Определение диацетила и ацетоина в алкогольных напитках
МИНИСТЕРСТВО
ОБРАЗОВАНИЯ И НАУКИ РОССИЙСКОЙ ФЕДЕРАЦИИ
Федеральное
государственное бюджетное образовательное учреждение
высшего
профессионального образования
«КУБАНСКИЙ
ГОСУДАРСТВЕННЫЙ УНИВЕРСИТЕТ»
(ФГБОУ
ВПО «КубГУ»)
Кафедра
аналитической химии
ВЫПУСКНАЯ
КВАЛИФИКАЦИОННАЯ РАБОТА БАКАЛАВРА
Определение
диацетила и ацетоина в алкогольных напитках
Работу выполнила М.Н.
Вашакидзе
Факультет химии и
высоких технологий
Научный руководитель,
ст.преп., канд. хим. наук Л.И. Пиль
Нормоконтролер доц.,
канд. хим. наук, О.Б. Воронова
Краснодар
2014
СОДЕРЖАНИЕ
Введение
. Аналитический обзор
.1 Физические и химические свойства диацетила и ацетоина
.2 Образование диацетила и ацетоина в некоторых продуктах
.2.1 Образование диацетила и ацетоина в пиве
.2.2 Образование диацетила и ацетоина в вине
.2.3 Образование диацетила и ацетоина в молочных продуктах
.3 Влияние диацетила на организм человека
.4 Методы определения диацетила и ацетоина
.4.1 Спектрофотометрические методы
.4.2 Флуориметрические методы
.4.3 Вольтамперометрические методы
.4.4 Хроматографические методы
. Экспериментальная часть
.1 Исходные реактивы, материалы и используемая литература
.2 Приготовление растворов
.2.1 Приготовление основного раствора диацетила
.2.2 Приготовление основного раствора ацетоина
.2.3 Приготовление раствора соляной кислоты
.2.4 Приготовление 1%-ного раствора о-фенилендиамина
.3 Пробоподготовка
.4 Стандартизация раствора хлорида железа (III)
.5 Установление условий эксперимента
.5.1 Определение зависимости аналитического сигнала
2,3-диметилхинок- салина от времени реакции
.5.2 Определение зависимости аналитического сигнала от времени
после прибавления соляной кислоты
.6 Определение диацетила
.6.1Выделение диацетила методом отгонки
.7 Установление условий окисления ацетоина
.7.1 Определение объема хлорида железа (III)
.7.2 Определение оптимального времени для окисления
.8 Зависимость аналитического сигнала от концентрации
.9 Проверка правильности методики
Заключение
Список использованных источников
диацетил ацетоин алкогольный определение
ВВЕДЕНИЕ
Исследование любого пищевого
продукта - сложная аналитическая задача. Из-за индивидуальности состава и
многокомпонентности продуктов необходимо приспосабливать стандартные методы к
особенностям состава и физико-химической структуры продукта, то есть в каждом
конкретном случае требуется проведение той или иной аналитической
исследовательской работы. При этом необходимо учитывать физическое состояние
исследуемого вещества и сопутствующих определяемому веществу компонентов.
Особенности состава и форм
нахождения определяемых компонентов в пищевых продуктах осложняют
пробоподготовку: необходимо предварительно выделить (изолировать) компонент.
Судить о качестве исходного сырья,
технологического процесса и готовой продукции представляется возможным только
при совокупном анализе объекта. Последнее возможно только при использовании
комплекса анализов (физических, физико-химических, микробиологических и др.).
В последние годы в нашей стране
пивоваренная промышленность развивается быстрыми темпами, и, в связи с этим,
большое внимание уделяется интенсификации технологического процесса, а также
повышению вкусо-ароматических характеристик и вкусовой стабильности пива.
Изменения технологических режимов, направленные на сокращение продолжительности
процесса получения пива и повышения его качества, а также применение новых
видов сырья и штаммов дрожжей нового поколения привели к необходимости изучения
синтеза вкусовых компонентов пива.
Одними из наиболее важных
компонентов, при повышенных концентрациях отрицательно влияющих на вкус и
аромат напитка, являются диацетил и ацетоин.
Весьма распространенным способом
определения диацетила и ацетоина является спектрофотометрический метод с
предшествующей дистилляцией с водяным паром. Используется реакция вицинальных дикетонов
с дериватизационным реагентом.
Работа посвящена оптимизации условий
спектрофотометрического определения диацетила и ацетоина и применению этого
метода для определения диацетила и ацетоина в пиве.
Работа выполнена на оборудовании ЦКП
«Эколого - аналитический центр».
.
АНАЛИТИЧЕСКИЙ ОБЗОР
.1 Физические и химические свойства
диацетила и ацетоина
Диацетил (2,3-бутандион,
диметилглиоксаль) - простейший представитель дикетонов с формулой С4H6O2.
Диацетил - желто-зелёная жидкость, имеет сильный, жирный запах сливочного масла
и сметаны, но практически безвкусен. Растворяется в воде 25 %. С метанолом
образует азеотроп (62 °C, 25 %). Подобно другим 1,2-дикетонам, с
о-фенилендиамином диацетил дает производное хиноксалина, с N
и альдегидами -
имидазола. При окислении гидропероксидами образуется уксусная кислота или ее
ангидрид. Сильно летуч [1].
Ацетоин
(ацетилметилкарбинол, З-гидрокси-2-бутанон) - вещество, являющееся простейшим
представителем ацилоинов. Ацетоин представляет из себя бесцветную или жёлтую
жидкость с сильным маслянисто-сливочным запахом. Может существовать в форме
мономера или димера. Товарный продукт, используемый в промышленности, чаще
всего представляет собой димер. Содержится в сливочном масле, вине, кофе.
Применяется в производстве пищевых ароматизаторов.
Получают диацетил
дегидрированием 2,3-бутандиола при ферментации как побочный продукт синтеза
валина, когда дрожжи производят α-ацетолактат,
который покидает клетку и спонтанно декарбоксилируется в диацетил. Дрожжи затем
абсорбируют диацетил, и восстанавливают кето-группу с образованием ацетоина и
2,3-бутандиола.
Диацетил содержится в коровьем жире,
некоторых эфирных маслах, обжаренном кофе, цикории, продуктах гидролиза
древесины, пиролиза табака [2].
Встречается в дистилляционных водах
после отгонки эфирных масел кипариса, казацкого можжевельника, корня ветиверы и
ириса, западно-индийского сандалового дерева, хмеля, тмина, корня ангелики. В
соке винограда встречается в количествах 0,1- 0,5 мг/дм3, в винах -
0,5-5 мг/дм3. Образуется при окислении ацетоина во время брожения
спиртового, яблочно-молочного, а также в процессе различных обработок вин.
Количество диацетила находится в прямой зависимости от исходной концентрации
сахара в сусле. Участвует в создании аромата вин: некоторым винам придает
приятный запах лесного ореха или слегка прогорклого масла. Белые столовые вина,
содержащие диацетил выше 1 мг/дм3, приобретают тона окисленности.
Пороговая концентрация 0,7-0,8 мг/дм3.
Диацетил образуется не только в
пиве, инфицированном педиококками или молочными бактериями, некоторые расы
пивоваренных дрожжей тоже способны его образовывать. Считается нормальным
содержание в пиве 0,2 мг/л диацетила, 0,35 мг/л диацетила и выше влияет на
запах и привкус (неприятный).
Дрожжи обладают способностью
восстанавливать диацетил в 2,3-бутандиол в стадии активного размножения. Более
низкие концентрации диацетила, которые могут быть получены в пиве в результате
редукции живыми дрожжами, равны 0,2 мг/л. В практике запах диацетила можно
удалить из пива путем добавления свежих густых дрожжей от 0,5 до 1,0 г/л.
.2 Образование диацетила и ацетоина
в некоторых продуктах питания
Диацетил придает запах и вкус
сливочного масла многим продуктам питания. Он имеет естественное происхождение,
являясь побочным продуктом брожения, и содержится в некоторых продуктах.
Например, в таких, как пиво [3], вино [4], сливочное масло, сметана, сыр,
молоко, маргарин, йогурт [5], а так же в хлебе, апельсиновом соке [6], кофе,
бренди, роме и других продуктах. Диацетил содержится в коровьем жире, некоторых
эфирных маслах, цикории, квасе. Диацетил - продукт брожения и поэтому
количество диацетила находится в прямой зависимости от исходной концентрации
сахара в сусле. Синтетический диацетил используется для создания некоторых
ароматизаторов для пищевой промышленности, при формировании запаха масла в
производстве маргарина и других жировых пищевых продуктов. Хорошо маскирует
синтетические добавки. Он также используется в промышленности как компонент
искусственного вкуса сливочного масла для производства попкорна [7], конфет,
кондитерских и хлебобулочных изделий, в смесях для выпечки.
Умеренное потребление диацетила
безвредно. Однако, диацетил, как и все вицинальные дикетоны, является
ароматобразующим и влияет на вкусовые качества продуктов, поэтому важно следить
за его содержанием в продуктах.
Диацетил - важнейший компонент
букета молодого вина, пива и молочных продуктов. При превышении порогового
значения он придает продуктам брожения нечистый вкус - от сладкого до
противного, образуясь в очень больших количествах, может давать привкус
прогорклого масла. Расщепление диацетила протекает параллельно с другими
процессами и считается сегодня одним из главнейших критериев созревания пива и
вина. Слишком высокие концентрации некоторых вкусовых компонентов будут
придавать нехарактерный вкус пиву, и также может считаться изъяном, если важный
вкусовой компонент отсутствует или присутствует в слишком низкой концентрации.
.2.1 Образование диацетила и
ацетоина в пиве
Пиво содержит большое количество
вкусовых компонентов, которые обычно присутствуют в концентрациях ниже или
близких к порогу их чувствительности. Если концентрация одного или нескольких
компонентов увеличится значительно, то нюансы во вкусе и аромате, отличные от
нормальных, могут иметь место, вызывая вкусовые пороки или привкусы [8].
Методико-токсикологической оценкой производства установлено, что токсичное
действие пива на организм человека зависит не от процентного содержания
алкоголя в нем, а от реакции организма на некоторые побочные продукты брожения.
Эти продукты, действующие как наркотики, окисляются в организме человека через
фазу этилового спирта и являются гепатропными ядами [9]. Многие из них являются
ароматообразующими и во многом определяют как вкусовые качества пива, так и
критерий его созревания. Поэтому нормирование содержания побочных продуктов
брожения и их своевременный контроль в процессе производства будет
способствовать выпуску пива с улучшенными вкусовыми характеристиками, а так же
снижению его токсичности.
Широко известны зарубежные методы
определения побочных продуктов брожения в пиве, разработанные ведущими мировыми
пивоваренными организациями: Европейской пивоваренной конвенцией (ЕВС),
Аналитической комиссией стран Центральной Европы по пивоварению (МЕБАК) [10,
11], но в России пивовары на практике редко пользуются этими методами.
Существуют причины, препятствующие
этому. Например, побочные продукты брожения не входят в номенклатуру
показателей качества, определяемых ГОСТ Р 51174-98 «Пиво. Общие технические
условия». Существующие Российские стандарты являются стандартами только вкуса и
запаха и не имеют отношения к токсичности пива. Также отсутствуют аттестованные
методики определения побочных продуктов брожения.
Из побочных продуктов брожения
особое значение имеют вицинальные дикетоны, от содержания которых зависят
вкусовые качества пива. Одним из основных продуктов брожения и дображивания, во
многом определяющий свойства пива, является диацетил. Диацетил очень влияет на
органолептические характеристики пива. Исходным метаболитом в синтезе диацетила
является альфа-ацетолактат, который в зависимости от физико-химических условий
среды и штаммовых особенностей дрожжей может с разной скоростью превращаться в валин
и ацетоин. В виду того, что в процессе размножения дрожжей образуется большое
количество а-ацетолактата, избыток его выделяется в бродящее сусло, где
происходит оксидативное (в присутствии кислорода) декарбоксилирование
а-ацетолактата в диацетил. Здесь следует обратить внимание на то, что
образование диацетила из ацетолактата происходит не ферментативным путем (вне
дрожжевой клетки). По мере снижения концентрации кислорода в бродящем сусле и
уменьшения интенсивности размножения клеток, диацетил при участии фермента
алкогольдегидрогеназы, локализованной в клеточной стенке дрожжей, превращается
в ацетоин и далее в 2,3-бутандиол. Таким образом, процесс редукции диацетила
связан с ферментативной деятельностью дрожжей, а следовательно, определяется
концентрацией клеток при дображивании (созревании) пива.
Установлено, что максимальное
количество диацетила образуется в экспоненциальной фазе роста дрожжей. В
зависимости от технологии получения пива пик синтеза диацетила может
приходиться на 2-5 сутки процесса главного брожения. Затем, при дображивании
пива, происходит превращение диацетила сначала в ацетоин (при участии редуктазы
дрожжей), а затем в 2,3-бутандиол. Критерием завершенности технологического
процесса получения пива является восстановление диацетила до бутандиола -
вещества, которое не достигает значений пороговой концентрации восприятия.
На образование диацетила влияют
следующие штаммовые особенности дрожжей: скорость утилизации валина; активность
алкогольдегидрогеназы; активность ацетогидроксикислоты-синтетазы; бродильная
активность дрожжей; флокуляционная способность дрожжей.
Синтез диацетила определяется
бродильной активностью дрожжей: чем она выше, тем раньше накапливается диацетил
в пиве и быстрее проходит его восстановление в бутандиол. Главным показателем,
характеризующим бродильную активность дрожжей, является степень сбраживания
сусла, определяемая активностью ферментов, участвующих в диссимиляции сахаров
сусла (глюкозы, мальтозы, мальтотриозы). Также важны размеры клеток, тип
флокуляции. Установлено, что чем раньше достигается максимальная концентрация
диацетила, раньше наблюдается ферментативное восстановление дикетона
алкогольдегидрогеназой дрожжей. Для ускорения этого процесса необходимо
сохранять определенный уровень диспергированных в среде дрожжей после
сбраживания экстракта, для чего даже вводят клетки из ранних стадий брожения.
Пылевидные дрожжи образуют в 2-3 раза больше диацетила, чем флоккулирующие, но
эти дрожжи также быстро осуществляют его редукцию, так как длительное время
находятся в пиве во взвешенном состоянии. Также специфический вкус пшеничному
пиву придают несбраживаемые пентозаны пшеничного солода. В литературных
источниках приводятся многочисленные противоречивые сведения о присутствующих
концентрациях диацетила в пиве различных сортов.
В результате исследований было
установлено, что при повышении концентрации ацетоина до 5,3 мг/л (ПДК которого
составляет 3 мг/л) придает пиву затхлый и плесневый вкус. Подобный привкус
придает также 2,3-бутиленгликоль, который, кроме того, при очень большом
содержании его в пиве дает остающуюся горечь. Ориентировочное значение
содержания общего диацетила (вицинальных дикетонов и их предшественников) в
созревшем пиве должно составлять не более 0,4 мг/л [11].
Авторы работы [12] описали способ контроля
опасности образования в пиве диацетила при брожении. Удаление диацетила
является важной стадией при созревании пива, диацетил образуется при
окислительном декарбоксилировании α-ацетолактата. На следующей стадии брожения диацетил превращается в
ацетоин под действием комплекса ферментов, содержащегося в дрожжах. Профиль
вкуса и аромата пива имеет важное значение, поскольку содержание дикетона
должно быть ниже порогового значения. На пилотной установке приготовления пива
проведен контроль качества пива, и оптимизация процесса, которая позволила
снизить затраты труда и средств. Приведены структурные схемы диацетила и
2,3-пентандиона, кривые затирания солода и изменение концентрации диацетила и
рН в зависимости от продолжительности брожения сусла.
.2.2 Образование диацетила и
ацетоина в вине
Образование вина сопровождается
физико-химическими, химическими и биохимическими процессами, от глубины
прохождения которых зависит получение того или иного типа вина [13].
В процессе жизнедеятельности дрожжей
в субстрат выделяются метаболиты, которые, вступая во взаимодействие с
компонентами вина, обусловливают его характер, букет и вкус. Кроме основных
продуктов спиртового брожения - этилового спирта и диоксида углерода -
образуются вторичные и побочные продукты: высшие спирты, эфиры, альдегиды,
глицерин, органические кислоты, диацетил, ацетоин и др. Основными факторами,
влияющими на образование и соотношение этих продуктов, являются условия
брожения, состав виноматериалов и раса дрожжей. Селекция специальных рас для производства
шампанского и игристых вин позволяет регулировать накопление продуктов
брожения, влиять на характер и качество конечного продукта. Этанол является
основным продуктом спиртового брожения. Он определяет токсические, аддиктивные,
калорические свойства вина и других алкогольных напитков [14].
Метанол спонтанно образуется в
процессе энзиматических преобразований пектинов. Особенно много его в красных
винах, приготовленных кахетинским способом. Содержание метанола в белых винах
обычно колеблется от 20 до 100 мг/л, а в красных - от 80 до 350 мг/л, но может
достигать 3000 мг/л и более. В некоторых странах его содержание в вине
лимитируется в пределах 1600-2380 мг/л.
Алифатические одноатомные спирты
(АОС) - пропиловый, бутиловый, изобутиловый, амиловый, изоамиловый, гексиловый
и др. - являются продуктами метаболизма дрожжей. На 20 - 40% АОС в винах
представлены изоамиловым и изобутиловым спиртами. Содержание АОС составляет в
белых винах 150-400 мг/л, в красных - 300-600 мг/л. В небольших количествах они
формируют аромат вин, а в больших - ухудшают их органолептические свойства.
Содержание алифатических двух- и
трехатомных спиртов достигает 16-18 г/л. На 90% они представлены 2,3
бутиленгликолем (300-1500 мг/л) и глицерином (400-15000 мг/л), которые смягчают
вкус вина.
Алифатические ненасыщенные спирты
(0,5-8,0 мг/л), представленные терпеновыми спиртами (гераниол, линалиол,
цитронеллол и др.), и ароматические спирты (около 1 мг/л), представленные в
основном фенилэтиловым спиртом, определяют ароматические свойства вин.
Содержание этиловых эфиров жирных
кислот в вине составляет обычно 50-200 мг/л, этиловых эфиров оксикислот -
100-500 мг/л. Преобладает этилацетат (20-200 мг/л). При длительной выдержке в
винах накапливаются в основном кислые эфиры винной, яблочной и янтарной кислот.
Максимальное содержание сложных эфиров определяется в хересе (до 1000 мг/л).
Большинство эфиров обладает приятным фруктовым запахом. Установлено, что
энантовый эфир значительно улучшает, а эфиры уксусной, масляной и валериановой
кислот - ухудшают органолептические свойства вина.
Ацетали, продукты взаимодействия
альдегидов со спиртами, содержатся в винах в количестве 1-20 мг/л. Основной
представитель - диэтилацеталь - обладает приятным фруктовым ароматом. Воски и
масла присутствуют в вине в ничтожных количествах. Все эти соединения
малотоксичны и не влияют на пищевую ценность вина [15, 16, 17].
Основные моносахариды винограда -
глюкоза и фруктоза - почти полностью утилизируются дрожжевыми клетками при
приготовлении сухих вин. Сахароза обычно превращается в инвертированный сахар.
Кроме гексоз, в винах обнаруживают L-арабинозу (500-1260 мг /л), следы других
пентоз и полисахариды. К последним относятся пектиновые вещества, содержание
которых достигает 800 мг/л при суточной потребности 15-16 г. Это не позволяет
причислить их к категории соединений, определяющих детоксикационные и
радиопротекторные свойства вина. Углеводы в крепленых винах могут обеспечивать
более 50% их калорийности [15, 18]. Кроме своей непосредственной функции
биологического кислотопонижения вин, молочнокислые бактерии влияют на аромат и
вкус с помощью нескольких механизмов, включая накопление летучих компонентов,
получаемых из винограда или продуктов метаболизма дрожжей. Для вина один из
этих летучихкомпонентов диацетил имеет важное стилистическое значение.
Этот дикетон, также известный как
2,3‐бутандион, ассоциируется
со «сливочными» нотками вин и образуется как промежуточный продукт метаболизма
в редуктивном декарбоксилировании пирувата до 2,3бутандиола [19]. Альдегиды жирного
ряда в винах на 90% представлены уксусным и на 10 % - пропионовым альдегидами.
Вина, не подвергавшиеся обработке двуокисью серы, содержат от 30 до 50 мг/л
ацетальдегида, а обработанные - до 200 мг /л. Содержание ацетальдегида
возрастает при хересовании (до 600 мг /л), старении, аэрации вин и действии
посторонней микрофлоры. В больших количествах он придает оттенок старого,
ровного вина и относится к числу основных факторов, определяющих вкус вин типа
марсалы. Из-за высокой реакционной способности альдегиды конденсируются с
веществами, содержащими аминогруппу, с образованием меланоидов,
восстанавливаются в соответствующие спирты и взаимодействуют с другими
продуктами брожения. Содержание альдегидов фуранового ряда (фурфурол,
оксиметилфурфурол и метилфурфурол) в винах не превышает 30 мг/л [15, 16].
Кетоны (ацетон, диацетил, 2-бутанон, 2-пентанон и бутиролактон) содержатся в
вине в следовых количествах. Лишь ацетоин определяется в концентрациях 3-30
мг/л. Ацетоин, диацетил, 2,3-бутиленгликоль. Эти соединения образуются в
процессе брожения в результате восстановительных реакций [20]. При
восстановлении ацетоина при алкогольном брожении в субстрате накапливается
2,3-бутиленгликоль. Ацетоин, в свою очередь, образуется при разложении солей
органических кислот - пирувата, лактата, цитрата. Известно также, что
предшественником ацетоина является пировиноградная кислота.
Ацетоин и диацетил, несмотря на
относительно низкую концентрацию в вине, могут оказывать влияние на его аромат.
Кроме того, они участвуют в биохимических реакциях, приводящих к образованию
других ароматобразующих соединений. Содержание диацетила в вине определяет
степень его окисленности. Высококачественное шампанское, отнесенное к винам
неокисленного типа, содержит не более 0,8-1,0 мг/дм3 диацетила. При более
высоких концентрациях диацетила вино приобретает несвойственные тона
окисленности. На образование ацетоина и диацетила влияют наличие и концентрация
кислорода и сернистой кислоты, технологические режимы, а также применяемая раса
дрожжей.
Образование и разложение диацетила
тесно связано с развитием молочнокислых бактерий Oenococcus oeni и метаболизмом
сахара, яблочной и лимонной кислоты. Дрожжи также могут синтезировать диацетил
во время алкогольного брожения (АБ). Однако большая часть диацетила впоследствии
метаболизируется до ацетона и 2,3‐бутандиола.
В малых концентрациях диацетил - как
и его комбинации с другими ароматобразующими соединениями вина - формирует
дрожжевые, ореховые, хлебные тона.
В большом количестве диацетил
привносит сливочные тона,ассоциирующиеся с молоком. Доказано, что пороговая
концентрация диацетила сильно зависит от стиля и типа вина и варьируется в
пределах 0,2 мл/л (Шардоне)- 2,8мг/л (Каберне Совиньон).
В высоких концентрациях (превышающих
5‐7 мг/л) диацетил
расценивается потребителями как нежелательный тон, а в концентрации 1‐4 мг/л (и в зависимости
от стиля и типа вина) он, как считается, привносит желаемые нотки сливок и
ириса [21].
.2.3 Образование диацетила и
ацетоина в молочных продуктах
Характерный аромат кисломолочных
продуктов, йогурта, сливок, кисло-сливочного масла, диетического кисломолочного
творога и др. появляется в результате деятельности молочнокислых бактерий. Он
образуется от карбонильных соединений и летучих кислот, которые накапливаются
при сквашивании молока в качестве побочных продуктов [22].
В присутствии только молочной
кислоты сгустки молока характеризуются невыраженным вкусом. Аромат сгустку
придают, побочные продукты молочнокислого брожения (углекислый газ, уксусная
кислота, этиловый спирт, пропионовая кислота, диацетил, ацетальдегид), продукты
протеолитического распада белка (пептиды, аминокислоты, серосодержащие
соединения - меркаптан, диметилдисульфит) и липолиза (жирные кислоты). Избыток
тех или иных продуктов метаболизма микроорганизмов может привестии к
возникновению пороков вкуса и запаха. Наиболее важное значение для аромата
масла и аромата других молочных продуктов имеет диацетил. Диацетил может
образовываться при сквашивании закваски и сливок, в процессе взбивания сливок,
в первые дни хранения масла.
Типичный аромат йогурта обусловлен
ацетальдегидом; основной компонент аромата кисло-сливочного масла - диацетил -
это желтая жидкость, при большом разбавлении она обладает приятным запахом;
продуцируется ароматообразующими бактериями - стрептоккоками. Накопление его
зависит от температуры, величины рН. Исходным веществом служить лимонная
кислота и лактоза; причем при добавлении в молоко цитратов увеличивается выход
диацетила. Пировиноградная кислота - промежуточный продукт распада лактозы - реагирует
с ацетальдегидом, который образуется из пировиноградной кислоты в результате
отщепления СО2 и переходит в ацетилмолочную кислоту.
Диацетил придает аромат творогу,
сметане, простокваше. Одновременно с ним образуются ацетоин
(ацетилметилкарбинол) и 2,3-бутиленгликоль, которые не обладают ароматом. Они
могут быть образованы в результате восстановления диацетила. Восстановление
диацетила в ацетоин необратимо, тогда как последующее восстановление ацетоин а
в 2,3-бутиленгликоль является обратимой реакцией равновесия. Исходным
соединением для образования диацетила и ацетоина являются пировиноградная
кислота, если она образуется в избытке при молочнокислом брожении, и лимонная
кислота, расщепление которой также происходит через пировиноградную кислоту.
При декарбоксилировании этой кислоты образуется ацетоин.
Накоплению диацетила способствует
достаточное количество О2. Это подтверждается на практике тем, что при
сквашивании сливок обогащение воздухом способствует усилению аромата, а при
периодическом способе сбивания масла увеличивается содержание диацетила.
Диацетил растворяется в воде и поэтому в водной фазе его содержания больше, чем
в чистом молочном жире. Только 10-15% диацетила из сливок, попадает в масло.
Высокое содержание диацетила в закваске им сливках является условием получения
ароматного кисло-сливочного масла. Ацетоина как правило больше, чем диацетила.
Добавляя в закваску лимонную кислоту, можно получить 580 мг% диацетила и
ацетоина. Определение диацетила основано на взаимодействие р-ра NaOH - дает розовое
окрашивание. Это качественная реакция.
Поскольку количество диацетила
увеличивается с повышением степени сквашивания сливок, казалось бы вполне
целесообразным для усиления аромата сквашивать сливки до более высокой
кислотности. Действительно, масло, выработанное из сливок, сквашенных до
высокой кислотности, обладает в свежем состоянии более выраженным ароматом.
Однако, при длительном хранении качество его быстро снижается; появляются
пороки вкуса, связанные с разложением жира. Поэтому масло, выработанное из
сливок, сквашенных до высокой кислотности, можно хранить непродолжительное
время [23]. Для максимального образования аромата в кисломолочных продуктах
целесообразно использовать многоштаммовые закваски с низкой диацетилредуктазной
активностью и поддерживать рН среды ниже 5,5. Содержание диацетила в заквасках
обычно составляет 0,2-3,0 мг/л, в кисломолочных напитках его содержание
невысокое (0,4 мг/л и ниже, например, в кефире 0,2-0,35 мг/л), более
значительные количества накапливаются в сметане (0,3-0,7 мг/л), кисло-
сливочное масло содержит более 0,26 мг/л диацетила. В твердых сырах диацетила
мало, непосредственно на вкус и аромат он не влияет, но входит в состав
компонентов, оказывающих косвенное влияние.
Определяли влияние заквасочных
культур и температуры хранения на устойчивость к окислению и образованию
диацетила в масле. Исследовано влияние заквасочных культур, инокулированных в
сливки, с последующим их созреванием при 21̊С в течение 12 часов и сбиванием на стойкость масла к окислению и
образованию в нем диацетила в течение 4 месяцев хранения [24].
.3 Влияние диацетила на организм
человека
Национальный институт по охране
труда и промышленной гигиене США сделал заявление, в котором предположил
возможность возникновения серьезных последствий при долгом вдыхании паров
диацетила.
Служащим нескольких заводов,
производящих искусственные ароматизаторы сливочного масла, был поставлен
диагноз облитерирующий бронхиолит - серьезное заболевание легких. Среди
пострадавших в основном были молодые, здоровые, некурящие мужчины. Против
облитерирующего бронхиолита нет лечения, необходима трансплантация легких.
Против компаний-производителей были возбуждены судебные дела, и после этого
Агентство по охране окружающей среды США запустило исследование химических свойств
ароматизаторов масла, использующихся в производстве попкорна. 26 июля 2006 года
Международный профсоюз водителей грузовиков, а также Международный профсоюз
работников пищевой промышленности и торговли подали исковое заявление в
Администрацию США по охране труда и здоровья, требуя ввести временные
нормативы, связанные с чрезвычайным положением, чтобы защитить служащих от
вдыхания очень вредных паров диацетила. Заявление сопровождалось подписями
более чем 30ти выдающихся ученых. Но решение так и не было принято до сих пор.
21 января 2009 года Администрация США по охране труда и здоровья опубликовала
предварительный вариант возможного закона, который бы ограничивал
подверженность влиянию диацетила. Проект предусматривает предоставление данных
о возможных нарушениях здоровья, способах оценки и сокращения подверженности
вредному влиянию, специальном обучении персонала. Помимо диацетила, проект
аналогично затрагивает такие вещества как ацетоин, ацетальдегид, уксусная
кислота, фурфурол. В законодательстве Калифорнии в данное время существуют два
законопроекта на запрет использования диацетила.
Бюллетень и руководство
Администрации США по охране труда и здоровья "Worker Alert" 2010 года
рекомендует служащим использовать меры предосторожности, чтобы сократить потенциально
смертельно опасные последствия работы с ароматизаторами масла, диацетилом или
его заменителями.
Специалист по легочным заболеваниям
из Денверского Национального Еврейского Медицинского и Исследовательского
Центра, доктор Сесиль Рос, в своем письме к федеральным властям и органам
государственного регулирования предупредила о возможности развития
облитерирующего бронхиолита из-за вдыхания паров диацетила не только у
работников производства, но и у простых потребителей. Это связывают с
приготовлением попкорна, содержащего диацетил, в микроволновой печи. Первым это
письмо опубликовал Дэвид Майклз из Университета Джорджа Вашингтона, Института
Общественного Здоровья в своем блоге. Но единственным на данный момент примером
служит случай, когда потребителю, который в течение как минимум 10 лет
употреблял 2 упаковки попкорна с маслом ежедневно, был поставлен диагноз, часто
наблюдающийся у работников предприятий, подвергнувшихся влиянию диацетила, -
облитерирующий бронхиолит. В этом случае, нарушение работы легких были
объяснены вдыханием паров. Хоть это и редкий случай, но проба, взятая на кухне
этого человека, показала такой же уровень диацетила, как и на местах
производства попкорна.
Американская Ассоциация
производителей экстрактов и ароматизаторов рекомендовала уменьшить содержание
диацетила в масле. Первым брендом попкорна, заменившим диацетил на другой
ингредиент стал Pop Weaver, который выпускается компанией Weaver Popcorn
Company. 17 декабря 2007 года компания ConAgra Foods, выпускающая попкорн под
брендами Orville Redenbacher и Act II, официально сообщила, что во всех сортах
попкорна с маслом, выпускаемых ими, диацетил не будет использоваться. Продукция
с измененным составом появилась на полках магазинов уже в октябре 2007.
Продолжают собирать дополнительную
информацию, чтобы уточнить и прояснить любое воздействие диацетила на здоровье
человека. В настоящее время нет доказательств риска для здоровья людей,
готовящих и употребляющих попкорн или любой диацетилсодержащий продукт в
домашних условиях. Эти продукты можно включать в здоровую диету, богатую
питательными веществами. Текущие исследования показывают, что может
существовать потенциальная опасность для здоровья лиц, которые неоднократно
подвергаются воздействию высоких концентраций паров диацетила в течение
длительного времени, например, тех, кто работает в учреждениях, занимающихся
производством или использованием диацетилсодержащих ароматизаторов. Тем не
менее, это не касается среднестатистического потребителя продуктов, содержащих
диацетил.
Европейская комиссия разрешила
использование диацетила в качестве ароматизатора во всех европейских странах.
Но в недавнем времени, Европейское ведомство по безопасности продуктов питания
сделало заявление, в котором говорится, что диацетил наряду с другими ароматизаторами
будет перепроверен научной экспертной группой по ароматизаторам и пищевым
добавкам [25].
.4 Методы определения
Диацетил и другие вицинальные
дикетоны содержатся во многих продуктах питания (пиво, вина, сыры и т.д.), при
этом крайне желательно определять диацетил на уровне нанограммовых
концентраций. Существуют спектрофотометрические [10, 26, 27, 28],
вольтамперометрические, хроматографические [29, 30] методы.
.4.1 Спектрофотометрические методы
В работе [31] предложены условия
спектрофотометрического определения диацетила из дистиллятов вина методом
поточной инъекции. Реакция диацетила с 1-нафтолом и креатином в щелочной среде
была использована для разработки метода впрыска потока для определения
диацетила. Используя тот факт, что диацетил реагирует сравнительно быстрее, чем
ацетоин, были найдены оптимальные экспериментальные условия для повышения
селективности. Когда способ был применен для определения диацетила в вине после
стадии отделения диацетила перегонкой с паром, погрешность эксперимента колебалась
от 2,7 до 3,3%. Результаты были согласованными с результатами, полученными
обычным спектрофотометрическим методом. Преимущества данной работы - простота,
высокая точность, быстрота и низкое потребление реагента.
Авторы работы [32] предлагают новый
метод количественного определения диацетила в алкогольных напитках косвенной
спектрофлуориметрической процедурой с использованием 2,3-диаминонафталена в
качестве реагента дериватизации. В этой статье протестирован
2,3-диаминонафтален в качестве реагента для анализа диацетила в спиртах, чтобы
уменьшить количество шагов предыдущих процедур. Во-первых, реакция между
2,3-диаминонафталеном была оптимизирована для спектрофотометрии непосредственно
в водной среде, а не для флуориметрии и после экстракции циклогексана, как это
было предложено в работе [33].
В работе [34] предложены
условия спектрофотометрического и термолинзового определения диацетила с
помощью креатина и 2-нафтола. Полученное значение предела обнаружения для
спектрофотометрии (
, равное 10 нг/мл, ниже
существующих в пять раз. На основе спектрофотометрического определения без
изменения методики предложены условия термолинзового определения диацетила (
), мощность
индуцирующего излучения 40 мВт). Термолинзовое определение характеризуется не
только снижением предела обнаружения в пять раз, что сопоставимо с определением
диацетила методом газовой хроматографии с масс-спектрометрическим
детектированием, но и улучшением других метрологических характеристик
определения диацетила. Показано, что, в отличие от использования газовой
хроматографии, этанол не мешает как спектрофотометрическому, так и
термолинзовому определению диацетила.
Известно, что решающим критерием для
производства является расщепление диацетила во время созревания. Поэтому на
большинстве пивоваренных предприятий расщепление диацетила в фазе созревания
регулярно контретируется, и холодное дображивание начинается не раньше, чем
содержание диацетила упадет ниже уровня 0,10 мг/л.
Определение содержания диацетила и
вицинальных дикетонов проводят фотометрическим методом Гетцеля-Гьертза
(Hetzel-Gjertsen) в аппарате Парнаса (Parnas). При этом производится
дистилляция исследуемого раствора вместе с добавляемым реагентам; при реакции
образуется производное дацетили, которое определяется на спектрофотометре, так
как оно проявляет специфическое поглощение при 335 нм. Содержание диацетила в
пиве должно быть менее 0,10 мг/л [35].
В основе предлагаемой методики [36]
лежит известная реакция взаимодействия диацетила с α-нафтолом с образованием
окрашенного комплекса. Интенсивность окраски образовавшегося химического
соединения зависит от концентрации диацетила и изменяется от желтой до
интенсивно-красной. Концентрацию диацетила определяли по значению оптической
плотности, измеряемой фотоколориметрически при длине волны 490 нм.
Колориметрирование реакционной смеси проводили на фотоэлектроколориметре
КФК-3-01 с использованием кюветы на 2 см. Основная погрешность при измерении
оптической плотности на приборе находится в пределах от -1% до 1%.
Предложен экспресс-метод определения
диацетила, позволяющий контролировать его во время брожения и дображивания,
способствующий корректировке параметров технологического процесса производства
пива [37].
Авторы патента [38] Третьяк Л.Н. и
Федорченко В.И. предлагают способ определения диацетила путем сравнения
оптических плотностей раствора диацетила и раствора пива, причем концентрацию
диацетила определяют путем сравнения прироста оптической плотности раствора
пива с добавкой диацетила к приросту оптической плотности раствора пива, причем
прирост оптической плотности растворов измеряют относительно произвольного раствора
сравнения с момента добавления реагентов до достижения максимальной величины
оптической плотности. Достигается упрощение и повышение точности анализа.
К анализируемому пиву прибавляли
0,5%-ный водный раствор креатина и 5%-ный щелочной раствор а-нафтола. После
этого начинали измерение оптической плотности раствора на
фотоэлектроколориметре КФК-3-01. В качестве раствора сравнения использовали
дистиллированную воду. Аналогичное измерение проводили с раствором пива с
добавкой стандартного раствора диацетила. При этом к пиву приливали стандартный
раствор диацетила, затем прибавляли 0,5%-ный водный раствор креатина и 5%-ный
щелочной раствор 1-нафтола. Доводили раствор до метки водой и начинали
измерение. В качестве раствора сравнения также использовали дистиллированную
воду. Строили график зависимости оптической плотности измеряемых растворов от
времени. По графику определяли величину максимального прироста оптических
плотностей раствора пива и раствора пива с добавкой стандартного раствора
диацетила.
В работе [39] перед процедурой
колориметрического определения ацетоин и диацетил вначале окисляли хлоридом
железа, а затем осаждали с гидроксиламином и никелем. В результате получался
диметилглиоксим.
.4.2 Флуориметрические методы
В работе [40] описана процедура
определения диацетила в спиртных напитках флуоресцентным методом. Для
определения содержания диацетила в пиве использован флуоресцентный метод,
основанный на флуоресценции соединения, образующегося по реакции диацетила с
1,2-диметилбензолом. Условия экспериментов оптимизированы. Исследованы помехи,
полнота определения диацетила, точность определения и надежность полученных
результатов. Замеры проведены в диапазоне концентраций диацетила 0,005-0,360
мкг/л. Его минимальная концентрация, обнаруживаемая этим методом, составляет
3,2 г/млрд. Метод отличается простотой, чувствительностью и точностью
определений. Приведены спектрограмма 2,3-диметилхинона, графики зависимости
интенсивности флуоресценции от величины рН, содержания этилового спирта и
времени рециркуляции проб и градуировочный график.
Авторами работы [41] предложена
простая, экспрессная и высокочувствительная методика спектрофлуориметрического
определения диацетила в растворах, основанная на его реакции с
2,3-диаминонафталином с образованием сильно флуоресцирующего
2,3-диметилнафтопиразина. Градуировочный график линеен в концентрационном
интервале 0,175-2,5 мкмоль/л. Методика применена для определения диацетила в
алкогольных напитках без использования дистилляции с водяным паром и в
сливочном масле.
.4.3 Вольтамперометрические методы
Исследована возможность применения
инверсионной катодной вольтамперометрии переменного тока с прямоугольным
напряжением для определения органических веществ и других компонентов, которые
обладают быстрой скоростью восстановления на стадии адсорбции.
Вольтамперометрический сигнал переменного тока при этом либо очень мал, либо
отсутствует. На примере диацетила была исследована зависимость аналитического
сигнала от частоты переменного тока [42].
.4.4 Хроматографические методы
ГОСТ Р 52363-2005 устанавливает
газохроматографический метод определения содержания летучих органических
примесей уксусного альдегида, сложных эфиров (этилформиата, этилацетата,
этилпропионата, изобутилацетата, этилбутирата, изоамилацетата), сивушного масла
(2-пропанола, 1-пропанола, изобутилового спирта, 1-бутанола, изоамилового
спирта), метилового спирта, ацетона, 2-бутанона и диацетила] с использованием
капиллярных колонок.
Определение содержания летучих
органических примесей в спиртосодержащих отходах ликеро-водочного производства
проводят в отгонах. Метод основан на хроматографическом разделении летучих
органических примесей в образце продукта и последующем их детектировании
пламенно-ионизационным детектором [43].
Возможно определение глиоксаля,
метилглиоксаля и диацетила в пиве и вине методом высокоэффективной жидкостной
хроматографии со спектрофотометрическим детектированием в ультрафиолетовой
области после получения производных с о-фенилендиамином [44].
В работе [45] описан быстрый метод
газовой хроматографии для определения диацетила в молоке, масле и кисломолочных
продуктах. Авторами был разработан простой и быстрый метод определения
диацетила методом газовой хроматографии в сочетании с пламенно-ионизационным
детектором. После центрифугирования ацетоина из молочной смеси, фильтровали и
непосредственно вводили в газохроматографический прибор без дополнительной
процедуры стадии очистки. Этот метод точный и достоверный. Выделение диацетила
из молока составляет 97%, а предел обнаружения - 1 мг/л. Наконец, с помощью
этого метода диацетил легко определяется в свежем и прошедшем
высокотемпературную обработку молоке, покупном масле, йогурте.
Авторы работы [46] описали метод
определения свободного и общего диацетила в вине методом высокоэффективной
жидкостной хроматографии. Диацетил отвечает за масляный аромат во многих
ферментированных пищевых продуктах и напитках. Добавление сульфитов широко
известно в практике виноделия. Соединение диацетила с сульфитами снижает
вкусовые проявления диацетила. Эта работа предлагает точное определение
свободного и общего диацетила в вине с использованием газодиффузионной
микроэкстракции и анализа методом высокоэффективной жидкостной хроматографии со
спектрофотометрическим обнаружением, применяя перед колонкой производные о-фенилендиамина.
В этой работе определяли газовой диффузией микрофракции и анализировали с
помощью высокоэффективной жидкостной хроматографии со спектрофотометрическим
детектированием.
В научной работе [47] описан простой
и чувствительный метод определения диацетила и ацетоина в биологических
образцах и алкогольных напитках с помощью газовой хроматографии с обнаружением
захвата электронов. Ацетоин количественно окисляется в диацетил с помощью
трехвалентного железа и 1М хлорной кислоты. В реакции диацетила с 4,5-дихлор-1,2-диаминобензолом
получали 6,7-дихлор-2,3-диметилхиноксалин и экстрагировали бензолом, содержащим
альдрин в качестве стандартного раствора; определяли с помощью газовой
хроматографии с обнаружением захвата электронов. Так ацетоин и диацетил может
быть определен в 0,1 мл нормальной человеческой моче или крови, и оба были
найдены в крысиной печени, почках и мозгах. Этот метод был также применен для
определения ацетоина и диацетила в алкогольных напитках.
В статье [48] представлена процедура
отделения диацетила и ацетоина хроматографическим способом. Разделяли
водорастворимые неэлектролиты элюированием водного солевого раствора через
колонку с ионообменной смолой.
Для определения диацетила и ацетоина
был выбран спектрофотометрический метод. Данный метод прост в исполнении и не
требует высокой квалификации операторов. Также его достоинство заключается в
простоте аппаратурного оформления и малом расходе реактивов. Метод можно
применять для определения качества пива по содержанию ацетоина и диацетила.
2. ЭКСПЕРИМЕНТАЛЬНАЯ ЧАСТЬ
.1 Исходные реактивы, материалы и
используемая аппаратура
В работе использовалась следующая
аппаратура и реактивы:
Электроплитка по ГОСТ 14919 - 83.
Фотоэлектроколориметр КФК - 3.
Весы лабораторные второго класса
точности, ВЛР-200 по ГОСТ 24104-88.
Меры масс по ГОСТ 7328-82.
Пипетки градуированные
вместимостью 100, 50, 10, 5, 2, 1
по ГОСТ 20292 - 74.
Колбы плоскодонные со
шлифом вместимостью 250
по
ГОСТ 25336 - 82.
Цилиндры вместимостью 5
- 10
по
ГОСТ 1770 -74.
Градуированные пробирки
вместимостью 10 - 15
по
ГОСТ 19808 - 86.
Колбы мерные
вместимостью 10, 15, 25, 50, 100, 250, 500
по ГОСТ 1770 - 74.
Кюветы стеклянные L =
1см.
Стаканы химические,
вместимостью 50 - 100
по
ГОСТ 25336 - 82.
Воронки лабораторные по
ГОСТ 25336 - 82.
Кислота соляная х.ч. по
ГОСТ 3118 - 77.
Диацетил х.ч.
Ацетоин х.ч.
О-фенилендиамин, х.ч.
Вода, дистиллированная
ГОСТ 6709 - 72.
2.2 Приготовление
растворов
.2.1 Приготовление
раствора диацетила
Раствор диацетила,
концентрация 2,4955 г/: навеску диацетила массой 0,24955 г растворяли в
дистиллированной воде в мерной колбе на 100,0
и доводили до метки
дистиллированной водой. Раствор хранили в течение 3 месяцев.
.2.2 Приготовление
раствора ацетоина
Раствор ацетоина,
концентрация 0,6296 г/
:
навеску ацетоина массой 0,3148 г растворяли в дистиллированной воде в мерной
колбе на 500,0 
и доводили до метки
дистиллированной водой. Раствор хранили в течение 3 месяцев.
.2.3 Приготовление 4М соляной
кислоты
Готовили из
концентрированной соляной кислоты. Брали 35,7
концентрированной
соляной кислоты и разбавляли 64,3
дистиллированной воды.
.2.4 Приготовление
1%-ного раствора орто-фенилендиамина
Для приготовления
раствора 0,0600 г орто-фенилендиамина переносили в пробирку с притертой пробкой
на 10
и
прибавляли 6,00
4М
соляной кислоты. Растворяли на водяной бане. Раствор не хранили.
.3 Пробоподготовка
Анализ любой сложной
смеси, каковым является практически каждый пищевой продукт, обязательно должен
содержать пробоподготовку. Пиво не является исключением, так как данный продукт
содержит в себе большое количество разных по физическим и химическим свойствам
веществ.
Диацетил - сильно
летучее вещество. Это позволяет проводить его выделение из пива методом
дистилляции. Из-за летучести вещества пробоприемник следует помещать в сосуд со
льдом. Ацетоин определяют косвенным методом. При взаимодействии с хлоридом
железа (III) он окисляется в диацетил и определяется по содержанию продукта
окисления.
С учетом индивидуальных
свойств веществ создана методика пробоподготовки. Анализируемое пиво
дегазировали на встряхивателе в течение 10 минут и добавляли в него
антивспениватель. Пиво объемом 50,00
помещали в отгонную
колбу и проводили дистилляцию в течение 8 минут. За время первого отгона в
пробоприемник, помещенный в стакан со льдом, переходила большая часть
диацетила, содержащаяся в пиве.
Далее необходимо было
восстановить первоначальный объем раствора, содержащегося в отгонной колбе. Для
этого раствор переливали в мерную колбу и доводили до объема 50,00
дистиллированной
водой.
После того, как объем
был доведен до первоначального, раствор переливали в отгонную колбу и добавляли
к нему 5,00
хлорида
железа (III). Ацетоин окисляется хлоридом железа (III) в диацетил. После этого
вторично проводили процедуру дистилляции.
Сразу после дистилляции
в отогнанные растворы диацетила (10,00 
) необходимо прибавлять
0,50
1%-ного
свежеприготовленного солянокислого раствора орто-фенилендиамина. Затем растворы
оставляют на 20 минут в темном месте для завершения реакции. После этого в
растворы добавлялют 2,00
4М
соляной кислоты. В результате образуется 2,3-диметилхиноксалин, поглощающий
электромагнитное излучение при длине волны 335 нм. Анализ проб проводили
спектрофотометрическим методом на фотоэлектроколориметре КФК-3.
2.4 Стандартизация раствора хлорида
железа (III)
Для стандартизации
раствора хлорида железа (III) было проведено комплексонометрическое титрование.
Аликвотную часть 1,00
приготовленного
раствора хлорида железа (III) помещали в мерную колбу вместимостью 100,0
,
разбавляли до метки дистиллированной водой и перемешивали. К аликвоте 10,00
разбавленного
раствора хлорида железа (III) добавляли 1
1М соляной кислоты,
разбавляли дистиллированной водой до 50
и нагревали почти до
кипения. В горячий раствор добавляли 2-3 капли 25%-ной сульфосалициловой
кислоты и титровали 0,05000 М раствором ЭДТА до изменения окраски раствора из
фиолетовой в чисто-желтую или лимонно-желтую. Вблизи конечной точки титрования
раствор ЭДТА прибавляли медленно; раствор во время титрования должен быть
горячим.
Концентрация раствора хлорида
железа(III): 0,0285×100=2,85 моль/л.
2.5 Установление условий
эксперимента
.5.1 Определение зависимости аналитического
сигнала 2,3-диметилхиноксалина от времени реакции
К 10,00 мл стандартного раствора
диацетила (С= 2495,5 мг/л) прибавляли 0,50 мл 1%-ного свежеприготовленного
солянокислого раствора орто-фенилендиамина и оставляли в темном месте от 0,2 до
30 минут. Прибавляли 2,00 мл 4М соляной кислоты. Результаты определения
представлены на рисунке 2.1.
Рисунок 2.1 -
Зависимость аналитического сигнала 2,3-диметилхиноксалина от времени
Через 20 минут
аналитический сигнал достиг максимального значения и не изменялся в течение 10
минут. Проводить измерения аналитического сигнала нужно через 20 минут после
прибавления орто-фенилендиамина.
.5.2 Определение
зависимости аналитического сигнала от времени после прибавления соляной кислоты
Определяли стабильность
аналитического сигнала после прибавления 4М соляной кислоты. После реакции
диацетила с орто-фенилендиамином добавляли соляную кислоту. Необходимо
определить изменение аналитического сигнала во времени. Для этого измерения проводили
в промежутке времени от 0,2 до 25 минут (таблица 2.1).
Таблица 2.1 -
Стабильность аналитического сигнала после прибавления соляной кислоты
|
Время, мин
|
Аналитический сигнал
|
|
Xi
|
|
|
0,2
|
0,183 0,179 0,178 0,182 0,183
|
0,181±0,003
|
|
3
|
0,180
|
0,181±0,001
|
|
5
|
0,181
|
|
|
8
|
0,181
|
|
|
10
|
0,181
|
|
|
15
|
0,181
|
|
|
20
|
0,180
|
|
|
25
|
0,181
|
|
В течение 25 минут абсорбционность
пробы не изменялась. После прибавления соляной кислоты можно сразу измерять
оптическую плотность.
.6 Определение диацетила
Для определения диацетила применили
реакцию с орто-фенилендиамином, в результате образуется 2,3-диметилхиноксалин,
поглощающий электромагнитное излучение при длине волны 335нм (рисунок 2.2).
диацетил о-фенилендиамин
2,3-диметилхиноксалин
Рисунок 2.2 - Реакция диацетила с
орто-фенилендиамином
Диацетил очищали перегонкой над
поташем. Соединение идентифицировали по температуре кипения (88 С ̊) и показателю преломления
(1,3951). Оптическая плотность раствора 2,3-диметилхиноксалина изменяется во
времени, что вызывает необходимость фиксировать время реакции.
Из очищенного диацетила были
приготовлены стандартные растворы. К растворам диацетила прибавляли свежеприготовленный
солянокислый раствор орто-фенилендиамина и оставляли на 20 минут в темном
месте. Затем добавляли 4М соляную кислоту и сразу измеряли оптическую плотность
полученных растворов (рисунок 2.3).
Рисунок 2.3 - Зависимость
аналитического сигнала от концентрации диацетила, не прошедшего процедуру
дистилляции
Наблюдается линейная
зависимость в интервале концентраций от 0,2 до 1,6 мг/
.
.6.1 Выделение диацетила
методом отгонки
Диацетил - очень летучее
вещество, поэтому для выделения диацетила из анализируемых проб применили метод
отгонки. В плоскодонную колбу на 250,0
вносили 50,0
стандартных
растворов диацетила. Отгонную колбу помещали на электроплитку. Приёмник
погружали в стакан со льдом. Время дистилляции 7 - 8 минут. Для учета потерь
при выделении диацетила градуировочный график для определения концентрации
диацетила строили по модельным растворам, прошедшим процедуру отгонки (таблица
2.2, рисунок 2.4).
Таблица 2.2 -
Зависимость аналитического сигнала от концентрации диацетила
|
Концентрация диацетила, мг/л
|
Аналитический сигнал
|
|
2,49
|
0,686
|
|
1,25
|
0,406
|
|
0,62
|
0,226
|
|
0,42
|
0,153
|
|
0,36
|
0,140
|
|
0,31
|
0,138
|
|
0,25
|
0,100
|
Графически зависимость
аналитического сигнала от концентрации диацетила представлена на рисунке 2.4.
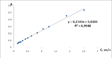
Рисунок 2.4 -
Зависимость аналитического сигнала от концентрации диацетила
Зависимость
аналитического сигнала от концентрации диацетила подчиняется закону Бугера -
Ламберта - Бера в интервале от 0,19 до 1,55 мг/мл. Коэффициент линейной
корреляции
=
0,9948.
Диацетил отгоняли из
объема 50,00
,
объем дистиллята 10,00. В результате дистилляции происходит увеличение
концентрации диацетила. Коэффициент концентрирования зависит от концентрации
модельного раствора и изменяется от 3,8 до 2,2 (рисунок 2.5).
Рисунок 2.5 - Зависимость
коэффициента концентрирования диацетила от концентрации его в отгонной колбе
.7 Установление условий
окисления ацетоина
Ацетоин
(3-гидрокси-2-бутанон) определяли путем окисления его хлоридом железа (III)
(подкисленного серной кислотой для предотвращения гидролиза) в диацетил
(2,3-бутандион) (рисунок 2.6).
Рисунок 2.6 - Окисление
ацетоина хлоридом железа (III)
Условия проведения
реакции окисления ацетоина хлоридом железа (III) не описаны в литературных
источниках, поэтому их необходимо определить.
.7.1 Определение объема
хлорида железа (III)
Нужно определить объем
2,87 М хлорида железа (III), необходимый для окисления ацетоина. К растворам
ацетоина (С = 629,6 мг/
)
прибавляли 0,50; 1,00; 2,00; 5,00
хлорида железа (III).
После этого проводили процедуру дистилляции (рисунок 2.7).
Рисунок 2.7 -
Зависимость аналитического сигнала от объема хлорида железа (III)
Установили: объем 2,87М
хлорида железа (III), необходимый для окисления ацетоина, составляет 2,00
.
.7.2 Определение
времени, необходимого для окисления ацетоина.
Определяли оптимальное
время, необходимое для окисления ацетоина хлоридом железа (III). Для этого при
комнатной температуре измеряли время от момента добавления хлорида железа (III)
к стандартному раствору ацетоина до начала процедуры отгона (таблица 2.3).
Таблица 2.3 -
Зависимость аналитического сигнала от времени
|
Время, мин
|
Аналитический сигнал
|
|
Xi
|
|
|
0,5
|
0,181 0,179 0,182 0,178 0,183
|
0,181±0,002
|
|
5
|
0,178
|
0,178±0,002
|
|
10
|
0,177
|
|
|
20
|
0,180
|
|
|
30
|
0,176
|
|
|
40
|
0,178
|
|
Время выдерживания при комнатной
температуре смеси определяемого вещества и реагента не влияет на количество
образовавшегося диацетила. Вероятно, реакция окисления не протекает при
комнатной температуре. Поэтому проводить дистилляцию нужно сразу же после
добавления 2,00 мл 2,87 М хлорида железа (III).
Для увеличения степени
окисления ацетоина перед дистилляцией проводили нагревание раствора ацетоина и
хлорида железа (III) с обратным холодильником на водяной бане в течение 20 и 30
минут. В отгонную колбу помещали 50,00
раствора ацетоина, туда
же прибавляли 2,00
2,87
М хлорида железа (III). Затем отгонную колбу с обратным холодильником помещали
на водяную баню. После закипания воды в водяной бане ждали 20 и 30 минут.
Охлаждали раствор до комнатной температуры, не проводя разгерметизацию установки.
Проводили дистилляцию полученного раствора и определяли диацетил с
орто-фенилендиамином. Нагревание на водяной бане в течение 20 и 30 минут не
привело к увеличению аналитического сигнала (таблица 2.4).
Для уменьшения влияния
хлорида железа (III) на дистилляцию продукта окисления ацетоина диацетила
(после кипячения на водяной бане в течение 30 минут) в отгонную колбу добавляли
фосфорную кислоту. Затем проводили дистилляцию. Все это не привело к увеличению
аналитического сигнала.
Таблица 2.4 - Влияние
условий эксперимента на аналитический сигнал
|
Состав раствора
|
Условия эксперимента
|
Аналитический сигнал
|
|
|
Xi
|
|
|
Стандартный раствор ацетоина, раствор хлорида железа (III)
|
τ = 0,5мин; t= 25 ̊С
|
0,181 0,179 0,182 0,178 0,183
|
0,181±0,002
|
|
Стандартный раствор ацетоина, раствор хлорида железа (III)
|
τ = 30 мин; t= 25 ̊С
|
0,179
|
0,180±0,005
|
|
Стандартный раствор ацетоина, раствор хлорида железа (III)
|
τ =20 мин; t=98 ̊С
|
0,176
|
|
|
Стандартный раствор ацетоина, раствор хлорида железа (III)
|
τ =30 мин; t=98 ̊С
|
0,180
|
|
|
Стандартный раствор ацетоина, раствор хлорида железа (III),
фосфорная кислота
|
τ = 30мин; t = 98 ̊С
|
0,185
|
|
Из таблицы 2.4 видно, что
аналитический сигнал не увеличился. Поэтому определение ацетоина следует
проводить без предварительного нагревания на водяной бане и без прибавления
фосфорной кислоты.
Для окисления ацетоина в
диацетил необходим большой избыток хлорида железа (III). Поэтому нужно было
проверить влияние избытка хлорида железа (III) на выделение из раствора в
процессе дистилляции продукта реакции окисления ацетоина - диацетила. С этой
целью к модельному раствору диацетила добавляли 2,00; 2,30; 2,50; 3,00
раствора
хлорида железа (III) и проводили дистилляцию. Аналитический сигнал уменьшился.
Енольная форма диацетила, возможно, реагирует с катионом железа (III) и
вследствие этого частично удерживается в отгонной колбе (таблица 2.5).
Таблица 2.5 - Влияние
состава раствора в отгонной колбе на аналитический сигнал
|
Состав раствора в отгонной колбе
|
Объем хлорида железа (III), мл
|
Аналитический сигнал
|
|
|
Xi
|
|
|
Стандартный раствор диацетила
|
-
|
0,181 0,179 0,182 0,178 0,183
|
0,181±0,002
|
|
Стандартный раствор диацетила в присутствии хлорида железа (III)
|
2,00
|
0,125
|
0,119±0,006
|
|
2,30
|
0,114
|
|
|
2,50
|
0,119
|
|
|
3,00
|
0,121
|
|
В результате проведенных
исследований установлены следующие условия проведения эксперимента (таблица
2.6).
Таблица 2.6 - Условия проведения
эксперимента
|
Длина волны
|
335 нм
|
|
Время образования 2,3-диметилхиноксалина
|
20 мин
|
|
Объем хлорида железа (III) С = 2,85 моль/л
|
2 мл
|
|
Время дистилляции
|
8 мин
|
.8 Зависимость аналитического
сигнала ацетоина от концентрации
При установленных условиях получена
зависимость аналитического сигнала ацетоина от концентрации (таблица 2.7;
рисунок 2.8).
|
Концентрация ацетоина, мг/л
|
Аналитический сигнал
|
|
1,26
|
0,297
|
|
1,04
|
0,265
|
|
0,84
|
0,208
|
|
0,63
|
0,163
|
|
0,51
|
0,135
|
0,119
|
|
0,31
|
0,094
|
|
0,25
|
0,077
|
|
0,21
|
0,073
|
|
0,18
|
0,069
|
|
0,16
|
0,06
|
|
0,14
|
0,055
|
|
2,52
|
0,535
|
|
1,89
|
0,453
|
Графически зависимость
аналитического сигнала от концентрации диацетила представлена на рисунке 2.8.
Рисунок 2.8 - Зависимость
аналитического сигнала от концентрации ацетоина
Стандартные растворы
ацетоина объемом 50,0
помещали
в колбу для отгона, прибавляли 2,00
2,87 М хлорида железа
(III) и 1
1
М серной кислоты и отгоняли 10,0
дистиллята в приемник,
погруженный в емкость со льдом. Отогнанный диацетил определяли аналогично
реакцией с орто-фенилендиамином. Предварительно определяли возможность
частичного перехода ацетоина в дистиллят во время отгонки диацетила.
Стандартные растворы ацетоина помещали в отгонную колбу и проводили нагревание
по длительности аналогичное нагреванию растворов диацетила. Потери ацетоина
составили 15%.
Для оценки предела
обнаружения было рассчитано стандартное отклонение аналитического сигнала фона.
Предел обнаружения - это минимальное содержание определяемого вещества в пробе,
сигнал от которого можно надежно отличить от фона. Растворы холостых проб
состояли из 5,00 см3 0,1 М соляной кислоты, к которым прибавили 0,80
см3 1,0 М гидроксида натрия, 0,25 см3 раствора реагента и
0,60 см3 фосфорной кислоты. Результаты определения значений
аналитического сигнала фона представлены в таблице 2,8.
Таблица 2,8 - Значения
аналитического сигнала фона
|
Хi
|
0,038
|
0,041
|
0,043
|
0,042
|
0,044
|
0,042
|
0,045
|
0,042
|
0,043
|
0,043
|
|
0,043
|
0,043
|
0,042
|
0,046
|
0,045
|
0,046
|
0,045
|
0,045
|
0,045
|
0,047
|
|
|
0,044
|
Стандартное отклонение
аналитического сигнала фона рассчитывалось при n=20 по формуле 1.

, (1)
где So - это стандартное
отклонение сигнала фона,
Хi - значение i-го
сигнала фона,
- среднее значение n
сигналов фона,- количество измерений.
Предел обнаружения
рассчитывали по формуле 2.
Таблица 2.9 - Оценка
предела обнаружения
|
Среднее значение сигнала фона
|
Среднее значение коэффициента чувствительности S
|
Стандартное отклонение сигнала фона So
|
Предел обнаружения Cmin 0,95, мкг/см3
|
|
0,044
|
0,2594
|
0,00209
|
0,02417
|
.9 Проверка правильности методики
методом «введено - найдено»
Правильность предложенной методики
была проверена методом «введено - найдено».
В 50,00
пива
помещали 0,10
стандартного
раствора диацетила определенной концентрации и отгоняли 10,00
в
пробирку, помещенную в емкость со льдом. После дистилляции прибавляли 0,50
солянокислого
орто-фенилендиамина и оставляли на 20 минут в темном месте для завершения
реакции. К полученному в результате реакции 2,3-диметилхиноксалину прибавляли
2,00
4
М соляной кислоты. Сразу же определяли оптическую плотность на фотоэлектроколориметре
КФК-3 (таблица 2.10).
В 50,00
пива
помещали 0,10
стандартного
раствора ацетоина определенной концентрации, прибавляли 2,00
хлорида
железа (III) с концентрацией 2,87 моль/
и проводили
дистилляцию. После дистилляции прибавляли 0,50
солянокислого
орто-фенилендиамина и оставляли на 20 минут в темном месте для завершения
реакции. К полученному в результате реакции 2,3-диметилхиноксалину прибавляли
2,00
4
М соляной кислоты. Сразу же определяли оптическую плотность на
фотоэлектроколориметре КФК-3 (таблица 2.11). Предварительно содержание
диацетила и ацетоина определяли в образцах пива (таблица 2.12).
Таблица 2.10 - Проверка
правильности методики определения диацетила методом «введено - найдено»
|
Наименование пива
|
Концентрация диацетила, мг/
|
|
Проба
|
Введено
|
Найдено
|
|
«Хадыженское»
|
0,32 ± 0,01
|
0,311
|
0,58 ± 0,02
|
|
«Velkopopovicky Kozel»
|
0,26 ± 0,01
|
0,311
|
0,50 ± 0,02
|
|
«Usberg»
|
0,11 ± 0,03
|
0,097
|
0,18 ± 0,03
|
|
«Антон Груби»
|
0,25 ± 0,02
|
0,311
|
0,49 ± 0,02
|
|
«Lӧwenbrӓu original»
|
0,10 ± 0,02
|
0,097
|
0,17 ± 0,03
|
Таблица 2.11 Проверка правильности
методики определения ацетоина методом «введено - найдено»
|
Наименование пива
|
Концентрация ацетоина, мг/
|
|
Проба
|
Введено
|
Найдено
|
|
«Хадыженское»
|
0,37 ± 0,03
|
0,419
|
0,73 ± 0,03
|
|
«Velkopopovicky Kozel»
|
0,66 ± 0,02
|
0,628
|
1,18 ± 0,03
|
|
«Usberg»
|
1,57 ± 0,02
|
1,257
|
2,59 ± 0,04
|
|
«Антон Груби»
|
1,01 ± 0,02
|
0,628
|
1,51 ± 0,03
|
|
«Lӧwenbrӓu original»
|
0,70 ± 0,03
|
0,628
|
1,18 ± 0,03
|
Результаты анализа образцов пива
представлены в таблице 2.12.
Таблица 2.12 - Результаты анализа
образцов пива
|
Наименование образцов пива
|
Производитель
|
НТД
|
Содержание диацетила, мг/л
|
Содержание ацетоина, мг/л
|
|
«Хадыженское»
|
ООО «Хадыженское пиво», г. Хадыженск. Пиво светлое
непастеризованное
|
ГОСТ Р 51174 - 2009
|
0,32 ± 0,01
|
1,70 ± 0,03
|
|
«Velkopopovicky Kozel»
|
ЗАО «САБ Миллер РУС», г. Калуга. Пиво темное пастеризованное,
низового брожения
|
ГОСТ Р 51174 - 2009
|
0,26 ± 0,01
|
1,51 ± 0,02
|
|
«Usberg»
|
ООО «Суздальская пивоварня», г. Владимир Пиво светлое
пастеризованное, низового брожения
|
ГОСТ Р 51174 - 2009
|
0,11 ± 0,03
|
3,59 ± 0,02
|
|
«Антон Груби»
|
ОАО «Ставропольский пивоваренный завод, г. Ставрополь. Пиво
темное непастеризованное
|
ГОСТ Р 51174 - 2009
|
0,25 ± 0,02
|
3,69 ± 0,02
|
|
«Löwenbräu original»
|
ОАО «Сан Инбев», г. Санкт-Петербург. Пиво светлое
пастеризованное.
|
ГОСТ Р 51174 - 2009
|
0,10 ± 0,02
|
1,62 ± 0,03
|
ЗАКЛЮЧЕНИЕ
1 Подобраны условия выделения и определения диацетила и
ацетоина спектрофотометрическим методом.
Показано, что в процессе дистилляции происходит
концентрирование диацетила. Коэффициент концентрирования изменяется от 3,8 до
2,2 и зависит от концентрации стандартных растворов диацетила.
Определены условия окисления ацетоина хлоридом железа
(III).
Оценены потери ацетоина при выделении диацетила. Потери
составили 15%.
Получены линейные зависимости аналитического сигнала от
концентрации диацетила и ацетоина.
По разработанной методике определено содержание диацетила
и ацетоина в образцах пива.
СПИСОК ИСПОЛЬЗОВАННЫХ ИСТОЧНИКОВ
1 Диацетил. Химические свойства. [Электрон. ресурс]; режим
доступа: http://ru/u/diacetyl-himicheskie_svoystva.html
Диацетил и ацетоин. Свойства. Получение. Нахождение в природе.
[Электрон. pесурс]; режим доступа: http://ru.wikipedia.html
Lautenbach, A. L. Studies on diacetyl in beer / A. L. Lautenbach,
B. Dwight, K. Becker // Amer. Soc. Brew. Chem. Proc. - 1939. - № 22. - Р.
81-88.
Campo, G. Spectrophotometric determination of biacetyl in
distillates of wine by flow injection / Gloria del Campo, M. Carmen Lajo //
Analyst. - 1992. - Vol. 117. - P. 1343-1346.
Patricio, R. Effect of cold storage and packaging material on the
major aroma components of sweet cream butter / Patricio R. Lozano, Evan R.
Miracle // Journal of Agricultural and Food Chemistry. - 2007. - Vol. 55. - P.
7840-7846.
Mickey, E. Gas chromatographic detection of diacetyl in orange
juice / Mickey E. Parish, Robert J. Braddock // Journal of food Quality. -
1990. - Vol. 13. - P. 249 - 258.
Stephanie, M. Method development for the determination of diacetyl
and acetoin a microwave popcorn plant / Stephanie M. Pendergrass //
Envinromental Science. - 2004. - Vol. 38. - P. 858-861.
Пиво. Вкусовые качества. [Электрон. pесурс]; режим доступа:
http://bibliofond.ru/view.html
9 Нужный В. П. Пиво. Химический состав, пищевая ценность,
биологическое действие и потребление / В.П. Нужный // Токсикологический
вестник. - М., 1998.
Ермолаева Г. А. Справочник работника лаборатории пивоваренного предприятия./
Г. А. Ермолаева. - СПб.: Профессия, 2004. - 536 с.
Кунце В. Технология солода и пива: пер. с нем./ В. Кунце, Г. Мит.
- СПб.: Профессия, 2001. - 912 с.
Mudura, E. Risk management of beer fermentation - diacetyl control
/ E. Mudura, M. Sevastita // Univ. of Agricultural Sciences and Veterinary
Medicine. - 2006. - Vol. 62. - P. 303-307.
Шевченко, В. В. Товароведение и экспертиза потребительских
товаров./ В. В. Шевченко. - М.: ИНФА, 2001. - 544 с.
Нужный, В. П. Вопросы наркологии./ В. П. Нужный. - 1995. - №3. -
С. 38 - 39.
Авакянц, С. П. Виноделие и виноградарство СССР./ С. П. Авакянц, Т.
В. Катаева. - 1980. - № 4. - С. 12-16.
Кашковский, З.Н. Химия вина / З. Н. Кашковский, И. И. Скурихин. -
М.: «Пищ. пром.», 1976. - 311 с.
Рева, А. Г. Виноделие и виноградарство СССР / А. Г. Рева. - 1978.
- № 7. - С. 17 -18.
Простосердов, Н. Н. Виноградные вина и их свойства / Н. Н.
Простосердов. - М.: Изд. «ВДНХ СССР». - 1960. - 7 с.
Нужный, В. П. Вино: химический состав, пищевые свойства,
особенности биологического действия и потребления / В. П. Нужный //
Токсикологический вестник. - М., 1998.
Ramos, R.M. Determination of free and total diacetyl in wine by
HPLC-UV using gas - diffusion microextraction and pre-column derivatization./
R.M. Ramos, J.C. Pacheco, L.M. Goncalves// Food Control. - 2012. - № 24. - C.
220-224.
Lallemand, F. Diacetyl in wine / F. Lallemand // Winemaking
Update. - 2012. - № 1. - P. 25-27.
De Man, J.C. The formation of
diacetyl and acetoin from α-acetolactic acid / J.C. De Man // Recueil. -
1959. - № 78. - C.481-486.
23 Молочные продукты. Масло. Аромат масла. [Электрон. ресурс];
режим доступа: http://milco.ru/masla/aromat-masla.html
Bakirci, I. The effect of commercial starter culture and storage
temperature on the oxidative stability and diacetyl production in butter / I.
Bakirci, S. Celik, C. Ozdemir // Dairy Technology. - 2002. - Vol. 55. - № 4. -
Р. 177-181.
Stephanie, M. Determination of diacetyl and acetoin a microwave
popcorn plant / Stephanie M. Pendergrass // Envinromental Science. - 2004. -
Vol. 38. - P. 862-865.
26 Mattersich, J. The spectrophotometric determination of diacetyl
/ . Mattersich, J. R. Cooper // Analytical Biochemistry. - 1989. - № 180. - C.
349-350.
Speck, J. C. Spectrophotometric determination of diacetyl / J. C.
Speck // Analytical Chemistry. - 1948. - № 20. - 647 p.
Rafael, J. Fluorimetric determination of diacetyl and
2,3-pentandione with isoniazide and a zirconium salt / J. Rafael, M. Rosa //
Talanta. - 1993. - № 9. - . 1419-1423.
Masatoshi Yamaguchi. Determination of glyoxal, metilglyoxal,
diacetyl, and 2,3-pentandione in fermented foods by high-performance liquid
chromatography with fluorescence detection / Masatoshi Yamaguchi, Junichi
Ishida // Journal of liquid chromatography. - 1994. - № 17. - P. 203-211.
Speckman, R. A. Separation of diacetyl, acetoin, and 2,3-butilene
Glycol by salting-out chromatography / R.A. Speckman, E. B. Collins //
Analytical Biochemistry. - 1968. - № 22. - P. 154-160.
Carmen, M. Spectrophotometric determination of biacetyl in
distillates of wine / M. Carmen, Gloria del Campo // Analyst. - 1992. - Vol.
177. - P. 1342-1346.
Michele, M. New quantitative determination of 2,3 - dioxobutane
(diacetyl) in alcoholic beverages by an indirect spectrofluorimetric procedure
with use of 2,3 - diaminonaphtalene as reagent of derivatization / M. Michele,
P. Levillain // Talanta. - 1994. - Vol. 1. - P. 75-79.
Damiani, P. Determination of diacetyl / P. Damiani, G. Burini, J.
Assoc // Anal. Chem. - 1988. - Vol. 71. - P. 462-464.
Пурецкий, Н. А. Определение диацетила при помощи
спектрофото-метрии и термолинзовой спектрометрии / Н.А. Пурецкий, М.А.
Проскурнин, А.В. Пирогов // Вестн. Моск. Ун-та. - 2009. - №2. - С. 116-121.
Валуйко, Г. Г. Технология солода и пива. - М.: Мир, 2000. - 900 с.
Третьяк, Л. Н. Контроль качества пива на основе экспрессного
определения диацетила / Л.Н. Третьяк, В.И. Федорченко // Вестник ОГУ. - 2006. -
№ 10. - С. 451-455.
Третьяк, Л. Н. Контроль качества пива в условиях ограниченно
оборудованных пивоваренных лабораторий / Л. Н. Третьяк, Ю. А. Лосев, Е. Г.
Бондаренко // Вестник ОГУ. - 2005. - № 10. - С. 144-149.
Патент 2415418 РФ, G01N33/14, C12C11/00. Фотометрический способ
определения диацетила в пиве / Л. Н. Третьяк, В. И. Федорченко (Россия). -
заявл. 23.12.2009; опубл. 27.03.2011.
Pack, M. Y. Owades and Jakovac Method for diacetyl determination /
M. Y. Pack, W. E. Sandine, P. R. Elliker // Food Science and Technology. - 1974.
- Vol. 41. - P. 981 - 986.
Occan, U. Quingdao haiyang daxue xuebao / U. Occan, C. Shuzhu //
Quingdao. Natur. Sci. Ed. - 2002. - Vol. 32. - P. 89 - 93.
Mariaud, M. Procedure determination of diacetyl with use of 2,3 -
diamino-naphtalene / M. Mariaud, P. Levillain // Talanta. - 1994. - Vol. 41. -
P. 75 - 79.
Rodrigues, O. A. Flow injection square wave cathodic stripping
voltammetric determination at a hanging mercury drop electrode of rapidly
reduced compounds. determination of diacetyl on wine as 2,3 - dimethylquinoxaline
/ O. A. Rodrigues, A. A. Barros, P. J. Almeida // Analytica Chimica Acta. -
2001. - P. 119 - 127.
ГОСТ Р 52363-2005. Спиртосодержащие отходы спиртового и
ликероводочного производства. Газохроматографический метод определения
содержания летучих органических примесей. - введ. 2006.07.01. - М.:
Стандартинформ, 2009. - 5 с.
Barros, A. Determination of glyoxal, methylglyoxal and diacetyl in
selected beer and wine, by HPLC with UV-spectrophotometric detection, after
derivatization with o - phenylendiamine / A. Barros, J. A. Rodrigues, M. T.
Oliva - Telts // J. liq. technol. - 1999. - Vol. 22. - P. 2061 - 2069.
Macciola, V. Rapid gas-chromatographic method for the
determination of diacetyl in milk, fermented milk and butter / V. Macciola. G,
Candela, A. De Leonardis // Food Control. - 2008. - Vol. 19. - P. 873 - 878.
Ramos, R. M. Determination of free and total diacetyl in wine by
HPLC - UV using gas-diffusion microextraction and pre-column derivatization /
R. M. Ramos, J. G. Pacheco, J. A. Rodrigues // Food Control. - 2012. - Vol. 24.
- P. 220-224.
Otsuka, M. Simple and sensitive determination of diacetyl and
acetoin in biological samples and alcoholic drinks by gas chromatography with
electron-capture detection / M. Otsuka, Sh. Ohmori // Journal of
Chromatography. - 1992. - № 577. - P. 215-220.
Speckman, R. A. Separation of diacetyl, acetoun, and 2,3-butylene
glycol by salting - out chromatography / R.A. Speckman, E. B. Collins //
Analytycal Biochemistry. - 1968. - № 22. - P. 154-160.