Антикризисное управление в коммерческих банках

  • Вид работы:
    Курсовая работа (т)
  • Предмет:
    Банковское дело
  • Язык:
    Русский
    ,
    Формат файла:
    MS Word
    2,27 Мб
  • Опубликовано:
    2015-02-14
Вы можете узнать стоимость помощи в написании студенческой работы.
Помощь в написании работы, которую точно примут!

Антикризисное управление в коммерческих банках

Содержание

Введение

Глава 1. Антикризисный менеджмент: его методы и инструменты

1.1 Сущность банковского антикризисного менеджмента

1.2 Методы превентивного антикризисного управления

1.3 Инструменты антикризисного управления в банковском секторе

Глава 2. Анализ деятельности ОАО «Бакай БАНК», антикризисный подход

.1 Организационное устройство коммерческого банка

2.2 Анализ ликвидности и платежеспособности ОАО «Бакай банк

2.3 Необходимость антикризисного подхода в « Бакай банк

Глава 3.Пути совершенствования антикризисного управления

.1 Проблемы антикризисного управления

.2 Механизм совершенствования управления

Заключение

Список использованной литературы

антикризисное управление банк ликвидность

Введение

Выбранная мной тема «Антикризисное управление в коммерческих банках» является актуальным. Необходимость его изучения обусловлена рядом причин. Антикризисное управление коммерческими банками смягчает банковские риски и предотвращает возможность возникновения финансовых кризисов, что способствует успешному развитию банковского бизнеса и обеспечению в течение длительного периода времени его конкурентного преимущества. Во-первых, в экономической науке проблема использования кризиса для эффективного управления кредитной впервые переходит на такие условия развития, когда коммерческие банки функционируют на основе частной собственности и управление кредитной организацией во многом зависит от усилий самой организации.

Во-вторых, в настоящее время в нашей банковской системе происходят преобразования, в частности: активно внедряются международные стандарты учета, повышаются требования к уровню капитализации и качеству капитала.

В-третьих, современная мировая экономическая среда, в которой функционируют все хозяйствующие субъекты, включая банки, характеризуется: финансовой глобализацией, интернационализацией хозяйственных связей между поставщиками и потребителями продуктов и услуг ростом нестабильности в финансово-банковской сфере . Расширение сферы деятельности финансовых институтов меняет конъюнктуру национального рынка, усиливает конкуренцию между участниками рыночных отношений, увеличивает риски финансовых кризисов, банкротств.

Степень разработанности проблемы. Теоретическое обоснование необходимости государственного регулирования рыночной экономики на основе рыночного ценообразования и конкуренции, а также государственного вмешательства в воспроизводственные процессы в целом и деятельности банков, в частности, содержатся в трудах зарубежных и отечественных ученых. Наиболее весомый вклад в этой области в зарубежной экономической литературе внесли Дж.М.Кейнс, К. Кэмпбелл, Р. Кэмпбелл, К.Р. Макконнелл, К.Маркс, П.Самуэльсон, Дж.Синки, М.Фридмен, С. Фишер и Л.Харрис.

Также проблемы антикризисного регулирования нашли отражение в трудах таких ученых, как: Ф. Валенсия[F. Valencia], Л. Левен [L.Laeven], Дж. Каруана [J. Caruana], Х. Фрейхас [X. Freixas] и др.

Среди российских ученых, внесших наибольших вклад в развитие теории регулирования банковской деятельности и экономики в целом, следует отметить Алпатову Э.С., Андрюшина С.А., Беляева М.К., Гейвандова Я.А., Тихонкова К.С., Фетисова Г.Г..

Цель данной курсовой работы - изучить причины возникновения и формы проявления современных банковских кризисов, возможность их минимизации, как профилактики банкротства.

Для достижения указанной цели сформулированы следующие задачи:

. выделить основные инструменты и методы антикризисного регулирования банковской деятельности

. выявить тенденции развития антикризисного регулирования банком на современном этапе;

. выработать направления совершенствования антикризисного регулирования коммерческих банков;

Объектом является банковская деятельность в сфере управления антикризисной ситуацией.

Предметом изучения антикризисного управления коммерческих банков являются инструменты, методы антикризисных процедур, применяемых в отношении кредитных организаций.

Структура работы состоит из: введения, трех глав, заключения, списка литературы.

1. Глава Антикризисный менеджмент: его методы и инструменты

 

1.1 Сущность банковского антикризисного менеджмента

 

Банковский кризис можно определить, как неспособность банковской системы выполнять свои основные функции аккумуляции и мобилизации временно свободных денежных средств, предоставления кредитов, проведения расчетов и платежей в экономике страны. Кризисная ситуация в банке характеризуется резким увеличением доли сомнительной и безнадежной задолженности в кредитных портфелях банков, ростом их убытков в связи с переоценкой непокрытых рыночных позиций, уменьшением реальной стоимости банковских активов. Все это ведет к массовому ухудшению платежеспособности банков и отражает неспособность банковской системы осуществлять эффективное распределение финансовых ресурсов.


Плохое управление и (или) негативные внешние факторы могут привести к кризису банка, который становится явным, когда существующие резервы и капитальная база не могут покрыть все убытки.

Развитие каждой банковской системы необратимо сталкивается с проблемой выхода их кризисного состояния. Задачей антикризисного менеджмента является минимизировать негативный эффект воздействия кризиса на социально-экономический объект управления, а также максимизировать его полезный результат.

Особое значение в организации кризис-менеджмента является диагностика кризиса. Основными задачами процесса диагностики кризисных ситуаций и состояния банкротства являются анализ финансового состояния банка и его прогноз на предстоящий период, своевременное обнаружение причин и основных факторов, способствующих развитию кризисных ситуаций, мониторинг внешней и внутренней среды банка и прогноз ее развития.

В целях своевременной диагностики банковского кризиса, прежде всего, осуществляется мониторинг внешних и внутренних условий деятельности банка (выявление, анализ и прогнозирование). С этой целью осуществляются сбор и обработка информации, формирование и накопление баз данных, анализ информации, оценка факторов кризиса. При этом необходимо уделить особое внимание быстроте, полноте, корректности проведенной работы.

Одним из наиболее эффективных анализов считается SWOT-анализ, SWOT- это аббревиатура: strengthens (достоинства), weaknesses (недостатки), opportunities (возможность), threats (угрозы).(рис.1)

    


Существенную роль в повышении предупреждения кризисных ситуаций могло бы сыграть создание, как, например, в США, открытой информационной базы данных на основе Унифицированного отчета о деятельности банков (Uniform Bank Performance Report).

Отличительной особенностью банковских кризисов является стремительный характер их развития после возникновения и выявления их симптомов. Открытая фаза кризиса протекает в банке, как правило, очень быстро. Поэтому это требует быстрого принятия необходимых управленческих решений и мер по стабилизации неустойчивой ситуации. В связи с этим антикризисное управление включает в себя подготовительную работу, профилактическую деятельность и управление в условиях кризиса. Первые

два вида деятельности должны осуществляться на постоянной основе.

Среди подготовительных мер по предупреждению кризиса рекомендуется составление планов по антикризисному управлению. Это предполагает разработку и использование в повседневной практике банковской деятельности специального документа (пакета документов), называемого «Политика (план) банка по выходу из кризиса в случае его возникновения». Целью его разработки являются определение проблем, которые с учетом специфики бизнес-процессов и существующих внутренних взаимосвязей способны привести к развитию кризиса; моделирование кризисных ситуаций и разработка примерных сценариев антикризисного управления для наиболее вероятных случаев возникновения кризисов; выработка критериев для введения антикризисного управления, также разработка комплекса мероприятий по решению возникшей проблемы и установлению порядка контроля над их проведением.

Наличие плана по антикризисному управлению позволит ускорить и упростить принятие необходимых управленческих решений, сократить возможные альтернативные действия и обеспечить их последовательность.

В мировой банковской практике разработка и использование планов по антикризисному управлению уже получили достаточное распространение и учитываются при оценке качества банковского менеджмента в целом.

Хотя планирование антикризисных процедур не только повышает эффективность управления в период кризиса, но и способно не допустить его развития.

Необходимость планирования антикризисных процедур в современных условиях признается не только на микро-, но и на макроуровне.

Для того, чтобы стимулировать бескризисную работу каждого банка, государство должно создать не только систему эффективного регулирования и надзора, но разработать и обнародовать четкую стратегию преодоления кризиса, ее основные принципы. Разработка стратегии выхода из кризиса позволит заранее определить обязанности и создать механизм согласования политики и действий всех государственных ведомств, занимающихся управлением финансового сектора. Îòñóòñòâèå òàêîé ñòðàòåãèè ìîæåò ïðèâåñòè ê çàïîçäàíèþ ñ ïðèíÿòèåì àíòèêðèçèñíûõ ìåð, ê òîìó, ÷òî áàíêè äëÿ ñâîåãî ñïàñåíèÿ áóäóò ïðèíèìàòü ðèñêîâàííûå äåéñòâèÿ.

1.2 Методы превентивного антикризисного управления

Антикризисное управление в банке должно иметь место не только тогда, когда кризис уже наступил (в этом случае оно окажется скорее всего запоздалым), а начинаться и продолжаться с первых дней его существования, постоянно и всегда.

Для этого должны профессионально и результативно применяться методы превентивного (упреждающего) антикризисного управления.  Оно включает в себя следующие методы:

) Антикризисный мониторинг. На постоянной основе внешней и внутренней среды объекта с целью раннего обнаружения формирующихся угроз кризиса.

) Анализ внутренней подверженности (уязвимости) объекта кризису с выделением при возможности соответствующих индикаторов.

Обычно в качестве последних применительно к конкретному банку выделяют такие:

специализированный подразделения банка не способны действовать сообща и видеть складывающуюся ситуацию и положение банка в целом;

служащие банка склонны уделять больше внимания внутренней обстановке в организации, чем внешней среде, при этом соперничество с внутренними конкурентами доминирует над внешними;

нежелание или неспособность банка проводить изменения;

неспособность банка адекватно воспринимать и осознавать сигналы из внешней среды;

готовность нарушать правила ради краткосрочных выгод.

информирование коллег о кризисных ситуациях;

наличие адекватной формальной структуры организации безопасности банка;

комплексный, письменно зафиксированный и утвержденный набор норм и правил, ориентированных на решение проблем, связанных с безопасностью, которые определяют действия сотрудников и развивают культуру безопасности в банке;развитие у служащих банка адекватных убеждений, составляющих корпоративное отношение к безопасности;

делегирование права принятия решений по определенному вопросу на самый нижний уровень организации, который обладает необходимыми навыками и компетентностью;

обеспечение системы сдерживания и противовесов внутри банка;ответственность каждого сотрудника за каждую проблему;

тренинг персонала для отработки действий в кризисных ситуациях и формирования навыков и культуры обеспечения безопасности;использование узкопрофильных специалистов при одновременном обеспечении контроля за их работой при помощи специалистов более широкого профиля.

Реализация данных статегий поможет максимально повысить осознание служащими банка проблем безопасности и предотвратить кризисные ситуации.

Внутренний анализ и контроль. В структуре коммерческого банка желательно (для крупного банка обязательно) иметь, во-первых, отделы (группы), которые занимались бы анализом кредитного портфеля, уровня ликвидности, других показателей деятельности и финансовой устойчивости банка, включая маркетинговый анализ и стратегическое планирование. Во-вторых, отдел внутреннего аудита, призванный выполнять контрольно-аналитические функции.

Основная задача механизма контроля рисков - сформировать систему выявления и оценки рисков, также определить основные модели поведения для обеспечения их минимизации. Механизм контроля рисков чаще всего получает практическое воплощение в нескольких составляющих: в организационной структуре, в виде инструкций. К которыми должны руководствоваться все сотрудники банка в своей работе, в виде материальной инфраструктуры.


При проведении внутреннего анализа необходимо исходить из того, что одним из основных условий стабильности работы банка является такой подбор клиентов и деловых партнеров, чтобы не допустить вовлечения банка в незаконные операции, в частности в отмывание незаконно или преступно нажитых денег.

Антикризисное планирование. Открытая фаза развития кризиса в банке, как правило, протекает очень быстро, и в это время происходят существенные изменения почти по всем направлениям деятельности банка.

Одни мероприятия не влияют друг на друга, но другие - очень тесно связаны между собой, хотя и имеют различные последствия для деятельности банка. Если условия, последствия, механизм и последовательность реализации антикризисных мер не будут определены заранее, то результативность работы будет сильно зависеть от случайного стечения обстоятельств, резко возрастет вероятность появления серьезных просчетов в управлении.

Чтобы этого избежать, в рамках подготовительных антикризисных мер должен быть составлен документ или пакет документов, содержащих план (планы) антикризисного управления. План действий в чрезвычайных ситуациях может быть как общим, так и ориентированным на конкретную ситуацию.

В плане действий, рассчитанным на чрезвычайные ситуации, должно содержаться описание возможных сценариев развития событий при наступлении непредвиденных обстоятельств и излагаться все необходимые аспекты работы банка с целью преодоления кризисной ситуации, а также регламентироваться деятельность всех его подразделений по части предупредительных и профилактических мероприятий.

По принятым во всем мире стандартам система защиты банков должна предусматривать три элемента:


1.3Инструменты антикризисного управления в банковском секторе

 

В условиях банковского кризиса основные действующие лица государство, вкладчики, кредиторы и владельцы банков пытаются переложить друг на друга бремя расходов по спасению банковской системы. Тем не менее в силу особого значения банковской сферы для экономики государство просто не может оставаться в стороне и вынуждено использовать свои ресурсы для проведения антикризисных мероприятий. При этом применяется широкий арсенал инструментов по оздоровлению банковского сектора, который можно подразделить на три категории: финансовые, операционные и структурные.

Финансовые инструменты предназначены для решения насущных проблем и в основном заключаются в финансовой поддержке банков. Операционные инструменты акцентируют внимание на управлении и эффективности банка, а структурные призваны решать проблемы на уровне банковского сектора, занимаясь восстановлением или внедрением принципов конкуренции и надежности.

Применение финансовых инструментов характерно для системного кризиса, когда властям приходится решать проблемы ликвидности. Действия органов регулирования направлены на улучшение качества банковских активов, урегулирование обязательств, прямое увеличение капитала, то есть на улучшение баланса банка и восстановление его платежеспособности.

На начальной стадии кризиса обычной является поддержка проблемных банков центральным. Выступая в роли кредитора последней инстанции, центральный банк предоставляет банкам помощь при возникновении проблем ликвидности. Такая поддержка сводится обычно к выдаче кредитов временно неликвидным, но платежеспособным банкам, причем кредиты должны быть полностью обеспечены и стоить дороже, чем на рынке. Однако при системных проблемах трудно различить неликвидные и неплатежеспособные банки. Согласно проведенному в МВФ исследованию, оптимальная политика центрального банка должна сводится к предоставлению средств (для спасения банков) при ухудшении макроэкономической ситуации, помощь должна предоставляться систематически либо всем банкам, либо никому. Взимание штрафных ставок с кредитов может, с одной стороны, стимулировать скорейший возврат средств, с другой заставить банк рискнуть: все или ничего, если ставка слишком высока

Для предотвращения массового оттока депозитов и паники государство может заявить о предоставлении гарантий, как для всего банка и по всем обязательствам, так и по целевым группам кредиторов. Гарантии могут относиться к мелким или ко всем вкладчикам, возможны гарантии по обязательствам в иностранной валюте. Предоставление гарантий может нести моральные риски (риски безответственного поведения управляющих), так как, рассчитывая на помощь со стороны, менеджеры способны решиться на рискованные действия. Этого можно избежать, внедрив контроль над банками, получившими гарантии.

Гарантий может оказаться недостаточно для предотвращения оттока депозитов. В условиях экономической нестабильности требуется наглядная демонстрация усилий государства по разрешению проблем, вызвавших кризис.

Для улучшения баланса банка могут быть использованы облигационные инструменты, обычно в комбинации с другими, например, в качестве замены для плохих активов (могут быть использованы необращающиеся облигации, что снижает возможность злоупотреблений). Таким образом, активы улучшаются в качестве, растут текущие доходы банков, так как по облигациям выплачиваются проценты.

Государство, помогая слабому банку, может перевести в него свои депозиты. В то же время снятие средств с депозитов в сильных банках для перевода их слабым может, в свою очередь, вылиться в неприятности для банков, из которых эти депозиты выводят. Государство может приобрести субординированные долги (банковские облигации, привилегированные акции) или передать денежные средства банку в обмен на права владения, осуществив капитализацию банка. Приобретение капитала имеет преимущества, так как предоставляет право на получение доходов при восстановлении прибыльности банка или при продаже доли государства. С другой стороны, активное выполнение функций владельца может быть политически нежелательно.

Недостатки управления практически всегда являются одной из основных причин банковских проблем, поэтому замена руководства это наиболее важная немедленная мера для восстановления доверия. Инструменты, применяемые при слабом руководстве в банке, называют операционными. К ним относят: улучшение оценки кредитов, ценообразования на банковские услуги, управления рисками, рационализацию внутренних процедур, включая внутренний контроль. Все вместе это способствует улучшению структуры управления банком. Операционная реструктуризация ведет к улучшению отношений между руководством и владельцами, а в случае с банками, принадлежащими государству, установлению системы сдержек и противовесов через активное использование властями прав собственника.

Среди дополнительных мер следует также назвать контроль за трудовыми договорами с оплатой по результатам, снижение заработков менеджеров, понижение в должности старших менеджеров.

Одним из центральных аспектов операционной реструктуризации является фокусирование внимания банка на основном бизнесе. Это может включать закрытие или сокращение неприбыльных предприятий и филиалов в стране и за границей, отказ от параллельных направлений бизнеса, другие меры по усилению конкурентных преимуществ банка.

Твиннинг (соединение) представляет собой соглашение с надежным иностранным банком об операционной реструктуризации. Соглашения о Твиннинге использовались в странах с переходной эконом икой в надежде на последующие вложения в капитал банка-партнера.

Структурные инструменты направлены на разрешение причин, лежащих в основе кризиса на уровне финансового сектора, фокусируют внимание на обеспечении честной конкуренции и общей надежности системы. Проблемы могут быть связаны со слишком жесткой или мягкой политикой лицензирования, конкурентным дисбалансом между государственными и частными банками.

Ликвидация несостоятельного банка является структурным инструментом в работе органов регулирования. Несостоятельные банки работают без должной мотивации и, соответственно, приумножают проблемы. В отсутствие прибыли менеджеры и владельцы могут пойти на махинации. Поэтому строгое регулирование закрытия банков повышает их заинтересованность в сотрудничестве.

Отзыв лицензии в разгар паники на начальном этапе кризиса может привести к ее усилению, массовому изъятию депозитов, бегству от национальной валюты и оттоку капиталов. Кроме того, принятие решения о спасении одного банка и закрытии другого обязательно вызовет нарекания в предвзятости и дискриминации. Возможным решением проблемы может стать подход, основанный на изучении прошлой деятельности банка, когда кредитный институт, столкнувшийся с проблемами впервые, может быть спасен. Помощь можно предоставлять тем банкам, которые разработали жизнеспособные планы по спасению.

Слияния могут оказаться эффективным инструментом для улучшения работы банка, особенно в странах с повышенным уровнем сегментации рынка, что может быть отражением излишне фрагментированного банковского законодательства. Упрощение законодательства и отмена специальных правил ускорит добровольные слияния. С точки зрения рыночных перспектив повышение эффективности (экономия на масштабе) является важной предпосылкой удачного слияния.

Экономия может быть достигнута при объединении банков с разными конкурентными преимуществами. Однако гармонизация различных корпоративных культур, особенно при слиянии частного и государственного банков, банков из разных стран, преодоление технических проблем (разные управленческие процедуры, электронные системы) связаны с высокими издержками, которые должны быть покрыты выгодами от объединения.

Слияние может быть мотивировано необходимостью избежать закрытия банка. В этом случае возможно насильственное слияние, например, когда власти обязывают банк, принадлежащий государству, принять активы и обязательства проблемного частного или государственного банка. Такие слияния могут и ослабить более сильный банк.

Неэффективные государственные банки часто становятся причиной системных проблем в банковском секторе. Интересно, что во время кризиса в эти банки приходят вклады населения, так как предполагается их полная гарантия государством. Если проблемы возникают в таких банках, то стратегия реструктуризации порой включает приватизацию. Она может быть инициирована и как составная часть мероприятий по отмене привилегий государственных банков. Это позволит выровнять конкурентные позиции и улучшит деловую среду для всей банковской сферы.

 

Глава 2. Анализ деятельности ОАО «Бакай банк» антикризисный подход

2.1 Организационное устройство коммерческого банка

 

"Бакай Банк" осуществляет свою деятельность в форме акционерного общества открытого типа. Деятельность банка осуществляется в соответствии с требованиями закона "О банках и банковской деятельности в КР", соответствующих нормативных и инструктивных документов, утвержденных НБ КР, решением Совета банка, Правления банка и Кредитным комитетом.

Открытое акционерное общество "Бакай Банк" прошло регистрацию в Министерстве юстиций Кыргызской Республики 18 ноября 1998 года и действует на основании лицензии НБКР № 043 от 28 декабря 1998 года.

Высшим органом управления банка является Собрание акционеров, которое избирает Совет банка и его председателя.

Исполнительным органом является Правление банка, во главе с председателем избираемым Собранием акционеров. Штат банка состоит из более 300 сотрудников. Каждое структурное подразделение курируется Председателем банка и его заместителями. Общий контроль за работой банка осуществляется Председателем Правления.

В данное время более 50 сберкасс и филиалов ОАО "Бакай Банк" предоставляют качественные, быстрые и удобные финансовые услуги во всех регионах Кыргызстана.

Основными видами деятельности Банка являются привлечение депозитов, открытие и ведение счетов клиентов, предоставление кредитов и гарантий, осуществление расчетно-кассового обслуживания, проведение операций с ценными бумагами и иностранной валютой.

Деятельность Банка регулируется Национальным банком Кыргызской Республики (далее, «НБКР»). Банк имеет генеральную лицензию на осуществление банковской деятельности и является членом Государственной системы страхования депозитов в Кыргызской Республике.

Банк осуществляет свою деятельность преимущественно на территории Кыргызстана.

Вследствие этого, Банк подвержен экономическим и финансовым рискам на рынках Кыргызстана, которые проявляют характерные особенности, присущие развивающимся рынкам. Нормативно-правовая база и налоговое законодательство продолжают совершенствоваться, но допускают возможность разных толкований и подвержены часто вносимым изменениям, которые в совокупности с другими недостатками правовой и фискальной систем создают дополнительные трудности для банков, осуществляющих свою деятельность в Кыргызстане.

Политика Банка по управлению рисками нацелена на определение, оценку, контроль, анализ, мониторинг и превентивные меры, необходимые для снижения рисков, которым подвержен Банк, установление лимитов рисков, а также на постоянную оценку уровня

рисков и их соответствия установленным лимитам. Политика и процедуры по управлению рисками пересматриваются на регулярной основе с целью отражения изменений рыночной ситуации, предлагаемых банковских продуктов и услуг и нормативных требований.

Совет директоров Банка несет ответственность за общую систему контроля по управлению рисками, за управление ключевыми рисками и одобрение политик и процедур по управлению рисками, а также за одобрение крупных сделок.

 

2.2 Анализ ликвидности и платежеспособности ОАО "Бакай банк"

 

Задача анализа ликвидности баланса возникает в связи с необходимостью давать оценку платежеспособности организации, то есть ее способности своевременно и полностью рассчитываться по всем своим обязательствам.

Анализ ликвидности баланса заключается в сравнении средств по активу, сгруппированных по степени их ликвидности и расположенных в порядке убывания ликвидности, с обязательствами по пассиву, сгруппированными по срокам их погашения и расположенными в порядке возрастания сроков.

Банк поддерживает необходимый уровень ликвидности с целью обеспечения постоянного наличия денежных средств, необходимых для выполнения всех обязательств по мере наступления сроков их погашения. Политика по управлению ликвидностью рассматривается и утверждается Правлением и Советом директоров. Банк стремится активно поддерживать диверсифицированную и стабильную структуру источников финансирования, состоящих из выпущенных долговых ценных бумаг, долгосрочных и краткосрочных кредитов других банков, депозитов основных корпоративных клиентов и физических лиц, а также диверсифицированный портфель высоколиквидных активов для того, чтобы Банк был способен оперативно и без резких колебаний реагировать на непредвиденные требования в отношении ликвидности.

Политика по управлению ликвидностью состоит из:

прогнозирования потоков денежных средств в разрезе основных валют и расчета

связанного с данными потоками денежных средств необходимого уровня ликвидных активов;

поддержания диверсифицированной структуры источников финансирования;

управления концентрацией и структурой заемных средств; разработки планов по привлечению финансирования за счет заемных средств;

поддержания портфеля высоколиквидных активов, который можно свободно

реализовать в качестве защитной меры в случае разрыва кассовой ликвидности;

разработки резервных планов по поддержанию ликвидности и заданного уровня финансирования;

осуществления контроля за соответствием показателей ликвидности законодательно установленным нормативам.

Казначейство получает от подразделений информацию о структуре ликвидности их финансовых активов и обязательств и о прогнозировании потоков денежных средств, ожидаемых от планируемого в будущем бизнеса. Затем Казначейство формирует соответствующий портфель краткосрочных ликвидных активов, состоящий в основном из краткосрочных ликвидных ценных бумаг, предназначенных для торговли, кредитов и

Казначейство ежедневно проводит мониторинг позиции по ликвидности и на регулярной основе проводит «стресс-тесты» с учетом разнообразных возможных сценариев состояния рынка как в нормальных, так и в неблагоприятных условиях. В нормальных рыночных условиях отчеты о состоянии ликвидности предоставляются высшему руководству еженедельно.

Итого активов всего

 

Величина депозитов с разбивкой по срокам представлена следующим образом:

менее 3 месяцев: 894,870 тысяч сом (в 2012 году: 746,613 тысяч сом);

от 3 до 12 месяцев: 2,362,049 тысяч сом (в 2012 году: 1,418,002 тысячи сом);

более 1 года: 314,645 тысяч сом (в 2012 году: 431,495 тысяч сом).

Банк рассчитывает на ежедневной основе обязательный норматив ликвидности (K3) в соответствии с требованиями НБКР. Норматив ликвидности рассчитывается как отношение величины еженедельных высоколиквидных активов к средней сумме еженедельных

обязательств к уплате, и не может быть ниже 30%.

В течение двух лет, закончившихся 31 декабря 2013 и 2012 годов, нормативы ликвидности Банка соответствуют установленному законодательством уровню. По состоянию на 31 декабря 2013 года норматив ликвидности К3 составлял 54.25% (в 2012 году: 76.3%). В 2012 году норматив ликвидности был высокий, чем в прошедшем.

.3Необходимость антикризисного подхода в « Бакай банк»

Итак видно реальное состояние финансового положения коммерческой структуры. Предприятие ОАО «Бакай банк » является платежеспособным коммерчеким банком.

Платежеспособность показывает, краткосрочные платежи оплачиваются вовремя. Финансовая устойчивость можно охарактеризовать как хорошую.

Финансовое состояние стабильное. Это свидетельствует об относительно эффективном антикризисном управлении.

У данного коммерческого банка цель этапа финансовой стабилизации считается достигнутой, т.е. объем поступления денежных средств превысил объем неотложных финансовых обязательств в краткосрочном периоде.

Современная экономическая действительность заставляет руководителей коммерческих организаций постоянно принимать решения в условиях неопределенности. В условиях финансовой и политической нестабильности коммерческая деятельность чревата различными кризисными ситуациями, результатом которых может стать несостоятельность или банкротство.

Антикризисное управление должно существовать во всех банках Антикризисное управление состоит не только в нейтрализации и преодолении кризисов, но и в профилактике возможности появления кризисных ситуаций.

Платежеспособность предприятия является достаточной, значит особого повода, для беспокойства нет, но необходимо проводить профилактические работы .

Для улучшения финансового состояния можно предложить следующие антикризисные предложения:


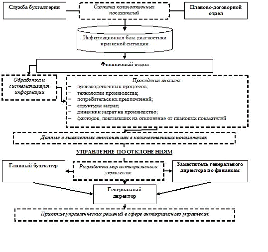
Организация системы антикризисного управления финансами на данном представлена на рис. 3.


Страхование предполагает передачу ответственности за возмещение предполагаемого ущерба сторонней организации (страховой компании). Примерами других инструментов могут быть:

отказ от чрезмерно рисковой деятельности (метод отказа),

профилактика или диверсификация (метод снижения),

аутсорсинг затратных рисковых функций (метод передачи),

формирование резервов или запасов (метод принятия).

3. Глава Пути совершенствования антикризисного управления

3.1 Проблемы антикризисного управления

Проблемы антикризисного управления можно разделить на четыре группы:


Первая группа включает проблемы распознавания предкризисных ситуаций и их диагностики. Это непростое дело - своевременно увидеть наступление кризиса, обнаружить его первые признаки, понять характер. От этого зависит предотвращение кризиса. Но не только от этого. Механизмы предотвращения кризиса надо построить и запустить в действие. И это уже проблема управления.

Но не все кризисы можно предотвратить, многие из них надо пережить, преодолеть. И это достигается посредством антикризисного управления. Оно решает проблемы жизнедеятельности организации в период кризиса, способствует выходу из кризиса и ликвидации его последствий.

Вторая группа проблем антикризисного управления связана с ключевыми сферами жизнедеятельности организации. Это прежде всего методологические проблемы ее жизнедеятельности. В процессе их решения формулируются миссия и цель управления, определяются пути, средства и методы управления в условиях кризисной ситуации. Эта группа включает комплекс проблем финансово-экономического характера.  Например, в экономическом антикризисном управлении возникает необходимость определения типов диверсификации производства или проведения конверсии. Это требует дополнительных ресурсов, поиска источников финансирования. Существуют также проблемы организационного и правового содержания, множество социально-психологических проблем.

Третья группа проблем - дифференциация технологий управления. Она включает в самом общем виде проблемы прогнозирования кризисов и вариантов поведения социально-экономической системы в кризисном состоянии, проблемы поиска необходимой информации и разработки управленческих решений.

Проблемы анализа и оценки кризисных ситуаций также имеют большое значение.

Здесь существует множество ограничений по времени, квалификации персонала, недостаточности информации и др. В этой же группе можно рассматривать и проблемы разработки инновационных стратегий, которые способствуют выводу организации из кризиса.

Четвертая группа проблем включает конфликтологию и селекцию персонала, которые всегда сопровождают кризисные ситуации. Нельзя упускать из структуры антикризисного управления и проблемы инвестирования антикризисных мер, маркетинга, а также проблемы банкротства и санации банковских учреждений.

 

3.2 Совершенствование механизма антикризисного управления банка

 

Совершенствование антикризисного управления основано на мерах по восстановлению платежеспособности.

Предусмотрены следующие основные меры по восстановлению платежеспособности должника:

взыскание дебиторской задолженности; продажа части имущества должника; уступка прав требования должника; исполнение обязательств должника собственником имущества должника - унитарного предприятия, учредителями (участниками) должника либо третьим лицом или третьими лицами; иные меры по восстановлению платежеспособности должника.

Действия, которые, в зависимости от их интенсивности, позволят зало-

жить, хотя бы основу совершенствования антикризисной системы, можно представить так:

внимательнейшим образом изучить имеющийся зарубежный опыт. определить критерии неплатежеспособности и несостоятельности.

разработать эффективную систему стратегического и оперативного мониторинга (и самодиагностики) финансового состояния

вести активное информационное сотрудничество с национальными и международными информационно-аналитическими агентствами, экономическими представительствами стран ближнего и дальнего зарубежья.

Изучение этапов антикризисного регулирования способствует совершенствованию ее регулирования.

Первый этап. Оперативное антикризисное управление.

Цель антикризисного управления на первом этапе - устранение или минимизация наиболее значимых для предприятия кризисных факторов, таких как:

· снижение платежеспособности;

· низкий уровень или отсутствие самофинансирования;

· спад или стагнация производства;

· рост расходов и снижение выручки по основным видам деятельности.

В рамках первого этапа антикризисного управления ОАО следует осуществить следующие меры:

· разделение длительного производственного цикла на менее продолжительные периоды с целью регулирования уровня незавершенного производства;

· заключение договоров по производству продукции, предусматривающих оплату и признание выручки предприятия по этапам изготовления продукции с целью привлечения дополнительных финансовых ресурсов;

· снижение кооперационных рисков при сотрудничестве с постоянным кругом поставщиков основных материалов и готовых изделий;

· проведение тендеров на поставку основных комплектующих изделий и материалов.

Второй этап. Текущее антикризисное управление.

Эффектом внедрения экономических мер на втором этапе является преодоление кризисного состояния предприятия в период текущего года: достижение нормативного уровня текущей ликвидности и планируемого уровня рентабельности продукции, улучшение инвестиционной привлекательности предприятия.

Экономический механизм реализации второго этапа для ОАО состоит в следующем:

· снижение конечной себестоимости продукции за счет отраслевой локализации отдельных специализированных производств общества;

· сокращение расходов на содержание непроизводственной сферы;

· перезаключение договоров с целью устранения влияния на экономику предприятия неблагоприятного изменения валютного курса;

· предложение дополнительного гарантийного и послегарантийного сервиса выпускаемой продукции в конкурентной борьбе;

· активная маркетинговая политика и расширение рынков сбыта.

Третий этап. Среднесрочное антикризисное управление.

Реализация третьего этапа антикризисного управления производится в течение 3-5 лет и направлена на рост эффективности производства, повышения конкурентоспособности предприятия, повышение капитализации бизнеса. Она включает комплекс мероприятий, направленных на совершенствование финансово-экономической политики, снижение затрат на основе лучшего использования материальных и трудовых ресурсов, внедрение современных информационных технологий.

Итак, из всего вышесказанного можно сделать вывод, что совершенствовать антикризисное управление за счет последовательной деятельности в данном направлении.

 

Заключение

Наша банковская система пока не в полной мере отвечает требованиям развивающейся экономики и нуждается в укреплении. Развитие экономики страны сдерживается неразвитостью и неустойчивостью банковского сектора, а также его ограниченной способностью аккумулировать средства предприятий и населения, столь необходимые для кредитования инвестиций и обновления основных фондов материального производства.

Вариантами банковского кризиса являются:

стратегический кризис (угроза потенциалу развития);

кризис результатов (угроза финансовым результатам деятельности, их потеря, дефицит баланса - превышение пассивов над активами);

кризис ликвидности (опасность потери ликвидности вследствие превышения пассивов над активами).

Пренебрежение вопросами предотвращения банковских кризисов может привести к резкому ослаблению банковской системы, финансовой базы экономики и подрыву национальной безопасности страны.

Банковский кризис следует рассматривать как неизбежный побочный результат либерального финансового режима, типичного в течение последних 15-20 лет для все большего числа стран. Политика по предотвращению кризисов, базирующаяся на более сильной рыночной дисциплине и лучшем контроле за банками, безусловно уменьшит подспудные риски. Она будет также способствовать скорейшей идентификации растущих проблем в банковской системе с тем, чтобы своевременно прибегать к корректирующим мерам. Наконец, лучшая информированность, более сильные институты и более эффективные инструменты политики должны также помочь урегулированию кризисов.


Список использованной литературы

 

1. Риск-менеджмент в коммерческом банке/ [Г.С. Панова и др.]; Коллективная монография под ред. И.В. Ларионовой. - М.: КНОРУС, 2010.

. Áîëîíèí А.И. Механизм регулирования и управления финансово-êðåäèòíîé ñèñòåìîé. - Ì.: Èçäàòåëüñêèé êîìïëåêñ ÌÃÓÏÏ, 2010.

3. Ñîêîëîâ Ю.А., Дубова С.Е., Кутузова А.С. Организация денежно-кредитного регулирования: учебное пособие. Флинта; НОУ ВПО «МПСИ», 2011. 4. Kay J. Narrow banking: the reform of banking regulation / Center for the study of financial innovations, 2010. - URL: http://www.johnkay.com/wp content/uploads/2009/12/JK-Narrow-Banking.pdf

5. Stein J.C. Monetary Policy as Financial-Stability Regulation / National Bureau of Economic Research, 2011. - (NBER Working Papers; ¹ 16883). - URL: <http://www.nber.org/papers/w1688>

6. Панов Д.В. Финансовая стабильность банков в условиях глобализации. - М.: Бухгалтерский учет, 2008. 7.Risk and Regulatory Policy. Improving the Governance of Risk. - Paris: OECD, 2010.8.Мишкин Ф.С. Экономическая теория денег, банковского дела и финансовых рынков = The Economics of Money, Banking and Financial Markets: пер. с англ. / 7-е изд. - М.: ИД «Вильямс», 2012.

9.Малкина М.Ю. Институты денежно-кредитного регулирования: противо-речия функционирования и развития // Финансы и кредит. 2010. №18.

. Hinkel T. CAMELS Ratings and Financial Regulatory Reform: The

(M)anagement Element. - Alpharetta, GE: Safe Systems Inc., 2010. - URL: http://news.safesystems.com/2010/08/camels-ratings - and-financial-regulatory-reform-the-management-element/

Ðàçìåùåíî íà Allbest.ru

Похожие работы на - Антикризисное управление в коммерческих банках

 

Не нашли материал для своей работы?
Поможем написать уникальную работу
Без плагиата!
Без нейросетей!