Определение диацетила в некоторых пищевых продуктах
Выпускная квалификационная (дипломная) работа
Определение диацетила в некоторых пищевых продуктах
Введение
диацетил вино химический
Всё большее
внимание контролирующие организации уделяют вопросам безопасности и качества,
как исходного сырья, так и для готовой продукции. В последние годы в нашей
стране пищевая промышленность развивается быстрыми темпами. В связи с этим
большое внимание уделяется, интенсификации технологических процессов, а также
повышению вкусо-ароматических характеристик и вкусовой стабильности продуктов.
Основная цель производителя, повысить качество продукта, поэтому работы,
направленные на изучение вкусовых компонентов при применении новых
технологических приемов, активно ведутся не только в зарубежных странах, но и в
России. Но вследствие недостатка дорогостоящего оборудования, необходимого для
проведения исследований, работы в данном направлении проводится недостаточно.
Одним из важнейших
компонентов, влияющих на вкус и аромат продукта, при превышении пороговой
концентрации восприятия, является вицинальный дикетон диацетил (2,3 -
бутандион) образующийся при сбраживании сусла.
Весьма
распространенным и, учитывая его быстроту и простоту требуемого оборудования,
популярным способом определения диацетила является спектрофотометрический метод
с предшествующей дистилляцией с водяным паром. Используется реакция вицинальных
дикетонов с дериватизационным реагентом, чаще всего это орто-фенилендиамин, или
креатин с 1-нафтолом, при которых возникают цветные продукты реакции.
Работа посвящена
оптимизации условий спектрофотометрического определения диацетила для
увеличения его чувствительности. В качестве дериватизационного реагента
предлагаем применить 2-нафтол, как менее дорогой реактив.
1.
Аналитический обзор
.1 Физические и химические
свойства диацетила
Диацетил - желто-зелёная жидкость,
имеет сильный, жирный запах сливочного масла и сметаны, но практически
безвкусен. Растворяется в воде на 25%. С метанолом образует азеотроп (62°С).
Сильно летуч. Диацетил синтезируют либо осторожным окислением метилэтилкетона,
либо его нитрозированием с последующим гидролизом. Диацетил получают при
ферментации как побочный продукт синтеза валина, когда дрожжи производят
б-ацетолактат, который покидает клетку и спонтанно декарбоксилируется в диацетил.
Подобно другим 1,2 - дикетонам, с
o-фенилендиамином диацетил дает производное 2,3 - диметилхиноксалин. При
окислении гидропероксидами образуется уксусная кислота или ее ангидрид.
Содержится в коровьем жире, некоторых эфирных маслах, обжаренном кофе, цикории,
продуктах гидролиза древесины, пиролиза табака. Встречается в дистилляционных
водах после отгонки эфирных масел кипариса, казацкого можжевельника, корне
ветиверы и ириса, западно-индийского сандалового дерева, хмеля, тмина, корня
ангелики. Также известно, что диацетил содержится в вине, пиве, маргарине,
квасе. Диацетил продукт брожения и поэтому, количество диацетила находится в
прямой зависимости от исходной концентрации сахара в сусле.
Синтетический диацетил используется
для создания некоторых ароматизаторов для пищевой промышленности при
формировании запаха масла в производстве маргарина и других жировых пищевых
продуктов. Хорошо маскирует синтетические добавки. [1]
1.2 Влияние диацетила на
организм человека
Существуют опасения по поводу
вдыхания паров диацетила. Это касается только производств, на которых применяют
диацетил, а не широкого общественного потребления или вдыхания в домашних
условиях продуктов с добавлением диацетила. Интерес к возможным последствиям
вдыхания диацетила впервые возник, когда в 1990 годах у рабочих на производстве
попкорна обнаружились проблемы с дыханием. С тех пор исследования,
проводившиеся с животными и с людьми, работающими на производстве с диацетилом,
позволили предположить, что частое вдыхание воздуха с высоким содержанием
диацетила может вызывать чрезвычайно редкое состояние легких, известное как
облитерирующий бронхиолит. Это заболевание выводит из строя бронхиолы -
мельчайшие разветвления бронхов, переходящих в дыхательные ходы легких - и
приводит к резкому снижению дыхательной емкости. Против этой болезни нет
консервативного лечения и необходима трансплантация лёгких. Из-за
потенциального риска для здоровья от неоднократного воздействия индустрия
приступила к осуществлению изменений на рабочих местах, направленных на
сокращение воздействия диацетила, включая осуществление технического контроля,
такого как закрытые емкости для смешивания, отдельные помещения для вкусовых
заменителей сливочного масла, обязательные респираторы для операторов,
улучшение циркуляции воздуха в помещениях.
Продолжают собирать дополнительную
информацию, чтобы уточнить и прояснить любое воздействие диацетила на здоровье
человека. В настоящее время нет доказательств риска для здоровья людей,
готовящих и употребляющих попкорн или любой другой диацетилсодержащий продукт в
домашних условиях. Эти продукты можно включать в здоровую диету, богатую
питательными веществами. Текущие исследования показывают, что может
существовать потенциальная опасность для здоровья лиц, которые неоднократно
подвергаются воздействию высоких концентраций паров диацетила в течение
длительного периода времени, например, тех, кто работает в учреждениях,
занимающихся производством или использованием диацетилсодержащих
ароматизаторов. Тем не менее, это не касается среднестатистического потребителя
продуктов, содержащих диацетил. [2]
1.3
Образование диацетила в продуктах питания
Диацетил придаёт
запах и вкус сливочного масла многим продуктам питания. Он имеет естественное
происхождение, являясь побочным продуктом брожения, и содержится в некоторых
продуктах. Например, в таких как пиво, вино, сливочное масло, сметана, сыр,
молоко, маргарин, йогурт, а так же в хлебе, кофе, бренди и роме и других
продуктах. Диацетил содержится в коровьем жире, некоторых эфирных маслах,
цикории, квасе. Диацетил - продукт брожения и поэтому количество диацетила
находится в прямой зависимости от исходной концентрации сахара в сусле.
Синтетический диацетил используется для создания некоторых ароматизаторов для
пищевой промышленности, при формировании запаха масла в производстве маргарина
и других жировых пищевых продуктов. Хорошо маскирует синтетические добавки. Он
так же используется в промышленности как компонент искусственного вкуса
сливочного масла для производства попкорна, конфет, кондитерских и
хлебобулочных изделий, в смесях для выпечки.
Умеренное
потребление диацетила безвредно. Однако, диацетил, как и все вицинальные
дикетоны, является ароматобразующим и влияет на вкусовые качества продуктов,
поэтому важно следить за его содержанием в продуктах.
Диацетил - важнейший компонент
букета молодого вина, пива и молочных продуктов. При превышении порогового
значения он придает продуктам брожения нечистый вкус - от сладкого до
противного, образуясь в очень больших количествах, может давать привкус прогорклого
масла. Расщепление диацетила протекает параллельно с другими процессами и
считается сегодня одним из главнейших критериев созревания пива и вина. Слишком
высокие концентрации некоторых вкусовых компонентов будут придавать
нехарактерный вкус пиву, и также может считаться изъяном, если важный вкусовой
компонент отсутствует или присутствует в слишком низкой концентрации.
Содержание
диацетила в молочных продуктах
Аромат масла обуславливается
веществами различного происхождения; к ним относятся вещества, определяющие
аромат молочного жира (свободные летучие жирные кислоты); вещества,
образующиеся при пастеризации сливок; ароматические соединения, образующиеся в
процессе сквашивания закваски и сливок. Наиболее важное значение для аромата
масла, и аромата других молочных продуктов, имеет диацетил. Диацетил может
образовываться при сквашивании закваски и сливок, в процессе сбивания сливок,
впервые дни хранения масла. При кратком сквашивании сливок аромат свежего масла
в значительной степени зависит от выраженности его в закваске. Поэтому условия
приготовления закваски должны способствовать максимальному накоплению и
сохранению в ней диацетила. Аромат масла, выработанного из сливок длительного
сквашивания, в большей степени зависит от ароматических веществ, образующихся
при сквашивании сливок.
Поскольку количество диацетила
увеличивается с повышением степени сквашивания сливок, казалось бы вполне
целесообразным для усиления аромата сквашивать сливки до более высокой
кислотности. Действительно, масло, выработанное из сливок, сквашенных до
высокой кислотности, обладает в свежем состоянии более выраженным ароматом.
Однако при длительном хранении качество его быстро снижается; появляются пороки
вкуса, связанные с разложением жира (рыбный, олеистый). Поэтому масло, выработанное
из сливок, сквашенных до высокой кислотности, можно хранить непродолжительное
время. [3]
Для максимального образования
аромата в кисломолочных продуктах целесообразно использовать многоштаммовые
закваски с низкой диацетилредуктазной активностью и поддерживать рН среды ниже
5,5. Образованию диацетила способствуют добавление в молоко цитрата и аэрация
закваски. В целях сохранения диацетила следует закваску и готовый продукт
быстро охлаждать до 5-8˚С.
Содержание диацетила в заквасках
обычно составляет 0,2-3,0 мг%, в кисломолочных напитках его содержание
невысокое (0,4 мг% и ниже, например в кефире 0,2-0,35 мг%), более значительные
количества накапливаются в сметане (0,3-0,7 мг%), кисло сливочное масло
содержит более 0,26 мг% диацетила. В твердых сырах диацетила мало,
непосредственно на вкус и аромат он не влияет, но входит в состав компонентов,
оказывающих косвенное влияние.
К числу ароматических и вкусовых
веществ сырого молока можно отнести небольшое количество диметилсульфида
(меньше 0,01 мг%) и метилсульфида (меньше 0,001 мг%), ацетона (меньше 2 мг%),
диацетила (меньше 0,1 мг%), свободных жирных кислот (до 10 мг%), в том числе
летучих жирных кислот (до 5 мг%). Также незначительное количество ацетальдегида
и других монокарбонильных соединений, карбоновых кислот (пировиноградной и
молочной), и аминосоединений (свободных аминокислот, пептидов, аминов, аммиака)
[4].
Определяли влияние заквасочных
культур и температуры хранения на устойчивость к окислению и образованию
диацетила в масле. Исследовано влияние заквасочных культур, инокулированных в
сливки, с последующим их созреванием при 21°С в течение 12 часов и сбиванием,
на стойкость масла к окислению и образованию в нём диацетила в течение 4
месяцев хранения [32].
Содержание и
образование диацетила в пиве
Пиво содержит большое количество
вкусовых компонентов, которые обычно присутствуют в концентрациях ниже или
близких к порогу их чувствительности. Если концентрация одного или нескольких
компонентов увеличится значительно, то нюансы во вкусе и аромате, отличные от
нормальных, могут иметь место, вызывая вкусовые пороки или привкусы [5]. Пиво
также будет содержать в небольших количествах огромное число различных вкусовых
компонентов. Слишком высокие концентрации некоторых вкусовых компонентов будут
придавать нехарактерный вкус пиву, и также может считаться изъяном, если важный
вкусовой компонент отсутствует или присутствует в слишком низкой концентрации.
Известно, что для диацетила средне
смертельная доза при приеме внутрь LD50 равна 3,4 г/кг. Следовательно, он
принадлежит к четвертому классу - малотоксичным соединениям. Но тогда его
законодательно утвержденный санитарно-гигиенический норматив содержания в пиве
должен составлять не менее 200 мг/л. Этот нормативный уровень совершенно
неприемлем для пивоваров. Применение и соблюдение этих предельно допустимых
концентраций означают, что будет безнадежно испорчен вкус пива. Известно, что
граница вкусового порога диацетила равна 0,1-0,3 мг/л; в концентрациях
0,20-0,46 мг/л диацетил серьезно ухудшает вкус пива.
Существует необходимость введения
двух нормативов: предельно допустимого содержания (ПДС) диацетила в единице
объема пива с учетом его влияния на органолептику продукта и максимально
допустимого уровня употребления (МДУ) на 1 кг массы тела человека, ограничивающего
дозу, безопасную для организма. Причем последний показатель должен определять
сам потребитель, а ПДС как показатель качества продукта - нормативные документы
[6].
С введением новых технологий,
направленных на сокращение времени процессов брожения и созревания, изучение
побочных продуктов брожения и факторов, влияющих на их образование и удаление,
становится крайне важным. Многие исследователи занимались: биосинтезом 2,3 -
бутандиона (диацетила) и З-окси-2-бутандиона (ацетоина) при спиртовом и молочнокислом
брожении. При низкой концентрации присутствие в пиве ацетальдегида не
проявляется ни в запахе, ни во вкусе. И наоборот, производные ацетальдегида,
главным образом диацетил и ацетоин, оказывают неблагоприяное влияние на
органолептику пива. Диацетил образуется при брожении не только в пиве,
инфицированном педиококками или молочными бактериями, но и при развитии
культурных рас пивоваренных дрожжей.
Расщепление диацетила протекает
параллельно другим процессам созревания и считается сегодня главным критерием
созревания пива. Исходным продуктом для синтеза диацетила являются
пировиноградная кислота и тиаминпирофосфат, а также Мn2+ или Mg2+. Процесс в этом случае
катализируют последовательно ферменты пируватдекарбоксилаза,
ацетолактатдекарбоксилаза, б-ацетолактатсинтетаза.
Ацетоин, так же как и диацетил,
влияет на вкус пива и является причиной, так называемого подвального (затхлого)
привкуса пива (свыше 1 мг/дм3).
Диацетил и ацетоин образуются на
первой стадии брожения, когда дрожжи сильно размножаются, и происходит
энергичный азотистый обмен веществ. Слишком позднее аэрирование, вызывающее
новый синтез дрожжевой массы, приводит к образованию ацетоина и одновременно
стимулирует его окисление до диацетила. Наличие сбраживаемого сахара повышает
способность дрожжей восстанавливать диацетил.
Три соединения - ацетоин, диацетил и
2,3 - бутандиол образуют в пиве окислительно-восстановительную систему. В
зависимости от активности действующих в этой системе ферментов превалируют те
или иные продукты превращения. Если в пиве преобладают восстановительные
процессы, то накапливается 2,3 - бутандиол. В аэробных условиях увеличивается
количество ацетоина и диацетила, ухудшающих качество пива.
Дрожжи обладают способностью
восстанавливать диацетил в 2,3 - бутандиол в стадии активного размножения.
Более низкие концентрации диацетила, которые могут быть получены в пиве в
результате редукции живыми дрожжами, равны 0,2 мг/ дм3. Установлено,
что на практике запах диацетила можно удалить из пива путем добавления свежих
густых дрожжей от 0,5 до 1,0 мг/ дм3 [7].
В последнее время в США, Англии и
других странах диацетил из пива удаляют активными дрожжами или ферментными
препаратами типа редуктаз, полученными из дрожжей или из бактерий Процесс
проводят быстро, нагревая пиво в течение 4 мин при 80°С или 15 мин при 60°С с
одновременным введением активных дрожжей и кизельгура.
Таким образом, содержание диацетила
может подвергаться регулированию путем проведения того или иного
технологического приема, что позволяет улучшать качество выпускаемого продукта.
1.4
Химический состав вина
Образование вина
сопровождается физико-химическими, химическими и биохимическими процессами, от
глубины прохождения которых зависит получение того или иного типа вина [8].
Этанол является
основным продуктом спиртового брожения [9]. Он определяет токсические,
аддитивные, калорические свойства вина и других алкогольных напитков [10].
Калорийность столового сухого вина (570 - 980 ккал/л) почти полностью
обеспечивается окислением этанола, а других вин - еще и окислением сахаров (до
1500 ккал/л). Метанол спонтанно образуется в процессе энзиматических
преобразований пектинов. Особенно много его в красных винах, приготовленных
кахетинским способом. Содержание метанола в белых винах обычно колеблется от 20
до 100 мг/л, а в красных - от 80 до 350 мг/л, но может достигать 3000 мг/л и
более.
Алифатические
одноатомные спирты - пропиловый, бутиловый, изобутиловый, амиловый,
изоамиловый, гексиловый и другие. Они являются продуктами метаболизма дрожжей.
На 20 - 40% алифатические одноатомные спирты в винах представлены изоамиловым и
изобутиловым спиртами. Содержание алифатических одноатомных спиртов составляет
в белых винах 150 - 400 мг/л, в красных - 300 - 600 мг/л. В небольших
количествах они формируют аромат вин, а в больших - ухудшают их
органолептические свойства. Содержание алифатических двух- и трехатомных
спиртов достигает 16 - 18 г./л. На 90% они представлены 2,3 - бутиленгликолем
(300 - 1500 мг/л) и глицерином (400-15000 мг/л), которые смягчают вкус вина.
Алифатические ненасыщенные спирты (0,5-8,0 мг/л), представленные терпеновыми
спиртами (гераниол, линалиол, цитронеллол и другие) и ароматические спирты,
представленные в основном фенилэтиловым спиртом, определяют ароматические
свойства вин. Все спирты, кроме этанола, в количествах, определяемых в вине,
безопасны в токсикологическом отношении и пищевой ценности, за исключением
глицерина, не представляют.
Альдегиды жирного
ряда в винах на 90% представлены уксусным и на 10% пропионовым альдегидами.
Вина, не подвергавшиеся обработке двуокисью серы, содержат от 30 до 50 мг/л
ацетальдегида, а обработанные - до 200 мг/л. Содержание ацетальдегида
возрастает при хересовании (до 600 мг/л), старении, аэрации вин и действии
посторонней микрофлоры. В больших количествах он придает оттенок старого,
ровного вина и относится к числу основных факторов, определяющих вкус вин типа
марсалы. Из-за высокой реакционной способности альдегиды конденсируются с
веществами, содержащими аминогруппу, с образованием меланоидов,
восстанавливаются в соответствующие спирты и взаимодействуют с другими
продуктами брожения. Содержание альдегидов фуранового ряда (фурфурол,
оксиметилфурфурол и метилфурфурол) в винах не превышает 30 мг/л. Кетоны
(ацетон, диацетил, 2-бутанон, 2-пентанон и бутиролактон) содержатся в вине в
следовых количествах. Лишь ацетоин определяется в концентрациях 3-30 мг/л.
Содержание этиловых
эфиров жирных кислот в вине составляет обычно 50 - 200 мг/л, этиловых эфиров -
100 - 500 мг/л. Преобладает этилацетат (20 - 200 мг/л). При длительной выдержке
в винах накапливаются в основном кислые эфиры винной, яблочной и янтарной
кислот. Максимальное содержание сложных эфиров определяется в хересе (до 1000
мг/л). Большинство эфиров обладает приятным фруктовым запахом. Установлено, что
энантовый эфир значительно улучшает, а эфиры уксусной, масляной и валериановой
кислот - ухудшают органолептические свойства вина. Ацетали, продукты
взаимодействия альдегидов со спиртами, содержатся в винах в количестве 1 - 20
мг/л. Диэтилацеталь - основной представитель обладает приятным фруктовым
ароматом. Воски и масла присутствуют в вине в ничтожных количествах. Все эти
соединения не влияют на пищевую ценность вина.
Глюкоза и фруктоза
- основные моносахариды винограда почти полностью утилизируются дрожжевыми
клетками при приготовлении сухих вин [11]. Сахароза обычно превращается в
инвертированный сахар. Кроме гексоз, в винах обнаруживают L-арабинозу (500 - 1260 мг/л), следы
других пентоз и полисахариды. К последним относятся пектиновые вещества,
содержание которых достигает 800 мг/л при суточной потребности 15 - 16 г. Это
не позволяет причислить их к категории соединений, определяющих
детоксикационные и радиопротекторные свойства вина.
Кислоты вин
частично поступают в них из винограда и частично образуются в процессе
ферментации как интермедианты метаболизма дрожжей. Из алифатических
монокарбоновых кислот в наибольших количествах представлены уксусная (400 -
1500 мг/л), муравьиная (20 - 100 мг/л), пропионовая (10 - 150 мг/л),
изомасляная (30 - 100 мг/л), изовалериановая (30 -100 мг/л), капроновая (10 -
100 мг/л), каприловая (10 - 150 мг/л) и каприновая (10 - 150 мг /л) кислоты.
Из алифатических
поликарбоновых кислот присутствуют щавелевая (до 150 мг/л) и янтарная (250 -
1500 мг/л). Алифатические монокарбоновые оксикислоты представлены в основном
молочной (500 - 5000 мг/л) и глюконовой (до 120 мг/л) кислотами. Среди
алифатических поликарбоновых оксикислот центральное место принадлежит винной
(1500 - 5000 мг/л) и яблочной (10 - 5000 мг/л). Другие (метиляблочная,
слизевая, сахарная и лимонная) содержатся в незначительных или следовых
количествах. Альдегидо- и кетокислоты (глиоксилевая, глюкуроновая,
галактуроновая, пировиноградная и альфа-кетоглутаровая) присутствуют в вине в
количестве, не превышающем 1000 мг /л.
Ароматические
кислоты бензойного и коричного рядов (оксибензойная, протокатехиновая,
ванилиновая, галловая, сиреневая, салициловая и другие) типичны прежде всего
для красных вин (50 - 100 мг/л). В белых винах их существенно меньше (1-5
мг/л). Большинство этих кислот имеют фенольный радикал и соответственно могут
быть отнесены к классу фенолокислот. Активная кислотность вин обычно колеблется
в пределах 3,0 - 4,2, а титруемая - 5 - 7 г/л в пересчете на самую сильную
кислоту - винную. Органические кислоты находятся, в основном, в связанном или
полусвязанном состоянии. Они определяют бактерицидные, вкусовые и ароматические
свойства вина. Конкретные данные о пищевой ценности кислот вин отсутствуют.
Однако учитывая высокую биологическую активность некоторых из них, можно
предположить, что органические кислоты способны вносить определенный вклад в
пищевые свойства вин.
Вина содержат мало
азотистых соединений от 70 до 780 мг/л, 55% всего азота приходится на
полипептиды, от 25 до 40% на свободные аминокислоты и только 3% на белки,
поступающие из виноградной кожуры. Азотсодержащие вещества являются необходимой
питательной средой дрожжей и субстратом для синтеза альдегидов. Они и продукты
их взаимодействия оказывают влияние на цвет, аромат, вкус и стабильность вин.
Дикетоны и оксикетоны в вине
Многие исследователи занимались:
биосинтезом 2,3 - бутандиона (диацетила) и З-окси-2-бутандиона (ацетоина) при
спиртовом и молочнокислом брожении [14].
Ацетоин образуется во второй фазе
спиртового брожения в результате конденсации двух молекул уксусного альдегида
Образование ацетоина во второй фазе
спиртового брожения
Эта реакция получила название
ацетоиновой конденсации двух уксусных альдегидов.
Другие авторы считают, что ацетоин
продуцируют микроорганизмы путем конденсации двух молекул пировиноградной
кислоты
Наиболее подробно был рассмотрен
биосинтез ацетоина и диацетила дрожжей и молочнокислых бактерий. В настоящее
время считают, что ацетоин и диацетил. образуются из ацетомолочной кислоты. На
рисунке представленна схема ферментативного синтеза ацетоина и диацетила.
Схема ферментативного синтеза
ацетоина и диацетила
Как видно из схемы, исходными
продуктами для синтеза ацетоина и диацетила являются пировиноградная кислота и
тиамин-пирофосфат (*ТРР), при конденсации которых образуется б-ацетомолочная
кислота. Последняя является предшественником ацетоина и диацетила.
Для биосинтеза
ацетомолочной кислоты необходимы две молекулы пировиноградной кислоты, из одной
образуется оксиэтилтиа-минпирофосфат, а также ионы Мn
или Mg
.
Ферментативный механизм образования ацетомолочной кислоты следующий: вначале
действием пируватдекарбоксилазы пировиноградная кислота превращается в
оксиэтилтиаминпирофосфат, который под действием фермента а-ацетолактатсинтетазы
образует с другой молекулой пировиноградной кислоты ацетомолочную кислоту.
Последняя, под действием фермента ацетолактатдекарбоксилазы декарбоксилируется
в ацетоин.
Ацетомолочная кислота
участвует в биосинтезе аминокислот, в частности валина, который оказывает
ингибирующее действие на образование ацетомолочной кислоты и диацетила. В
данном случае валин, видимо, является аллостерическим регулятором синтеза
ацетомолочной кислоты и действует как ингибитор по принципу обратной связи на
а-ацетолактатсинтетазу.
Имеется ряд работ,
указывающих и на другой путь биосинтеза диацетила, и ацетоина дрожжами, не
связанный с образованием ацетомолочной кислоты, по схеме (рисунок)
Биосинтез диацетила и
ацетоина
Из схемы видно, что в
начале синтеза из пировиноградной кислоты образуется оксиэтилтиаминпирофосфат,
который с новой молекулой уксусного альдегида образует комплекс
энзимацетоинтиа-минпирофосфат, превращающийся затем в ацетоин. Последний,
дегидрируясь, дает диацетил. Отличительной чертой в этом синтезе является то,
что не сама пировиноградная кислота реагирует с оксиэтилтиаминпирофосфатом, а
последний с новой молекулой уксусного альдегида образует ацетоин. Эта реакция
аналогична реакции ацетоиновой конденсации двух молекул уксусных альдегидов. В
этой реакции процесс декарбоксилирования также связан с образованием комплекса
фермент-уксусный альдегид, который затем переносится на свободный уксусный
альдегид, образуя в результате ацетоин.
Существует и другой путь
биосинтеза диацетила, заключающийся в том, что дрожжи в присутствии НАД+
превращают одну молекулу пировиноградной кислоты в ацетил-КоА. Затем ацетил-КоА
конденсируется с другой молекулой пировиноградной кислоты, образуя
ацетомолочную кислоту, с последующим декарбоксилированием ее в ацетоин по схеме
(рисунок)
Схема синтеза диацетила
Рассматривая схемы
биосинтеза ацетоина и диацетила можно считать, что наиболее правдоподобной
является схема конденсации оксиэтилтиаминпирофосфата со свободным уксусным
альдегидом с образованием энзимацетоин-ТРР-комплекса и распадом этого комплекса
в ацетоин. Эта схема имеет место при алкогольном брожении, когда образуется
значительное количество уксусного альдегида при декарбоксилировании
пировиноградной кислоты.
Если ацетоин и диацетил
образовывались бы из ацетомолочной кислоты, то валин должен был бы ингибировать
их образование, так как эти соединения появляются на пути его синтеза. Как
показали исследования, валин почти не ингибирует образования диацетила и
ацетоина при алкогольном брожении (рисунок)
Синтез диацетила и
ацетоина при алкогольном брожении
Существовало мнение, что
дйацетилредуктаза содержится только в бактериях. Но в последние годы было
показано, что диацетйлредуктаза содержится и в винных дрожжах. Этот фермент
участвует в восстановлении диацетила в ацетоин при дображивании виноматериалов
и получении неокисленных вин. Ацетоин в присутствии -
бутиленгликольдегидрогеназы и НАД-Н2 восстанавливается в 2-3-бутиленгликоль по
схеме (рисунок)
Синтез
2-3-бутиленгликоля
Эти соединения образуют
в биологических средах, в частности в винах, окислительно-восстановительную
систему (рисунок)
Биосинтез диацетила из
2-3-бутиленгликоля
В зависимости от
активности действующих в этой системе ферментов превалируют те или иные
продукты его превращения. Если в вине превалируют восстановительные процессы,
то накапливается 2,3 - бутиленгликоль. Наоборот, в аэробных условиях
окислительные процессы усиливаются и в вине увеличивается количество уксусного
альдегида, диацетила и этилацетата, что приводит к ухудшению качества вина. При
отгоне дикетонов, в частности диацетила, происходит распад б-ацетооксикислоты и
увеличивается содержание диацетила и пентандиона.
В наибольшем количестве
в грузинских винах содержится 2,3 - бутандиол, затем З-окси-2-бутандион
(ацетоин) и 2,3 - пентадиол, наименьшее количество - 2,3 - бутандиона
(диацетила) и 2,3 - пентандиона. В процессе алкогольного брожения ацетоин в
результате протекания восстановительных процессов восстанавливается в
2-3-бутандиол, поэтому он и накапливается в больших количествах (до 680 мг/л).
Содержание ацетоина в винах колеблется от 8,03 до 36,18 мг/л, а диацетила - от
0,17 до 2,92 мг/л.
,3 - Бутандион,
З-окси-2-бутандион и 2,3 - бутандиол - соединения с четырьмя углеродными
атомами в цепи, они, как показано, составляют окислительно-восстановительную
систему в винах. Аналогичные три соединения, но с пятью углеродными атомами,
были найдены в винах. Содержание 2,3 - пентадиола колеблется от 0,6 до 18 мг/л,
З-окси-2-пентанона от 0,45 до 2,80 и 2,3 - пентандиона от 0,02 до 0,28 мг/л.
Винные дрожжи в процессе алкогольного брожения способны восстанавливать 2,3 -
пентандион и образовывать значительное количество 2,3 - пентандиола.
Чем меньше количество
2,3 - бутандиона (диацетила) и 2,3 - пентандиона в винах, тем выше их
дегустационная оценка. Красные марочные вина обычно содержат больше 2,3 -
бутандиона и 2,3 - пентандиона, чем белые, и дегустационная оценка их заметно
ниже. Видимо, красящие вещества связывают эти карбонильные соединения.
Известно, что в винах,
подвергшихся яблочно-молочному брожению, количество 2,3 - бутандиона
значительно увеличивается и достигает 2,8-4,3 мг/л. При проветривании вин
количество его также увеличивается. Этому способствует содержание в винах ионов
железа и меди, которые катализируют окисление З-окси-2-бутанона в 2,3 -
бутадион.
1.5 Тона окисленности в
вине
Тон окисленности может появиться в
сухих лёгких винах [12].Такие вина невыразительны на вкус и имеют несвежий
запах, они быстро темнеют на воздухе. Иногда к окисленному белому вину
применяют термин «мадеризированное» или «портвейнизированное».
Известно, что букет вина изменяется
при обработке и выдержке [13]. Так, качество шампанских виноматериалов заметно
ухудшается при проведении частых переливок и особенно в случае доступа воздуха.
Еще Бертло, встряхивая выдержанные вина в сосуде с воздухом, обнаруживал, что
вкус их становился «выветренным». В отличие от Бертло Пастер утверждал, что
кислород необходим для созревания вина. Однако научного объяснении этим
явлениям не было дано.
Полагают, что тона окисленности в
винах связаны с продуктами окислительных превращений аминокислот, а также с
наличием в вине свободного ацетальдегида. Хотя некоторые исследователи считают,
что, во-первых, количество аминокислот не играет решающей роли в возникновении
явлений переокисленности и, во-вторых, не только свободный уксусный альдегид
обусловливает появление тона окисленности в вине.
Одним из факторов, влияющих на тон
окислинности вина, является диацетил. Установили, что переокисленность вина
вызывается диацетилом, который образуется при окислении ацетоина и при
концентрации свыше 0,8 мг/л ухудшает качество вина.
Проводили изучение изменения
букетистых веществ при аэрации и окислении шампанских виноматериалов и белых
столовых вин. Для этого проводили аэрирование выдержанного столового вина
рислинг Эльзасский в течение 4 часов. Затем насыщенное кислородом вино в одном
случае оставляли в открытом сосуде на 3 суток, и в другом опыте выдерживали 6
суток при температуре + 5° С в закрытом сосуде, заполненном вином на 50%.
Выбранное для опытов вино имело очень приятный, ярко выраженный букет,
характерный для лучших вин рислинга Эльзаса. В букете чувствовались тона
выдержанного вина и совершенно отсутствовала окисленность. В процессе
4-часового аэрирования букет вина резко ухудшился, стал менее сильным,
появилась разлаженность. Через 3 суток выдержки в аэробных условиях вино стало
простым, в букете исчезли тона выдержки, сильно обнаруживалась выветренность.
Большие количества диацетила в белых
(выше 0,8-0,9 мг/л) и красных винах (больше 1,8 мг/л) придают вину окисленный
тон, при концентрации выше 2 мг/л окисленный тон переходит в мышиный привкус.
1.6 Оценка качества вина
Экспертиза потребительских свойств
винной продукции определяет соответствие товарных качеств действующим
государственным стандартам и техническим условиям на отдельные виды продукции.
Методы экспертизы позволяют оценить изменения качества, связанные с технологией
производства, использованием сырья, упаковкой, хранением, транспортировкой,
условиями реализации.
Товарная экспертиза при исследование
качества вина и винной продукции пользуется органолептическими,
физико-химическими и микробиологическими показателями. Существует много
стандартов, призванных контролировать качество и безопасность производимого
вина и другой алкогольной продукции.
Для определения железа (ӀӀӀ) в
виноградных соках, плодовых, шампанских, игристых винах, виноматериалах,
коньяках и коньячных спиртах, применяют фотометрический метод. Метод основан на
образовании комплексного соединения синего цвета берлинской лазури. [15].
Проводят определение массовой
концентрации сахаров метолом Бертрана. Метод основан на восстановлении
инвертным сахаром окисной формы меди в растворе Фелинга в закисную. Закисную
форму меди переводят в окисную с помощью сернокислой окиси железа.
Образовавшуюся закись железа определяют перманганатометрически [16].
Для определения альдегидов применяют
метод, основанный на связывании альдегидов бисульфитом, окисления бисульфита
йодом, разрушении альдегидсернистого соединения щёлочью и йодометрическим
титрованием выделившегося сульфита. Метод распространяется на виноградные соки,
плодовые, шампанские, игристые вина, виноматериалы, коньячные спирты и плодовые
спирты с объёмной долей этилового спирта не мание 40%. [17].
Используют
фотоэлектроколориметрический метод определения массовой концентрации сахара
(сахарозы, глюкозы, фруктозы) с применением пикриновой кислоты. Диапазон
измерения массовой концентрации сахара 0,1 - 300 г./дмі. Данный метод
распространяется на вина, виноматериалы, коньяки [18].
Определение массовой концентрации
общего экстракта проводят с помощью пикнометра по относительной плотности
продукта и относительной плотности его дистиллята. Массовую концентрацию
приведённого и остаточного экстракта вычисляют на основании полученного
значения общего экстракта [19]. Также определяют объёмную долю продукта
этилового спирта ареометром для определения спирта в дистилляте после
предварительной перегонки [20].
Метод определения массовой
концентрации свободного и общего диоксида серы основан на окислении сернистой
кислоты йодом в серную кислоту в кислой среде в присутствии крахмала. Связанная
сернистая кислота предварительно разрушается под действием щёлочи, а затем
подкисленная серной кислотой, переводится в свободное состояние [21].
Метод определения фурфурола в
ректификованном этиловом спирте основан на реакции взаимодействия фурфурола с
анилином в присутствии ледяной уксусной кислоты с образованием окрашенных
растворов. Метод распространяется на спирт. [22].
Применяют газохроматографический
метод определения содержания летучих органических примесей уксусного альдегида,
сложных эфиров, сивушного масла, метилового спирта, ацетона, 2-бутанона и
диацетила с использованием капиллярных колонок. Определения проводят в отгонах
[23].
Используют метод
инверсионно-вольтамперометрического определения содержания показателей
безопасности: кадмия, свинца, цинка, меди, мышьяка, ртути, железа, и общего
диоксида серы [24].
Для контроля качества вина от каждой
партии продукции отбирают выборку [25]. Партией считают предназначенную для
контроля совокупность едениц продукции одного наименования в однородной таре с
одинаковыми физико-химическими показателями, произведённых на одном
заводе-изготовителе, на одном технологическом оборудовании, в течении одного
технологического цикла, по единому производственному режиму, одной даты
изготовления и оформленную одним сопроводительным документом.
1.7 Методы определения
диацетила
В процессе ферментативного брожения
в вине образуются побочные продукты брожения: 2,3 - бутандиол,
3-окси-2-бутандион (ацетоин) и 2,3 - пентадиол, 2,3 - бутандиона (диацетила), 2,3
- пентандиона. Из побочных продуктов брожения особое значение имеют вицинальные
дикетоны, от содержания которых зависят вкусовые качества продукта.
Исследовали динамику разложения
вторичных продуктов брожения в пиве. [26, 27, 28]. Предложен метод раздельного
определения диацетила и ацетоина, позволяющий определять концентрации указанных
веществ и анализировать динамику их разложения. Полученная информация позволяла
своевременно корректировать параметры технологического процесса приготовления
пива [26].
Определяли диацетил, в отдельных
сортах пива. Использовали фотоколориметрический метод. Метод позволяет снизить
время и затраты на пробоподготовку, уменьшить, по сравнению с существующими
спосабами пробоподготовки, потери определяемого вещества. Выполняли экспериментальную
проверку свойств адитивности анализируемой сложной системы. Экспресс-анализ был
реализован на основе метода серии добавок. Был выполнен анализ возможных
источников погрешностей и даны рекомендации по их уменьшению [27].
Предложен экспресс-метод определения
диацетила, позволяющий контролировать его во время брожения и дображивания,
способствующий корректировки параметров технологического процесса производства
пива [28].
Распространенным способом
определения диацетила является спектрофотометрический метод с предшествующей
дистилляцией с водяным паром. Используется реакция вицинальных дикетонов с
дериватизационным реагентом, чаще всего 1,2 - диметиламинобензилом или
орто-фенилендиамином, при которой образуются цветные продукты. Слабым местом спектрофотометрических
методов является невозможность определить диацетил и пентандион по отдельности.
Хроматографические методы лишены
этого недостатка. Для определения вицинальных дикетонов в пиве использовали
метод газовой хроматографии, детектор захвата электронов и 2,3 - гександион как
внутренний стандарт [29].
Возможно определение глиоксаля,
метилглиоксаля и диацетила в пиве и вине методом высокоэффективной жидкостной
хроматографии со спектрофотометрическим детектированием в ультрафиолетовой
области после получения производных с о-фенилендиамином [30].
Предложена простая, экспрессная и
высокочувствительная методика спектрофотометрического определения диацетила в
растворах, основанная на его реакции с 2.3-диаминонафталином с образованием
сильно флуоресцирующего 2,3 - диметилнафтопиразина. Градуировочный график
линеен в интервале концентрации 0,175 - 2,5 мкмоль/л [31].
Также исследована возможность
применения инверсионной катодной вольтамперометрии переменного тока с
прямоугольным напряжением для определения органических веществ и других
компонентов, которые обладают быстрой скоростью восстановления на стадии
адсорбции. Вольтамперометрический сигнал переменного тока при этом либо очень
мал, или отсутствует. На примере диацетила была исследована зависимость аналитического
сигнала от частоты переменного тока [33].
Широко известна реакция диацетила с
1-нафтолом и креатином в щелочной среде [34]. Существует единственная работа в
которой предложено заменить 1-нафтол 2-нафтолом для увеличения чувствительности
спектрофотометрического определения диацетитла. Определения проводили на
модельных растворах [35].
2. Экспериментальная
часть
.1 Исходные реактивы,
материалы и используемая аппаратура
- электроплитка по ГОСТ14919 - 83.
фотоэлектроколориметр КФК - 3.
весы лабораторные второго класса
точности, ВЛР-200 по ГОСТ 24104 - 88.
меры масс ГОСТ 7328 - 82.
пипетки градуированные вместимостью
100, 50, 10, 5, 2, 1 мл по ГОСТ 20292 - 74.
колбы плоскодонные со шлифом
вместимостью 250 мл по ГОСТ 25336 - 82.
цилиндры вместимостью 5-10 мл по
ГОСТ 1770 - 74.
градуированные пробирки вместимостью
10-15 мл по ГОСТ 19808 - 86.
колбы мерные вместимостью 10, 15, 25
мл по ГОСТ 1770 - 74.
кюветы стеклянные L = 1 см.
воронки лабораторные по ГОСТ 25336 -
82.
кислота соляная х.ч. по ГОСТ 3118 -
77.
креатин х.ч. по ГОСТ 388 - 73.
диацетил х. ч.
2 - нафтол х. ч.
вода, дистиллированная ГОСТ 6709 -
72.
стаканы химические, вместимостью
50-100 смᵌ ГОСТ
25336 - 82.
2.2 Приготовление
растворов
Раствор диацетила, концентрация
1,7900 г./л.
Навеску диацетила массой 0,0895 г.
растворяем в дистиллированной воде в мерной колбе на 50,0 смᵌ и доводим до метки
дистиллированной водой.
Раствор диацетила, концентрация
0,01432 г./л
В мерную колбу на 250,0 смі помещаем
2, 00 смі основного раствора диацетила с концентрацией 1,7900 г./л и доводим до
метки дистиллированной водой.
Раствор креатина, молярная
концентрация 0,0221 моль/дмі.
Растворяют навеску креатина массой
0,0625 г. в 10-20 смі дистиллированной воды в мерной колбе объёмом 25,0 смі. По
окончанию растворения доводят до метки дистиллированной водой.
Раствор 2 - нафтола, молярная
концентрация 0,2588 моль/дмі.
В мерную колбу вместимостью 10,00
смі помещают навеску 0,3731 г. 2-нафтола, растворяют в 10,00 смі 1,50 М щёлочи.
Раствор должен готовиться непосредственно перед использованием.
Раствор гидроксида натрия, молярная
концентрация 1,50 моль/дмі.
В 300-400 смі дистиллированной воды
растворяют навеску гидроксида натрия массой 60,00 г. По окончанию растворения
разбавляют дистиллированной водой до объёма 1,0 л.
2.3 Установление
оптимальных условий эксперимента
Определение суммарной концентрации
реагентов 2-нафтола и креатина
В результате взаимодействия
диацетила с 2-нафтолом и креатином образуется соединение неописанного состава
[35]. Мольное соотношение креатин: 2-нафтол было установлено по литературным
данным и оставалось постоянным 1: 6.
Подбирали оптимальные концентрации
реагентов 2-нафтола и креатина. При увеличении суммарной концентрации креатина
и 2-нафтола происходило увеличение абсорбционности (рисунок 2.1).
Рисунок 2.1 - Зависимость
абсорбционности от суммарной концентрации реагентов 2-нафтола и креатина
Была определена суммарная
оптимальная концентрация реагентов 20 ммоль/л, при которой оптическая плотность
достигала максимума.
Определение концентрации гидроксида
натрия
Время развития окраски продукта
реакции диацетила с 2-нафтолом и креатином зависит от концентрации щёлочи в
растворе (рисунок 2.2)
Рисунок 2.2 - Зависимость оптической
плотности от времени. Концентрации гидроксида натрия 0,060M
Время достижения максимальной
абсорбционности при концентрации гидроксида натрия 0,06 М составило 40 минут.
Для уменьшения времени развития окраски увеличивали концентрацию гидроксида натрия
(рисунок 2.3).
Рисунок 2.3 - Зависимость оптической
плотности от времени. Концентрации гидроксида натрия 0,3M
При увеличении концентрации
гидроксида натрия до 0,3 М время развития окраски уменьшилось с 40 до 12 минут.
Окраска раствора стала более устойчивой. При дальнейшем увеличении концентрации
щёлочи время развития окраски не изменялось.
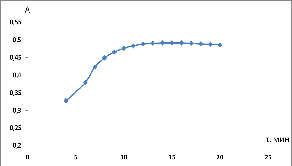
2.4 Определение
зависимости аналитического сигнала от концентрации диацетила
В мерные колбы вместимостью 10,00 см3
помещали 0,20; 0,30; 0,40; 0,50; 0,70; 1,00; 2,00; 3,00 см3 рабочего
раствора диацетила с концентрацией 14,32 мкг/мл. Приливали по 1,40 см3 раствора
2-нафтола с концентрацией 0,2588 моль/дм3, 2,70 см3 креатина
с концентрацией 0,0221 моль/дм3 и 0,60 см3 1,50 М
раствора щёлочи. Доводили до метки дистиллированной водой. Измеряли оптическую
плотность продукта взаимодействия диацетила с 2-нафтолом и креатином в щелочном
растворе через 12 минут на фотоэлектроколориметре КФК-3 при длине волны л=498
нм. В качестве растворов сравнения использовали холостую пробу. Получали
зависимость А=f (С), где С - концентрация диацетила (рисунок 2.4).
Рисунок 2.4 - Зависимость оптической
плотности от концентрации диацетила
2.5 Выделение диацетила
методом отгонки
Диацетил - очень летучее вещество.
Поэтому для выделения диацетила из анализируемых проб применили метод отгонки.
Предварительно диацетил очищали перегонкой над поташем (К2СО3). Соединение
идентифицировали по температуре кипения (88°С) и показателю преломления (1,3951).
Для оценки полноты извлечения диацетила в плоскодонную колбу на 250,0 мл
помещали 50,0 мл стандартных растворов диацетила. Отгонную колбу помещали на
электроплитку. Приёмник погружали в стакан со льдом. Время дистилляции 7 - 8
минут. Объём дистиллята 10,0 мл. Для учета потерь при выделении диацетила,
определяли зависимость оптической плотности от концентрации модельных растворов
диацетила в отгонной колбе (рисунок 2.5).
Рисунок 2.5 - Зависимость оптической
плотности от концентрации диацетила
Зависимость оптической плотности от
концентрации диацетила подчиняется закону Бугера - Ламберта - Бера в интервале
от 0,30 до 3,00 мкг/мл. Коэффициент линейной корелляции RІ = 0,999.
Диацетил отгоняли из объема 50 мл,
объем дистиллята 10 мл. В результате дистилляции происходит увеличение
концентрации диацетила.
Коэффициент концентрирования зависит
от концентрации модельных растворов диацетила и изменяется от 2,50 до 3,60. При
уменьшении концентрации диацетила коэффициент концентрирования уменьшается
(рисунок 2.6).
Рисунок 2.6 - Зависимость
коэффициента концентрирования диацетила от его отгонной колбе
2.6 Проверка
правильности методики методом «введено найдено»
Правильность предложенной методики
была проверена методом «введено-найдено» (таблица 2.1).
В 300,00 мл вина (белого и красного)
прибавляли 3,00 мл стандартного раствора диацетила и тщательно перемащивали. Из
полученного раствора отбирали 50,00 мл и отгоняли 10,00 мл дистиллята. После
прибавляли растворы реагентов 2-нафтола и креатина. Оптическую плотность
полученных растворов определяли на ФЭКе.
Таблица 2.1 - Проверка правильности
методики методом «введено-найдено».
|
Название вина
|
Концентрация диацетила, мг/дмᵌ
|
|
Проба
|
Введено
|
Найдено
|
|
«Каберне»
|
0,69±0,06
|
0,716
|
1,37±0,07
|
|
«Земфира»
|
0, 39±0,02
|
0,550
|
0,84±0,02
|
|
«Шардоне»
|
0,51±0,03
|
0,716
|
1,20±0,08
|
Погрешность определения не превысила
5%.
2.7 Определение
диацетила в винах
Были проанализированы 10 образцов
вина, приобретённые в торговой сети. Диацетил, несмотря на относительно низкие
концентрации в вине оказывает влияние на его аромат, кроме того, он участвует в
биохимических реакциях приводящих к образованию других ароматобразующих
соединений.
Диацетил отгоняли из пробы вина
50,00 смі. Отгон проводили в течение 7 - 8 минут. Объём дистиллята 10,0 смі. В
мерную колбу на 10,00 смі помещали 5,00 смі дистиллята, прибавляли 1,40 смі
2-нафтола с концентрацией 0,02588 моль/дм3, 2,70 смі креатина с
концентрацией 0,0221 моль/дм3 и 0,60 смі 1,50 М гидроксида натрия.
Доводили до метки дистиллированной водой. Выдерживали растворы 12 минут и
определяли оптическую плотность на фотоэлектроколориметре KФK-3 при длине волны 490 нм., длина
кюветы 10 мм. Рассчитывали концентрацию диацетила в вине по формуле
C = (C1V1)/V2 (1)
Где С - концентрация диацетила в
вине, мкг/мл;
С1 - концентрация диацетила по
градуировачному графику мкг/мл;
V1 - объём мерной колбы, 10,0 смі;
V2 - объём дистиллята, 10,0 смі взятого для анализа;
Результаты анализа образцов вина
представлены в таблице 2.2.
Таблица 2.2 - Результаты анализа
образцов вина
|
Название образцов вина
|
Производитель
|
НТД
|
Концентрация диацетила в пробе мг/дмᵌ
|
|
«Каберне»
|
ОАО АПФ «Фанагория», кр. Краснодарский, п. Сенной. Вино столовое
сухое красное
|
ГОСТ Р 52523-2006
|
0,69±0,06
|
|
«Земфира»
|
OOO
КПП «Северское», кр. Краснодарский, ст. Северская. Вино столовое сухое белое.
|
ГОСТ Р 52523-2006
|
0, 39±0,02
|
|
«Шардоне»
|
ООО «Кубань-вино» кр. Краснодарский, ст. Старотитаровская. Вино
столовое сухое белое.
|
ГОСТ Р 52523-2006
|
0,51±0,03
|
|
«Мускат фанагория»
|
ОАО АПФ «Фанагория», кр. Краснодарский, п. Сенной. Вино столовое
полусладкое белое.
|
ГОСТ Р 52523-2006
|
0,44±0,03
|
|
«Монашеский орден»
|
ООО «Кубанские Вина», кр. Краснодарский, г. Темрюк. Вино
столовое полусладкое белое.
|
ГОСТ Р 52523-2006
|
0,74±0,05
|
|
«Николь»
|
OOO
«Суворов-Вин», г. Кишинёв. Вино столовое красное полусладкое.
|
ГОСТ Р 52523-2006
|
0,17±0,01
|
|
«Золотой лотос»
|
ООО «Марьянские вина», г. Краснодар. Вино белое сладкое.
|
-
|
0,40±0,03
|
|
«Изабелла»
|
ООО «Долина», кр. Краснодарский, ст. Вышестеблиевская. Вино
красное.
|
ГОСТ Р 52404-2005
|
0,71±0,04
|
|
«Роза в бокале»
|
ООО «ТВК-Кубань», кр. Краснодарский, ст. Старотитаровская. Вино
полусладкое красное.
|
ГОСТ Р 52523-2006
|
0,58±0,04
|
|
«Красный лотос»
|
ООО «Марьянские вина», г. Краснодар. Вино белое сладкое.
|
-
|
0,14±0,01
|
Содержание диацетила в вине
определяет степень его окисленности. При концентрации диацетила больше 0,8
мг/дмᵌ вино приобретает тона
окисленности. Проанализированные вина относятся к винам не окисленного типа так
как содержание диацетила не превышает 0,8 мг/дмᵌ.
.8 Метрологическое
оценка показателей качества разработанной методики
Разработка методики
анализа предусматривает установление приписанных характеристик погрешности.
Значения приписанных характеристик погрешности устанавливают для всего
диапазона действия методики анализа. Планирование эксперимента должно отвечать
условиям воспроизводимости. С этой целью ОО отсылают в L лабораторий, каждая из
которых получает N результатов единичного анализа в условиях повторяемости. Под
«лабораторией» подразумевают сочетание таких факторов, как «оператор»,
«оборудование» и «место измерений». Одна лаборатория в общепринятом значении
этого слова представляет собой несколько «лабораторий» в том случае, если она
может предусматривать наличие нескольких операторов, каждый из которых
располагает своим рабочим местом с комплектом оборудования и условиями, в
которых выполняют работу.
Для оценки показателей качества был
выбран образец красного вина «Каберне» (ОАО АПФ «Фанагория»). Оценку прецизионности
проводили согласно РМГ 61 - 2003 Государственная система обеспечения единства
измерений. Показатели точности, правильности и прецизионности методов
количественного химического анализа. Методы оценки. Для образца вина в условиях
внутрилабораторной прецизионности было получено 10 сходимых результатов
определения диацетила, каждое из которых представляло среднее арифметическое
2-х параллельных определений (таблица 2.3).
Таблица 2.3 - Результаты для оценки
прецизионности диацетила в вине «Каберне»
|
№
|
Х1
|
Х2
|
№Х1Х2
|
|
|
|
|
|
1
|
0,635
|
0,645
|
0,640
|
11
|
0,549
|
0,517
|
0,533
|
|
2
|
0,679
|
0,681
|
0,680
|
12
|
0,621
|
0,589
|
0,605
|
|
3
|
0,600
|
0,580
|
0,590
|
13
|
0,525
|
0,495
|
0,510
|
|
4
|
0,753
|
0,775
|
0,764
|
14
|
0,582
|
0,552
|
0,567
|
|
5
|
0,679
|
0,695
|
0,687
|
15
|
0,563
|
0,545
|
0,554
|
|
6
|
0,705
|
0,691
|
0,698
|
16
|
0,630
|
0,656
|
0,643
|
|
7
|
0,689
|
0,711
|
0,700
|
17
|
0,589
|
0,611
|
0,600
|
|
8
|
0,560
|
0,593
|
0,577
|
18
|
0,597
|
0,577
|
0,587
|
|
9
|
0,658
|
0,650
|
0,654
|
19
|
0,643
|
0,661
|
0,652
|
|
10
|
0,638
|
0,656
|
0,647
|
20
|
0,575
|
0,620
|
0,598
|
Алгоритм оценивания
прецизионности включал в себя расчет среднего арифметического по формуле (2),
показателя разброса по формуле (3), проверку однородности дисперсии по критерию
Кохрена и расчет показателя и предела повторяемости на основе данных,
представленных в таблице 11:

, (2)
, l = 1,…, L.
(3)
На основе полученных
значений выборочных дисперсий проверили гипотезу о равенстве генеральных
дисперсий, используя критерий Кохрена. Дисперсии результатов единичного
анализа, полученные в различных лабораториях, имеют различные значения.
Предполагают, что для аттестованной методики анализа такие различия между
лабораториями невелики и, что допустимо установить одно общее (усредненное)
значение дисперсии для всех лабораторий, применяющих данную методику.
Значение критерия
Кохрена Gmax рассчитали по формуле:
(4)
и сравнили его с
табличным значением этого критерия (Gтабл) для числа степеней
свободы v = N - 1, соответствующего максимальной дисперсии, и f=L,
соответствующего числу суммируемых дисперсий, и принятой доверительной
вероятности Р = 0,95.
Так как Gmax
< Gтабл, то
считали
однородными и по ним оценивали средние квадратические отклонения (далее - СКО),
характеризующие повторяемость результатов единичного анализа (параллельных
определений), полученных для содержания, соответствующего содержанию
компонента. СКО - Srl
рассчитывают по формуле:
, (5)
Показатель повторяемости
методики анализа в виде СКО - srl
для содержания, соответствующего содержанию компонента в ОО, устанавливают,
принимая равным Srl:
srl » Srl.
Показатель
повторяемости методики анализа в виде СКО, выраженный в процентах рассчитывают:
srl, % =
,
(6)
где Х - общее
среднее значение результатов анализа, полученных в условиях повторяемости.
Предел
повторяемости рассчитывали по формуле:
rl = Q (P, n)уrl, (7)
где n - число параллельных измерений.
При Р=0,95; n=2; Q (P, n)=2,77.
Для оценки
показателя воспроизводимости методики анализа рассчитали выборочное СКО
результатов анализа, полученных в условиях воспроизводимости, - SRl по формуле:
(8)
где n - число экспериментальных лабораторий.
N
- число измерений в одной лаборатории.
Показатель
воспроизводимости методики анализа в виде СКО - sR
для содержания, соответствующего содержанию компонента, устанавливают, принимая
равным SRl:
sRl » SRl
Показатель воспроизводимости
методики анализа в виде СКО, выраженный в процентах:
sRl, % =
(9)
Предел повторяемости
рассчитывали по формуле:
R
= Q (P, n)уRl,
(10)
Для оценки правильности
и точности методики анализа применяли метод добавки. Образцами для оценивания
являлись рабочие пробы и пробы с добавкой, которую вносили в виде раствора
вещества-стандарта. Исходные данные представлены в таблице 2.4
Таблица 2.4 - Результаты
для оценки правильности и точности диацетила
|
№
|
Результат анализа пробы без добавки Хl
|
Результат анализа пробы с добавкой Xl′
|
Значение экспериментально найденной добавки Хд = Xl′ - Хl
|
|
1
|
0,680
|
1,325
|
0,654
|
|
2
|
0,590
|
1,263
|
0,673
|
|
3
|
0,764
|
1,453
|
0,689
|
|
4
|
0,687
|
1,393
|
0,706
|
|
5
|
0,698
|
1,365
|
0,667
|
|
6
|
0,700
|
1,429
|
0,729
|
|
7
|
0,577
|
1,286
|
0,709
|
|
8
|
0,654
|
1,370
|
0,716
|
|
9
|
0,677
|
1,352
|
0,705
|
|
10
|
0,640
|
1,370
|
0,730
|
|
11
|
0,533
|
1,244
|
0,711
|
|
12
|
0,605
|
1,260
|
0,679
|
|
13
|
0,510
|
1,229
|
0,719
|
|
14
|
0,567
|
1,289
|
0,722
|
|
15
|
0,554
|
1,247
|
0,693
|
|
16
|
0,643
|
1,368
|
0,717
|
|
17
|
0,600
|
1,318
|
0,718
|
|
18
|
0,587
|
1,303
|
0,716
|
|
19
|
0,625
|
1,325
|
0,700
|
|
20
|
0,598
|
1,277
|
0,679
|
Для оценки
правильности методики анализа рассчитывали среднее арифметическое
экспериментально найденной добавки и дисперсию, характеризующую разброс средних
арифметических значений результатов единичного анализа Xl относительно среднего значения результатов анализа рабочих проб и
рабочих проб с добавкой:

, (11)
, l = 1,…, L.
(12)
Далее для оценки
показателя правильности методики анализа рассчитывали оценку математического
ожидания систематической погрешности методики анализа - Q
как разность между средним значением экспериментально найденной добавки Хд
и аттестованным значением добавки - C:
Q = Хд - C
(13)
Проверили значимость
вычисленных значений Q по критерию Стьюдента. Для этого рассчитали значение t-критерия
(tэксп):
, (14)
где
−
дисперсия, характеризующая разброс средних арифметических значений результатов
единичного анализа Хl, относительного среднего значения результатов
анализа Х;
Dдоб
- погрешность аттестованного значения добавки к пробе.
(15)
где Сдоб
- приписанное модельной смеси значение концентрации диацетила (для диацетила -
0,716 мг/дм3);
щ - массовая доля
примесей в аналитическом стандарте диацетила;
щ - массовая доля
диацетила в аналитическом стандарте (99,0%);
Дm -
предел возможного отклонения весов лабораторных второго класса точности, при
взвешивании стандартной навески (
);
m
- масса стандартной навески (0,0895 г.);
Vк
- номинальный объем колбы, в которой готовится раствор (100см3);
ДVк
- предел возможного отклонения объема мерной колбы от номинального (0,8 см3);
Vп1
- объем конечного раствора, отбираемого пипеткой второго класса с делениями
(1см3);
ДVп
- предел возможного объема раствора, отбираемого пипеткой (0,015см3);
Vп2
- объем конечного раствора, отбираемого пипеткой второго класса с делениями
(5см3);
ДVп
- предел возможного объема раствора, отбираемого пипеткой (0,05см3);
Vп3
- объем конечного раствора, отбираемого пипеткой второго класса (50см3);
ДVп
- предел возможного объема раствора, отбираемого пипеткой (0,05см3);
Полученное значение tэксп
сравнивали с tтабл при числе степеней свободы f =L для доверительной
вероятности Р = 0,95.
Так как tэксп <
tтабл, то оценка систематической погрешности незначима на фоне
случайного разброса, и в этом случае ее принимают равной нулю (Qm
=0).
При выполнении данного
критерия может быть принято решение о введении в результаты анализа, получаемые
при реализации данной методики, поправки на значение Q,
то есть значение Q, соответствующее содержанию С - Q(С), вычитают из любого
результата анализа, полученного по методике.
При незначимости Q
или при принятом для методики анализа решении о введении в результаты анализа
поправки показатель правильности методики анализа [верхнюю (Dс.в)
и нижнюю (Dс.н)
границы, в которых неисключенная систематическая погрешность методики анализа
находится с принятой вероятностью Р= 0,95, рассчитывают по формуле:
(16)
Для оценки показателя
точности методики анализа рассчитали верхнюю (Dв)
и нижнюю (Dн)
границы, в которых погрешность результата анализа находится с принятой
вероятностью Р = 0,95:
. (17)
В результате
метрологической оценки были получены следующие показатели точности,
правильности, повторяемости, воспроизводимости и пределы повторяемости и
воспроизводимости для образцов вина (таблица 2.5).
Таблица 2.5 - Значения
показателей качества методики анализа
|
Метрологические характеристики
|
Диацетил
|
|
Показатель правильности Дс,
%
|
12
|
|
Показатель точности Д,
%
|
22
|
|
Показатель повторяемости уrl, %
|
7
|
|
Предел повторяемости rl,
%
|
17
|
|
Показатель воспроизводимости уRl, %
|
10
|
|
Предел воспроизводимости Rl,
%
|
27
|
В результате
выполнения работы был разработан проект стандарта организации на методику
определения катионов щелочных и щелочноземельных металлов в вине.
Заключение
. Подобраны условия выделения и
определения диацетила спектрофотометрическим методом.
. Показано, что в процессе
дистилляции происходит концентрирование диацетила. Степень концентрирования
изменяется от 3,8 до 2,2 и зависит от концентрации стандартных растворов
диацетила.
. Получена линейная зависимость
аналитических сигналов от концентрации диацетила в отгонной колбе.
. Определена суммарная концентрация
реагентов креатина и в-нафтола (20 ммоль/л). Молярное соотношение Скреатин:
Св-нафтол =1:6.
. Изучена зависимость времени
развития окраски от концентрации гидроксида натрия. Установлено, что при
концентрации гидроксида натрия не менее 0,3 моль/л время развития окраски
уменьшается до 12 мин. Дальнейшее увеличение концентрации щёлочи не уменьшает
время развития окраски.
. Правильность разработанной
методики проверена методом «введено-найдено».
. Проведена метрологическая оценка
показателей качества разработанной методики анализа.
. По разработанной методике
определено содержание диацетила в вине. Все проанализированные вина не имеют
тона окисленности.
Список используемых
источников
1 Электронный ресурс. URL: http://ru.wikipedia.html
Электронный ресурс. URL: http://flavourartexpress.ru/diacetyl.html
3 Электронный ресурс. URL: http://milkco.ru/masla/aromat-masla.htm
Электронный ресурс. URL: http://ckhtl.com/books/gorbatov. html
Электронный ресурс. URL: http://bibliofond.ru/view. html
Электронный ресурс. URL: http://www.alcomarket.info. html
Электронный ресурс. URL: http://iok.narod.ru/bf.html
Шевченко, В.В.
Товароведение и экспертиза потребительских товаров. - М.: ИНФА, 2001. - 544 с.
Электронный ресурс. URL: http://sortov.net/poisk.html
Иванов, М.Г. Мир вина. -
Смоленск.: Русич, 2001. - 510 с.
Валуйко, Г.Г.
Виноградные вина. - М.: Пищевая промышленность, 1988. - 254 с.
12
Электронныйресурс.URL:http://alcogol.nmn.su/
page. html
13 Электронный ресурс. URL: http://aquanox.ru/shampanskoe/54-izmenenie-aromatobrazuyuschih-komponentov.html
Электронный ресурс.URL: http: //www.prostoflora.ru/ximvino.html
ГОСТ 13195 - 73. Вина,
виноматериалы, коньяки, коньячные спирты, соки плодово-ягодные спиртованные.
Метод определения железа. - Введ. 1975.01.01. - М.: Изд-во стандартов, 1973. -
4 с.
ГОСТ 13192-73 Вина,
виноматериалы, коньяки. Метод определения сахаров. - Введ. 1975.01.01 - М.:
Изд-во стандартов, 1973. - 9 с.
ГОСТ 12280 - 75 Вина,
виноматериалы, коньячные и плодовые спирты. Метод определения альдегидов. -
Введ. 1977.01.07. - М.: Изд-во стандартов, 1975. - 8 с.
ГОСТ Р 51875 - 2002
Вина, виноматериалы и коньяки. Фотоэлектроколориметрический метод определения
массовой концентрации сахара с применением пикриновой кислоты (тринитрофенола).
- Введ. 2003.01.01. - М.: Госстандарт России: Изд-во стандартов, 2002. - 11 с.
ГОСТ Р 51620 - 2000
Алкогольная продукция и сырьё для её производства. Метод определения массовой
концентрации приведенного экстракта. - Введ. 2001.01.01. - М.: Госстандарт России:
Изд-во стандартов, 2000. - 5 с.
ГОСТ Р 51653 - 2000
Алкогольная продукция и сырьё для её производства. Метод определения объёмной
доли этилового спирта. - Введ. 2001.07.01. - М.: Госстандарт России: Изд-во
стандартов, 2001. - 6 с.
ГОСТ Р 51655 - 2000
Алкогольная продукция и сырьё для её производства. Метод определения массовой
концентрации свободного и общего диоксида серы. - Введ. 2001.07.01. - М.:
Госстандарт России: Изд-во стандартов, 2000. - 7 с.
ГОСТ Р 51710 - 2001
Спирт этиловый. Метод определения наличия фурфурола. - Введ. 2002.01.01. - М.:
Госстандарт России: Изд-во стандартов, 2001. - 7 с.
ГОСТ Р 52363 - 2005
Спиртосодержащие отходы спиртового и лекёроводочного производства.
Газохроматографический метод определения содержания летучих органических
примесей. - Введ. 2006.07.01. - М.: Госстандарт России: Изд-во стандартов,
2005. - 11 с.
ГОСТ Р 51823 - 2001
Алкогольная продукция и сырьё для её производства. Метод
инверсионно-вольтамперометрического определения содержания кадмия, свинца,
цинка, меди, мышьяка, ртути, железа, и общего диоксида серы. - Введ.
2003.01.01. - М.: Госстандарт России: Изд-во стандартов, 2001. - 8 с.
ГОСТ Р 51144 - 98
Продукты винодельческой промышленности. Правила приёмки и методы отбора проб. -
Введ. 1999.01.01. - М.: Госстандарт России: Изд-во стандартов, 1998. - 6 с.
Третьяк, Л.Н. Анализ
динамики разложения вторичных продуктов брожения в пиве / Л.Н. Третьяк, Ю.А.
Лосев, В.Р. Халиуллин // Вестник ОГУ. - 2004. - №2. - С. 152-156.
Третьяк, Л.Н. Контроль
качества пива на основе экспрессного определения диацетила / Л.Н. Третьяк, В.И.
Федорченко // Вестник ОГУ. - 2006. - №10. - С. 451-455.
Третьяк, Л.Н., Контроль
качества пива в условиях ограниченно оборудованных пивоваренных лабораторий /
Л.Н. Третьяк, Ю.А. Лосев, Е.Г. Бондаренко // Вестник ОГУ - 2005. - №10. - С.
144-149.
Электронный ресурс. URL: http://www.propivo.ru/sens/33/02.html
30 Barros, A.
Determination of glyoxal, methylglyoxal, and diacetyl in selected beer and
wine, by HPLC with uv spectrophotometric detection, after derivatization with
o-phenylenediamine / A. Barros, J.A. Rodrigues, M.T. Oliva-Telts //J. liq.
technol. - 1999. - Т. 22, - С. 2061-2069.
Mariaud, M. New
quantitative determination of 2,3 - dioxobutane (diacetyl) in alcoholic
beverages by an indirect spectrofluorimetric procedure with use of 2,3 -
diaminonaphtalene as reagent of derivatization / M. Mariaud, P. Levillain //
Talanta. - 1993. - Т. 41, - №1. - С. 75-79.
Bakirci, I. The
effect of commercial starter culture and storage temperature on the oxidative
stability and diacetyl production in butter/ I. Bakirci, S. Celik, C. Ozdemir
// Dairy Technology. - 2002. - Т. 55, - №4. - С. 177-181.
Rodrigues, О.А. Flow injection square
wave cathodic stripping voltammetric determination at a hanging mercury drop
electrode of rapidly reduced compounds. Determination of diacetyl in wine as
2,3 - dimethylquinoxaline // О.А. Rodrigues, A.A. Barros, P.J. Almeida // Analytica Chimica Acta.
- 2001. - С. 119-127.
Mattessich, J. The
Spectrophotometric Determination of Diacetyl / J. Mattessich, J.R. Cooper //
Analytical Biochemistry. - 1989. - Т. 180, - С. 349-350.