Розв'язування рівнянь з параметрами
Зміст
Вступ
.
Теоретичні основи розв’язування рівнянь з параметрами
.
Основні види рівнянь з параметрами та методи їх розв'язування
.
Система розв’язування задач з параметрами для 9 класу
Висновки
Список
використаної літератури
рівняння параметр
функція формула
Вступ
На актуальність даної проблеми
вказують проблеми шкільної практики: завдання пов'язані з розв'язуванням
рівнянь з параметрами, часто трапляються на шкільних олімпіадах різних рівнів,
на різноманітних конкурсах. Також слід відмітити, що результати зовнішнього
оцінювання показали, що значних труднощів викликали в учнів розв'язування
рівнянь з параметрами.
Значний внесок у вивчення питання
методики розв’язування рівнянь з параметрами зробили такі вчені як Горнштейн
П.І., Полонський В.Б., Якір М.С., Ципкін А.Г., Пінський А.І., Новосьолов С.І.,
Никонов Е.Ю., Ткачук В.В., Лікоть В.В., Мордкович А.Г та ін.
Мета даної роботи полягає у
систематизації і розробці методичної системи навчання рівнянь з параметрами.
Об'єктом дослідження в курсовій
роботі є процес навчання учнів розв’язуванню рівнянь з параметрами в курсі
алгебри.
Предметом даної курсової роботи є
навчання учнів розв’язуванню рівнянь з параметрами.
Для досягнення мети даної курсової
роботи були поставлені такі завдання:
систематизувати відомості про
розв'язування рівнянь з параметрами в шкільному курсі алгебри;
систематизувати методи розв'язування
рівнянь з параметрами;
подати приклади розв'язування
рівнянь з параметрами різної складності та задачі самостійного розв'язування;
розробити систему розв’язування
рівнянь з параметрами для 9-го класу;
зробити висновки.
Гіпотеза дослідження: розробка
методичної системи навчання розв’язування рівнянь з параметрами сприятиме
підвищенню вмінь та навиків учнів.
Структура роботи побудована за
логічним принципом і складається з вступу, 3 розділів, які включають в себе
теоретичні основи розв’язування рівнянь з параметрами, основні види рівнянь з
параметрами та методи їх розв’язування, системи розв’язування задач з
параметрами, висновків, списку використаної літератури.
Теоретичне і практичне значення
даної роботи полягає у тому, що його висновки, основні положення та методичні
рекомендації можуть бути використані вчителями школи при організації вивчення
теми "Розв'язування рівнянь з параметрами" для підвищення якості
знань учнів, активізації їх пізнавальної діяльності.
1. Теоретичні основи розв’язування
рівнянь з параметрами
В програмах по математиці для
середніх шкіл задачам з параметрами відводять незначне місце. Тому, в перше
чергу, необхідно вказати розділи загальноосвітньої математики, в яких присутня
сама ідея параметра.
Так, з параметрами учні
зустрічаються при введенні деяких понять. Розглянемо як приклади наступні
об’єкти:
функція пряма пропорційність
(де -x,y змінні,
- параметр,
);
лінійна функція
(де
- змінні,
-
параметри);
лінійне рівняння
(де
- змінна,
-
параметри);
рівняння першої степені
(де
- змінна,
- параметри,
);
квадратне рівняння
(де
- змінна,
- параметри,
);
До задач з параметрами, які
розглядаються в курсі середньої школи, можна віднести, наприклад, пошук
розв’язків лінійних та квадратних рівнянь в загальному виді, дослідження
кількості їх коренів в залежності від значень параметрів.
Природно, що такий невеликий
клас задач багатьом учням не дозволяє усвідомити головне: параметр (фіксоване,
але невідоме число) має двоїсту природу.
По-перше, параметр можна
розглядати як число, а по-друге, - це невідоме число.
Таким чином, ділення на
вираз, який містить параметр, добування кореня парного ступеня із таких виразів
потребує попередніх досліджень.
Як правило, результати
досліджень впливають і на розв’язок, і на відповідь.
Не випадково задачі з
параметром є невід’ємним атрибутом завдань вступних іспитів з математики до
ВНЗ, а також зовнішнього незалежного оцінювання, оскільки вміння розв’язувати
такі задачі свідчать, що учень має ґрунтовну математичну підготовку, високий
рівень логічного мислення, навички дослідницької діяльності.
Незважаючи на те що програма
з математики загальноосвітньої школи не передбачає формування в учнів умінь
розв’язувати задачі з параметрами, реалії сьогодення (обов’язкове ЗНО) диктують
необхідність ознайомлення учнів із задачами з параметрами та методами їх
розв’язування.
Якщо в рівняння (нерівність,
систему рівнянь, систему нерівностей) крім невідомих величин, входять числа, що
позначені буквами, які не вказані, але вважаються відомими та заданими на
деякій числовій множині, то вони називаються параметрами.
Якщо в рівняння (нерівність,
систему рівнянь, систему нерівностей) містить параметр і треба знайти його
корені (розв’язки) залежно від параметра, то таке завдання відносять до задач
із параметрами.
Існують завдання, в яких
треба знайти всі значення параметра, при яких корені рівняння (розв’язки
нерівності або системи) задовольняють певну умову. Такі завдання теж вважають
задачами з параметрами. У деяких посібниках ці задачі ще називають
"дослідницькі задачі з параметрами".
Розв’язати рівняння
(нерівність, систему рівнянь, систему нерівностей) з параметрами означає знайти
всі розв’язки для кожної системи допустимих значень параметрів.
Під час розв’язування задач із
параметрами область зміни параметрів може бути заданою. Якщо не вказані межі
зміни параметрів, то вважається, що параметри набувають усіх своїх допустимих
значень.
. Основні види рівнянь з параметрами
та методи їх розв'язування
Універсального методу розв’язування
задач із параметрами не існує.
Часто користуються аналітичним (із
використанням формул, властивостей функцій) та графічними методами.
Приклад. Знайдіть усі дійсні
значення параметра а, при яких система рівнянь
рівняння параметр
пропорційність задача
має рівно три розв’язки.
Розв’язання
Спосіб 1 (аналітичний)
(1)
Система (1) рівносильна сукупності
систем рівнянь:
Розв’яжемо першу систему сукупності.
Оскільки рівняння системи (2) не
містять параметра, то при будь-яких значеннях а система (1) має два розв’язки.
Система (1) матиме рівно три розв’язки, якщо система (3) матиме рівно один
розв’язок або якщо один із розв’язків системи (3) такий самий, як розв’язок
системи (2). А це можливо при
Здобута система має один розв’язок,
якщо рівняння
матиме один
корінь.
Рис. 1
Коло і пряма мають одну спільну
точку, якщо пряма
є дотичною до кола.
Зрозуміло, що пряма
буде дотичною до
кола з центром (0;0) і радіусом R=1 при
.
Спосіб 2 (графічний)
На координатній площині х0а
побудуємо графіки рівняння
- коло з центром
(0;0) і радіусом 1 та графік функції
-
кут із вершиною в початку координат, його сторони - бісектриси першого та
другого координатних кутів.
Розташування прямої
,
що задовольняє умову, може бути таким, як на рисунку 2, звідки
або
.
Рис. 2
Відповідь. При
.
Наведений приклад демонструє
перевагу використання графічного методу над аналітичним під час знаходження
кількості розв’язків залежно від параметра.
Графічний метод розв’язування задач
із параметрами.
Дістати вичерпну інформацію про
кожний із параметрів на проміжку (
під час розв’язування рівнянь із параметрами можна, використовуючи графічний
метод ("Метод Оха").
На графіку видно, при яких значеннях
параметра рівняння має корені (і скільки), при яких - не має.
Метод графічного розв’язування
рівнянь з параметрами складається з таких етапів:
Знаходимо область допустимих значень
невідомого і параметрів, що входять до рівняння (область визначення рівняння).
Виражаємо параметр а як функцію від
х.
У системі координат х0а будуємо
графік функції
для тих значень х,
які входять в область визначення рівняння.
Знаходимо точки перетину прямої
,
де с належить проміжку
з графіком
.
Можливі випадки:
пряма
не
перетинає графік функції
. При цьому
значення a рівняння коренів не має;
пряма
перетинає
графік функції
. Тоді визначаємо
абсциси точок перетину. Для цього достатньо розв’язати рівняння
відносно
х.
Записуємо відповідь.
Приклад. При яких значеннях
параметра а рівняння
має рівно три корені?
Розв’язання
Рівняння
рівносильне сукупності рівнянь
На координатній площині х0а
побудуємо графіки функцій
(рис. 3)
Рис. 3
Пряма
має
з графіками функцій рівно три точки перетину, якщо
Відповідь. При
Лінійні рівняння з параметрами
Рівняння виду
,
де
-
сталі коефіцієнти, називаються лінійним відносно невідомого х.
Рис. 4
Під час розв’язування лінійних
рівнянь, що містять параметри в знаменнику, обов’язково треба враховувати
область допустимих значень параметра.
Приклад. Розв’яжіть рівняння
відносно х.
Розв’язання
ОДЗ:
Після зведення дробів до спільного
знаменника, перейдемо до лінійного рівняння відносно х.
Якщо
,
то рівняння набуває вигляду
При
Врахувавши ОДЗ параметра, запишемо
відповідь.
Відповідь. При
-
будь-яке число, при 
при
коренів
немає.
Системи лінійних рівнянь з
параметрами
Системою двох лінійних рівнянь з
двома невідомими х і у називається система рівнянь виду
де
довільні
дійсні числа.
Дослідити систему означає за її
коефіцієнтами встановити, який із випадків має місце:
Система має єдиний розв’язок;
Система не має розв’язків;
Система має безліч розв’язків.
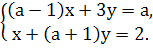
Приклад. Визначте, при яких
значеннях параметра а система рівнянь
(1)
Система має єдиний розв’язок, якщо
Отже, при
система
рівнянь має єдиний розвязок, знайдемо його. Систему (1) розв’яжемо способом
додавання, для цього обидві частини другого рівняння домножимо на 1-а (а
і здобуте рівняння додамо до першого.
Дістанемо рівняння
При
рівняння
(2) має безліч коренів, а отже, й система (1) має безліч розв’язків. При
рівняння
(2) не має коренів й система (1) не має розв’язків. При
система
(1) набуває вигляду
звідки маємо єдиний розв’язок
системи
При
рівнянння
(2) має єдиний корінь
система (1) має єдиний розв’язок
Відповідь. При
система
має єдиний розвязок
при
система
має безліч розв’язків; при
система не має
розв’язків. Квадратні рівняння з параметрами. Алгоритм розв’язання рівняння
з
параметром. Рівняння виду
- сталі коефіцієнти
або функції від параметра, х - невідома, називається квадратним рівнянням з
параметрами.
Рис. 5
Приклад. Залежно від параметра а
розв’яжіть рівняння
Розв’язання
Дане рівняння має розв’язки при
D>0;
=
Отримуємо нерівність a(a-16)>0;
Використовуємо метод інтервалів і
знаходимо розв'язки.
При a Є
;-2
розв'язки;
При a Є
-немає
розв’язків;
При a=0 або a=16- 1 розв’язок;
Відповідь. При a Є
є
2 розв’язки, При a Є
-немає розв’язків;
При a=0 або a=16- 1 розв’язок.
Дробово-раціональні рівняння з
параметрами, що зводяться до лінійних.
Процес розв’язування дробових
рівнянь протікає за звичайною схемою: дробове рівняння замінюється цілим шляхом
множення обох частин рівняння на спільний знаменник лівої і правої його частин.
Після чого учні вирішують відомим їм способом ціле рівняння, виключаючи
сторонні корені, тобто числа, які перетворюють загальний знаменник в нуль. У
випадку рівнянь з параметрами це завдання більш складне. Тут, щоб виключити
сторонні корені, потрібно знаходити значення параметра, що перетворює загальний
знаменник в нуль, тобто вирішувати відповідні рівняння щодо параметра.
Приклад.
При яких значеннях а має 1 розв’язок
рівняння:
Знайдемо ОДЗ:
>0;
Використаємо метод інтервалів:
Далі знайдемо при яких значеннях
параметра рівняння буде мати 1 розв'язок
При D>0;
D=
-4(-3a-1)=
-4(-3a-1)=
>0
(3a+2)2≥0;
Як бачимо при а Є R рівняння буде
мати розв'язки.
Ірраціональні рівняння з параметрами.
Існує кілька способів розв’язування
ірраціональних рівнянь або нерівностей з параметрами. Познайомимося з ними,
розібравши наступний приклад.
Приклад. Розв’яжіть рівняння:
<a-x;
Знайдемо ОДЗ:
-
≥0;
a-x≥0;
≤x
1;
x≤a;
Знайдемо D:
<(a-x)2;
2
-2ax+
-1>0;=-4
+8;
Розглянемо три випадки при різних
значеннях дискримінанта:
)D<0 x Є ОДЗ.
+8<0;
;
[
;
)D=0;=
;=
=
;
)D>0;
;1=
;
X2=
;
≥-1
(a+1)2≥0;
≤1
(a-1)2
Звідси бачимо, що рівняння буде мати
розвяз4и при будь-якому а з допустимих.
Тригонометричні рівняння з
параметрами
Більшість тригонометричних рівнянь з
параметрами зводиться до розв’язування найпростіших тригонометричних рівнянь
трьох типів. За позитивного рішення таких рівнянь необхідно враховувати
обмеженість тригонометричних функцій у = sin x і y = cos x. Розглянемо приклад:
При яких значеннях а має розв'язки
рівняння:
-(a+7)cosx+(4-a)(2a+3)=0;
Це рівняння буде мати розв'язки при
D>0;
D=(a+7)2-a(4-a)(2a+3)=(3a+1)2;
(3a+1)2≥0;
При всіх значеннях параметра
рівняння буде мати корені.
. Система розв’язування задач з
параметрами для 9 класу
Вправа 1. Порівняємо -а і 3а.
Розв’язання
Розглядаємо три випадки:
Якщо
,
то
;
Якщо
,
то
;
Якщо
,
то
.
Вправа 2. Розв’яжемо рівняння:
)
;
2)
3).
Розв’язання
На перший погляд відповідь очевидна:
Однак
при а=0 дане рівняння немає розв’язків.
Відповідь. Якщо а=0, то розв’язків
немає; якщо
, то
Перетворимо спочатку рівняння
.
Рівняння має єдиний розв’язок
незалежно від значення параметра а. Наприклад,
якщо
Зауважимо,що параметр а може
набувати будь-яких значень, а значення х знаходимо за формулою
.
Відповідь.
для
будь-якого значення параметра а.
Вправа 3
,
для якого а число 4,5 є коренем
рівняння?
Оскільки число 4,5 є коренем даного
рівняння, то воно перетворює рівняння в правильну рівність:
,
звідки
.
.
Вправа 4. Розв’язати рівняння
.
Основою розв’язування задач з
параметрами є правильне розбиття області зміни параметра на окремі частини і до
цього потрібно привчати учнів.
У запропонованому рівнянні
коефіцієнт при х дорівнює а. Тому можливі випадки:
а) коефіцієнт при х дорівнює 0 і
рівняння має вигляд
та немає коренів;
б) коефіцієнт при х не дорівнює 0.
Тоді поділимо обидві частини рівняння на коефіцієнт
:
,
,
.
. Якщо а=0, то
рівняння розв’язку немає; якщо
, то
.
Важливо звертати увагу учнів на
випадки, коли коефіцієнт при х дорівнює нулю, і розглядати їх у першу чергу, що
допоможе учням уникати поширеної помилки: взагалі не розглядати таких випадків.
Вправа 5. Розв’язати рівняння
.
Розв’язання
Очевидно, що для розв’язку цього
рівняння достатньо розглянути такі випадки:
; тоді рівняння
матиме вигляд 0х=2 і немає розв’язків;
; рівняння матиме
вигляд 0х=0 і матиме безліч розв’язків;
; маємо
.
Важливим етапом розв’язування задач
з параметрами є запис відповіді. Особливо це відноситься до тих прикладів, де
розв’язки міняються в залежності від значення параметра. В подібних випадках
складання відповіді - це збір одержаних результатів. І тут дуже важливо не
забути відобразити у відповіді всі етапи розв’язку.
Відповідь. Якщо
,
то х- будь-яке число; якщо
, то розв’язків
немає; якщо
, то
.
Вправа 6. Розв’язати нерівність
.
Розв’язання
Аналіз трьох можливостей
,
,
дозволяє
отримати результат:
Відповідь. Якщо
,
то
;
якщо
,
то х - будь-яке число; якщо
, то
.
Для знайомства із параметрами,
корисно ще розглянути наступні два приклади:
Вправа 7. Розв’язати нерівність
.
Розв’язання
Очевидно, що при
права
частина нерівності від’ємна, тоді при будь-якому х ліва частина більша правої.
У випадку, коли а=0, варто не пропустити той факт, що дану нерівність
задовольняють всі дійсні числа, крім
.
Відповідь. Якщо
,
то х - будь-яке число; якщо а=0,
або
.
Звертаємо увагу, що у всіх
прикладах, що розглядалися областю допустимих значень для змінної і для
параметра була множина дійсних чисел. Познайомимося із задачею іншого роду
Вправа 8. Розв’язати рівняння
.
Розв’язання.
існує для
будь-якого х,
при всіх а. Учні
часто допускаються помилки, вважаючи розв’язком рівняння єдиний корінь х = а,
адже при від’ємних значеннях а дана рівність неможлива.
Відповідь. Якщо
,
то х = а; якщо
, то розв’язків
немає.
Вправа 9. Розв’язати рівняння
Розв'язання
Знайдемо ті значення параметра, які
перетворюють у нуль коефіцієнт при х:
, а=0 або а=2.
Якщо а=0, рівняння матиме вигляд
,
таке рівняння розв’язків немає.
Якщо а=2, то
,
тобто х - будь-яке число.
Якщо
,
,
то
.
Відповідь. Якщо а=0, то немає
коренів; якщо а=2, то х -будь-яке число: якщо
,
то
.
:
,
.
, тобто х -
будь-яке число.
Якщо а=-1, то
,
це рівняння розв’язків немає.
Якщо
,
то
.
Відповідь. Якщо а=1, то х - будь-яке
число; якщо
, то розв’язків
немає; якщо
, то
.
Вправа 11.
,
,
або
.
Якщо
,
то
,
х - будь-яке число.
Якщо
,
то немає коренів.
Якщо
,
,
то
.
Відповідь. Якщо
,
то рівняння немає коренів; якщо
, то х - будь-яке
число; якщо
,
,
то
.
Вправа 12. Розв’язати рівняння
.
Розв’язання.
Дане рівняння рівносильне системі
Звідси
-
корінь даного рівняння при будь-якому а, а х=1 - корінь лише при х = а.
Відповідь. Якщо
,
то
,
або
;
якщо
,
то
;
якщо
,
то
.
Вправа 13. При яких а нерівність
має
єдиний розв’язок?
Розв’язання
Очевидно, що а=2 задовольняє вимозі
задачі. Дійсно, при а=2 отримуємо нерівність
,
що має єдиний розв’язок. Відповідь. а=2.
Вправа 14. При кожному значенні
розв’язати рівняння
.
Розв’язання. Запишемо дане рівняння
у вигляді
.
Якщо а=9, то рівняння набуває
вигляду 0
,
коренем цього рівняння є будь-яке число; Якщо
,
,
то
Відповідь. Якщо
,
то коренів немає; якщо
, то х - будь-яке
число; якщо
,
,
то
Висновки
В даній курсовій роботі були
розглянуті методи розв'язування рівнянь з параметрами, як стандартними, так і
нестандартними методами, були розв’язані найпоширеніші типи рівнянь з
параметрами, поглиблювались знання про методику розв'язування рівнянь з
параметрами, розглядалися складні випадки розв'язання рівнянь з параметрами.
Серед методів розв'язання рівнянь з
параметрами користуються аналітичним (із використанням формул, властивостей
функцій) та графічними методами.
Для того, щоб набути міцних та
глибоких знань, оволодіти способами і методами розв’язування рівнянь з
параметрами, дуже важливо розв’язати їх достатню кількість,щоб систематизувати
та узагальнити знання по даній темі.
Отже, матеріал даної курсової роботи
сприяє систематизації, поглибленню і розширенню знань, навичок та умінь по темі
"методика розв’язування рівнянь з параметрами" та їх цілеспрямованому
використанні під час виконання різних типів завдань. Ця тема повинна вивчатися
не тільки на факультативах і додаткових заняттях, але й у шкільній програмі,
тому що вона формує логічне мислення й математичну культуру в школярів.
Список використаної літератури
1. Мерзляк А.Г., Полонський В.Б., Рабінович Ю.М., Якір М.С. Алгебра і початки аналізу Збірник задач
і контрольних робіт 10 клас.-Х.: "Гімназія", 2012.
.
"Збірник завдань для державної підсумкової
атестації з математики. 9 клас" (авт. Мерзляк А.Г., Полонський
В.Б., Якір М.С., за редакцією Бурди М. І. - К.: Центр навчально-методичної
літератури, 2014).
. "Збірник завдань для державної підсумкової атестації
з математики. 11 клас" (авт. Мерзляк А.Г., Полонський В.Б., Якір М.С., за
редакцією Бурди М. І. - К.: Центр навчально-методичної літератури, 2014).