Моделі геометрії Лобачевського
Вступ
Відкриття того, що евклідова
геометрія не є єдино можливою, зроблене на початку минулого століття Гауссом,
Лобачевським і Больяи, вплинуло на світогляд людства, порівнянне з впливом
таких великих відкриттів природничих наук, як геліоцентрична система Коперника
або еволюційна теорія Дарвіна. Починаючи з кінця минулого століття неевклідова
геометрія, поряд з евклідової, є одним з робочих інструментів математики,
незважаючи на те що "простір, в якому ми живемо", в доступних нашому
розумінню межах є скоріше евклідовим, ніж неевклідовим.
Якщо під неевклідової геометрією
розуміти будь-яку геометрію, відмінну від евклідової, то мається неозоре безліч
таких геометрій. Було б важко сказати що-небудь про всіх них відразу. У даній
роботі під терміном «неевклідова геометрія» мається на увазі геометрія
Лобачевського або двоїста їй сферична геометрія. Серед геометрій, в яких є
поняття відстані між точками, ці дві геометрії разом з евклідової геометрією
займають особливе положення. Їх можна охарактеризувати як геометрії
максимальної рухливості або геометрії постійної кривизни, вони є у відомому
сенсі найбільш досконалими.
Наприкінці минулого століття в
роботах Пуанкаре і Клейна була встановлена пряма зв'язок геометрії
Лобачевського з теорією функцій комплексної змінної і з теорією чисел. З тих
пір апарат геометрії Лобачевського став невід'ємним компонентом цих розділів
математики. Метою даної роботи є геометрія Лобачевського. У курсовій роботі
розглядаються основні поняття геометрії Лобачевського, наводяться деякі приклади
теорем неевклідової геометрії і показуються різні додатки геометрії
Лобачевського. Особлива увага приділяється моделям (інтерпретаціям) даної
геометрії, детально розглянуті моделі Бельтрамі, Келі-Клейна, Пуанкаре.
1.Історія виникнення неевклідової геометрії
.1 Біографія Миколи Івановича
Лобачевського
Народився 1 грудня 1792 р. в
Нижньому Новгороді. Батько помер, коли хлопчикові виповнилося сім років, і мати
разом з трьома синами переїхала в Казань.
Лобачевский закінчив Казанський
університет. У 1814 р. він приступив до читання лекцій з теорії чисел, а в 1827
р., вже будучи професором, був обраний в ректори і обіймав цю посаду впродовж
19 років.
Гучна слава Лобачевского грунтована
на його геометричних дослідженнях. До 1826 р. він визначив розроблену ним
систему як "уявну геометрію" на відміну від "споживаної",
Евкліда.
Відкриття Лобачевского було уперше
стисле викладено в лютому 1826 р. на засіданні відділення фізико-математичних
наук і потім представлено в статті "Нові начала геометрії з повною теорією
паралельних"("Вчені записки Казанського університету", 1835 р.).
Європейські учені дізналися про
роботи Лобачевского лише в 1840 р., і вже в 1842 р. він був обраний
членом-кореспондентом Геттингенського наукового товариства.
Лобачевскому належить також ряд
робіт по математичному аналізу. Він дав загальне визначення функціональній
залежності. У алгебрі відомий його метод наближеного рішення рівнянь будь-якої
міри; учений першим в Росії опублікував курс вищої алгебри.
У Казанському університеті
Лобачевский читав лекції з астрономії і проводив астрономічні спостереження.
Завдяки його ентузіазму при університеті була побудована нова обсерваторія,
одна з кращих по тому часу. Вона почала працювати в 1838 р., на рік раніше
Пулковської(нині Головна астрономічна обсерваторія РАН, біля Петербургу).
Помер 24 лютого 1856 р. в Казані.
У 1883-1886 рр. Казанський
університет видав "Повне зібрання творів по геометрії Лобачевского".
У 1893 р. на честь століття з дня
народження Лобачевского йому спорудили пам'ятник в Казані на зібрані по
міжнародній підписці кошти. У 1895 р. Казанське фізико-математичне суспільство
заснувало премію імені Лобачевского за видатні роботи в області геометрії. Цю
нагороду понині присуджує Російська академія наук.
Рис.
1.2 Історія
створення геометрії Лобачевського
У розвитку Геометрія можна вказати
чотири основних періоди, переходи між якими позначали якісна зміна геометрії.
Перший - період зародження геометрії
як математичної науки - протікав у Стародавньому Єгипті, Вавилоні та Греції
приблизно до 5 в. до н. е.. Первинні геометричні відомості з'являються на самих
ранніх ступенях розвитку суспільства. Зачатками науки слід вважати встановлення
перших загальних закономірностей, у даному випадку - залежностей між геометричними
величинами.
Другий період розвитку геометрії
пов'язаний із становленням геометрії в самостійну математичну науку: з'явилися
систематичні її викладу, де її пропозиції послідовно доводили. Відомі згадки
про систематичному викладі геометрії. Збереглися і що з'явилися близько 300 р.
до н. е.. «Начала» Евкліда.
Третій період виділяють з 1-ої
половини XVIIв Р. Декарт, який ввів в геометрію метод координат. Метод
координат дозволив зв'язати геометрію з розвивалася тоді алгеброю і що
зароджується аналізом. Застосування методів цих наук у геометрії породило
аналітичну геометрію, а потім і диференціальну.
Четвертий період у розвитку
геометрії відкривається побудовою Н. І. Лобачевським в 1826 нової, неевклідової
геометрії, званої тепер геометрією Лобачевського.
лютого 1826 російський математик
Микола Іванович Лобачевський (1792-1856р) на засіданні фізико-математичного
факультету Казанського університету проголосив про створення нової геометрії,
названої ним «уявною геометрією». Ця геометрія була заснована на тих же
традиційних постулатах і аксіомах геометрії, як і у Евкліда (330-275 р. до н.
е..), але з заміною його п'ятого постулату про паралельні: «на площині через
точку, взяту поза даною прямою, можна провести одну і тільки одну пряму,
паралельну даній прямій, а всі інші прямі, що проходять через цю точку,
перетинаються з даною прямою «, на новий п'ятий постулат про паралельні:»на
площині через точку, взяту поза даною прямою, можна провести дві і тільки дві
прямі, паралельні даній, а також нескінченна безліч прямих, що не перетинаються
з даною прямою і їй не паралельні, і нескінченна безліч прямих, які
перетинаються з даною прямою «.
Незалежно від Лобачевського до таких
ідей прийшов угорський математик Янош Больяи (1802-1860р), який опублікував
свою роботу на три роки пізніше Лобачевського (1832) і видатний німецький
математик Карл Фрідріх Гаус (1777-1855р), у якого після його смерті були
знайдені окремі неопубліковані начерки початкових положень неевклідової
геометрії.
Повне визнання і широке поширення
геометрія Лобачевського отримала через 12 років після його смерті, коли стало
зрозуміло, що наукова теорія, побудована на базі деякої системи аксіом
(вихідних положень, прийнятих без доказу) вважається тільки тоді повністю
завершеною, коли ця система аксіом задовольняє трьом умовам : незалежності,
несуперечності і повноти.
Саме цим властивостям і задовольняє
геометрія Лобачевського.
Остаточно це стало зрозуміло, коли в
1868 році італійський математик Еудженіо Бельтрамі (1835-1900р) у своєму
мемуарі «Досвід тлумачення неевклідової геометрії» показав, що в евклідовому
просторі R3 на псевдосферіческіх поверхнях має місце геометрія
шматка площині Лобачевського, якщо на них за прямі прийняти геодезичні лінії.
Далі німецький математик Фелікс
Християн Клейн (1849-1925р) спираючись на дослідження Еудженіо Бельтрамі і
французький математик Анрі Пуанкаре (1854-1912р) суворо довели несуперечливість
неевклідової геометрії, побудувавши відповідні моделі площини Лобачевского.
Ілюмінація геометрії Лобачевського
на поверхнях евклідова простори вирішальним чином сприяло загальному визнанню
ідей Лобачевського.
Підсумком такого неевклідової
підходу стало створення Георгом Фрідріхом Бернгардом Ріманом (1826-1866р)
ріманової геометрії, розвинула математичне вчення про простір, поняття
диференціала відстані між елементами різноманіття і вчення про кривизну.
Введення узагальнених ріманових просторів, приватними випадками яких є простору
Евкліда і Лобачевського і так званої геометрії Рімана, відкрило нові шляхи в
розвитку геометрії і знайшли застосування у фізиці (теорія відносності) та
інших розділах природознавства.
Геометрію Лобачевського називають
також гіперболічної на тій підставі, що для опису математичних співвідношень
даної геометрії були використані гіперболічні функції введені в XVIII столітті
італійським математиком Вінцент Рікатті,
де
-Число,
введене Джоном Непером (1550-1617).
Таким чином, геометрія Лобачевського
вивчає властивості «плоскості Лобачевського» (у планіметрії) і «простору
Лобачевського» (у стереометрії). Площина Лобачевського - це площина (безліч
точок), у якій визначені прямі лінії, а також рухи фігур (разом з тим -
відстані, кути та ін), що підкоряються всім аксіомам евклідової геометрії, за
винятком аксіоми про паралельних, яка замінюється вказаною вище аксіомою
Лобачевського. Подібним чином визначається простір Лобачевського. Завдання
з'ясування реального сенсу геометрії Лобачевського полягала в знаходженні
моделей площині і простору Лобачевського, тобто в знаходженні таких об'єктів, в
яких реалізувалися б відповідним чином витлумачені положення планіметрії і
стереометрії геометрії Лобачевського. [1]
1.3 Постулати
паралельності Евкліда і Лобачевского
Основним пунктом, звідки починається
розділення геометрії на звичайного Евкліда(споживану) і Не Евкліда (уявну
геометрію або "пангеометрию") являється, як відомо, постулат про
паралельні лінії.
У основі звичайної геометрії лежить
припущення, що через точку, що не лежить на цій прямій, можна провести в
площині, визначуваною цією точкою і прямою, не більше за одну пряму, що не
перетинає цю пряму.
Той факт, що через точку, що не
лежить на цій прямій, проходить принаймні одна пряма, що не перетинає цю пряму,
відноситься до "абсолютної геометрії", тобто може бути доведений без
допомоги постулату про паралельні лінії.
Пряма ВВ, що проходить через Р під
прямим кутом до перпендикуляра РQ, опущеного на АА1, не перетинає прямої АА1;
ця пряма в геометрії Евкліда називається паралельною до АА1.
В протилежність постулату Евкліда,
Лобачевский приймає в основу побудови теорії паралельних ліній наступну
аксіому:
Через точку, що не лежить на цій
прямій, можна провести в площині, визначуваною цією точкою і прямою, більше за
одну пряму, що не перетинає цю пряму.
Звідси безпосередньо витікає
існування нескінченно безлічі прямих, що проходять через одну і ту ж точку і не
перетинають цю пряму.
Нехай пряма СС1 не перетинає АА1;
тоді усі прямі, що проходять усередині двох вертикальних кутів ВРС і В1РС1,
також не перетинаються з прямою АА1.
2. Аналітична геометрія площини М.
Лобачевського
.1 Основні поняття
У евклідової геометрії згідно
п'ятому постулату на площині через точку ^ Р, що лежить поза прямоюА'А,
проходить тільки одна пряма В'В, не яка перетинає А'А. Пряма В'В називається
паралеллю до А'А. При цьому досить вимагати, щоб таких прямих проходило не
більше однієї, так як існування непересічних прямій може бути доведено шляхом
послідовного проведення прямих PQA 'A і PBPQ. В геометрії Лобачевського аксіома
паралельності вимагає, щоб через точку Р проходило більше однієї прямої, що не
перетинає А 'А.
Рис. 1
Непересічних прямі заповнюють
частину пучка з вершиною ^ Р, що лежить всередині пари вертикальних кутів TPU і
U 'PT', розташованих симетрично щодо перпендикуляра PQ.Прямі, що утворюють
сторони вертикальних кутів, відокремлюють перетинають прямі від непересічних і
самі є теж непересічні. Ці граничні прямі називаються паралелями в точці Р до
прямоїА'А відповідно в двох її напрямках: T 'Т паралельноА' А в напрямку A 'A,
a UU' паралельно А 'А в напрямку А А'. Решта непересічних прямі називаються
розбіжними прямими зА 'А.
Ця залежність називається функцією
Лобачевського: П (a) = 2 arctg, де до - деяка константа, що визначає фіксований
за величиною відрізок. Вона отримала назву радіусу кривизни простору
Лобачевського. Подібно сферичної геометрії існує нескінченна безліч просторів
Лобачевського, що розрізняються величиною к.
Дві різні прямі по площині утворюють
пару одного з трьох типів.
Пересічні прямі. Відстань від точок
одній прямій до іншої прямої необмежено збільшується при видаленні точки від
перетину прямих. Якщо прямо не перпендикулярні, то кожна проектується
ортогонально на іншу у відкритий відрізок кінцевої величини.
Паралельні прямі. На площині через
дану точку проходить єдина пряма, паралельна даній прямій в заданому на
останній напрямку. Паралель в точці Р зберігає в кожній своїй точці властивість
бути паралеллю тій же прямій в тому ж напрямку. Паралелізм володіє взаємністю
(якщо а | | b в певному напрямку, то йb | | а у відповідному напрямку) і
транзитивності (якщо а | | b і з | | b в одному напрямку, то а | | з у
відповідному напрямку). У напрямку паралельності паралельні необмежено
зближуються, в протилежному напрямку - необмежено віддаляються (в сенсі
відстані від перемещающейся точки одній прямій до іншої прямої). Ортогональна
проекція однієї прямої на іншу є відкритою полупрямой.
Суперечать прямі. Вони мають один
спільний перпендикуляр, відрізок якого дає мінімальну відстань. По обидві
сторони від перпендикуляра прямі необмежено розходяться. Кожна пряма
проектується на іншу у відкритий відрізок кінцевої величини.
Трьом типам прямих відповідають на
площині три типи пучків прямих, кожен з яких покриває всю площину: пучок 1-го
роду - безліч всіх прямих, що проходять через одну точку (центр пучка); пучок
2-го роду - безліч всіх прямих, перпендикулярних до однієї прямий (базі пучка);
пучок 3-го роду - безліч всіх прямих, паралельних одній прямій в заданому
напрямку, що включає і цю пряму.
Ортогональні траєкторії прямих цих
пучків утворюють аналоги окружності евклідової площині: окружність у власному
розумінні; еквідистанта, або лінія рівних відстаней (якщо не розглядати базу),
яка увігнута у бік бази; гранична лінія, або орициклом, її можна розглядати як
коло з нескінченно віддаленим центром . Граничні лінії конгруентний. Вони не
замкнуті і увігнуті в сторону паралельності. Дві граничні лінії, породжені
одним пучком, - концентричні (висікають на прямих пучка рівні відрізки).
Ставлення довжин концентричних дуг,
укладених між двома прямими пучка, убуває в бік паралельності як показова
функція відстані х між дугами: s '/ s = e.
Кожен з аналогів окружності може
ковзати по самому собі, що породжує три типи однопараметричних рухів площині:
обертання навколо власного центру; обертання навколо ідеального центру (одна
траєкторія - база, решта - еквідістанти); обертання навколо нескінченно
віддаленого центру (всі траєкторії - граничні лінії) .
Обертання аналогів кіл навколо
прямої породжує пучка призводить до аналогів сфери: соб ственно сфері, поверхні
рівних відстаней і орисфере, або граничної поверхні.
На сфері геометрія великих кіл -
звичайна сферична геометрія; на поверхні рівних відстаней - геометрія
еквідістанти, що є планіметрії Лобачевского, але з великим значенням до; на
граничній поверхні - евклідова геометрія граничних ліній.
Зв'язок між довжинами дуг і хорд
граничних ліній і евклідові тригонометричні співвідношення на граничній
поверхні дозволяють вивести тригонометричні співвідношення на площині, тобто
тригонометричні формули для прямолінійних трикутників.
2.2 Несуперечність геометрії
Лобачевского
Вивівши вже у своїй першій роботі
"Про начала геометрії" формули тригонометрії своєї нової системи,
Лобачевский помітив, що "ці рівняння переменяются в . (рівняння) сферичній
Тригонометрії, як скоро замість боків а, b, c ставимо в а - 1, b - 1, з - 1,
але в звичайній Геометрії і сферичній Тригонометрії скрізь входить один зміст(
тобто стосунки ) ліній : отже, звичайна Геометрія, Тригонометрія і ця нова
геометрія завжди будуть погоджені між собою". Це означає, що якщо ми
запишемо теорему косинусів, теорему синусів і подвійну теорему косинусів
сферичної тригонометрії для сфери радіусу r у виді
sinB sinC,(a/r) sin(b/r)
sin(c/r)(a/r)=cos(b/r)*cos(c/r)+sin(b/r)*sin(c/r)*cosA,=-cosBcosC+sinBsinCcos(a/r),
це формули тригонометрії
Лобачевского можна записати в тому ж вигляді, замінивши сторони а, b, c
трикутника добуткамиai, bi, ci; оскільки множення сторін а, b, c на i
рівносильно множенню на i радіусу сфери, то, вважаючи r=qi і скориставшись
відомими співвідношеннями
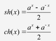
(ix) = ch x, sin(ix) = i sh x,
ми можемо переписати відповідні
формули тригонометрії Лобачевского у виді
(a/q)=ch(b/q)*ch(c/q)-sh(b/q)*sh(c/q)*cosA,sinB
sinC,(a/q) sh(b/q) sh(c/q)= -cosBcosC + sinBsinCcos(a/q).
Фактично Лобачевский довів
несуперечність своєї системи тим, що ввів як на площині, так і в просторі
координати і таким чином побудував арифметичну модель площини і простору
Лобачевского.
Проте сам Лобачевский бачив
свідоцтво несуперечність відкритої ним геометрії у вказаному зв'язку формул його
тригонометрії з формулами сферичної тригонометрії. Це виведення Лобачевского
неправомірне. У своїх мемуарах він довів, що формули сферичної тригонометрії
витікають з його геометрії, між тим, щоб стверджувати, що з несуперечності
тригонометричних формул витікає несуперечність геометрії Лобачевского, потрібно
було довести, що усі пропозиції останньою можна вивести з її тригонометричних
формул і "абсолютної геометрії" - пропозицій, не залежних від п'ятого
постулату. Лобачевский спробував провести такий доказ, але в його міркування
вкралася помилка.
2.3 Аксіома Лобачевского .
Паралельні прямі по Лобачевскому
.Геометрія Лобачевского(чи
гіперболічна геометрія) основана на аксіомах груп I - IV абсолютної геометрії і
на наступній аксіомі Лобачевского.*. Нехай а - довільна пряма, а A - точка, що
не лежить на цій прямій. Тоді в площині, визначуваній точкою А і прямій а,
існує не менше двох прямих, що проходять через точку А і що не перетинають
пряму а.
З аксіоми V* безпосередньо виходить,
що якщо дані довільна пряма а і точка А, що не лежить на ній, то існує
нескінченна безліч прямих, що проходять через точку А і що не перетинають пряму
а. Насправді, по аксіомі V* існують дві прямі, які позначимо через b і з,
проходять через точку А і що не перетинають пряму а(мал. 1). Прямі b і з
утворюють дві пари вертикальних кутів, які на малюнку 2 позначені цифрами 1, 2
і 3, 4.Пряма а не перетинає прямі b і з, тому усі її точки належать внутрішній
області одного з чотирьох кутів 1, 2, 3, 4, наприклад внутрішній області кута
1. Тоді, очевидно, будь-яка пряма, що проходить через точку А і що лежить
усередині вертикальних кутів 3 і 4, не перетинає пряму а(наприклад, прямі L і d
на мал. 1).
Умовимося вважати, що усі прямі, що
розглядаються нами, є спрямованими прямими. Тому ми їх позначатимемо двома
буквами, наприклад UV, вважаючи, що точка U передує точці V. Передбачається
також, що точки U і V вибрані так, що точки, що розглядаються нами, на цій
прямій лежать між точками U і V.
.Введемо наступне визначення. Пряма
АВ називається параллельной прямої CD, якщо ці прямі не мають загальних точок
і, які б не були точки Р і Q, що лежать відповідно на прямих АВ і CD, будь-який
внутрішній луч1 кута QPB перетинає промінь QD(мал. 2). Якщо пряма АВ паралельна
прямій CD, то пишуть так: AB||CD.
Має місце наступна ознака
паралельності прямих.
Теорема 1. Якщо прямі АВ і CD не
мають загальних точок і існують точки Р і Q, такі, що Р АВ і Q CD, і будь-який
внутрішній промінь кута QPB перетинає промінь QD, то AB||CD.
Для доведення теореми досить
встановити, що, які б не були точки Р' і Q', лежать відповідно на прямих АВ і
CD, будь-який внутрішній промінь h кута Q'P'B перетинає промінь Q'D. Можливі
три випадки: точка Р' співпадає з точкою Р; б) точка Р' належить променю РА; в)
точка Р' належить променю РВ.
Розглянемо перші два випадки
а)Точка Р' співпадає з точкою Р.
Якщо Q' - точка світивши QC, то Q'P'B є об'єднанням кутів Q'PQ і QPB, пій цьому
промінь h або лежить усередині кута Q'P'Q, або співпадає з променем PQ, або
лежить усередині кута QPB(мал. 3 а). У першому і в другому випадках промінь h
перетинає відрізок Q'Q, тому перетинає і промінь Q'Q. У третьому випадку
промінь h по умові теореми перетинає промінь QD і, отже, промінь Q'D.
Якщо Q' - точка променя QD, то кут
Q'P'B є частиною кута QPB(мал. 3, б). Тому промінь h є внутрішнім променем кута
QPB і по умові теореми перетинає промінь QD. Точка перетину є точкою променя
Q'D, оскільки h не проходить усередині кута QPQ' і тому не перетинає відрізок
QQ'.
б)Точка Р' належить променю РА.
Промінь h лежить усередині кута Q'P'P, тому h перетинає відрізок PQ' в деякій
точці М(мал. 4).
Відкладемо від променя РВ в
напівплощину, містячу пряму CD, кут ВРМ', рівний куту РР'М. Оскільки BPQ' -
зовнішній кут трикутника PP'Q', те PP'Q'< LBPQ', тому РР'М < BPQ'. Звідси
витікає, що РМ' - внутрішній промінь кута BPQ'. Отже, по доведеному(див.
випадок а) ) цей промінь перетинає промінь Q'D в деякій точці M(мал. 4). Пряма
Р'М перетинає сторону PQ' трикутника PQ'M і не перетинає сторону РМ(оскільки
ВРМ1 = BP'M), тому по аксіомі Паша пряма Р'М перетинає відрізок Q 'М 1. Таким
чином, промінь h перетинає промінь Q'D.
Рис. 4
2.4 Теорема про існування
паралельних прямих
неевклідовий геометрія
паралельний прямий
Теорема 2. Нехай АВ - довільна
спрямована пряма, а М - точка, що не лежить на ній. Тоді в площині МАВ існує
одна і тільки одна пряма CD, що проходить через точку М і паралельна прямій АВ,
т. е. CD||AB.
Рис. 5
Рис. 6
. Розглянемо перпендикуляр MN,
проведений з точки М до прямої АВ, і пряму MP, перпендикулярну до прямої
MN(мал. 5). Ми припускаємо, що точки Р і В лежать по одну сторону від прямої
MN. По лемі 1 прямі MP і NB не перетинаються.
Точки відрізку NP розіб'ємо на два
класи К1 і К2 за наступним законом. До першого класу
віднесемо ті точки X цього відрізку, які задовольняють умові: промінь MX
перетинає промінь NB, а до другого класу - усі інші точки відрізку NP.
Доведемо, що вказане розбиття задовольняє умовам а) і б) пропозиції Дедекинда.
а)Очевидно, NК1 і РК2.
Клас К1 містить точки, відмінні від N, наприклад, точки X перетину
променя МХ1 з відрізком NP, де Х1 - довільна точка
променя NB(мал. 5). Клас K2 містить точки, відмінні від Р.
Насправді, по аксіомі V* існує пряма MS1, відмінна від прямої MP і
неперетинаюча пряму АВ.
Пряма MS2, симетрична
прямій MS1 відносно прямої MN, також не перетинає пряму АВ(мал. 5).
Одна з прямих MS1 або MS2 проходить усередині кута NMP,
тому перетинає відрізок NP в деякій точці Y, що належить класу К2.
б)Нехай X - довільна точка класу К1,
відмінна від N, а Y - точка другого класу. Тоді N - X - У, оскільки інакше
маємо N - Y - X, що означає, що промінь MY - внутрішній промінь кута NMX.
Звідси витікає, що промінь MY перетинає відрізок NХ1 тобто. У К1.
Итак, на безлічі точок відрізку NP
маємо Дедекіндовім сечении. Нехай точка D робить цей переріз. Доведемо, що D К2.
Припустимо осоружне: DК1 . Тоді промінь MD перетинає промінь NB в
деякій точці D1(мал. 6).
Візьмемо на промені NB точку D'1
так, щоб N - D1 - D'1. Промінь MD'1 перетинає
відрізок DP в деякій точці D' (мал. 6), яка належить класу K1.
Отримане виведення суперечить пропозиції Дедекинда. Таким чином, DК2.
На прямій MD візьмемо точку З так, щоб З - М - D. По теоремі 1 CD||AB.
Залишається довести, що CD - єдина
пряма, що проходить через точку М і паралельна прямій АВ. Нехай, навпаки, C'D'
- інша пряма, що проходить через точку М і паралельна прямій АВ.
За визначенням паралельних прямих
внутрішні промені кутів NMD і NMD' перетинають промінь NB, тому промені MD, MD'
лежать в тій же підлозі-площині з межею MN, що і промінь NB. Від сюди ми
приходимо до висновку, що або MD - внутрішній промінь кута NMD', або MD' -
внутрішній промінь кута NMD.
Але тоді одна з прямих CD або C'Dr
перетинає пряму АВ, що суперечить визначенню паралельності прямих.
Рис. 7
. Нехай М - точка, що не лежить на
прямій a, a MN - перпендикуляр, проведений з точки М на пряму а. Виберемо на прямій
а дві точки А і В так, щоб А- N - В. З теореми 2 витікає, що через точку М
проходить єдина пряма CD, паралельна спрямованій прямій АВ, і єдина пряма EF,
паралельна спрямованій прямій ВА (мал. 7).
В ході доведення теореми 2 ми
встановили, що кути DMN і FMN гострі, тому CD і EF - різні прямі. Доведемо, що
DMN = FMN. Нехай, навпаки, DMN FMN, наприклад DMN > FMN.
Розглянемо промінь MF', симетричний
свічу MF відносно прямої MN(промінь MF' не зображений на мал. 7). Цей промінь є
внутрішнім променем кута DMN. Оскільки MF не перетинає пряму АВ, то і MF' не
перетинає цю пряму. Але це суперечить визначенню паралельності прямих CD і АВ.
Таким чином, через кожну точку М, що
не лежить на цій прямій а, проходять дві прямі, паралельні прямій а, в двох
різних напрямах. Ці прямі утворюють рівні гострі утлі з перпендикуляром MN,
проведеним з точки М до прямої а. Кожен з цих кутів називається кутом
паралельності у точці М відносно прямій а.
Доведемо, що величина кута
паралельності цілком визначається відстанню від точки М до прямої а. На цьому
малюнку NMD - кут паралельності в точці М відносно прямої a, a N'M'D' - кут
паралельності в точці М'відносно прямої а', ,
= NMD, x = MN, a/ =
N'M'D', x' =M/N/.
Доведемо, що якщо х = х’, то
=
'. Нехай,
навпаки
/
,
наприклад а' >
. Тоді існує
внутрішній промінь h' кута N'M'D',
такий, що кут між променями
M'N' і h рівний
. Промінь h'
перетинає
пряму а' в деякій точці F'.
На прямій а від точки N
відкладемовідрізок NF = N'F' так, щоб точки F і D лежали в одній напівплощині з
межею MN. Отримаємо трикутник MNF, рівний трикутнику M'N'F' (трикутник MNF на
мал. 8 не зображений). Так
Рис.8
як NMF =
, те промені
MD і MF співпадають. Приходимо до висновку, що прямі MD і перетинаються. Це
суперечить визначенню паралельних прямих. Таким чином
=
'.
Итак,
- функція
від х:
= П(х). Вона
називається функцією Лобачевского і грає істотну роль в гіперболічній
геометрії. З попереднього викладу ясно, що функція П(х) визначена для кожного позитивного
х і що 0 < II(х) < П/2 .
Н. И. Лобачевский отримав
аналітичне вираження цій функції:
де k - деяке позитивне число.
З цієї формули виходить, що
П(х) - монотонно убуваюча безперервна функція. З цієї формули витікає також, що
П(х) набуває усіх значень, що лежать між 0 і П/2 . Іншими словами, будь-який
гострий кут є кутом паралельності в деякій точці відносно цієї прямої.
. У геометрії Лобачевского
існує залежність між кутовими і лінійними величинами; у цьому істотна
відмінність геометрії Лобачевского від геометрії Евкліда. Так, в геометрії
Лобачевского немає подібності фігур; зокрема, трикутники з відповідно рівними
кутами рівні. Ще одна особливість геометрії Лобачевского пов'язана з одиницею
виміру довжин. У геометрії Евкліда існують абсолютні константи кутових величин,
наприклад прямий кут або радіан, тоді як лінійних абсолютних констант не існує.
Для того, щоб довжини відрізків виразити числами, необхідно вибрати одиницю
виміру довжин.В якості такої одиниці може бути вибраний довільний відрізок. В
протилежність цьому в геометрії Лобачевского немає в цьому необхідності,
оскільки, маючи природну одиницю виміру кутів, можна умовитися про вибір
природної одиниці довжин. Наприклад, за одиницю довжини можна вибрати відрізок,
якому відповідає кут паралельності, рівний П/4.
.5
Трикутники і чотирикутники на площині Лобачевского
. Усі теореми про трикутники,
які в геометрії Евкліда доводять без допомоги аксіоми паралельності, мають
місце також в геометрії Лобачевского. Переважна більшість теорем відносяться
саме до цього типу. Теореми про рівнобедрені трикутники, три ознаки рівності
трикутників, теорема про зовнішнє вугілля трикутника, теореми про
співвідношення між сторонами і кутами, теореми про перетин бісектрис внутрішніх
кутів трикутника і про перетин.
Рис.9
Рис.10
Але трикутники і
чотирикутники на площині Лобачевского мають ряд специфічних властивостей.
Розглянемо деякі з них.
Теорема 1. Сума кутів
будь-якого трикутника менше 2d.
Пусть ABC- произвольный
треугольник. По первой теореме Саккери - Лежандра (Сумма углов треугольника не
больше 2d)
АВС
2d. Если
предположить, что
АВС=
2d, то окажется справедливым V постулат, что противоречит аксиоме V*.
Следовательно,
АВС<2d.
Слідство. Сума кутів
трикутника непостійна, т. е. не одна і та ж для усіх трикутників.
Теорема 2. Сума кутів
опуклого чотирикутника менше 4 d.
Нехай ABCD -данный опуклий чотирикутник.
Проведемо діагональ АС і розкладемо цей чотирикутник на два трикутники ABC і
ADC. ТогдаА+В+С+D=
АВС+
ADC. Но
АВС<2d
и
ADC<2d,
поэтомуА + В + С + D<4d.
Теорема 3. Якщо три кути
одного трикутника відповідно дорівнюють трьом кутам іншого трикутника, то ці
трикутники рівні.
1 =
3 прямые В" С" и ВС не
пересекаются, следовательно, по аксиоме Паша прямая В"С" пересекает
сторону АС треугольника ABC, и значит, А - С" - С. Отсюда следует, что
четырехугольник BB»C»Cвыпуклый.
Из равенств
1=
3 и
4 =
6 следует,
что сумма углов этого четырехугольника равна 4d. Таким образом приходим в
противоречие с теоремой 2. Значит, АВ = А’B’. По второму признаку равенства
треугольников
АВС =
A'В'С'.
Рис. 11
Рис. 12
2. Выпуклый четырехугольник
называется двупрямоугольником, если два угла, прилежащие к одной стороне,
прямые. Если ABCD- двупрямоугольник с прямыми угламиАи В, то сторона АВ
называется основанием, а стороны ADи ВС - боковыми сторонами. Двупрямоугольник
с равными боковыми сторонами называется четырехугольником Саккери. Рассмотрим
некоторые свойства двупрямоугольников.
1°. Если ABCD-
четырехугольник Саккери с основанием АВ, то
С=
Dи каждый из углов С и Dострый.
°. Если в двупрямоугольнике
ABCDс основанием АВ AD<BC, то
С<
D.
°. Если в двупрямоугольнике
ABCDс основанием АВ
С <
D, то
AD<ВС.
3. Моделі геометрії Лобачевського
Перелічимо найбільш відомі класичні
ізометрічниє (зберігають відстань між точками) моделі (інтерпретації) площині
Лобачевського, що має гауссову кривизну K = - 1:
· інтерпретація
Бельтрами в колі;
· інтерпретація
Бельтрами гіперболічної геометрії на псевдосфері;
· евклидова модель
Келі-Клейна;
· проективна модель
Келі Клейна;
· інтерпретація
Пуанкаре на півплощини;
· інтерпретація Пуанкаре
усередині кола;
· інтерпретація
Пуанкаре на Гіперболоїд. Розглянемо деякі з них.
Рис. 13
3.1 Модель (інтерпретація) Бельтрами
Эудженио Бельтрами(1835-1900)
знайшов модель для геометрії НеЕвкліда, показавши у своїй роботі "Досвід
інтерпретації геометрії"(1868г.) НеЕвкліда, що разом з площинами, на яких
здійснюється геометрія Евкліда, і сферичними поверхнями, на які діють формули
сферичної геометрії, існують і такі реальні поверхні, названі їм псевдосферами(рис.23),
на яких частково здійснюється планіметрія Лобачевского. Відомо, що сферу можна
отримати обертанням півкола навколо свого діаметру. Подібно до того,
псевдосфера утворюється обертанням лінії FCE, що називається трактрисою,
навколо її осі АВ(рис.22). Ітак, псевдосфера - це поверхня в звичайному
реальному просторі, на якому виконуються багато аксіом і теореми планіметрії
НеЕвкліда Лобачевского. Наприклад, якщо накреслити на псевдосфері трикутник, то
легко угледіти, що сума його внутрішніх кутів менше 2π.
Сторона трикутника - це дуги псевдосфери, що дають найкоротшу відстань між
двома її точками і виконують ту ж роль, яку виконують прямі на площині. Ці
лінії, що називаються геодезичними, можна отримати, затиснувши туго натягнуту і
политу фарбою або крейдою нитка, у вершинах трикутника. Таким чином, для
планіметрії Лобачевского була знайдена реальна модель - псевдосфера. Формули
нової геометрії Лобачевского знайшли конкретне тлумачення. Ними можна було
користуватися, наприклад, для вирішення псевдосферичних трикутників.
Псевдосферу, яку ми назвали "моделлю", Бельтрами назвав
інтерпретацією(тлумаченням) геометрії Не Евкліда на площині.
Згодом, з розвитком і введенням в
математику аксіоматичного методу, під інтерпретацією(чи моделлю) деякої системи
аксіом стали розуміти будь-яку безліч об'єктів, в яких ця система аксіом
знаходить своє реальне втілення, тобто,будь-яка сукупність об'єктів, відношення
між якими повністю співпадають з тими, які описуються в цій системі аксіом. При
цьому вважають, що якщо для деякої системи аксіом існує або можна побудувати
інтерпретацію(модель), то ця система аксіом несуперечлива, тобто, не лише самі
аксіоми, але і будь-які теореми, на них ті, що логічно грунтуються ніколи не
можуть суперечити одна іншій.
3.2 Модель Келі - Клейна площині
Лобачевського
Модель Келі - Клейна - перша модель
всій площині Лобачевського. За допомогою неї вдалося довести несуперечність
геометрії Лобачевського в припущенні несуперечності Евклідової геометрії.
Щоб перейти до побудови однієї з
моделей геометрії Лобачевського покажемо, як за допомогою подвійного відносини
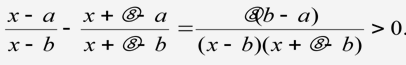
можна визначити «відстань» між точкамиа і b інтервалу (x, у). Покладемо
Легко перевірити, що таке визначення
має сенс, тобто
Справді, х-а<0, х-b <0,
у-а> 0, у-b> 0. Ясно також, що р (а, а) = 0 і р {а, b)
при
і
при
.
Крім того. Р (а, b) = р (b, а,. Так як
Зазначимо, що ln [a, b, x, y] = - ln
[a, b, x, y], тому немає необхідності розрізняти точки х і у, т. е. задавати
орієнтацію інтервалу (х, у).З тотожності
Випливає, що ± р (а, b) ± р (b, с) ±
р (с, а) = 0. Більш ретельна перевірка показує, що якщо точка з лежить між а і
b, то р (а, с) + р (з, b) = р (а, b).
Відстань р (а, b) не змінюється при
проектних перетвореннях прямий, що зберігають інтервал (х, у).
Визначимо модель Клейна площині
Лобачевського. Точками моделі Клейна є внутрішні точки деякого кола. Відстань
між точками а і b визначається як р (а, b) для інтервалу (х, у), де х і у точки
перетину прямої ab з граничною окружністю даного кола. Якщо точки розташовані в
такому порядку, як на рис. 10, то ln [a, b, x, y]> 0. тобто р (а, b) = ln
[a, b, x, y].
Рис. 14
Теорема 1.У моделі Клейна прямими є
хорди кола. Доказ. Потрібно довести, що р (а, c) + р (c, b)> р (а, b),
причому якщо точка зне лежить на відрізку (a, b), то р (а, с) + р (c , b)> р
(а, b). Нехай промені ab і ba перетинають коло в точках х і у відповідно,
промені ас і c а в точках х1і y1, Промені cb і bc в
точках хі у
(Рис. 11). Тоді
точка x'перетину хорд х
х
і
ху лежить на відрізку xb, а точка у перетину хорд y
у
і
ху лежить на відрізку ау. Нехай р - точка перетину прямих х
х
і
y
у
,
C '- точка перетину прямих р c і ху. Точка c 'лежить на відрізку ab.
Рис. 15
Подвійне ставлення зберігається при
проекції одній прямій па іншу. Тому [А, c, х
,
Y
]
= [А, c, '. Х', у '] [С, b, х
, Y
]
= [C ', b, х', у '] (Ми розглядаємо проекції з точки р на пряму ху).
Покажемо, що [а, c, '. Х', у ']>
[а, c',. Х, у] і [c ', b, х', у ']> [c', b,. Х , у]. Іншими словами,
потрібно довести, що якщо точки а, b,. х, у розташовані в такому порядку, як на
рис. 10. то збільшення відрізка ху призводить до зменшення подвійного відносини
[а, b,. х, у]. Будемо вважати позитивним напрям променя ух. Тоді для збільшення
відрізка ху до координаті точки х потрібно додати позитивне число. Другий
кінець відрізка залишимо поки па місці. Подвійне ставлення при цьому
зменшиться, так як
Для другого кінця відрізка доказ
аналогічно. В результаті отримуємо нерівності [А, c, х
,
Y
]
= [А, c, '. Х, у] [С, b, х
, Y
]
= [C ', b, х, у] Отже, [А, c, х
, Y
]
[С, b, х
,
Y
]>[А,
c, '. Х, у] [c', b, х, у] = [a, b, x, y],т.е p (a, c) + p (c, b)> p (a, b).
Геометрія Лобачевського, як і
сферична геометрія і геометрія площині, має досить велику групу ізометрій, а
саме, будь-яку точку А можна перевести в будь-яку іншу точку В і при цьому
перевести будь-яку пряму, що проходить через точку А, в будь-яку пряму, що
проходить через точку В . Щоб довести це, достатньо перевірити, що існує
перетворення площини, яке зберігає подвійне ставлення, переводить даний коло в
себе і переводить внутрішню точкуА в будь-яку іншу внутрішню точку В. Справді,
таке перетворення є ізометрією. А для того, щоб перевести будь-яку пряму в
будь-яку іншу пряму, можна крапкуА перевести в центр Про кола, а потім точку О
перевести в точку В. При цьому будь-яку пряму, що проходить через точку О,
можна поворотом перевести в будь-яку іншу пряму, що проходить через точку О.
Теорема 2.Існує перетворення
площини, яке зберігає подвійне ставлення, переводить даний коло в себе і
переводить його центр в довільну внутрішню точку. Доказ. Розглянемо прямий
круговий конус з вершиною S. Перетин конуса площиною, перпендикулярної його
осі, є колом з діаметром PQ і центром О. Розглянемо також перетин конуса
площиною, що проходить через точку О і перпендикулярній площині SPQ (Конус ми
вважаємо нескінченним в одну сторону). Якщо точка Q належить інтервалу QR (Рис.
12), то розглянутий переріз є еліпсом.
Рис. 16
На площині ^ П ', що містить цей
еліпс, і на площині П, яка містить окружність з діаметром PQ, можна ввести
координати так, що коло і еліпс співпадуть при ототожненні точок з однаковими
координатами. При цьому в якості початку координат ми виберемо відповідно центр
еліпса і центр кола, а в якості осі Ох виберемо прямі P 'Q' і PQ. Тоді точкаО,
що лежить всередині еліпса, ототожнюється з такою точкою O
кола,
Р'О: OQ '= PO
:
O
Q.
При переміщенні точки Q 'по відрізку
QR ставлення Р'О: OQ змінюється від 1 до. Тому точка O
може
бути будь-якою точкою, що лежить всередині відрізка O Q.
Шуканим перетворенням є композиція
відображень f: П
П
і:
ПП
де
f - Проекція з точки S, а g - ототожнення точок з однаковими координатами.
3.3 Моделі Пуанкаре
Конформно-евклидова модель Пуанкаре
- модель простору Лобачевського, запропонована Анрі Пуанкаре в 1882 у зв'язку
із завданнями теорії функцій комплексного змінного. Існують різновиди моделі -
в колі та на півплощині для планіметрії Лобачевского, а також в кулі і в
півпросторі - для стереометрії Лобачевського, відповідно.
Модель Пуанкаре примітна тим, що в
ній кути зображаються звичайними кутами (тобто модель Пуанкаре конформними) на
відміну від моделі Клейна, в якій визначення кутів проводиться набагато
складніше. 1.Модель Пуанкаре в колі У моделі Пуанкаре в колі за площину
Лобачевського приймається внутрішність круга (рис.14) в евклідовому просторі;
межа даного кола (коло) називається «абсолютом». Роль прямих виконують
містяться в цьому колі дуги кіл (a, b, b '), перпендикулярних абсолюту, і його
діаметри; роль рухів - перетворення, одержувані комбінаціями інверсій щодо кіл,
дуги яких служать прямими.
З'ясуємо, як влаштовані прямі в
моделі Пуанкаре. Хорде АВ відповідає перетин південній півсфери площиною,
перпендикулярної екватору. Це перетин являє собою півколо, перпендикулярну
екваторіальній окружності (рис. 13). При проекції з полюса на екваторіальну
площину ця півколо переходить у дугу кола, перпендикулярній екваторіальній
окружності. Таким чином, для моделі Пуанкаре в колі прямими є дуги кіл
перпендикулярних граничної кола даного кола.
Для моделі Пуанкаре даний коло
зручно вважати одиничним колом на комплексній площині.
Для точок комплексної площині, як і
для точок речовій прямий, можна розглянути подвійне ставлення У цьому випадку
подвійне ставлення є, взагалі кажучи, комплексним числом.
Неважко переконатися, що якщо точки
Z і W лежать на хорді А B,aZ
і W
-
Відповідні точки моделі Пуанкаре, то | [А, В, Z, W] | = | [А, В, Z
,
W
]
| 2. Справді, стереографічна проекція є обмеженням просторової
інверсії, тому вона зберігає подвійне ставлення. Крім того, AZ: ZB =
= AC
:
BC
Таким
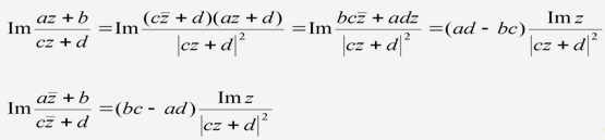
чином, | l п [А, В, Z, W] | = 2 | ln | [А, В, Z ', W'] | |. p (Z, W) = | l п
[А, В, Z, W] |. Тому p (Z ', W') = 2 | ln | [А, В, Z ', W] | |.
За аналогією з нескінченним
сімейством різних сферичних геометрії (для різних радіусів R ми отримуємо різні
геометрії) можна отримати нескінченне сімейство геометрій Лобачевського,
поклавши p (Z, W) =| L п [A, В, Z, W] |.Роль параметра св геометрії
Лобачевського в чому аналогічна ролі радіуса R у сферичній геометрії.
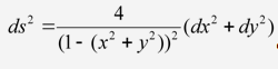
Метрикою ds площині Лобачевського в
моделі Пуанкаре в одиничному колі є:
Де x і y - осі абсцис і ординат,
відповідно. Аналогічно, в моделі Пуанкаре в кулі роль абсолюту виконує гранична
сфера в тривимірному евклідовому просторі, а простором Лобачевського є
внутрішність кулі. [6]
.Моделі Пуанкаре на півплощини і в
півпросторі
У моделі Пуанкаре на півплощини за
площину Лобачевського приймається верхня напівплощина. Пряма, що обмежує
напівплощина (тобто вісь абсцис), називається «абсолютом». Роль прямих
виконують містяться в цій півплощині півкола з центрами на абсолюті і
починаються на абсолюті перпендикулярні йому промені (тобто вертикальні
промені). Роль рухів - перетворення, одержувані композицією кінцевого числа
інверсій з центром на абсолюті і осьових симетрій, осі яких перпендикулярні
абсолюту.
Ця модель геометрії Лобачевського
виходить, відображенням одиничного кола на верхню напівплощина Н = {х + i у
|
У> 0} за допомогою дробово лінійного відображення. Для цієї мети годиться,
наприклад, відображення. Справді,

Дробово лінійні відображення
зберігають подвійне ставлення, тому відстань між точками в моделі Пуанкаре у
верхній півплощині визначається наступним чином. Нехай гіперболічна пряма
АВпідходить до дійсної осі в точках X і Y (Рис. 15). Тоді р (А, В) = з | ln [A,
B, X, Y] |.
У тому випадку, коли гіперболічна
пряма є евклідовим променем, покладемо Y =
тобто
.
Для позитивного променя уявної осі формула для обчислення гіперболічного
відстані приймає особливо простий вигляд: p (ia, ib) = c | ln (a / b) |. [8]
З'ясуємо тепер, як влаштовані руху
площині Лобачевського. Будь-яке дрібно-лінійне перетворення, що зберігає верхню
напівплощина Н, є рухом площині Лобачевського. Нехай а, b, c, d
.
Легко перевірити, що відображення,
Де
ad - bc> 0, і
, Де ad - bc <0,
зберігають верхню напівплощина. Справді,
Метрика ds площині Лобачевського в
моделі Пуанкаре у верхній півплощині має вигляд:
Відповідно, в моделі Пуанкаре в
півпросторі роль абсолюту виконує площину в тривимірному евклідовому просторі,
а простором Лобачевського є лежаче на цій площині півпростір.
Введення тих чи інших координат
дозволяє отримувати різні аналітичні моделі площини Лобачевского. А. Пуанкаре
була запропонована (1887 рік) модель геометрії Лобачевського як геометрії
плоских діаметральні перерізів на одній з порожнин двуполостного гіперболоїда,
яку можна трактувати і як геометрію сфери чисто мнимого радіуса в
псевдоевклідовом просторі. Зазначені моделі узагальнюються на випадок n-мірного
простору.
4. Практичне застосування геометрії
Лобачевского
.1 Теорема Піфагора
Теорема. Для всякого
прямокутного трикутника площини Лобачевского виконується рівність ch c = ch a -
ch b, де a, b - довжини катетів, c - довжина гіпотенузи цього трикутника, а ch
x= x=
(гіперболічний
косинус).
Доказ. Скористаємося моделлю
Пумнкаре площини Лобачевского на напівплощині Евкліда. Вважатимемо(див. малюнок
нижче), що вершинам A, B, C цього прямокутного трикутника відповідають
комплексні числа
де
оскільки
цього завжди можна добитися за допомогою деякого неевклідова рухи.
Используя формулу
Рис. 17
Для обчислення неевклідова відстані
між точками z і w в H2, отримуємо, що
Почленне перемножування двох перших
співвідношень і приводить, як показує третє співвідношення, до завершення
доведення теореми.
4.2 Зауваження до теореми Піфагора
Н.И.Лобачевским було помічено, що
створена ним геометрія НеЕвкліда в нескінченно малому, тобто в першому
наближенні, співпадає з геометрією площини Евкліда. Проілюструємо це на
прикладі теореми Піфагора. Використовуючи розкладання гіперболічного косинуса в
ряд
отримаємо для теореми Піфагора
співвідношення
Виключаючи тепер члени нижчого
порядку, приходимо до теореми Піфагора геометрії Евкліда :
4.3 Площа трикутника
Детальне виведення формули площі
трикутника на площині Лобачевского приводити не варто зважаючи на його
складність(у нім використовується формули, доводжувані лише в курсі
диференціальної геометрії).
Рис.18
Якщо АВС - трикутник в моделі
Пуанкре, заходи кутів А, В і З - α,
β
і γ відповідно
,
- міра кута B в трикутнику ABD, а
і
міра
кутів B і C в трикутнику BCD. Тоді внаслідок цього можна сформулювати теорему
Теорема.Для площі трикутника ABC з
кутами
справедлива
формула
Следствие1.Площа трикутника площини
Лобачевского обмежена.
Слідство 2.Якщо даний опуклий
багатокутник
з внутрішніми
кутами
то
Висновок
Відкриття геометрії НеЕвкліда,
почало якому поклав Лобачевский, не лише зіграло величезну роль в розвитку
нових ідей і методів в математиці природознавстві, але має і філософське
значення. Думка, що панувала до Лобачевского, про непорушність геометрії
Евкліда значною мірою грунтувалася на вченні відомого німецького філософа И.
Канта(1724-1804), родоначальника німецького класичного ідеалізму.
Кант стверджував, що людина
упорядковує явища реального світу згідно з апріорними уявленнями, а геометричні
представлення і ідеї нібито апріорні(латинське слово aprior означає - спочатку,
заздалегідь), тобто, не відбивають явищ дійсного світу, не залежать від
практики, від досвіду, а є природженими людському світу, раз і назавжди
зафіксованими, властивими людському розуму, його духу. Тому, Кант вважав, що
геометрія Евкліда непохитна, незмінна, і є вічною істиною.Ще до Канта геометрія
Евкліда вважалася непорушною, як єдине можливе вчення про реальний простір.
Відкриття геометрії НеЕвкліда
довело, що не можна абсолютировать уявлення про простір, що
"споживана"(як назвав Лобачевский геометрію Евкліда) геометрія не є
єдино можливою, проте це не підірвало непорушність геометрії Евкліда.Итак, в
основі геометрії Евкліда лежать не апріорні, природжені розуму поняття і
аксіоми, а такі поняття, які пов'язані з діяльністю людини, з людською
практикою. Тільки практика може вирішити питання про те, яка геометрія вірніше
викладає властивості фізичного простору. Відкриття геометрії НеЕвкліда дало
вирішальний поштовх грандіозному розвитку науки, сприяло і понині сприяє
глибшому розумінню матеріального світу, що оточує нас.
Н.И. Лобачевский, як відомо, зробив
спробу дослідження реального простору, використовуючи для цієї мети
астрономічні дані. Він сподівався, що за допомогою астрономічних вимірів можна
буде виявить відхилення геометрії реального простору від Евкліда. Хоча його
обчислення не дозволили досвідченим шляхом довести гіпотезу про неевклидовости
реального простору, сама гіпотеза виявилася геніальним передбаченням.
З вище сказаного витікає органічний
зв'язок між двома великими досягненнями людського розуму - геометрією
Лобачевского і теорією відносності Ейнштейна. При цьому геометрія Лобачевского
передувала теорії відносності не лише в часі, але і в ідейному відношенні.
Таким чином, аксіоматичний метод і
аксіоматичні дослідження Лобачевского зіграли величезну роль в розвитку
геометрії як науки, а також знайшли своє відображення і в теорії пізнання,
тобто переоцінити їх значення неможливо.
Література
1. Математика
XIX века, «Наука», М., 1981
2. «Квант»
№11,№12 Академик АН СССР А.Д. Александров, Интернет-издания.
. Юшкевич
А.П., История математики в России, «Наука», М., 1968г.
. Ефимов
Н.В., Высшая геометрия, «Наука», М.,1971г.
. Неевклидовы
пространства и новые проблемы физики, «Белка», М., 1993г.
. Клайн
М., Математика. Утрата определенности, «Мир», М., 1984г.
. Г.И.
Глейзер. История математики в школе IX - X классы. Пособие для учителей.
Москва, «Просвещение» 1983г.
. Розенфельд
Б.А. Геометрия Лобачевского и теория относительности П Математиков в школе.-
М., 1965г.
ено н