоставлять льготы тем, кто не допускает наступления страховых случаев (не получает страхового возмещения в виде оказания медицинских услуг). В результате включения больничных касс ФРГ в публично-правовую сферу государства произошла трансформация некоторых признаков, свойственных взаимному страхованию. В частности, солидарное несение членами кассы субсидиарной ответственности по ее страховым обязательствам ограничено на основании решений, принимаемых на государственном уровне. Также трансформировался порядок сбора страховых взносов и их распределения между больничными кассами. Данная трансформация связана с тем, что государство принимает на себя дополнительные обязанности по отношению к финансовому состоянию касс в связи с возложением на них обязанности страховать любого обратившегося гражданина страны на условиях, устанавливаемых централизованно. Однако эти особенности не искажают основных принципов взаимного страхования, таких как управление кассой сообществом плательщиков взносов (или их представителями); обязательное членство застрахованного в больничной кассе; страховые взносы членов кассы как основной источник ее финансовых средств; некоммерческий характер деятельности.

Системы ОМС Германии и России имеют кроме отмеченных выше немало других отличий. Но представляется, что одно из главных состоит именно в том, что в Германии основу данной системы составляют публично-правовые организации, базирующиеся на принципах взаимного страхования, более адекватных некоммерческому характеру их деятельности.



Заключение

Подводя вывод, можно уверенно сказать, что рынок страхования России - активно развивающаяся и при этом достаточно стабильная отрасль. По мере развития экономики страны, с ростом благосостояния граждан, оборотов предприятий и общей имущественной базы потребность в страховании и платежеспособный спрос на него растут и будут только расти. Рынок обеспечен всеми условиями для более чем 10%-ных ежегодных темпов прироста в ближайшие несколько лет. Перспективность рынка при-водит к конкурентной борьбе, в результате которой происходит постепенная консолидация рынка в руках крупных страховых компаний, и данная тенденция продолжится. Сотрудничество с иностранными страховщиками дает российскому рынку дополнительные стимулы для развития, создание единого страхового поля значительно стабилизирует как отрасль, так и всю экономику России.

В мировой экономической практике страхование играет значительную роль при страховании грузоперевозок, а также при проведении операций на валютных и фондовых биржах. Страхование морских грузоперевозок является одной из самых первых форм страхования.

Международное страхование осуществляется крупными страховыми организациями. Обычно такое страхование осуществляется на основании договора сострахования, при котором сразу несколько страховых компаний участвуют в страховании одного риска в пропорциях, оговоренных в договоре. Страхование фондовых сделок призвано снизить возникающие при их осуществлении риски, а также предотвратить возможные негативные последствия резкого изменения котировок на них. Страхование в зарубежных странах представляет собой часть международного страхового рынка. Вместе с тем оно является важным сектором национальных экономик, обеспечивая перераспределение 8-12% валового национального продукта. Аккумулируемые через страхование денежные средства служат источником крупных инвестиций. Финансовые потоки страховых компаний в значительной мере ориентированы на обслуживание государственного внутреннего долга. Государственное регулирование страховой деятельности за рубежом в основном направлено на контроль за финансовой стороной работы страховых компаний.

Американский страховой бизнес отличается огромным размахом и не имеет себе равных в мире. Американские страховые монополии контролируют пример-но 50% всего страхового рынка индустриально развитых стран мира. В США работает свыше 8 тыс. компаний имущественного страхования и около 2 тыс. компаний по страхованию жизни. В США имеются два типа страховых компаний: акционерные общества и общества взаимного страхования. Государственных страховых фирм не существует. Акции акционерных обществ может приобрести как физическое, так и юридическое лицо. Исторически же в США страховые компании в основном были компаниями взаимного страхования, по размеру они традиционно меньше акционерных обществ.

Страховые компании осуществляют три типа страхования:

) бекифиты (страхование жизни и здоровья, медицинское, пенсии, сберегательное и т.д.);

) коммерческое (широкий спектр);

) личное (подразумевается страхование строений, автомобилей и другого имущества граждан).

Страховой бизнес Великобритании на протяжении многих лет концентрируется в Лондоне как мировом финансовом центре. Крупнейший Лондонский международный страховой рынок обслуживает финансовые потоки ряда стран и компаний. Институциональная структура страхового рынка Великобритании представлена акционерными обществами, которые принадлежат их собственникам - акционерам; обществами взаимного страхования, которые принадлежат их страхователям; дружескими обществами; отделениями и представительствами иностранных страховых компаний. Страховой рынок Германии характеризуется динамичным развитием. Страховое дело в Германии разделено между системой государственного социального обеспечения и частным сектором страховых услуг.


Список использованной литературы

1. Федеральный закон от 8 декабря 2003 №164-ФЗ «Об основах государственного регулировании внешнеторговой деятельности» (в последней ред. ФЗ от 02.02.2006 №19-ФЗ) // Собрание законодательства РФ. 15.12.2003. №50. ст. 4850.

. Абалкин Л.И., Аболихина Г.Л., Адибеков М.Г. Лизинговые, факторинговые, форфейтинговые операции банков. - М.: «ДеКА», 2010. - 167 с.

. Буглай В.Б., Ливенцев Н.Н. Международные страховые отношения. - М.: «Финансы и статистика», 2009. - 432 с.

. Бунько В.А. Внешнеэкономическая деятельность предприятия. - СПб.: МЦЭНТ, 2008. - 268 с.

. Гольберц М.А., Воронова А.В., Международная торговля: финансовые операции, страхование и другие услуги. - Киев: Торгово-издательское бюро ВНV, 2009. - 480 с.

. Головин А., Ивлев В., Попова Т. Технология международных факторинговых операций // Банковские технологии. - 2009. - №3. - С. 31-32.

. Ивлев В., Попова Т. Международные страховые организации // Банковские технологии. - 2012. - №10. - С. 6-7.

. Красавина Л.П. Внешнеэкономическая деятельность предприятия. - М.: Финансы и статистика, 2012. - 592 с.

. Лаврушин О.И. Деньги. Кредит. Банки. - М.: Финансы и статистика, 2010. - 158 с.

. Лапуста М.Г., Никольский П.С. Внешнеэкономическая деятельность предприятия. - М.: ИНФРА-М, 2009. - 262 с.

. Орловский Э.И. Основы внешнеэкономических связей в РФ: учеб. пособие. - СПБ.: Изд-во Михайлова В.А., 2008. - 264 с.

. Рыбалкин В.Е. Международные экономические отношения, учебник. - М., 2008. - 236 с.

. Супрунович Б.П. Международные экономические отношения. Учебное пособие. - М., 2009. - 216 с.

. Фомишин С.В. Международные экономические отношения. Учебное пособие. Киев.: 2009 - 156 с.

. Терещенко С. Регулирование международных торговых сделок // Финансовая консультация. - 2010. - №23. - С. 25-26.

. Авдокушин Е.Ф. Планирование внешнеэкономической деятельности предприятия. - М., 2008. - 326 с.

. Портал страховой компании «ГУТА-Страхование». [Электронный ресурс]. - Режим доступа: www.gutains.ru - Загл.с экрана. 18. Портал страховой компании «Ингосстрах». [Электронный ресурс]. - Режим доступа: www.ingos.ru - Загл.с экрана.

. Портал страховой компании «РЕСО-Гарантия». [Электронный ресурс]. - Режим доступа: www.reso.ru - Загл.с экрана.

. Портал страховой компании «УРАЛСИБ». [Электронный ресурс]. - Режим доступа: www.uralsibins.ru - Загл.с экрана.

азмещено на Allbest.ru

Похожие работы на - Международные страховые операции

 

Не нашли материал для своей работы?
Поможем написать уникальную работу
Без плагиата!
Без нейросетей!