Страхование от несчастных случаев

  • Вид работы:
    Курсовая работа (т)
  • Предмет:
    Банковское дело
  • Язык:
    Русский
    ,
    Формат файла:
    MS Word
    45,18 Кб
  • Опубликовано:
    2015-03-18
Вы можете узнать стоимость помощи в написании студенческой работы.
Помощь в написании работы, которую точно примут!

Страхование от несчастных случаев

Федеральное агентство морского и речного транспорта

Федеральное бюджетное образовательное учреждение высшего профессионального образования

Волжская государственная академия водного транспорта

Кафедра «Финансы и кредит»





КУРСОВАЯ РАБОТА

На тему:

Страхование от несчастных случаев



Выполнил: Крылов А.И.

студент гр. Ф-52

Проверил: Трошин А.С.






Нижний Новгород - 2014

Оглавление

Введение

. Понятие несчастного случая

. Виды страхования от несчастных случаев

.1 Обязательное страхование от несчастных случаев в РФ

.2 Добровольное страхование от несчастных случаев

. Предмет страхования и страховое покрытие

.1 Объект и субъекты страхования от несчастных случаев

.2 Страховое покрытие

. Страховые тарифы

. Урегулирование выплат

Заключение

Практическая часть

Список используемой литературы

Введение


Страхование как сфера финансовой деятельности возникло из разделения общественного труда и развивалось по мере осознания человеком ценности своей жизни, здоровья и имущества. В условиях перехода к рыночной экономики страхование принадлежит к числу наиболее быстро развивающихся отраслей хозяйственной деятельности. Рыночная экономика, и прежде всего негосударственный сектор народного хозяйства, предъявляет спрос на различные виды страхования, так как частная собственность, в отличие от государственной, нуждается во всеобъемлющей страховой защите. Она не имеет за своей спиной финансовых гарантий со стороны государства и хочет обезопасить себя от последствий возможных рисков.

Страхование принадлежит к числу наиболее старых и устойчивых форм обеспечения хозяйственной жизни, уходящих корнями в далекую историю. Страхование осуществляется на основании договоров имущественного или личного страхования, заключаемых гражданином или юридическим лицом (страхователем) со страховой организацией (страховщиком). По своей сути страхование представляет собой создание целевых фондов денежных средств, предназначенных для защиты имущественных интересов населения в частной и хозяйственной жизни от стихийных бедствий и других непредвиденных случайных по своей природе чрезвычайных событий, сопровождающихся ущербами.

В обществе страхование играет роль механизма, перераспределяющего финансовые средства (страховой фонд) от всех членов общества к тем, кто нуждается в финансовой помощи в результате происшедших с ними страховых случаев. В отличие от социального страхования, где застрахованными являются большинство или все граждане, в коммерческом страховании перераспределение происходит только между членами конкретного страхового фонда, уплатившими в него страховые премии.

Страхование от несчастных случаев является самым традиционным видом личного страхования для страховой практики. Основной целью страхования от несчастных случаев является возмещение ущерба, нанесенного здоровью и жизни застрахованного в результате несчастного случая.

Страхование от несчастных случаев является традиционным видом страхования жизни, содержание которого в последнее время изменилось за счет включения дополнительного страхового покрытия в виде страхования смертельно опасных заболеваний, таким образом, полное современное название этого вида - страхование от несчастных случаев и болезней. Основная цель страхования от несчастных случаев - возмещение ущерба, нанесенного здоровью и жизни застрахованного в результате несчастного случая или наступления заболевания.

1. Понятие несчастного случая


Страхование осуществляется на основании договора личного страхования, заключаемого гражданином или юридическим лицом

Под несчастным случаем понимается внезапное, внешнее, непредвиденное воздействие на организм человека, результатом которого является нанесение вреда здоровья застрахованного.

«Внезапность» означает, что несчастный случай должен быть относительно кратковременным событием (это не относится к его последствием, т.е. нанесению вреда здоровью пострадавшего).

Если человек длительное время подвергался вредным воздействиям окружающей среды, то эти воздействия нельзя классифицировать как несчастный случай.

Точно так же подрыв здоровья вследствие чрезмерных нагрузок в течение длительного времени, например при занятиях спортом, нельзя рассматривать как несчастный случай.

Пример:

Загорая на солнце, отдыхающий заснул и получил сильные ожоги.

Признак внезапности отсутствует, так как воздействие солнца на организм человека было постепенным.

Лыжник наехал на дерево, упал и получил травму

Удар о дерево следует классифицировать как внезапное действие.

Понятие внезапности также включает в себя элементы неожиданного, непредвиденного и неизбежного. Это означает, что в определенных случаях длящееся относительно продолжительное время событие можно рассматривать как внезапное.

Внешний характер воздействия

Классифицируемые как несчастный случай воздействия на человека могут быть механическими, химическими, термическими и электрическими. Органические и функциональные изменения, происходящие в организме человека в течение всей его жизни, являются внутренними воздействиями, например инсульт или инфаркт, и не относятся к этой категории событий. Как внешнее воздействие могут рассматриваться и собственные действия людей.

Воздействие на организм человека

Под воздействием, классифицируемым как несчастный случай, в страховании понимают как явление природы, например пожар, гололедица, так и действия самих людей, наносящие вред их здоровью.

Непрерывный характер

Воздействие на организм человека в страховании рассматривается как несчастный случай лишь при условии, что в результате его наступления здоровью застрахованного непредвиденного был нанесен вред. Самоубийство, а также причинение застрахованным самому себе телесных повреждений не включаются в страховое покрытие.

Следует подчеркнуть, что признак непредвиденности относится не к событию, а к вреду, нанесенному здоровью застрахованного лица в результате его наступления. Как неумышленный следует рассматривать вред здоровью, нанесенный в результате самообороны или при попытке спасения человеческой жизни. События, произошедшие в результате грубой неосторожности застрахованного лица в результате его наступления.

Как неумышленный следует рассматривать вред здоровью, нанесенный в результате самообороны или при попытке спасения человеческой жизни.

События, произошедшие в результате грубой неосторожности застрахованного лица, также признаются страховым случаем, если страховщик не сможет доказать, что вред здоровью был нанесен умышленно.

Нанесение вреда здоровью застрахованного

Внешнее воздействие на организм человека является несчастным случаем, если непосредственным результатом этого события является нанесение вреда здоровью застрахованного в смысле нарушения анатомической и физиологической целостности организма. Поэтому имущественный ущерб, возникший вследствие внешнего воздействия на застрахованного, например повреждение протезов конечностей, зубных протезов или очков, не подлежит возмещению по этому виду страхования. Для выплаты страхового возмещения не важно, какого рода вред был нанесен здоровью застрахованного. Термин «нанесение вреда здоровью» не ограничивается по смыслу непосредственными телесными повреждениями. Достаточно, если в результате внешнего воздействия застрахованному была нанесена психическая травма, которая может выражаться в нервном возбуждении, шоке, озлобленности т.д.

Важно подчеркнуть, что для признания события страховым случаем необходимо наличие причинно-следственной взаимосвязи между несчастным случаем, нанесением вреда здоровью застрахованного и ущербом, подлежащим страховому возмещению. Бремя доказательства возложено законом на страхователя.

Несчастным случаем также считаются события, при которых вследствие физического перенапряжения у застрахованного лица происходит вывих отделов позвоночника или суставов конечностей либо растяжение или разрыв мышц, сухожилий, связок или суставных сумок.

Таким образом, несчастным случаем признается не только вред, нанесенный здоровью застрахованного в результате внезапного внешнего воздействия, но и вследствие чрезмерной физической нагрузки. При этом имеются в виду сознательные действия самого застрахованного, ведущие к чрезмерному напряжению сил, что, в свою очередь, наносит вред его здоровью в виде вывихов, растяжений и разрывов.

Повреждения межпозвонковых дисков и мениска, относящиеся к возрастным изменениям в организме, но проявившееся после сильной физической нагрузки, исключаются из страхового покрытия. Это объясняется тем, что с анатомической точки зрения межпозвонковые диски и мениск являются хрящами, а не сухожилиями, связками, мышцами или суставной сумкой. Таким образом, указанное расширение страхового покрытия распространяется только на типичные травмы, полученные в результате занятий спортом.

Исключение из страхового покрытия

В составе исключений выделяются две группы: определенные события и определенные виды ущербов.

Исключения из страхового покрытия составляют следующие события, которые по всем признакам хотя и являются несчастным случаем, но на последствия которых страховое покрытие не распространяется.

Несчастные случаи, произошедшие вследствие психических расстройств или нарушений сознания, в том числе вызванных алкогольным или наркотическим опьянением застрахованного лица, а также инсультом, эпилептическим припадком или судорогами, распространяющимися на все тело. Страховые гарантии сохраняются, однако, если эти расстройства или припадки были вызваны событием, входящим в страховое покрытие по договору.

Несчастные случаи, в которые попал застрахованный в результате совершения или попытки совершения им противоправных действий.

Военные действия, гражданские войны и иные внутренние беспорядки, если застрахованный принимал или гражданская война застали застрахованное лицо неожиданно за рубежом, то на него распространяется страховая защита по этому виду страхования в течение семи дней.

Несчастные случаи, вызванные воздействие атомной энергии. Исключением является не только ущерб, нанесенный ядерным излучением, но и несчастные случаи в результате взрывов, резкого изменения давления, вследствие наступившей паники и т.д.

Из страхового покрытия исключается вред, нанесенный здоровью застрахованного в результате следующих событий:

Из страхового покрытия исключается поражения, вызываемые всеми видами ионизирующих лучей. Если причиной заболевания является лучевая терапия, то страховая защита сохраняется при условии, что эта терапия была назначена для лечения последствий несчастного случая, застрахованного по соответствующему договору. Лица, по роду своей деятельности подвергающиеся повышенному лучевому облучению, могут застраховать риск профессионального заболевания путем включения соответствующих оговорок в договор страхования от несчастных случаев или путем заключения специальных договоров страхования.

Страхование инфекционных заболеваний

Страховое покрытие сохраняется, однако, если возбудитель инфекционного заболевания попал в организм застрахованного лица в результате травм или ранений, полученных вследствие несчастного случая, включенного в состав страхового покрытия по данному договору. Незначительные повреждения кожи и слизистой оболочки, через которые возбудители болезни могли попасть в организм застрахованного сразу же или по прошествии определенного времени, не считаются травмами в результате несчастного случая.

Инфекционные заболевания носят характер болезни. Именно поэтому они исключаются из страхового покрытия по договорам страхования от несчастных случаев. Ответственность страховщика сохраняется только в тех случаях, когда в начале цепочки причинно-следственных взаимосвязей находится страховой несчастный случай и возбудитель заболевания попадает в организм застрахованного лица в результате поражения, вызванного этим несчастным случаем. Заболевание СПИДом и его последствия также составляют исключения из страхового покрытия, если инфицирование произошло через мелкие поражения кожи или слизистой оболочки.

Отравления вследствие принятия твердых или жидких веществ через глотку.

Следует подчеркнуть, что именно попадание отравляющих веществ в организм через глотку является основным условием для исключения из страхового покрытия. Если застрахованный вдыхает отравляющее вещество или получает его в виде инъекции, то страховое покрытие сохраняется.

Исключение из страхового покрытия предоставляют собой грыжи белой линии живота и паховые грыжи, за исключением случаев, когда они возникли вследствие насильственного внешнего воздействия на застрахованного.

Страховое покрытие не распространяется на травмы межпозвонковых дисков, а также кровотечение внутренних органов, если только они не были вызваны страховым несчастным случаем.

Исключение из страхового покрытия составляют также нервные расстройства, являющиеся психической реакцией застрахованного на определенные события.

Некоторые компании страхуют несчастные случаи, произошедшие в результате нарушения сознания застрахованного вследствие алкогольного опьянения. При управлении транспортным средством, однако, максимальная граница содержания алкоголя в крови не должна превышать 1,3%

Ряд страховщиков предлагает также страхование так называемого пассивного риска военных действий.

Виды страховых гарантий

Добровольное страхование от несчастных случаев платы на случай смерти предлагает широкий спектр страховых гарантий, которые включаются в договоры по соглашению сторон. Заключая договор страхования, страхователь вправе свободно выбирать вид и объем страхового покрытия.

Важнейшей гарантией, предоставляемой страхователем от несчастных случаев, является гарантия страховых выплат на случай инвалидности, которая обязательно включается в договор. Остальные виды гарантий согласовываются по усмотрению сторон дополнительно. Страховые выплаты по инвалидности включают в себя:

страховые выплаты на случай смерти

ежедневное денежное пособие

ежедневное денежное пособие в период пребывания в больнице

денежное пособие в период выздоровления, в том числе оплата санаторного лечения, космических операций и т.д.

2. Виды страхования от несчастных случаев


2.1 Обязательное страхование от несчастных случаев в РФ


Обязательное страхование от несчастных случаев является одним из элементов системы социального страхования и покрывает риски производственного травматизма и профессиональных заболеваний. Сфера его действия ограничивается последствиями несчастных случаев, происходящих на рабочем месте или в рабочее время (включая время нахождения в пути на работу и с работы). Существенной особенностью этого вида страхования является то, что страховые взносы полностью уплачивает работодатель. В России обязательное страхование от несчастных случаев регулируется Законом «Об обязательном социальном страховании от несчастных случаев на производстве и профессиональных заболеваний» от 24.07.1998 г. №125-ФЗ (ред. от 17.07.1999) и подзаконными актами к нему.

Другим направлением организации обязательного страхования от несчастных случаев, дополняющим или компенсирующим социальное страхование, является обязательное государственное страхование жизни и здоровья тех категорий государственных служащих, чья профессиональная деятельность связана с повышенным риском несчастного случая при исполнении своих служебных обязанностей. К ним относятся: судьи, прокуроры, сотрудники Министерства по налогам и сборам, военнослужащие. Государственное личное страхование покрывает риски, идентичные обязательному страхованию от несчастных случаев: смерть и потерю трудоспособности застрахованного вследствие травмы, увечья, телесных повреждений, наступивших при выполнении служебных обязанностей. Обязательное страхование государственных служащих регулируется федеральным законодательством. Третьим направлением обязательного страхования от несчастных случаев выступает обязательное личное страхование пассажиров, перевозимых воздушным, железнодорожным, водным и автомобильным транспортом по междугородным и туристическим маршрутам.

Страхование от несчастных случаев на производстве и профессиональных заболеваний

Обязательно страхование от несчастных случаев является одним из элементов социального страхования и покрывает риски производственного травматизма и профессиональных заболеваний. Существенной особенностью этого вида обязательного страхования от несчастных случаев является то, что страховые взносы полностью уплачивает работодатель. Обязательному страхованию от несчастных случаев на производстве обычно подлежат все наемные работники, обучающиеся, дети, посещающие дошкольные учреждения, фермеры и лица, работающие в крестьянских хозяйствах.

Обязательно страхование от несчастных случаев на производстве и профзаболеваний предусматривает обеспечение социальной защиты работников посредством:

возмещение вреда, причиненного жизни и здоровью работников при исполнении ими обязанностей по трудовому договору или в других установленных законодательством случаях;

повышения заинтересованности предприятий и организаций в снижении уровня профессионального риска;

финансирования предупредительных мероприятий по сокращению производственного травматизма и профессиональных заболеваний.

Средства, получаемые на страхование от несчастных случаев, могут быть использованы ФСС на нужды государственного социального страхования в целом, что подтверждается федеральными законами о бюджете фонда. Страховые взносы на обязательное социальное страхование от несчастных случаев на производстве и профзаболеваний уплачиваются страхователями непосредственно в ФСС. Страхователями выступают все работодатели:

юридически е лица любой организационно-правовой формы в отношении работников, нанимаемых по трудовым договорам (контрактам);

физические лица, нанимающие других физических лиц по трудовому договору (контракту).

Страхователи обязаны зарегистрироваться в исполнительных органах ФСС по месту своего нахождения. Тарифы страховых взносов ежегодно утверждаются федеральным законом на очередной год. Страховые тарифы устанавливаются ФСС на основании Правил отнесения отраслей экономики к классу профессионального риска. Суммы страховых взносов перечисляются страхователями ежемесячно в срок, установленный для получения в банках средств на выплату заработной платы за текущий месяц. Страхователями, осуществляющими установленные страховые выплаты застрахованным, состоящим с ними в трудовых отношениях, страховые взносы перечисляются за минусом произведенных выплат.

Объектом обязательного страхования от несчастных случаев на производстве и профзаболеваний являются имущественные интересы физических лиц, связанные с утратой ими здоровья, профессиональной нетрудоспособности либо их смертью вследствие несчастного случая на производстве или профессионального заболевания. Застрахованными по данному виду страхования выступают:

все физические лица, выполняющие работу на основании трудового договора, заключенного с работодателем;

физические лица, уже получившие повреждение здоровья вследствие несчастного случая на производстве или профзаболевания, подтвержденное в установленном порядке, к моменту введения в действие федерального закона об обязательном социальном страховании от несчастных случаев;

физические лица, осужденные к лишению свободы и привлеченные к труду страхователем.

Страховым случаем признается подтвержденный в установленном порядке факт повреждения здоровья или смерти в результате несчастного случая на производстве или профзаболевания. Несчастный случай на производстве- это событие, из-за которого застрахованный получил повреждение здоровья, приведшие к временной или постоянной утрате профессиональной нетрудоспособности либо смерти, наступившей при исполнении обязанностей по трудовому договору как на территории страхователя, так и за ее пределами, во время следования к месту работы или возмещения с места работы на транспорте, предоставленным страхователем (или на личном транспорте, используемых в служебных целях по договору или распоряжению работодателя). Несчастные случаи, произошедшие во время следования к месту служебных командировок и обратно, при работе вахтово-экспедиционным методом во время междусменного отдыха, при привлечении работника к участию в ликвидации последствий чрезвычайных ситуаций, при осуществлении действий, не входящих в трудовые обязанности работника, но совершаемых в интересах работодателя (по предотвращению аварии, ущерба), также рассматриваются в качестве производственных.

Расследование и учет несчастных случаев на производстве осуществляется в соответствии с положением, утвержденным постановлением Правительства РФ от 11 марта 1999г. Работодатель обязан обеспечить своевременное расследование и оформление несчастного случая на производстве Расходы по расследованию несчастного случая несет работодатель. Утрата профессиональной нетрудоспособности застрахованных устанавливается учреждениями (бюро) медико-социальной экспертизы на основании обращения работодателя, страховщика или самостоятельного обращения пострадавшего при предоставлении акта о несчастном случае на производстве.

Днем назначения страховых выплат считается день установления факта утраты застрахованным лицом профессиональной нетрудоспособности. В случае наступления профессионального заболевания датой причинения вреда считается либо дата выявления профессионального заболевания, либо дата составления акта расследования профессионального заболевания, если установить момент заболевание не предоставляется возможным. При расследовании страхового случая комиссией может быть установлена вина застрахованного в наступлении страхового случая - грубая неосторожность, содействовавшая возникновению или увеличению причиненного вреда.

Если в результате страхового случая наступает смерть застрахованного, то право на получение определенных страховых выплат получают следующие лица:

) Нетрудоспособные лица, состоявшие на иждивении умершего или имевшие ко дню его смерти право на получение от него содержания ко дню его смерти право на получение от него содержания, на следующих условиях:

дети до достижения ими возраста 18 лет, а учащиеся старше 18 лет-до окончания учебы в учебных заведениях по очной форме обучения, но не более чем до 23 лет;

женщины, достигшие возраста 55 лет, и мужчины, достигшие возраста 60 лет,- пожизненно;

инвалиды - на срок инвалидности;

) ребенок умершего, родившегося после его смерти;

) один из родителей, супруг либо другой член семьи независимо от трудоспособности, который не работает и занят уходом за состоявшими на иждивении умершего детьми, внуками, братьями и сестрами, не достигшими по медико-социальному заключению в постоянном уходе;

) лица, состоявшие на иждивении умершего, ставшие нетрудоспособными в течение 5 лет со дня его смерти.

При нанесении ущерба жизни, здоровью и профессиональной трудоспособности работников им самим или их близким гарантируется:

Пособие по временной нетрудоспособности;

Страховые выплаты

единовременные,

ежемесячные;

Оплата дополнительных расходов на:

дополнительную медицинскую помощь,

посторонний уход за пострадавшими,

санаторно-курортное лечение,

протезирование и обеспечение необходимыми приспособлениями для трудовой деятельности и в быту,

обеспечение специальными транспортными средствами и их содержание,

профессиональное обучение и переобучение.

Государственное страхование жизни и здоровья определенных категорий государственных служащих

Другим направлением организации обязательного страхования от несчастных случаев, дополняющим или компенсирующим социальное страхование, является обязательное государственное страхование жизни и здоровья тех категорий государственных служащих, чья профессиональная деятельность связана с повышенным риском несчастного случая при исполнении своих служебных обязанностей.

Обязательному государственному страхованию в РФ подлежат военнослужащие, сотрудники МВД, налоговых инспекций, государственной противопожарной службы, прокуроры, следователи, судьи и народные заседатели, спасатели, депутаты Законодательного Собрания, работники ядерных объектов, космонавты, работники здравоохранения, обеспечивающие диагностику и лечение ВИЧ-инфекции, доноры и некоторые другие.

В последнее время обсуждается вопрос о создании в целях обеспечения обязательного личного страхования государственной страховой компании в форме государственного унитарного предприятия. Это связано с тем, что обязательное государственное страхование жизни и здоровья государственных служащих осуществляется за счет средств государственного бюджета и значительная часть этих средств уходит в коммерческие страховые компании.

Государственное личное страхование покрывает риски, идентичные обязательному социальному страхованию от несчастных случаев: увечья, телесных повреждений, наступивших при исполнении служебных обязанностей. Страховое возмещение определяется исходя из должностного оклада либо минимального размера оплаты труда.

Личное страхование пассажиров

Третьим направлением обязательного страхования от несчастных случаев выступает обязательное личное страхование пассажиров, перевозимым воздушным, железнодорожным, водным и автомобильным транспортом по междугородным и туристическим маршрутам. Страхованием покрывается риск смерти или получения травмы и телесных повреждений в результате несчастного случая, связанного с поездкой.

Максимальная страховая сумма, подлежащая выплате в случае гибели пассажира, установлена законодательством в размере 120 МРОТ на дату приобретения проездного документа. В случае получения травмы или увечья размер страхового возмещения рассчитывается пропорционально тяжести полученных в результате аварии телесных повреждений.

Страхователями выступают сами пассажиры, которые уплачивают страховой взнос по обязательному личному страхованию при покупке проездного билета. Однако интересы страхователей при оформлении данной страховой операции представляли транспортная организация-перевозчик, которая выбирает страховую компанию и заключает с ней договор об осуществлении данного вида страхования. Единственным требованием к страховой компании является наличие соответствующей лицензии на проведение обязательного страхования пассажиров. Пассажиры без, имеющие право на бесплатный проезд, признаются застрахованными без уплаты ими страхового взноса.

Тарифы на обязательное личное страхование пассажиров утверждаются Росстрахнадзором и согласуются с министерствами транспорта и путей сообщения РФ. Основную часть тарифа составляют отчисления в фонд предупредительных мероприятий, средства которого направляются в учреждения указанных министерств на цели повышения безопасности перевозок (табл.1)

Таблица 1

Структура тарифа по обязательному личному страхованию пассажиров железнодорожного и междугородного автомобильного транспорта

Составляющие элементы тарифной ставки

Доля в общей сумме тарифа, %


По железнодорожному транспорту

По автомобильному транспорту

1. отчисления на формирование резервов по выплатам при наступлении страховых случаев

6,0

20,0

90,7

70,0

3. расходы на ведение дела

3,3

10,0

Всего тариф

100,0

100,0


Обязательное личное страхование пассажиров в той форме, в которой оно осуществляется, вызывает немало нареканий. Во-первых, отчисление более 90% страхового тарифа на финансирование расходов перевозчика делает обязательное страхование пассажиров более похожи на дополнительное налогообложение населения. Во-вторых, перенесение ответственности перевозчика за жизнь и здоровье пассажира на самого пассажира- мера, недостойная цивилизованного общества. Во многих странах этот вопрос решен путем введения института обязательной материальной ответственности перевозчика за жизнь и здоровье пассажиров, а в некоторых случаях и обязательного страхования ответственности перевозчика. Существующая практика обязательного страхования пассажиров в России противоречит ее гражданскому законодательству. В п.2 ст. 935 гл. 48 ГК РФ указывается, что обязанность страховать свою жизнь или здоровье не может быть возложена на гражданина по закону. В интересах защиты прав потребителей было бы правомерно установить ответственность перевозчика за жизнь и здоровье пассажиров.

2.2 Добровольное страхование от несчастных случаев


Добровольное страхование осуществляется на основании договора страхования и правил страхования, определяющих общие условия и порядок его осуществления.

Правила страхования принимаются и утверждаются страховщиком или объединением страховщиков самостоятельно в соответствии с Гражданским кодексом Российской Федерации и настоящим Законом и содержат положения о субъектах страхования, об объектах страхования, о страховых случаях, о страховых рисках, о порядке определения страховой суммы, страхового тарифа, страховой премии (страховых взносов), о порядке заключения, исполнения и прекращения договоров страхования, о правах и об обязанностях сторон, об определении размера убытков или ущерба, о порядке определения страховой выплаты, о случаях отказа в страховой выплате и иные положения.

Добровольное страхование от несчастных случаев имеет несколько организационных форм. В первую очередь различают индивидуальное и коллективное страхование от несчастных случаев.

Договор индивидуального страхования заключается физическим лицом, и действие договора в основном распространяется на страхователя и членов его семьи.

По договору коллективного страхования страхователем выступает юридическое лицо, а застрахованными - физические лица, в жизни и здоровье которых страхователь имеет материальный интерес.

Коллективное страхование от несчастных случаев

Договоры коллективного страхования заключается либо работодателями в пользу своих работников, либо различными ассоциациями и обществами в пользу их членов. Взносы по коллективному страхованию значительно ниже, чем по индивидуальному, поскольку происходит дополнительное выравнивание риска в рамках определенной группы.

В Российской федерации коллективного страхования от несчастных случаев имеет свою специфику в силу особенностей существовавшего ранее налогового законодательства, позволявшего использовать эту форму для ухода от налога на прибыль, налога на доходы и взносов во внебюджетные фонды социального значения. Предприятия использовали страхование от несчастных случаев для обеспечения работникам дополнительных денежных выплат, минуя установленные законом обязательные отчисления и налоги с фонда оплаты труда. Такая ситуация была возможна благодаря легальному существованию страхования с возвратом страховых взносов и льготному налогообложению страховых взносов и страховых выплат.

В настоящее время для страхования от несчастных случаев действует менее выгодный режим налогообложения страховых взносов и выплат. Благодаря ужесточению правил налогообложения страховых взносов этот вид страхования стал мало привлекателен для использования в целях обеспечения «скрытой» заработной платы.

Индивидуальное страхование от несчастных случаев

Индивидуальное добровольное страхование от несчастных случаев существует в следующих формах:

полное страхование от несчастных случаев, предоставляющее страховую гарантию на любой период как частной, так и профессиональной жизни человека в течение действия договора;

Частичное страхование, предоставляющее гарантию только на определенный период жизнедеятельности человека; наиболее распространенным является страхование от несчастных случаев на время поездки, путешествия, в том числе за рубеж;

дополнительное страхование, т.е. использование страхования от несчастных случаев в качестве составляющей различных комбинированных или пакетных полисов; гарантия выплаты двойной страховой суммы при наступлении смерти в результате несчастного случая в страховании жизни; гарантия по несчастным случаям в пакетном полисе главы семьи и др. Страхование от несчастных случаев - это самое распространенное дополнение многих страховых полисов и наиболее выгодный в рамках личного страхования риск для страховщиков.

страховой социальный защита несчастный

3. Предмет страхования и страховое покрытие

 

.1 Объект и субъекты страхования от несчастных случаев


Страхование от несчастных случаев гарантирует защиту в виде выплаты возмещения при наступлении несчастного случая.

Объектом страхования от несчастных случаев по российскому законодательству являются имущественные интересы застрахованного, связанные с утратой трудоспособности или смертью вследствие несчастного случая.

Основными субъектами страховых отношений являются страхователи и страховщики. По договору личного страхования одна сторона (страховщик) обязуется за обусловленную договором плату (страховую премию) уплачиваемую другой стороной (страхователем), выплатить единовременно или выплачивать периодически обусловленную договором сумму (страховую сумму) в случае причинения вреда жизни или здоровью самого страхователя или другого названного в договоре гражданина (застрахованного лица).

Страхователями признаются юридические лица и дееспособные физические лица, заключившие со страховщиками договоры страхования либо являющиеся страхователями в силу закона

Страховщики - юридические лица, созданные в соответствии с законодательством РФ для осуществления страхования, перестрахования, взаимного страхования и получившие лицензии в установленном настоящим Законом порядке.

Страховщики осуществляют оценку страхового риска, получают страховые премии (страховые взносы), формируют страховые резервы, инвестируют активы, определяют размер убытков или ущерба, производят страховые выплаты, осуществляют иные связанные с исполнением обязательств по договору страхования действия.

3.2 Страховое покрытие


Страхование от несчастных случаев предлагает четыре базовые гарантии. Однако на практике страховщики могут использовать различные комбинации этих стандартных покрытий или исключать некоторые из них из частных условий страхования.

Система гарантий по страхованию от несчастного случая:

Базовые гарантии: страховая сумма на случай смерти; страховая сумма на случай инвалидности; Ежедневное пособие по временной нетрудоспособности; Оплата медицинских расходов по лечению; Дополнительные гарантии: Пенсия по случая потери кормильца; Пенсия по инвалидности; Пособие по уходу; Оплата расходов на протезирование и косметическую операцию; Оплата расходов на санаторно-курортное лечение, необходимое для реабилитации.

Гарантия на случай смерти в результате несчастного случая предполагает выплату бенефициару, указанному в страховом договоре, или наследниками застрахованного определенной в частных условиях страхования денежной суммы. По желанию страхователя капитал может выплачиваться в виде ренты (пенсии).

Существует два подхода определения коэффициентов нетрудоспособности. В первом случае страховые компании на основе собственных статистических наблюдений разрабатывают таблицы, оценивающие потерю нетрудоспособности исходя из полной утраты или потери функциональности различных органов, или используют государственные таблицы, применяемые при определении возмещения ущерба от несчастных случаев на производстве.

Таблица 2

Коэффициенты расчета утраты трудоспособности при полной потере или функциональной непригодности частей тела и органов чувств

Полная потеря или окончательная функциональная непригодность части тела или органов чувств

Коэффициент утраты трудоспособности, %

Один глаз

50

Слух одного уха

30

Обоняние

10

Вкусовые ощущения

5

Одна рука в плечевом суставе

70

Одна рука выше локтевого сустава

65

Одна рука до локтевого устава

60

Кисть одной руки

55

Один большой палец кисти руки

20

Один указательный палец кисти руки

10

Один палец кисти руки: средний, безымянный или мизинец

5

Одна нога выше середины бедра

70

Одна нога до середины бедра

60

Одна нога до колена

50

Одна нога до середины голени

45

Одна стопа в голеностопном суставе

Один большой палец ноги

5

Один любой другой палец ноги

2


Если в течение одного года со дня несчастного случая в результате него наступает необратимое ухудшение физического или психического состояния застрахованного (инвалидность), то ему выплачивается страховое возмещение в форме определенной денежной суммы, размер которой зависит от степени утраты трудоспособности.

Столь широкое определение понятия инвалидности выбрано не случайно. С одной стороны, под него подпадает ухудшение всех функций организма человека. С другой стороны, такое определение, такое определение можно использовать в отношении застрахованных лиц всех возрастных групп независимо от характера их деятельности.

Инвалидность должна быть установлена врачом в течение трех месяцев по истечении одного года после наступления несчастного случая, о чем страхователь обязан заявить страховщику в установленном порядке.

Гарантия на случай временной нетрудоспособности обеспечивает застрахованному возмещение в виде ежедневного пособия за время лечения и реабилитации.

Предоставление этой гарантии имеет существенные особенности. Во-первых, размер пособия устанавливается пропорционально страховой сумме, указанной в договоре для риска временной нетрудоспособности. В качестве максимальной границы величины пособия берется размер среднедневного трудового дохода застрахованного. Во-вторых, гарантия на случай временной нетрудоспособности обычно содержит франшизу, выраженную в количестве первых дней нетрудоспособности, в течение которых пособие не выплачивается. Наиболее распространенной является франшиза продолжительностью семь дней. В-третьих, гарантия на случай временной нетрудоспособности имеет ограничение по длительности периода выплаты пособия. Этот срок оговаривается в частных условиях страхования и традиционно составляет 365 дней.

Гарантия оплаты медицинских расходов, необходимых для лечения последствий несчастного случая, предусматривает возмещение затрат на госпитализацию, амбулаторное лечение, лекарства, уход.

В качестве опциона может быть предложена оплата расходов на протезирование, косметическую хирургию и санаторное лечение. Размер гарантий определяется в процентах к произведенным расходам. По основным гарантиям выплата может быть установлена на уровне 100% оплаты медицинских расходов, по дополнительным не более 20-50%. Обычно размер данной гарантии зависит от степени покрытия расходов на лечение за счет средств социального страхования или социального обеспечения.

Говоря в целом о страховом покрытии при страховании от несчастных случаев, необходимо выделить два различных подхода к определению конкретных объемов страховых выплат. Страховая компания устанавливает размеры всех гарантий в процентном отношении от одной суммы, предусмотренной на случай смерти, либо использует различные страховые суммы для определения каждой гарантии. Отечественные страховщики предпочитают вести расчет всех гарантий исходя из одной страховой суммы на случай смерти, используя различные процентные нормы. Однако в любом случае общая сумма выплат страхового возмещения за одно или несколько страховых событий, произошедших в период действия договора страхования, не может превышать страховой суммы, указанной в договоре, или страховых сумм для каждой гарантии, если в договоре указано несколько страховых сумм.

Типовые правила страхования от несчастных случаев, разработанные Всероссийским союзом страховщиков, рекомендуют определять размер страховой выплаты в процентах от страховой суммы по данному виду страховых случаев в соответствии с таблицей страховых выплат при уплате застрахованным лицом общей трудоспособности в результате несчастного случая на основании справки лечебно-профилактического учреждения, как правило, без освидетельствования застрахованного лица(таб.3). В случае, если застрахованное лицо получило повреждения мягких тканей, органов зрения, слуха или мочеполовой системы, оно может быть направлено страховщиком на освидетельствование к врачу-специалисту для определения последствий таких повреждений. По этим же Правилам в связи с наступлением временной нетрудоспособности производится в размере 0,2% страховой суммы по данному виду страховых случаев за каждый день нетрудоспособности, начиная с 6-го календарного дня нетрудоспособности, но не более 90 дней за год.

Таблица 3

Выдержки из таблицы выплат при утрате застрахованным лицом общей трудоспособности в результате несчастного случая, % от страховой суммы

Характер повреждения или его последствия

%

1

Сотрясение головного мозга, при котором требуется лечение в течение 10 дней и более

5

2

Ушиб головного мозга

10

3

Паралич аккомодации одного глаза

15

4

Повреждение одного глаза, повлекшее за собой полную потерю зрения одного глаза

50

5

Повреждение одного или обоих глаз, повлекшее за собой полную потерю зрения

100

6

Полная глухота

25

7

Разрыв барабанной перепонки, наступивший в результате травмы, без снижения слуха

5

8

Повреждение легкого, повлекшее за собой:


8.1

легочную недостаточность

10

8.2

удаление части, доли легкого

40

8.3

удаление легкого

60

9

Перелом грудины

10

10

Перелом ребер:


10.1

трех ребер

3

10.2

каждого следующего ребра

2

11

Переломы челюстей:


11.1

верхней челюсти, скуловых костей

5

11.2

нижней челюсти, вывих нижней челюсти

5


4. Страховые тарифы


Страховые тарифы по страхованию от несчастных случаев определяются по методикам, применяемым при построении тарифов для рисковых видов страхования. Страхование от несчастных случаев относится к страхованию ущерба, поэтому в основе тарификации лежит принцип распределения страхового риска между всеми застрахованными. В расчет нетто-ставки по страхованию от несчастных случаев закладывается средний показатель убыточности страховой суммы по данному виду страхования.

Типовые правила добровольного страхования граждан от несчастных случаев содержат следующие рекомендации по определению страховой суммы и страховых премий и условиям их оплаты. Страховая сумма определяется соглашением страхователя со страховщиком по каждому виду страховых случаев отдельно и может быть разной или одинаковой для выбранных видов страховых случаев. Если страхователь заключает договор страхования в отношении нескольких лиц, то в договоре указывается общая страховая сумма по всем застрахованным и по каждому виду страховых случаев. При равенстве индивидуальных страховых сумм общая страховая сумма определяется путем умножения страховой суммы, установленной для одного застрахованного лица, на количество лиц, названных в договоре. Если индивидуальные страховые суммы разные, то общая страховая сумма по договору определяется путем сложения страховых сумм по каждому застрахованному лицу.

Базовые страховые тарифы разрабатываются страховщиком самостоятельно. В особых случаях при определении размера страховой премии страховщик вправе установить повышающие и понижающие коэффициенты к базовым страховым тариф, определяемые в зависимости от индивидуальных особенностей риска. Страховая премия по договорам страхования, заключенным на срок не более одного года, уплачивается единовременно. При заключении договора на более длительное время возможна уплата премии в рассрочку, в два срока, причем первый страховой взнос должен составлять не менее 50% всей страховой премии. Вторая часть страховой премии должна быть уплачена не позже, чем пройдет половина срока действия договора. Страховой тариф устанавливается как годовая ставка. При страховании на срок менее месяца страховая премия уплачивается в размере 0,7% годовой ставки за каждый день действия договора страхования.

Страховая премия может уплачиваться разными способами:

безналичным перечислением на расчетный счет страховщика в течение пяти банковских дней с даты подписания договора страхования, если иное не оговорено в договоре страхования;

наличными деньгами в кассу страховщика в день заключения и подписания договора страхования.

Если договором страхования предусмотрено внесение страховой суммы премии в рассрочку, то обычно в нем определяются санкции за неуплату в установленные сроки очередного страхового взноса. При наступлении страхового случая до уплаты очередного страхового взноса страховщик вправе при определении размера страховой выплаты зачесть суммы просроченного страхового взноса.

Договор страхования вступает в силу с момента уплаты страховой премии или первого ее взноса:

при безналичном перечислении: с 00 часов дня, следующего за днем перечисления страхователем страховой премии или первого ее взноса на расчетный счет страховщика;

при уплате наличными деньгами: с 00 часов дня, следующего за днем уплаты страховой премии или первого ее взноса страховщику.

Договор страхования прекращается:

неуплаты страхователем страховой премии (ее очередного взноса) в установленные договором страхования сроки;

ликвидации страховщика в порядке, установленном законодательством РФ;

в других случаях, предусмотренных законодательством Российской Федерации.

5. Урегулирование выплат


Урегулирование вопросов выплаты страхового возмещения по несчастным случаям представляет собой одну из самых спорных и сложных проблем. В первую очередь это касается выплат капитала или пенсии на случай инвалидности, установление размера которых часто вызывает разногласия между застрахованными и страховщиком. Оценка последствий несчастного случая для застрахованного проводится медицинским учреждением, которое определяет либо группу инвалидности, либо общую степень постоянной нетрудоспособности в процентах. Страховщик, получив медицинское заключение, использует собственные шкалы оценки и определяет сумму возмещения к выплате. Нередко страхователя не устраивает решение страховщика, и он может обратиться с иском к страховой компании. Судебные органы при вынесении решений по таким вопросам применяют собственные таблицы материальной оценки ущерба, наносимого жизни и здоровью человека.

Впервые такие таблицы появились в англосаксонских странах, а сейчас применяют во всех развитых странах мира. В основу данных таблиц положен принцип начисления человеку материальной компенсации за нанесение ущерба его физической целостности и соответственно за ухудшение его трудоспособности и жизнеспособности. Таблицы определяют стоимость каждого процента потери трудоспособности в зависимости от возраста пострадавшего. На практике динамика табличных коэффициентов определена таким образом, что потеря здоровья молодым человеком признается более значимой, чем потеря здоровья пожилым человеком. Эти таблицы используются для решения судебных дел не только в области страхования от несчастных случаев, но и в страховании гражданской ответственности, и в любых других случаях определения сумм возмещения вреда, нанесенного здоровью и жизни человека.

В последнее время в целях ускорения решения спорных вопросов по выплатам возмещения ущерба, причиненного здоровью застрахованного, страховщики предлагают клиентам обращаться не в суд, а в независимую экспертную комиссию. Комиссия создается из представителей клиента, страховщика и независимого медицинского учреждения. Достичь согласованного, приемлемого для обеих сторон решения удается гораздо быстрее и с меньшими издержками.

Если застрахованный умер, не получив причитающуюся ему страховую выплату по нетрудоспособности, то страховая выплата производится его наследникам. В случае смерти застрахованного в результате несчастного случая страховая сумма выплачивается выгодоприобретателю или наследникам по закону в полном размере за вычетом ранее выплаченного страхового обеспечения. Срок исковой давности по договорам страхования от несчастных случаев составляет три года со дня страхового случая.

Практическая часть


Задача 1

Предприниматель заключил договор смешанного страхования жизни. Рассчитать тарифные ставки и годичную страховую премию.Использовать коэффициенты рассрочки поснумерандо и пренумерандо.

Исходные данные:

1. Возраст страхователя, лет 33

2.      Срок страхования, годы 7

.        Вероятность наступления нечастного случая 0,00126

.        Процентная ставка, i 16

.        Страховая сумма, тыс. д.е. 600

.        Нагрузка абсолютная, д.е. 4

.        Регулярные расходы страховщика, % 1,9

.        Прибыль страховщика, % 3,1

Решение:

Рассчитаем нетто-ставку на дожитие.

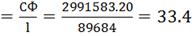
По истечении 7 лет страховщику предстоит выплатить определенное количество страховых сумм.

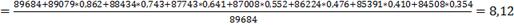
СВ =84508

СФ =84508*100=8450800

СФ =СФ*V=8450800*0,354=2991583,20

Т

Рассчитаем нетто-ставку на случай смерти

x

l

d

V

33

89684

604

0,862

34

89079

646

0,743

35

88434

690

0,641

36

87743

736

0,552

37

87008

783

0,476

38

86224

833

0,410

39

85391

833

0,354

40

84508

0,305


Т

Т *100=0,103

К

Т

Т

Т

К

Т

Т

Т =0,103+4,11+0,43=4,64

Рассчитаем брутто-ставку (поснумерандо)

Н

Т

П =11,01*6000=66060 д.е.

П =66060*7=462420 д.е.

Рассчитаем брутто ставку (пренумерандо)

Н

Т

П =5,4*6000=32400д.е.

П =32400*7=226800 д.е.

Задача 2

Предприниматель застраховал имущество по системе первого риска. Рассчитать страховое возмещение: в обьеме прямого ущерба; в обьеме прямого и дополнительного ущербов.

Исходные данные:

1. Страховая сумма, д.е. 8700

2.      Безусловная франшиза, д.е. 600

.        Стоимость имущества, д.е. 14400

.        Износ оборудования на дату заключения договора, % 14

.        Износ оборудования на дату наступления страхового случая, % 20

.        Стоимость ТМЦ, д.е. 2800

.        Ущерб, % от действительной стоимости

- Оборудование 62,0

ТМЦ 53,5

.   Затраты по ликвидации последствий пожара, % 25,8

9.      Рахмер материального ущерба, 5 35,1

10. Страховая сумма на возмещение дополнительного ущерба, д.е. 4300

Решение:

.   Расчет страхового возмещения в объёме прямого ущерба

СУ = СУ +Су =14400*(1-0,14)*0,62+2800*0,535=7678,08+1498=9176,08

СВ = 8700-600 = 8100

СС СУ СВ СС

.   Расчет страхового возмещения в объёме прямого и дополнительного ущерба

СС=8700+4300=13000

СУ= СУ +СУ +З =9176,08+3917,47=13093,8

З =0,258*15184=3917,47

СО=СО +СО =14400-(14400*0,14)+2800=15184

СВ =13000

СС СУ СВ СС

Задача 3

Предприниматель застраховал имущество по системе пропорциональной ответственности. Рассчитать страховое возмещение.

Исходные данные:

.   Стоимость имущества, д.е.

оборудование 104325

производственные запасы 58300

готовая продукция на складе 43825

.   Износ на момент заключения договора, % 14

3.      Износ на дату наступления страхового случая, % 17

.        Обьем ответственности 1-го страховщика, д.е. 51305

.        Обьем ответственности 2-го страховщика, д.е. 99995

.        Страховой тариф % по договору сострахования 5

.        Безусловная франшиза, % от страховой суммы 4

.        Материальный ущерб в результате аварии, % от действительной стоимости - оборудование 53

- производственные запасы 48

готовая продукция на складе 43

.   Страховая выплата по предыдущему случаю, д.е. 89000

А) До наступления страхового случая

.   СО=СО +СО +СО =104325-(104325*0,14)+58300+43825=191844,50

2.      СС = СС +СС = 51305+99995=151300

.        О

О =1-О *100=1-0,339*100=66,1%

5.      СП

1. БФ=73125,5-6052=67073,5

2.      СВ =СВ +СУ =67073,5+89000=156073,5

R=156073,5-151300=4773,5

СВ =67073-4773,5=62300

Каждая страховая выплатит:

СВ =62300*О=62300*0,339=21119,7

СВ=62300*О=62300*0,661=41180,3

 

Заключение


Страхование - это важнейший элемент системы общественных, главным образом, экономических отношений, который присущ любой исторически сложившейся форме совместной деятельности людей.

Экономическая сущность страхования состоит в следующем: страхование является перераспределительным экономическим отношением, характеризующимся случайностью и вероятностью, статистической наблюдаемостью и фактической возможностью страховых случаев; замкнутой солидарностью раскладки ущербов (в пользу пострадавших страхователей за счет всех страхователей данной страховой компании); наличием временных и пространственных границ раскладки ущербов, возвратностью части страховых взносов, направленной в страховые резервы и фонды страховщиков. Основная цель или миссия страховой деятельности может быть определена как удовлетворение общественной потребности в надежной страховой защите от случайных опасностей, соответствующей общепринятым требованиям по финансовой надежности. Такая формулировка не исключает и других целей, например аккумуляцию денежных средств для инвестиций, но подчеркивает приоритет функции предоставления услуг по страховой защите.

Достигаются цели страхования в результате страховой деятельности - коммерческой, преследующей получение прибыли, и некоммерческой (социальное и взаимное страхование). При этом противоречия между основной целью (защита) и коммерческой целью страховой деятельности (прибыль), по сути, нет, поскольку получение прибыли достигается не любыми средствами, а за счет умелого страхового предпринимательства, на основе тщательных расчетов при строгом соблюдении законодательства.

Страхование от несчастных случаев играет важную роль в компенсации ущербов, и потребность в их развитии возрастает вместе с развитием рыночной экономики.

 

 

Список используемой литературы


1. Страхование: учебник/ под ред. Т.А. Федоровой.-3-е изд., перераб. и доп. - М.: Экономистъ, 2010.-875 с.

. Страховое дело: Учебник. В 2т. (пер. с нем. О.И. Крюгер и Т.А. Федоровой) - Т.1:Основы страхования /под ред. О.И. Крюгер-М.: Экономистъ, 2010-447 с.

. Страховое дело: Учебник. В 2 т. (пер. с нем. О.И. Крюгер и Т.А. Федоровой).- Т.2: Виды страхования/под ред. О.И Крюгер-М.: Экономистъ, 2009-606 с.

. Гражданский кодекс Российской Федерации. Части первая, вторая, третья и четвертая.- М.: Проспект, «Издательство «Омега-Л», 2009.-544с.

. Cтрахование, страховые услуги, страховые компании

. Федеральный закон «Об организации страхового дела в Российской Федерации» от 27.11.03 г. №4015-1 - ФЗ с последующими изменениями и дополнениями приводится в редакции от 21.07.05 №104.

Похожие работы на - Страхование от несчастных случаев

 

Не нашли материал для своей работы?
Поможем написать уникальную работу
Без плагиата!
Без нейросетей!